The Degree of Stent Apposition Measured by Stent Enhancement at the Level of the Side Branch as a Novel Predictor of Procedural Success in Left Main PCI
Abstract
1. Introduction
2. Methods
2.1. Study Design and Population
2.2. The PCI Procedure
2.3. Data Collection, QCA Analysis and SESBL Measurement
2.4. Study Outcomes
2.5. Statistical Analysis
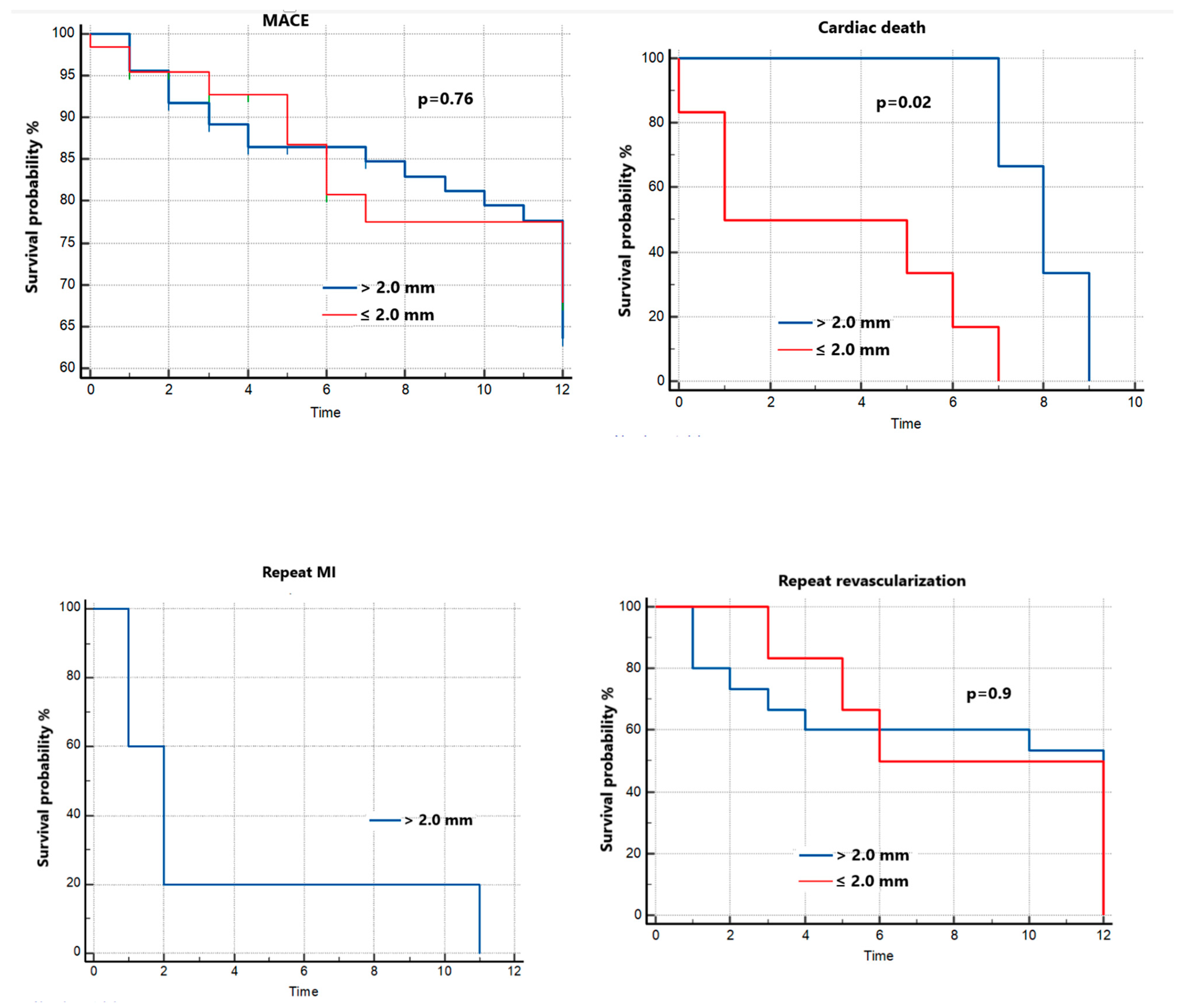
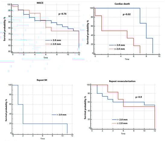
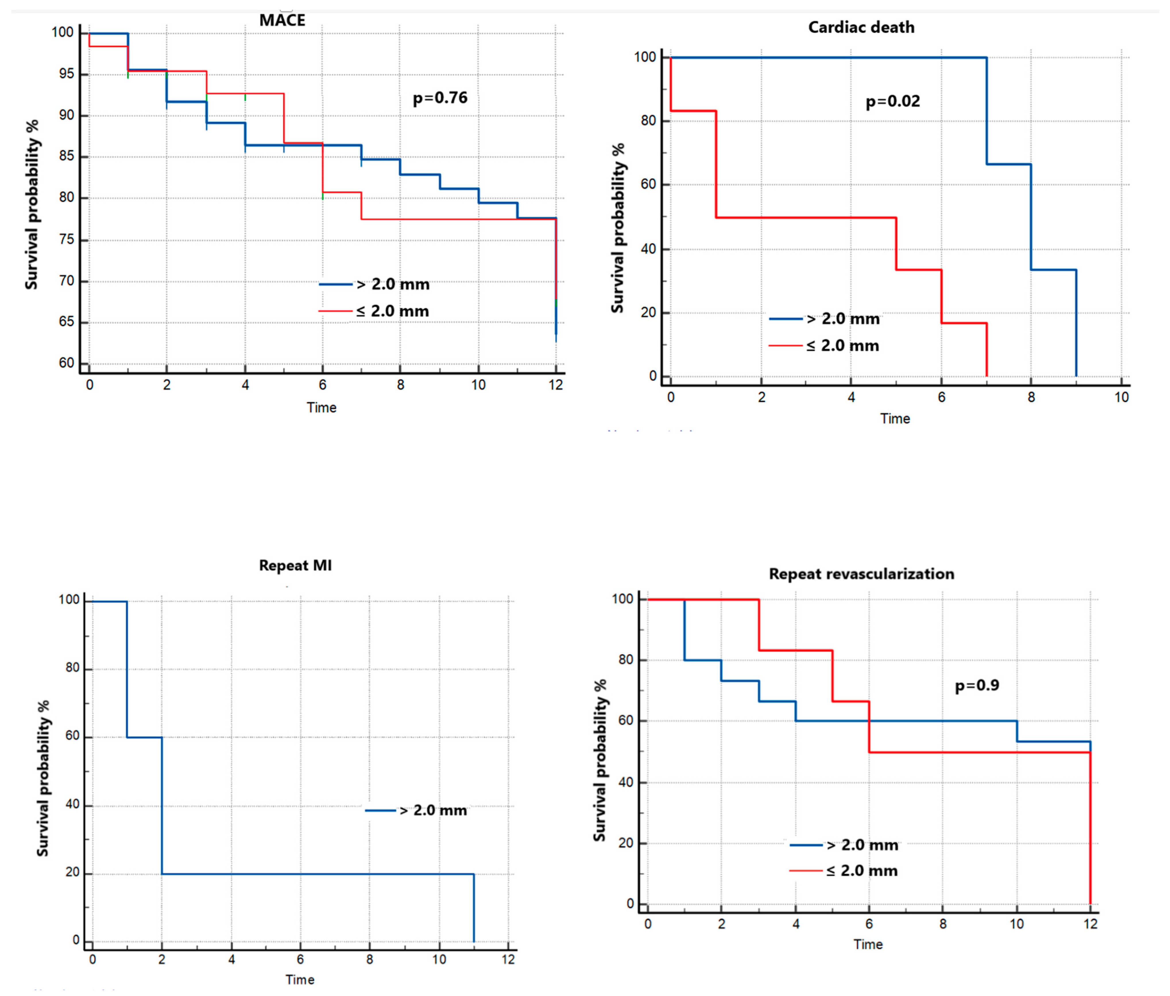
3. Results
4. Discussion
5. Conclusions
Author Contributions
Funding
Institutional Review Board Statement
Informed Consent Statement
Data Availability Statement
Conflicts of Interest
Abbreviations
| PCI | percutaneous coronary intervention |
| LM | left main |
| POT | proximal optimization technique |
| KBI | kissing balloon inflation |
| SESBL | stent enhancement side branch length |
| IVUS | intravascular ultrasound |
| OCT | optical coherence tomography |
| LAD | left anterior descending artery |
| LCX | left circumflex artery |
| FFR | fractional flow reserve |
References
- Burzotta, F.; Lassen, J.F.; Lefèvre, T.; Banning, A.P.; Chatzizisis, Y.S.; Johnson, T.W.; Ferenc, M.; Rathore, S.; Albiero, R.; Pan, M.; et al. Percutaneous coronary intervention for bifurcation coronary lesions: The 15th consensus document from the European Bifurcation Club. EuroIntervention 2021, 16, 1307–1317. [Google Scholar] [CrossRef] [PubMed]
- Lassen, J.F.; Albiero, R.; Johnson, T.W.; Burzotta, F.; Lefèvre, T.; Iles, T.L.; Pan, M.; Banning, A.P.; Chatzizisis, Y.S.; Ferenc, M.; et al. Treatment of coronary bifurcation lesions, part II: Implanting two stents. The 16th expert consensus document of the European Bifurcation Club. EuroIntervention 2022, 18, 457–470. [Google Scholar] [CrossRef] [PubMed]
- Park, S.; Park, S.J.; Park, D.W. Percutaneous Coronary Intervention for Left Main Coronary Artery Disease: Present Status and Future Perspectives. JACC Asia 2022, 2, 119–138. [Google Scholar] [CrossRef] [PubMed]
