A Comparative Analysis of Gremlin-1 (GREM1), Hyaluronic Acid Synthetase-2 (HAS2), and Prostaglandin-Endoperoxide Synthase-2 (PTGS2) Expression in Cumulus Cells Among Women with Diminished Ovarian Reserve Following Rescue In Vitro Maturation (r-IVM)
Abstract
1. Introduction
2. Materials and Methods
2.1. Study Design
2.2. COH, r-IVM, IVF Protocol, and CC Collection
2.3. RNA Extraction, cDNA Synthesis, and qPCR
2.4. Oocyte Quality [2] Assessment and Embryological Outcome
2.5. Pregnancy and Live Birth Outcome
2.6. Statistical Analysis
3. Results
3.1. Demographic
3.2. Oocyte Maturation Outcome and Oocyte Quality [2] Outcome
3.3. Fertilization Outcome and Embryo Quality (EQ)
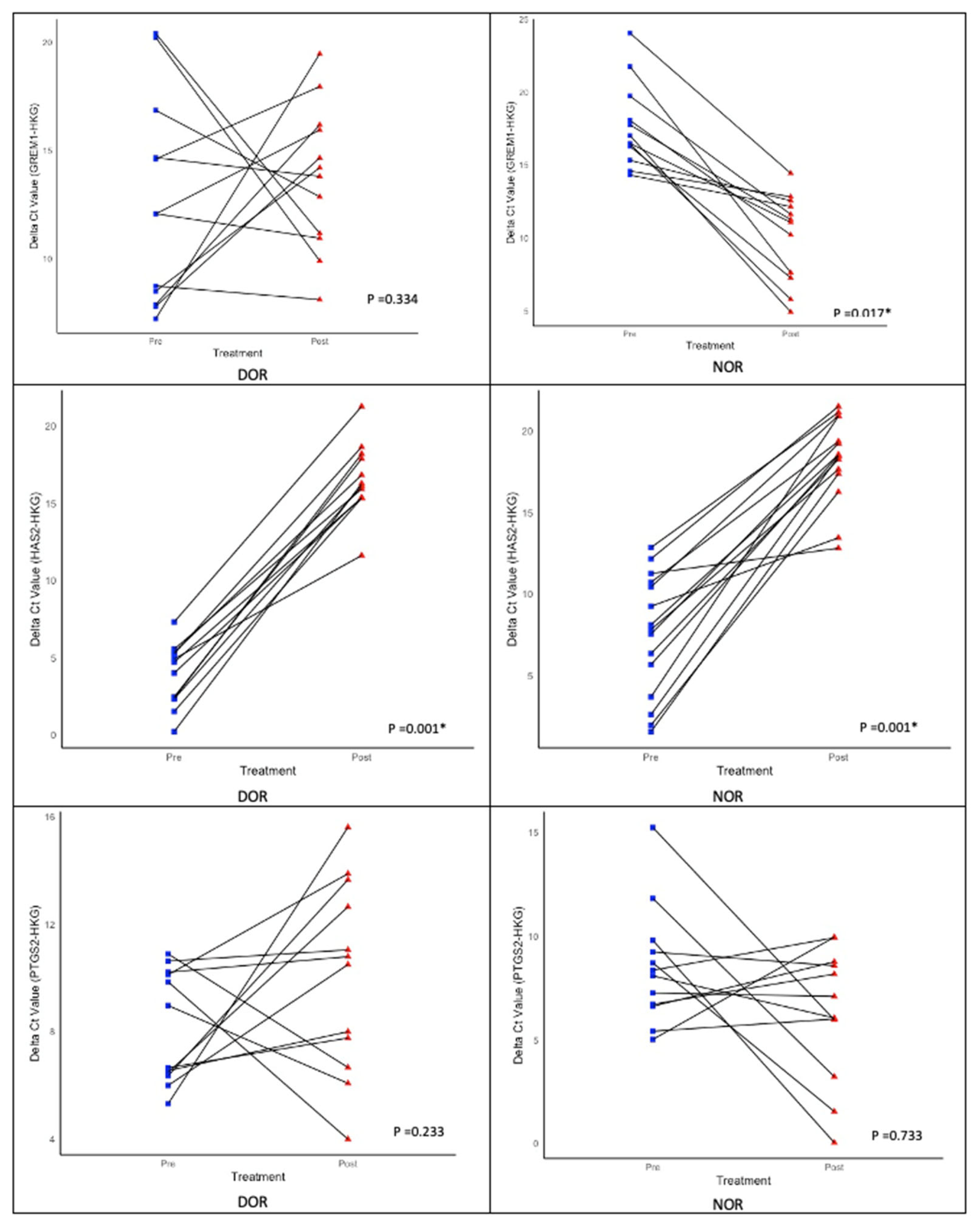
3.4. Expression of HAS2, GREM1, and PTGS2 During Pre and Post IVM with OQ and EQ
3.5. IVF/ICSI Outcome
4. Discussion
5. Conclusions
Author Contributions
Funding
Institutional Review Board Statement
Informed Consent Statement
Data Availability Statement
Acknowledgments
Conflicts of Interest
Abbreviations
| ART | Artificial Reproductive Technique |
| cAMP | Cyclic Adenosine Monophosphate |
| COC | Cumulus-oocyte Complexes |
| DOR | Diminished Ovarian Reserve |
| FSH | Follicular Stimulating Hormone |
| GnRH | Gonadotropin-Releasing Hormone |
| GV | Germinal Vesicle |
| GVBD | Germinal Vesicle Breakdown |
| hCG | Human Chorionic Gonadotrophin |
| ICSI | Intra Cytoplasmic Sperm Injection |
| IVM | In Vitro Maturation |
| IQR | Interquartile Range |
| LH | Luteinizing Hormone |
| MI | Meiosis I |
| MII | Meiosis II |
References
- Gilchrist, R.B.; Smitz, J. Oocyte in vitro maturation: Physiological basis and application to clinical practice. Fertil. Steril. 2023, 119, 524–539. [Google Scholar] [CrossRef]
- Thompson, J.G.; Gilchrist, R.B. Pioneering contributions by Robert Edwards to oocyte in vitro maturation (IVM). Mol. Hum. Reprod. 2013, 19, 794–798. [Google Scholar] [CrossRef]
- Ahmad, M.F.; Elias, M.H.; Mat Jin, N.; Abu, M.A.; Syafruddin, S.E.; Zainuddin, A.A.; Suzuki, N.; Abdul Karim, A.K. The spectrum of in vitro maturation in clinical practice: The current insight. Front. Endocrinol. 2023, 14, 1192180. [Google Scholar] [CrossRef] [PubMed]
- Bahrami, M.; Cottee, P.A. Culture conditions for in vitro maturation of oocytes—A review. Reprod. Breed. 2022, 2, 31–36. [Google Scholar] [CrossRef]
