Microvariability in BL Lacertae: “Zooming” into the Innermost Blazar Regions
Abstract
:1. Introduction
2. Observations and Data Processing
3. Analysis and Results
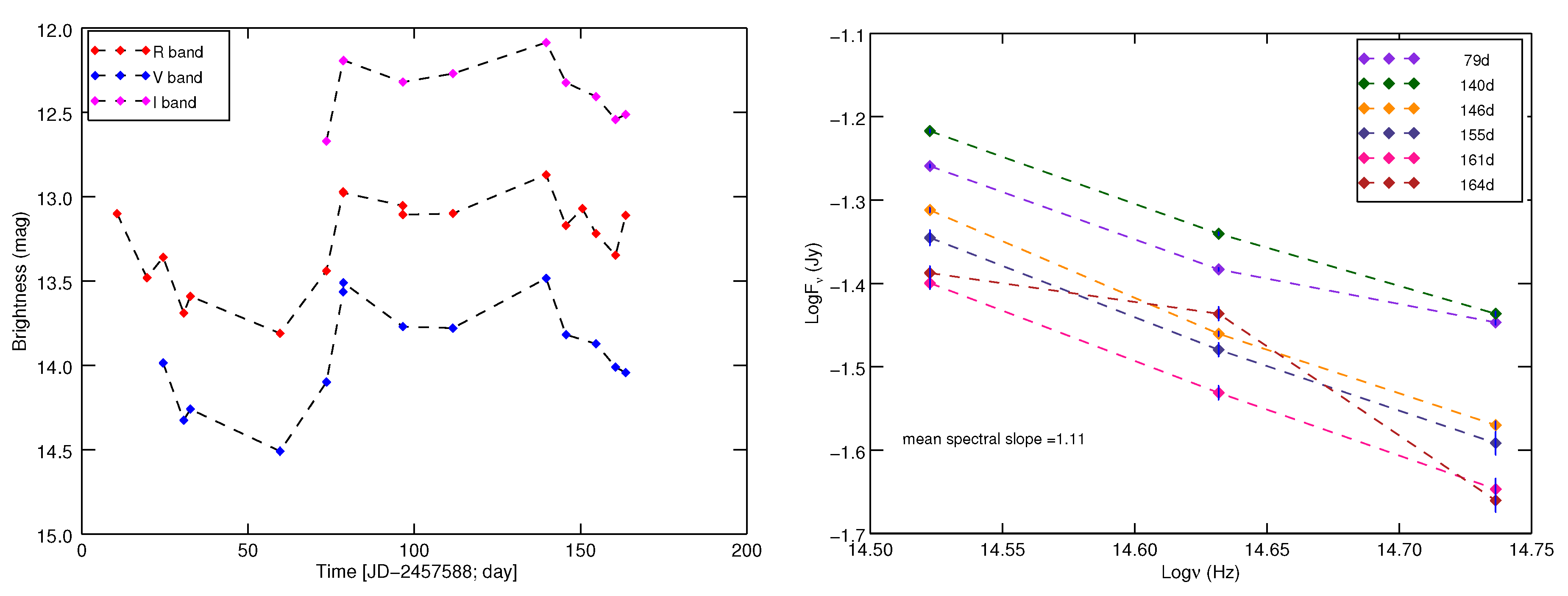
3.1. Multi-Band Micro-Variability
Color Variability: Bluer-When-Brighter
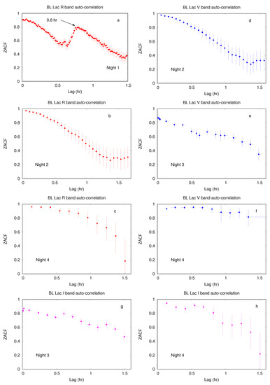
3.2. Multi-Band Cross-Correlation
Search for Characteristic Timescales
4. Discussion and Conclusions
Acknowledgments
Author Contributions
Conflicts of Interest
Abbreviations
| ACF | Auto-correlation Function |
| AGN | Active Galactic Nuclei |
| BL Lac | BL Lacertae object |
| DCF | Discrete Correlation Function |
| FSRQ | Flat Spectrum Radio Quasar |
| JKT | Jacobus Kapteyn Telescope |
| SARA | Southeastern Association for Research in Astronomy |
| SED | spectral energy distribution |
| SF | Structure Function |
| VLBA | Very Long Baseline Array |
| VLBI | Very Long Baseline Interferometry |
| VERITAS | Very Energetic Radiation Imaging Telescope Array System |
| WEBT | Whole Earth Blazar Telescope |
| ZACF | z-transformed Auto-correlation Function |
| ZDCF | z-transformed Discrete Correlation Function |
References
- Meier, D.L. Black Hole Astrophysics: The Engine Paradigm; Springer: Berlin/Heidelberg, Germany, 2012. [Google Scholar]
- Bhatta, G. Radio and γ-Ray Variability in the BL Lac PKS 0219-164: Detection of Quasi-periodic Oscillations in the Radio Light Curve. Astrophys. J. 2017, 487, 7. [Google Scholar] [CrossRef]
- Bhatta, G.; Zola, S.; Stawarz, L.; Ostrowski, M.; Winiarski, M.; Ogłoza, W.; Dróżdż, M.; Siwak, M.; Liakos, A.; Kozieł-Wierzbowska, D.; et al. Detection of Possible Quasi-periodic Oscillations in the Long-term Optical Light Curve of the BL Lac Object OJ 287. Astrophys. J. 2016, 832, 47. [Google Scholar] [CrossRef]
- Zola, S.; Valtonen, M.; Bhatta, G.; Goyal, A.; Debski, B.; Baran, A.; Krzesinski, J.; Siwak, M.; Ciprini, S.; Gopakumar, A.; et al. A Search for QPOs in the Blazar OJ287: Preliminary Results from the 2015/2016 Observing Campaign. Galaxies 2016, 4, 41. [Google Scholar] [CrossRef]
