Improved Inhibitors Targeting the Thymidylate Kinase of Multidrug-Resistant Mycobacterium tuberculosis with Favorable Pharmacokinetics
Abstract
1. Introduction


2. Materials and Methods
2.1. Training and Validation Sets
2.2. Model Building
2.3. Molecular Mechanics
2.4. Conformational Search
2.5. Solvation Gibbs Free Energies
2.6. Entropic Contribution
2.7. PH4 Pharmacophore Generation
2.8. ADME-Related Properties
2.9. Virtual Combinatorial Library
2.10. Inhibitory Potency Prediction
2.11. Molecular Dynamics
3. Results and Discussion
3.1. QSAR Model of Thymidylate Kinase Inhibition
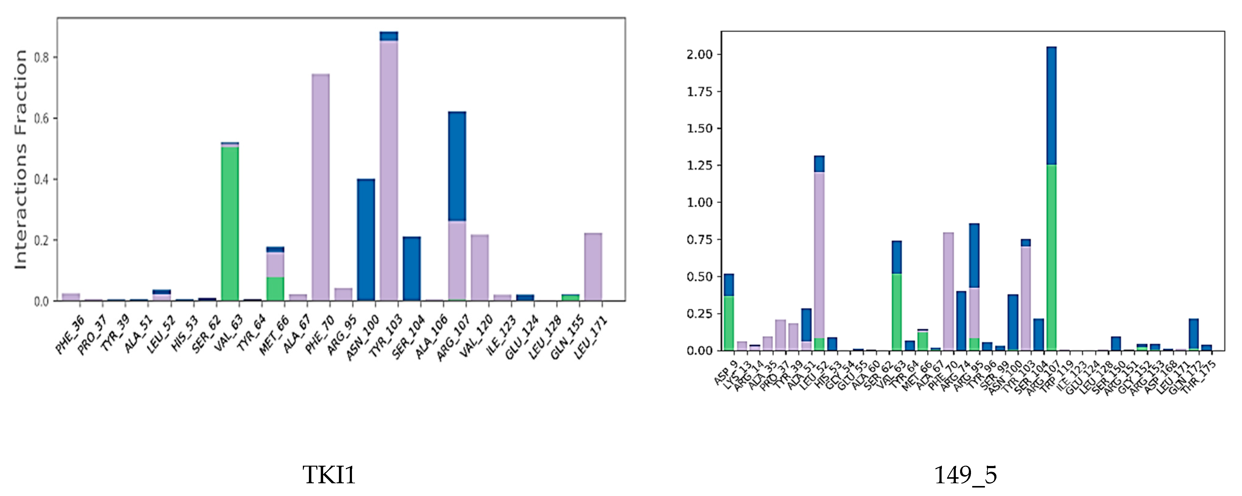
3.2. Binding Mode of TKIs
3.3. D-QSAR Pharmacophore Model
3.4. Virtual Combinatorial Library of TKIs
3.5. New Inhibitors of MtbTMK
3.6. ADME-Related Properties of New TKI Analogs
3.7. Molecular Dynamics Simulations
4. Conclusions
Author Contributions
Funding
Institutional Review Board Statement
Informed Consent Statement
Data Availability Statement
Conflicts of Interest
Abbreviations
| 2D | Two-dimensional |
| 3D | Three-dimensional |
| ADME | Absorption, distribution, metabolism, and excretion |
| ATP | Adenosine triphosphate |
| GFE | Gibbs free energy |
| ∆∆Gcom | Relative GFE of formation of enzyme–inhibitor complex |
| ∆∆Gsol | Solvation component of the relative GFE |
| HBA | Hydrogen bond acceptor |
| HBD | Hydrogen bond donor |
| ∆∆HMM | Enthalpy component of the relative GFE |
| HOA | Human oral absorption |
| HYD | Hydrophobic |
| HYDA | Hydrophobic aliphatic |
| Observed half-maximal inhibitory concentration | |
| Predicted half-maximal inhibitory concentration | |
| IE | Interaction energy |
| LHP | Large hydrophobic pocket |
| MD | Molecular dynamics |
| MM | Molecular mechanics |
| MM-PBSA | Molecular mechanics–Poisson–Boltzmann surface area |
| NAD | Nicotinamide adenine dinucleotide |
| Mtb | Mycobacterium tuberculosis |
| MtbTMK | Mycobacterium tuberculosis thymidylate kinase |
| PDB | Protein Data Bank |
| PH4 | Pharmacophore model |
| QSAR | Quantitative structure–activity relationships |
| RMSD | Root mean square deviation |
| TB | Tuberculosis |
| TKIx | Inhibitors included in TS |
| TKIVx | Inhibitors included in VS |
| TS | Training set |
| VS | Validation set |
References
- Alsayed, S.S.R.; Gunosewoyo, H. Tuberculosis: Pathogenesis, Current Treatment Regimens and New Drug Targets. Int. J. Mol. Sci. 2023, 24, 5202. [Google Scholar] [CrossRef]
- World Health Organization (WHO). Global Tuberculosis Report 2024; WHO: Geneva, Switzerland, 2024; Available online: https://iris.who.int/bitstream/handle/10665/379339/9789240101531-eng.pdf?sequence=1 (accessed on 10 December 2024).
- Ministère de la Santé et de l’Hygiène Publique (MSHP). Rapport annuel du Programme National de Lutte contre la Tuberculose (PNLT); WHO: Geneva, Switzerland, 2015.
- World Health Organization (WHO). Guidelines for the Treatment of Drug-Resistant Tuberculosis; WHO: Geneva, Switzerland, 2019. [Google Scholar]
- Murray, P.R.; Rosenthal, K.S.; Pfaller, M.A. Medical Microbiology, 9th ed.; Elsevier: Philadelphia, PA, USA, 2020; ISBN 9780323673228. [Google Scholar]
- Nikaido, H. Preventing drug access to targets: Cell surface permeability barriers and active efflux in bacteria. Semin. Cell Dev. Biol. 2001, 12, 215–223. [Google Scholar] [CrossRef]
- Falzon, D.; Gandhi, N.; Migliori, G.B.; Sotgiu, G.; Cox, H.S.; Holtz, T.H.; Hollm-Delgado, M.-G.; Keshavjee, S.; DeRiemer, K.; Centis, R.; et al. Resistance to fluoroquinolones and second-line injectable drugs: Impact on multidrug-resistant TB outcomes. Eur. Respir. J. 2013, 42, 156–168. [Google Scholar] [CrossRef] [PubMed]
- Diacon, A.H.; Pym, A.; Grobusch, M.; de los Rios, J.M.; Gotuzzo, E.; Vasilyeva, I.; Leimane, V.; Andries, K.; Bakare, N.; De Marez, T.; et al. Multidrug-resistant tuberculosis and culture conversion with bedaquiline. N. Engl. J. Med. 2014, 371, 723–732. [Google Scholar] [CrossRef]
- Zumla, A.; Nahid, P.; Cole, S.T. Advances in the development of new tuberculosis drugs and treatment regimens. Nat. Rev. Drug Discov. 2013, 12, 388–404. [Google Scholar] [CrossRef] [PubMed]
- Song, L.; Merceron, R.; Gracia, B.; Quintana, A.L.; Risseeuw, M.D.P.; Hulpia, F.; Cos, P.; Aínsa, J.A.; Munier-Lehmann, H.; Savvides, S.N.; et al. Structure guided lead generation toward nonchiral M. tuberculosis thymidylate kinase inhibitors. J. Med. Chem. 2018, 61, 2753–2775. [Google Scholar] [CrossRef]
- Merceron, R.; Song, L.; Munier-Lehmann, H.; Van Calenbergh, S.; Savvides, S.; Mtb TMK Crystal Structure in Complex with Compound LS3080. Crystal Structure in the Protein Data Bank, Entry 5NRN, Released 8-8-2018. Available online: https://www.rcsb.org (accessed on 22 January 2025).
