Singularities in Static Spherically Symmetric Configurations of General Relativity with Strongly Nonlinear Scalar Fields
Abstract
:1. Introduction
2. Initial Relations
3. Asymptotic Behavior Near Singularity
4. Numerical Solutions
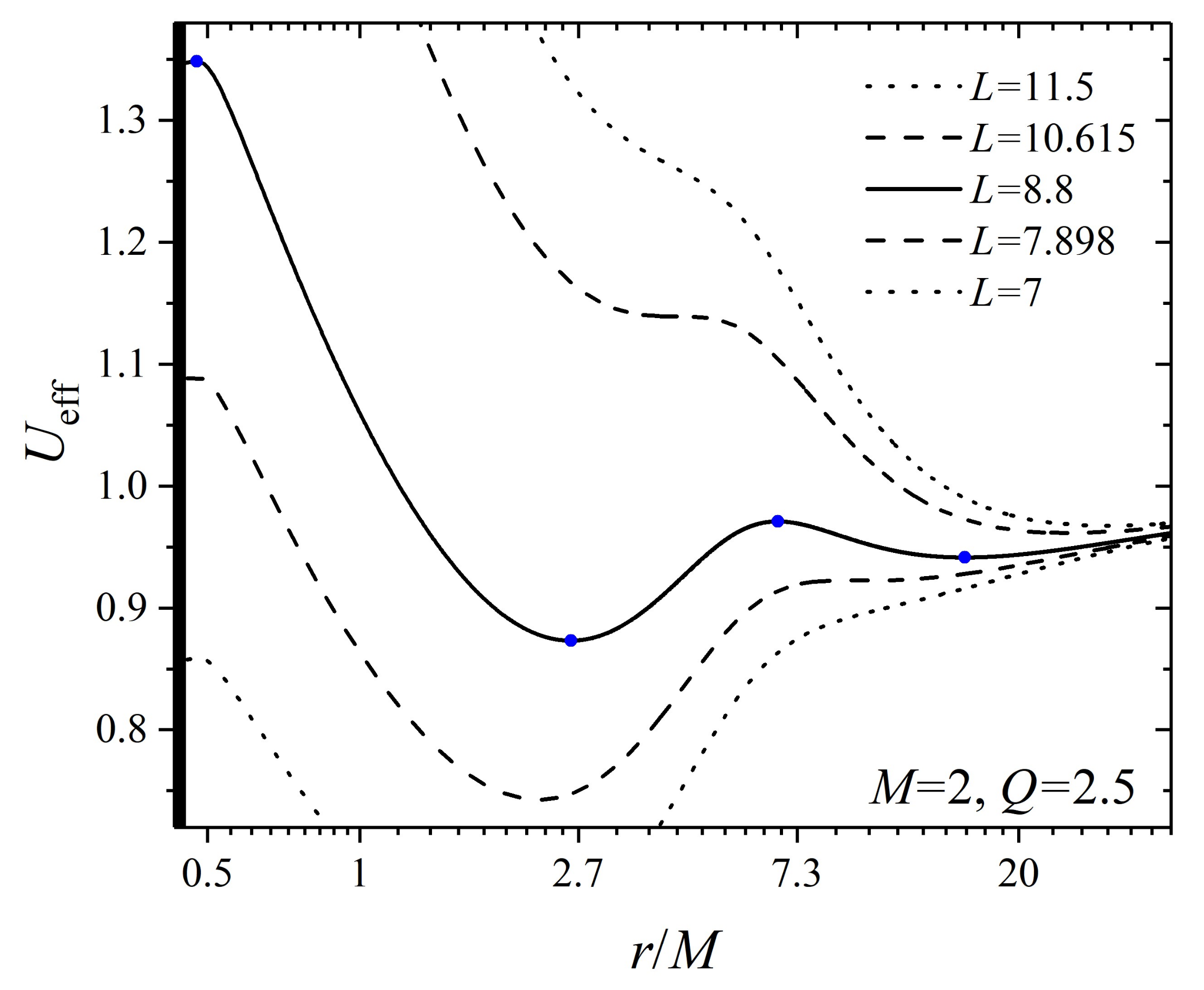
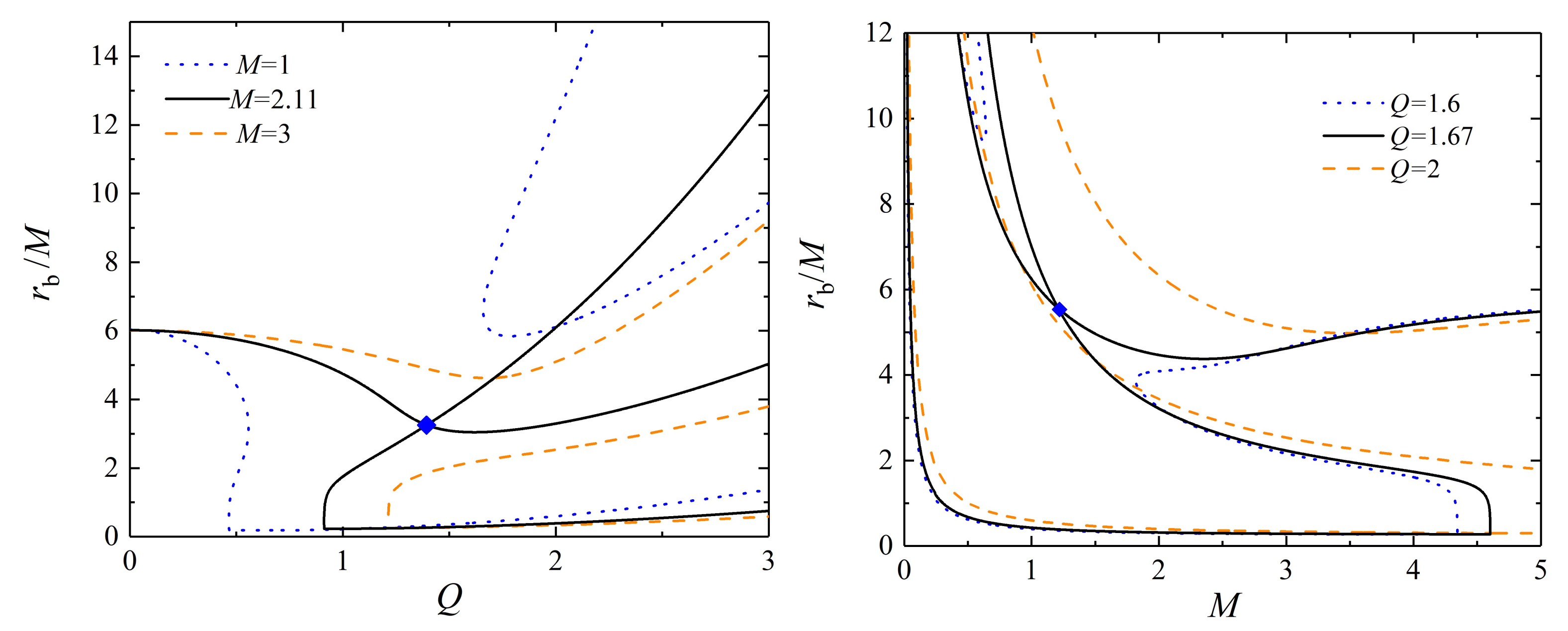
5. Test Particle Motion
6. Discussion
Author Contributions
Funding
Acknowledgments
Conflicts of Interest
References
- Novikov, I.D.; Thorne, K.S. Astrophysics of black holes. In Black Holes (Les Astres Occlus); DeWitt, C., DeWitt, B., Eds.; Gordon and Breach: New York, NY, USA, 1973; pp. 343–450. [Google Scholar]
- Antonucci, R. Unified Models for Active Galactic Nuclei and Quasars. Annu. Rev. Astron. Astrophys. 1993, 31, 473–521. [Google Scholar] [CrossRef]
- Bianchi, S.; Maiolino, R.; Risaliti, G. AGN Obscuration and the Unified Model. Adv. Astron. 2012, 2012, 782030. [Google Scholar] [CrossRef]
- Stuchlík, Z.; Schee, J. Optical effects related to Keplerian discs orbiting Kehagias-Sfetsos naked singularities. Class. Quantum Gravity 2014, 31, 195013. [Google Scholar] [CrossRef] [Green Version]
- Shao, W.H.; Chen, C.Y.; Chen, P. Generating rotating spacetime in Ricci-based gravity: Naked singularity as a black hole mimicker. J. Cosmol. Astropart. Phys. 2021, 2021, 041. [Google Scholar] [CrossRef]
- Chakraborty, C.; Bhattacharyya, S. Circular orbits in Kerr-Taub-NUT spacetime and their implications for accreting black holes and naked singularities. J. Cosmol. Astropart. Phys. 2019, 2019, 034. [Google Scholar] [CrossRef] [Green Version]
- Bhattacharya, K.; Dey, D.; Mazumdar, A.; Sarkar, T. New class of naked singularities and their observational signatures. Phys. Rev. D 2020, 101, 043005. [Google Scholar] [CrossRef] [Green Version]
- Pugliese, D.; Quevedo, H.; Ruffini, R. Circular motion of neutral test particles in Reissner-Nordström spacetime. Phys. Rev. D 2011, 83, 024021. [Google Scholar] [CrossRef] [Green Version]
- Pugliese, D.; Quevedo, H.; Ruffini, R. Equatorial circular orbits of neutral test particles in the Kerr-Newman spacetime. Phys. Rev. D 2013, 88, 024042. [Google Scholar] [CrossRef] [Green Version]
- Joshi, P.S.; Malafarina, D.; Narayan, R. Distinguishing black holes from naked singularities through their accretion disc properties. Class. Quantum Gravity 2013, 31, 015002. [Google Scholar] [CrossRef]
