A Preliminary Study of Contrast-Enhanced Ultrasound (CEUS) and Cytokine Expression Analysis (CEA) as Early Predictors for the Outcome of Tibial Non-Union Therapy
Abstract
1. Introduction
2. Materials and Methods
2.1. Study Design and Patient Selection Process
2.2. Inclusion and Exclusion Criteria
2.3. Intervention
2.4. Analysis of the Cytokine Expression Pattern
2.5. Contrast-Enhanced Ultrasound Examinations and Analysis
- Wash-in Rate (WiR in arbitrary units (a.u.), i.e., the maximum slope of the signal enhancement curve),
- Peak Enhancement (PE (a.u.), i.e., the maximum signal intensity of the enhancement curve),
- Rise Time (RT (s), i.e., the time a signal takes from baseline level to peak enhancement),
- Time to Peak (TTP (s), i.e., the duration from SonoVue® application to Peak Enhancement).
2.6. Evaluation of Outcome
2.7. Mathematical Modelling Process
- Estimation of the mean of each variables’ subgroup of non-consolidation and consolidation,
- If the mean of the non-consolidation was higher than in the consolidation group, the variables values were added to those of the variable characterized by the lowest p-value, while if the non-consolidation was lower than in the consolidation group values were subtracted from those of the variables mentioned above.
2.8. Statistics
3. Results
3.1. Patient Demographics
3.1.1. Responders (G1)
3.1.2. Non-Responders (G2)
3.2. Contrast-Enhanced Ultrasound
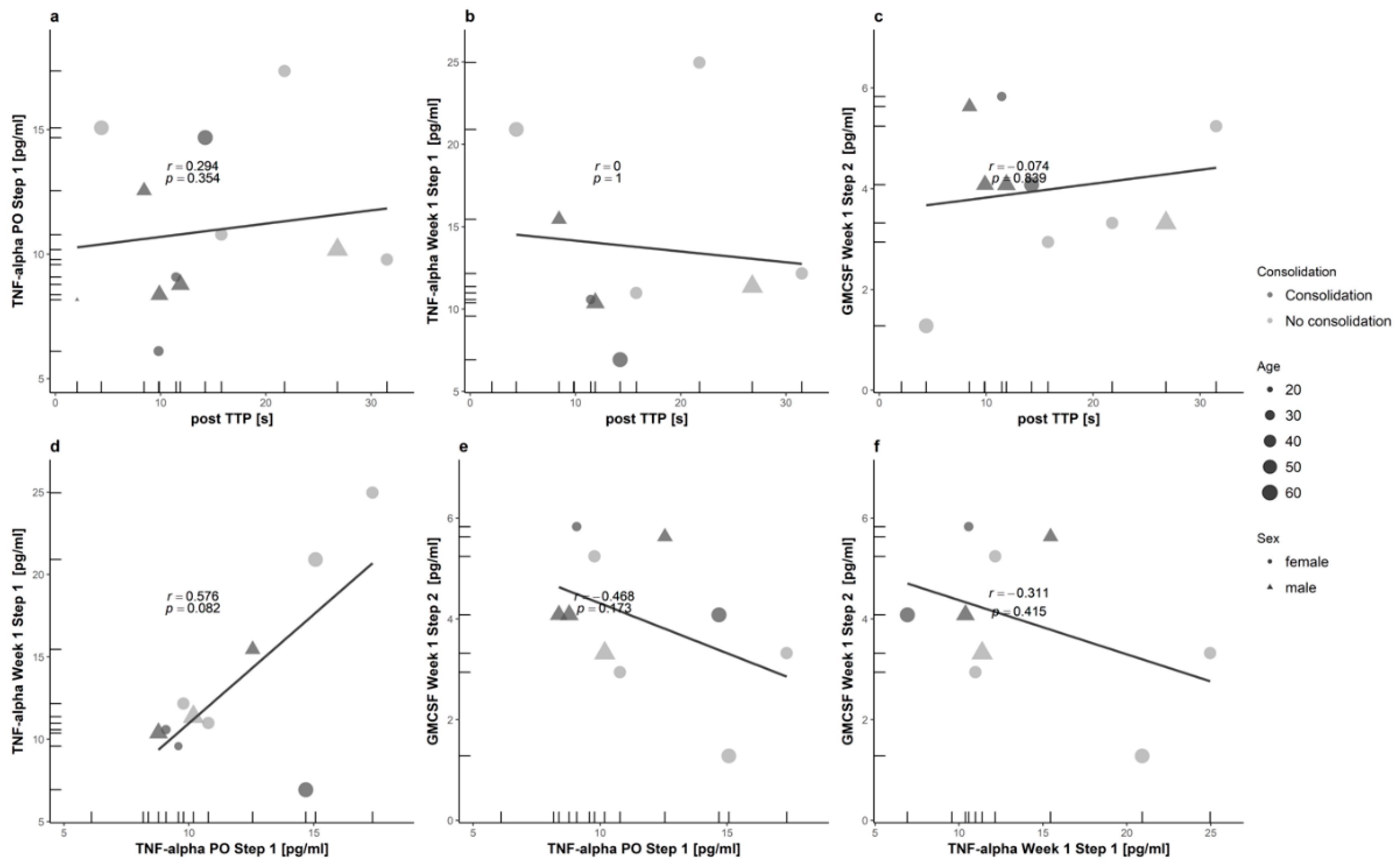
3.3. Serum Cytokine Expression Analysis
3.4. Variable Selection and Computation
- (A)
- CEUS-01 = (postTTP)
- (B)
- Cytokines-01 = (TNF.α.PO.Step.1)
- (C)
- Cytokines-02 = (TNF.α.Week.1.Step.1)
- (D)
- Cytokines-03 = (GM.CSF.Week.1.Step.2)
- (1)
- (CEUS variable) = ((A))
- (2)
- (Cytokines variable) = ((B)) + ((C)) – ((D))
- (3)
- (Together) = ((1)) + ((2))
3.5. Analysis of the Prognostic Performance
4. Discussion
Limitation
5. Conclusions
Author Contributions
Funding
Acknowledgments
Conflicts of Interest
References
- Schmidmaier, G.; Moghaddam, A. Long bone nonunion. Zeitschrift fur Orthopadie und Unfallchirurgie 2015, 153, 659–674. [Google Scholar] [PubMed]
- Moghaddam, A.; Breier, L.; Haubruck, P.; Bender, D.; Biglari, B.; Wentzensen, A.; Zimmermann, G. Non-unions treated with bone morphogenic protein 7: Introducing the quantitative measurement of human serum cytokine levels as promising tool in evaluation of adjunct non-union therapy. J. Inflamm. 2016, 13, 3. [Google Scholar] [CrossRef] [PubMed]
- Brinker, M.R.; Hanus, B.D.; Sen, M.; O’Connor, D.P. The devastating effects of tibial nonunion on health-related quality of life. J. Bone Jt. Surg. 2013, 95, 2170–2176. [Google Scholar] [CrossRef] [PubMed]
- Giannoudis, P.V.; Einhorn, T.A.; Marsh, D. Fracture healing: The diamond concept. Injury 2007, 38, S3–S6. [Google Scholar] [CrossRef]
