A Mass Dependent Density Profile from Dwarfs to Clusters
Abstract
1. Introduction
2. Description of the Semi-Analytic Model
- ◇
- ◇
- ◇
- ◇
- ◇
- ◇
- ⤙
- ⤙
- distinct density profiles details in- ⪧
- ⪧
 
- ⤙
- inner galactic surface-density [110].
- (i)
- Expansion of the diffuse gas and DM proto-structure in the linear phase, reaching a maximum radius before re-collapse of DM, forming a potential well for baryons to fall;
- (ii)
- Formation of stars from baryons radiative clumping in the halo center;
- (iii)
- Four parallel processes then follow;- (a)
- baryon AC increases the DM central cusp, e.g., for galaxies, at , see [27],
- (b)
- baryon-DM dynamical friction (DF) collapses clumps to the galactic center,
- (c)
- (d)
- DF and AC balance, opening the possibility for cusps to heat up, some up to core formation, as in spirals and dwarf spheroidals, while others, like giant galaxies, retains their steeper profile and cusp because of their deeper potential wells;
 
- (iv)
- Tidal torques (ordered AM), and random AM join their similar effects to DF.
- (v)
- Finally, the disruption of the smallest gas clumps, due to their partial conversion to stars, and the supernovae explosions repeated gas expulsion decrease stellar density, resulting in an additional slight core enlargement; see [65].
2.1. Density Profile Generation
2.2. Inclusion of the Baryonic Discs and Clumps Effects
2.2.1. Clump Size Calculation
2.2.2. Clump Life-Time Calculation
- (i)
- , the dimensionless reduced surface density
- (ii)
- , the dimensionless reduced mass and
- (iii)
- , the dimensionless reduced efficiency rate of the star-formation, with simply obtained from the ratio between free-fall time, and the stellar mass depletion time.
2.3. Feedback and Star Formation Procedure
- Gas cooling
- Reionisation
- decreases the baryon fraction, during the epoch , as
- Star formation
- occurs when gas converts into stars, after settling in a disk. Over a given time interval that can be set to , the disc dynamical time, the amount of gas mass converted into stars can be computed aswith , the star formation rate, obtained from the mass of gas measured at a density above the threshold , fixed as in [67] as follows, see [101], for more details:
- SNF
- explosions inject energy into the halo hot gas, following [152]. The computation of this injected energy is prescribed from a Chabrier IMF [153], consisting of- ∴
- , the energy efficiency of disc gas reheating;
- ∴
- , the available mass within stars;
- ∴
- , the number of SN, created from conversion of into SN, per solar mass, and
- ∴
- erg, the typical energy released per SN explosion,
 into the total SN injected energyThis SN released energy into a reheated disk gas and then compared itself with the reheating energy which that same amount of gas should acquire if its injection in the halo should keep its specific energy constant, that is, if the new gas would remain at equilibrium with the halo hot gas. The amount of disk gas the SN and stellar radiation have reheated, , since it is all produced from radiation of stellar origin, is proportional to the stellar massSince the halo hot gas specific energy corresponds to the Virial equilibrium specific kinetic energy , keeping this energy constant under the addition of that reheated gas leads to defining the equilibrium reheating energy asThe comparison with the actual energy of the gas injected from the disk into the halo by SNs gives the threshold (), beyond which gas is expelled, the available energy to expel the reheated gas, and thus the amount of gas ejected from that extra energyContrary to SNF based models such as [67], our mechanism for cusp flattening initiates before the star formation epoch. Since it uses a gravitational energy source, it is thus less limited in available time and energy. Only after DF shapes the core can Stellar and SN feedback occur, which then disrupts gas clouds in the core, similarly to [65].
- AGN feedback
- points to the effects and the formation of a central Super-Massive-Black-Hole (SMBH). Our approach adopts the SMBH mass accretion, and subsequent AGN feedback models of Booth and Schaye [154], modified by the Martizzi et al. [103], Martizzi et al. [155] prescriptions. When the thresholds , and 100 , for stellar density and reduced gas density (), and 3D velocity dispersion, are exceeded, the formation of a seed SMBH occurs and it starts accreting. It has been shown [156] that, above , significant AGN quenching occurs.
2.4. Confirmations of the Semi-Analytic Model’s Robustness
- α
- β
- γ
- δ
- The correct galaxy density profiles were also obtained by the model [27,87] previous to the [25,26] SPH simulations, while that for clusters was predicted in [30], before the results of [69]. Note that these results from the model were obtained with its different dominant mechanism from those of [25,26,69];