- Shahidi, S.; Harko, T.; Kovács, Z. Distinguishing Brans–Dicke–Kerr type naked singularities and black holes with their thin disk electromagnetic radiation properties. Eur. Phys. J. C 2020, 80, 1–20. [Google Scholar] [CrossRef]
- Boshkayev, K.; Gasperín, E.; Gutiérrez-Piñeres, A.C.; Quevedo, H.; Toktarbay, S. Motion of test particles in the field of a naked singularity. Phys. Rev. D 2016, 93, 024024. [Google Scholar] [CrossRef] [Green Version]
- Stashko, O.S.; Zhdanov, V.I. Spherically symmetric configurations of General Relativity in presence of scalar fields: Separation of circular orbits. Gen. Relativ. Gravit. 2018, 50, 105. [Google Scholar] [CrossRef] [Green Version]
- Bambhaniya, P.; Joshi, A.B.; Dey, D.; Joshi, P.S. Timelike geodesics in naked singularity and black hole spacetimes. Phys. Rev. D 2019, 100, 124020. [Google Scholar] [CrossRef] [Green Version]
- Karimov, R.K.; Izmailov, R.N.; Nandi, K.K. Accretion disk around the rotating Damour–Solodukhin wormhole. Eur. Phys. J. C 2019, 79, 1–9. [Google Scholar] [CrossRef] [Green Version]
- Paul, S.; Shaikh, R.; Banerjee, P.; Sarkar, T. Observational Signatures of Wormholes with Thin Accretion Disks. J. Cosmol. Astropart. Phys. 2020, 3, 055. [Google Scholar] [CrossRef] [Green Version]
- Narzilloev, B.; Malafarina, D.; Abdujabbarov, A.; Ahmedo, B.; Bambi, C. Particle Motion around a Static Axially Symmetric Wormhole. Phys. Rev. D 2021, 104, 064016. [Google Scholar] [CrossRef]
- Abdujabbarov, A.A.; Ahmedov, B.J. Electromagnetic fields and charged particle motion around magnetized wormholes. Astrophys. Space Sci. 2009, 321, 225–232. [Google Scholar] [CrossRef]
- Li, Z.; Bambi, C. Distinguishing black holes and wormholes with orbiting hot spots. Phys. Rev. D 2014, 90, 024071. [Google Scholar] [CrossRef] [Green Version]
- Vincent, F.H.; Meliani, Z.; Grandclément, P.; Gourgoulhon, E.; Straub, O. Imaging a boson star at the Galactic center. Class. Quantum Gravity 2016, 33, 105015. [Google Scholar] [CrossRef]
- Grandclément, P.; Somé, C.; Gourgoulhon, E. Models of rotating boson stars and geodesics around them: New type of orbits. Phys. Rev. D 2014, 90, 24068. [Google Scholar] [CrossRef] [Green Version]