- Calori, G.M.; Giannoudis, P.V. Enhancement of fracture healing with the diamond concept: The role of the biological chamber. Injury 2011, 42, 1191–1193. [Google Scholar] [CrossRef] [PubMed]
- Moghaddam, A.; Zietzschmann, S.; Bruckner, T.; Schmidmaier, G. Treatment of atrophic tibia non-unions according to ‘diamond concept’: Results of one- and two-step treatment. Injury 2015, 46, S39–S50. [Google Scholar] [CrossRef]
- Masquelet, A.C.; Begue, T. The concept of induced membrane for reconstruction of long bone defects. Orthoped. Clin. N. Am. 2010, 41, 27–37. [Google Scholar] [CrossRef] [PubMed]
- Yin, P.; Ji, Q.; Li, T.; Li, J.; Li, Z.; Liu, J.; Wang, G.; Wang, S.; Zhang, L.; Mao, Z.; et al. A systematic review and meta-analysis of ilizarov methods in the treatment of infected nonunion of tibia and femur. PLoS ONE 2015, 10, e0141973. [Google Scholar] [CrossRef] [PubMed]
- Fischer, C.; Nissen, M.; Schmidmaier, G.; Bruckner, T.; Kauczor, H.U.; Weber, M.A. Dynamic contrast-enhanced magnetic resonance imaging (dce-mri) for the prediction of non-union consolidation. Injury 2017, 48, 357–363. [Google Scholar] [CrossRef] [PubMed]
- Piscaglia, F.; Bolondi, L.; Italian Society for Ultrasound in Medicine and Biology Study Group on Ultrasound Contrast Agents. The safety of sonovue in abdominal applications: Retrospective analysis of 23,188 investigations. Ultrasound Med. Biol. 2006, 32, 1369–1375. [Google Scholar] [CrossRef] [PubMed]
- Fischer, C.; Preuss, E.M.; Tanner, M.; Bruckner, T.; Krix, M.; Amarteifio, E.; Miska, M.; Moghaddam-Alvandi, A.; Schmidmaier, G.; Weber, M.A. Dynamic contrast-enhanced sonography and dynamic contrast-enhanced magnetic resonance imaging for preoperative diagnosis of infected nonunions. J. Ultrasound Med. 2016, 35, 933–942. [Google Scholar] [CrossRef] [PubMed]
- Jaschke, M.; Weber, M.A.; Fischer, C. CEUS-application possibilities in the musculoskeletal system. Der Radiologe 2018, 58, 579–589. [Google Scholar] [PubMed]
- Haubruck, P.; Kammerer, A.; Korff, S.; Apitz, P.; Xiao, K.; Buchler, A.; Biglari, B.; Zimmermann, G.; Daniel, V.; Schmidmaier, G.; et al. The treatment of nonunions with application of bmp-7 increases the expression pattern for angiogenic and inflammable cytokines: A matched pair analysis. J. Inflamm. Res. 2016, 9, 155–165. [Google Scholar] [CrossRef] [PubMed]
- Fischer, C.; Doll, J.; Tanner, M.; Bruckner, T.; Zimmermann, G.; Helbig, L.; Biglari, B.; Schmidmaier, G.; Moghaddam, A. Quantification of tgf-ss1, pdgf and igf-1 cytokine expression after fracture treatment vs. Non-union therapy via masquelet. Injury 2016, 47, 342–349. [Google Scholar] [CrossRef] [PubMed]
- Haubruck, P.; Heller, R.; Apitz, P.; Kammerer, A.; Alamouti, A.; Daniel, V.; Schmidmaier, G.; Moghaddam, A. Evaluation of matrix metalloproteases as early biomarkers for bone regeneration during the applied masquelet therapy for non-unions. Injury 2018. [Google Scholar] [CrossRef] [PubMed]
