Salivary-Based Cell-Free Mitochondrial DNA Level Is an Independent Prognostic Biomarker for Patients with Head and Neck Squamous Cell Carcinoma
Abstract
1. Introduction
2. Materials and Methods
2.1. Study Design and Data Sets
2.2. Saliva Collection
2.3. DNA Extraction and Quantitative PCR Amplification
2.4. Statistical Analysis
3. Results
3.1. General Characteristics of the Study Subjects
3.2. Correlations between Salivary cfDNA and cf-mtDNA with Subject Variables
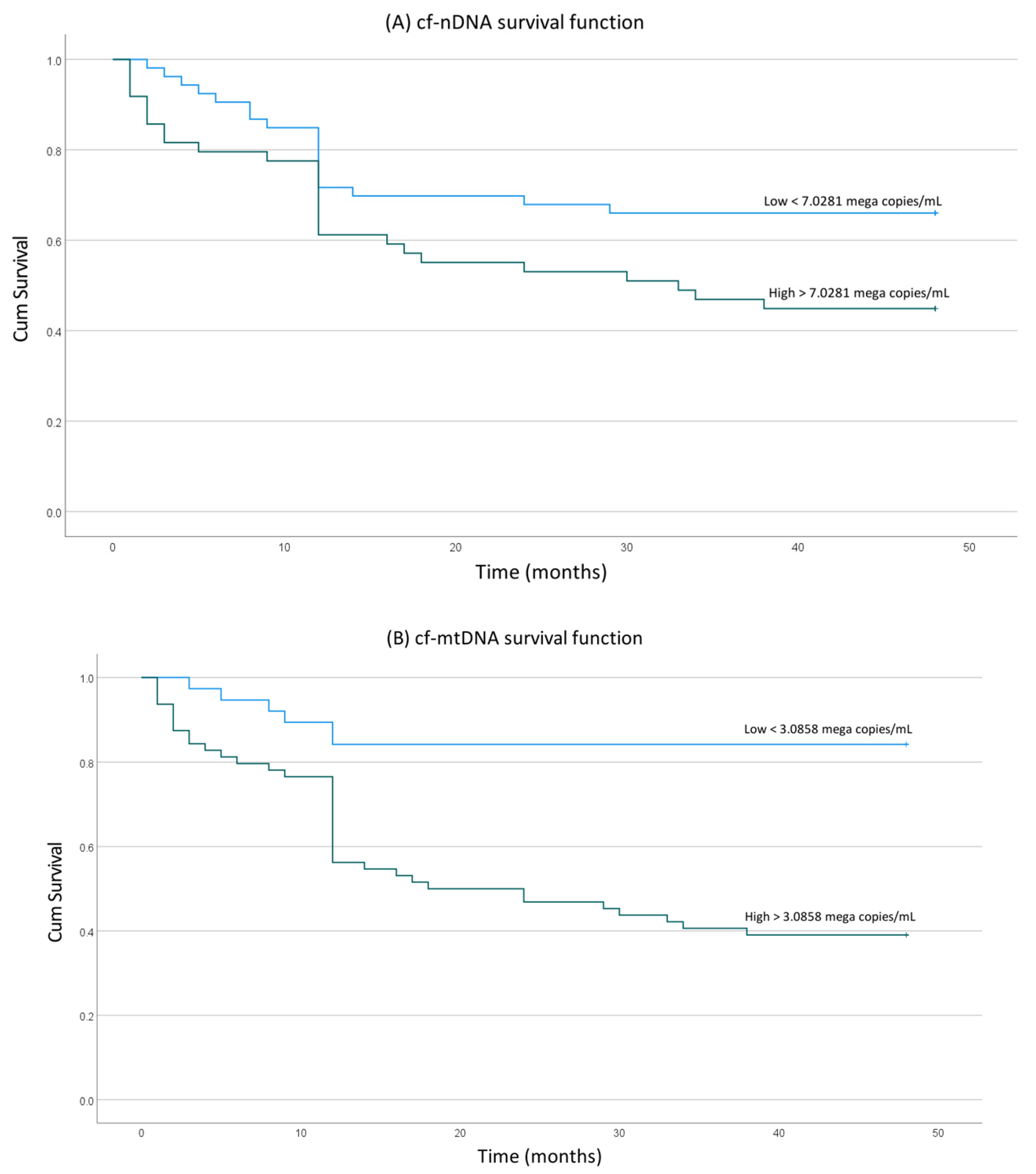
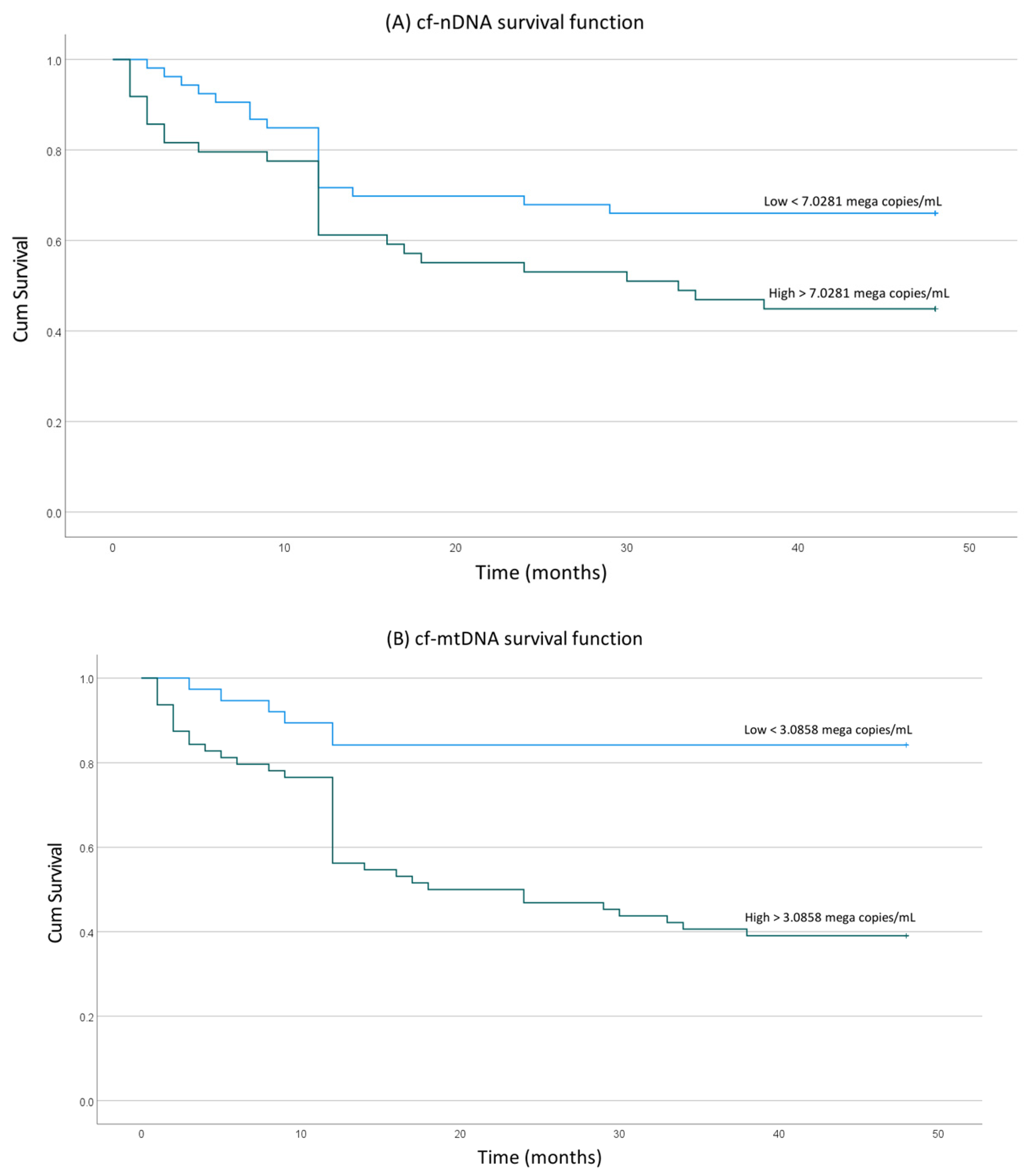
3.3. Prognostic Significance of Salivary-Based cf-nDNA and cf-mtDNA in Patients with HNSCC
4. Discussion
Author Contributions
Funding
Institutional Review Board Statement
Informed Consent Statement
Data Availability Statement
Acknowledgments
Conflicts of Interest
References
- Barnes, L.; Eveson, J.; Reichart, P.; Sidransky, D. Pathology and Genetics of Head and Neck Tumours, International Agency for Research on Cancer (IARC), 3rd ed.; IARC Press: Lyon, France, 2005; Volume 9. [Google Scholar]
- Global Cancer Observatory: Cancer Tomorrow. Available online: https://gco.iarc.fr/tomorrow (accessed on 8 December 2022).