- Marscher, A.P.; Gear, W.K. Models for high-frequency radio outbursts in extragalactic sources, with application to the early 1983 millimeter-to-infrared flare of 3C 273. Astrophys. J. 1985, 298, 114–127. [Google Scholar] [CrossRef]
- Camenzind, M.; Krockenberger, M. The lighthouse effect of relativistic jets in blazars—A geometric origin of intraday variability. Astron. Astrophys. 1992, 255, 59–62. [Google Scholar]
- Wagner, S.J.; Witzel, A. Intraday Variability in Quasars and BL Lac Objects. Annu. Rev. Astron. Astrophys. 1995, 33, 163–197. [Google Scholar] [CrossRef]
- Bhatta, G.; Webb, J.R.; Hollingsworth, H.; Dhalla, S.; Khanuja, A.; Bachev, R.; Blinov, D.A.; Böttcher, M.; Calle, O.J.A.B.; Calcidese, P.; et al. The 72-h WEBT microvariability observation of blazar S5 0716+714 in 2009. Astron. Astrophys. 2008, 558, A92. [Google Scholar] [CrossRef]
- Quirrenbach, A.; Witzel, A.; Kirchbaum, T.P.; Hummel, C.A.; Wegner, R.; Schalinski, C.J. Statistics of intraday variability in extragalactic radio sources. Astron. Astrophys. 1992, 258, 279–284. [Google Scholar] [CrossRef]
- Heidt, J.; Wagner, S.J. Statistics of optical intraday variability in a complete sample of radio-selected BL Lacertae objects. Astron. Astrophys. 1996, 305, 42. [Google Scholar]
- Bai, J.M.; Xie, G.Z.; Li, K.H.; Zhang, X.; Liu, W.W. The intraday variability in the radio-selected and X-ray-selected BL Lacertae objects. Astron. Astrophys. Suppl. Ser. 1998, 132, 83–92. [Google Scholar] [CrossRef]
- Kraus, A.; Krichbaum, T.P.; Wegner, R.; Witzel, A.; Cimò, G.; Quirrenbach, A.; Britzen, S.; Fuhrmann, L.; Lobanov, A.P.; Naundorf, C.E.; et al. Intraday variability in compact extragalactic radio sources. II. Observations with the Effelsberg 100 m radio telescope. Astron. Astrophys. 2003, 401, 161–172. [Google Scholar] [CrossRef]
- Howard, E.S.; Webb, J.R.; Pollock, J.T.; Stencel, R.E. Microvariability and Long-Term Variability of Four Blazars. Astron. J. 2004, 127, 17. [Google Scholar] [CrossRef]
- Rani, B.; Gupta, A.C.; Joshi, U.C.; Ganesh, S.; Wiita, P.J. Optical intraday variability studies of 10 low energy peaked blazars. Mon. Not. R. Astron. Soc. 2011, 413, 2157–2172. [Google Scholar] [CrossRef]