- ε
- ζ
3. Outline of the Semi-Analytic Model’s Main Steps
4. The Dekel–Zhao Profile
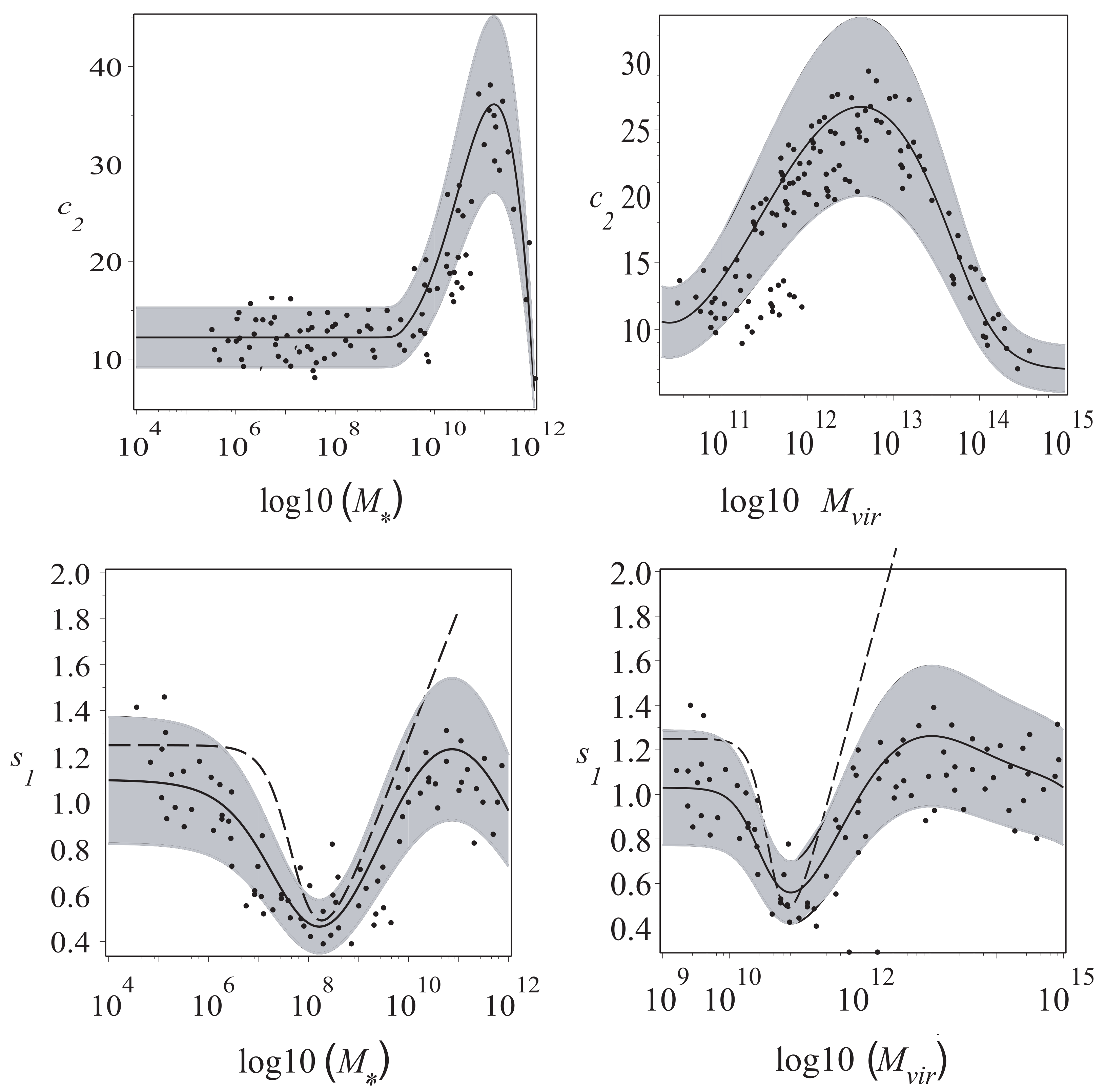
5. The Dekel–Zhao Mass Dependent Profile
- (1)
- (2)
- The virial radius can be obtained using the relationwhere , with . As is well known, the critical density is given by . Using Planck Collaboration et al. [163] parameters, and .
- (3)
- (4)
- (5)
- The scaling parameter is given by the following relations: , , and , where .
- (6)
6. Clusters of Galaxies’ Density Profiles
| MS2137 | |||||||
| A963 | 1 | ||||||
| A383 | |||||||
| A611 | |||||||
| A2537 | |||||||
| A2667 | |||||||
| A2390 | 


7. Conclusions
Author Contributions
Funding
Institutional Review Board Statement
Informed Consent Statement
Data Availability Statement
Acknowledgments
Conflicts of Interest
References
- Ade, P.A.R.; Aghanim, N.; Arnaud, M.; Ashdown, M.; Aumont, J.; Baccigalupi, C.; Banday, A.J.; Barreiro, R.B.; Bartlett, J.G.; Planck Collaboration; et al. Planck 2015 results. XIII. Cosmological parameters. Astron. Astrophys. 2016, 594, A13. [Google Scholar] [CrossRef]
- Bertone, G.; Hooper, D.; Silk, J. Particle dark matter: Evidence, candidates and constraints. Phys. Rep. 2005, 405, 279–390. [Google Scholar] [CrossRef]
- Del Popolo, A. Nonbaryonic Dark Matter in Cosmology. Int. J. Mod. Phys. D 2014, 23, 30005. [Google Scholar] [CrossRef]
- Navarro, J.F.; Frenk, C.S.; White, S.D.M. The Structure of Cold Dark Matter Halos. Astrophys. J. 1996, 462, 563. [Google Scholar] [CrossRef]
- Navarro, J.F.; Frenk, C.S.; White, S.D.M. A Universal Density Profile from Hierarchical Clustering. Astrophys. J. 1997, 490, 493–508. [Google Scholar] [CrossRef]
- Navarro, J.F.; Hayashi, E.; Power, C.; Jenkins, A.R.; Frenk, C.S.; White, S.D.M.; Springel, V.; Stadel, J.; Quinn, T.R. The inner structure of ΛCDM haloes - III. Universality and asymptotic slopes. Mon. Not. R. Astron. Soc. 2004, 349, 1039–1051. [Google Scholar] [CrossRef]
- Navarro, J.F.; Ludlow, A.; Springel, V.; Wang, J.; Vogelsberger, M.; White, S.D.M.; Jenkins, A.; Frenk, C.S.; Helmi, A. The diversity and similarity of simulated cold dark matter haloes. Mon. Not. R. Astron. Soc. 2010, 402, 21–34. [Google Scholar] [CrossRef]
- Gao, L.; Navarro, J.F.; Cole, S.; Frenk, C.S.; White, S.D.M.; Springel, V.; Jenkins, A.; Neto, A.F. The redshift dependence of the structure of massive Λ cold dark matter haloes. Mon. Not. R. Astron. Soc. 2008, 387, 536–544. [Google Scholar] [CrossRef]
- Springel, V.; Wang, J.; Vogelsberger, M.; Ludlow, A.; Jenkins, A.; Helmi, A.; Navarro, J.F.; Frenk, C.S.; White, S.D.M. The Aquarius Project: The subhaloes of galactic haloes. Mon. Not. R. Astron. Soc. 2008, 391, 1685–1711. [Google Scholar] [CrossRef]
- Flores, R.A.; Primack, J.R. Observational and theoretical constraints on singular dark matter halos. Astrophys. J. Lett. 1994, 427, L1–L4. [Google Scholar] [CrossRef]
- Moore, B. Evidence against dissipation-less dark matter from observations of galaxy haloes. Nature 1994, 370, 629–631. [Google Scholar] [CrossRef]
- De Blok, W.J.G.; Walter, F.; Brinks, E.; Trachternach, C.; Oh, S.H.; Kennicutt, R.C., Jr. High-Resolution Rotation Curves and Galaxy Mass Models from THINGS. Astron. J. 2008, 136, 2648–2719. [Google Scholar] [CrossRef]
- De Blok, W.J.G. The Core-Cusp Problem. Adv. Astron. 2010, 2010, 789293. [Google Scholar] [CrossRef]
- Kuzio de Naray, R.; Spekkens, K. Do Baryons Alter the Halos of Low Surface Brightness Galaxies? Astrophys. J. Lett. 2011, 741, L29. [Google Scholar] [CrossRef]
- Oh, S.H.; Hunter, D.A.; Brinks, E.; Elmegreen, B.G.; Schruba, A.; Walter, F.; Rupen, M.P.; Young, L.M.; Simpson, C.E.; Johnson, M.C.; et al. High-resolution Mass Models of Dwarf Galaxies from LITTLE THINGS. Astron. J. 2015, 149, 180. [Google Scholar] [CrossRef]
- Newman, A.B.; Treu, T.; Ellis, R.S.; Sand, D.J.; Nipoti, C.; Richard, J.; Jullo, E. The Density Profiles of Massive, Relaxed Galaxy Clusters. I. The Total Density Over Three Decades in Radius. Astrophys. J. 2013, 765, 24. [Google Scholar] [CrossRef]
- Newman, A.B.; Treu, T.; Ellis, R.S.; Sand, D.J. The Density Profiles of Massive, Relaxed Galaxy Clusters. II. Separating Luminous and Dark Matter in Cluster Cores. Astrophys. J. 2013, 765, 25. [Google Scholar] [CrossRef]
- Adams, J.J.; Simon, J.D.; Fabricius, M.H.; van den Bosch, R.C.E.; Barentine, J.C.; Bender, R.; Gebhardt, K.; Hill, G.J.; Murphy, J.D.; Swaters, R.A.; et al. Dwarf Galaxy Dark Matter Density Profiles Inferred from Stellar and Gas Kinematics. Astrophys. J. 2014, 789, 63. [Google Scholar] [CrossRef]
- Burkert, A. The Structure of Dark Matter Halos in Dwarf Galaxies. Astrophys. J. Lett. 1995, 447, L25. [Google Scholar] [CrossRef]