- Heller, R.A.; Raven, T.F.; Swing, T.; Kunzmann, K.; Daniel, V.; Haubruck, P.; Akbar, M.; Grutzner, P.A.; Schmidmaier, G.; Biglari, B.; et al. Ccl-2 as a possible early marker for remission after traumatic spinal cord injury. Spinal Cord 2017, 55, 1002–1009. [Google Scholar] [CrossRef] [PubMed]
- Masquelet, A.C.; Obert, L. Induced membrane technique for bone defects in the hand and wrist. Chirurgie de la Main 2010, 29, S221–S224. [Google Scholar] [CrossRef] [PubMed]
- Bosemark, P.; Perdikouri, C.; Pelkonen, M.; Isaksson, H.; Tagil, M. The masquelet induced membrane technique with bmp and a synthetic scaffold can heal a rat femoral critical size defect. J. Orthop. Res. Off. Publ. Orthop. Res. Soc. 2015, 33, 488–495. [Google Scholar] [CrossRef] [PubMed]
- Piscaglia, F.; Nolsoe, C.; Dietrich, C.F.; Cosgrove, D.O.; Gilja, O.H.; Bachmann Nielsen, M.; Albrecht, T.; Barozzi, L.; Bertolotto, M.; Catalano, O.; et al. The efsumb guidelines and recommendations on the clinical practice of contrast enhanced ultrasound (ceus): Update 2011 on non-hepatic applications. Ultraschall Med. 2012, 33, 33–59. [Google Scholar] [CrossRef] [PubMed]
- Kuhlman, J.E.; Fishman, E.K.; Magid, D.; Scott, W.W., Jr.; Brooker, A.F.; Siegelman, S.S. Fracture nonunion: Ct assessment with multiplanar reconstruction. Radiology 1988, 167, 483–488. [Google Scholar] [CrossRef] [PubMed]
- Savolaine, E.R.; Ebraheim, N. Assessment of femoral neck nonunion with multiplanar computed tomography reconstruction. Orthopedics 2000, 23, 713–715. [Google Scholar] [PubMed]
- Slade, J.F., 3rd; Gillon, T. Retrospective review of 234 scaphoid fractures and nonunions treated with arthroscopy for union and complications. Scand. J. Surg. 2008, 97, 280–289. [Google Scholar] [CrossRef] [PubMed]
- Akaike, H. Akaike’s information criterion. In International Encyclopedia of Statistical Science; Lovric, M., Ed.; Springer: Berlin/Heidelberg, Germany, 2011; p. 25. [Google Scholar]
- Moghaddam, A.; Sperl, A.; Heller, R.; Kunzmann, K.; Graeser, V.; Akbar, M.; Gerner, H.J.; Biglari, B. Elevated serum insulin-like growth factor 1 levels in patients with neurological remission after traumatic spinal cord injury. PLoS ONE 2016, 11, e0159764. [Google Scholar] [CrossRef] [PubMed]
- Moghaddam, A.; Heller, R.; Daniel, V.; Swing, T.; Akbar, M.; Gerner, H.J.; Biglari, B. Exploratory study to suggest the possibility of mmp-8 and mmp-9 serum levels as early markers for remission after traumatic spinal cord injury. Spinal Cord 2017, 55, 8–15. [Google Scholar] [CrossRef] [PubMed]
- Moghaddam, A.; Sperl, A.; Heller, R.; Gerner, H.J.; Biglari, B. Scd95l in serum after spinal cord injury. Spinal Cord 2016, 54, 957–960. [Google Scholar] [CrossRef] [PubMed]