- Gaur, H.; Gupta, A.C.; Strigachev, A.; Bachev, R.; Semkov, E.; Wiita, P.J.; Boeva, S.P.S.; Slavcheva-Mihova, L.; Mihov, B.; Latev, G.; et al. Optical flux and spectral variability of blazars. Mon. Not. R. Astron. Soc. 2012, 425, 3002–3203. [Google Scholar] [CrossRef]
- Bachev, R.; Semkov, E.; Strigachev, A.; Gupta, A.C.; Gaur, H.; Mihov, B.; Boeva, S.; Slavcheva-Mihova, L. The nature of the intra-night optical variability in blazars. Mon. Not. R. Astron. Soc. 2012, 424, 2625–2634. [Google Scholar] [CrossRef]
- Guo, Y.C.; Hu, S.M.; Li, Y.T.; Chen, X. Statistical analysis of the temporal properties of BL Lacertae. Mon. Not. R. Astron. Soc. 2016, 460, 1790–1800. [Google Scholar] [CrossRef]
- Bhatta, G.; Akitaya, H.; Arkharov, A.A.; Bachev, R.; Benítez, E.; Borman, G.A.; Carosati, D.; Cason, A.D.; Borman, G.A.; Carosati, D.; et al. Discovery of a Highly Polarized Optical Microflare in Blazar S5 0716+714 during the 2014 WEBT Campaign. Astrophys. J. Lett. 2015, 809, 27. [Google Scholar] [CrossRef]
- Bhatta, G.; Stawarz, L.; Ostrowski, M.; Markowitz, A.; Akitaya, H.; Arkharov, A.A.; Bachev, R.; Benítez, E.; Borman, G.A.; Carosati, D.; et al. Multifrequency Photo-polarimetric WEBT Observation Campaign on the Blazar S5 0716+714: Source Microvariability and Search for Characteristic Timescales. Astrophys. J. 2016, 831, 92. [Google Scholar] [CrossRef]
- Bhatta, G. Investigating the Innermost Jet Structures of Blazar S5 0716+714 Using Uniquely Dense Intra-day Photo-polarimetric Observations. Galaxies 2016, 4, 56. [Google Scholar] [CrossRef]
- Carini, M.T.; Walters, R.; Hopper, L. Multicolor Optical Microvariability in S5 0716+714. Astron. J. 2011, 141, 49. [Google Scholar] [CrossRef]
- Wu, J.; Peng, B.; Zhou, X.; Ma, J.; Jiang, Z.; Chen, J. Optical Monitoring of BL Lacertae Object S5 0716+714 with High Temporal Resolution. Astron. J. 2005, 129, 1818. [Google Scholar] [CrossRef]
- Bhatta, G.; Mohorian, M.; Bilinsky, I. Hard X-ray Properties of NuSTAR Blazars. Available online: http://arxiv.org/abs/1710.09910 (accessed on 2 January 2018).