- De Blok, W.J.G.; Bosma, A.; McGaugh, S. Simulating observations of dark matter dominated galaxies: Towards the optimal halo profile. Mon. Not. R. Astron. Soc. 2003, 340, 657–678. [Google Scholar] [CrossRef]
- Swaters, R.A.; Madore, B.F.; van den Bosch, F.C.; Balcells, M. The Central Mass Distribution in Dwarf and Low Surface Brightness Galaxies. Astrophys. J. 2003, 583, 732–751. [Google Scholar] [CrossRef]
- Kuzio de Naray, R.; Kaufmann, T. Recovering cores and cusps in dark matter haloes using mock velocity field observations. Mon. Not. R. Astron. Soc. 2011, 414, 3617–3626. [Google Scholar] [CrossRef]
- Oh, S.H.; de Blok, W.J.G.; Brinks, E.; Walter, F.; Kennicutt, R.C., Jr. Dark and Luminous Matter in THINGS Dwarf Galaxies. Astron. J. 2011, 141, 193. [Google Scholar] [CrossRef]
- Oh, S.H.; Brook, C.; Governato, F.; Brinks, E.; Mayer, L.; de Blok, W.J.G.; Brooks, A.; Walter, F. The Central Slope of Dark Matter Cores in Dwarf Galaxies: Simulations versus THINGS. Astron. J. 2011, 142, 24. [Google Scholar] [CrossRef]
- Governato, F.; Brook, C.; Mayer, L.; Brooks, A.; Rhee, G.; Wadsley, J.; Jonsson, P.; Willman, B.; Stinson, G.; Quinn, T.; et al. Bulgeless dwarf galaxies and dark matter cores from supernova-driven outflows. Nature 2010, 463, 203–206. [Google Scholar] [CrossRef] [PubMed]
- Governato, F.; Zolotov, A.; Pontzen, A.; Christensen, C.; Oh, S.H.; Brooks, A.M.; Quinn, T.; Shen, S.; Wadsley, J. Cuspy no more: How outflows affect the central dark matter and baryon distribution in Λ cold dark matter galaxies. Mon. Not. R. Astron. Soc. 2012, 422, 1231–1240. [Google Scholar] [CrossRef]
- Del Popolo, A. The Cusp/Core Problem and the Secondary Infall Model. Astrophys. J. 2009, 698, 2093–2113. [Google Scholar] [CrossRef]
- Cardone, V.F.; Del Popolo, A. Newtonian acceleration scales in spiral galaxies. Mon. Not. R. Astron. Soc. 2012, 427, 3176–3187. [Google Scholar] [CrossRef]
- Del Popolo, A. Density profile slopes of dwarf galaxies and their environment. Mon. Not. R. Astron. Soc. 2012, 419, 971–984. [Google Scholar] [CrossRef]
- Del Popolo, A. On the density-profile slope of clusters of galaxies. Mon. Not. R. Astron. Soc. 2012, 424, 38–51. [Google Scholar] [CrossRef]
- Del Popolo, A.; Hiotelis, N. Cusps and cores in the presence of galactic bulges. J. Cosmol. Astropart. Phys. 2014, 1, 47. [Google Scholar] [CrossRef]
- Moore, B.; Quinn, T.; Governato, F.; Stadel, J.; Lake, G. Cold collapse and the core catastrophe. Mon. Not. R. Astron. Soc. 1999, 310, 1147–1152. [Google Scholar] [CrossRef]
- Boylan-Kolchin, M.; Bullock, J.S.; Kaplinghat, M. Too big to fail? The puzzling darkness of massive Milky Way subhaloes. Mon. Not. R. Astron. Soc. 2011, 415, L40–L44. [Google Scholar] [CrossRef]
- Boylan-Kolchin, M.; Bullock, J.S.; Kaplinghat, M. The Milky Way’s bright satellites as an apparent failure of ΛCDM. Mon. Not. R. Astron. Soc. 2012, 422, 1203–1218. [Google Scholar] [CrossRef]
- Sand, D.J.; Treu, T.; Ellis, R.S. The Dark Matter Density Profile of the Lensing Cluster MS 2137-23: A Test of the Cold Dark Matter Paradigm. Astrophys. J. Lett. 2002, 574, L129–L133. [Google Scholar] [CrossRef]
- Sand, D.J.; Treu, T.; Smith, G.P.; Ellis, R.S. The Dark Matter Distribution in the Central Regions of Galaxy Clusters: Implications for Cold Dark Matter. Astrophys. J. 2004, 604, 88–107. [Google Scholar] [CrossRef]
- Colín, P.; Avila-Reese, V.; Valenzuela, O. Substructure and Halo Density Profiles in a Warm Dark Matter Cosmology. Astrophys. J. 2000, 542, 622–630. [Google Scholar] [CrossRef]
- Goodman, J. Repulsive dark matter. New Astron. 2000, 5, 103–107. [Google Scholar] [CrossRef]
- Hu, W.; Barkana, R.; Gruzinov, A. Fuzzy Cold Dark Matter: The Wave Properties of Ultralight Particles. Phys. Rev. Lett. 2000, 85, 1158. [Google Scholar] [CrossRef]
- Kaplinghat, M.; Knox, L.; Turner, M.S. Annihilating Cold Dark Matter. Phys. Rev. Lett. 2000, 85, 3335. [Google Scholar] [CrossRef]
- Peebles, P.J.E. Fluid Dark Matter. Astrophys. J. Lett. 2000, 534, L127–L129. [Google Scholar] [CrossRef] [PubMed]
- Sommer-Larsen, J.; Dolgov, A. Formation of Disk Galaxies: Warm Dark Matter and the Angular Momentum Problem. Astrophys. J. 2001, 551, 608–623. [Google Scholar] [CrossRef]
- Zentner, A.R.; Bullock, J.S. Halo Substructure and the Power Spectrum. Astrophys. J. 2003, 598, 49–72. [Google Scholar] [CrossRef]
- Buchdahl, H.A. Non-linear Lagrangians and cosmological theory. Mon. Not. R. Astron. Soc. 1970, 150, 1. [Google Scholar] [CrossRef]
- Starobinsky, A.A. A new type of isotropic cosmological models without singularity. Phys. Lett. B 1980, 91, 99–102. [Google Scholar] [CrossRef]
- Bengochea, G.R.; Ferraro, R. Dark torsion as the cosmic speed-up. Phys. Rev. D 2009, 79, 124019. [Google Scholar] [CrossRef]
- Linder, E.V. Einstein’s other gravity and the acceleration of the Universe. Phys. Rev. D 2010, 81, 127301. [Google Scholar] [CrossRef]
