How Does Nerve Mechanical Interface Treatment Impact Pre-Surgical Carpal Tunnel Syndrome Patients? A Randomized Controlled Trial
Abstract
1. Introduction
2. Materials and Methods
2.1. Design
2.2. Participants and Centers
2.3. Intervention
2.3.1. Intervention Group (IG)
2.3.2. Control Group (CG)
2.4. Outcome Measures
2.4.1. Primary Outcome
2.4.2. Secondary Outcome
2.5. Data Analysis
2.5.1. Sample Size Calculation
2.5.2. Statistical Analysis
3. Results
3.1. Between-Group Analyses
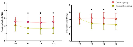
3.1.1. Boston Carpal Tunnel Questionnaire
3.1.2. Secondary Outcomes
3.2. Influence of Sociodemographic Variables
3.3. Patient Satisfaction
4. Discussion
5. Conclusions
Supplementary Materials
Author Contributions
Funding
Institutional Review Board Statement
Informed Consent Statement
Data Availability Statement
Acknowledgments
Conflicts of Interest
References
- Sevy, J.O.; Sina, R.E.; Varacallo, M. Carpal Tunnel Syndrome; StatPearls: Treasure Island, FL, USA, 2023. [Google Scholar]
- García-Gómez, M.; Urbanos-Garrido, R.; Castañeda-López, R.; López-Menduíña, P.; Losada, V. Coste sanitario del asma, cáncer de vejiga, tunel carpiano y otra patología osteoarticular atribuible al trabajo en españa en 2008. Rev. Esp. Salud Publica 2012, 86, 127–138. [Google Scholar] [PubMed]
- Bernstein, D.N.M.; Gruber, J.S.; Merchan, N.; Garcia, J.B.; Harper, C.M.; Rozental, T.D. What Factors Are Associated with Increased Financial Burden and High Financial Worry for Patients Undergoing Common Hand Procedures? Clin. Orthop. Relat. Res. 2020, 479, 1227–1234. [Google Scholar] [CrossRef]
- Gobierno de Aragón. Lista de Espera 2023. Available online: https://leweb.salud.aragon.es/listaespera/estadis.do (accessed on 10 January 2024).
- Fernández-De-Las-Peñas, C.; Arias-Buría, J.L.; A Cleland, J.; A Pareja, J.; Plaza-Manzano, G.; Ortega-Santiago, R. Manual Therapy Versus Surgery for Carpal Tunnel Syndrome: 4-Year Follow-Up from a Randomized Controlled Trial. Phys. Ther. 2020, 100, 1987–1996. [Google Scholar] [CrossRef] [PubMed]
- Fernández-De-Las-Peñas, C.; Ortega-Santiago, R.; Díaz, H.F.-S.; Salom-Moreno, J.; Cleland, J.A.; Pareja, J.A.; Arias-Buría, J.L. Cost-effectiveness evaluation of manual physical therapy versus surgery for carpal tunnel syndrome: Evidence from a randomized clinical trial. J. Orthop. Sports Phys. Ther. 2019, 49, 55–63. [Google Scholar] [CrossRef] [PubMed]
- Lewis, K.J.; Ross, L.; Coppieters, M.W.; Vicenzino, B.; Schmid, A.B. Education, night splinting and exercise versus usual care on recovery and conversion to surgery for people awaiting carpal tunnel surgery: A protocol for a randomised controlled trial. BMJ Open 2016, 6, e012053. [Google Scholar] [CrossRef][Green Version]
- Butler, D.S. Adverse Mechanical Tension in the Nervous System: A Model for Assessment and Treatment. Aust. J. Physiother. 1989, 35, 227–238. [Google Scholar] [CrossRef]
