Female Human Papillomavirus Infection Associated with Increased Risk of Ectopic Pregnancy: Early Evidence from Taiwan Population-Based Cohort Study
Abstract
:1. Introduction
2. Materials and Methods
2.1. Data Source
2.2. Study Population
2.3. Main Outcome and Co-Morbidities
2.4. Statistical Analysis
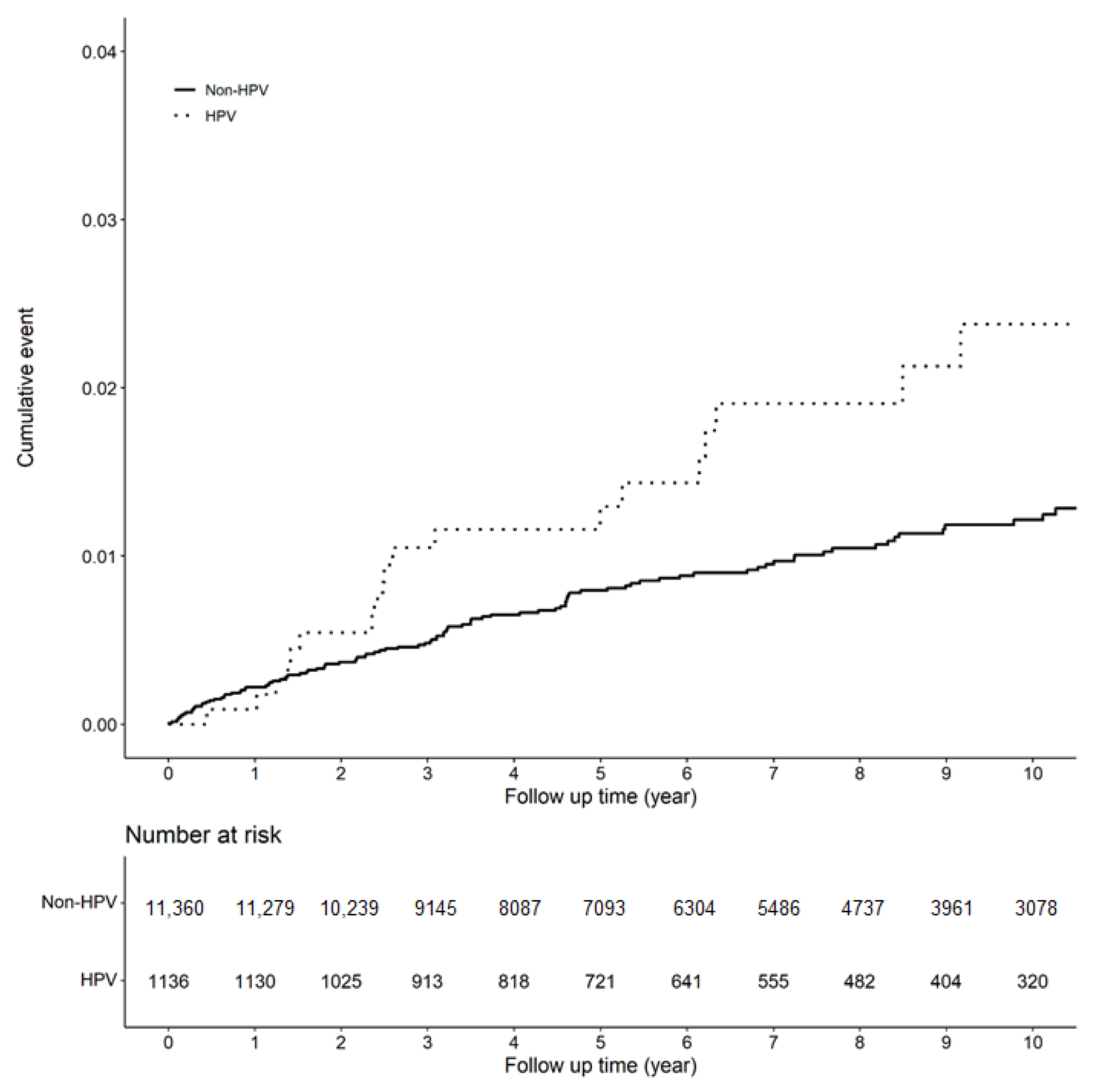
3. Results
4. Discussion
4.1. Principle Findings
4.2. Clinical Implications
4.3. Research Implications
4.4. Strengths and Limitations
5. Conclusions
Author Contributions
Funding
Institutional Review Board Statement
Informed Consent Statement
Data Availability Statement
Acknowledgments
Conflicts of Interest
References
- Marion, L.L.; Meeks, G.R. Ectopic Pregnancy. Clin. Obstet. Gynecol. 2012, 55, 376–386. [Google Scholar] [CrossRef] [PubMed]
- Bouyer, J.; Coste, J.; Fernandez, H.; Pouly, J.; Job-Spira, N. Sites of ectopic pregnancy: A 10 year population-based study of 1800 cases. Hum. Reprod. 2002, 17, 3224–3230. [Google Scholar] [CrossRef] [PubMed] [Green Version]
- Kutluay, L.; Vicdan, K.; Turan, C.; Batioǧlu, S.; Oǧuz, S.; Gökmen, O. Tubal histopathology in ectopic pregnancies. Eur. J. Obstet. Gynecol. Reprod. Biol. 1994, 57, 91–94. [Google Scholar] [CrossRef]
- Kamwendo, F.; Forslin, L.; Bodin, L.; Danielsson, D. Epidemiology of ectopic pregnancy during a 28 year period and the role of pelvic inflammatory disease. Sex. Transm. Infect. 2000, 76, 28–32. [Google Scholar] [CrossRef] [PubMed] [Green Version]
- Barnhart, K.T. Ectopic Pregnancy. N. Engl. J. Med. 2009, 361, 379–387. [Google Scholar] [CrossRef]
- Hwang, A.; Chou, L.; Islam, M.M.; Li, Y.-C.; Syed-Abdul, S. Risk factors for ectopic pregnancy in the Taiwanese population: A retrospective observational study. Arch. Gynecol. Obstet. 2016, 294, 779–783. [Google Scholar] [CrossRef]
- Li, C.; Zhao, W.-H.; Zhu, Q.; Cao, S.-J.; Ping, H.; Xi, X.; Qin, G.-J.; Yan, M.-X.; Zhang, D.; Qiu, J.; et al. Risk factors for ectopic pregnancy: A multi-center case-control study. BMC Pregnancy Childbirth 2015, 15, 1–9. [Google Scholar] [CrossRef] [Green Version]
- -Ashshi, A.M.; Batwa, S.A.; Kutbi, S.Y.; Malibary, F.A.; Batwa, M.; Refaat, B. Prevalence of 7 sexually transmitted organisms by multiplex real-time PCR in Fallopian tube specimens collected from Saudi women with and without ectopic pregnancy. BMC Infect. Dis. 2015, 15, 1–11. [Google Scholar] [CrossRef] [Green Version]