- Achim, A.; Alampi, C.; Krivoshei, L.; Leibundgut, G. In vitro effect of intravascular lithotripsy on the polymer of a drug-eluting stent. EuroIntervention 2022, 18, e333–e334. [Google Scholar] [CrossRef] [PubMed]
- Cortese, B.; Piraino, D.; Gentile, D.; Onea, H.L.; Lazar, L. Intravascular imaging for left main stem assessment: An update on the most recent clinical data. Catheter. Cardiovasc. Interv. 2022, 100, 1220–1228. [Google Scholar] [CrossRef]
- Di Gioia, G.; Sonck, J.; Ferenc, M.; Chen, S.L.; Colaiori, I.; Gallinoro, E.; Mizukami, T.; Kodeboina, M.; Nagumo, S.; Franco, D.; et al. Clinical Outcomes Following Coronary Bifurcation PCI Techniques: A Systematic Review and Network Meta-Analysis Comprising 5,711 Patients. JACC Cardiovasc. Interv. 2020, 13, 1432–1444. [Google Scholar] [CrossRef]
- Kumsars, I.; Holm, N.R.; Niemelä, M.; Erglis, A.; Kervinen, K.; Christiansen, E.H.; Maeng, M.; Dombrovskis, A.; Abraitis, V.; Kibarskis, A.; et al. Nordic Baltic bifurcation study group. Randomised comparison of provisional side branch stenting versus a two-stent strategy for treatment of true coronary bifurcation lesions involving a large side branch: The Nordic-Baltic Bifurcation Study IV. Open Heart 2020, 7, e000947. [Google Scholar] [CrossRef]
- Hildick-Smith, D.; Egred, M.; Banning, A.; Brunel, P.; Ferenc, M.; Hovasse, T.; Wlodarczak, A.; Pan, M.; Schmitz, T.; Silvestri, M.; et al. The European bifurcation club Left Main Coronary Stent study: A randomized comparison of stepwise provisional vs. systematic dual stenting strategies (EBC MAIN). Eur. Heart J. 2021, 42, 3829–3839. [Google Scholar] [CrossRef]
- Alasnag, M.; Yaqoub, L.; Saati, A.; Al-Shaibi, K. Left Main Coronary Artery Interventions. Interv. Cardiol. 2019, 14, 124–130. [Google Scholar] [CrossRef]
- Toth, G.G.; Achim, A.; Kafka, M.; Wu, X.; Lunardi, M.; Biswas, S.; Shahzad, A.; Thury, A.; Ruzsa, Z.; Johnson, T.W.; et al. Bench test and in vivo evaluation of longitudinal stent deformation during proximal optimisation. EuroIntervention 2022, 18, 83–90. [Google Scholar] [CrossRef]