- Wehrle, A.E.; Grupe, D.; Jorstad, S.G.; Wehrle, A.E.; Grupe, D.; Jorstad, S.G. Erratic Flaring of BL Lac in 2012–2013: Multiwavelength Observations. Astrophys. J. 2016, 816, 53. [Google Scholar] [CrossRef]
- Raiteri, C.M.; Villata, M.; D’Ammando, F.; Larionov, V.M.; Gurwell, M.A.; Mirzaqulov, D.O.; Smith, P.S.; Acosta-Pulido, J.A.; Agudo, I.; Arévalo, R.M.J.; et al. The awakening of BL Lacertae: observations by Fermi, Swift and the GASP-WEBT. Mon. Not. R. Astron. Soc. 2013, 436, 1530–1545. [Google Scholar] [CrossRef]
- Raiteri, C.M.; Villata, M.; Bruschini, L.; Capetti, A.; Kurtanidze, O.M.; Larionov, V.M.; Romano, P.; Vercellone, S.; Agudo, I.; Aller, H.D.; et al. Another look at the BL Lacertae flux and spectral variability. Observations by GASP-WEBT, XMM-Newton, and Swift in 2008–2009. Astron. Astrophys. 2010, 524, A43. [Google Scholar] [CrossRef]
- Villata, M.; Raiteri, C.M.; Larionov, V.M.; Nikolashvili, M.G.; Aller, M.F.; Bach, U.; Carosati, D.; Hroch, F.; Ibrahimov, M.A.; Jorstad, S.G.; et al. The correlated optical and radio variability of BL Lacertae. WEBT data analysis 1994–2005. Astron. Astrophys. 2009, 501, 455–460. [Google Scholar] [CrossRef]
- Böttcher, M.; Marscher, A.P.; Ravasio, M.; Villata, M.; Raiteri, C.M.; Aller, H.D.; Aller, M.F.; Teräsranta, H.; Mang, O.; Tagliaferri, G.; et al. Coordinated Multiwavelength Observations of BL Lacertae in 2000. Astrophys. J. 2003, 596, 847. [Google Scholar] [CrossRef]
- Miller, H.R.; Carini, M.T.; Goodrich, B.D. Detection of microvariability for BL Lacertae objects. Nature 1989, 337, 627–629. [Google Scholar] [CrossRef]
- Speziali, R.; Natali, G. BVI microvariability in BL Lacertae during the summer 1997 outburst. Astron. Astrophys. 1998, 339, 382–384. [Google Scholar]
- Massaro, E.; Nesci, R.; Maesano, M.; Montagni, F.; D’Alessio, F. Fast variability of BL Lacertae at 1 mum. Mon. Not. R. Astron. Soc. 1998, 299, 47. [Google Scholar] [CrossRef]
- Nesci, R.; Maesano, M.; Massaro, E.; Montagni, F.; Tosti, G.; Fiorucci, M. Intraday variability of BL Lacertae in the great 1997 outburst. Astron. Astrophys. 1998, 332, L1–L4. [Google Scholar]
- Clements, S.D.; Carini, M.T. Multiband Microvariability Observations of BL Lacertae during the Outburst of 1997. Astron. J. 2001, 121, 90. [Google Scholar] [CrossRef]
- Zhai, M.; Wei, J.Y. Intra-night optical multiband variability of BL Lacertae during the 2011 outburst. Astron. Astrophys. 2012, 538, A125. [Google Scholar] [CrossRef]
- Agarwal, A.; Gupta, A.C. Multiband optical variability studies of BL Lacertae. Mon. Not. R. Astron. Soc. 2015, 450, 541–551. [Google Scholar] [CrossRef]
- Gaur, H.; Gupta, A.C.; Bachev, R.; Strigachev, A.; Semkov, E.; Böttcher, M.; Wiita, P.J.; de Diego, J.A.; Gu, M.F.; Guo, H.; et al. Nature of intranight optical variability of BL Lacertae. Mon. Not. R. Astron. Soc. 2015, 452, 4263–4273. [Google Scholar] [CrossRef]
- Papadakis, I.E.; Boumis, P.; Samaritakis, V.; Papamastorakis, J. Multi-band optical micro-variability observations of BL Lacertae. Astron. Astrophys. 2003, 397, 565–573. [Google Scholar] [CrossRef]
- Villata, M.; Raiteri, C.M.; Aller, H.D.; Aller, M.F.; Teräsranta, H.; Koivula, P.; Wiren, S.; Kurtanidze, O.M.; Nikolashvili, M.G.; Ibrahimov, M.A.; et al. The WEBT campaigns on BL Lacertae. Time and cross-correlation analysis of optical and radio light curves 1968–2003. Astron. Astrophys. 2004, 424, 497–507. [Google Scholar] [CrossRef]