- Funk, G.F.; Karnell, L.H.; Christensen, A.J. Long-term health-related quality of life in survivors of head and neck cancer. Arch. Otolaryngol. Head Neck Surg. 2012, 138, 123–133. [Google Scholar] [CrossRef] [PubMed]
- Osazuwa-Peters, N.; Simpson, M.C.; Zhao, L.; Boakye, E.A.; Olomukoro, S.I.; Deshields, T.; Loux, T.M.; Varvares, M.A.; Schootman, M. Suicide risk among cancer survivors: Head and neck versus other cancers. Cancer 2018, 124, 4072–4079. [Google Scholar] [CrossRef] [PubMed]
- Johnson, D.E.; Burtness, B.; Leemans, C.R.; Lui, V.W.Y.; Bauman, J.E.; Grandis, J.R. Head and neck squamous cell carcinoma. Nat. Rev. Dis. Prim. 2020, 6, 92. [Google Scholar] [CrossRef] [PubMed]
- Bullock, M.J. Current Challenges in the Staging of Oral Cancer. Head Neck Pathol. 2019, 13, 440–448. [Google Scholar] [CrossRef]
- Amin, M.B.; Greene, F.L.; Edge, S.B.; Compton, C.C.; Gershenwald, J.E.; Brookland, R.K.; Meyer, L.; Gress, D.M.; Byrd, D.R.; Winchester, D.P. The Eighth Edition AJCC Cancer Staging Manual: Continuing to build a bridge from a population-based to a more “personalized” approach to cancer staging. CA Cancer J. Clin. 2017, 67, 93–99. [Google Scholar] [CrossRef]
- Liu, S.A.; Wang, C.C.; Jiang, R.S.; Lee, F.Y.; Lin, W.J.; Lin, J.C. Pathological features and their prognostic impacts on oral cavity cancer patients among different subsites—A singe institute’s experience in Taiwan. Sci. Rep. 2017, 7, 7451. [Google Scholar] [CrossRef]
- Belbin, T.J.; Schlecht, N.F.; Smith, R.V.; Adrien, L.R.; Kawachi, N.; Brandwein-Gensler, M.; Bergman, A.; Chen, Q.; Childs, G.; Prystowsky, M.B. Site-specific molecular signatures predict aggressive disease in HNSCC. Head Neck Pathol. 2008, 2, 243–256. [Google Scholar] [CrossRef]
- Frohwitter, G.; Buerger, H.; Korsching, E.; van Diest, P.J.; Kleinheinz, J.; Fillies, T. Site-specific gene expression patterns in oral cancer. Head Face Med. 2017, 13, 6. [Google Scholar] [CrossRef]
- Kujan, O.; Agag, M.; Smaga, M.; Vaishnaw, Y.; Idrees, M.; Shearston, K.; Farah, C.S. PD-1/PD-L1, Treg-related proteins, and tumour-infiltrating lymphocytes are associated with the development of oral squamous cell carcinoma. Pathology 2022, 54, 409–416. [Google Scholar] [CrossRef]
- Idrees, M.; Shearston, K.; Farah, C.S.; Kujan, O. Immunoexpression of oral brush biopsy enhances the accuracy of diagnosis for oral lichen planus and lichenoid lesions. J. Oral Pathol. Med. 2022, 51, 563–572. [Google Scholar] [CrossRef]
- Almangush, A.; Heikkinen, I.; Makitie, A.A.; Coletta, R.D.; Laara, E.; Leivo, I.; Salo, T. Prognostic biomarkers for oral tongue squamous cell carcinoma: A systematic review and meta-analysis. Br. J. Cancer 2017, 117, 856–866. [Google Scholar] [CrossRef]