- Ahmad, M.F.; Mohd Nor, N.Y.; Mohammad Ramadneh, M.M.; Roseli, N.I.; Elias, M.H.; Mat Jin, N.; Abu, M.A.; Syafruddin, S.E.; Zainuddin, A.A.; Azhar, S.S.; et al. Comparative Analysis of Rescue-In Vitro-Maturation (r-IVM) Outcomes in Women with Diminished Ovarian Reserve (DOR) Versus Normal Ovarian Reserve (NOR). Biomedicines 2025, 13, 1084. [Google Scholar] [CrossRef]
- Zheng, X.; Guo, W.; Zeng, L.; Zheng, D.; Yang, S.; Xu, Y.; Wang, L.; Wang, R.; Mol, B.W.; Li, R.; et al. In vitro maturation without gonadotropins versus in vitro fertilization with hyperstimulation in women with polycystic ovary syndrome: A non-inferiority randomized controlled trial. Hum. Reprod. 2022, 37, 242–253. [Google Scholar] [CrossRef]
- Coticchio, G.; Ahlström, A.; Arroyo, G.; Balaban, B.; Campbell, A.; De Los Santos, M.J.; Ebner, T.; Gardner, D.K.; Kovačič, B.; Lundin, K.; et al. The Istanbul consensus update: A revised ESHRE/ALPHA consensus on oocyte and embryo static and dynamic morphological assessment. Hum. Reprod. 2025, 40, 989–1035. [Google Scholar] [CrossRef] [PubMed]
- De Vos, M.; Grynberg, M.; Ho, T.M.; Yuan, Y.; Albertini, D.F.; Gilchrist, R.B. Perspectives on the development and future of oocyte IVM in clinical practice. J. Assist. Reprod. Genet. 2021, 38, 1265–1280. [Google Scholar] [CrossRef]
- Gotschel, F.; Sonigo, C.; Becquart, C.; Sellami, I.; Mayeur, A.; Grynberg, M. New Insights on In Vitro Maturation of Oocytes for Fertility Preservation. Int. J. Mol. Sci. 2024, 25, 10605. [Google Scholar] [CrossRef]
- Ivm, O. In vitro maturation: A committee opinion. Fertil. Steril. 2021, 115, 298–304. [Google Scholar] [CrossRef]
- Sanchez, F.; Le, A.H.; Ho, V.N.A.; Romero, S.; Van Ranst, H.; De Vos, M.; Gilchrist, R.B.; Ho, T.M.; Vuong, L.N.; Smitz, J. Biphasic in vitro maturation (CAPA-IVM) specifically improves the developmental capacity of oocytes from small antral follicles. J. Assist. Reprod. Genet. 2019, 36, 2135–2144. [Google Scholar] [CrossRef]
- Vuong, L.N.; Le, A.H.; Ho, V.N.A.; Pham, T.D.; Sanchez, F.; Romero, S.; De Vos, M.; Ho, T.M.; Gilchrist, R.B.; Smitz, J. Live births after oocyte in vitro maturation with a prematuration step in women with polycystic ovary syndrome. J. Assist. Reprod. Genet. 2020, 37, 347–357. [Google Scholar] [CrossRef]
- Petrogiannis, N.; Filippa, M.; Chatzovoulou, K.; Petrogiannis, S.; Chatzimeletiou, K. Successful Clinical Outcome After a Modified Protocol of Rescue In Vitro Maturation of Oocytes: A Case Series Study. Cureus 2025, 17, e82927. [Google Scholar] [CrossRef]