- Veszely, M.; Guissard, N.; Duchateau, J. Contribution à l ’ étude des effets de la fibrolyse diacutanée sur le triceps sural. Ann. Kinésithér 2000, 27, 54–59. [Google Scholar]
- Lucha-López, M.O.; Hidalgo-García, C.; Monti-Ballano, S.; Márquez-Gonzalvo, S.; Krauss, J.; Tricás-Vidal, H.J.; Tricás-Moreno, J.M. Diacutaneous Fibrolysis: An Update on Research into Musculoskeletal and Neural Clinical Entities. Biomedicines 2023, 11, 3122. [Google Scholar] [CrossRef]
- Prat, P.I.; Milan, N.; Huber, J.; Ridehalgh, C. The effectiveness of nerve mechanical interface treatment for entrapment neuropathies in the limbs: A systematic review with metanalysis. Musculoskelet. Sci. Pract. 2024, 69, 102907. [Google Scholar] [CrossRef]
- del Barrio, S.J.; de Miguel, E.E.; Gracia, E.B.; Garay, M.H.; Moreno, J.M.T.; García, C.H. Effects of diacutaneous fibrolysis in patients with mild to moderate symptomatic carpal tunnel syndrome: A randomized controlled trial. Clin. Rehabil. 2018, 32, 1645–1655. [Google Scholar] [CrossRef]
- Jiménez-Del-Barrio, S.; Ceballos-Laita, L.; Bueno-Gracia, E.; Rodríguez-Marco, S.; Caudevilla-Polo, S.; Estébanez-De-Miguel, E. Diacutaneous Fibrolysis Intervention in Patients with Mild to Moderate Carpal Tunnel Syndrome May Avoid Severe Cases in Elderly: A Randomized Controlled Trial. Int. J. Environ. Res. Public Health 2022, 19, 10983. [Google Scholar] [CrossRef] [PubMed]
- Hernández-Secorún, M.; Montaña-Cortés, R.; Hidalgo-García, C.; Rodríguez-Sanz, J.; Corral-De-Toro, J.; Monti-Ballano, S.; Hamam-Alcober, S.; Tricás-Moreno, J.M.; Lucha-López, M.O. Effectiveness of conservative treatment according to severity and systemic disease in Carpal Tunnel Syndrome: A systematic review. Int. J. Environ. Res. Public Health 2021, 18, 2365. [Google Scholar] [CrossRef] [PubMed]
- Hernández-Secorún, M.; Abenia-Benedí, H.; Lucha-López, M.O.; Durán-Serrano, M.; Hamam-Alcober, J.S.; Krauss, J.; Booth-Smith, C.; Hidalgo-García, C. Understanding the Mechanosensitivity of the Median Nerve in Pre-Surgical Carpal Tunnel Syndrome Patients: A Correlational Study. Brain Sci. 2024, 14, 615. [Google Scholar] [CrossRef] [PubMed]
- Bland, M. Producing benchmarks for clinical practice. Prof. Nurse 2000, 15, 767–770. [Google Scholar] [PubMed]
- Oteo-Álvaro, Á.; Marín, M.T.; Matas, J.A.; Vaquero, J. Validación al castellano de la escala Boston Carpal Tunnel Questionnaire. Med. Clin. 2016, 146, 247–253. [Google Scholar] [CrossRef] [PubMed]
- Jensen, M.P.; A Turner, J.; Romano, J.M.; Fisher, L.D. Comparative reliability and validity of chronic pain intensity measures. Pain 1999, 83, 157–162. [Google Scholar] [CrossRef] [PubMed]
- Jerosch-Herold, C.; Shepstone, L.; Miller, L.; Chapman, P. The responsiveness of sensibility and strength tests in patients undergoing carpal tunnel decompression. BMC Musculoskelet. Disord. 2011, 12, 244. [Google Scholar] [CrossRef] [PubMed]
- MacDermid, J.C.; Doherty, T. Clinical and electrodiagnostic testing of Carpal Tunnel Syndrome: A narrative review. J. Orthop. Sports Phys. Ther. 2004, 34, 565–588. [Google Scholar] [CrossRef] [PubMed]