- Dent, J.B.; Dutta, S.; Saridakis, E.N. f(T) gravity mimicking dynamical dark energy. Background and perturbation analysis. J. Cosmol. Astropart. Phys. 2011, 1, 9. [Google Scholar] [CrossRef]
- Zheng, R.; Huang, Q.G. Growth factor in f(T) gravity. J. Cosmol. Astropart. Phys. 2011, 3, 2. [Google Scholar] [CrossRef]
- Milgrom, M. A modification of the Newtonian dynamics—Implications for galaxies. Astrophys. J. 1983, 270, 371–389. [Google Scholar] [CrossRef]
- Milgrom, M. A modification of the Newtonian dynamics as a possible alternative to the hidden mass hypothesis. Astrophys. J. 1983, 270, 365–370. [Google Scholar] [CrossRef]
- Navarro, J.F.; Eke, V.R.; Frenk, C.S. The cores of dwarf galaxy haloes. Mon. Not. R. Astron. Soc. 1996, 283, L72–L78. [Google Scholar] [CrossRef]
- Gelato, S.; Sommer-Larsen, J. On DDO 154 and cold dark matter halo profiles. Mon. Not. R. Astron. Soc. 1999, 303, 321–328. [Google Scholar] [CrossRef][Green Version]
- Read, J.I.; Gilmore, G. Mass loss from dwarf spheroidal galaxies: The origins of shallow dark matter cores and exponential surface brightness profiles. Mon. Not. R. Astron. Soc. 2005, 356, 107–124. [Google Scholar] [CrossRef]
- Mashchenko, S.; Couchman, H.M.P.; Sills, A. Formation of Minigalaxies in Defunct Cosmological H II Regions. Astrophys. J. 2006, 639, 633–643. [Google Scholar] [CrossRef][Green Version]
- Mashchenko, S.; Wadsley, J.; Couchman, H.M.P. Stellar Feedback in Dwarf Galaxy Formation. Science 2008, 319, 174. [Google Scholar] [CrossRef]
- El-Zant, A.; Shlosman, I.; Hoffman, Y. Dark Halos: The Flattening of the Density Cusp by Dynamical Friction. Astrophys. J. 2001, 560, 636–643. [Google Scholar] [CrossRef]
- El-Zant, A.A.; Hoffman, Y.; Primack, J.; Combes, F.; Shlosman, I. Flat-cored Dark Matter in Cuspy Clusters of Galaxies. Astrophys. J. Lett. 2004, 607, L75–L78. [Google Scholar] [CrossRef]
- Ma, C.P.; Boylan-Kolchin, M. Are Halos of Collisionless Cold Dark Matter Collisionless? Phys. Rev. Lett. 2004, 93, 021301. [Google Scholar] [CrossRef]
- Nipoti, C.; Treu, T.; Ciotti, L.; Stiavelli, M. Galactic cannibalism and cold dark matter density profiles. Mon. Not. R. Astron. Soc. 2004, 355, 1119–1124. [Google Scholar] [CrossRef]
- Romano-Díaz, E.; Shlosman, I.; Hoffman, Y.; Heller, C. Erasing Dark Matter Cusps in Cosmological Galactic Halos with Baryons. Astrophys. J. Lett. 2008, 685, L105–L108. [Google Scholar] [CrossRef]
- Romano-Díaz, E.; Shlosman, I.; Heller, C.; Hoffman, Y. Dissecting Galaxy Formation. I. Comparison Between Pure Dark Matter and Baryonic Models. Astrophys. J. 2009, 702, 1250–1267. [Google Scholar] [CrossRef]
- Cole, D.R.; Dehnen, W.; Wilkinson, M.I. Weakening dark matter cusps by clumpy baryonic infall. Mon. Not. R. Astron. Soc. 2011, 416, 1118–1134. [Google Scholar] [CrossRef]
- Inoue, S.; Saitoh, T.R. Cores and revived cusps of dark matter haloes in disc galaxy formation through clump clusters. Mon. Not. R. Astron. Soc. 2011, 418, 2527–2531. [Google Scholar] [CrossRef]
- Nipoti, C.; Binney, J. Early flattening of dark matter cusps in dwarf spheroidal galaxies. Mon. Not. R. Astron. Soc. 2015, 446, 1820–1828. [Google Scholar] [CrossRef]
- Del Popolo, A. On the universality of density profiles. Mon. Not. R. Astron. Soc. 2010, 408, 1808–1817. [Google Scholar] [CrossRef]
- Di Cintio, A.; Brook, C.B.; Macciò, A.V.; Stinson, G.S.; Knebe, A.; Dutton, A.A.; Wadsley, J. The dependence of dark matter profiles on the stellar-to-halo mass ratio: A prediction for cusps versus cores. Mon. Not. R. Astron. Soc. 2014, 437, 415–423. [Google Scholar] [CrossRef]
- Zolotov, A.; Brooks, A.M.; Willman, B.; Governato, F.; Pontzen, A.; Christensen, C.; Dekel, A.; Quinn, T.; Shen, S.; Wadsley, J. Baryons Matter: Why Luminous Satellite Galaxies have Reduced Central Masses. Astrophys. J. 2012, 761, 71. [Google Scholar] [CrossRef]
- Martizzi, D.; Teyssier, R.; Moore, B. Cusp-core transformations induced by AGN feedback in the progenitors of cluster galaxies. Mon. Not. R. Astron. Soc. 2013, 432, 1947–1954. [Google Scholar] [CrossRef]
- Teyssier, R.; Pontzen, A.; Dubois, Y.; Read, J.I. Cusp-core transformations in dwarf galaxies: Observational predictions. Mon. Not. R. Astron. Soc. 2013, 429, 3068–3078. [Google Scholar] [CrossRef]
- Chan, T.K.; Kereš, D.; Oñorbe, J.; Hopkins, P.F.; Muratov, A.L.; Faucher-Giguère, C.A.; Quataert, E. The impact of baryonic physics on the structure of dark matter haloes: The view from the FIRE cosmological simulations. Mon. Not. R. Astron. Soc. 2015, 454, 2981–3001. [Google Scholar] [CrossRef]
- Tollet, E.; Macciò, A.V.; Dutton, A.A.; Stinson, G.S.; Wang, L.; Penzo, C.; Gutcke, T.A.; Buck, T.; Kang, X.; Brook, C.; et al. NIHAO - IV: Core creation and destruction in dark matter density profiles across cosmic time. Mon. Not. R. Astron. Soc. 2016, 456, 3542–3552. [Google Scholar] [CrossRef]
