Impact of Antibiotics on the Subgingival Microbiome in Advanced Periodontitis: Secondary Analysis of a Randomized Controlled Trial
Abstract
1. Introduction
2. Materials and Methods
2.1. Study Population and Design
2.2. Clinical Outcome Measures
2.3. Subgingival Sampling
2.4. DNA Extraction and Sequencing
2.5. Microbial Data Processing and Outcome Variables
2.6. Statistical Analysis
3. Results
3.1. Nature and Size of the Patient Sample
| Follow-Up | PT1 Group (n = 26) | PT2 Group (n = 25) | Control Group (n = 25) | Test | p- Value | ||||
|---|---|---|---|---|---|---|---|---|---|
| Age mean (SD) | Baseline | 59.2 ± 7.72 | 60.6 ± 8.37 | 59.9 ± 8.25 | † | 0.835 | |||
| Female, % | Baseline | 13.8% | 17.9% | 10.7% | ‡ | 0.712 | |||
| No. of teeth mean (SD) | Baseline | 21.3 ± 4.02 | 21.4 ± 4.96 | 21.6 ± 4.60 | § | 0.895 | |||
| 3 months | 20.5 ± 4.44 | 20.4 ± 5.25 | 21.6 ± 4.60 | § | 0.924 | ||||
| 12 months | 20.1 ± 4.39 | 20.5 ± 5.43 | 21.2 ± 5.28 | § | 0.518 | ||||
| PISA in mm2 mean (SD) | Δ baseline to 3 months | −609 ± 324 | −312 ± 310 | −87.3 ± 200 | † | <0.001 | |||
| Δ baseline to 12 months | −536 ± 376 | −300 ± 379 | −217 ± 382 | † | 0.010 | ||||
| Δ 3 months to 12 months | +72.6 ± 260.1 | +12.6 ± 192.7 | −129.8 ± 423.8 | † | 0.061 | ||||
| Shallow pockets in % (≤3.4 mm) | Baseline | 59.5% | A | 61.9% | A | 61.6% | A | † | 0.837 |
| 3 months | 67.0% | A | 64.7% | A, B | 55.1% | B | † | 0.013 | |
| 12 months | 66.9% | A | 63.8% | A | 58.1% | A | † | 0.102 | |
| Δ baseline to 3 months | +7.52 ± 9.71 | +2.86 ± 7.19 | −6.43 ± 8.40 | † | <0.001 | ||||
| Δ baseline to 12 months | +6.92 ± 12.5 | −0.32 ± 12.5 | −6.08 ± 11.37 | † | 0.001 | ||||
| Δ 3 months to 12 months | −0.15 ± 11.05 | −3.40 ± 10.08 | +1.04 ± 10.94 | † | 0.321 | ||||
| Moderate pockets in % (3.5–5.4 mm) | Baseline | 31.4% | A | 29.1% | A | 26.1% | A | † | 0.137 |
| 3 months | 27.7% | A | 28.3% | A | 30.6% | A | † | 0.573 | |
| 12 months | 27.7% | A | 28.6% | A | 32.3% | A | † | 0.224 | |
| Δ baseline to 3 months | −3.66 ± 8.81 | −0.75 ± 5.43 | +4.54 ± 7.65 | † | <0.001 | ||||
| Δ baseline to 12 months | −3.46 ± 9.33 | +0.88 ± 8.81 | +6.52 ± 7.64 | † | <0.001 | ||||
| Δ 3 months to 12 months | −0.19 ± 9.40 | +2.08 ± 6.73 | +1.20 ± 8.61 | † | 0.619 | ||||
| Advanced pockets in % (≥5.5 mm) | Baseline | 9.1% | A | 9.1% | A | 12.4% | A | † | 0.419 |
