Modeling and Analysis of Oil Film Thickness with Viscosity–Pressure–Temperature Effects Under Hybrid Lubrication in the Cold Rolling Process of High-Strength Thin Sheets
Abstract
1. Introduction
2. Hybrid Lubrication Mode
2.1. Features of Direct Spray Lubrication and Recirculation Lubrication Modes
2.2. Hybrid Lubrication for High-Speed Rolling
- (1)
- Enhanced lubrication–cooling balance: direct spray ensures sufficient oil film thickness, while recirculation mitigates thermal runaway (interface temperature < 200 °C) [10];
- (2)
- Friction reduction: hybrid systems reduce friction coefficients by 30–40% compared to standalone recirculation, lowering rolling forces by 1.7–10.3% [20];
- (3)
- Sustainability: spent emulsions from direct spray are filtered and reused in recirculation loops, cutting oil consumption by 40–50% [14].
3. Oil Film Thickness Under Hybrid Lubrication
3.1. Mathematical Model of Oil Film Thickness hE
- (1)
- Oil film thickness from the direct spray lubrication subsystem
- (2)
- Oil film thickness from recirculation lubrication subsystem
3.2. Modeling and Solving Method of Inlet Oil Film Thickness hD
- (1)
- Viscosity–pressure–temperature (VPT) effects
- (2)
- Temperature varying with pressure and oil film thickness
- (3)
- Numerical iterative method for oil film thickness hD
3.3. Calculation of Oil Film Thicknesses
- (1)
- Simulation parameters
- (2)
- Estimation of oil film thickness
- (3)
- Mechanism explanation
4. Influencing Factors of Inlet Oil Film Thickness
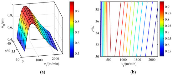
4.1. Reduction Ratio and Rolling Speed
- (1)
- Lower speed (500 m/min): According to the metal flow equation, under fixed exit thickness and increased entry thickness, the entry speed descends, resulting in a higher initial oil film thickness . However, the oil film entrapment ability through the wedge pre-deformation zone is relatively poor due to the low rolling speed, so that the oil film thickness decreases with the increase in reduction ratio.
- (2)
- Higher speed (>500 m/min): Under the same rolling conditions, high rolling speed balances the improvement of entrapment ability and the reduction in initial oil film thickness, and with the speed sum decreasing, the temperature rise effect is weakened. So, the oil film thickness tends to become larger with the increase in reduction ratio.
4.2. Entry Tension Stress and Strip Deformation Resistance
4.3. Viscosity-Pressure and Viscosity-Temperature Coefficients
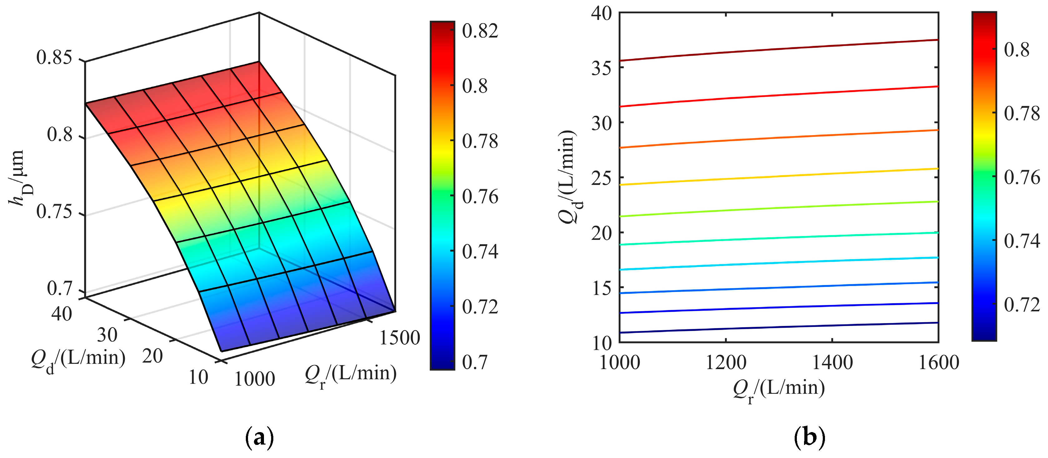
4.4. Emulsion Flow Quantities of Direct Spray and Recirculation Lubrication Subsystems
- (1)
- When the flow quantity of recirculation lubrication reaches a certain level, an impact on the outflow of the formed oil film on the plate may occur, so that the increase in flow quantity cannot cause a significant increase in oil film thickness.