- Trampisch, U.S.; Franke, J.; Jedamzik, N.; Hinrichs, T.; Platen, P. Optimal jamar dynamometer handle position to assess maximal isometric hand grip strength in epidemiological studies. J. Hand Surg. Am. 2012, 37, 2368–2373. [Google Scholar] [CrossRef]
- Shacklock, M. Response to Butler and Coppieters 2007, Letter to the Editor: Clinical neurodynamics—Throwing the baby out with the bath water. Man. Ther. 2009, 14, e1–e2. [Google Scholar] [CrossRef]
- Bueno-Gracia, E.; Tricás-Moreno, J.M.; Fanlo-Mazas, P.; Malo-Urriés, M.; Haddad-Garay, M.; Estébanez-De-Miguel, E.; Hidalgo-García, C.; Krauss, J.R. Validity of the Upper Limb Neurodynamic Test 1 for the diagnosis of Carpal Tunnel Syndrome. The role of structural differentiation. Man. Ther. 2016, 22, 190–195. [Google Scholar] [CrossRef] [PubMed]
- Carla, V.; Laura, C.; Andrew, G.; Filomena, M.; Sergio, P.; Carlotta, V.; Paolo, P. The Upper Limb Neurodynamic Test 1: Intra- and Intertester Reliability and the Effect of Several Repetitions on Pain and Resistance. J. Manip. Physiol. Ther. 2010, 33, 292–299. [Google Scholar] [CrossRef]
- Vanti, C.; Bonfiglioli, R.; Calabrese, M.; Marinelli, F.; Guccione, A.; Violante, F.S.; Pillastrini, P. Upper Limb Neurodynamic Test 1 and symptoms reproduction in carpal tunnel syndrome. A validity study. Man. Ther. 2011, 16, 258–263. [Google Scholar] [CrossRef]
- French, D.J.; France, C.R.; Vigneau, F.; French, J.A.; Evans, T.R. Fear of movement/(re)injury in chronic pain: A psychometric assessment of the original English version of the Tampa scale for kinesiophobia (TSK). Pain 2007, 127, 42–51. [Google Scholar] [CrossRef]
- Eiger, B.; Errebo, M.; Straszek, C.L.; Vaegter, H.B. Less is more: Reliability and measurement error for three versions of the Tampa Scale of Kinesiophobia (TSK-11, TSK-13, and TSK-17) in patients with high-impact chronic pain. Scand. J. Pain 2022, 23, 217–224. [Google Scholar] [CrossRef]
- Guy, W. ECDEU Assessment Manual for Psychopharmacology: Revised; National Institute of Mental Health, US Department of Health, Education, and Welfare: Rockville, MD, USA, 1976. [Google Scholar]
- Jiménez-del-Barrio, S. Efectos del tratamiento fisioterápico mediante Fibrolisis Diacutánea en pacientes con Síndrome del Túnel Carpiano. Ph.D. Thesis, Universidad de Zaragoza, Zaragoza, Spain, 2016. [Google Scholar]
- Pierce, C.A.; Block, R.A.; Aguinis, H. Cautionary Note on Reporting Eta-Squared Values from Multifactor ANOVA Designs. Educ. Psychol. Meas. 2004, 64, 916–924. [Google Scholar] [CrossRef]
- Abásolo, I.; Barber, P.; López-Valcárcel, B.G.; Jiménez, O. Real waiting times for surgery. Proposal for an improved system for their management. Gac. Sanit. 2014, 28, 215–221. [Google Scholar] [CrossRef]
- Masud, M.; Rashid, M.; Malik, S.A.; Khan, M.I.; Sarwar, S.-U. Does the Duration and Severity of Symptoms Have an Impact on Relief of Symptoms after Carpal Tunnel Release? J. Brachial Plex. Peripher. Nerve Inj. 2019, 14, E1–E8. [Google Scholar] [CrossRef] [PubMed]