| 3 months | 5.3% | A | 6.9% | A | 14.3% | B | † | 0.004 | |
| 12 months | 5.5% | A | 7.5% | A | 10.1% | A | † | 0.077 | |
| Δ baseline to 3 months | −3.86 ± 5.15 | −2.21 ± 4.45 | +1.86 ± 2.93 | † | <0.001 | ||||
| Δ baseline to 12 months | −3.38 ± 6.53 | −0.56 ± 7.12 | −0.04 ± 9.84 | † | 0.275 | ||||
| Δ 3 months to 12 months | +0.42 ± 4.24 | +1.40 ± 5.52 | −1.80 ± 9.83 | † | 0.252 | ||||
| Interval | Parameter | PT1 Group vs. PT2 Group | PT2 Group vs. Control Group | PT1 Group vs. Control Group | |||
|---|---|---|---|---|---|---|---|
| Δ from baseline to 3 months | PISA, mm2 | ↓↓ | p = 0.001 | ↓↓ | p = 0.018 | ↓↓ | p < 0.001 |
| Shallow pockets, % | ↑↑ | n.s. | ↑↓ | p < 0.001 | ↑↓ | p < 0.001 | |
| Moderate pockets, % | ↓↓ | n.s. | ↓↑ | p = 0.026 | ↓↑ | p < 0.001 | |
| Advanced pockets, % | ↓↓ | n.s. | ↓↑ | p = 0.002 | ↓↑ | p < 0.001 | |
| Δ from baseline to 12 months | PISA, mm2 | ↓↓ | n.s. | ↓↓ | n.s. | ↓↓ | p = 0.010 |
| Shallow pockets, % | ↑↓ | n.s. | ↓↓ | n.s. | ↑↓ | p < 0.001 | |
| Moderate pockets, % | ↓↑ | n.s. | ↑↑ | n.s. | ↓↑ | p < 0.001 | |
| Advanced pockets, % | ↓↓ | n.s. | ↓↓ | n.s. | ↓↓ | n.s. | |
| Δ from 3 months to 12 months | PISA, mm2 | ↑↑ | n.s. | ↑↓ | n.s. | ↑↓ | n.s. |
| Shallow pockets, % | ↓↓ | n.s. | ↓↑ | n.s. | ↓↑ | n.s. | |
| Moderate pockets, % | ↓↑ | n.s. | ↑↑ | n.s. | ↓↑ | n.s. | |
| Advanced pockets, % | ↑↑ | n.s. | ↑↓ | n.s. | ↑↓ | n.s. | |
3.2. Differential Developments in PISA Scores
3.3. Depth Distributions of Subgingival Pockets
3.4. Microbial-Community Findings
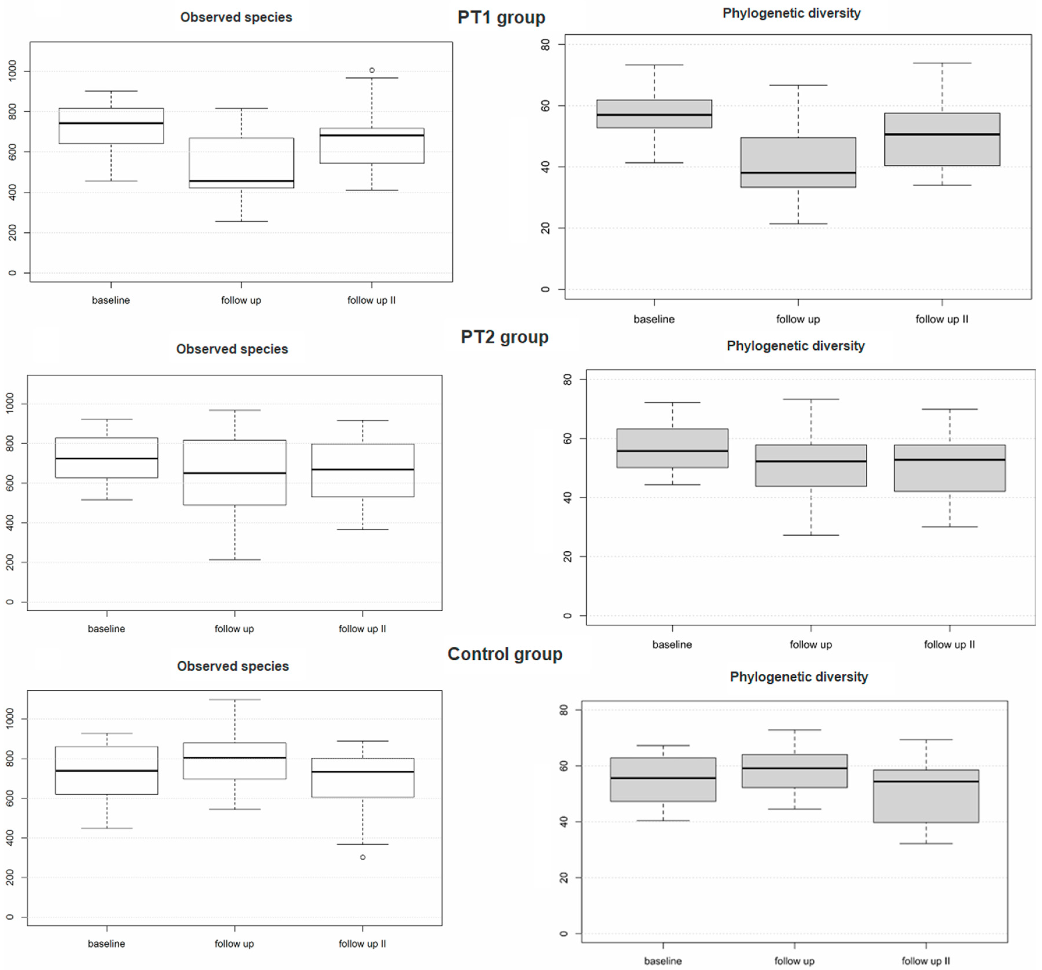
3.5. Alpha-Diversity Findings
3.6. Beta-Diversity Findings
3.7. Differential Abundances of Taxa Between the Three Timepoints
4. Discussion
4.1. PISA Scores and Pocket Depths
4.2. Alpha and Beta Diversities
4.3. Differential Abundances of Taxa
4.4. Limitations and Future Directions
4.5. Implications for Periodontal Therapy
4.6. Conclusions
Supplementary Materials
Author Contributions
Funding
Institutional Review Board Statement
Informed Consent Statement
Data Availability Statement
Conflicts of Interest
References
- Sharma, N.; Bhatia, S.; Sodhi, A.S.; Batra, N. Oral microbiome and health. AIMS Microbiol. 2018, 4, 42–66. [Google Scholar] [CrossRef]