- -Ville, Y.; Leruez, M.; Glowaczower, E.; Robertson, J.N.; Ward, M.E. The role of Chlamydia trachomatis and Neisseria gonorrhoeae in the aetiology of ectopic pregnancy in Gabon. BJOG Int. J. Obstet. Gynaecol. 1991, 98, 1260–1266. [Google Scholar] [CrossRef]
- -Dunne, E.F.; Park, I.U. HPV and HPV-associated diseases. Infect. Dis. Clin. N. Am. 2013, 27, 765–778. [Google Scholar] [CrossRef]
- Weinstock, H.; Berman, S.; Cates, W., Jr. Sexually transmitted diseases among American youth: Incidence and prevalence estimates, 2000. Perspect. Sex. Reprod. Health 2004, 36, 6–10. [Google Scholar] [CrossRef] [PubMed]
- Garland, S.M.; Steben, M.; Sings, H.L.; James, M.; Lu, S.; Railkar, R.; Barr, E.; Haupt, R.M.; Joura, E.A. Natural History of Genital Warts: Analysis of the Placebo Arm of 2 Randomized Phase III Trials of a Quadrivalent Human Papillomavirus (Types 6, 11, 16, and 18) Vaccine. J. Infect. Dis. 2009, 199, 805–814. [Google Scholar] [CrossRef] [PubMed]
- Schiffman, M.H.; Bauer, H.M.; Hoover, R.N.; Glass, A.G.; Cadell, D.M.; Rush, B.B.; Scott, D.R.; Sherman, M.E.; Kurman, R.J.; Wacholder, S.; et al. Epidemiologic Evidence Showing That Human Papillomavirus Infection Causes Most Cervical Intraepithelial Neoplasia. JNCI: J. Natl. Cancer Inst. 1993, 85, 958–964. [Google Scholar] [CrossRef] [PubMed] [Green Version]
- Kaufman, R.H.; Adam, E.; Icenogle, J.; Lawson, H.; Lee, N.; Reeves, K.; Irwin, J.; Simon, T.; Press, M.; Uhler, R.; et al. Relevance of human papillomavirus screening in management of cervical intraepithelial neoplasia. Am. J. Obstet. Gynecol. 1997, 176, 87–92. [Google Scholar] [CrossRef]
- Gupta, J.; Pilotti, S.; Rilke, F.; Shah, K. Association of human papillomavirus type 16 with neoplastic lesions of the vulva and other genital sites by in situ hybridization. Am. J. Pathol. 1987, 127, 206–215. [Google Scholar]
- Bosch, F.X.; Broker, T.R.; Forman, D.; Moscicki, A.-B.; Gillison, M.L.; Doorbar, J.; Stern, P.L.; Stanley, M.; Arbyn, M.; Poljak, M.; et al. Comprehensive Control of Human Papillomavirus Infections and Related Diseases. Vaccine 2013, 31, H1–H31. [Google Scholar] [CrossRef] [Green Version]
- Schiffman, M.; Castle, P.E.; Jeronimo, J.; Rodriguez, A.C.; Wacholder, S. Human papillomavirus and cervical cancer. Lancet 2007, 370, 890–907. [Google Scholar] [CrossRef]