- Song, L.; Risseeuw, M.P.D.; Froeyen, M.; Karalic, I.; Goeman, J.; Cappoen, D.; Van der Eycken, J.; Cos, P.; Munier-Lehmann, H.; Van Calenbergh, S. Elaboration of a proprietary thymidylate kinase inhibitor motif towards anti-tuberculosis agents. Bioorg. Med. Chem. 2016, 24, 5172–5182. [Google Scholar] [CrossRef] [PubMed][Green Version]
- Gupta, A.K.; Kaul, M.; Zhang, Y. New antituberculosis drugs and regimens: 2015 update. Expert Rev. Anti. Infect. Ther. 2015, 13, 1065–1080. [Google Scholar] [CrossRef]
- Kitchen, D.B.; Decornez, H.; Furr, J.R.; Bajorath, J. Docking and scoring in virtual screening for drug discovery: Methods and applications. Nat. Rev. Drug Discov. 2004, 3, 935–949. [Google Scholar] [CrossRef]
- Insight-II and Discover Molecular Modeling and Simulation Package; Release 2005; Accelrys Inc.: San Diego, CA, USA, 2005.
- Massova, I.; Kollman, P.A. Combined molecular mechanical and continuum solvent approach (MM-PBSA/GBSA) to predict ligand binding. Perspect. Drug Discov. Des. 2000, 18, 113–135. [Google Scholar] [CrossRef]
- Song, L.; Merceron, R.; Hulpia, F.; Lucía, A.; Gracia, B.; Jian, Y.; Risseeuw, M.D.; Verstraelen, T.; Cos, P.; Aínsa, J.A.; et al. Structure-aided optimization of non-nucleoside M. tuberculosis thymidylate kinase inhibitors. Eur. J. Med. Chem. 2021, 225, 113784. [Google Scholar] [CrossRef] [PubMed]
- Van Calenbergh, S.; Pochet, S.; Munier-Lehmann, H. Drug design and identification of potent leads against Mycobacterium tuberculosis thymidine monophosphate kinase. Curr. Top. Med. Chem. 2012, 12, 694–705. [Google Scholar] [CrossRef]
- Munier-Lehmann, H.; Chaffotte, A.; Pochet, S.; Labesse, G. Thymidylate kinase de Mycobacterium tuberculosis: Une chimère partageant des propriétés communes aux enzymes eucaryotes et bactériennes. Protein Sci. 2001, 10, 1195–1205. [Google Scholar] [CrossRef] [PubMed]
- Frecer, V.; Seneci, P.; Miertus, S. Computer-assisted combinatorial design of bicyclic thymidine analogs as inhibitors of Mycobacterium tuberculosis thymidine monophosphate kinase. J. Comput.-Aided Mol. Des. 2011, 25, 31–49. [Google Scholar] [CrossRef] [PubMed]
- Lin, S.K. Pharmacophore perception, development and use in drug design. Edited by O.F. Güner. Molecules 2000, 5, 987–989. [Google Scholar] [CrossRef]
- Kouassi, A.F.; Kone, M.; Keita, M.; Esmel, A.; Megnassan, E.; N’Guessan, Y.T.; Frecer, V.; Miertus, S. Computer-aided design of orally bioavailable pyrrolidine carboxamide inhibitors of Enoyl-Acyl Carrier Protein Reductase of Mycobacterium tuberculosis with favorable pharmacokinetic profiles. Int. J. Mol. Sci. 2015, 16, 29744–29771. [Google Scholar] [CrossRef]
- Maple, J.R.; Hwang, M.-J.; Stockfisch, T.P.; Dinur, U.; Waldman, M.; Ewig, C.S.; Hagler, A.T. Derivation of class II force fields. I. Methodology and quantum force field for the alkyl functional group and alkane molecules. J. Comput. Chem. 1994, 15, 162–182. [Google Scholar] [CrossRef]
- Dauber-Osguthorpe, P.; Hagler, A.T. Biomolecular force fields: Where have we been, where are we now, where do we need to go and how do we get there? J. Comput.-Aided Mol. Des. 2019, 33, 133–203. [Google Scholar] [CrossRef] [PubMed]
- Frecer, V.; Berti, F.; Benedetti, F.; Miertus, S. Design of peptidomimetic inhibitors of aspartic protease of HIV-1 containing –PheΨPro– core and displaying favourable ADME-related properties. J. Mol. Graph. Model. 2008, 27, 376–387. [Google Scholar] [CrossRef]
- Keita, M.; Kumar, A.; Dali, B.; Megnassan, E.; Siddiqi, M.I.; Frecer, V.; Miertus, S. Quantitative structure–activity relationships and design of thymine-like inhibitors of thymidine monophosphate kinase of Mycobacterium tuberculosis with favourable pharmacokineticprofiles. RSC Adv. 2014, 4, 55853–55866. [Google Scholar] [CrossRef]
- Frecer, V.; Burello, E.; Miertus, S. Combinatorial design of nonsymmetrical cyclic urea inhibitors of aspartic protease of HIV-1. Bioorg. Med. Chem. 2005, 13, 5492–5501. [Google Scholar] [CrossRef]
- Gilson, M.K.; Honig, B. The inclusion of electrostatic hydration energies in molecular mechanics calculations. J. Comput.-Aided Mol. Des. 1991, 5, 5–20. [Google Scholar] [CrossRef] [PubMed]
- Rocchia, W.; Sridharan, S.; Nicholls, A.; Alexov, E.; Chiabrera, A.; Honig, B. Rapid grid-based construction of the molecular surface and the use of induced surface charge to calculate reaction field energies: Applications to the molecular systems and geometric objects. J. Comput. Chem. 2002, 23, 128–137. [Google Scholar] [CrossRef]
- Böttcher, C.J.F. Theory of Electric Polarization; eBook; Elsevier: Amsterdam, The Netherlands, 1973; ISBN 9780444600066. [Google Scholar]
- Discovery Studio Molecular Modeling and Simulation Program, version 2.5; Accelrys, Inc.: San Diego, CA, USA, 2009.
