Effects of Different Irrigation Regimes on Root Growth and Physiological Characteristics of Mulch-Free Cotton in Southern Xinjiang
Abstract
1. Introduction
2. Materials and Methods
2.1. Overview and Management of Test Area
2.2. Test Materials and Design
2.3. Observation Indicators and Measurement Methods
RWD (g · m−3) = RG/V
3. Results and Discussion
3.1. Effects of Different Water Treatments on Soil Water Content in Mulch-Free Cotton Field
3.2. Effects of Different Water Treatments on Root Growth of Mulch-Free Cotton
3.3. Effects of Different Water Treatments on Chlorophyll Fluorescence Induction Kinetic Parameters of Mulch-Free Cotton
3.4. Effects of Different Water Treatments on the SPAD of Mulch-Free Cotton
3.5. Effects of Different Water Treatments on Leaf Area Index (LAI) of Mulch-Free Cotton
3.6. Effects of Different Water Treatments on Stress Biochemical Substances of Mulch-Free Cotton
3.6.1. Effect on Malondialdehyde (MDA) Content
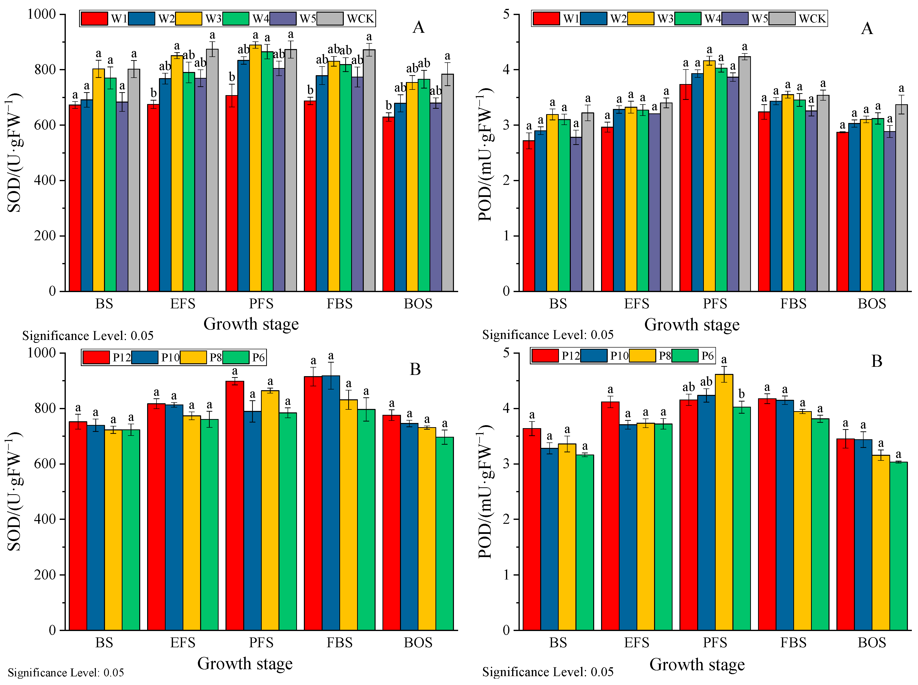
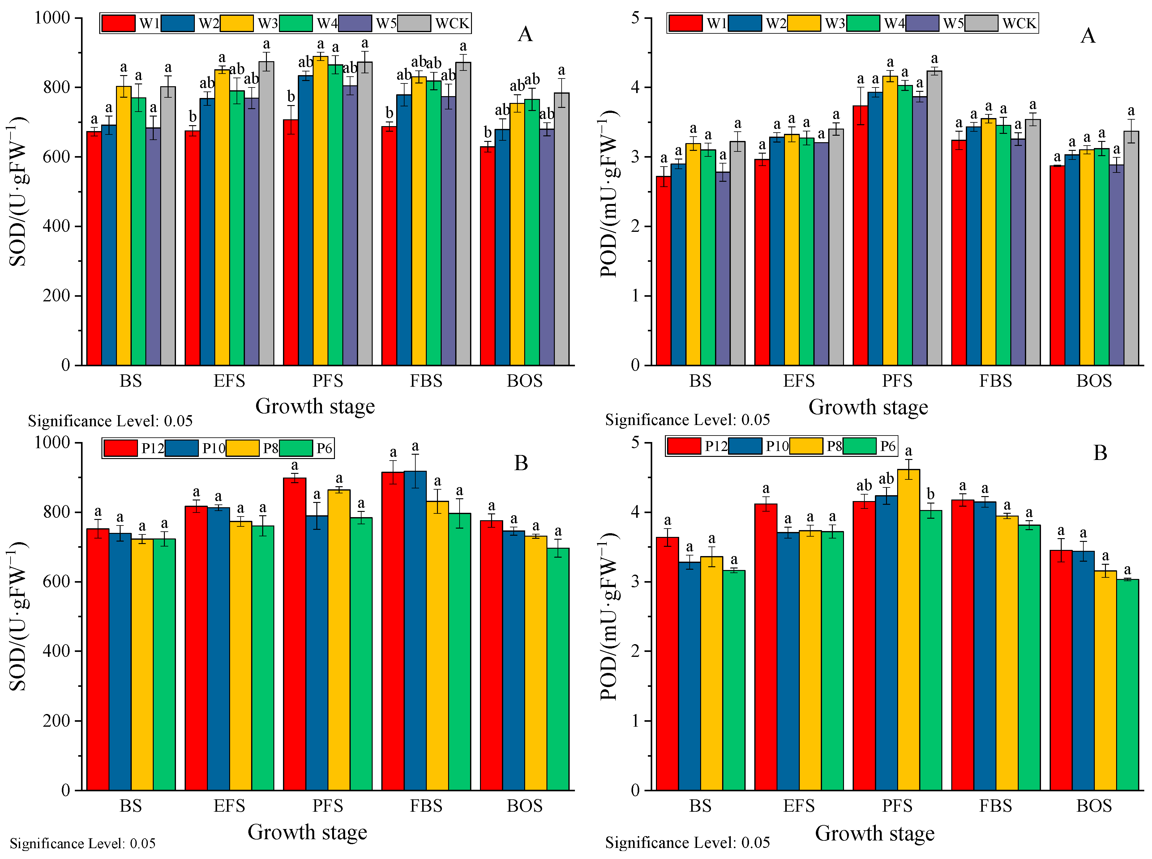
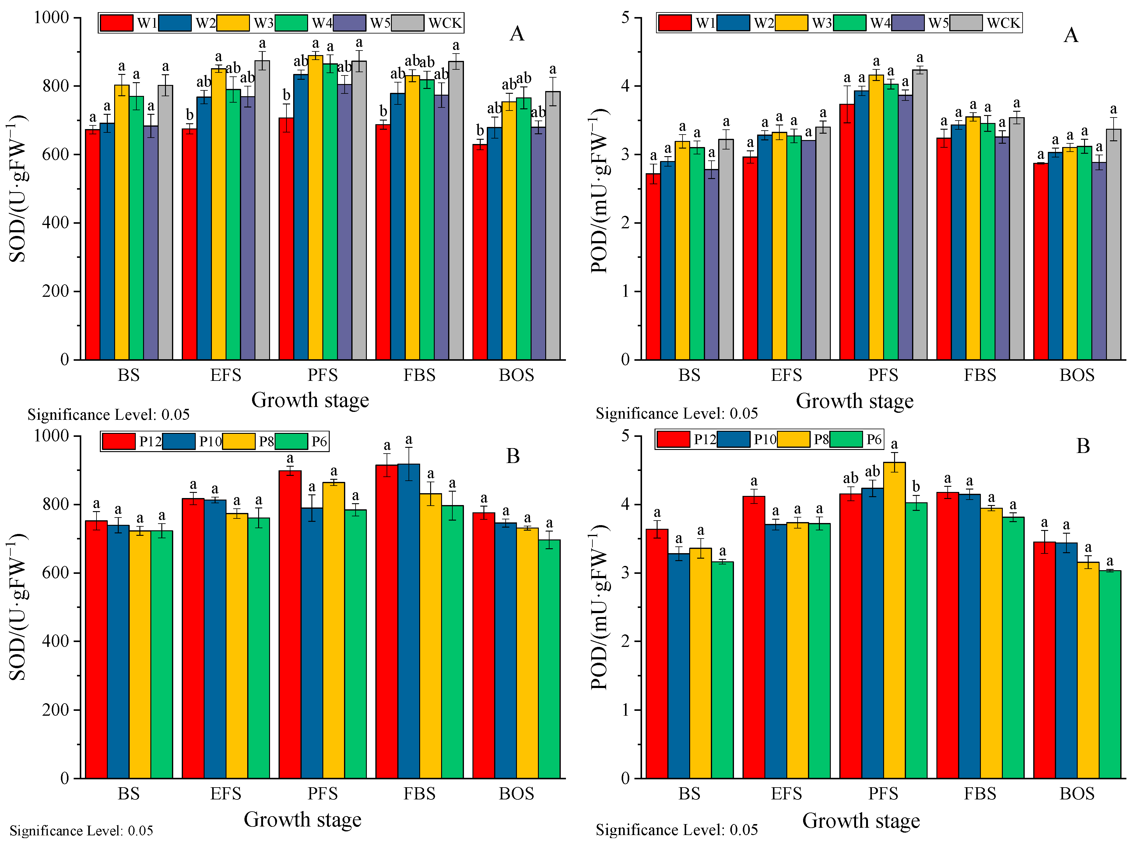
3.6.2. Effect on the Activity of Stress-Protective Enzymes
3.7. Effects of Different Water Treatments on Yield and WUE of Mulch-Free Cotton
3.8. Correlation Analysis Between Different Water Treatments and Root Indexes and Physiological Indexes
4. Discussion
5. Conclusions
Author Contributions
Funding
Institutional Review Board Statement
Informed Consent Statement
Data Availability Statement
Acknowledgments
Conflicts of Interest
References
- Tian, X. Xinjiang Cotton Farming Theory and Modern Cotton Planting Technology; Science Press: Beijing, China, 2016. [Google Scholar]
- Zong, R.; Wang, Z.; Li, W.; Li, H.; Ayantobo, O.O. Effects of practicing long-term mulched drip irrigation on soil quality in northwest china. Sci. Total Environ. 2023, 878, 163247. [Google Scholar] [CrossRef] [PubMed]
- Qi, J.; Zhang, Y.; Dai, J.; Xu, S.; Dong, H. Late-planted short-season cotton without plastic mulching is an alternative to early-planted mulched full-season cotton. Ind. Crops Prod. 2021, 163, 113325. [Google Scholar] [CrossRef]