- Gunay, B.; Alp, A. The effectiveness of carpal bone mobilization accompanied by night splinting in idiopathic carpal tunnel syndrome. Turk J. Phys. Med. Rehabil. 2015, 61, 45–50. [Google Scholar] [CrossRef]
- Shem, K.; Wong, J.; Dirlikov, B. Effective self-stretching of carpal ligament for the treatment of carpal tunnel syndrome: A double-blinded randomized controlled study. J. Hand Ther. 2020, 33, 272–280. [Google Scholar] [CrossRef]
- Talebi, G.A.; Saadat, P.; Javadian, Y.; Taghipour, M. Comparison of two manual therapy techniques in patients with carpal tunnel syndrome: A randomized clinical trial. Casp J. Intern. Med. 2020, 11, 163–170. [Google Scholar] [CrossRef]
- del Barrio, S.J.; Ceballos-Laita, L.; Bueno-Gracia, E.; Rodríguez-Marco, S.; Haddad-Garay, M.; Estébanez-De-Miguel, E. Effects of Diacutaneous Fibrolysis on Mechanosensitivity, Disability, and Nerve Conduction Studies in Mild to Moderate Carpal Tunnel Syndrome: Secondary Analysis of a Randomized Controlled Trial. Phys. Ther. 2021, 101, pzaa222. [Google Scholar] [CrossRef]
- Mamipour, H.; Negahban, H.; Aval, S.B.; Zaferanieh, M.; Moradi, A.; Kachooei, A.R. Effectiveness of physiotherapy plus acupuncture compared with physiotherapy alone on pain, disability and grip strength in people with carpal tunnel syndrome: A randomized clinical trial. J. Bodyw. Mov. Ther. 2023, 35, 378–384. [Google Scholar] [CrossRef]
- Ceylan, İ.; Büyükturan, Ö.; Aykanat, Ö.; Büyükturan, B.; Şaş, S.; Ceylan, M.F. The effectiveness of mobilization with movement on patients with mild and moderate carpal tunnel syndrome: A single-blinded, randomized controlled study. J. Hand Ther. 2023, 36, 773–785. [Google Scholar] [CrossRef]
- Fernández-De-Las-Peñas, C.; Cleland, J.; Palacios-Ceña, M.; Fuensalida-Novo, S.; Pareja, J.A.; Alonso-Blanco, C. The Effectiveness of Manual Therapy Versus Surgery on Self-reported Function, Cervical Range of Motion, and Pinch Grip Force in Carpal Tunnel Syndrome: A Randomized Clinical Trial. J. Orthop. Sports Phys. Ther. 2017, 47, 151–161. [Google Scholar] [CrossRef]
- Gerger, H.; Macri, E.M.; Jackson, J.A.; Elbers, R.G.; van Rijn, R.; Søgaard, K.; Burdorf, A.; Koes, B.; Chiarotto, A. Physical and psychosocial work-related exposures and the incidence of carpal tunnel syndrome: A systematic review of prospective studies. Appl. Ergon. 2024, 117, 104211. [Google Scholar] [CrossRef]
- Marcos, A.; Ballesteros-Yáñez, I.; Castillo-Sarmiento, C.A.; Pardo, F.; Roura-Martínez, D.; Muñoz-Rodríguez, J.R.; Higuera-Matas, A.; Ambrosio, E. The interactions of alcohol and cocaine regulate the expression of genes involved in the GABAergic, glutamatergic and endocannabinoid systems of male and female rats. Neuropharmacology 2022, 206, 108937. [Google Scholar] [CrossRef]