- (2)
- The oil film thickness can become significantly large by increasing he flow quantity of direct spray lubrication. Therefore, in the hybrid lubrication, the effective regulation of oil film thickness is generally achieved by changing the direct spray emulsion flow quantity.
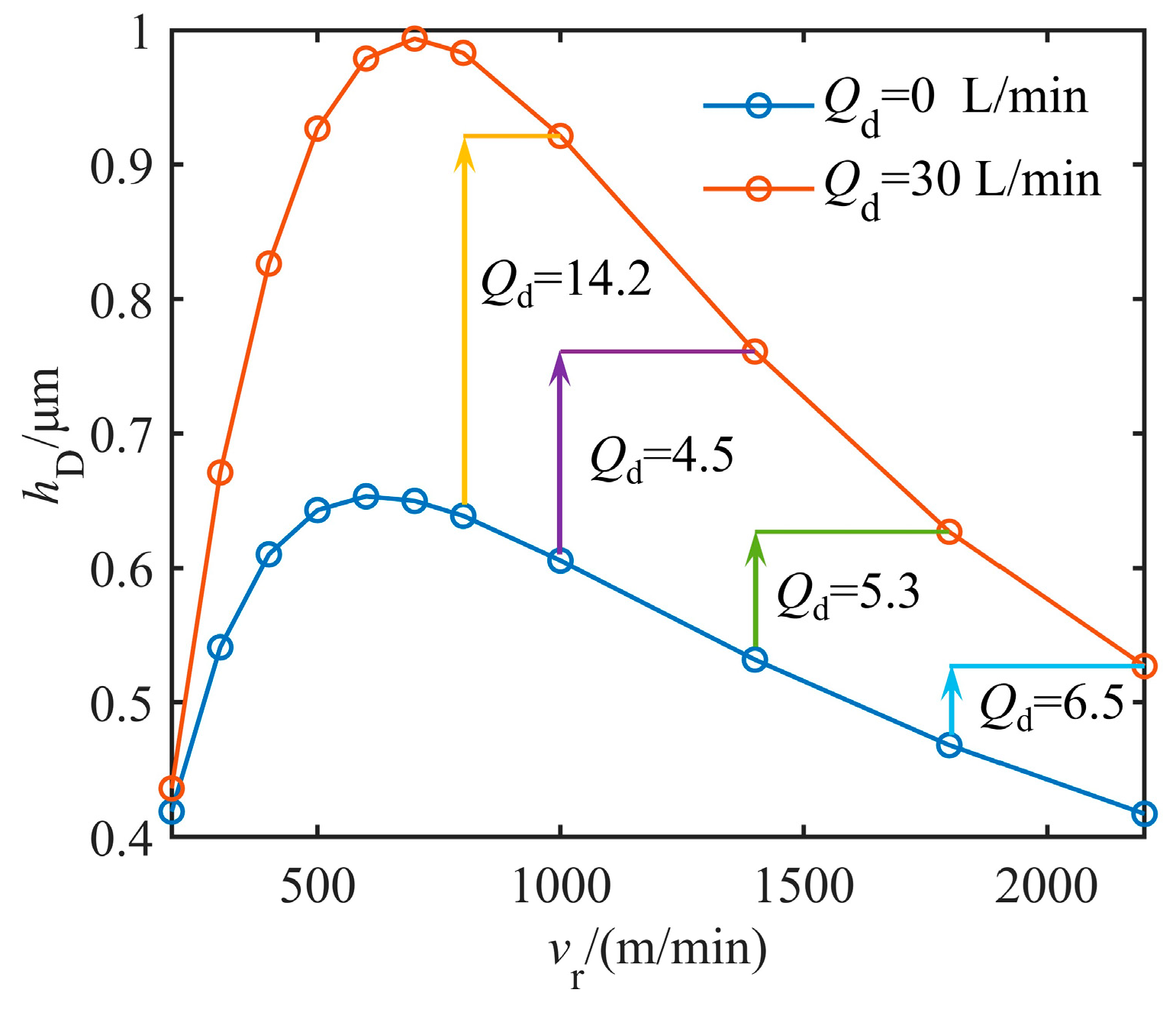
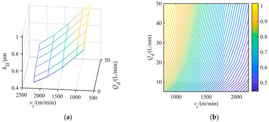
5. Dynamic Regulation Approach of Oil Film Thickness
6. Conclusions
- (1)
- The initial oil film thickness in the pre-deformation zone was established based on plate-out and dynamic concentration formation mechanisms under the hybrid lubrication. Increasing the direct spray flow quantity from 5 L/min to 50 L/min, the plate-out efficiency on the strip surface is nearly tripled. A novel inlet oil film thickness model was developed by integrating the Reynolds equation, the VPT effects, the energy equation, and the continuity equation. Moreover, the nonlinear relationship between inlet oil film thickness and rolling speed was obtained and mechanistically explained.
- (2)
- Quantitative analysis of oil film thickness was conducted with respect to paired parameters, including reduction rate and rolling speed, entry tension stress and strip deformation resistance, and viscosity–pressure and viscosity–temperature coefficients, as well as emulsion flow quantities of direct spray and recirculation lubrication subsystems. The results provide theoretical foundations for chatter instability under high-speed rolling, lubricant selection, and regulating oil film thickness through emulsion flow quantity.
- (3)
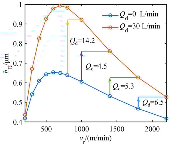
- A quantitative relationship between oil film thickness, rolling speed, and direct emulsion flow quantity was established. When the oil film thickness is adjusted to 0.761 μm at 1400 m/min, the required emulsion flow quantity is 30 L/min. The derived equation enables real-time lubrication control, resolving the speed–lubrication relationship in high-speed cold rolling of high-strength thin sheets.
- (4)
- Based on the significant advantages of mixed lubrication systems, the proposed model is suitable for high-speed cold rolling of high-strength thin sheets, enabling stable rolling at speeds exceeding 20 m/s, producing sheets with thicknesses of ≤0.3 mm and strengths up to 1000 MPa.
- (5)
- This novel model has not yet been directly validated through actual rolling mill experiments due to constraints in rolling conditions. However, this will be indirectly verified by collecting specific data from the rolling process, thereby enhancing its applicability.