- Yu, S. The significance of membrane cotton to the transformation and upgrading of China’s cotton industry. J. Agric. 2019, 9, 1–5. [Google Scholar]
- Wen, Q.; Liu, S. No film mulching drip irrigation in Southern Xinjiang: Effects on cotton seedling emergence and growth index. J. Agric. 2021, 11, 19–24. [Google Scholar]
- Wang, H.; Cao, H.; Jiang, F.; Wang, X.; Gao, Y. Analysis of soil moisture, temperature, and salinity in cotton field under non-mulched drip irrigation in South Xinjiang. Agriculture 2022, 12, 1589. [Google Scholar] [CrossRef]
- Yang, K.; Sun, H.; Liu, M.; Zhu, L.; Zhang, K.; Zhang, Y.; Li, A.; Zhang, H.; Zhu, J.; Liu, X.; et al. Morphological and physiological mechanisms of melatonin on delaying drought-induced leaf senescence in cotton. Int. J. Mol. Sci. 2023, 24, 7269. [Google Scholar] [CrossRef]
- Tian, Y.; Fan, S.; Pang, C.; Sun, G.; Zhang, G.; Ye, C.; Yu, H.; Ma, P.; Miao, L.; Xie, Z. Effects of drought stress in the whole period on cotton morphology, physiology, photosynthesis and yield. Acta Agric. Boreali-Sin. 2017, 32, 224–231. [Google Scholar]
- Fan, Z.; Zhang, J.; Shi, J.; Tian, L.; Lin, T.; Guo, R. Effect of soil water content on photosynthetic and yield of drip irrigation in cotton under regulated deficit irrigation. Acta Agric. Boreali-Occident. Sin. 2017, 26, 1461–1469. [Google Scholar] [CrossRef]
- Genty, B.; Briantais, J.M.; Silva, J.B. Effects of drought on primary photosynthetic process of cotton leaves. Plant Physiol. 1987, 83, 360–364. [Google Scholar] [CrossRef]
- Shilpa, B.; Chandrasekhar, C.N.; Pratik, P. Evaluation of physiological and morphological responses associated with cotton subjected to drought stress conditions. Res. J. Biotechnol. 2015, 10, 85–90. [Google Scholar]
- Yang, Y.; Zhan, D.; Zhang, G.; Zhang, Y.; Luo, H.; Zhang, W. Effects of water deficit on photosynthetic properties of leaf and No-leaf green organs and yield in cotton. Xinjiang Agric. Sci. 2015, 52, 1989–1996. [Google Scholar] [CrossRef]
- Yang, B.; Yang, G.; Feng, L.; Han, Y.; Lei, Y.; Fan, Z.; Wang, Z.; Li, Y. Effects of deficit irrigation on cotton growth and water use efficiency: A review. Chin. J. Appl. Ecol. 2021, 32, 1112–1118. [Google Scholar] [CrossRef]