- Coticchio, G.; Cimadomo, D.; De Vos, M.; Ebner, T.; Esbert, M.; Escriba, M.J.; Gilchrist, R.B.; Rienzi, L. To rescue or not to rescue immature oocytes: Prospects and challenges. Fertil. Steril. 2025, 123, 749–758. [Google Scholar] [CrossRef] [PubMed]
- Vuong, L.N.; Pham, T.D.; Ho, T.M.; De Vos, M. Outcomes of clinical in vitro maturation programs for treating infertility in hyper responders: A systematic review. Fertil. Steril. 2023, 119, 540–549. [Google Scholar] [CrossRef] [PubMed]
- Jurema, M.W.; Nogueira, D. In vitro maturation of human oocytes for assisted reproduction. Fertil. Steril. 2006, 86, 1277–1291. [Google Scholar] [CrossRef]
- Sudewo, Y.; Halim, B.; Novi, D.; Adenin, I.; Salim Siregar, H.; Fidel Ganis Siregar, M.; Natadisastra, M.; Yaznil, M.R.; Lamtota Lumbanraja, I. The Role of Cumulus Cells for The Immature Oocyte Undergoing In Vitro Maturation Rescue: A Retrospective Analysis. Int. J. Fertil. Steril. 2025, 19, 230–235. [Google Scholar] [CrossRef] [PubMed]
- Luongo, F.P.; Perez Casasus, S.; Haxhiu, A.; Barbarulo, F.; Scarcella, M.; Governini, L.; Piomboni, P.; Scarica, C.; Luddi, A. Exposure to Cumulus Cell Secretome Improves Sperm Function: New Perspectives for Sperm Selection In Vitro. Cells 2023, 12, 2349. [Google Scholar] [CrossRef]
- Van Soom, A.; Tanghe, S.; De Pauw, I.; Maes, D.; de Kruif, A. Function of the cumulus oophorus before and during mammalian fertilization. Reprod. Domest. Anim. 2002, 37, 144–151. [Google Scholar] [CrossRef]
- Liu, M.N.; Zhang, K.; Xu, T.M. The role of BMP15 and GDF9 in the pathogenesis of primary ovarian insufficiency. Hum. Fertil. 2021, 24, 325–332. [Google Scholar] [CrossRef]
- Otsuka, F.; McTavish, K.J.; Shimasaki, S. Integral role of GDF-9 and BMP-15 in ovarian function. Mol. Reprod. Dev. 2011, 78, 9–21. [Google Scholar] [CrossRef] [PubMed]
- Sasaki, H.; Hamatani, T.; Kamijo, S.; Iwai, M.; Kobanawa, M.; Ogawa, S.; Miyado, K.; Tanaka, M. Impact of Oxidative Stress on Age-Associated Decline in Oocyte Developmental Competence. Front. Endocrinol. 2019, 10, 811. [Google Scholar] [CrossRef]
- Orisaka, M.; Mizutani, T.; Miyazaki, Y.; Shirafuji, A.; Tamamura, C.; Fujita, M.; Tsuyoshi, H.; Yoshida, Y. Chronic low-grade inflammation and ovarian dysfunction in women with polycystic ovarian syndrome, endometriosis, and aging. Front. Endocrinol. 2023, 14, 1324429. [Google Scholar] [CrossRef]
- Ten, J.; Mendiola, J.; Vioque, J.; de Juan, J.; Bernabeu, R. Donor oocyte dysmorphisms and their influence on fertilization and embryo quality. Reprod. Biomed. Online 2007, 14, 40–48. [Google Scholar] [CrossRef]
