Gastrointestinal Safety Assessment of GLP-1 Receptor Agonists in the US: A Real-World Adverse Events Analysis from the FAERS Database
Abstract
1. Introduction
2. Methods
2.1. Study Design and Data Source
2.2. Data Collection
2.3. Data Extraction and Variables
2.4. Data Mining and Statistical Analysis
2.5. Quality Control
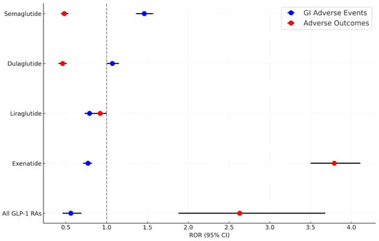
3. Results
4. Discussion
5. Conclusions
Supplementary Materials
Author Contributions
Funding
Institutional Review Board Statement
Informed Consent Statement
Data Availability Statement
Acknowledgments
Conflicts of Interest
References
- Nauck, M.A.; Quast, D.R.; Wefers, J.; Meier, J.J. GLP-1 receptor agonists in the treatment of type 2 diabetes—State-of-the-art. Mol. Metab. 2021, 46, 101102. [Google Scholar] [CrossRef] [PubMed]
- Meier, J.J. GLP-1 receptor agonists for individualized treatment of type 2 diabetes mellitus. Nat. Rev. Endocrinol. 2012, 8, 728–742. [Google Scholar] [CrossRef] [PubMed]
- Jensterle, M.; Rizzo, M.; Haluzík, M.; Janež, A. Efficacy of GLP-1 RA Approved for Weight Management in Patients with or Without Diabetes: A Narrative Review. Adv. Ther. 2022, 39, 2452–2467. [Google Scholar] [CrossRef] [PubMed]
- Adhikari, R.; Grandhi, G.; Blaha, M. Comparing prescription trends for oral and subcutaneous glucagon-like peptide-1 receptor agonists (GLP-1 RA) in the United States. J. Am. Coll. Cardiol. 2023, 81 (Suppl. 8), 1868. [Google Scholar] [CrossRef]
- Liu, L.; Chen, J.; Wang, L.; Chen, C.; Chen, L. Association between different GLP-1 receptor agonists and gastrointestinal adverse reactions: A real-world disproportionality study based on FDA adverse event reporting system database. Front. Endocrinol. 2022, 13, 1043789. [Google Scholar] [CrossRef] [PubMed]
- Suissa, K.; Cromer, S.J.; Patorno, E. GLP-1 Receptor Agonists and Gastrointestinal Adverse Events. JAMA 2024, 331, 884. [Google Scholar] [CrossRef]
- Zhou, Y.; Chen, M.; Liu, L.; Chen, Z. Difference in Gastrointestinal Risk Associated with Use of GLP-1 Receptor Agonists: A Real-World Pharmacovigilance Study. Drug Des. Devel. Ther. 2022, 15, 155–163. [Google Scholar] [CrossRef] [PubMed]
- Food and Drug Administration. Highlights of Prescribing Information, Exenatide. Available online: https://www.accessdata.fda.gov/drugsatfda_docs/label/2012/022200s000lbl.pdf (accessed on 31 March 2024).
- Food and Drug Administration. Highlights of Prescribing Information, Liraglutide. Available online: https://www.accessdata.fda.gov/drugsatfda_docs/label/2018/206321s007lbl.pdf (accessed on 31 March 2024).
- Food and Drug Administration. Highlights of Prescribing Information, Dulaglutide. Available online: https://www.accessdata.fda.gov/drugsatfda_docs/label/2024/125469s061s062lbl.pdf (accessed on 31 March 2024).
- Food and Drug Administration. Highlights of Prescribing Information, Semaglutide. Available online: https://www.accessdata.fda.gov/drugsatfda_docs/label/2024/209637s032lbl.pdf (accessed on 31 March 2024).
- Goncharova, M.; Grey, J.; Druce, M. Impact of gastrointestinal symptoms on quality of life in MEN2. Clin. Endocrinol. 2021, 94, 606–615. [Google Scholar] [CrossRef] [PubMed]
- O’Mary, L. FDA Adds Warning of Intestinal Blockages to Ozempic Label. WebMD, 9 May 2024. Available online: https://www.webmd.com/obesity/news/20230928/risk-of-intestinal-blockage-added-to-ozempic-label (accessed on 9 May 2024).