- Skapinyecz, J.; Smid, I.; Horváth, A.; Jeney, C.; Kardos, L.; Kovács, P. Pelvic inflammatory disease is a risk factor for cervical cancer. Eur. J. Gynaecol. Oncol. 2003, 24, 401–404. [Google Scholar]
- Bouyer, J.; Coste, J.; Shojaei, T.; Pouly, J.-L.; Fernandez, H.; Gerbaud, L.; Job-Spira, N. Risk Factors for Ectopic Pregnancy: A Comprehensive Analysis Based on a Large Case-Control, Population-based Study in France. Am. J. Epidemiol. 2003, 157, 185–194. [Google Scholar] [CrossRef]
- Boccardo, E.; Lepique, A.P.; Villa, L.L. The role of inflammation in HPV carcinogenesis. Carcinogenesis 2010, 31, 1905–1912. [Google Scholar] [CrossRef] [Green Version]
- Kontula, O.; Haavio-Mannila, E. The Impact of Aging on Human Sexual Activity and Sexual Desire. J. Sex Res. 2009, 46, 46–56. [Google Scholar] [CrossRef] [PubMed]
- Gray, E.; McDonald, P. Using a Reproductive Life Course Approach to Understand Contraceptive Method use in Australia. J. Biosoc. Sci. 2010, 42, 43–57. [Google Scholar] [CrossRef]
- Stanley, M.; Pett, M.; Coleman, N. HPV: From infection to cancer. Biochem. Soc. Trans. 2007, 35, 1456–1460. [Google Scholar] [CrossRef] [PubMed] [Green Version]
- Steinbach, A.; Riemer, A.B. Immune evasion mechanisms of human papillomavirus: An update. Int. J. Cancer 2018, 142, 224–229. [Google Scholar] [CrossRef] [PubMed] [Green Version]
- Woodman, C.B.J.; Collins, S.I.; Young, L. The natural history of cervical HPV infection: Unresolved issues. Nat. Cancer 2007, 7, 11–22. [Google Scholar] [CrossRef] [PubMed]
- De Seta, F.; Banco, R.; Turrisi, A.; Airoud, M.; De Leo, R.; Stabile, G.; Ceccarello, M.; Restaino, S. Pelvic inflammatory disease (PID) from Chlamydia trachomatis versus PID from Neisseria gonorrhea: From clinical suspicion to therapy. G. Ital. Dermatol. Venereol. 2012, 147, 423–430. [Google Scholar]
- Qi, H.; Liu, X.; Gu, M. Chlamydia trachomatis and Ureaplasma urealyticum infection in patients with tubal pregnancy. Zhonghua Fu Chan Ke Za Zhi 1997, 32, 93–96. [Google Scholar]
- Taylor, B.D.; Darville, T.; Haggerty, C. Does Bacterial Vaginosis Cause Pelvic Inflammatory Disease? Sex. Transm. Dis. 2013, 40, 117–122. [Google Scholar] [CrossRef]