- Miertus, S.; Frecer, V. Continuum models of environmental effects on molecular structure and mechanisms in chemistry and biology. J. Math. Chem. 1992, 10, 183–204. [Google Scholar] [CrossRef]
- Fischer, S.; Smith, J.C.; Verma, C.S. Dissecting the vibrational entropy change on protein/ligand binding: Burial of a water molecule in bovine pancreatic trypsin inhibitor. J. Phys. Chem. B 2001, 105, 8050–8055. [Google Scholar] [CrossRef]
- Frecer, V.; Majekova, M.; Miertus, S. Approximate methods for solvent effect calculations on biomolecules. J. Mol. Struct. THEOCHEM 1989, 52, 403–419. [Google Scholar] [CrossRef]
- Güner, O.F.; Bowen, J.P. Setting the record straight: The origin of the pharmacophore concept. J. Chem. Inf. Model. 2014, 54, 1269–1283. [Google Scholar] [CrossRef]
- Schueler, F.W. Chemobiodynamics and Drug Design; McGraw-Hill: New York, NY, USA, 1960. [Google Scholar]
- Güner, O.F. History and Evolution of the Pharmacophore Concept in Computer-Aided Drug Design. Curr. Med. Chem. 2002, 2, 1321–1332. [Google Scholar] [CrossRef]
- Jorgensen, W.L.; Duffy, E.M. Prediction of drug solubility from Monte Carlo simulations. Bioorg. Med. Chem. Lett. 2000, 10, 1155–1158. [Google Scholar] [CrossRef] [PubMed]
- Jorgensen, W.L.; Duffy, E.M. Prediction of drug solubility from structure. Adv. Drug Deliv. Rev. 2002, 54, 355–366. [Google Scholar] [CrossRef] [PubMed]
- Bowers, K.J.; Chow, E.; Xu, H.; Dror, R.O.; Eastwood, M.P.; Gregersen, B.A.; Klepeis, J.L.; Kolossvary, I.; Moraes, M.A.; Sacerdoti, F.D.; et al. Scalable algorithms for molecular dynamics simulations on commodity clusters. In Proceedings of the ACM/IEEE Conference on Supercomputing (SC06), Tampa, FL, USA, 11–17 November 2006. [Google Scholar]
- Owono, L.C.; Keita, M.; Megnassan, E.; Frecer, V.; Miertus, S. Design of Thymidine Analogues Targeting Thymidilate Kinase of Mycobacterium tuberculosis. Tuberc. Res. Treat. 2013, 2013, 670836. [Google Scholar] [CrossRef]
- Willett, P. Molecular Similarity in Drug Design; Dean, P.M., Ed.; Chapman and Hall: Glasgow, UK, 1994; pp. 110–137. [Google Scholar]
- Desmond Molecular Dynamics System, (Release 2021–2); Schrödinger LLC: New York, NY, USA, 2021.
- Frecer, V.; Miertus, S. Antiviral agents against COVID-19: Structure-based design of specific peptidomimetic inhibitors of SARS-CoV-2 main protease. RSC Adv. 2020, 10, 40244–40263. [Google Scholar] [CrossRef]
- Sapse, A.M.; Schweitzer, B.S.; Dicker, A.P.; Bertino, J.R.; Frecer, V. Ab initio studies of aromatic-aromatic and aromatic-polar interactions in the binding of substrate and inhibitor to dihydrofolate-reductase. Int. J. Pept. Protein Res. 1992, 39, 18–23. [Google Scholar] [CrossRef] [PubMed]
- Miertus, S.; Frecer, V.; Chiellini, E.; Chiellini, F.; Solaro, R.; Tomasi, J. Molecular interactions and inclusion phenomena in substituted β-cyclodextrins: Simple inclusion probes:: H2O, C, CH4, C6H6, NH4+, HCOO−. J. Incl. Phenom. Mol. Recog. Chem. 1998, 32, 23–46. [Google Scholar] [CrossRef]
- Bieri, C.; Akori, E. Structure-Based Design and Pharmacophore-Based Virtual Screening of Combinatorial Library of Triclosan Analogues Active against Enoyl-Acyl Carrier Protein Reductase of Plasmodium falciparum with Favourable ADME Profiles. Int. J. Mol. Sci. 2023, 24, 6916. [Google Scholar] [CrossRef]
- Guardia, A.; Gulten, G.; Fernandez, R.; Gómez, J.; Wang, F.; Convery, M.; Blanco, D.; Martínez, M.; Pérez-Herrán, E.; Alonso, M.; et al. N-Benzyl-4-((heteroaryl)methyl)benzamides: A new class of direct NADH-dependent 2-trans enoyl–acyl carrier protein reductase (InhA) inhibitors with antitubercular activity. ChemMedChem 2016, 11, 687–701. [Google Scholar] [CrossRef]
- BIOVIA. Available Chemicals Directory (ACD). 2022. Available online: https://www.psds.ac.uk/acd (accessed on 11 March 2023).
- QikProp, 6.5; (Release 139); Schrödinger LLC: New York, NY, USA, 2019.