- Kan, J.; Luo, S.; Wang, D.; Cai, D.; Zhang, X.; Kan, J. Impact of Side Branch Lesion Length on Clinical Outcome after Coronary Stenting Techniques in Patients with Coronary Artery Bifurcation Disease: A Meta-Analysis. Cardiol. Discov. 2022, 2, 157–173. [Google Scholar] [CrossRef]
- Liu, G.; Ke, X.; Huang, Z.B.; Wang, L.C.; Huang, Z.N.; Guo, Y.; Long, M.; Liao, X.X. Final kissing balloon inflation for coronary bifurcation lesions treated with single-stent technique: A meta-analysis. Herz 2019, 44, 354–362. [Google Scholar] [CrossRef]
- Lee, C.H.; Nam, C.W.; Cho, Y.K.; Yoon, H.J.; Kim, K.B.; Gwon, H.C.; Kim, H.S.; Chun, W.J.; Han, S.H.; Rha, S.W.; et al. 5-Year Outcome of Simple Crossover Stenting in Coronary Bifurcation Lesions Compared with Side Branch Opening. JACC Asia 2021, 1, 53–64. [Google Scholar] [CrossRef]
- Niemelä, M.; Kervinen, K.; Erglis, A.; Holm, N.R.; Maeng, M.; Christiansen, E.H.; Kumsars, I.; Jegere, S.; Dombrovskis, A.; Gunnes, P.; et al. Randomized comparison of final kissing balloon dilatation versus no final kissing balloon dilatation in patients with coronary bifurcation lesions treated with main vessel stenting: The Nordic-Baltic Bifurcation Study III. Circulation 2011, 123, 79–86. [Google Scholar] [CrossRef]
- Gaido, L.; D’Ascenzo, F.; Imori, Y.; Wojakowski, W.; Saglietto, A.; Figini, F.; Mattesini, A.; Trabattoni, D.; Rognoni, A.; Tomassini, F.; et al. Impact of Kissing Balloon in Patients Treated with Ultrathin Stents for Left Main Lesions and Bifurcations: An Analysis From the RAIN-CARDIOGROUP VII Study. Circ. Cardiovasc. Interv. 2020, 13, e008325. [Google Scholar] [CrossRef]
- Iannaccone, F.; Chiastra, C.; Karanasos, A.; Migliavacca, F.; Gijsen, F.J.H.; Segers, P.; Mortier, P.; Verhegghe, B.; Dubini, G.; De Beule, M.; et al. Impact of plaque type and side branch geometry on side branch compromise after provisional stent implantation: A simulation study. EuroIntervention 2017, 13, e236–e245. [Google Scholar] [CrossRef]