- Haupts, A.; Vogel, A.; Foersch, S.; Hartmann, M.; Maderer, A.; Wachter, N.; Huber, T.; Kneist, W.; Roth, W.; Lang, H.; et al. Comparative analysis of nuclear and mitochondrial DNA from tissue and liquid biopsies of colorectal cancer patients. Sci. Rep. 2021, 11, 16745. [Google Scholar] [CrossRef]
- Patel, A.; Patel, S.; Patel, P.; Tanavde, V. Saliva Based Liquid Biopsies in Head and Neck Cancer: How Far Are We From the Clinic? Front. Oncol. 2022, 12, 828434. [Google Scholar] [CrossRef]
- Wang, Y.; Springer, S.; Mulvey, C.L.; Silliman, N.; Schaefer, J.; Sausen, M.; James, N.; Rettig, E.M.; Guo, T.; Pickering, C.R.; et al. Detection of somatic mutations and HPV in the saliva and plasma of patients with head and neck squamous cell carcinomas. Sci. Transl. Med. 2015, 7, 293ra104. [Google Scholar] [CrossRef]
- Kananen, L.; Hurme, M.; Jylha, M.; Harkanen, T.; Koskinen, S.; Stenholm, S.; Kahonen, M.; Lehtimaki, T.; Ukkola, O.; Jylhava, J. Circulating cell-free DNA level predicts all-cause mortality independent of other predictors in the Health 2000 survey. Sci. Rep. 2020, 10, 13809. [Google Scholar] [CrossRef]
- Heitzer, E.; Haque, I.S.; Roberts, C.E.S.; Speicher, M.R. Current and future perspectives of liquid biopsies in genomics-driven oncology. Nat. Rev. Genet. 2019, 20, 71–88. [Google Scholar] [CrossRef]
- Sayal, L.; Hamadah, O.; Almasri, A.; Idrees, M.; Thomson, P.; Kujan, O. Saliva-based cell-free DNA and cell-free mitochondrial DNA in head and neck cancers have promising screening and early detection role. J. Oral Pathol. Med. 2023, 52, 29–36. [Google Scholar] [CrossRef]
- Fernandez-Garcia, D.; Hills, A.; Page, K.; Hastings, R.K.; Toghill, B.; Goddard, K.S.; Ion, C.; Ogle, O.; Boydell, A.R.; Gleason, K.; et al. Plasma cell-free DNA (cfDNA) as a predictive and prognostic marker in patients with metastatic breast cancer. Breast Cancer Res. 2019, 21, 149. [Google Scholar] [CrossRef]
- Liu, H.; Gao, Y.; Vafaei, S.; Gu, X.; Zhong, X. The Prognostic Value of Plasma Cell-Free DNA Concentration in the Prostate Cancer: A Systematic Review and Meta-Analysis. Front. Oncol. 2021, 11, 599602. [Google Scholar] [CrossRef]
- Ju, Y.S.; Alexandrov, L.B.; Gerstung, M.; Martincorena, I.; Nik-Zainal, S.; Ramakrishna, M.; Davies, H.R.; Papaemmanuil, E.; Gundem, G.; Shlien, A.; et al. Origins and functional consequences of somatic mitochondrial DNA mutations in human cancer. Elife 2014, 3, e02935. [Google Scholar] [CrossRef]
- Balachander, K.; Paramasivam, A. Cell-free mitochondrial DNA as a novel non-invasive biomarker for oral cancer. Oral Oncol. 2022, 127, 105825. [Google Scholar] [CrossRef] [PubMed]
- Mondal, R.; Ghosh, S.K.; Choudhury, J.H.; Seram, A.; Sinha, K.; Hussain, M.; Laskar, R.S.; Rabha, B.; Dey, P.; Ganguli, S.; et al. Mitochondrial DNA copy number and risk of oral cancer: A report from Northeast India. PLoS ONE 2013, 8, e57771. [Google Scholar] [CrossRef] [PubMed]