| TKI Scaffolds [10] | |||||||
|---|---|---|---|---|---|---|---|
![]() | ![]() | ![]() | |||||
| TKI Scaffold | Training Set Inhibitor | R-Group | [µM] | TKI Scaffold | Training Set Inhibitor | R-Group | [µM] |
| I | TKI1 | ![]() | 0.95 | I | TKI10 | ![]() | 25 |
| I | TKI2 | ![]() | 1.8 | I | TKI11 | ![]() | 25 |
| I | TKI3 | ![]() | 6.1 | I | TKI12 | ![]() | 26 |
| I | TKI4 | ![]() | 9 | I | TKI13 | ![]() | 27 |
| II | TKI5 | ![]() | 10 | I | TKI14 | ![]() | 38 |
| I | TKI6 | ![]() | 11 | I | TKI15 | ![]() | 49 |
| I | TKI7 | ![]() | 17 | I | TKI16 | ![]() | 72 |
| I | TKI8 | ![]() | 20 | I | TKI17 | ![]() | 75 |
| I | TKI9 | ![]() | 23 | I | TKI18 | ![]() | 96 |
| I | TKI25 | ![]() | 235 | I | TKI19 | ![]() | 113 |
| I | TKI26 | ![]() | 254 | I | TKI20 | ![]() | 114 |
| I | TKI27 | ![]() | 328 | I | TKI21 | ![]() | 129 |
| III | TKI28 | ![]() | 832 | I | TKI22 | ![]() | 141 |
| III | TKI29 | ![]() | 944 | I | TKI23 | ![]() | 142 |
| I | TKI30 | ![]() | 1115 | I | TKI24 | ![]() | 143 |
| III | TKI31 | ![]() | 1910 | ||||
| TKI scaffold | Validation set inhibitor | R-group | [µM] | TKI scaffold | Validation set inhibitor | R-group | [µM] |
| I | TKIV1 | ![]() | 1.1 | I | TKIV4 | ![]() | 40. |
| I | TKIV2 | ![]() | 7.1 | I | TKIV5 | ![]() | 168 |
| I | TKIV3 | ![]() | 27 | III | TKIV6 | ![]() | 1142 |
| Training Set a | ∆∆HMM b [kcal/mol] | ∆∆Gsol c [kcal/mol] | ∆∆TSvib d [kcal/mol] | ∆∆Gcom e [kcal/mol] | f [μM] |
|---|---|---|---|---|---|
| TKI1 | 0 | 0 | 0 | 0 | 0.95 |
| TKI2 | 6.4 | −0.5 | −0.6 | 6.5 | 1.8 |
| TKI3 | 29.6 | 1.6 | 4.4 | 26.7 | 6.1 |
| TKI4 | 42.0 | −7.7 | 6.5 | 27.8 | 9 |
| TKI5 | 35.5 | 3.67 | 5.5 | 33.7 | 10 |
| TKI6 | 46.1 | −0.3 | 6.1 | 39.7 | 11 |
| TKI7 | 54.4 | −4.4 | 6.4 | 43.6 | 17 |
| TKI8 | 55.1 | −4.3 | 6.9 | 44.0 | 20 |
| TKI9 | 54.0 | −4.8 | 5.4 | 43.9 | 23 |
| TKI10 | 60.0 | −4.5 | 6.8 | 48.6 | 25 |
| TKI11 | 55.4 | −3.6 | 7.3 | 44.5 | 25 |
| TKI12 | 56.8 | −4.9 | 6.5 | 45.5 | 26 |
| TKI13 | 62.5 | −8.9 | 6.0 | 47.6 | 29 |
| TKI14 | 57.7 | −1.1 | 7.2 | 49.4 | 38 |
| TKI15 | 63.2 | −4.6 | 4.5 | 54.2 | 49 |
| TKI16 | 64.0 | −4.3 | 7.0 | 52.7 | 72 |
| TKI17 | 64.6 | −4.2 | 4.8 | 55.6 | 75 |
| TKI18 | 56.6 | 1.4 | 3.2 | 54.8 | 96 |
| TKI19 | 65.2 | −5.2 | 6.4 | 53.6 | 113 |
| TKI20 | 61.9 | −1.3 | 4.6 | 56.0 | 114 |
| TKI21 | 68.1 | −3.9 | 5.4 | 58.8 | 129 |
| TKI22 | 66.6 | −2.6 | 4.9 | 59.1 | 141 |
| TKI23 | 68.8 | −4.5 | 4.7 | 59.6 | 142 |
| TKI24 | 63.5 | 3.0 | 5.0 | 61.5 | 143 |
| TKI25 | 78.5 | 0.2 | 3.1 | 75.6 | 235 |
| TKI26 | 77.6 | 5.3 | 4.8 | 78.1 | 254 |
| TKI27 | 83.4 | 8.7 | 8.9 | 83.1 | 328 |
| TKI28 | 79.0 | 13.1 | −1.0 | 93.0 | 832 |
| TKI29 | 82.3 | 13.1 | 4.4 | 91.0 | 944 |
| TKI30 | 92.2 | 11.8 | 11.3 | 92.7 | 1115 |
| TKI31 | 111.5 | 13.3 | 9.4 | 115.4 | 1910 |
| Validation set a | ∆∆HMM b [kcal/mol] | ∆∆Gsol c [kcal/mol] | ∆∆TSvib d [kcal/mol] | ∆∆Gcom e [kcal/mol] | / g |
| TKIV1 | 4.2 | −1.9 | 0.9 | 1.4 | 0.99 |
| TKIV2 | 36.4 | −0.1 | 2.5 | 33.7 | 0.95 |
| TKIV3 | 46.4 | −0.7 | 6.8 | 38.9 | 1.03 |
| TKIV4 | 61.7 | −3.9 | 3.8 | 54.0 | 0.97 |
| TKIV5 | 77.3 | −3.0 | 6.2 | 68.1 | 1.01 |
| TKIV6 | 90.6 | 6.9 | 4.3 | 93.2 | 1.03 |
| Statistical Data of Regression | Equation (1) | Equation (2) |
|---|---|---|
| = −0.0335 × ∆∆HMM + 6.2453 (1) = −0.0312 × ∆∆Gcom + 5.9382 (2) | ||
| Number of compounds in TS | 31 | 31 |
| Squared correlation coefficient of regression R2 | 0.90 | 0.95 |
| Cross-validated squared correlation coefficient R2xv | 0.89 | 0.95 |
| Standard error of regression σ | 0.24 | 0.16 |
| Statistical significance of regression, Fisher F-test | 265.97 | 612.29 |
| Level of statistical significance α | >95% | >95% |
| Range of experimental activities [μM] | 0.95–1910 | |
| Hypothesis | RMSD a | R2 b | Total Cost c | Costs Difference d | Closest Random e | Features f |
|---|---|---|---|---|---|---|
| Hypo1 | 3.34 | 0.92 | 277.92 | 1058.5 | 634.07 | HBA, HYD-AL, HYD-AL, HYD, Ar |
| Hypo2 | 3.46 | 0.91 | 292.90 | 1043.5 | 657.28 | HBA, HYD-AL, HYD, HYD, Ar |
| Hypo3 | 3.47 | 0.91 | 293.85 | 1042.6 | 670.39 | HBA, HYD-AL, HYD, HYD, Ar |
| Hypo4 | 3.49 | 0.91 | 296.58 | 1039.8 | 673.41 | HBA, HYD-AL, HYD, HYD, Ar |