- Wang, J.; Ma, F.; Feng, S.; Liu, Y.; Hou, X.; Zhang, S. Studies on dynamic knowledge model for design of leaf area index in processing tomato. J. Shihezi Univ. Nat. Sci. 2008, 26, 35–40. [Google Scholar] [CrossRef]
- Kanchan, J.; Singh, V.; Sunita, K.; Anshu, R. The interactive effect of high temperature and water deficit stress on nitrogen fixation, photosynthesis, chlorophyll fluorescence, seed yield and quality in soybean (Glycine max). Plant Physiol. Rep. 2023, 29, 125–140. [Google Scholar] [CrossRef]
- Guo, C.; Bao, X.; Sun, H.; Zhu, L.; Zhang, Y.; Zhang, K.; Bai, Z.; Zhu, J.; Liu, X.; Li, A.; et al. Optimizing root system architecture to improve cotton drought tolerance and minimize yield loss during mild drought stress. Field Crops Res. 2024, 308, 109305. [Google Scholar] [CrossRef]
- Yang, B. The Effects and Its Mechanisms of Deficit Irrigation Quota and Frequency on Cotton Yield Formation and Field Environment in Southern Xinjiang; Huazhong Agricultural University: Wuhan, China, 2023. [Google Scholar]
- Luo, L.; Xiao, Q.; Dong, H.; Xu, W.; Li, P.; Ma, Y.; Sun, M.; Shao, J.; Zhang, Y.; Zheng, C. Response of cotton root distribution to irrigation frequency under the one film-three rows cultivation mode in Southern Xinjiang. Cotton Sci. 2023, 35, 51–62. [Google Scholar] [CrossRef]
- Wang, J.; Yang, B.; Cheng, H.; Li, X.; Feng, L.; Lei, Y.; Xiong, S.; Li, X.; Wang, Z.; Li, Y. Effects of plastic film mulching on temporal-spatial migration of soil moisture in drip irrigation cotton field. Xinjiang Agric. Sci. 2021, 58, 1255–1264. [Google Scholar] [CrossRef]
- Li, Z.; Li, Y.; Yang, B.; Cheng, G.; Feng, L.; Fan, Z.; Li, X.; Wang, Z.; Xiong, S.; Lei, Y.; et al. Temporal and spatial Variation characteristics of soil moisture under different irrigation conditions of filmless cotton in Southern Xinjiang. Acta Agric. Boreali-Occident. Sin. 2022, 31, 569–577. [Google Scholar] [CrossRef]
- Sonal, M.; Beomseok, S.; Anjana, J.; Raja, R.K.; Vangimalla, R. Chlorophyll fluorescence is a potential indicator to measure photochemical efficiency in early to late soybean maturity groups under changing day lengths and temperatures. Front. Plant Sci. 2023, 14, 1228464. [Google Scholar] [CrossRef]