- Cohen, M.H.; Meier, D.L.; Arshakian, T.G.; Clausen-Brown, E.; Homan, D.C.; Hovatta, T.; Kovalev, Y.Y.; Lister, M.L.; Pushkarev, A.B.; Richards, J.L.; et al. Studies of the Jet in Bl Lacertae. II. Superluminal Alfvén Waves. Astrophys. J. 2015, 803, 3. [Google Scholar] [CrossRef]
- Arlen, T.; Aune, T.; Beilicke, M.; Benbow, W.; Bouvier, A.; Buckley, J.H.; Bugaev, V.; Cesarini, A.; Ciupik, L.; Connolly, M.P.; et al. Rapid TeV Gamma-Ray Flaring of BL Lacertae. Astrophys. J. 2013, 762, 92. [Google Scholar] [CrossRef]
- Webb, J. Multi-Frequency Blazar Micro-Variability as a Tool to Investigate Relativistic Jets. Galaxies 2016, 4, 15. [Google Scholar] [CrossRef]
- De Diego, J.A.; Polednikova, J.; Bongiovanni, A.; García, A.M.P.; de Leo, M.A.; Verdugo, T.; Cepa, J. Testing Microvariability in Quasar Differential Light Curves Using Several Field Stars. Astron. J. 2015, 150, 44. [Google Scholar] [CrossRef]
- Bessell, M.S.; Castelli, F.; Plez, B. Model atmospheres broad-band colors, bolometric corrections and temperature calibrations for O-M stars. Astron. Astrophys. 1998, 333, 231–250. [Google Scholar]
- Vaughan, S.; Edelson, R.; Warwick, R.S.; Uttley, P. On characterizing the variability properties of X-ray light curves from active galaxies. Mon. Not. R. Astron. Soc. 2003, 345, 1271–1284. [Google Scholar] [CrossRef]
- Aleksić, J.; Ansoldi, S.; Antonelli, L.A.; Antoranz, P.; Babic, A.; Bangale, P.; de Almeida, U.B.; Barrio, J.A.; González, J.B.; Bednarek, W.; et al. The 2009 multiwavelength campaign on Mrk 421: Variability and correlation studies. Astron. Astrophys. 2015, 576, A126. [Google Scholar] [CrossRef]
- Zhang, Y.-H.; Bian, F.-Y.; Li, J.-Z.; Shang, R.-C. Optical observations of BL Lacertae in 2004–2005. Mon. Not. R. Astron. Soc. 2013, 432, 1189–1195. [Google Scholar] [CrossRef]
- Edelson, R.A.; Krolik, J.H. The discrete correlation function—A new method for analyzing unevenly sampled variability data. Astrophys. J. 1988, 333, 646–659. [Google Scholar] [CrossRef]
- Alexander, T. Improved AGN light curve analysis with the z-transformed discrete correlation function. arXiv, 2013; arXiv:1302.1508. [Google Scholar]
- Abdo, A.A.; Ackermann, M.; Ajello, M.; Antolini, E.; Baldini, L.; Ballet, J.; Barbiellini, G.; Bastieri, D.; Bechtol, K.; Bellazzini, R.; et al. Gamma-ray Light Curves and Variability of Bright Fermi-detected Blazars. Astrophys. J. 2010, 722, 520. [Google Scholar] [CrossRef]
- Simonetti, J.H.; Cordes, J.M.; Heeschen, D.S. Flicker of extragalactic radio sources at two frequencies. Astrophys. J. 1985, 704, L129. [Google Scholar] [CrossRef]
- Hughes, P.A.; Aller, H.D.; Aller, M.F. The University of Michigan radio astronomy data base. I—Structure function analysis and the relation between BL Lacertae objects and quasi-stellar objects. Astrophys. J. 1992, 396, 469–486. [Google Scholar] [CrossRef]
- Lainela, M.; Valtaoja, E. Structure Function Analysis of High Radio Frequency Variability in the Metsaehovi Monitoring Sample of Active Galactic Nuclei. Astrophys. J. 1993, 416, 485. [Google Scholar] [CrossRef]
- Paltani, S.; Courvoisier, T.J.-L.; Blecha, A.; Bratschi, P. Very rapid optical variability of PKS 2155-304. Astron. Astrophys. 1997, 327, 539–549. [Google Scholar]
- Zhang, Y.H. Four Years of Monitoring Blazar PKS 2155-304 with BeppoSAX: Probing the Dynamics of the Jet. Astrophys. J. 2002, 572, 762. [Google Scholar] [CrossRef]