- Escapa, I.F.; Chen, T.; Huang, Y.; Gajare, P.; Dewhirst, F.E.; Lemon, K.P.; Xu, J. New insights into human nostril microbiome from the expanded Human Oral Microbiome Database (eHOMD): A resource for the microbiome of the human aerodigestive tract. mSystems 2018, 3, e00187-18. [Google Scholar] [CrossRef]
- Wade, W.G. The oral microbiome in health and disease. Pharmacol. Res. 2013, 69, 137–143. [Google Scholar] [CrossRef]
- Belibasakis, G.N.; Belstrøm, D.; Eick, S.; Gursoy, U.K.; Johansson, A.; Könönen, E. Periodontal microbiology and microbial etiology of periodontal diseases: Historical concepts and contemporary perspectives. Periodontology 2000, 2023; Advance online publication. [Google Scholar] [CrossRef]
- Pink, C.; Holtfreter, B.; Völzke, H.; Nauck, M.; Dörr, M.; Kocher, T. Periodontitis and systemic inflammation as independent and interacting risk factors for mortality: Evidence from a prospective cohort study. BMC Med. 2023, 21, 430. [Google Scholar] [CrossRef]
- Hajishengallis, G.; Darveau, R.P.; Curtis, M.A. The keystone-pathogen hypothesis. Nat. Rev. Microbiol. 2012, 10, 717–725. [Google Scholar] [CrossRef] [PubMed]
- Chen, H.; Peng, S.; Dai, L.; Zou, Q.; Yi, B.; Yang, X.; Ma, Z.; Dong, Q. Oral microbial community assembly under the influence of periodontitis. PLoS ONE 2017, 12, e0182259. [Google Scholar] [CrossRef] [PubMed]
- Schulz, S.; Porsch, M.; Grosse, I.; Hoffmann, K.; Schaller, H.-G.; Reichert, S. Comparison of the oral microbiome of patients with generalized aggressive periodontitis and periodontitis-free subjects. Arch. Oral Biol. 2019, 99, 169–176. [Google Scholar] [CrossRef]
- Lu, H.; Zhao, Y.; Feng, X.; He, L.; Meng, H. Microbiome in maintained periodontitis and its shift over a single maintenance interval of 3 months. J. Clin. Periodontol. 2019, 46, 1094–1104. [Google Scholar] [CrossRef]
- Iniesta, M.; Chamorro, C.; Ambrosio, N.; Marín, M.J.; Sanz, M.; Herrera, D. Subgingival microbiome in periodontal health, gingivitis and different stages of periodontitis. J. Clin. Periodontol. 2023, 50, 905–920. [Google Scholar] [CrossRef] [PubMed]
- Jünemann, S.; Prior, K.; Szczepanowski, R.; Harks, I.; Ehmke, B.; Goesmann, A.; Stoye, J.; Harmsen, D.; Ahmed, N. Bacterial community shift in treated periodontitis patients revealed by ion torrent 16S rRNA gene amplicon sequencing. PLoS ONE 2012, 7, e41606. [Google Scholar] [CrossRef] [PubMed]