- Wang, H.; Ding, Y.; Yao, Q.; Ma, L.; Ma, Y.; Yang, M.; Qin, S.; Xu, F.; Zhang, Z.; Gao, Z. Modeling of cotton yield estimation based on canopy sun-induced chlorophyll fluorescence. Agronomy 2024, 14, 364. [Google Scholar] [CrossRef]
- Massacci, A.; Nabiev, S.M.; Pietrosanti, L.; Nematov, S.K.; Chernikova, T.N.; Thor, K.; Leipner, L. Response of the photosynthetic apparatus of cotton (Gossypium hirsutum) to the onset of drought stress under field conditions studied by gas-exchange analysis and chlorophyll fluorescence imaging. Plant Physiol. Biochem. 2007, 46, 189–195. [Google Scholar] [CrossRef] [PubMed]
- Yi, X.; Zhang, Y.; Yao, H.; Zhang, W. Research progress of the photoprotective mechanisms of cotton leaves under soil water deficit. Plant Physiol. J. 2017, 53, 339–351. [Google Scholar] [CrossRef]
- Xue, H.; Zhang, Y.; Liu, L.; Sun, H.; Li, C. Responses of spectral reflectance, photosynthesis and chlorophyll fluorescence in cotton during drought stress and rewatering. Chin. Agric. Sci. 2013, 46, 2386–2393. [Google Scholar] [CrossRef]
- Dou, Q.; Zhang, J.; He, Q.; Dai, J.; Xie, L.; Zhang, W.; Cheng, X. Effect of reduced drip irrigation on photosynthetic characteristics and yield of cotton during flowering and boll stage in Northern Xinjiang. Agric. Res. Arid. Areas 2021, 39, 51–58. [Google Scholar] [CrossRef]
- Abdukadier, K.; Xia, D.; Zhang, J.; Cui, J.; Guo, R.; Lin, T. Effects of drip irrigation frequency on yield and quality of chemical defoliated cotton. Crops 2019, 35, 113–119. [Google Scholar] [CrossRef]
- Zhao, F.; Wang, X.; Zhang, L.; Guo, Y.; Cheng, G.; Ying, Z.; Li, M.; Wang, H. Mitigating the impact of drought on physiological characteristics and yield of non-film drip-irrigated cotton through fertigation regulation. Cotton Sci. 2024, 36, 14–27. [Google Scholar] [CrossRef]
- Du, G. Effects of Irrigation Methods and Irrigation Amount on Canopy Structure and Canopy Photosynthetic Production in Cotton; Shihezi University: Shihezi, China, 2019. [Google Scholar]
- Li, T.; Gao, Z.; Wang, J.; Shi, Y.; Liu, Q.; Zhou, X.; Cheng, X.; Wang, Y. Effects of different irrigation amounts and densities on photosynthetic characteristics and yield of membrane-free cotton. Xinjiang Agric. Sci. 2022, 59, 797–809. [Google Scholar] [CrossRef]