- Peirani, S.; Dubois, Y.; Volonteri, M.; Devriendt, J.; Bundy, K.; Silk, J.; Pichon, C.; Kaviraj, S.; Gavazzi, R.; Habouzit, M. Density profile of dark matter haloes and galaxies in the HORIZON-AGN simulation: The impact of AGN feedback. Mon. Not. R. Astron. Soc. 2017, 472, 2153–2169. [Google Scholar] [CrossRef]
- Macciò, A.V.; Crespi, S.; Blank, M.; Kang, X. NIHAO-XXIII: Dark Matter density shaped by Black Hole feedback. Mon. Not. R. Astron. Soc. 2020. [Google Scholar] [CrossRef]
- Dutton, A.A.; Macciò, A.V.; Dekel, A.; Wang, L.; Stinson, G.; Obreja, A.; Di Cintio, A.; Brook, C.; Buck, T.; Kang, X. NIHAO IX: The role of gas inflows and outflows in driving the contraction and expansion of cold dark matter haloes. Mon. Not. R. Astron. Soc. 2016, 461, 2658–2675. [Google Scholar] [CrossRef]
- Del Popolo, A.; Le Delliou, M.; Deliyergiyev, M. Cluster density slopes from dark matter-baryons energy transfer. Phys. Dark Univ. 2021, 33, 100847. [Google Scholar] [CrossRef]
- Einasto, J. On the Construction of a Composite Model for the Galaxy and on the Determination of the System of Galactic Parameters. Trudy Astrofizicheskogo Instituta Alma-Ata 1965, 5, 87–100. [Google Scholar]
- Mamon, G.A.; Biviano, A.; Murante, G. The universal distribution of halo interlopers in projected phase space. Bias in galaxy cluster concentration and velocity anisotropy? Astron. Astrophys. 2010, 520, A30. [Google Scholar] [CrossRef]
- Retana-Montenegro, E.; van Hese, E.; Gentile, G.; Baes, M.; Frutos-Alfaro, F. Analytical properties of Einasto dark matter haloes. Astron. Astrophys. 2012, 540, A70. [Google Scholar] [CrossRef]
- An, J.; Zhao, H. Fitting functions for dark matter density profiles. Mon. Not. R. Astron. Soc. 2013, 428, 2805–2811. [Google Scholar] [CrossRef]
- Dekel, A.; Ishai, G.; Dutton, A.A.; Maccio, A.V. Dark-matter halo profiles of a general cusp/core with analytic velocity and potential. Mon. Not. R. Astron. Soc. 2017, 468, 1005–1022. [Google Scholar] [CrossRef]
- Zhao, H. Analytical models for galactic nuclei. Mon. Not. R. Astron. Soc. 1996, 278, 488–496. [Google Scholar] [CrossRef]
- Freundlich, J.; Jiang, F.; Dekel, A.; Cornuault, N.; Ginzburg, O.; Koskas, R.; Lapiner, S.; Dutton, A.; Macciò, A.V. The Dekel-Zhao profile: A mass-dependent dark-matter density profile with flexible inner slope and analytic potential, velocity dispersion, and lensing properties. Mon. Not. R. Astron. Soc. 2020, 499, 2912–2933. [Google Scholar] [CrossRef]
- Lazar, A.; Bullock, J.S.; Boylan-Kolchin, M.; Chan, T.K.; Hopkins, P.F.; Graus, A.S.; Wetzel, A.; El-Badry, K.; Wheeler, C.; Straight, M.C.; et al. A dark matter profile to model diverse feedback-induced core sizes of ΛCDM haloes. Mon. Not. R. Astron. Soc. 2020, 497, 2393–2417. [Google Scholar] [CrossRef]
- Read, J.I.; Agertz, O.; Collins, M.L.M. Dark matter cores all the way down. Mon. Not. R. Astron. Soc. 2016, 459, 2573–2590. [Google Scholar] [CrossRef]
- Di Cintio, A.; Brook, C.B.; Dutton, A.A.; Macciò, A.V.; Stinson, G.S.; Knebe, A. A mass-dependent density profile for dark matter haloes including the influence of galaxy formation. Mon. Not. R. Astron. Soc. 2014, 441, 2986–2995. [Google Scholar] [CrossRef]
- Del Popolo, A.; Kroupa, P. Density profiles of dark matter haloes on galactic and cluster scales. Astron. Astrophys. 2009, 502, 733–747. [Google Scholar] [CrossRef]
- Gunn, J.E.; Gott, J.R., III. On the Infall of Matter Into Clusters of Galaxies and Some Effects on Their Evolution. Astrophys. J. 1972, 176, 1. [Google Scholar] [CrossRef]
- Bertschinger, E. Self-similar secondary infall and accretion in an Einstein-de Sitter universe. Astrophys. J. Suppl. 1985, 58, 39–65. [Google Scholar] [CrossRef]
- Hoffman, Y.; Shaham, J. Local density maxima - Progenitors of structure. Astrophys. J. 1985, 297, 16–22. [Google Scholar] [CrossRef]
- Ryden, B.S.; Gunn, J.E. Galaxy formation by gravitational collapse. Astrophys. J. 1987, 318, 15–31. [Google Scholar] [CrossRef]
- Ascasibar, Y.; Yepes, G.; Gottlöber, S.; Müller, V. On the physical origin of dark matter density profiles. Mon. Not. R. Astron. Soc. 2004, 352, 1109–1120. [Google Scholar] [CrossRef]
- Williams, L.L.R.; Babul, A.; Dalcanton, J.J. Investigating the Origins of Dark Matter Halo Density Profiles. Astrophys. J. 2004, 604, 18–39. [Google Scholar] [CrossRef]
- Ryden, B.S. Galaxy formation—The role of tidal torques and dissipational infall. Astrophys. J. 1988, 329, 589–611. [Google Scholar] [CrossRef]
- Del Popolo, A.; Gambera, M. Substructure effects on the collapse of density perturbations. Astron. Astrophys. 1997, 321, 691–695. [Google Scholar]
- Del Popolo, A.; Gambera, M. Non radial motions and the shapes and the abundance of clusters of galaxies. Astron. Astrophys. 2000, 357, 809–815. [Google Scholar]
- Blumenthal, G.R.; Faber, S.M.; Flores, R.; Primack, J.R. Contraction of dark matter galactic halos due to baryonic infall. Astrophys. J. 1986, 301, 27–34. [Google Scholar] [CrossRef]