- Hakim, D.; Chatterjee, A.; Alli, O.; Turner, J.; Sattar, A.; Foin, N.; Leesar, M.A. Role of Proximal Optimization Technique Guided by Intravascular Ultrasound on Stent Expansion, Stent Symmetry Index, and Side-Branch Hemodynamics in Patients with Coronary Bifurcation Lesions. Circ. Cardiovasc. Interv. 2017, 10, e005535. [Google Scholar] [CrossRef]
- Silva, J.D.; Carrillo, X.; Salvatella, N.; Fernandez-Nofrerias, E.; Rodriguez-Leor, O.; Mauri, J.; Bayes-Genis, A. The utility of stent enhancement to guide percutaneous coronary intervention for bifurcation lesions. EuroIntervention 2013, 9, 968–974. [Google Scholar] [CrossRef]
- Steitieh, D.; Sharma, N.; Singh, H.S. How Technology Is Changing Interventional Cardiology. Curr. Cardiovasc. Risk Rep. 2022, 16, 1–10. [Google Scholar] [CrossRef]
- Biscaglia, S.; Tumscitz, C.; Tebaldi, M.; Andrenacci, E.; Pavasini, R.; Campo, G.; Ferrari, R. Enhanced stent visualization systems during PCI: A case series and review of literature. J. Cardiol. Cases. 2015, 12, 1–5. [Google Scholar] [CrossRef]
- Avcı, İ.İ.; Zeren, G.; Sungur, M.A.; Akdeniz, E.; Şimşek, B.; Yılmaz, M.F.; Can, F.; Gürkan, U.; Karagöz, A.; Tanboğa, İ.H.; et al. Enhanced Stent Imaging System Guided Percutaneous Coronary Intervention Is Linked to Optimize Stent Placement. Angiology 2022, 30, 33197221130203. [Google Scholar] [CrossRef] [PubMed]
- Mutha, V.; Asrar Ul Haq, M.; Sharma, N.; den Hartog, W.F.; van Gaal, W.J. Usefulness of enhanced stent visualization imaging technique in simple and complex PCI cases. J. Invasive Cardiol. 2014, 26, 552–557. [Google Scholar] [PubMed]
- Figini, F.; Louvard, Y.; Sheiban, I. Stent Enhancement during Percutaneous Coronary Intervention: Current Role, Technical Tips and Case Examples. Cardiovasc. Revasc. Med. 2020, 21, 137–143. [Google Scholar] [CrossRef] [PubMed]
- Bhasin, D.; Gupta, A.; Arora, G.K.; Isser, H.S. Longitudinal Stent Deformation: Insights Provided by Optical Coherence Tomography. J. Invasive. Cardiol. 2021, 33, E672–E673. [Google Scholar]