- Aldhaleei, W.A.; Abegaz, T.M.; Bhagavathula, A.S. Glucagon-like Peptide-1 Receptor Agonists Associated Gastrointestinal Adverse Events: A Cross-Sectional Analysis of the National Institutes of Health All of Us Cohort. Pharmaceuticals 2024, 17, 199. [Google Scholar] [CrossRef] [PubMed]
- Tan, H.C.; Dampil, O.A.; Marquez, M.M. Efficacy and Safety of Semaglutide for Weight Loss in Obesity Without Diabetes: A Systematic Review and Meta-Analysis. J. ASEAN Fed. Endocr. Soc. 2022, 37, 65–72. [Google Scholar] [CrossRef] [PubMed]
- Kristensen, S.L.; Rørth, R.; Jhund, P.S.; Docherty, K.F.; Sattar, N.; Preiss, D.; Køber, L.; Petrie, M.C.; McMurray, J.J. Cardiovascular, mortality, and kidney outcomes with GLP-1 receptor agonists in patients with type 2 diabetes: A systematic review and meta-analysis of cardiovascular outcome trials. Lancet Diabetes Endocrinol. 2019, 7, 776–786. [Google Scholar] [CrossRef] [PubMed]
- Edwards, I.R.; Aronson, J.K. Adverse drug reactions: Definitions, diagnosis, and management. Lancet 2000, 356, 1255–1259. [Google Scholar] [CrossRef] [PubMed]
- World Health Organization. The Importance of Pharmacovigilance. Available online: https://iris.who.int/handle/10665/42493 (accessed on 23 May 2024).
- Cancer Therapy Evaluation Program. The National Cancer Institute Common Terminology Criteria for Adverse Events. Available online: https://ctep.cancer.gov/protocoldevelopment/electronic_applications/docs/ctcae_v5_quick_reference_5x7.pdf (accessed on 11 May 2024).
- He, L.; Wang, J.; Ping, F.; Yang, N.; Huang, J.; Li, Y.; Xu, L.; Li, W.; Zhang, H. Association of Glucagon-Like Peptide-1 Receptor Agonist Use With Risk of Gallbladder and Biliary Diseases: A Systematic Review and Meta-analysis of Randomized Clinical Trials. JAMA Intern. Med. 2022, 182, 513. [Google Scholar] [CrossRef] [PubMed]
- Dore, D.D.; Seeger, J.D.; Arnold Chan, K. Use of a claims-based active drug safety surveillance system to assess the risk of acute pancreatitis with exenatide or sitagliptin compared to metformin or glyburide. Curr. Med. Res. Opin. 2009, 25, 1019–1027. [Google Scholar] [CrossRef] [PubMed]
- Byetta Product Monograph. Available online: https://www.astrazeneca.ca/content/dam/az-ca/downloads/productinformation/byetta-product-monograph-en.pdf (accessed on 9 May 2024).
- Sodhi, M.; Rezaeianzadeh, R.; Kezouh, A.; Etminan, M. Risk of Gastrointestinal Adverse Events Associated With Glucagon-Like Peptide-1 Receptor Agonists for Weight Loss. JAMA 2023, 330, 1795. [Google Scholar] [CrossRef]
- Funch, D.; Mortimer, K.; Ziyadeh, N.J.; Seeger, J.D.; Li, L.; Norman, H.; Major-Pedersen, A.; Bosch-Traberg, H.; Gydesen, H.; Dore, D.D. Liraglutide use and evaluation of pancreatic outcomes in a US commercially insured population. Diabetes Obes. Metab. 2019, 21, 1837–1848. [Google Scholar] [CrossRef] [PubMed]
- How to Use the Trulicity Pen for Type 2 Diabetes. Available online: https://trulicity.lilly.com/how-to-use (accessed on 12 May 2024).