- Kashutina, M.; Obosyan, L.; Bunyaeva, E.; Zhernov, Y.; Kirillova, A. Quality of IVM ovarian tissue oocytes: Impact of clinical, demographic, and laboratory factors. J. Assist. Reprod. Genet. 2024, 41, 3079–3088. [Google Scholar] [CrossRef]
- Yalcinkaya, E.; Caliskan, E.; Budak, O. In vitro maturation may prevent the cancellation of in vitro fertilization cycles in poor responder patients: A case report. J. Turk. Ger. Gynecol. Assoc. 2013, 14, 235–237. [Google Scholar] [CrossRef] [PubMed]
- Qin, D.Y.; Jiang, H.H.; Yao, Q.Y.; Yao, W.; Yuan, X.Q.; Wang, Y.; Deng, T.R.; Du, Y.Y.; Ren, X.L.; Guo, N.; et al. Rescue in vitro maturation may increase the pregnancy outcomes among women undergoing intracytoplasmic sperm injection. Front. Endocrinol. 2022, 13, 1047571. [Google Scholar] [CrossRef] [PubMed]
- Liu, Y.; Jiang, H.; Du, X.; Huang, J.; Wang, X.; Hu, Y.; Ni, F.; Liu, C. Contribution of rescue in-vitro maturation versus double ovarian stimulation in ovarian stimulation cycles of poor-prognosis women. Reprod. Biomed. Online 2020, 40, 511–517. [Google Scholar] [CrossRef]
- Wei, J.; Luo, Z.; Dong, X.; Jin, H.; Zhu, L.; Ai, J. Cut-off point of mature oocyte for routine clinical application of rescue IVM: A retrospective cohort study. J. Ovarian Res. 2023, 16, 226. [Google Scholar] [CrossRef]
- Hatirnaz, S.; Hatirnaz, E.S.; Ellibes Kaya, A.; Hatirnaz, K.; Soyer Caliskan, C.; Sezer, O.; Dokuzeylul Gungor, N.; Demirel, C.; Baltaci, V.; Tan, S.; et al. Oocyte maturation abnormalities—A systematic review of the evidence and mechanisms in a rare but difficult to manage fertility pheneomina. Turk. J. Obstet. Gynecol. 2022, 19, 60–80. [Google Scholar] [CrossRef]
- Nicholas, C.; Darmon, S.; Patrizio, P.; Albertini, D.F.; Barad, D.H.; Gleicher, N. Changing clinical significance of oocyte maturity grades with advancing female age advances precision medicine in IVF. iScience 2023, 26, 107308. [Google Scholar] [CrossRef]
- Ellenbogen, A.; Shavit, T.; Shalom-Paz, E. IVM results are comparable and may have advantages over standard IVF. Facts Views Vis. Obgyn 2014, 6, 77–80. [Google Scholar] [PubMed]
- Das, M.; Son, W.Y. In vitro maturation (IVM) of human immature oocytes: Is it still relevant? Reprod. Biol. Endocrinol. 2023, 21, 110. [Google Scholar] [CrossRef] [PubMed]
- Montag, M.; Schimming, T.; Koster, M.; Zhou, C.; Dorn, C.; Rosing, B.; van der Ven, H.; Ven der Ven, K. Oocyte zona birefringence intensity is associated with embryonic implantation potential in ICSI cycles. Reprod. Biomed. Online 2008, 16, 239–244. [Google Scholar] [CrossRef]