- Liu, Q.; Li, T.; Wang, J.; Wang, T.; Cheng, X.; Li, H.; Ma, L. Effects of irrigation amount and planting density on leaf stress physiological characteristics and yield of film-free cotton. Shandong Agric. Sci. 2022, 54, 27–33. [Google Scholar] [CrossRef]
- Li, D. The Effect of Drought on Premature Senescence Physiology and Isozyme Spectrum of Antioxidant Enzyme of Cotton Leaves; Hebei Agricultural University: Baoding, China, 2010. [Google Scholar]
- Li, Z.; Wan, S.; Hu, S.; Cheng, G.; Ma, Y.; Zhou, X.; Lei, Y.; Xiong, S.; Xin, M.; Yang, B.; et al. Effect of different irrigation frequency and irrigation quota on spatio-temporal distribution of squares and bolls and yield of filmless cotton in Southern Xinjiang. Cotton Sci. 2022, 34, 383–400. [Google Scholar] [CrossRef]
- Wan, Y.; Li, W.; Wang, J.; Wu, B.; Su, F. Effects of different drip Irrigation rates on root distribution characteristics and yield of cotton under mulch-free cultivation in Southern Xinjiang. Water 2024, 16, 1148. [Google Scholar] [CrossRef]
- Li, N.; Li, J.; Tung, S.; Shi, X.; Hao, X.; Shi, F.; Wahid, M.A.; Ali, B.; Rashid, R.; Wang, J.; et al. Optimal irrigation amount can increase cotton lint yield by improving canopy structure and microenvironment under non-film deep drip irrigation. J. Clean. Prod. 2022, 360, 132156. [Google Scholar] [CrossRef]
- Wang, H. Study on Soil Water, Heat and Salt Characteristics and Irrigation Model of Cotton Fields Without Mulching Drip Irrigation in Southern Xinjiang; Tarim University: Alar, China, 2020. [Google Scholar] [CrossRef]
- Xin, M.; Wei, H.; Yang, B.; Li, X.; Fan, Z.; Han, Y.; Li, Y.; Yu, S. Application effect of membrane-free cultivation mode on cotton production under machine-picked planting mode in Southern Xinjiang. Xinjiang Agric. Sci. 2021, 58, 1265–1274. [Google Scholar] [CrossRef]









| Treatment | Pregnant Bud Stage (5–18) | Early Bud Stage (5–26) | Full Budding Period (6–14) | Early Flowering Stage (6–28) | Full Blooming Period (7–10) | Late Blooming Stage (7–22) | Early Boll Stage (8–5) | Full Boll Stage (8–18) | Early Boll Opening Stage (8–28) | Irrigation Quota |