- Chaudhry, A.; Gabriel, B.; Noor, J.; Jawad, S.; Challa, S.R. Tendency of Semaglutide to Induce Gastroparesis: A Case Report. Cureus 2024, 16, e52564. [Google Scholar] [CrossRef] [PubMed]
- Smits, M.M.; van Raalte, D.H. Safety of Semaglutide. Front. Endocrinol. 2021, 12, 645563. [Google Scholar] [CrossRef] [PubMed]
- How to Use The Ozempic® Pen. Available online: https://www.ozempic.com/how-to-take/ozempic-pen.html (accessed on 12 May 2024).



| Characteristics, n (%) | All GLP-1 RAs (n = 16,568) | Exenatide (n = 4401; 26.6) | Liraglutide (n = 4126; 24.9) | Dulaglutide (n = 4075; 24.6) | Semaglutide (n = 3966; 23.9) |
|---|---|---|---|---|---|
| Gender | |||||
| Female | 10,270 (62.0) | 2797 (63.6) | 2788 (67.6) | 2306 (566) | 2379 (60.0) |
| Male | 6152 (37.1) | 1591 (36.2) | 1325 (32.1) | 1684 (41.3) | 1552 (39.1) |
| Not specified | 146 (0.9) | 13 (0.3) | 13 (0.3) | 85 (2.1) | 35 (0.9) |
| Age † | |||||
| 18–44 | 1648 (10) | 328 (7.6) | 572 (13.9) | 385 (9.4) | 363 (9.2) |
| 45–54 | 3262 (19.8) | 856 (19.8) | 938 (22.7) | 857 (21.0) | 611 (15.4) |
| 55–64 | 5282 (32.0) | 1579 (36.4) | 1320(32.0) | 1273 (31.2) | 1110 (28.0) |
| 65+ | 6308 (38.2) | 1570 (36.2) | 1296 (31.4) | 1560 (38.3) | 1882 (47.5) |
| Reporting Year † | |||||
| 2007–2009 | 1130 (6.8) | 1130 (25.7) | - | - | - |
| 2010–2014 | 2176 (13.1) | 1688 (38.4) | 486 (11.8) | 2 (0) | - |
| 2015–2019 | 7560 (45.6) | 1343 (30.5) | 3088 (74.8) | 2513 (61.7) | 616 (15.5) |
| 2020–2023 | 5702 (34.4) | 240 (5.5) | 552 (13.4) | 1560 (38.3) | 3350 (84.5) |
| Reporting Type | |||||
| Consumer | 10,756 (65.0) | 3166 (72.0) | 2458 (59.7) | 2672 (65.7) | 2460 (62.2) |
| Healthcare Professional | 5785 (35.0) | 1231 (28.0) | 1660 (40.3) | 1398 (34.3) | 1496 (37.8) |
| Indications † | |||||
| Diabetes Mellitus | 11,221 (91.1) | 3677 (99.8) | 2593 (77.1) | 2652 (99.3) | 2299 (88.6) |
| Obesity | 370 (3.0) | 16 (0.4) | 248 (7.4) | 9 (0.3) | 97 (3.7) |
| Weight Loss | 984 (8.0) | 30 (0.8) | 609 (18.1) | 29 (1.1) | 316 (12.2) |
| Adverse Outcomes | |||||
| Disability | 130 (0.8) | 51 (1.2) | 24 (0.6) | 33 (0.8) | 22 (0.6) |
| Life-Threatening Conditions | 195 (1.2) | 98 (2.2) | 33 (0.8) | 42 (1.0) | 22 (0.6) |
| Hospitalization | 3365 (20.3) | 1593 (36.2) | 804 (19.5) | 473 (11.6) | 495 (12.5) |
| Death | 192 (1.2) | 118 (2.7) | 36 (0.9) | 23 (0.6) | 15 (0.4) |
| GI Adverse Effects | Male | Female | <65 | ≥65 | DM | Obesity | Weight Loss |
|---|---|---|---|---|---|---|---|
| Nausea | 2295 (37.3) | 5017 (48.9) | 4543 (44.5) | 2814 (44.6) | 5134 (45.8) | 181 (48.9) | 529 (53.8) |