- R Development Core Team. R: A Language and Environment for Statistical Computing; R Foundation for Statistical Computing: Vienna, Austria, 2015. [Google Scholar]
- Robin, X.; Turck, N.; Hainard, A.; Tiberti, N.; Lisacek, F.; Sanchez, J.C.; Muller, M. Proc: An open-source package for r and s+ to analyze and compare roc curves. BMC Bioinform. 2011, 12, 77. [Google Scholar] [CrossRef] [PubMed]
- Wickham, H. Ggplot2: Elegant Graphics for Data Analysis; Springer: New York, NY, USA, 2009. [Google Scholar]
- Bender, D.; Haubruck, P.; Boxriker, S.; Korff, S.; Schmidmaier, G.; Moghaddam, A. Validity of subjective smoking status in orthopedic patients. Ther. Clin. Risk Manag. 2015, 11, 1297–1303. [Google Scholar] [PubMed]
- Calori, G.M.; Colombo, M.; Mazza, E.L.; Mazzola, S.; Malagoli, E.; Marelli, N.; Corradi, A. Validation of the non-union scoring system in 300 long bone non-unions. Injury 2014, 45, S93–S97. [Google Scholar] [CrossRef] [PubMed]
- Krammer, D.; Schmidmaier, G.; Weber, M.A.; Doll, J.; Rehnitz, C.; Fischer, C. Contrast-enhanced ultrasound quantifies the perfusion within tibial non-unions and predicts the outcome of revision surgery. Ultrasound Med. Biol. 2018, 44, 1853–1859. [Google Scholar] [CrossRef] [PubMed]
- Qi-hua, X.; Chen, Z.; Jian-gang, Z.; Da-zhong, Z.; Yong-qiang, Z. Comparison of contrast-enhanced ultrasonography and contrast-enhanced mri for the assessment of vascularization of hydroxyapatite orbital implants. Clin. Imaging 2014, 38, 616–620. [Google Scholar] [CrossRef] [PubMed]
- Holstein, J.H.; Karabin-Kehl, B.; Scheuer, C.; Garcia, P.; Histing, T.; Meier, C.; Benninger, E.; Menger, M.D.; Pohlemann, T. Endostatin inhibits callus remodeling during fracture healing in mice. J. Orthop. Res. 2013, 31, 1579–1584. [Google Scholar] [CrossRef] [PubMed]
- Delany, A.M.; Hankenson, K.D. Thrombospondin-2 and sparc/osteonectin are critical regulators of bone remodeling. J. Cell Commun. Signal. 2009, 3, 227–238. [Google Scholar] [CrossRef] [PubMed]
- Taylor, D.K.; Meganck, J.A.; Terkhorn, S.; Rajani, R.; Naik, A.; O’Keefe, R.J.; Goldstein, S.A.; Hankenson, K.D. Thrombospondin-2 influences the proportion of cartilage and bone during fracture healing. J. Bone Miner. Res. 2009, 24, 1043–1054. [Google Scholar] [CrossRef] [PubMed]
- Yan, M.; Hu, Y.; Yao, M.; Bao, S.; Fang, Y. Gm-csf ameliorates microvascular barrier integrity via pericytes-derived ang-1 in wound healing. Wound Repair Regen. 2018, 25, 933–943. [Google Scholar] [CrossRef] [PubMed]
- Locksley, R.M.; Killeen, N.; Lenardo, M.J. The tnf and tnf receptor superfamilies: Integrating mammalian biology. Cell 2001, 104, 487–501. [Google Scholar] [CrossRef]






| Patients | All | Responders (G1) | Non-Responders (G2) | |
|---|---|---|---|---|
| Sex | Male | 8 | 4 | 4 |
| Female | 5 | 4 | 1 | |