| Hypo5 | 3.50 | 0.91 | 297.17 | 1039.3 | 683.53 | Ar, HBA, HYD-AL, HYD-AL, HYD |
| Hypo6 | 3.51 | 0.91 | 299.60 | 1036.8 | 686.07 | HBA, HYD, HYD, HYD, Ar |
| Hypo7 | 3.56 | 0.90 | 304.88 | 1031.5 | 695.91 | HBA, HYD-AL, HYD, HYD, Ar |
| Hypo8 | 3.64 | 0.90 | 315.45 | 1021.0 | 709.05 | HBA, HYD-AL, HYD, HYD, Ar |
| Hypo9 | 3.67 | 0.90 | 319.53 | 1016.9 | 744.34 | HBA, HYD-AL, HYD, HYD, Ar |
| Hypo10 | 3.37 | 0.90 | 324.07 | 1012.4 | 747.03 | HBA, HYD, HYD, HYD, Ar |
| Fixed cost | 0 | 1 | 82.55 | |||
| Null cost | 0 | 0 | 1336.43 |
| TKI Scaffold IV | ![]() | ||||
|---|---|---|---|---|---|
| R1 and R2 Groups | |||||
| 1 | Fluoro | 2 | Chloro | 3 | propyl |
| 4 | Methyl | 5 | Pentyl | 6 | Methoxy |
| 7 | Isobutyl | 8 | Propylaldehyde | 9 | Heptylaldehyde |
| 10 | butylaldehyde | 11 | Pentylaldehyde | 12 | Acetaldehyde |
| 13 | Ethyl-1-ene | 14 | 3-methylpentanal | 15 | 3-phenylpropanal |
| 16 | 3-methylbutanal | 17 | Propyl-1,2-diene | 18 | Propyl-1-ene |
| 19 | Formaldehyde | 20 | Benzaldehyde | 21 | Formic acid |
| 22 | 3-(1H-pyrrol-2-yl)propanal | 23 | Hydroxyl | 24 | Ethenone |
| 25 | Ethenethione | 26 | Phenyl | 27 | Cyclohexyl |
| 28 | 4-methylphenyl | 29 | 4-ethylphenyl | 30 | 3-fluorophenyl |
| 31 | 4-fluorophenyl | 32 | m-3-hydroxyphenyl | 33 | p-3-hydroxyphenyl |
| 34 | 3,5-dihydroxyphenyl Thiopyran | 35 | Thiopyran-3-yl | 36 | Thiopyran-4-yl |
| 37 | Methylbenzene | 38 | p-xylene | 39 | 1-(fluoromethyl)-3-methylbenzene |
| 40 | 1-(fluoromethyl)-4-methylbenzene | 41 | m-methylphenol | 42 | p-methylphenol |
| 43 | methyl-4-methoxybenzene | 44 | 6-methylpyridine-3-thiol | 45 | 4-methylbenzenethiol |
| 46 | 4-methyl-2H-pyran | 47 | 2,5-dimethylfuran | 48 | 2-methylthiophene |
| 49 | 2,5-dimethylthiophene | 50 | 2,3-dimethylthiophene | 51 | 2-thienyl |
| 52 | 2-methylthienyl | 53 | 3-methylthienyl | 54 | Furyl |
| 55 | 3-methylfuryl | 56 | phenylamide | 57 | p-benzoyl acid |
| 58 | m-benzoyl acid | 59 | Cyclopenta-1,3-diene-5-yl | 60 | 3-methylcyclopenta-1,3-diene-5-yl |
| 61 | 3-ethylcyclopenta-1,3-diene-5-yl | 62 | 3-methoxycyclopenta-1,3-diene-5-yl | 63 | 2-methyloxazole |
| 64 | 2-methylthiazole | 65 | 2-methylimidazole | 66 | m-3-methylcyclopenta-1,4-dienol |
| 67 | 4-methylcyclopenta-2,5-diene-1,2-diol | 68 | p-3-methylcyclopenta-1,4-dienol | 69 | cyclopenta-1,4-dienol-3-yl |
| 70 | cyclopenta-2,5-diene-1,2-diol-4-yl | 71 | methylcyclopropane | 72 | 3-methylcycloprop-1-ene |
| 73 | 1-methyl-1H-oxiren-1-ium | 74 | 1-methyl-1H-thiiren-1-ium | 75 | 1-methyl-1H-azirine |
| 76 | 1-(methyl-2,3-dihydro-1H-imidazole | 77 | 4-methylfuryl | 78 | 2-ethyloxazole |
| 79 | ethyl | 80 | 1-chloro-3-methylbenzene | 81 | (E)-vinylbenzene |
| 82 | 2-chlorophenyl | 83 | (Z)-5-vinylcyclopenta-1,3-diene | 84 | 2,5-dichlorophenyl |
| 85 | (E)-5-vinylcyclopenta-1,3-diene | 86 | 3-chloro-5-fluorophenyl | 87 | (Z)-2-vinyl-1,3-dioxole |
| 88 | 3,4-dimethylfuran-2-yl | 89 | Pyrimidin-2-yl | 90 | Pyridin-2-yl |
| 91 | 2-methylpyridine | 92 | 2-methylpyrimidine | 93 | 3-methylisoxazole |
| 94 | 5-bromophenyl | 95 | 3-bromophenyl | 96 | 3-bromo-1-methylbenzene |
| 97 | Isopentyl | 98 | 4-bromo-1-methylbenzene | 99 | 3,5-dibromo-1-methylbenzene |
| 100 | 4-chloropyridin-5-yl | 101 | 2-chloro-5-methylpyridine | 102 | 3-chloro-5-methylpyridine |
| 103 | 5-methylpyridin-3-yl | 104 | 3,5-dimethylpyridine | 105 | 1,2-dimethylcyclopropane |
| 106 | 1,3-dimethylcycloprop-1-ene | 107 | 1,2-dimethyl-1H-azirine | 108 | 1,2,3-trimethylcycloprop-1-ene |
| 109 | 1-ethylcycloprop-1-ene-3-yl | 110 | 1-ethyl-2-methylcycloprop-1-ene-3-yl | 111 | 1,2-diethylcycloprop-1-ene-3-yl |
| 112 | cycloprop-1-enol-3-yl | 113 | azirin-2-ol-1-yl | 114 | azirin-2,3-diol-1-yl |
| 115 | methyl acetate | 116 | Methyl formate | 117 | methyl 2-(formyloxy)acetate |
| 118 | N-hydrosulfonylformamide | 119 | isopropyl acetate | 120 | methyl 3-(hydroxyl)propanoate |
| 121 | ethyl formate | 122 | ethyl 2-fluoroacetate | 123 | 1-chloro-4-(methyl)benzene |
| 124 | 1-(N-methylamino)ethan-1-one-2-yl | 125 | 1-aminopropan-2-one-3-yl | 126 | 1-aminoethan-1-one-2-yl |
| 127 | 2-methylpropan-2-ol-1-yl | 128 | methoxymethan-yl | 129 | methoxyethan-yl |
| 130 | prop-1-yne-3-yl | 131 | methanol-yl | 132 | 3-methylbutan-2-one-yl |