Author Contributions
Funding
Data Availability Statement
Conflicts of Interest
Appendix A
References
- Lee, Y.; Kim, H.; Lee, J. Work hardening behavior in multi-pass rolling of advanced high-strength steel. J. Mater. Process. Technol. 2018, 252, 254–263. [Google Scholar] [CrossRef]
- Zhang, Q.; Wang, L.; Tieu, A.K. Friction-induced rolling force prediction in tandem cold rolling of ultra-high strength steel. Tribol. Int. 2020, 144, 106121. [Google Scholar] [CrossRef]
- Wang, C.; Sun, J.; Liu, X. Dynamic instability analysis of tandem rolling mills under high friction conditions. Mech. Syst. Signal Process. 2019, 128, 352–366. [Google Scholar] [CrossRef]
- Wei, L.Q.; Zhai, Z.H. Influence of rolling lubrication on self-excited vibration in 1420 continuous cold rolling mill. J. Iron Steel 2006, 18, 28–31. [Google Scholar] [CrossRef]
- Reich, R.; Urbanski, J. Experimental support for the dynamic concentration theory of forming an oil reservoir at the inlet of the roll bite by measuring the onset speed of starvation as a function of oil concentration and droplet size. Tribol. Trans. 2004, 47, 489–499. [Google Scholar] [CrossRef]
- Lo, S.W.; Yang, T.C.; Cian, Y.A. A model for lubrication by oil-in water emulsions. J. Tribol.-Trans. ASME 2010, 132, 011801. [Google Scholar]
- Azushima, A.; Inagaki, S.; Ohta, H. Plating out oil film thickness on roll and workpiece during cold rolling with O/W emulsion. Tribol. Trans. 2011, 54, 275–281. [Google Scholar] [CrossRef]
- Fujita, N.; Kimura, Y. Plat-out efficiency related to oil-in-water emulsions supply conditions on cold rolling strip. Proc. Inst. Mech. Eng. Part J J. Eng. Tribol. 2013, 227, 413–422. [Google Scholar]
- Wilson, W.R.D.; Walowit, J.A. An isothermal hydro dynamic lubrication theory for strip rolling with front and back tension. In Tribology Convention 1971; Institution of Mechanical Engineers: London, UK, 1971; pp. 164–172. [Google Scholar]
- Fujita, N.; Kimura, Y.; Kobayashi, K. Estimation model of plate-out oil film in high-speed tandem cold rolling. J. Mater. Process. Technol. 2015, 219, 295–302. [Google Scholar] [CrossRef]
- Bian, X.X.; Wang, Q. A comprehensive mathematical model for an accurate calculation of the oil film thickness of strip cold rolling. Proc. Inst. Mech. Eng. Part J J. Eng. Tribol. 2020, 234, 350–361. [Google Scholar] [CrossRef]
- Cheng, L.; Kiet, T. Modeling of the inlet zone in the mixed lubrication situation of cold strip rolling. J. Mater. Process. Technol. 2003, 140, 569–575. [Google Scholar] [CrossRef]