- Mehra, N.; Penning, M.; Maas, J.; van Daal, N.; Giles, R.H.; Voest, E.E. Circulating mitochondrial nucleic acids have prognostic value for survival in patients with advanced prostate cancer. Clin. Cancer Res. 2007, 13 Pt 1, 421–426. [Google Scholar] [CrossRef] [PubMed]
- Sauerbrei, W.; Taube, S.E.; McShane, L.M.; Cavenagh, M.M.; Altman, D.G. Reporting Recommendations for Tumor Marker Prognostic Studies (REMARK): An Abridged Explanation and Elaboration. J. Natl. Cancer Inst. 2018, 110, 803–811. [Google Scholar] [CrossRef] [PubMed]
- Idrees, M.; Nassani, M.; Kujan, O. Assessing the association between unstimulated whole salivary flow rate (UWSFR) and oral health status among healthy adult subjects: A cross-sectional study. Med. Oral Patol. Oral Cir. Bucal. 2018, 23, e384–e390. [Google Scholar] [CrossRef]
- Surveillance, Epidemiology, and End Results (SEER) Program-SEER*Stat Database. Available online: www.seer.cancer.gov (accessed on 8 December 2022).
- McGurk, M.; Chan, C.; Jones, J.; O’Regan, E.; Sherriff, M. Delay in diagnosis and its effect on outcome in head and neck cancer. Br. J. Oral Maxillofac. Surg. 2005, 43, 281–284. [Google Scholar] [CrossRef]
- Lin, L.H.; Chang, K.W.; Kao, S.Y.; Cheng, H.W.; Liu, C.J. Increased Plasma Circulating Cell-Free DNA Could Be a Potential Marker for Oral Cancer. Int. J. Mol. Sci. 2018, 19, 3303. [Google Scholar] [CrossRef]
- Ziegler, A.; Zangemeister-Wittke, U.; Stahel, R.A. Circulating DNA: A new diagnostic gold mine? Cancer Treat. Rev. 2002, 28, 255–271. [Google Scholar] [CrossRef]
- Zong, W.X.; Rabinowitz, J.D.; White, E. Mitochondria and Cancer. Mol. Cell 2016, 61, 667–676. [Google Scholar] [CrossRef]
- Li, H.; Tian, Z.; Zhang, Y.; Yang, Q.; Shi, B.; Hou, P.; Ji, M. Increased copy number of mitochondrial DNA predicts poor prognosis of esophageal squamous cell carcinoma. Oncol. Lett. 2018, 15, 1014–1020. [Google Scholar] [CrossRef]
- Dang, S.; Qu, Y.; Wei, J.; Shao, Y.; Yang, Q.; Ji, M.; Shi, B.; Hou, P. Low copy number of mitochondrial DNA (mtDNA) predicts worse prognosis in early-stage laryngeal cancer patients. Diagn. Pathol. 2014, 9, 28. [Google Scholar] [CrossRef]
- Hertweck, K.L.; Dasgupta, S. The Landscape of mtDNA Modifications in Cancer: A Tale of Two Cities. Front. Oncol. 2017, 7, 262. [Google Scholar] [CrossRef]
- Achanta, G.; Sasaki, R.; Feng, L.; Carew, J.S.; Lu, W.; Pelicano, H.; Keating, M.J.; Huang, P. Novel role of p53 in maintaining mitochondrial genetic stability through interaction with DNA Pol gamma. EMBO J. 2005, 24, 3482–3492. [Google Scholar] [CrossRef]