- Hsing, A.W.; Ioannidis, J.P.A. Nationwide Population Science. JAMA Intern. Med. 2015, 175, 1527–1529. [Google Scholar] [CrossRef]

| Non HPV | HPV | ||||
|---|---|---|---|---|---|
| n = (11,360) | n = (1136) | ||||
| Variable | n | % | n | % | p-Value |
| Age, year | 0.803 | ||||
| 15–25 | 829 | 7.30% | 82 | 7.22% | |
| 26–35 | 4705 | 41.42% | 482 | 42.43% | |
| 36–45 | 5826 | 51.29% | 572 | 50.35% | |
| mean, (SD) | 34.89 | (6.46) | 34.82 | (6.31) | 0.727 |
| Comorbidities | |||||
| Endometriosis | 870 | 7.66% | 89 | 7.83% | 0.832 |
| PCOS | 337 | 2.97% | 38 | 3.35% | 0.476 |
| Benign neoplasm of ovary | 1478 | 13.01% | 148 | 13.03% | 0.987 |
| PID | 344 | 3.03% | 36 | 3.17% | 0.792 |
| Miscarriage | 30 | 0.26% | 6 | 0.53% | 0.113 |
| Uterine leiomyoma | 1538 | 13.54% | 151 | 13.29% | 0.817 |
| Myomectomy | 406 | 3.57% | 37 | 3.26% | 0.582 |
| Caesarean section | 55 | 0.48% | 8 | 0.70% | 0.318 |
| IUD | 3 | 0.03% | 1 | 0.09% | 0.268 |
| Variables | Ectopic Pregnancy | ||||||||
|---|---|---|---|---|---|---|---|---|---|
| n | PY | IR | Crude HR (95%CI) | p-Value | Adjusted HR † (95%CI) | p-Value | |||
| HPV | |||||||||
| No | 105 | 79,157 | 1.33 | 1.00 | (reference) | - | 1.00 | (reference) | - |
| Yes | 19 | 8006 | 2.37 | 1.79 | (1.10, 2.92) | 0.019 | 1.70 | (1.04, 2.78) | 0.033 |
| Age | |||||||||
| 15–25 | 13 | 4984 | 2.61 | 1.00 | (reference) | - | 1.00 | (reference) | - |
| 26–35 | 86 | 35,961 | 2.39 | 0.94 | (0.53, 1.69) | 0.842 | 0.85 | (0.47, 1.53) | 0.593 |
| 36–45 | 25 | 46,218 | 0.54 | 0.21 | (0.11, 0.42) | <0.001 | 0.17 | (0.09, 0.35) | <0.001 |
| Comorbidities | |||||||||
| Endometriosis | |||||||||
| No | 112 | 81,052 | 1.38 | 1.00 | (reference) | - | 1.00 | (reference) | - |
| Yes | 12 | 6111 | 1.96 | 1.38 | (0.76, 2.51) | 0.287 | 1.27 | (0.67, 2.41) | 0.461 |
| PCOS | |||||||||
| No | 118 | 85,443 | 1.38 | 1.00 | (reference) | - | 1.00 | (reference) | - |
| Yes | 6 | 1720 | 3.49 | 2.27 | (1.00, 5.17) | 0.051 | 1.49 | (0.64, 3.42) | 0.353 |
| Benign neoplasm of ovary | |||||||||
| No | 96 | 76,244 | 1.26 | 1.00 | (reference) | - | 1.00 | (reference) | - |
| Yes | 28 | 10,919 | 2.56 | 2.00 | (1.31, 3.05) | 0.001 | 1.65 | (1.06, 2.56) | 0.025 |
| PID | |||||||||
| No | 117 | 84,746 | 1.38 | 1.00 | (reference) | - | 1.00 | (reference) | - |
| Yes | 7 | 2418 | 2.90 | 2.07 | (0.96, 4.43) | 0.062 | 2.37 | (1.10, 5.12) | 0.028 |