- Xin, Y.L.; Gao, Z.Y. Influence of friction-lubrication characteristics varying with rolling speed on instability of chatter and slip in cold tandem rolling process. J. Iron Steel Res. Int. 2024, 31, 894–908. [Google Scholar] [CrossRef]
- Muramoto, H. 338 Curtailment of the unit consumption of the rolling oil with hybrid system. J. Iron Steel Inst. Jpn. 1982, 68, 948–951. [Google Scholar]
- Yukio, K.; Noriki, F.; Yukihiro, M. High-speed rolling by hybrid-lubrication system in tandem cold rolling mills. J. Mater. Process. Technol. 2015, 216, 357–368. [Google Scholar] [CrossRef]
- Li, Z.H.; Han, P. Research and Application of the Mathematical Model of Emulsified Fluid Flow in Silicon Steel Rolling Process. Shanxi Metall. 2012, 52, 850–857. [Google Scholar] [CrossRef]
- Cui, Y.Y.; Bai, Z.H. Oil film thickness model in deformation zones during double cold reduction rolling. China Mech. Eng. 2019, 30, 560–567. [Google Scholar]
- Fujita, N.; Kimura, Y.; Kobayashi, K. Dynamic control of lubrication characteristics in high speed tandem cold rolling. J. Mater. Process. Technol. 2016, 229, 407–416. [Google Scholar] [CrossRef]
- Li, X.T.; Sun, Y.X. Optimal setting technology of process lubrication system for 3+1 emulsion system. Iron Steel 2022, 57, 110–118. [Google Scholar] [CrossRef]
- Yukio, K.; Noriki, F.; Yukihiro, M. Hybrid lubrication for high-speed rolling. J. Mater. Process. Technol. 2015, 216, 357–368. [Google Scholar]
- Bai, Z.H.; Wang, N. Optimization of lubrication system for flatness control process in cold tandem rolling. Iron Steel 2021, 56, 96–102. [Google Scholar] [CrossRef]
- Hanafi, L.; Mufid, M.S. Analytical solution approximation for bearing. AIP Conf. Proc. 2017, 1867, 020041. [Google Scholar] [CrossRef]












| Parameter | Direct Spray Lubrication | Recirculation Lubrication |
|---|---|---|
| Spraying position | strip | Roll–strip interface |
| Oil Consumption | High (15–30 L/min) | Low (5–10 L/min) |
| Friction Coefficient | 0.01–0.10 (stable) | 0.10–0.15 (gradual degradation) |
| Emulsion Concentration | High, 5~15% | Low, 1~3% |
| Oil Droplet Size | Large, 5~15 μm | Small, 2~5 μm |
| Emulsion Stability | Low (rapid phase separation) [8] | High (stable for recycling) |
| Application | Thin or ultra-thin strip | Thin or medium-thick strip |
| Speed Suitability | Optimal for high-speed (>15 m/s) | Limited to <10 m/s [13] |
| Surface Quality | Superior (Ra < 0.5 μm) [11] | Moderate (Ra 0.8–1.2 μm) |
| Parameter | Value |
|---|---|
| Strip width | 0.837 m |
| Entry strip thickness | 0.281 mm |
| Exit strip thickness | 0.182 mm |
| Bite angle | 1° |
| Deformation resistance | 846 MPa |
| Back tension | 140 MPa |