- Gnedin, O.Y.; Kravtsov, A.V.; Klypin, A.A.; Nagai, D. Response of Dark Matter Halos to Condensation of Baryons: Cosmological Simulations and Improved Adiabatic Contraction Model. Astrophys. J. 2004, 616, 16–26. [Google Scholar] [CrossRef]
- Klypin, A.; Zhao, H.; Somerville, R.S. ΛCDM-based Models for the Milky Way and M31. I. Dynamical Models. Astrophys. J. 2002, 573, 597–613. [Google Scholar] [CrossRef]
- Gustafsson, M.; Fairbairn, M.; Sommer-Larsen, J. Baryonic pinching of galactic dark matter halos. Phys. Rev. D 2006, 74, 123522. [Google Scholar] [CrossRef]
- De Lucia, G.; Helmi, A. The Galaxy and its stellar halo: Insights on their formation from a hybrid cosmological approach. Mon. Not. R. Astron. Soc. 2008, 391, 14–31. [Google Scholar] [CrossRef]
- Li, Y.S.; De Lucia, G.; Helmi, A. On the nature of the Milky Way satellites. Mon. Not. R. Astron. Soc. 2010, 401, 2036–2052. [Google Scholar] [CrossRef]
- Martizzi, D.; Teyssier, R.; Moore, B.; Wentz, T. The effects of baryon physics, black holes and active galactic nucleus feedback on the mass distribution in clusters of galaxies. Mon. Not. R. Astron. Soc. 2012, 422, 3081–3091. [Google Scholar] [CrossRef]
- Del Popolo, A.; Pace, F.; Lima, J.A.S. Extended Spherical Collapse and the Accelerating Universe. Int. J. Mod. Phy. D 2013, 22, 50038. [Google Scholar] [CrossRef]
- Del Popolo, A.; Pace, F.; Lima, J.A.S. Spherical collapse model with shear and angular momentum in dark energy cosmologies. Mon. Not. R. Astron. Soc. 2013, 430, 628–637. [Google Scholar] [CrossRef]
- Del Popolo, A.; Pace, F.; Maydanyuk, S.P.; Lima, J.A.S.; Jesus, J.F. Shear and rotation in Chaplygin cosmology. Phys. Rev. D 2013, 87, 043527. [Google Scholar] [CrossRef]
- Del Popolo, A.; Pace, F. The Cusp/Core problem: Supernovae feedback versus the baryonic clumps and dynamical friction model. Astrophys. Space Sci. 2016, 361, 162. [Google Scholar] [CrossRef]
- Del Popolo, A. On the dark matter haloes inner structure and galaxy morphology. Astrophys. Space Sci. 2016, 361, 222. [Google Scholar] [CrossRef]
- Del Popolo, A. Non-power law behavior of the radial profile of phase-space density of halos. J. Cosmol. Astropart. Phys. 2011, 7, 14. [Google Scholar] [CrossRef]
- Del Popolo, A.; Cardone, V.F.; Belvedere, G. Surface density of dark matter haloes on galactic and cluster scales. Mon. Not. R. Astron. Soc. 2013, 429, 1080–1087. [Google Scholar] [CrossRef]
- Pontzen, A.; Governato, F. How supernova feedback turns dark matter cusps into cores. Mon. Not. R. Astron. Soc. 2012, 421, 3464–3471. [Google Scholar] [CrossRef]
- Gunn, J.E. Massive galactic halos. I - Formation and evolution. Astrophys. J. 1977, 218, 592–598. [Google Scholar] [CrossRef]
- Fillmore, J.A.; Goldreich, P. Self-similar gravitational collapse in an expanding universe. Astrophys. J. 1984, 281, 1–8. [Google Scholar] [CrossRef]
- Komatsu, E.; Dunkley, J.; Nolta, M.R. Five-Year Wilkinson Microwave Anisotropy Probe Observations: Cosmological Interpretation. Astrophys. J. Suppl. 2009, 180, 330–376. [Google Scholar] [CrossRef]
- Komatsu, E.; Smith, K.M.; Dunkley, J. Seven-year Wilkinson Microwave Anisotropy Probe (WMAP) Observations: Cosmological Interpretation. Astrophys. J. Suppl. 2011, 192, 18. [Google Scholar] [CrossRef]
- Hoyle, F. On the Fragmentation of Gas Clouds Into Galaxies and Stars. Astrophys. J. 1953, 118, 513. [Google Scholar] [CrossRef]
- Peebles, P.J.E. Origin of the Angular Momentum of Galaxies. Astrophys. J. 1969, 155, 393. [Google Scholar] [CrossRef]
- White, S.D.M. Angular momentum growth in protogalaxies. Astrophys. J. 1984, 286, 38–41. [Google Scholar] [CrossRef]
- Eisenstein, D.J.; Loeb, A. An analytical model for the triaxial collapse of cosmological perturbations. Astrophys. J. 1995, 439, 520–541. [Google Scholar] [CrossRef]
- Avila-Reese, V.; Firmani, C.; Hernández, X. On the Formation and Evolution of Disk Galaxies: Cosmological Initial Conditions and the Gravitational Collapse. Astrophys. J. 1998, 505, 37–49. [Google Scholar] [CrossRef]
- Toomre, A. On the gravitational stability of a disk of stars. Astrophys. J. 1964, 139, 1217–1238. [Google Scholar] [CrossRef]
- Binney, J.; Tremaine, S. Galactic dynamics; Princeton University Press: Princeton, NJ, USA, 1987. [Google Scholar]
- Krumholz, M.R.; Dekel, A. Survival of star-forming giant clumps in high-redshift galaxies. Mon. Not. R. Astron. Soc. 2010, 406, 112–120. [Google Scholar] [CrossRef]
- Dekel, A.; Sari, R.; Ceverino, D. Formation of Massive Galaxies at High Redshift: Cold Streams, Clumpy Disks, and Compact Spheroids. Astrophys. J. 2009, 703, 785–801. [Google Scholar] [CrossRef]
- Ceverino, D.; Dekel, A.; Mandelker, N.; Bournaud, F.; Burkert, A.; Genzel, R.; Primack, J. Rotational support of giant clumps in high-z disc galaxies. Mon. Not. R. Astron. Soc. 2012, 420, 3490–3520. [Google Scholar] [CrossRef]