- Schulz, S.; Stein, J.M.; Schumacher, A.; Kupietz, D.; Yekta-Michael, S.S.; Schittenhelm, F.; Conrads, G.; Schaller, H.-G.; Reichert, S. Nonsurgical periodontal treatment options and their impact on subgingival microbiota. J. Clin. Med. 2022, 11, 1187. [Google Scholar] [CrossRef] [PubMed]
- Hagenfeld, D.; Bardenhorst, S.K.; Matern, J.; Prior, K.; Harks, I.; Eickholz, P.; Lorenz, K.; Kim, T.; Kocher, T.; Meyle, J.; et al. Long-term changes in the subgingival microbiota in patients with stage III–IV periodontitis treated by mechanical therapy and adjunctive systemic antibiotics: A secondary analysis of a randomized controlled trial. J. Clin. Periodontol. 2023, 50, 1101–1112. [Google Scholar] [CrossRef]
- Smiley, C.J.; Tracy, S.L.; Abt, E.; Michalowicz, B.S.; John, M.T.; Gunsolley, J.; Cobb, C.M.; Rossmann, J.; Harrel, S.K.; Forrest, J.L.; et al. Systematic review and meta-analysis on the nonsurgical treatment of chronic periodontitis by means of scaling and root planing with or without adjuncts. J. Am. Dent. Assoc. 2015, 146, 508–524.e5. [Google Scholar] [CrossRef] [PubMed]
- Sgolastra, F.; Gatto, R.; Petrucci, A.; Monaco, A. Effectiveness of systemic amoxicillin/metronidazole as adjunctive therapy to scaling and root planing in the treatment of chronic periodontitis: A systematic review and meta-analysis. J. Periodontol. 2012, 83, 1257–1269. [Google Scholar] [CrossRef]
- Herrera, D.; Sanz, M.; Jepsen, S.; Needleman, I.; Roldán, S. A systematic review on the effect of systemic antimicrobials as an adjunct to scaling and root planing in periodontitis patients. J. Clin. Periodontol. 2002, 29 (Suppl. S3), 136–159. [Google Scholar] [CrossRef]
- Seinost, G.; Wimmer, G.; Skerget, M.; Thaller, E.; Brodmann, M.; Gasser, R.; Bratschko, R.O.; Pilger, E. Periodontal treatment im-proves endothelial dysfunction in patients with severe periodontitis. Am. Heart J. 2005, 149, 1050–1054. [Google Scholar] [CrossRef]
- Tonetti, M.S.; D’Aiuto, F.; Nibali, L.; Donald, A.; Storry, C.; Parkar, M.; Suvan, J.; Hingorani, A.D.; Vallance, P.; Deanfield, J. Treatment of periodontitis and endothelial function. N. Engl. J. Med. 2007, 356, 911–920. [Google Scholar] [CrossRef]
- Seinost, G.; Horina, A.; Arefnia, B.; Kulnik, R.; Kerschbaumer, S.; Quehenberger, F.; Muster, V.; Gütl, K.; Zelzer, S.; Gasser, R.; et al. Periodontal treatment and vascular inflammation in patients with advanced peripheral arterial disease: A randomized controlled trial. Atherosclerosis 2020, 313, 60–69. [Google Scholar] [CrossRef]