- Achim, A.; Krivoshei, L.; Leibundgut, G. Unrecoverable stent deformation in the left main: Crush it or remove it? Catheter Cardiovasc. Interv. 2023, 101, 113–120. [Google Scholar] [CrossRef]
- Bismuth, V.; Vaillant, R.; Funck, F.; Guillard, N.; Najman, L. A comprehensive study of stent visualization enhancement in X-ray images by image processing means. Med. Image Anal. 2011, 15, 565–576. [Google Scholar] [CrossRef]
- Henien, S.; Aronow, H.D.; Abbott, J.D. Quality management in the cardiac catheterization laboratory. J. Thorac. Dis. 2020, 12, 1695–1705. [Google Scholar] [CrossRef]
- Beyar, R.; Davies, J.E.; Cook, C.; Dudek, D.; Cummins, P.A.; Bruining, N. Robotics, imaging, and artificial intelligence in the catheterisation laboratory. EuroIntervention 2021, 17, 537–549. [Google Scholar] [CrossRef]





| Variable | Value |
|---|---|
| General characteristics | |
| Age, years (mean ± SD) | 66.8 ± 9.9 |
| Male gender (n,%) | 115 (71) |
| Arterial hypertension (n,%) | 147 (91.3) |
| Obesity (n,%) | 47 (29.2) |
| Smoking (n,%) | 21 (13.1) |
| Dyslipidemia (n,%) | 137 (85.1) |
| Diabetes (n,%) | 60 (37.3) |
| LVEF, % (mean ± SD) | 49.4 ± 7.6 |
| Preprocedural characteristics | |
| LM bifurcation, n (%) | 162(100%) |
| Provisional 1-stent technique, n (%) | 162 (100%) |
| Only POT, n (%) | 147 (90.7%) |
| Kissing balloon inflation, n (%) | 49 (30.2%) |
| Number of stents implanted, n (%) | 162 |
| Number of stents per patient, n (%) | 1.1 |
| Intracoronary imaging, n (%) | 43 (26.5%) |
| Medina classification, n (%) | |
| 1-1-1 | 84 (51.9%) |
| 1-0-1 | 16 (9.9%) |
| 0-1-1 | 7 (4.3%) |
| 1-0-0 | 8 (4.9%) |
| 1-1-0 | 22 (13.5%) |
| 0-1-0 | 10 (6.2%) |
| 0-0-1 | 15 (9.3%) |
| QCA | |
| Stenosis pre-PCI, % (mean ± SD) | 83.3 ± 10.7 |
| MV reference diameter, mm (mean ± SD) | 4.4 ± 1.3 |
| SB reference diameter, mm (mean ± SD) | 3.1 ± 0.5 |
| SB ostium stenosis > 50%, n (%) | 84 (52%) |
| SB lesion length, mm (mean ± SD) | 5.2 ± 1.8 |
| SESBL length, mm (mean ± SD) | 2.0 ± 1.2 |
| LM area IVUS/OCT, mm2 (median [IQR]) | 4.2 [3.6–5.2] |
| FFR side branch (mean ± SD) | 0.7 ± 0.47 |