| Miscarriage | |||||||||
| No | 123 | 87,024 | 1.41 | 1.00 | (reference) | - | 1.00 | (reference) | - |
| Yes | 1 | 139 | 7.18 | 4.38 | (0.61, 31.4) | 0.141 | 4.07 | (0.56, 29.4) | 0.165 |
| Uterine leiomyoma | |||||||||
| No | 105 | 75,710 | 1.39 | 1.00 | (reference) | - | 1.00 | (reference) | - |
| Yes | 19 | 11,454 | 1.66 | 1.18 | (0.72, 1.92) | 0.514 | 1.50 | (0.84, 2.68) | 0.167 |
| Myomectomy | |||||||||
| No | 117 | 84,570 | 1.38 | 1.00 | (reference) | - | 1.00 | (reference) | - |
| Yes | 7 | 2594 | 2.70 | 1.85 | (0.86, 3.97) | 0.114 | 2.36 | (1.06, 5.29) | 0.037 |
| Caesarean section | |||||||||
| No | 122 | 86,644 | 1.41 | 1.00 | (reference) | - | 1.00 | (reference) | - |
| Yes | 2 | 520 | 3.85 | 2.82 | (0.70, 11.4) | 0.146 | 2.35 | (0.58, 9.55) | 0.233 |
| IUD | |||||||||
| No | 124 | 87,141 | 1.42 | ||||||
| Yes | 0 | 22 | 0.00 | ||||||
| HPV | ||||||||||||
|---|---|---|---|---|---|---|---|---|---|---|---|---|
| No | Yes | |||||||||||
| Variables | Events | PY | IR | Events | PY | IR | Crude HR | (95% CI) | p-Value | Adjusted HR † | (95% CI) | p-Value |
| Age | ||||||||||||
| 15–25 | 12 | 4532 | 2.65 | 1 | 451 | 2.21 | 0.84 | (0.11, 6.44) | 0.865 | 0.74 | (0.09, 5.95) | 0.777 |
| 26–35 | 71 | 32,594 | 2.18 | 15 | 3367 | 4.45 | 2.05 | (1.17, 3.58) | 0.012 | 1.92 | (1.09, 3.37) | 0.023 |
| 36–45 | 22 | 42,031 | 0.52 | 3 | 4188 | 0.72 | 1.37 | (0.41, 4.58) | 0.609 | 1.30 | (0.39, 4.37) | 0.674 |
| Comorbidities | ||||||||||||
| No | 50 | 55,701 | 0.90 | 10 | 5598 | 1.79 | 1.99 | (1.01, 3.93) | 0.047 | 2.00 | (1.01, 3.94) | 0.045 |
| Yes | 55 | 23,456 | 2.34 | 9 | 2408 | 3.74 | 1.60 | (0.79, 3.24) | 0.191 | 1.52 | (0.75, 3.10) | 0.243 |
| HPV | |||||||||
|---|---|---|---|---|---|---|---|---|---|
| Variables | Events | PY | IR | Crude HR | (95% CI) | p-Value | Adjusted HR † | (95% CI) | p-Value |
| Duration from last HPV visit to end day | |||||||||
| < 1 year | 4 | 1080 | 3.70 | 5.25 | (1.16, 23.7) | 0.031 | 5.79 | (1.12, 30.0) | 0.037 |
| 1–2 years | 4 | 610 | 6.56 | 9.23 | (2.02, 42.2) | 0.004 | 11.1 | (2.16, 56.5) | 0.004 |
| 2–3 years | 5 | 635 | 4.13 | 10.7 | (1.49, 22.1) | 0.014 | 15.6 | (3.17, 77.0) | 0.001 |
| 3–4 years | 2 | 731 | 2.73 | 3.84 | (0.63, 23.5) | 0.145 | 5.17 | (0.77, 34.7) | 0.091 |
| 4–5 years | 1 | 70 | 1.76 | 2.51 | (0.26, 24.3) | 0.426 | 1.58 | (0.13, 19.9) | 0.723 |