- Arefnia, B.; Horina, A.; Nazerani-Zemann, T.; Seinost, G.; Rieder, M.; Wimmer, G. Nuclear imaging to visualize periodontal inflammation: Findings of a randomized controlled trial. Oral Dis. 2024, 30, 4630–4638. [Google Scholar] [CrossRef]
- Papapanou, P.N.; Sanz, M.; Buduneli, N.; Dietrich, T.; Feres, M.; Fine, D.H.; Flemmig, T.F.; Garcia, R.; Giannobile, W.V.; Graziani, F.; et al. Periodontitis: Consensus report of workgroup 2 of the 2017 World Workshop on the Classification of Periodontal and Peri-Implant Diseases and Conditions. J. Periodontol. 2018, 89, S173–S182. [Google Scholar] [CrossRef]
- Rutherford, R.B.; Baker, J.; Ernst, C.; Johnston, K.; Porter, J.M.; Ahn, S.; Jones, D.N. Recommended standards for reports dealing with lower extremity ischemia: Revised version. J. Vasc. Surg. 1997, 26, 517–538. [Google Scholar] [CrossRef]
- Nesse, W.; Abbas, F.; Van Der Ploeg, I.; Spijkervet, F.K.L.; Dijkstra, P.U.; Vissink, A. Periodontal inflamed surface area: Quantifying inflammatory burden. J. Clin. Periodontol. 2008, 35, 668–673. [Google Scholar] [CrossRef]
- Pérez-Chaparro, P.; Duarte, P.; Pannuti, C.; Figueiredo, L.; Mestnik, M.; Gonçalves, C.; Faveri, M.; Feres, M. Evaluation of human and microbial DNA content in subgingival plaque samples collected by paper points or curette. J. Microbiol. Methods 2015, 111, 19–20. [Google Scholar] [CrossRef]
- Klymiuk, I.; Bilgilier, C.; Stadlmann, A.; Thannesberger, J.; Kastner, M.-T.; Högenauer, C.; Püspök, A.; Biowski-Frotz, S.; Schrutka-Kölbl, C.; Thallinger, G.G.; et al. The Human Gastric Microbiome Is Predicated upon Infection with Helicobacter pylori. Front. Microbiol. 2017, 8, 2508. [Google Scholar] [CrossRef]
- Caporaso, J.G.; Kuczynski, J.; Stombaugh, J.; Bittinger, K.; Bushman, F.D.; Costello, E.K.; Fierer, N.; Gonzalez Peña, A.; Goodrich, J.K.; Gordon, J.I.; et al. QIIME allows analysis of high-throughput community sequencing data. Nat. Methods 2010, 7, 335–336. [Google Scholar] [CrossRef]
- Aronesty, E. Ea-Utils: Command-Line Tools for Processing Biological Sequencing Data. 2011. Available online: https://github.com/ExpressionAnalysis/ea-utils (accessed on 28 September 2024).