| Number of patients with FFR > 0.8 (n, %) | 111 (68.5) |
| Number of patients with SESBL > 2 mm (n, %) | 135 (83.3) |
Disclaimer/Publisher’s Note: The statements, opinions and data contained in all publications are solely those of the individual author(s) and contributor(s) and not of MDPI and/or the editor(s). MDPI and/or the editor(s) disclaim responsibility for any injury to people or property resulting from any ideas, methods, instructions or products referred to in the content. |
© 2023 by the authors. Licensee MDPI, Basel, Switzerland. This article is an open access article distributed under the terms and conditions of the Creative Commons Attribution (CC BY) license (https://creativecommons.org/licenses/by/4.0/).
Share and Cite
Moț, Ș.D.C.; Șerban, A.M.; Dădârlat-Pop, A.; Tomoaia, R.; Pop, D. The Degree of Stent Apposition Measured by Stent Enhancement at the Level of the Side Branch as a Novel Predictor of Procedural Success in Left Main PCI. J. Pers. Med. 2023, 13, 791. https://doi.org/10.3390/jpm13050791
Moț ȘDC, Șerban AM, Dădârlat-Pop A, Tomoaia R, Pop D. The Degree of Stent Apposition Measured by Stent Enhancement at the Level of the Side Branch as a Novel Predictor of Procedural Success in Left Main PCI. Journal of Personalized Medicine. 2023; 13(5):791. https://doi.org/10.3390/jpm13050791
Chicago/Turabian StyleMoț, Ștefan Dan Cezar, Adela Mihaela Șerban, Alexandra Dădârlat-Pop, Raluca Tomoaia, and Dana Pop. 2023. "The Degree of Stent Apposition Measured by Stent Enhancement at the Level of the Side Branch as a Novel Predictor of Procedural Success in Left Main PCI" Journal of Personalized Medicine 13, no. 5: 791. https://doi.org/10.3390/jpm13050791
APA StyleMoț, Ș. D. C., Șerban, A. M., Dădârlat-Pop, A., Tomoaia, R., & Pop, D. (2023). The Degree of Stent Apposition Measured by Stent Enhancement at the Level of the Side Branch as a Novel Predictor of Procedural Success in Left Main PCI. Journal of Personalized Medicine, 13(5), 791. https://doi.org/10.3390/jpm13050791