- Liebling, S.L.; Palenzuela, C. Dynamical boson stars. Living Rev. Relativ. 2017, 20, 5. [Google Scholar] [CrossRef] [Green Version]
- Lamy, F.; Gourgoulhon, E.; Paumard, T.; Vincent, F.H. Imaging a non-singular rotating black hole at the center of the Galaxy. Class. Quantum Gravity 2018, 35, 115009. [Google Scholar] [CrossRef] [Green Version]
- Herdeiro, C.A.; Pombo, A.M.; Radu, E.; Cunha, P.V.; Sanchis-Gual, N. The imitation game: Proca stars that can mimic the Schwarzschild shadow. J. Cosmol. Astropart. Phys. 2021, 2021, 051. [Google Scholar] [CrossRef]
- Dymnikova, I.; Poszwa, A. Classification and basic properties of circular orbits around regular black holes and solitons with the de Sitter center. Class. Quantum Gravity 2019, 36, 105002. [Google Scholar] [CrossRef]
- Stuchlík, Z.; Schee, J. Circular geodesic of Bardeen and Ayon–Beato–Garcia regular black-hole and no-horizon spacetimes. Int. J. Mod. Phys. D 2015, 24, 1550020. [Google Scholar] [CrossRef] [Green Version]
- Schönenbach, T.; Caspar, G.; Hess, P.O.; Boller, T.; Müller, A.; Schäfer, M.; Greiner, W. Ray-tracing in pseudo-complex General Relativity. Mon. Not. R. Astron. Soc. 2014, 442, 121–130. [Google Scholar] [CrossRef] [Green Version]
- Event Horizon Telescope Collaboration. First M87 Event Horizon Telescope Results. I. The Shadow of the Supermassive Black Hole. Astrophys. J. 2019, 875, L1. [Google Scholar] [CrossRef]
- Chowdhury, A.N.; Patil, M.; Malafarina, D.; Joshi, P.S. Circular geodesics and accretion disks in the Janis-Newman-Winicour and gamma metric spacetimes. Phys. Rev. D 2012, 85, 104031. [Google Scholar] [CrossRef] [Green Version]
- Zhou, S.; Zhang, R.; Chen, J.; Wang, Y. Geodesic Structure of Janis-Newman-Winicour Space-time. Int. J. Theor. Phys. 2015, 54, 2905–2920. [Google Scholar] [CrossRef] [Green Version]
- Shaikh, R.; Joshi, P.S. Can we distinguish black holes from naked singularities by the images of their accretion disks? J. Cosmol. Astropart. Phys. 2019, 2019, 064. [Google Scholar] [CrossRef] [Green Version]
- Gyulchev, G.; Nedkova, P.; Vetsov, T.; Yazadjiev, S. Image of the Janis-Newman-Winicour naked singularity with a thin accretion disk. Phys. Rev. D 2019, 100, 024055. [Google Scholar] [CrossRef] [Green Version]