- Edgar, R.C. Search and clustering orders of magnitude faster than BLAST. Bioinformatics 2010, 26, 2460–2461. [Google Scholar] [CrossRef]
- Martin, M. Cutadapt removes adapter sequences from high-throughput sequencing reads. EMBnet. J. 2011, 17, 10–12. [Google Scholar] [CrossRef]
- Quast, C.; Pruesse, E.; Yilmaz, P.; Gerken, J.; Schweer, T.; Yarza, P.; Peplies, J.; Glöckner, F.O. The SILVA ribosomal RNA gene database project: Improved data processing and web-based tools. Nucleic Acids Res. 2013, 41, D590–D596. [Google Scholar] [CrossRef] [PubMed]
- Caporaso, J.G.; Bittinger, K.; Bushman, F.D.; DeSantis, T.Z.; Andersen, G.L.; Knight, R. PyNAST: A flexible tool for aligning sequences to a template alignment. Bioinformatics 2010, 26, 266–267. [Google Scholar] [CrossRef] [PubMed]
- Duran-Pinedo, A.E.; Solbiati, J.; Teles, F.; Frias-Lopez, J. Subgingival host–microbiome metatranscriptomic changes following scaling and root planing in grade II/III periodontitis. J. Clin. Periodontol. 2022, 50, 316–330. [Google Scholar] [CrossRef] [PubMed]
- Johnston, W.; Rosier, B.T.; Carda-Diéguez, M.; Paterson, M.; Watson, P.; Piela, K.; Goulding, M.; Ramage, G.; Baranyia, D.; Chen, T.; et al. Longitudinal changes in subgingival biofilm composition following periodontal treatment. J. Periodontol. 2023, 94, 1065–1077. [Google Scholar] [CrossRef]
- Leow, N.M.; Moreno, F.; Marletta, D.; Hussain, S.B.; Buti, J.; Almond, N.; Needleman, I. Recurrence and progression of periodontitis and methods of management in long-term care: A systematic review and meta-analysis. J. Clin. Periodontol. 2021, 49 (Suppl. S24), 291–313. [Google Scholar] [CrossRef]
- Mira, A.; Simon-Soro, A.; Curtis, M.A. Role of microbial communities in the pathogenesis of periodontal diseases and caries. J. Clin. Periodontol. 2017, 44 (Suppl. S18), S23–S38. [Google Scholar] [CrossRef]
- Rosier, B.; Marsh, P.; Mira, A. Resilience of the oral microbiota in health: Mechanisms that prevent dysbiosis. J. Dent. Res. 2017, 97, 371–380. [Google Scholar] [CrossRef]
- Carr, V.R.; Witherden, E.A.; Lee, S.; Shoaie, S.; Mullany, P.; Proctor, G.B.; Gomez-Cabrero, D.; Moyes, D.L. Abundance and diversity of resistomes differ between healthy human oral cavities and gut. Nat. Commun. 2020, 11, 693. [Google Scholar] [CrossRef]
- Zaura, E.; Brandt, B.W.; de Mattos, M.J.T.; Buijs, M.J.; Caspers, M.P.M.; Rashid, M.-U.; Weintraub, A.; Nord, C.E.; Savell, A.; Hu, Y.; et al. Same exposure but two radically different responses to antibiotics: Resilience of the salivary microbiome versus long-term microbial shifts in feces. mBio 2015, 6, e01693-15. [Google Scholar] [CrossRef] [PubMed]
- Simpson, A.; Johnston, W.; Carda-Diéguez, M.; Mira, A.; Easton, C.; Henriquez, F.L.; Culshaw, S.; Rosier, B.T.; Burleigh, M. Periodontal treatment causes a longitudinal increase in nitrite-producing bacteria. Mol. Oral Microbiol. 2024, 39, 491–506. [Google Scholar] [CrossRef] [PubMed]
- Mombelli, A. Microbial colonization of the periodontal pocket and its significance for periodontal therapy. Periodontology 2000 2017, 76, 85–96. [Google Scholar] [CrossRef]
- Teughels, W.; Feres, M.; Oud, V.; Martín, C.; Matesanz, P.; Herrera, D. Adjunctive effect of systemic antimicrobials in periodontitis therapy: A systematic review and meta-analysis. J. Clin. Periodontol. 2020, 47 (Suppl. S22), 257–281. [Google Scholar] [CrossRef]