- García, L.M. Dolor Neuropático periférico en neuropatías por atrapamiento: Fisiopatología y manejo de fisioterapia. J. MOVE Ther. Sci. 2023, 5, 474–480. [Google Scholar] [CrossRef]




| Intervention Group (n = 20) | Control Group (n = 22) | p-Value | |
|---|---|---|---|
| Sex; n (%) | 0.721 | ||
| Male | 8 (40%) | 10 (45.50%) | |
| Female | 12 (60%) | 12 (54.50%) | |
| Age (years) | 57.62 ± 8.24 | 60.37 ± 15.80 | 0.479 |
| BMI (Kg·m2) | 31.16 ± 5.93 | 27.56 ± 4.84 | 0.036 |
| Time with symptoms (years) | 4.00 (2.60) | 3.80 (3.00) | 0.563 |
| Severity; n (%) | 0.349 | ||
| Mild | 0 (0%) | 0 (0%) | |
| Moderate | 5 (25%) | 3 (13.60%) | |
| Severe | 15 (75%) | 19 (86.40%) | |
| Bilaterality of symptoms; n (%) | 0.449 | ||
| Yes | 18 (90%) | 18 (81.80%) | |
| No | 2 (10%) | 4 (18.20%) | |
| Patient’s perception of the etiology cause; n (%) | 0.758 | ||
| None | 4 (20%) | 5 (22.70%) | |
| Work | 13 (65%) | 12 (54.50%) | |
| Age | 1 (5%) | 1 (4.50%) | |
| Comorbidities | 1 (5%) | 2 (9.10%) | |
| Other | 2 (10%) | 2 (9.10%) | |
| Presence of comorbidities; n (%) | 0.067 | ||
| Yes | 16 (80%) | 17 (77.30%) | |
| No | 4 (20%) | 5 (22.70%) | |
| Number of comorbidities; n (%) | 0.572 | ||
| None | 5 (25%) | 5 (22.70%) | |
| One | 8 (40%) | 5 (22.70%) | |
| Two or more | 7 (35%) | 12 (54.60%) | |
| Physical activity; n (%) | 0.303 | ||
| 150–300 min/week moderate or 75–150 min/week of vigorous aerobic activity | 6 (30%) | 10 (45.50%) | |
| None | 14 (70%) | 12 (54.50%) | |
| Actual profession; n (%) | 0.366 | ||
| Active | 13 (65%) | 11 (50%) | |
| Inactive | 7 (35%) | 11 (50%) | |
| Work status; n (%) | 0.297 | ||
| Employed | 13 (65%) | 11 (50%) | |
| Off work | 1 (5%) | 2 (9.10%) | |
| Unemployed | 3 (15%) | 1 (4.50%) | |
| Retired | 3 (15%) | 8 (36.40%) | |
| Alcohol consumption; n (%) | 0.846 | ||
| Daily | 3 (15%) | 4 (18.20%) | |
| Weekly | 6 (30%) | 5 (22.70%) | |
| Monthly | 4 (20%) | 3 (13.60%) | |
| No | 7 (35%) | 10 (45.50%) | |
| Tabacco consumption; n (%) | 0.580 | ||
| Yes | 16 (80%) | 19 (86.40%) | |
| No | 4 (20%) | 3 (13.60%) |
| T1—After Treatment | T2—3 Months | T3—6 Months | |||||||||||
|---|---|---|---|---|---|---|---|---|---|---|---|---|---|
| Mean ± SD | F | p-Value | η2 Power | Mean ± SD | F | p-Value | η2 Power | Mean ± SD | F | p-Value | η2 Power | ||
| Boston Carpal Tunnel Questionnaire | |||||||||||||
| Symptom Severity Scale (1–5) | CG | 3.20 ± 0.61 | 22.93 | <0.001 * | 0.37 0.99 | 3.20 ± 0.76 | 11.99 | 0.001 * | 0.24 0.92 | 3.11 ± 0.75 | 13.24 | 0.001 * | 0.25 0.94 |
| IG | 2.45 ± 0.72 | 2.39 ± 0.81 | 2.29 ± 0.71 | ||||||||||
| Function Severity Scale (1–5) | CG | 2.47 ± 0.66 | 9.72 | 0.003 * | 0.20 0.86 | 2.41 ± 0.68 | 7.44 | 0.010 * | 0.16 0.76 | 2.53 ± 0.69 | 8.47 | 0.006 * | 0.23 0.81 |
| IG | 1.67 ± 0.70 | 1.62 ± 0.74 | 1.68 ± 0.70 | ||||||||||
| Pain intensity (0–100) | CG | 48.2 ± 23.4 | 40.39 | <0.001 * | 0.51 0.99 | 54.0 ± 24.2 | 12.63 | 0.001 * | 0.25 0.93 | 56.4 ± 24.6 | 21.56 | <0.001 * | 0.36 0.99 |
| IG | 15.7 ± 11.6 | 28.4 ± 23.5 | 24.0 ± 20.2 | ||||||||||