| Abdominal discomfort or pain | 1403 (22.8) | 2233 (21.7) | 2167 (21.2) | 1488 (23.6) | 2626 (23.4) | 70 (18.9) | 211 (21.4) |
| Diarrhea | 1365 (22.2) | 2071 (20.2) | 1893 (18.5) | 1560 (24.7) | 2470 (22.0) | 56 (15.1) | 169 (17.2) |
| Vomiting | 1261 (20.5) | 2572 (25.0) | 2378 (23.3) | 1477 (23.4) | 2653 (23.6) | 103 (27.8) | 259 (26.3) |
| Pancreatitis | 1331 (21.6) | 1483 (14.4) | 2113 (20.7) | 726 (11.5) | 1888 (16.8) | 54 (14.6) | 65 (6.6) |
| Constipation | 542 (8.8) | 874 (8.5) | 715 (7.0) | 714 (11.3) | 991 (8.8) | 42 (11.4) | 124 (12.6) |
| Delayed gastric emptying | 366 (5.9) | 629 (6.1) | 641 (6.3) | 371 (5.9) | 726 (6.5) | 22 (5.9) | 75 (7.6) |
| Dyspepsia | 307 (5.0) | 573 (5.6) | 527 (5.2) | 355 (5.6) | 650 (5.8) | 18 (4.9) | 75 (7.6) |
| Flatulence | 284 (4.6) | 390 (3.8) | 379 (3.7) | 303 (4.8) | 484 (4.3) | 18 (4.9) | 44 (4.5) |
| Gastroesophageal reflux disease | 174 (2.8) | 353 (3.4) | 303 (3.0) | 227 (3.6) | 385 (3.4) | 19 (5.1) | 45 (4.6) |
| Gastritis | 40 (0.7) | 78 (0.8) | 93 (0.9) | 26 (0.4) | 87 (0.8) | 4 (1.1) | 7 (0.7) |
| Hemorrhage | 62 (1.0) | 115 (1.1) | 105 (1.0) | 76 (1.2) | 131(1.2) | 2 (0.5) | 8 (0.8) |
| Intestinal obstruction | 45 (0.7) | 47 (0.5) | 60 (1.7) | 33 (0.5) | 51 (0.5) | 4 (1.1) | 6 (0.6) |
| Cholecystitis | 52 (0.8) | 54 (0.5) | 74 (0.7) | 32 (0.5) | 68 (0.6) | 5 (1.4) | 4 (0.4) |
| Peptic ulcer | 2 (0.0) | 6 (0.1) | 4 (0.0) | 3 (0.0) | 6 (0.1) | 0 (0.0) | 0 (0.0) |
| Inflammatory bowel disease | 10 (0.2) | 25 (0.2) | 27 (0.3) | 8 (0.1) | 22 (0.2) | 2 (0.5) | 3 (0.3) |
| Anal fissure | 2 (0.0) | 0 (0.0) | 2 (0.0) | 1 (0.0) | 2 (0.0) | 0 (0.0) | 0 (0.0) |
| GI Adverse Effects | Exenatide | Liraglutide | Dulaglutide | Semaglutide | ||||||||||||||||
|---|---|---|---|---|---|---|---|---|---|---|---|---|---|---|---|---|---|---|---|---|
| Cases | ROR (95% CI) | PRR (95% CI) | IC025 | β−Coeff | Cases | ROR (95% CI) | PRR (95% CI) | IC025 | β−Coeff | Cases | ROR (95% CI) | PRR (95% CI) | IC025 | β−Coeff | Cases | ROR (95% CI) | PRR (95% CI) | IC025 | β−Coeff | |
| Nausea | 1862 | 0.885 (0.826, 0.946) | 0.934 (0.877, 0.994) | −0.103 | −0.116 | 1666 | 0.799 (0.744, 0.858) | 0.880 (0.844, 0.918) | −0.173 | −0.226 | 1850 | 1.037 (0.968, 1.111) | 1.020 (0.981, 1.061) | −0.000 | 0.039 | 1996 | 1.361 (1.267, 1.462) | 1.179 (1.137, 1.224) | 0.151 | 0.314 |
| Vomiting | 882 | 0.772 (0.709, 0.840) | 0.817 (0.753, 0.888) | −0.271 | −0.256 | 839 | 0.794 (0.729, 0.866) | 0.836 (0.781, 0.895) | −0.252 | −0.243 | 946 | 0.994 (0.916, 1.078) | 0.995 (0.933, 1.061) | −0.056 | −0.014 | 2298 | 1.612 (1.488, 1.747) | 1.427 (1.347, 1.513) | 0.334 | 0.495 |