- Younis, J.S.; Ben-Ami, M.; Ben-Shlomo, I. The Bologna criteria for poor ovarian response: A contemporary critical appraisal. J. Ovarian Res. 2015, 8, 76. [Google Scholar] [CrossRef] [PubMed]
- Youssef, M.A.; van Wely, M.; Al-Inany, H.; Madani, T.; Jahangiri, N.; Khodabakhshi, S.; Alhalabi, M.; Akhondi, M.; Ansaripour, S.; Tokhmechy, R.; et al. A mild ovarian stimulation strategy in women with poor ovarian reserve undergoing IVF: A multicenter randomized non-inferiority trial. Hum. Reprod. 2017, 32, 112–118. [Google Scholar] [CrossRef]
- Billingsley, C.C.; Cohn, D.E.; Mutch, D.G.; Stephens, J.A.; Suarez, A.A.; Goodfellow, P.J. Polymerase varepsilon (POLE) mutations in endometrial cancer: Clinical outcomes and implications for Lynch syndrome testing. Cancer 2015, 121, 386–394. [Google Scholar] [CrossRef]
- Chong, G.O.; Han, H.S.; Lee, S.D.; Lee, Y.H. Improvement in RNA quantity and quality in cervico-vaginal cytology. Virol. J. 2020, 17, 8. [Google Scholar] [CrossRef]
- Ahmad, M.F.; Elias, M.H.; Mat Jin, N.; Abu, M.A.; Syafruddin, S.E.; Zainuddin, A.A.; Suzuki, N.; Abdul Karim, A.K. Oocytes Quality Assessment-The Current Insight: A Systematic Review. Biology 2024, 13, 978. [Google Scholar] [CrossRef]
- Wang, Q.; Sun, Q.Y. Evaluation of oocyte quality: Morphological, cellular and molecular predictors. Reprod. Fertil. Dev. 2007, 19, 1–12. [Google Scholar] [CrossRef]
- Schoolcraft, W.B.; Gardner, D.K.; Lane, M.; Schlenker, T.; Hamilton, F.; Meldrum, D.R. Blastocyst culture and transfer: Analysis of results and parameters affecting outcome in two in vitro fertilization programs. Fertil. Steril. 1999, 72, 604–609. [Google Scholar] [CrossRef] [PubMed]
- Gardner, D.K.; Schoolcraft, W.B. Culture and transfer of human blastocysts. Curr. Opin. Obstet. Gynecol. 1999, 11, 307–311. [Google Scholar] [CrossRef]
- Lee, H.J.; Barad, D.H.; Kushnir, V.A.; Shohat-Tal, A.; Lazzaroni, E.; Gleicher, N. Differences observed during in vitro maturation (IVM) of immature oocytes from women with diminished functional ovarian reserve (DFOR) and women with normal ovarian reserve (NOR). Fertil. Steril. 2013, 100, S232. [Google Scholar] [CrossRef]
- Jie, H.; Zhao, M.; Alqawasmeh, O.A.M.; Chan, C.P.S.; Lee, T.L.; Li, T.; Chan, D.Y.L. In vitro rescue immature oocytes—A literature review. Hum. Fertil. 2022, 25, 640–650. [Google Scholar] [CrossRef] [PubMed]