|---|---|---|---|---|---|---|---|---|---|---|
| W1 | 30 | 30 | 30 | 36 | 36 | 42 | 36 | 30 | 30 | 300 |
| W2 | 37.5 | 37.5 | 37.5 | 45 | 45 | 52.5 | 45 | 37.5 | 37.5 | 375 |
| W3 | 45 | 45 | 45 | 54 | 54 | 63 | 54 | 45 | 45 | 450 |
| W4 | 52.5 | 52.5 | 52.5 | 63 | 63 | 73.5 | 63 | 52.5 | 52.5 | 525 |
| W5 | 60 | 60 | 60 | 72 | 72 | 84 | 72 | 60 | 60 | 600 |
| WCK | 45 | 45 | 45 | 54 | 54 | 63 | 54 | 45 | 45 | 450 |
| Treatment | Early Bud Stage (6–10) | Full Budding Period (6–17) | Full Budding Period (6–20) | Early Flowering Stage (6–24) | Early Flowering Stage (6–27) | Early Flowering Stage (7–1) | Early Flowering Stage (7–7) | Full Flowering Period (7–11) | Full Flowering Period (7–13) |
|---|---|---|---|---|---|---|---|---|---|
| P12 | 27 | 27 | 0 | 36 | 0 | 36 | 45 | 0 | 45 |
| P10 | 36 | 0 | 45 | 0 | 0 | 45 | 0 | 54 | 0 |
| P8 | 0 | 45 | 0 | 0 | 54 | 0 | 54 | 0 | 63 |
| P6 | 0 | 63 | 0 | 0 | 0 | 72 | 0 | 81 | 0 |
| Treatment | Full Flowering Period (7–19) | Full Flowering Period (7–21) | Full Flowering Period (7–26) | Early Boll Stage (8–2) | Early Boll Stage (8–10) | Full Boll Stage (8–12) | Full Boll Stage (8–18) | Early Boll Opening Stage (8–28) | Irrigation Quota |
| P12 | 45 | 0 | 45 | 36 | 36 | 0 | 36 | 36 | 450 |
| P10 | 54 | 0 | 54 | 45 | 45 | 0 | 36 | 36 | 450 |
| P8 | 0 | 63 | 0 | 63 | 0 | 54 | 0 | 54 | 450 |
| P6 | 81 | 0 | 0 | 81 | 0 | 0 | 72 | 0 | 450 |
| Period | Process | F0 | Fm | FV | FV/Fm | FV/F0 | Fm/F0 | PIABS |
|---|---|---|---|---|---|---|---|---|
| Bud stage | W1 | 216.33 a | 723.00 c | 514.73 d | 0.65 d | 2.18 d | 3.26 cd | 2.45 d |
| W2 | 206.00 ab | 724.00 c | 524.41 cd | 0.67 cd | 2.32 cd | 3.18 d | 2.99 c | |
| W3 | 194.33 bc | 740.67 c | 535.64 c | 0.69 bc | 2.26 d | 3.32 cd | 3.24 c | |
| W4 | 188.00 c | 824.67 b | 535.86 c | 0.71 b | 2.55 bc | 3.49 bc | 3.38 c | |
| W5 | 173.00 d | 831.00 b | 598.73 b | 0.71 b | 2.69 b | 3.61 b | 4.38 b | |
| WCK | 198.33 bc | 910.67 a | 740.57 a | 0.77 a | 3.41 a | 4.43 a | 7.66 a | |
| Blossom period | W1 | 246.33 a | 733.67 d | 545.91 d | 0.72 c | 2.52 d | 3.57 d | 5.54 c |
| W2 | 219.00 b | 754.33 cd | 562.91 cd | 0.73 c | 2.79 c | 3.69 cd | 5.20 c | |