| Abdominal discomfort | 251 | 0.799 (0.691, 0.924) | 0.811 (0.701, 0.937) | −0.334 | −0.225 | 274 | 0.991 (0.861, 1.142) | 0.992 (0.869, 1.132) | −0.108 | 0.050 | 313 | 1.162 (1.020, 1.324) | 1.150 (1.014, 1.304) | 0.111 | 0.211 | 269 | 1.021 (0.886, 1.178) | 1.020 (0.893, 1.165) | −0.079 | −0.043 |
| Abdominal pain | 594 | 0.751 (0.681, 0.829) | 0.785 (0.712, 0.865) | −0.331 | −0.286 | 650 | 0.956 (0.868, 1.052) | 0.963 (0.888, 1.044) | −0.103 | −0.045 | 710 | 1.090 (0.996, 1.194) | 1.075 (0.994, 1.162) | 0.047 | 0.116 | 732 | 1.233 (1.123, 1.354) | 1.190 (1.102, 1.286) | 0.132 | 0.211 |
| Pancreatitis | 1174 | 2.290 (2.104, 2.492) | 1.946 (1.792, 2.113) | 0.601 | 0.851 | 895 | 1.493 (1.367, 1.631) | 1.386 (1.291, 1.488) | 0.291 | 0.339 | 486 | 0.654 (0.590, 0.725) | 0.695 (0.635, 0.762) | −0.601 | −0.549 | 287 | 0.307 (0.270, 0.349) | 0.357 (0.318, 0.401) | −1.351 | −1.133 |
| Constipation | 281 | 0.651 (0.569, 0.745) | 0.673 (0.588, 0.770) | −0.542 | −0.424 | 329 | 0.888 (0.781, 1.010) | 0.897 (0.797, 1.009) | −0.210 | −0.041 | 257 | 0.710 (0.619, 0.814) | 0.728 (0.639, 0.829) | −0.565 | −0.446 | 568 | 2.263 (2.022, 2.532) | 2.082 (1.884, 2.300) | 0.668 | 0.751 |
| Diarrhea | 744 | 0.709 (0.648, 0.776) | 0.758 (0.694, 0.828) | −0.362 | −0.348 | 995 | 0.713 (0.651, 0.782) | 0.762 (0.707, 0.821) | −0.365 | −0.299 | 697 | 1.226 (1.131, 1.329) | 1.171 (1.097, 1.249) | 0.182 | 0.283 | 1020 | 1.445 (1.329, 1.571) | 1.330 (1.248, 1.418) | 0.258 | 0.328 |
| Hemorrhage | 72 | 1.840 (1.363, 2.483) | 1.826 (1.353, 2.464) | 0.405 | 0.623 | 34 | 0.695 (0.478, 1.011) | 0.697 (0.481, 1.011) | −0.709 | −0.332 | 32 | 0.717 (0.491, 1.045) | 0.719 (0.491, 1.051) | −0.790 | −0.446 | 43 | 0.990 (0.702, 1.397) | 0.990 (0.704, 1.392) | −0.271 | −0.039 |
| Dyspepsia | 199 | 0.794 (0.675, 0.933) | 0.803 (0.683, 0.944) | −0.358 | −0.232 | 229 | 1.057 (0.906, 1.234) | 1.054 (0.911, 1.220) | −0.051 | 0.081 | 238 | 1.100 (0.950, 1.275) | 1.095 (0.947, 1.265) | 0.025 | 0.131 | 218 | 1.042 (0.891, 1.220) | 1.040 (0.896, 1.207) | −0.069 | 0.016 |
| Flatulence | 123 | 0.596 (0.489, 0.727) | 0.607 (0.498, 0.740) | −0.719 | −0.517 | 157 | 0.896 (0.747, 1.075) | 0.900 (0.756, 1.072) | −0.250 | −0.068 | 167 | 0.994 (0.836, 1.181) | 0.994 (0.838, 1.179) | −0.138 | −0.008 | 236 | 1.720 (1.463, 2.023) | 1.678 (1.439, 1.956) | 0.430 | 0.506 |
| Delayed gastric emptying | 213 | 0.723 (0.619, 0.844) | 0.736 (0.630, 0.859) | −0.454 | −0.318 | 210 | 0.777 (0.665, 0.909) | 0.789 (0.680, 0.914) | −0.382 | −0.258 | 264 | 1.064 (0.925, 1.224) | 1.060 (0.925, 1.214) | −0.017 | 0.071 | 326 | 1.553 (1.355, 1.781) | 1.508 (1.328, 1.712) | 0.342 | 0.453 |