- Cassini, A.; Högberg, L.D.; Plachouras, D.; Quattrocchi, A.; Hoxha, A.; Simonsen, G.S.; Colomb-Cotinat, M.; Kretzschmar, M.E.; Devleesschauwer, B.; Cecchini, M.; et al. Attributable deaths and disability-adjusted life-years caused by infections with antibiotic-resistant bacteria in the EU and the European Economic Area in 2015: A population-level modelling analysis. Lancet Infect. Dis. 2019, 19, 56–66. [Google Scholar] [CrossRef] [PubMed]





| Group | Alpha Diversity | Beta Diversity | ||||||
|---|---|---|---|---|---|---|---|---|
| Time | vs. | Time | Shannon Index | Observed Species | Phylogenetic Diversity | |||
| PT1 group | Baseline | vs. | 3 months | adj. p | 0.000078 ** | 0.000025 ** | 0.000001 ** | 0.003 * |
| Baseline | vs. | 12 months | adj. p | 0.083 | 0.065 | 0.007 * | 0.003 * | |
| 3 months | vs. | 12 months | adj. p | 0.007 * | 0.011 * | 0.005 * | 0.003 * | |
| PT2 group | Baseline | vs. | 3 months | adj. p | ↓ | ↓ | 0.005 * | ↓ |
| Baseline | vs. | 12 months | adj. p | 0.095 | 0.057 | 0.025 * | 0.228 | |
| 3 months | vs. | 12 months | adj. p | ↑ | ↑ | 0.706 | ↑ | |
| Control group | Baseline | vs. | 3 months | adj. p | 0.034 * | ↓ | 0.028 * | ↓ |
| Baseline | vs. | 12 months | adj. p | 0.975 | 0.094 | 0.321 | 0.929 | |
| 3 months | vs. | 12 months | adj. p | 0.275 | ↑ | 0.275 | ↑ | |
| PT1 Group | PT2 Group | Control Group | ||||||||||
|---|---|---|---|---|---|---|---|---|---|---|---|---|
| Time | vs. | Time | C − 1 | C0 | C1 | C − 1 | C0 | C1 | C − 1 | C0 | C1 | |
| Baseline | vs. | 3 months | n of taxa | 31 * | 119 | 11 * | 0 | 159 | 0 | 0 | 154 | 0 |
| Baseline | vs. | 12 months | n of taxa | 8 * | 150 | 3 * | 0 | 159 | 0 | 0 | 154 | 0 |
| 3 months | vs. | 12 months | n of taxa | 1 * | 152 | 8 * | 0 | 159 | 0 | 0 | 154 | 0 |
Disclaimer/Publisher’s Note: The statements, opinions and data contained in all publications are solely those of the individual author(s) and contributor(s) and not of MDPI and/or the editor(s). MDPI and/or the editor(s) disclaim responsibility for any injury to people or property resulting from any ideas, methods, instructions or products referred to in the content. |
© 2025 by the authors. Licensee MDPI, Basel, Switzerland. This article is an open access article distributed under the terms and conditions of the Creative Commons Attribution (CC BY) license (https://creativecommons.org/licenses/by/4.0/).
Share and Cite
Arefnia, B.; Klymiuk, I.; Peikert, S.A.; Bernhard, J.S.; Seinost, G.; Wimmer, G. Impact of Antibiotics on the Subgingival Microbiome in Advanced Periodontitis: Secondary Analysis of a Randomized Controlled Trial. Diagnostics 2025, 15, 2012. https://doi.org/10.3390/diagnostics15162012
Arefnia B, Klymiuk I, Peikert SA, Bernhard JS, Seinost G, Wimmer G. Impact of Antibiotics on the Subgingival Microbiome in Advanced Periodontitis: Secondary Analysis of a Randomized Controlled Trial. Diagnostics. 2025; 15(16):2012. https://doi.org/10.3390/diagnostics15162012
Chicago/Turabian StyleArefnia, Behrouz, Ingeborg Klymiuk, Stefanie Anna Peikert, Jakob Sebastian Bernhard, Gerald Seinost, and Gernot Wimmer. 2025. "Impact of Antibiotics on the Subgingival Microbiome in Advanced Periodontitis: Secondary Analysis of a Randomized Controlled Trial" Diagnostics 15, no. 16: 2012. https://doi.org/10.3390/diagnostics15162012
APA StyleArefnia, B., Klymiuk, I., Peikert, S. A., Bernhard, J. S., Seinost, G., & Wimmer, G. (2025). Impact of Antibiotics on the Subgingival Microbiome in Advanced Periodontitis: Secondary Analysis of a Randomized Controlled Trial. Diagnostics, 15(16), 2012. https://doi.org/10.3390/diagnostics15162012