- Gyulchev, G.; Kunz, J.; Nedkova, P.; Vetsov, T.; Yazadjiev, S. Observational signatures of strongly naked singularities: Image of the thin accretion disk. Eur. Phys. J. C 2020, 80, 1–20. [Google Scholar] [CrossRef]
- Gyulchev, G.; Nedkova, P.; Vetsov, T.; Yazadjiev, S. Image of the thin accretion disk around compact objects in the Einstein-Gauss-Bonnet gravity. arXiv 2021, arXiv:2106.14697. [Google Scholar]
- Collodel, L.G.; Doneva, D.D.; Yazadjiev, S.S. Circular Orbit Structure and Thin Accretion Disks around Kerr Black Holes with Scalar Hair. Astrophys. J. 2021, 910, 52. [Google Scholar] [CrossRef]
- Sau, S.; Banerjee, I.; SenGupta, S. Imprints of the Janis-Newman-Winicour spacetime on observations related to shadow and accretion. Phys. Rev. D 2020, 102, 064027. [Google Scholar] [CrossRef]
- Cao, Z.; Cárdenas-Avendaño, A.; Zhou, M.; Bambi, C.; Herdeiro, C.A.; Radu, E. Iron Kα line of boson stars. J. Cosmol. Astropart. Phys. 2016, 2016, 003. [Google Scholar] [CrossRef] [Green Version]
- Yang, J.; Ayzenberg, D.; Bambi, C. Iron line spectroscopy of black holes in vector-tensor Galileon modified gravity. Phys. Rev. D 2018, 98, 044024. [Google Scholar] [CrossRef] [Green Version]
- Shen, T.; Zhou, M.; Bambi, C.; Herdeiro, C.A.R.; Radu, E. Iron Kα line of Proca stars. J. Cosmol. Astropart. Phys. 2017, 2017, 014. [Google Scholar] [CrossRef] [Green Version]
- Liu, H.; Zhou, M.; Bambi, C. Distinguishing black holes and naked singularities with iron line spectroscopy. J. Cosmol. Astropart. Phys. 2018, 2018, 044. [Google Scholar] [CrossRef] [Green Version]
- Martínez, C.; Troncoso, R.; Zanelli, J. Exact black hole solution with a minimally coupled scalar field. Phys. Rev. D 2004, 70. [Google Scholar] [CrossRef] [Green Version]
- Fisher, I.Z. Scalar mesostatic field with regard for gravitational effects. Zh. Exp. Theor. Phys. 1948, 18, 636–640. [Google Scholar]
- Janis, A.I.; Newman, E.T.; Winicour, J. Reality of the Schwarzschild Singularity. Phys. Rev. Lett. 1968, 20, 878–880. [Google Scholar] [CrossRef]
- Wyman, M. Static spherically symmetric scalar fields in general relativity. Phys. Rev. D 1981, 24, 839–841. [Google Scholar] [CrossRef]
- Virbhadra, K.S. Janis–Newman–Winicour and Wyman Solutions are the Same. Int. J. Mod. Phys. A 1997, 12, 4831–4835. [Google Scholar] [CrossRef] [Green Version]