| 133 | 4-methylpentan-2-one-1-yl | 134 | 2-(methyl)-2-isopropyl-1,3-dioxolane | 135 | (methyl)cyclobutane |
| 136 | 1,3-dimethylcyclobutane | 137 | 1,2-dimethylcyclobutane | 138 | 1,2,3-trimethylcyclobutane |
| 139 | 2-(methyl)-2-isobutyl-1,3-dioxolane | 140 | 2-isobutyl-1,3-dioxolane-2-yl | 141 | propan-2-ol-2-yl |
| 142 | hydrogen sulfide | 143 | Sulfur-yl | 144 | iodo |
| 145 | sulfur dioxide | 146 | hydrogen cyanidyl | 147 | acetonitrile |
| 148 | piperazyl | 149 | formamide | 150 | (propan-2-yl)benzene |
| 151 | (ethan-2-yl)benzene | 152 | furan-5-yl-2-amine | 153 | 5-(methyl)furan-2-amine |
| 154 | furan-3-amine | 155 | 5-methylfuran-3-amine | 156 | 5-(methyl)thiophen-3-amine |
| 157 | thiophen-5-yl-3-amine | 158 | 3-(ethyl)aniline | 159 | 3-(methyl)aniline |
| 160 | 4-(methyl)aniline | 161 | benzofuran-2-yl | 162 | hydrogen |
| 163 | furo[2,3-b]pyrazine | 164 | indazol-5-yl | 165 | benzo[d][1,2,3]triazol-5-yl |
| 166 | indolin-2-one-6-yl | 167 | N-hydroxylamine-yl | 168 | (hydroxyamino)methylamine |
| 169 | methanesulfonamide-yl | 170 | Aminosulfon-amino-yl | ||
| No. | TKI analog £ | ∆∆HMM a | ∆∆Gsol b | ∆∆TS c | ∆∆Gcom d | e | f |
|---|---|---|---|---|---|---|---|
| [kcal/mol] | [kcal/mol] | [kcal/mol] | [kcal/mol] | [nM] | |||
| Ref. | TMK1 | 0 | 0 | 0 | 0 | 6.02 * | 950 * |
| 1 | 13_13 | 45.41 | −46.84 | 3.03 | −4.47 | 6.08 | 836.2 |
| 2 | 12_13 | 46.34 | −46.99 | 4.08 | −4.72 | 6.09 | 821.1 |
| 3 | 13_5 | 42.46 | −47.64 | 3.33 | −8.51 | 6.20 | 625.6 |
| 4 | 5_58 | 40.31 | −47.94 | 4.36 | −11.99 | 6.31 | 487.2 |
| 5 | 5_149 | −7.06 | −45.68 | 7.22 | −59.96 | 7.81 | 15.5 |
| 6 | 8_12 | 40.48 | −43.71 | 5.41 | −8.64 | 6.21 | 619.9 |
| 7 | 8_18 | 41.70 | −47.76 | 3.66 | −9.72 | 6.24 | 573.5 |
| 8 | 3_152 | 40.14 | −45.16 | 6.87 | −11.88 | 6.31 | 491.0 |
| 9 | 4_119 | 34.72 | −44.28 | 6.15 | −15.71 | 6.43 | 373.0 |
| 10 | 6_125 | 41.08 | −44.87 | 7.78 | −11.56 | 6.30 | 502.5 |
| 11 | 6_79 | 44.74 | −45.28 | 7.01 | −7.55 | 6.17 | 670.1 |
| 12 | 4_19 | 0.72 | −44.28 | 2.86 | −46.42 | 7.39 | 41.1 |
| 13 | 2_1 | 44.88 | −48.20 | 5.37 | −8.69 | 6.21 | 617.5 |
| 14 | 1_13 | 44.57 | −47.11 | 2.94 | −5.48 | 6.11 | 777.9 |
| 15 | 13_12 | 41.60 | −47.55 | 3.31 | −9.25 | 6.23 | 593.0 |
| 16 | 1_8 | 47.23 | −48.25 | −0.24 | −0.78 | 5.96 | 1089.9 |
| 17 | 2_4 | 45.85 | −48.49 | −0.72 | −1.93 | 6.00 | 1003.8 |
| 18 | 4_13 | 46.92 | −47.59 | 6.40 | −7.07 | 6.16 | 693.6 |
| 19 | 4_1 | 45.46 | −47.83 | 0.42 | −2.79 | 6.03 | 943.2 |
| 20 | 4_2 | 47.66 | −48.29 | 1.76 | −2.39 | 6.01 | 970.7 |
| 21 | 4_4 | 48.01 | −48.05 | 5.97 | −6.00 | 6.13 | 749.0 |
| 22 | 4_5 | 40.64 | −47.34 | 4.02 | −10.73 | 6.27 | 533.4 |
| 23 | 4_6 | 44.68 | −47.43 | 5.07 | −7.82 | 6.18 | 657.3 |
| 24 | 4_8 | 43.93 | −47.38 | 1.67 | −5.12 | 6.10 | 798.0 |
| 25 | 5_12 | 41.99 | −49.26 | 2.67 | −9.94 | 6.25 | 564.6 |
| 26 | 01_12 | 42.94 | −47.50 | −0.20 | −4.35 | 6.07 | 843.2 |
| 27 | 1_1 | 46.70 | −48.77 | −0.38 | −1.69 | 5.99 | 1021.4 |
| 28 | 12_12 | 40.74 | −47.37 | 1.95 | −8.58 | 6.21 | 622.3 |
| 29 | 1_2 | 45.86 | −48.52 | −1.08 | −1.58 | 5.99 | 1029.6 |
| 30 | 10_102 | 35.94 | −47.07 | 2.49 | −13.63 | 6.36 | 433.2 |
| 31 | 10_149 | 35.86 | −42.97 | 2.82 | −9.92 | 6.25 | 565.1 |
| 32 | 10_152 | 38.93 | −43.25 | 5.78 | −10.10 | 6.25 | 558.1 |
| 33 | 11_8 | 42.52 | −42.88 | 5.67 | −6.03 | 6.13 | 747.7 |
| 34 | 14_113 | 24.34 | −46.59 | 6.51 | −28.75 | 6.84 | 146.1 |
| 35 | 14_120 | 28.87 | −43.28 | 5.79 | −20.21 | 6.57 | 270.0 |
| 36 | 8_11 | 45.26 | −44.04 | 7.67 | −6.45 | 6.14 | 725.3 |
| 37 | 8_115 | 46.10 | −41.12 | 5.50 | −0.52 | 5.95 | 1110.6 |
| 38 | 8_124 | 43.59 | −44.09 | 8.74 | −9.25 | 6.23 | 593.4 |
| 39 | 8_133 | 42.87 | −44.34 | 8.32 | −9.78 | 6.24 | 570.9 |
| 40 | 8_142 | 41.46 | −46.68 | 7.82 | −13.04 | 6.35 | 451.7 |
| 41 | 8_144 | 43.77 | −46.31 | 5.35 | −7.89 | 6.18 | 654.1 |
| 42 | 9_125 | 28.68 | −46.00 | 3.38 | −20.70 | 6.58 | 260.7 |
| 43 | 11_119 | 43.50 | −42.35 | 7.81 | −6.66 | 6.15 | 714.7 |
| 44 | 11_22 | 39.25 | −47.35 | 8.53 | −16.63 | 6.46 | 349.2 |
| 45 | 11_23 | 43.95 | −45.34 | 6.60 | −8.00 | 6.19 | 649.1 |
| 46 | 11_44 | 38.21 | −45.05 | 2.33 | −9.17 | 6.22 | 596.6 |