| > 5 years | 3 | 4381 | 0.68 | 1.00 | (reference) | - | 1.00 | (reference) | - |
| Compare to Patients without HPV | ||||||
|---|---|---|---|---|---|---|
| Crude HR | (95% CI) | p-Value | Adjusted HR † | (95% CI) | p-Value | |
| Model 1: Primary analysis | 1.79 | (1.10, 2.92) | 0.019 | 1.70 | (1.04, 2.78) | 0.033 |
| Model 2 § | 1.80 | (1.11, 2.94) | 0.018 | 1.72 | (1.05, 2.81) | 0.031 |
| Model 3 ‡ | 1.88 | (1.06, 3.35) | 0.031 | 1.80 | (1.01, 3.20) | 0.046 |
Publisher’s Note: MDPI stays neutral with regard to jurisdictional claims in published maps and institutional affiliations. |
© 2022 by the authors. Licensee MDPI, Basel, Switzerland. This article is an open access article distributed under the terms and conditions of the Creative Commons Attribution (CC BY) license (https://creativecommons.org/licenses/by/4.0/).
Share and Cite
Hsu, L.-C.; Tu, T.-Y.; Chen, H.-Y.; Chang, R.; Yip, H.-T.; Chou, M.-C.; Wei, J.C.-C.; Tsui, K.-H.; Sheu, J.J.-C. Female Human Papillomavirus Infection Associated with Increased Risk of Ectopic Pregnancy: Early Evidence from Taiwan Population-Based Cohort Study. J. Pers. Med. 2022, 12, 172. https://doi.org/10.3390/jpm12020172
Hsu L-C, Tu T-Y, Chen H-Y, Chang R, Yip H-T, Chou M-C, Wei JC-C, Tsui K-H, Sheu JJ-C. Female Human Papillomavirus Infection Associated with Increased Risk of Ectopic Pregnancy: Early Evidence from Taiwan Population-Based Cohort Study. Journal of Personalized Medicine. 2022; 12(2):172. https://doi.org/10.3390/jpm12020172
Chicago/Turabian StyleHsu, Li-Chuan, Ting-Yu Tu, Hui-Yuan Chen, Renin Chang, Hei-Tung Yip, Mei-Chia Chou, James Cheng-Chung Wei, Kuan-Hao Tsui, and Jim Jinn-Chyuan Sheu. 2022. "Female Human Papillomavirus Infection Associated with Increased Risk of Ectopic Pregnancy: Early Evidence from Taiwan Population-Based Cohort Study" Journal of Personalized Medicine 12, no. 2: 172. https://doi.org/10.3390/jpm12020172
APA StyleHsu, L.-C., Tu, T.-Y., Chen, H.-Y., Chang, R., Yip, H.-T., Chou, M.-C., Wei, J. C.-C., Tsui, K.-H., & Sheu, J. J.-C. (2022). Female Human Papillomavirus Infection Associated with Increased Risk of Ectopic Pregnancy: Early Evidence from Taiwan Population-Based Cohort Study. Journal of Personalized Medicine, 12(2), 172. https://doi.org/10.3390/jpm12020172