- Zhdanov, V.I.; Stashko, O.S. Static spherically symmetric configurations with N nonlinear scalar fields: Global and asymptotic properties. Phys. Rev. D 2020, 101, 064064. [Google Scholar] [CrossRef] [Green Version]
- Page, D.N.; Thorne, K.S. Disk-Accretion onto a Black Hole. Time-Averaged Structure of Accretion Disk. Astrophys. J. 1974, 191, 499–506. [Google Scholar] [CrossRef]
- Stashko, O.S.; Zhdanov, V.I.; Alexandrov, A.N. Thin Accretion Discs around Spherically Symmetric Configurations with Nonlinear Scalar Fields. arXiv 2021, arXiv:2107.05111. [Google Scholar]
- Stashko, O.; Zhdanov, V. Spherically Symmetric Configurations in General Relativity in the Presence of a Linear Massive Scalar Field: Separation of a Distribution of Test Body Circular Orbits. Ukr. J. Phys. 2019, 64, 189. [Google Scholar] [CrossRef] [Green Version]










| Type | Photon Sphere | ||
|---|---|---|---|
| − | |||
| + | |||
| − |
Publisher’s Note: MDPI stays neutral with regard to jurisdictional claims in published maps and institutional affiliations. |
© 2021 by the authors. Licensee MDPI, Basel, Switzerland. This article is an open access article distributed under the terms and conditions of the Creative Commons Attribution (CC BY) license (https://creativecommons.org/licenses/by/4.0/).
Share and Cite
Stashko, O.; Zhdanov, V.I. Singularities in Static Spherically Symmetric Configurations of General Relativity with Strongly Nonlinear Scalar Fields. Galaxies 2021, 9, 72. https://doi.org/10.3390/galaxies9040072
Stashko O, Zhdanov VI. Singularities in Static Spherically Symmetric Configurations of General Relativity with Strongly Nonlinear Scalar Fields. Galaxies. 2021; 9(4):72. https://doi.org/10.3390/galaxies9040072
Chicago/Turabian StyleStashko, Oleksandr, and Valery I. Zhdanov. 2021. "Singularities in Static Spherically Symmetric Configurations of General Relativity with Strongly Nonlinear Scalar Fields" Galaxies 9, no. 4: 72. https://doi.org/10.3390/galaxies9040072
APA StyleStashko, O., & Zhdanov, V. I. (2021). Singularities in Static Spherically Symmetric Configurations of General Relativity with Strongly Nonlinear Scalar Fields. Galaxies, 9(4), 72. https://doi.org/10.3390/galaxies9040072