| Age | 45.3 ± 14.9 | 41.1 ± 16 | 51.9 ± 9.8 | |
| BMI | 29.5 ± 7.8 | 29.5 ± 9.3 | 29.5 ± 3.2 | |
| Infection | Yes | 10 (77%) | 5 (62.5%) | 5 (100%) |
| No | 3 (23%) | 3(27.5%) | 0 (0%) | |
| Smoking | S | 2 | 1 | 1 |
| NS | 8 | 4 | 4 | |
| FS | 3 | 3 | 0 | |
| Trauma to Non-Union Therapy (Months) | 55.9 ± 99.4 | 38.38 ± 71 | 84 ± 127.9 | |
| NUSS Score | 43.38 ± 6 | 44 ± 6.2 | 42.4 ± 5.7 | |
| Localisation | Tibia | 13 | 8 | 5 |
| Fixation | Nail | 12 | 7 | 5 |
| Plate | 1 | 1 | 0 | |
| Previous surgeries | 2.36 ± 1.1 | 2.0 ± 0.5 | 3.0 ± 1.41 |
| Parameter | Time Point | Patients | |
|---|---|---|---|
| Responder (G1; N = 8) | Non-Responder (G2; N = 5) | ||
| WiR (a.u.) | Preoperative | 35.14 ± 11.32 | 50.43 ± 23.17 |
| 3 months postoperative | 106.59 ± 34.45 | 46.91 ± 21.47 | |
| TTP (s) | Preoperative | 26.77 ± 10.15 | 10.56 ± 1.71 |
| 3 months postoperative | 9.68 ± 1.45 | 20.05 ± 3.98 | |
| RT (s) | Preoperative | 16.37 ± 6.94 | 8.96 ± 1.69 |
| 3 months postoperative | 5.08 ± 1.00 | 15.50 ± 4.17 | |
| PE (a.u.) | Preoperative | 189.12 ± 57.15 | 218.63 ± 95.65 |
| 3 months postoperative | 318.82 ± 98.56 | 252.39 ± 92.11 | |
© 2018 by the authors. Licensee MDPI, Basel, Switzerland. This article is an open access article distributed under the terms and conditions of the Creative Commons Attribution (CC BY) license (http://creativecommons.org/licenses/by/4.0/).
Share and Cite
Haubruck, P.; Heller, R.; Tanner, M.C.; Daniel, V.; Schmidmaier, G.; Bolourchi, F.; Moghaddam, A.; Fischer, C. A Preliminary Study of Contrast-Enhanced Ultrasound (CEUS) and Cytokine Expression Analysis (CEA) as Early Predictors for the Outcome of Tibial Non-Union Therapy. Diagnostics 2018, 8, 55. https://doi.org/10.3390/diagnostics8030055
Haubruck P, Heller R, Tanner MC, Daniel V, Schmidmaier G, Bolourchi F, Moghaddam A, Fischer C. A Preliminary Study of Contrast-Enhanced Ultrasound (CEUS) and Cytokine Expression Analysis (CEA) as Early Predictors for the Outcome of Tibial Non-Union Therapy. Diagnostics. 2018; 8(3):55. https://doi.org/10.3390/diagnostics8030055
Chicago/Turabian StyleHaubruck, Patrick, Raban Heller, Michael C. Tanner, Volker Daniel, Gerhard Schmidmaier, Farhoud Bolourchi, Arash Moghaddam, and Christian Fischer. 2018. "A Preliminary Study of Contrast-Enhanced Ultrasound (CEUS) and Cytokine Expression Analysis (CEA) as Early Predictors for the Outcome of Tibial Non-Union Therapy" Diagnostics 8, no. 3: 55. https://doi.org/10.3390/diagnostics8030055
APA StyleHaubruck, P., Heller, R., Tanner, M. C., Daniel, V., Schmidmaier, G., Bolourchi, F., Moghaddam, A., & Fischer, C. (2018). A Preliminary Study of Contrast-Enhanced Ultrasound (CEUS) and Cytokine Expression Analysis (CEA) as Early Predictors for the Outcome of Tibial Non-Union Therapy. Diagnostics, 8(3), 55. https://doi.org/10.3390/diagnostics8030055