- Lee, H.C.; Yin, P.H.; Lin, J.C.; Wu, C.C.; Chen, C.Y.; Wu, C.W.; Chi, C.W.; Tam, T.N.; Wei, Y.H. Mitochondrial genome instability and mtDNA depletion in human cancers. Ann. N. Y. Acad. Sci. 2005, 1042, 109–122. [Google Scholar] [CrossRef]
- Idrees, M.; Farah, C.S.; Sloan, P.; Kujan, O. Oral brush biopsy using liquid-based cytology is a reliable tool for oral cancer screening: A cost-utility analysis: Oral brush biopsy for oral cancer screening. Cancer Cytopathol. 2022, 130, 740–748. [Google Scholar] [CrossRef]
- Abraham, J.E.; Maranian, M.J.; Spiteri, I.; Russell, R.; Ingle, S.; Luccarini, C.; Earl, H.M.; Pharoah, P.P.; Dunning, A.M.; Caldas, C. Saliva samples are a viable alternative to blood samples as a source of DNA for high throughput genotyping. BMC Med. Genom. 2012, 5, 19. [Google Scholar] [CrossRef]



| Gene | Probes and Sequences of Primers (5′ → 3′) | Amplicon Lengths (bp) |
|---|---|---|
| Human beta-2-microglobulin (M17987) | Forward: GCT GGG TAG CTC TAA ACA ATG TAT TCA | 94 |
| Reverse: CCA TGT ACT AAC AAA TGT CTA AAA TGGT | ||
| Probe: VIC-CAGCAGCCTATTCTGC | ||
| Human mitochondrial (NC-012920) | Forward: CTT CTG GCC ACA GCA CTT AAA C | 65 |
| Reverse: GCT GGT GTT AGG GTT CTT TGTTT | ||
| Probe: FAM-ATCTCTGCCAAACCCC |
| Variables | Deceased n = 43 (45.7%) | Censored n = 51 (53.3%) | Total n = 94 (100%) | p-Value |
|---|---|---|---|---|
| Gender | ||||
| Male, n (%) | 34 (79.1%) | 45 (88.2%) | 79 (84%) | 0.227 |
| Female, n (%) | 9 (20.9%) | 6 (11.8%) | 15 (16%) | |
| Mean age; years (SD) | 60.9 (10.9) | 61.1 (10.1) | 61.5 (10.6) | 0.928 |
| Smoking status | ||||
| Smokers, n (%) | 33 (76.7%) | 38 (74.5%) | 71 (75.5%) | 0.802 |
| Non-smokers, n (%) | 10 (23.3%) | 13 (25.5%) | 23 (24.5%) | |
| Mean duration of smoking; years (SD) | 35.1 (11.8) | 33.2 (12.2) | 34 (12) | 0.489 |
| HNSCC site | ||||
| Oral, n (%) | 19 (44.2%) | 15 (29.4%) | 34 (36.2%) | 0.138 |
| Laryngeal, n (%) | 24 (55.8%) | 36 (70.6%) | 60 (63.8%) | |
| TNM stage | ||||
| Stage I, n (%) | 4 (9.3%) | 8 (15.7%) | 12 (12.8%) | 0.304 |
| Stage II, n (%) | 1 (2.3%) | 1 (2%) | 2 (2.1%) | |
| Stage III, n (%) | 8 (18.6%) | 16 (31.4%) | 24 (25.5%) | |
| Stage IV, n (%) | 30 (69.8%) | 26 (51%) | 56 (59.6%) | |
| Therapy | ||||
| Chemotherapy only, n (%) | 5 (11.6%) | 3 (5.9%) | 8 (8.5%) | 0.568 |
| Radiotherapy only, n (%) | 1 (2.3%) | 3 (5.9%) | 4 (4.3%) | |
| Both *, n (%) | 23 (53.5%) | 31 (60.6%) | 54 (57.4%) | |
| None, n (%) | 14 (32.6%) | 14 (27.5%) | 28 (29.8%) | |
| Saliva-based cf-nDNA median mega copies/mL | 7.2 | 6.01 | 6.8 | 0.047 |
| Saliva-based cf-mtDNA median mega copies/mL | 5.5 | 2.9 | 4.7 | <0.0005 |
| Variables | Hazard Ratio | 95% CI of Hazard Ratio | p-Value |
|---|---|---|---|
| Univariate analysis | |||
| cfDNA copies/mL * | 1.02 | 1.0–1.03 | 0.054 |
| cf-mtDNA copies/mL * | 1.01 | 1.0–1.02 | 0.009 |
| Age * | 0.99 | 0.97–1.03 | 0.76 |