- Chian, R.-C.; Wang, L.; Yang, Z.-Y. Strategies of Infertility Treatment with Human Immature Oocytes. Reprod. Dev. Med. 2018, 2, 237–248. [Google Scholar] [CrossRef]
- Moghadam, A.R.E.; Moghadam, M.T.; Hemadi, M.; Saki, G. Oocyte quality and aging. JBRA Assist. Reprod. 2022, 26, 105–122. [Google Scholar] [CrossRef]
- Faizal, A.M.; Elias, M.H.; Jin, N.M.; Abu, M.A.; Syafruddin, S.E.; Zainuddin, A.A.; Suzuki, N.; Karim, A.K.A. Unravelling the role of HAS2, GREM1, and PTGS2 gene expression in cumulus cells: Implications for human oocyte development competency—A systematic review and integrated bioinformatic analysis. Front. Endocrinol. 2024, 15, 1274376. [Google Scholar] [CrossRef]
- Huang, R.-H.; Zhou, W.-H. Granulosa Cell Biomarkers to Predict Oocyte and Embryo Quality in Assisted Reproductive Technology. Reprod. Dev. Med. 2021, 5, 30–37. [Google Scholar] [CrossRef]
- Sayutti, N.; Abu, M.A.; Ahmad, M.F. PCOS and Role of Cumulus Gene Expression in Assessing Oocytes Quality. Front. Endocrinol. 2022, 13, 843867. [Google Scholar] [CrossRef]
- Yin, Y.; Mao, Y.; Liu, A.; Shu, L.; Yuan, C.; Cui, Y.; Hou, Z.; Liu, J. Insufficient Cumulus Expansion and Poor Oocyte Retrieval in Endometriosis-Related Infertile Women. Reprod. Sci. 2021, 28, 1412–1420. [Google Scholar] [CrossRef]
- Turathum, B.; Gao, E.M.; Chian, R.C. The Function of Cumulus Cells in Oocyte Growth and Maturation and in Subsequent Ovulation and Fertilization. Cells 2021, 10, 2292. [Google Scholar] [CrossRef] [PubMed]
- Wyse, B.A.; Fuchs Weizman, N.; Kadish, S.; Balakier, H.; Sangaralingam, M.; Librach, C.L. Transcriptomics of cumulus cells—A window into oocyte maturation in humans. J. Ovarian Res. 2020, 13, 93. [Google Scholar] [CrossRef]
- Kim, S.J.; Kim, T.H.; Park, J.K.; Eum, J.H.; Lee, W.S.; Lyu, S.W. Effect of a dual trigger on oocyte maturation in young women with decreased ovarian reserve for the purpose of elective oocyte cryopreservation. Clin. Exp. Reprod. Med. 2020, 47, 306–311. [Google Scholar] [CrossRef]
- Fischer, N.M.; Nguyen, H.V.; Singh, B.; Baker, V.L.; Segars, J.H. Prognostic value of oocyte quality in assisted reproductive technology outcomes: A systematic review. FS Rev. 2021, 2, 120–139. [Google Scholar] [CrossRef]
- Aslan Ozturk, S.; Cincik, M.; Donmez Cakil, Y.; Sayan, S.; Selam, B. Early Compaction Might Be a Parameter to Determine Good Quality Embryos and Day of Embryo Transfer in Patients Undergoing Intracytoplasmic Sperm Injection. Cureus 2022, 14, e23593. [Google Scholar] [CrossRef] [PubMed]