| Gastritis | 49 | 1.946 (1.348, 2.808) | 1.935 (1.341, 2.792) | 0.419 | 0.684 | 33 | 1.158 (0.774, 1.733) | 1.157 (0.776, 1.726) | −0.134 | 0.082 | 15 | 0.511 (0.298, 0.875) | 0.512 (0.299, 0.880) | −1.437 | −0.829 | 22 | 0.719 (0.452, 1.144) | 0.721 (0.454, 1.143) | −0.749 | −0.273 |
| GERD | 117 | 0.777 (0.631, 0.957) | 0.783 (0.636, 0.964) | −0.425 | −0.252 | 143 | 1.118 (0.920, 1.359) | 1.114 (0.923, 1.345) | −0.022 | 0.141 | 125 | 0.958 (0.786, 1.167) | 0.959 (0.787, 1.168) | −0.211 | −0.058 | 145 | 1.204 (0.991, 1.463) | 1.197 (0.992, 1.444) | 0.057 | 0.160 |
| Intestinal obstruction | 22 | 0.856 (0.530, 1.383) | 0.857 (0.530, 1.384) | −0.531 | −0.159 | 26 | 1.171 (0.744, 1.845) | 1.170 (0.745, 1.838) | −0.158 | 0.155 | 22 | 0.962 (0.603, 1.532) | 0.962 (0.597, 1.550) | −0.420 | −0.048 | 23 | 1.044 (0.651, 1.675) | 1.044 (0.653, 1.670) | −0.306 | 0.049 |
| Cholecystitis | 56 | 3.123 (2.130, 4.581) | 3.096 (2.111, 4.541) | 0.814 | 1.157 | 26 | 0.980 (0.629, 1.527) | 0.980 (0.631, 1.523) | −0.355 | −0.072 | 5 | 0.191 (0.078, 0.468) | 0.192 (0.078, 0.470) | −3.238 | −1.932 | 19 | 0.692 (0.421, 1.139) | 0.694 (0.423, 1.138) | −0.824 | −0.298 |
| Peptic ulcer | 0 | 0.921 (0.186, 4.567) | 0.922 (0.186, 4.568) | −1.287 | −0.080 | 3 | 1.810 (0.432, 7.577) | 1.809 (0.433, 7.568) | −0.304 | 0.628 | 0 | nan | nan | nan | −157.920 | 3 | 1.907 (0.456, 7.984) | 1.907 (0.456, 7.974) | −0.247 | 0.628 |
| Anal fissure | 1 | 1.382 (0.125, 15.250) | 1.382 (0.125, 15.249) | −1.273 | 0.663 | 1 | 1.508 (0.137, 16.634) | 1.508 (0.137, 16.624) | −1.179 | 0.539 | 0 | nan | nan | nan | −16.912 | 1 | 1.589 (0.144, 17.528) | 1.589 (0.144, 17.517) | −1.122 | 0.597 |
| IBD | 14 | 1.846 (0.938, 3.633) | 1.843 (0.936, 3.628) | 0.186 | 0.614 | 0.753 (0.329, 1.726) | 0.754 (0.330, 1.725) | −0.978 | −0.292 | 0.464 (0.165, 1.307) | 0.465 (0.164, 1.316) | −2.028 | −0.930 | 1.272 (0.610, 2.650) | 1.271 (0.611, 2.644) | −0.268 | 0.248 | |||
| Adverse Outcomes | ||||||||||||||||||||
| Disability | 51 | 1.794 (1.259, 2.555) | 1.785 (1.253, 2.542) | 0.350 | 0.587 | 24 | 0.681 (0.437, 1.062) | 0.683 (0.439, 1.062) | −0.792 | −0.374 | 33 | 1.032 (0.703, 1.515) | 1.032 (0.696, 1.530) | −0.248 | 0.011 | 22 | 0.645 (0.407, 1.022) | 0.647 (0.410, 1.022) | −0.880 | −0.428 |
| Life-Threatening Conditions | 98 | 3.328 (3.074, 3.603) | 2.485 (2.304, 2.681) | 0.809 | 1.050 | 33 | 0.934 (0.855, 1.020) | 0.947 (0.882, 1.016) | −0.114 | −0.467 | 42 | 0.515 (0.465, 0.571) | 0.572 (0.522, 0.626) | −0.886 | −0.227 | 22 | 0.484 (0.436, 0.536) | 0.548 (0.502, 0.599) | −0.779 | −0.909 |