| Rolling speed | 500~2200 m/min |
| Entry strip speed | 324~1424 m/min |
| Parameter | Value |
|---|---|
| Lubricant dynamic viscosity | 0.04 |
| Lubricant density | 0.715 × 106 kg/mm3 |
| Viscosity-temperature coefficient | 1.3 × 10−8 |
| Viscosity-pressure coefficient | 0.06 |
| Strip boundary temperature | 313 K |
| Roll boundary temperature | 313 K |
| Direct spray lubrication: emulsion concentration | 10% |
| Direct spray lubrication: oil droplet size | 12 μm |
| Direct spray lubrication: emulsion flow quantity | 0~50 L/min |
| Recirculation lubrication: emulsion concentration | 3% |
| Recirculation lubrication: oil droplet size | 5 μm |
| Recirculation lubrication: emulsion flow quantity | 1200 L/min |
Disclaimer/Publisher’s Note: The statements, opinions and data contained in all publications are solely those of the individual author(s) and contributor(s) and not of MDPI and/or the editor(s). MDPI and/or the editor(s) disclaim responsibility for any injury to people or property resulting from any ideas, methods, instructions or products referred to in the content. |
© 2025 by the authors. Licensee MDPI, Basel, Switzerland. This article is an open access article distributed under the terms and conditions of the Creative Commons Attribution (CC BY) license (https://creativecommons.org/licenses/by/4.0/).
Share and Cite
Liu, Y.; You, X.; Liu, L.; Xin, Y.; Zhou, X.; Gao, Z. Modeling and Analysis of Oil Film Thickness with Viscosity–Pressure–Temperature Effects Under Hybrid Lubrication in the Cold Rolling Process of High-Strength Thin Sheets. Lubricants 2025, 13, 151. https://doi.org/10.3390/lubricants13040151
Liu Y, You X, Liu L, Xin Y, Zhou X, Gao Z. Modeling and Analysis of Oil Film Thickness with Viscosity–Pressure–Temperature Effects Under Hybrid Lubrication in the Cold Rolling Process of High-Strength Thin Sheets. Lubricants. 2025; 13(4):151. https://doi.org/10.3390/lubricants13040151
Chicago/Turabian StyleLiu, Yujin, Xuechang You, Lei Liu, Yanli Xin, Xiaomin Zhou, and Zhiying Gao. 2025. "Modeling and Analysis of Oil Film Thickness with Viscosity–Pressure–Temperature Effects Under Hybrid Lubrication in the Cold Rolling Process of High-Strength Thin Sheets" Lubricants 13, no. 4: 151. https://doi.org/10.3390/lubricants13040151
APA StyleLiu, Y., You, X., Liu, L., Xin, Y., Zhou, X., & Gao, Z. (2025). Modeling and Analysis of Oil Film Thickness with Viscosity–Pressure–Temperature Effects Under Hybrid Lubrication in the Cold Rolling Process of High-Strength Thin Sheets. Lubricants, 13(4), 151. https://doi.org/10.3390/lubricants13040151