| 47 | 11_46 | 29.04 | −50.98 | 5.98 | −27.92 | 6.81 | 155.1 |
| 48 | 11_56 | 38.74 | −46.66 | 5.78 | −13.70 | 6.37 | 430.9 |
| 49 | 11_119 | 41.96 | −42.18 | 6.28 | −6.49 | 6.14 | 723.1 |
| 50 | 11_56 | 32.94 | −43.65 | 2.02 | −12.74 | 6.34 | 461.7 |
| 51 | 12_144 | 42.01 | −49.06 | 0.64 | −7.69 | 6.18 | 663.7 |
| 52 | 12_148 | 35.68 | −51.18 | 6.23 | −21.73 | 6.62 | 242.0 |
| 53 | 12_148 | 30.16 | −46.47 | 7.55 | −23.86 | 6.68 | 207.6 |
| 54 | 12_149 | 41.08 | −45.96 | −0.17 | −4.71 | 6.09 | 822.2 |
| 55 | 12_154 | 36.10 | −45.37 | −0.05 | −9.22 | 6.23 | 594.5 |
| 56 | 13_22 | 35.07 | −50.43 | 8.58 | −23.94 | 6.69 | 206.4 |
| 57 | 13_23 | 28.40 | −40.16 | 8.99 | −20.75 | 6.59 | 259.6 |
| 58 | 13_69 | 32.29 | −44.05 | 4.68 | −16.44 | 6.45 | 353.9 |
| 59 | 14_19 | 39.23 | −46.52 | 11.26 | −18.55 | 6.52 | 304.1 |
| 60 | 14_75 | 44.38 | −46.31 | 8.11 | −10.04 | 6.25 | 560.5 |
| 61 | 14_89 | 34.18 | −44.71 | 3.70 | −14.23 | 6.38 | 414.8 |
| 62 | 14_115 | −10.02 | −43.85 | 4.65 | −58.53 | 7.76 | 17.2 |
| 63 | 15_19 | 24.76 | −42.06 | 3.26 | −20.56 | 6.58 | 263.2 |
| 64 | 15_70 | 20.84 | −26.40 | 4.32 | −9.88 | 6.25 | 567.0 |
| 65 | 16_116 | 39.26 | −46.46 | 7.18 | −14.39 | 6.39 | 410.2 |
| 66 | 16_119 | 35.79 | −43.67 | 4.11 | −11.99 | 6.31 | 487.1 |
| 67 | 16_12 | 40.65 | −44.01 | 7.76 | −11.12 | 6.29 | 518.7 |
| 68 | 16_19 | 47.77 | −46.51 | 7.94 | −6.68 | 6.15 | 713.4 |
| 69 | 16_74 | 47.10 | −45.53 | 8.74 | −7.17 | 6.16 | 688.8 |
| 70 | 16_76 | 34.80 | −42.67 | 5.83 | −13.70 | 6.37 | 430.9 |
| 71 | 16_46 | −1.96 | −45.49 | 5.25 | −52.70 | 7.58 | 26.2 |
| 72 | 16_64 | 46.18 | −45.21 | 6.26 | −5.30 | 6.10 | 788.1 |
| 73 | 17-22 | 39.47 | −40.93 | 4.14 | −5.60 | 6.11 | 771.1 |
| 74 | 17_58 | 25.12 | −44.27 | 1.86 | −21.00 | 6.59 | 255.0 |
| 75 | 17_8 | 36.04 | −46.88 | 3.78 | −14.62 | 6.39 | 403.5 |
| 76 | 18_152 | 39.52 | −46.06 | 4.45 | −10.99 | 6.28 | 523.5 |
| 77 | 18_154 | 36.39 | −44.08 | 3.76 | −11.46 | 6.30 | 506.1 |
| 78 | 19_32 | 38.57 | −48.25 | 0.04 | −9.73 | 6.24 | 573.0 |
| 79 | 19_14 | 36.56 | −42.71 | −0.33 | −5.82 | 6.12 | 759.0 |
| 80 | 19_101 | 38.04 | −44.78 | −2.04 | −4.71 | 6.09 | 822.2 |
| 81 | 19_148 | 42.54 | −46.11 | 3.70 | −7.27 | 6.17 | 683.9 |
| 82 | 19_154 | 34.49 | −43.65 | −2.24 | −6.92 | 6.15 | 701.2 |
| 83 | 19_75 | 38.66 | −46.17 | −0.39 | −7.11 | 6.16 | 691.8 |
| 84 | 19_90 | 36.93 | −44.94 | −0.68 | −7.33 | 6.17 | 681.0 |
| 85 | 20_87 | 29.68 | −46.11 | 1.59 | −18.02 | 6.50 | 315.9 |
| 86 | 13_1 | −5.80 | −59.78 | 1.24 | −66.82 | 8.02 | 9.5 |
| 87 | 13_4 | 9.01 | −72.41 | 2.74 | −6614 | 8.00 | 9.9 |
| 88 | 13_6 | −1.31 | −60.29 | 3.37 | −64.98 | 7.97 | 10.8 |
| 89 | 5_21 | −2.02 | −55.93 | 7.95 | −65.89 | 7.99 | 10.1 |
| TKI a | #Stars b | Mw c [g/mol] | Smol d [Ų] | Smol,hfo e [Ų] | Vmol f [Å3] | RotB g | HBdon h | HBacc i | logPo/w j | logSwat k | logKHSA l | logB/B m | BIPCaco n [nm/s] | #metab o | p [nM] | HOA q | %HOA r |
|---|---|---|---|---|---|---|---|---|---|---|---|---|---|---|---|---|---|
| TKI1 | 0 | 477.0 | 785.2 | 236.2 | 1435.3 | 4 | 1 | 7 | 4.5 | −6.4 | 0.9 | −0.6 | 123.5 | 3 | 950 * | 1 | 80.9 |
| 5_149 | 0 | 555.7 | 951.6 | 462.2 | 1762.9 | 4.0 | 1.0 | 9.5 | 4.1 | −7.1 | 1.0 | −2.6 | 107.4 | 5.0 | 15.5 | 3.0 | 96.3 |
| 14_115 | 0 | 612.7 | 957.5 | 524.5 | 1882.6 | 4.0 | 1.0 | 7.0 | 4.5 | −6.3 | 1.0 | −2.4 | 136.1 | 4.0 | 17.2 | 3.0 | 91.1 |
| 113_7 | 0 | 553.6 | 934.9 | 453.6 | 1747.5 | 7 | 2 | 7 | 5.6 | −8.1 | 1.4 | −1.7 | 137.3 | 5 | 146.1 | 3 | 89.1 |
| 46_11 | 0 | 620.7 | 955.0 | 490.9 | 1972.3 | 11.0 | 1.0 | 9.7 | 5.5 | −8.2 | 1.3 | −2.4 | 124.1 | 5.0 | 155.1 | 2.0 | 88.1 |
| 46_16 | 0 | 620.7 | 957.8 | 510.8 | 1970.7 | 10.0 | 1.0 | 9.7 | 5.5 | −8.4 | 1.3 | −2.3 | 128.4 | 4.0 | 26.2 | 3.0 | 89.5 |
| 13_1 | 0 | 486.5 | 822.0 | 306.3 | 1508.2 | 4.0 | 1.0 | 7.0 | 4.9 | −4.0 | 1.1 | −0.8 | 123.0 | 3.0 | 9.5 | 3.0 | 93.0 |
| 13_4 | 0 | 482.6 | 846.5 | 393.1 | 1549.9 | 5.0 | 1.0 | 7.0 | 5.0 | −6.4 | 1.2 | −0.9 | 124.2 | 4.0 | 9.9 | 3.0 | 93.5 |
| 13_6 | 0 | 498.6 | 844.8 | 394.9 | 1561.0 | 6.0 | 1.0 | 7.8 | 4.7 | −6.5 | 1.0 | −0.9 | 124.1 | 4.0 | 10.8 | 3.0 | 92.0 |
| 5_21 | 0 | 556.7 | 946.6 | 461.8 | 1753.8 | 9.0 | 2.0 | 9.0 | 3.1 | −6.0 | 1.0 | −2.5 | 130.9 | 4.0 | 10.1 | 2.0 | 80.7 |