- Del Popolo, A.; Le Delliou, M. A unified solution to the small scale problems of the ΛCDM model II: Introducing parent-satellite interaction. J. Cosmol. Astropart. Phys. 2014, 12, 51. [Google Scholar] [CrossRef]
- Ceverino, D.; Dekel, A.; Bournaud, F. High-redshift clumpy discs and bulges in cosmological simulations. Mon. Not. R. Astron. Soc. 2010, 404, 2151–2169. [Google Scholar] [CrossRef]
- Perez, J.; Valenzuela, O.; Tissera, P.B.; Michel-Dansac, L. Clumpy disc and bulge formation. Mon. Not. R. Astron. Soc. 2013, 436, 259–265. [Google Scholar] [CrossRef]
- Perret, V.; Renaud, F.; Epinat, B.; Amram, P.; Bournaud, F.; Contini, T.; Teyssier, R.; Lambert, J.C. Evolution of the mass, size, and star formation rate in high redshift merging galaxies - MIRAGE—A new sample of simulations with detailed stellar feedback. Astron. Astrophys. 2014, 562, A1. [Google Scholar] [CrossRef]
- Ceverino, D.; Klypin, A.; Klimek, E.; Trujillo-Gomez, S.; Churchill, C.W.; Primack, J. Radiative feedback and the low efficiency of galaxy formation in low-mass haloes at high redshift. Mon. Not. Royal Astron. Soc. 2014, 442, 1545–1559. [Google Scholar] [CrossRef]
- Ceverino, D.; Dekel, A.; Tweed, D.; Primack, J. Early formation of massive, compact, spheroidal galaxies with classical profiles by violent disc instability or mergers. Mon. Not. Royal Astron. Soc. 2015, 447, 3291. [Google Scholar] [CrossRef]
- Bournaud, F.; Perret, V.; Renaud, F.; Dekel, A.; Elmegreen, B.G.; Elmegreen, D.M.; Teyssier, R.; Amram, P.; Daddi, E.; Duc, P.A.; et al. The Long Lives of Giant Clumps and the Birth of Outflows in Gas-rich Galaxies at High Redshift. Astrophys. J. 2014, 780, 57. [Google Scholar] [CrossRef]
- Behrendt, M.; Burkert, A.; Schartmann, M. Clusters of Small Clumps Can Explain the Peculiar Properties of Giant Clumps in High-redshift Galaxies. Astrophys. J. Lett. 2016, 819, L2. [Google Scholar] [CrossRef]
- Elmegreen, D.M.; Elmegreen, B.G.; Hirst, A.C. Discovery of Face-on Counterparts of Chain Galaxies in the Tadpole Advanced Camera for Surveys Field. Astrophys. J. Lett. 2004, 604, L21–L23. [Google Scholar] [CrossRef]
- Elmegreen, D.M.; Elmegreen, B.G.; Marcus, M.T.; Shahinyan, K.; Yau, A.; Petersen, M. Clumpy Galaxies in Goods and Gems: Massive Analogs of Local Dwarf Irregulars. Astrophys. J. 2009, 701, 306–329. [Google Scholar] [CrossRef]
- Genzel, R.; Newman, S.; Jones, T.; Förster Schreiber, N.M.; Shapiro, K.; Genel, S.; Lilly, S.J. The Sins Survey of z ~ 2 Galaxy Kinematics: Properties of the Giant Star-forming Clumps. Astrophys. J. 2011, 733, 101. [Google Scholar] [CrossRef]
- Guo, Y.; Giavalisco, M.; Ferguson, H.C.; Cassata, P.; Koekemoer, A.M. Multi-wavelength View of Kiloparsec-scale Clumps in Star-forming Galaxies at z ~ 2. Astrophys. J. 2012, 757, 120. [Google Scholar] [CrossRef]
- Wuyts, S.; Förster Schreiber, N.M.; Nelson, E.J.; van Dokkum, P.G.; Brammer, G.; Chang, Y.Y.; Faber, S.M.; Ferguson, H.C.; Franx, M.; Fumagalli, M.; et al. A CANDELS-3D-HST synergy: Resolved Star Formation Patterns at 0.7 < z < 1.5. Astrophys. J. 2013, 779, 135. [Google Scholar] [CrossRef]
- Guo, Y.; Ferguson, H.C.; Bell, E.F.; Koo, D.C.; Conselice, C.J.; Giavalisco, M.; Kassin, S.; Lu, Y.; Lucas, R.; Mandelker, N.; et al. Clumpy Galaxies in CANDELS. I. The Definition of UV Clumps and the Fraction of Clumpy Galaxies at 0.5 < z < 3. Astrophys. J. 2015, 800, 39. [Google Scholar] [CrossRef]
- Elmegreen, D.M.; Elmegreen, B.G.; Ravindranath, S.; Coe, D.A. Resolved Galaxies in the Hubble Ultra Deep Field: Star Formation in Disks at High Redshift. Astrophys. J. 2007, 658, 763–777. [Google Scholar] [CrossRef]
- Noguchi, M. Clumpy star-forming regions as the origin of the peculiar morphology of high-redshift galaxies. Nature 1998, 392, 253. [Google Scholar] [CrossRef]
- Noguchi, M. Early Evolution of Disk Galaxies: Formation of Bulges in Clumpy Young Galactic Disks. Astrophys. J. 1999, 514, 77–95. [Google Scholar] [CrossRef]
- Aumer, M.; Burkert, A.; Johansson, P.H.; Genzel, R. The Structure of Gravitationally Unstable Gas-rich Disk Galaxies. Astrophys. J. 2010, 719, 1230–1243. [Google Scholar] [CrossRef]
- Baumgardt, H.; Kroupa, P. A comprehensive set of simulations studying the influence of gas expulsion on star cluster evolution. Mon. Not. R. Astron. Soc. 2007, 380, 1589–1598. [Google Scholar] [CrossRef]
- Krumholz, M.R.; Tan, J.C. Slow Star Formation in Dense Gas: Evidence and Implications. Astrophys. J. 2007, 654, 304–315. [Google Scholar] [CrossRef]
- Elmegreen, B.G.; Bournaud, F.; Elmegreen, D.M. Bulge Formation by the Coalescence of Giant Clumps in Primordial Disk Galaxies. Astrophys. J. 2008, 688, 67–77. [Google Scholar] [CrossRef]