| W3 | 214.00 bc | 773.67 c | 580.93 cd | 0.75 bc | 2.84 c | 3.82 cd | 6.42 b | |
| W4 | 193.00 d | 792.33 c | 602.00 c | 0.74 c | 3.00 c | 3.87 c | 6.61 b | |
| W5 | 185.67 d | 847.00 b | 657.94 b | 0.78 b | 3.40 b | 4.48 b | 8.63 a | |
| WCK | 210.67 c | 937.67 a | 740.25 a | 0.81 a | 4.20 a | 5.04 a | 9.09 a | |
| Boll stage | W1 | 275.00 a | 819.67 c | 568.27 d | 0.73 bc | 2.73 c | 3.52 d | 6.34 d |
| W2 | 264.00 b | 849.33 bc | 596.90 c | 0.69 b | 2.48 c | 3.74 c | 7.21 d | |
| W3 | 256.00 bc | 868.33 bc | 609.99 c | 0.74 b | 2.89 bc | 3.83 c | 8.49 c | |
| W4 | 247.33 cd | 891.67 b | 654.23 b | 0.74 b | 2.88 bc | 3.89 c | 8.53 c | |
| W5 | 244.33 d | 855.33 bc | 643.71 b | 0.77 ab | 3.48 ab | 4.31 b | 10.55 b | |
| WCK | 258.00 b | 981.00 a | 750.63 a | 0.80 a | 4.04 a | 5.25 a | 11.79 a | |
| Lint stage | W1 | 201.67 a | 585.00 d | 403.58 c | 0.64 d | 1.99 d | 2.98 d | 2.23 d |
| W2 | 189.67 b | 612.33 cd | 423.48 c | 0.67 cd | 2.02 d | 3.03 d | 3.16 c | |
| W3 | 182.67 bc | 726.33 b | 522.13 b | 0.69 bc | 2.32 c | 3.26 c | 4.08 b | |
| W4 | 176.67 cd | 639.67 c | 426.30 c | 0.70 bc | 2.22 c | 3.22 c | 3.84 b | |
| W5 | 170.67 d | 761.00 a | 543.65 b | 0.73 ab | 2.49 b | 3.48 b | 4.83 a | |
| WCK | 183.67 bc | 792.33 a | 604.15 a | 0.76 a | 2.82 a | 3.68 a | 5.00 a |
| Period | Process | F0 | Fm | FV | FV/Fm | FV/F0 | Fm/F0 | PIABS |
|---|---|---|---|---|---|---|---|---|
| Bud stage | P12 | 192.67 c | 694.67 a | 408.29 a | 0.60 a | 1.52 a | 2.51 a | 1.16 a |
| P10 | 271.67 b | 622.33 b | 384.32 b | 0.55 ab | 1.49 a | 2.24 b | 0.84 b | |
| P8 | 245.00 b | 622.00 b | 335.08 c | 0.52 bc | 1.21 b | 2.22 b | 0.46 c | |
| P6 | 324.00 a | 568.33 c | 321.05 c | 0.47 c | 1.18 b | 2.18 b | 0.44 c | |
| Blossom period | P12 | 289.33 b | 916.33 a | 682.54 a | 0.70 a | 2.51 a | 3.50 a | 3.52 a |
| P10 | 278.33 b | 852.00 ab | 575.75 b | 0.64 bc | 1.88 b | 3.39 a | 2.79 bc | |
| P8 | 288.67 b | 795.67 b | 549.38 b | 0.67 ab | 2.36 a | 2.71 b | 3.2 ab | |
| P6 | 439.67 a | 641.67 c | 474.07 c | 0.60 c | 1.66 c | 2.49 b | 2.47 c | |
| Boll stage | P12 | 288.33 b | 993.33 a | 750.93 a | 0.80 a | 3.91 a | 4.91 a | 9.51 a |