- Zampacorta, C.; Pasciuto, M.P.; Ferro, B.; Lucidi, A.; Maestro, A.S.; Espinosa, I.; D’Angelo, E.; Prat, J. Placental site trophoblastic tumor (PSTT): A case report and review of the literature. Pathologica 2023, 115, 111–116. [Google Scholar] [CrossRef] [PubMed]










| Clinical Characteristic | NOR Median (IQR) | DOR Median (IQR) | p-Value |
| Age | 32.0 (31.0–36.0) | 33.0 (31.0–35.0) | 0.785 |
| Duration of infertility | 5.0 (3.0–5.0) | 5.0 (4.0–6.0) | 0.362 |
| AMH (ng/mL) | 1.3 (1.2–1.3) | 0.74 (0.13–1.0) | 0.000 * |
| Antral follicles count (AFC) | 12.0 (10.0–20.0) | 4.0 (3.0–5.0) | 0.000 * |
| Dose of gonadotropin | 2925 (2925–2925) | 1575 (1050–1575) | 0.000 * |
| Day of OPU | 13.0 (12.0–14.0) | 14.0 (13.0–15.0) | 0.026 * |
| No. of follicles aspirated | 12.0 (9.0–14.0) | 3.0 (2.0–4.0) | 0.000 * |
| No. of retrieved oocytes | 11.0 (8.0–16.0) | 2.0 (2.0–3.0) | 0.000 * |
| Follicular oocyte index (FOI) | 80.0 (73.3–90.0) | 75.0 (60.0–100.0) | 0.337 |
| Preovulatory follicle count on trigger day (FORT) | 90.0 (88.9–91.7) | 75.0 (66.7–100.0) | 0.367 |
| Type of Subfertility | NOR n (%) | DOR n (%) | p-Value |
| Primary | 12 (80) | 13 (86.7) | 1.000 |
| Secondary | 3 (20) | 2 (13.3) | |
| Causes on Infertility | NOR n (%) | DOR n (%) | p-Value |
| Male factor | 5 (33.3) | 1 (6.7) | 0.036 # |
| PCOS | 4 (26.7) | 0 (0) | |
| Adenomyosis | 0 (0) | 1 (6.7) | |
| Endometriosis | 3 (20.0) | 5 (33.3) | |
| Tubal factor | 2 (13.3) | 1 (6.7) | |
| Unexplained | 1 (6.7) | 3 (20.0) | |
| Oncofertility | 0 (0) | 4 (26.7) | |
| Trigger Agent | NOR n (%) | DOR n (%) | p-Value |
| hCG | 9 (60.0) | 8 (53.3) | 0.008 # |
| Decapeptide | 6 (40.0) | 1 (6.7) | |
| Dual Trigger | 0 (0) | 6 (40.0) |
| Oocytes Outcome | NOR Median (IQR) | DOR Median (IQR) | p-Value |
|---|---|---|---|
| No of MII | 8.0 (6.5–11.5) | 1.0 (0–1.0) | 0.000 * |
| No of MI | 2.0 (2.0–3.0) | 1.0 (1.0–2.0) | 0.003 * |
| No of GV | 0 (0–1.0) | 0 (0–0.5) | 0.552 |
| No of abnormal oocytes | 0 (0–1.5) | 0 (0) | 0.143 |
| No of MII post IVM | 1.0 (0–1.5) | 1.0 (0.5–1.0) | 0.910 |
| No of MI post IVM | 2.0 (1.0–2.0) | 1.0 (0–1.0) | 0.001 * |
| No of GV post IVM | 0 (0) | 0 (0) | 0.261 |
| In vivo maturity rate | 77.3 (66.7–79.5) | 25.0 (0–50.0) | 0.000 * |
| In vitro maturation rate | 28.6 (0–45.0) | 50.0 (16.7–58.3) | 0.065 |
| Embryo Quality Outcome | NOR n (%) | DOR n (%) | p-Value |
|---|---|---|---|
| Good | 2 (13.3) | 1 (6.7) | 0.341 |