| Gender ^ | 0.68 | 0.34–1.37 | 0.276 |
| HNSCC site ^ | 1.54 | 0.85–2.79 | 0.153 |
| TNM stage ^ | 0.63 | 0.25–1.59 | 0.328 |
| Smoking status ^ | 1.24 | 0.56–2.27 | 0.744 |
| Duration of smoking * | 1.0 | 0.98–1.13 | 0.732 |
| Chemotherapy ^ | 1.17 | 0.63–2.17 | 0.632 |
| Radiotherapy ^ | 1.68 | 0.93–3.02 | 0.086 |
| Multivariate analysis | |||
| cfDNA copies/mL * | 1.02 | 1.0–1.04 | 0.013 |
| Cf-mtDNA copies/mL * | 1.01 | 1.0–1.02 | 0.002 |
| Age * | 0.99 | 0.95–1.03 | 0.691 |
| Gender ^ | 0.66 | 0.29–1.49 | 0.321 |
| HNSCC site ^ | 0.52 | 0.26–1.03 | 0.059 |
| TNM stage ^ | 0.44 | 0.19–0.98 | 0.045 |
| Smoking status ^ | 0.64 | 0.11–3.59 | 0.612 |
| Duration of smoking * | 1.01 | 0.97–1.05 | 0.6 |
| Chemotherapy ^ | 1.71 | 0.69–4.22 | 0.243 |
| Radiotherapy ^ | 0.39 | 0.17–0.93 | 0.063 |
Disclaimer/Publisher’s Note: The statements, opinions and data contained in all publications are solely those of the individual author(s) and contributor(s) and not of MDPI and/or the editor(s). MDPI and/or the editor(s) disclaim responsibility for any injury to people or property resulting from any ideas, methods, instructions or products referred to in the content. |
© 2023 by the authors. Licensee MDPI, Basel, Switzerland. This article is an open access article distributed under the terms and conditions of the Creative Commons Attribution (CC BY) license (https://creativecommons.org/licenses/by/4.0/).
Share and Cite
Sayal, L.; Hamadah, O.; AlMasri, A.; Idrees, M.; Kassem, I.; Habbal, W.; Alsalamah, B.; Kujan, O. Salivary-Based Cell-Free Mitochondrial DNA Level Is an Independent Prognostic Biomarker for Patients with Head and Neck Squamous Cell Carcinoma. J. Pers. Med. 2023, 13, 301. https://doi.org/10.3390/jpm13020301
Sayal L, Hamadah O, AlMasri A, Idrees M, Kassem I, Habbal W, Alsalamah B, Kujan O. Salivary-Based Cell-Free Mitochondrial DNA Level Is an Independent Prognostic Biomarker for Patients with Head and Neck Squamous Cell Carcinoma. Journal of Personalized Medicine. 2023; 13(2):301. https://doi.org/10.3390/jpm13020301
Chicago/Turabian StyleSayal, Lana, Omar Hamadah, Aroub AlMasri, Majdy Idrees, Issam Kassem, Wafa Habbal, Buthainah Alsalamah, and Omar Kujan. 2023. "Salivary-Based Cell-Free Mitochondrial DNA Level Is an Independent Prognostic Biomarker for Patients with Head and Neck Squamous Cell Carcinoma" Journal of Personalized Medicine 13, no. 2: 301. https://doi.org/10.3390/jpm13020301
APA StyleSayal, L., Hamadah, O., AlMasri, A., Idrees, M., Kassem, I., Habbal, W., Alsalamah, B., & Kujan, O. (2023). Salivary-Based Cell-Free Mitochondrial DNA Level Is an Independent Prognostic Biomarker for Patients with Head and Neck Squamous Cell Carcinoma. Journal of Personalized Medicine, 13(2), 301. https://doi.org/10.3390/jpm13020301