- Elmegreen, B.G.; Elmegreen, D.M.; Sánchez Almeida, J.; Muñoz-Tuñón, C.; Dewberry, J.; Putko, J.; Teich, Y.; Popinchalk, M. Massive Clumps in Local Galaxies: Comparisons with High-redshift Clumps. Astrophys. J. 2013, 774, 86. [Google Scholar] [CrossRef]
- Garland, C.A.; Pisano, D.J.; Mac Low, M.M.; Kreckel, K.; Rabidoux, K.; Guzmán, R. Nearby Clumpy, Gas Rich, Star-forming Galaxies: Local Analogs of High-redshift Clumpy Galaxies. Astrophys. J. 2015, 807, 134. [Google Scholar] [CrossRef]
- Mandelker, N.; Dekel, A.; Ceverino, D.; DeGraf, C.; Guo, Y.; Primack, J. Giant Clumps in Simulated High-z Galaxies: Properties, Evolution and Dependence on Feedback. Mon. Not. Royal Astron. Soc. 2017, 464, 635–665. [Google Scholar] [CrossRef]
- White, S.D.M.; Frenk, C.S. Galaxy formation through hierarchical clustering. Astrophys. J. 1991, 379, 52–79. [Google Scholar] [CrossRef]
- Kravtsov, A.V.; Gnedin, O.Y.; Klypin, A.A. The Tumultuous Lives of Galactic Dwarfs and the Missing Satellites Problem. Astrophys. J. 2004, 609, 482–497. [Google Scholar] [CrossRef]
- Croton, D.J.; Springel, V.; White, S.D.M.; De Lucia, G.; Frenk, C.S.; Gao, L.; Jenkins, A.; Kauffmann, G.; Navarro, J.F.; Yoshida, N. The many lives of active galactic nuclei: Cooling flows, black holes and the luminosities and colours of galaxies. Mon. Not. R. Astron. Soc. 2006, 365, 11–28. [Google Scholar] [CrossRef]
- Chabrier, G. Galactic Stellar and Substellar Initial Mass Function. Publ. Astron. Soc. Pac. 2003, 115, 763–795. [Google Scholar] [CrossRef]
- Booth, C.M.; Schaye, J. Cosmological simulations of the growth of supermassive black holes and feedback from active galactic nuclei: Method and tests. Mon. Not. R. Astron. Soc. 2009, 398, 53–74. [Google Scholar] [CrossRef]
- Martizzi, D.; Teyssier, R.; Moore, B. The formation of the brightest cluster galaxies in cosmological simulations: The case for active galactic nucleus feedback. Mon. Not. R. Astron. Soc. 2012, 420, 2859–2873. [Google Scholar] [CrossRef]
- Cattaneo, A.; Dekel, A.; Devriendt, J.; Guiderdoni, B.; Blaizot, J. Modelling the galaxy bimodality: Shutdown above a critical halo mass. Mon. Not. R. Astron. Soc. 2006, 370, 1651–1665. [Google Scholar] [CrossRef]
- Klypin, A.A.; Trujillo-Gomez, S.; Primack, J. Dark Matter Halos in the Standard Cosmological Model: Results from the Bolshoi Simulation. Astrophys. J. 2011, 740, 102. [Google Scholar] [CrossRef]
- Benson, A.J. G ALACTICUS: A semi-analytic model of galaxy formation. New Astron. 2012, 17, 175–197. [Google Scholar] [CrossRef]
- Wang, L.; Dutton, A.A.; Stinson, G.S.; Macciò, A.V.; Penzo, C.; Kang, X.; Keller, B.W.; Wadsley, J. NIHAO project - I. Reproducing the inefficiency of galaxy formation across cosmic time with a large sample of cosmological hydrodynamical simulations. Mon. Not. R. Astron. Soc. 2015, 454, 83–94. [Google Scholar] [CrossRef]
- Moster, B.P.; Naab, T.; White, S.D.M. Galactic star formation and accretion histories from matching galaxies to dark matter haloes. Mon. Not. R. Astron. Soc. 2013, 428, 3121–3138. [Google Scholar] [CrossRef]
- Behroozi, P.S.; Wechsler, R.H.; Conroy, C. The Average Star Formation Histories of Galaxies in Dark Matter Halos from z = 0-8. Astrophys. J. 2013, 770, 57. [Google Scholar] [CrossRef]
- Behroozi, P.; Wechsler, R.H.; Hearin, A.P.; Conroy, C. UNIVERSEMACHINE: The correlation between galaxy growth and dark matter halo assembly from z = 0–10. Mon. Not. R. Astron. Soc. 2019, 488, 3143–3194. [Google Scholar] [CrossRef]
- Ade, P.A.R.; Aghanim, N.; Armitage-Caplan, C.; Arnaud, M.; Ashdown, M.; Atrio-Barandela, F.; Aumont, J.; Baccigalupi, C.; Banday, A.J.; et al.; Planck Collaboration Planck 2013 results. XVI. Cosmological parameters. Astron. Astrophys. 2014, 571, A16. [Google Scholar] [CrossRef]

| Publisher’s Note: MDPI stays neutral with regard to jurisdictional claims in published maps and institutional affiliations. | 
© 2022 by the authors. Licensee MDPI, Basel, Switzerland. This article is an open access article distributed under the terms and conditions of the Creative Commons Attribution (CC BY) license (https://creativecommons.org/licenses/by/4.0/).
Share and Cite
Del Popolo, A.; Le Delliou, M. A Mass Dependent Density Profile from Dwarfs to Clusters. Galaxies 2022, 10, 69. https://doi.org/10.3390/galaxies10030069
Del Popolo A, Le Delliou M. A Mass Dependent Density Profile from Dwarfs to Clusters. Galaxies. 2022; 10(3):69. https://doi.org/10.3390/galaxies10030069
Chicago/Turabian StyleDel Popolo, Antonino, and Morgan Le Delliou. 2022. "A Mass Dependent Density Profile from Dwarfs to Clusters" Galaxies 10, no. 3: 69. https://doi.org/10.3390/galaxies10030069
APA StyleDel Popolo, A., & Le Delliou, M. (2022). A Mass Dependent Density Profile from Dwarfs to Clusters. Galaxies, 10(3), 69. https://doi.org/10.3390/galaxies10030069
 
         
                                                

 
       