| P10 | 243.33 b | 990.00 a | 711.43 b | 0.74 b | 3.28 b | 4.06 b | 9.12 a | |
| P8 | 386.00 a | 920.00 b | 745.26 ab | 0.73 b | 3.06 b | 4.27 b | 6.31 b | |
| P6 | 430.67 a | 915.67 b | 660.39 c | 0.65 c | 2.38 c | 3.38 c | 4.59 c | |
| Lint stage | P12 | 193.33 b | 861.67 a | 406.19 a | 0.60 a | 1.53 a | 2.53 a | 2.29 a |
| P10 | 189.00 b | 630.67 c | 381.63 ab | 0.58 ab | 1.33 b | 2.33 b | 1.48 b | |
| P8 | 219.67 b | 679.00 b | 365.02 bc | 0.55 b | 1.13 c | 2.12 c | 1.00 c | |
| P6 | 288.00 a | 628.67 c | 340.65 c | 0.54 b | 1.03 c | 2.03 c | 0.90 c |
Disclaimer/Publisher’s Note: The statements, opinions and data contained in all publications are solely those of the individual author(s) and contributor(s) and not of MDPI and/or the editor(s). MDPI and/or the editor(s) disclaim responsibility for any injury to people or property resulting from any ideas, methods, instructions or products referred to in the content. |
© 2025 by the authors. Licensee MDPI, Basel, Switzerland. This article is an open access article distributed under the terms and conditions of the Creative Commons Attribution (CC BY) license (https://creativecommons.org/licenses/by/4.0/).
Share and Cite
Su, F.; Guo, Z.; Wu, B.; Wang, J.; Chen, S. Effects of Different Irrigation Regimes on Root Growth and Physiological Characteristics of Mulch-Free Cotton in Southern Xinjiang. Life 2025, 15, 435. https://doi.org/10.3390/life15030435
Su F, Guo Z, Wu B, Wang J, Chen S. Effects of Different Irrigation Regimes on Root Growth and Physiological Characteristics of Mulch-Free Cotton in Southern Xinjiang. Life. 2025; 15(3):435. https://doi.org/10.3390/life15030435
Chicago/Turabian StyleSu, Feiyan, Ziyang Guo, Bingrong Wu, Jichuan Wang, and Shuangrong Chen. 2025. "Effects of Different Irrigation Regimes on Root Growth and Physiological Characteristics of Mulch-Free Cotton in Southern Xinjiang" Life 15, no. 3: 435. https://doi.org/10.3390/life15030435
APA StyleSu, F., Guo, Z., Wu, B., Wang, J., & Chen, S. (2025). Effects of Different Irrigation Regimes on Root Growth and Physiological Characteristics of Mulch-Free Cotton in Southern Xinjiang. Life, 15(3), 435. https://doi.org/10.3390/life15030435