| Hand mechanical threshold (1.65–6.65) | CG | 3.29 ± 0.54 | 1.82 | 0.186 | 0.04 0.26 | 3.24 ± 0.49 | 4.17 | 0.048 * | 0.10 0.51 | 3.10 ± 0.42 | 3.53 | 0.068 | 0.08 0.45 |
| IG | 3.11 ± 0.80 | 2.96 ± 0.64 | 2.87 ± 0.46 | ||||||||||
| Hand grip strength (Kg) | CG | 20.6 ± 10.0 | 0.054 | 0.817 | 0.01 0.06 | 21.1 ± 10.7 | 0.012 | 0.914 | 0.01 0.05 | 20.3 ± 9.5 | 3.72 | 0.061 | 0.09 0.47 |
| IG | 24.9 ± 10.8 | 24.6 ± 9.3 | 26.7 ± 8.4 | ||||||||||
| ULNT1 (°) | CG | 92.5 ± 7.9 | 91.61 | <0.001 * | 0.70 0.99 | 91.8 ± 7.0 | 34.68 | <0.001 * | 0.47 0.99 | 91.7 ± 3.6 | 44.12 | <0.001 * | 0.53 0.99 |
| IG | 140.4 ± 19.6 | 128.9 ± 24.6 | 125.6 ± 21.2 | ||||||||||
| Tampa Scale (11–44) | CG | 28.5 ± 8.6 | 6.32 | 0.016 * | 0.14 0.69 | 27.0 ± 9.1 | 1.36 | 0.250 | 0.25 0.21 | 27.4 ± 8.0 | 4.39 | 0.043 * | 0.10 0.53 |
| IG | 23.3 ± 6.2 | 23.3 ± 7.0 | 22.4 ± 25.2 | ||||||||||
Disclaimer/Publisher’s Note: The statements, opinions and data contained in all publications are solely those of the individual author(s) and contributor(s) and not of MDPI and/or the editor(s). MDPI and/or the editor(s) disclaim responsibility for any injury to people or property resulting from any ideas, methods, instructions or products referred to in the content. |
© 2024 by the authors. Licensee MDPI, Basel, Switzerland. This article is an open access article distributed under the terms and conditions of the Creative Commons Attribution (CC BY) license (https://creativecommons.org/licenses/by/4.0/).
Share and Cite
Hernández-Secorún, M.; Abenia-Benedí, H.; Lucha-López, M.O.; Durán-Serrano, M.; Hamam-Alcober, J.S.; Krauss, J.; Hidalgo-García, C. How Does Nerve Mechanical Interface Treatment Impact Pre-Surgical Carpal Tunnel Syndrome Patients? A Randomized Controlled Trial. J. Pers. Med. 2024, 14, 801. https://doi.org/10.3390/jpm14080801
Hernández-Secorún M, Abenia-Benedí H, Lucha-López MO, Durán-Serrano M, Hamam-Alcober JS, Krauss J, Hidalgo-García C. How Does Nerve Mechanical Interface Treatment Impact Pre-Surgical Carpal Tunnel Syndrome Patients? A Randomized Controlled Trial. Journal of Personalized Medicine. 2024; 14(8):801. https://doi.org/10.3390/jpm14080801
Chicago/Turabian StyleHernández-Secorún, Mar, Hugo Abenia-Benedí, María Orosia Lucha-López, María Durán-Serrano, Javier Sami Hamam-Alcober, John Krauss, and César Hidalgo-García. 2024. "How Does Nerve Mechanical Interface Treatment Impact Pre-Surgical Carpal Tunnel Syndrome Patients? A Randomized Controlled Trial" Journal of Personalized Medicine 14, no. 8: 801. https://doi.org/10.3390/jpm14080801
APA StyleHernández-Secorún, M., Abenia-Benedí, H., Lucha-López, M. O., Durán-Serrano, M., Hamam-Alcober, J. S., Krauss, J., & Hidalgo-García, C. (2024). How Does Nerve Mechanical Interface Treatment Impact Pre-Surgical Carpal Tunnel Syndrome Patients? A Randomized Controlled Trial. Journal of Personalized Medicine, 14(8), 801. https://doi.org/10.3390/jpm14080801