- Emmanoulopoulos, D.; McHardy, I.M.; Uttley, P. On the use of structure functions to study blazar variability: Caveats and problems. Mon. Not. R. Astron. Soc. 2010, 404, 931–946. [Google Scholar] [CrossRef]
- Narayan, R.; Piran, T. Variability in blazars: Clues from PKS 2155-304. Mon. Not. R. Astron. Soc. 2012, 420, 604–612. [Google Scholar] [CrossRef]
- Marscher, A.P. Turbulent, Extreme Multi-zone Model for Simulating Flux and Polarization Variability in Blazars. Astrophys. J. 2014, 780, 87. [Google Scholar] [CrossRef]
- Cohen, M.H.; Meier, D.L.; Arshakian, T.G.; Homan, D.C.; Hovatta, T.; Kovalev, Y.Y.; Lister, M.L.; Pushkarev, A.B.; Richards, J.L.; Savolainen, T. Studies of the Jet in Bl Lacertae. I. Recollimation Shock and Moving Emission Features. Astrophys. J. 2014, 787, 151. [Google Scholar] [CrossRef]
- Abdo, A.A.; Ackermann, M.; Ajello, M.; Antolini, E.; Baldini, L.; Ballet, J.; Barbiellini, G.; Bastieri, D.; Bechtol, K.; Bellazzini, R.; et al. The First Fermi Multifrequency Campaign on BL Lacertae: Characterizing the Low-activity State of the Eponymous Blazar. Astrophys. J. 2011, 730, 101. [Google Scholar] [CrossRef]
- Fuhrmann, L.; Larsson, S.; Chiang, J.; Angelakis, E.; Zensus, J.A.; Nestoras, I.; Krichbaum, T.P.; Ungerechts, H.; Sievers, A.; Pavlidou, V.; et al. Detection of significant cm to sub-mm band radio and γ-ray correlated variability in Fermi bright blazars. Mon. Not. R. Astron. Soc. 2014, 441, 1899–1909. [Google Scholar] [CrossRef]
- Mangalam, A.V.; Wiita, P.J. Accretion disk models for optical and ultraviolet microvariability in active galactic nuclei. Astrophys. J. 1993, 406, 420–429. [Google Scholar] [CrossRef]
- Hardee, P.E.; Rosen, A. On the Dynamics and Structure of Three-dimensional Trans-Alfvénic Jets. Astrophys. J. 1999, 524, 650. [Google Scholar] [CrossRef]
| 1. | |
| 2. | |
| 3. | |
| 4. | For the list of the sources, go to: http://faculty.fiu.edu/~webbj/micro_web.html |
| 5. |







| Date | Band | Mean Mag. | Duration (h) | VA (mag) | F (%) |
|---|---|---|---|---|---|
| 2016-08-07 | R | 13.48 ± 0.002 | 4.3 | 0.08 | 1.47 ± 0.03 |
| 2016-08-12 | V | 13.986 ± 0.003 | 3.8 | 0.13 | 3.70 ± 0.05 |
| 2016-08-12 | R | 13.359 ± 0.002 | 3.8 | 0.11 | 3.37 ± 0.05 |
| 2016-09-30 | V | 14.099 ± 0.018 | 6.2 | 0.08 | 1.61 ± 0.03 |
| 2016-09-30 | I | 12.670 ± 0.003 | 6.2 | 0.07 | 1.35 ± 0.03 |
| 2016-10-05 | V | 13.5640 ± 0.003 | 2.9 | 0.19 | 4.75 ± 0.07 |
| 2016-10-05 | R | 12.970 ± 0.002 | 2.9 | 0.17 | 4.30 ± 0.07 |
| 2016-10-05 | I | 12.193 ± 0.002 | 2.9 | 0.14 | 3.79 ± 0.07 |
© 2018 by the authors. Licensee MDPI, Basel, Switzerland. This article is an open access article distributed under the terms and conditions of the Creative Commons Attribution (CC BY) license (http://creativecommons.org/licenses/by/4.0/).
Share and Cite
Bhatta, G.; Webb, J.R. Microvariability in BL Lacertae: “Zooming” into the Innermost Blazar Regions. Galaxies 2018, 6, 2. https://doi.org/10.3390/galaxies6010002
Bhatta G, Webb JR. Microvariability in BL Lacertae: “Zooming” into the Innermost Blazar Regions. Galaxies. 2018; 6(1):2. https://doi.org/10.3390/galaxies6010002
Chicago/Turabian StyleBhatta, Gopal, and James R. Webb. 2018. "Microvariability in BL Lacertae: “Zooming” into the Innermost Blazar Regions" Galaxies 6, no. 1: 2. https://doi.org/10.3390/galaxies6010002
APA StyleBhatta, G., & Webb, J. R. (2018). Microvariability in BL Lacertae: “Zooming” into the Innermost Blazar Regions. Galaxies, 6(1), 2. https://doi.org/10.3390/galaxies6010002