| Bedaquiline | 4 | 555.5 | 787 | 213.7 | 1532 | 9 | 1 | 3.8 | 7.6 | −7 | 1.7 | 0.4 | 1562.2 | 5 | 1 | 100 | |
| Pretomanid | 0 | 359.3 | 570.6 | 125.4 | 976 | 5 | 0 | 5.2 | 2.9 | −4 | −0.2 | −0.7 | 612 | 2 | 3 | 94.1 | |
| Lignezolide | 0 | 337.4 | 586.9 | 357.2 | 1026.6 | 2 | 1 | 8.7 | 0.5 | −2 | −0.7 | −0.6 | 395.2 | 1 | 3 | 76.3 | |
| Clofazimine | 4 | 473.4 | 816.4 | 113 | 1466.6 | 4 | 1 | 3 | 8.2 | −10.1 | 1.9 | 0.3 | 5056.8 | 2 | 1 | 100 | |
| Sutezolid | 1 | 353.4 | 605 | 339.3 | 1060.9 | 2 | 1 | 7.5 | 1.3 | −3.4 | −0.4 | −0.5 | 401.7 | 0 | 3 | 81.4 | |
| Delamanid | 3 | 534.5 | 865.6 | 272.6 | 1536.6 | 7 | 0 | 6 | 6.1 | −8.9 | 1.2 | −1.5 | 284.9 | 2 | 1 | 80.7 | |
| Pyrazinamide | 3 | 123.1 | 300.4 | 0 | 444.4 | 1 | 2 | 5 | −0.6 | −0.5 | −0.8 | −0.7 | 307.7 | 4 | 2 | 67.8 | |
| Gatifloxacin | 0 | 375.4 | 603.7 | 350.6 | 1105.5 | 2 | 1 | 6.75 | 0.6 | −4.1 | 0.1 | −0.6 | 17.8 | 1 | 2 | 52.7 | |
| Moxifloxacin | 0 | 401.4 | 614.3 | 374.6 | 1159.2 | 2 | 1 | 6.75 | 1 | −4.3 | 0.2 | −0.4 | 24.8 | 1 | 2 | 58 | |
| Rifapentine | 16 | 828.9 | 1145.5 | 699.6 | 2324.6 | 23 | 4 | 23.5 | −2.1 | 2 | −1.2 | −4.6 | 0 | 12 | 1 | 0 | |
| Ofloxacin | 0 | 361.4 | 600 | 348.7 | 1060.7 | 1 | 0 | 7.25 | −0.4 | −3.2 | −0.4 | −0.5 | 23.5 | 1 | 2 | 49.2 | |
| Amikacin | 14 | 614.6 | 822.5 | 341 | 1622 | 22 | 19 | 28.1 | −9.4 | 2 | −2.2 | −4.8 | 0 | 15 | 1 | 0 | |
| Kanamycin | 17 | 786.7 | 1179.9 | 431.6 | 2186.1 | 26 | 12 | 28.8 | −3.8 | −2.9 | −2.4 | −8.6 | 0.1 | 13 | 1 | 0 | |
| Imipenem | 0 | 299.3 | 487 | 259.1 | 880 | 8 | 3 | 7.2 | 1 | −2 | −0.7 | −1.4 | 35 | 3 | 3 | 61 | |
| Amoxicilline | 1 | 365.4 | 639.9 | 170.6 | 1101.7 | 6 | 4.25 | 8 | −2.4 | −2.1 | −1.1 | −2.4 | 0.4 | 5 | 1 | 6.7 | |
| Clavulanate | 2 | 233.2 | 374.4 | 170.4 | 642.2 | 1 | 1 | 8 | −1.3 | 0.6 | −1.4 | −1 | 14.3 | 1 | 2 | 40.1 |
| Compound | Chemical Structure | ‹Etot› a [kcal/mol] | ‹Epot› b [kcal/mol] | c [nM] |
|---|---|---|---|---|
| TKI1 | ![]() | −64,403.7 | −79,924.7 | 950 * |
| 149_5 | ![]() | −65,314.4 | −81,041.5 | 15.5 |
| 13_1 | ![]() | −64,371.2 | −79,881.9 | 9.5 |
| 13_4 | ![]() | −64,405.6 | −79,928.4 | 10 |
| 13_6 | ![]() | −64,538.5 | −80,078.0 | 10.8 |
| 21_5 | ![]() | −64,641.3 | −78,942.5 | 10.1 |
Disclaimer/Publisher’s Note: The statements, opinions and data contained in all publications are solely those of the individual author(s) and contributor(s) and not of MDPI and/or the editor(s). MDPI and/or the editor(s) disclaim responsibility for any injury to people or property resulting from any ideas, methods, instructions or products referred to in the content. |
© 2025 by the authors. Licensee MDPI, Basel, Switzerland. This article is an open access article distributed under the terms and conditions of the Creative Commons Attribution (CC BY) license (https://creativecommons.org/licenses/by/4.0/).
Share and Cite
Konate, S.; Allangba, K.N.P.G.; Fofana, I.; N’Guessan, R.K.; Megnassan, E.; Miertus, S.; Frecer, V. Improved Inhibitors Targeting the Thymidylate Kinase of Multidrug-Resistant Mycobacterium tuberculosis with Favorable Pharmacokinetics. Life 2025, 15, 173. https://doi.org/10.3390/life15020173
Konate S, Allangba KNPG, Fofana I, N’Guessan RK, Megnassan E, Miertus S, Frecer V. Improved Inhibitors Targeting the Thymidylate Kinase of Multidrug-Resistant Mycobacterium tuberculosis with Favorable Pharmacokinetics. Life. 2025; 15(2):173. https://doi.org/10.3390/life15020173
Chicago/Turabian StyleKonate, Souleymane, Koffi N’Guessan Placide Gabin Allangba, Issouf Fofana, Raymond Kre N’Guessan, Eugene Megnassan, Stanislav Miertus, and Vladimir Frecer. 2025. "Improved Inhibitors Targeting the Thymidylate Kinase of Multidrug-Resistant Mycobacterium tuberculosis with Favorable Pharmacokinetics" Life 15, no. 2: 173. https://doi.org/10.3390/life15020173
APA StyleKonate, S., Allangba, K. N. P. G., Fofana, I., N’Guessan, R. K., Megnassan, E., Miertus, S., & Frecer, V. (2025). Improved Inhibitors Targeting the Thymidylate Kinase of Multidrug-Resistant Mycobacterium tuberculosis with Favorable Pharmacokinetics. Life, 15(2), 173. https://doi.org/10.3390/life15020173
















