| Hospitalization | 1593 | 2.834 (2.136, 3.760) | 2.793 (2.105, 3.706) | 0.783 | 1.205 | 804 | 0.611 (0.420, 0.890) | 0.614 (0.423, 0.892) | −0.867 | −0.094 | 473 | 0.874 (0.625, 1.223) | 0.876 (0.624, 1.230) | −0.458 | −0.829 | 495 | 0.401 (0.257, 0.625) | 0.404 (0.260, 0.629) | −1.478 | −0.711 |
| Death | 118 | 4.502 (3.360, 6.033) | 4.408 (3.290, 5.907) | 1.101 | 1.512 | 36 | 0.693 (0.482, 0.998) | 0.696 (0.485, 0.998) | −0.703 | −0.321 | 33 | 0.484 (0.314, 0.747) | 0.487 (0.316, 0.752) | −1.420 | −0.906 | 15 | 0.267 (0.157, 0.452) | 0.269 (0.159, 0.456) | −2.101 | −1.370 |
Disclaimer/Publisher’s Note: The statements, opinions and data contained in all publications are solely those of the individual author(s) and contributor(s) and not of MDPI and/or the editor(s). MDPI and/or the editor(s) disclaim responsibility for any injury to people or property resulting from any ideas, methods, instructions or products referred to in the content. |
© 2024 by the authors. Licensee MDPI, Basel, Switzerland. This article is an open access article distributed under the terms and conditions of the Creative Commons Attribution (CC BY) license (https://creativecommons.org/licenses/by/4.0/).
Share and Cite
Osei, S.P.; Akomaning, E.; Florut, T.F.; Sodhi, M.; Lacy, B.E.; Aldhaleei, W.A.; Bhagavathula, A.S. Gastrointestinal Safety Assessment of GLP-1 Receptor Agonists in the US: A Real-World Adverse Events Analysis from the FAERS Database. Diagnostics 2024, 14, 2829. https://doi.org/10.3390/diagnostics14242829
Osei SP, Akomaning E, Florut TF, Sodhi M, Lacy BE, Aldhaleei WA, Bhagavathula AS. Gastrointestinal Safety Assessment of GLP-1 Receptor Agonists in the US: A Real-World Adverse Events Analysis from the FAERS Database. Diagnostics. 2024; 14(24):2829. https://doi.org/10.3390/diagnostics14242829
Chicago/Turabian StyleOsei, Samuel Prince, Edwin Akomaning, Teodora Francesca Florut, Mohit Sodhi, Brian E. Lacy, Wafa A. Aldhaleei, and Akshaya Srikanth Bhagavathula. 2024. "Gastrointestinal Safety Assessment of GLP-1 Receptor Agonists in the US: A Real-World Adverse Events Analysis from the FAERS Database" Diagnostics 14, no. 24: 2829. https://doi.org/10.3390/diagnostics14242829
APA StyleOsei, S. P., Akomaning, E., Florut, T. F., Sodhi, M., Lacy, B. E., Aldhaleei, W. A., & Bhagavathula, A. S. (2024). Gastrointestinal Safety Assessment of GLP-1 Receptor Agonists in the US: A Real-World Adverse Events Analysis from the FAERS Database. Diagnostics, 14(24), 2829. https://doi.org/10.3390/diagnostics14242829