| Fair | 6 (40.0) | 10 (66.7) | |
| Poor | 7 (46.7) | 4 (26.7) |
| Fertilization Outcome | NOR Median (IQR) | DOR Median (IQR) | p-Value |
|---|---|---|---|
| No. of ICSI | 9.0 (7–11.5) | 1.0 (1.0–2.0) | 0.000 * |
| No. of fertilization (2PN) | 7.0 (5.0–9.0) | 1.0 (1.0–1.0) | 0.000 * |
| Fertilization Rate | 72.7 (70.7–81.7) | 66.7 (50.0–100.0) | 0.866 |
| Cleavage stage (D3) | 0 (0) | 1.0 (0.5–1.0) | 0.708 |
| Blastocyst stage (D5) | 3.0 (0–4.0) | 0 (0) | 0.001 * |
| Embryo Quality Outcome | NOR n (%) | DOR n (%) | p-Value |
|---|---|---|---|
| Good | 2 (13.3) | 1 (6.7) | 0.06 |
| Fair | 6 (40.0) | 8 (53.3) | |
| Poor | 7 (46.7) | 2 (13.3) | |
| N/A (no embryo yield) | 0 (0) | 4 (26.7) |
| AMH Group | Pre-IVM (ΔΔCT) | Post-IVM (ΔΔCT) | Z-Statistic | p-Value | Fold Change (FC) | p-Value |
|---|---|---|---|---|---|---|
| GOI Expression Median (IQR) | GOI Expression Median (IQR) | GOI Expression Median (IQR) | ||||
| NOR | HAS2 0.36 (−3.76–3.24) | HAS2 10.47 (8.61–14.3) | −3.351 | 0.001 * | HAS2 0.001(0–0.003) | 0.071 |
| GREM1 −0.73 (−2.63–2.51) | GREM1 −7.85 (−10.7–2.16) | −2.385 | 0.017 * | GREM1 231.5 (4.48–1624.9) | 0.001 * | |
| PTGS2 0.09 (−1.65–1.53) | PTGS2 −0.99 (−6.90–2.32) | −0.341 | 0.733 | PTGS2 1.99 (0.200–119.6) | 0.049 * | |
| DOR | HAS2 −0.07 (−1.91–272) | HAS2 13.78 (11.36–15.82) | −3.408 | 0.001 * | HAS2 0.0001 (0–0.00004) | 0.071 |
| GREM1 −2.18 (−3.56–3.75) | GREM1 3.89 (−1.13–9.04) | −1.193 | 0.334 | GREM1 0.068 (0.01–2.197) | 0.001 * | |
| PTGS2 −0.07 (−1.30–3.50) | PTGS2 1.45 (0.42–7.30) | −0.966 | 0.233 | PTGS2 0.366 (0.006–0.749) | 0.049 * |
| Parameter | GOI Expression (FC) Median (IQR) | rs | p-Value |
|---|---|---|---|
| Age 33.0 (31.75–36.00) | HAS2 0.0002 (0.00002–0.0009) | 0.093 | 0.624 |
| GREM1 3.9395 (0.0554–540.65) | −0.040 | 0.834 | |
| PTGS2 0.5053 (0.0481–7.448) | −0.083 | 0.662 | |
| AMH Level 1.18 (0.723–1.30) | HAS2 0.0002 (0.00002–0.0009) | 0.342 | 0.065 |
| GREM1 3.9395 (0.0554–540.65) | 0.604 | 0.000 * | |
| PTGS2 0.5053 (0.0481–7.448) | 0.257 | 0.171 |
| Type of Subfertility | GOI Expression (FC) Median (IQR) | X2 Statistic [37] | p-Value |
|---|---|---|---|
| Primary | HAS2 0.00014 (0.00002–0.000945) | 0.007 (1) | 0.933 |
| GREM1 3.398 (0.0433–696.289) | 0.131 (1) | 0.718 | |
| PTGS2 0.5458 (0.0811–7.459) | 0.410 (1) | 0.522 | |
| Secondary | HAS2 0.0003 (0.000033- 0.0276) | 0.007 (1) | 0.933 |
| GREM1 90.431 (1.0976–374.714) | 0.131 (1) | 0.718 | |
| PTGS2 0.0494 (0.0253–60.154) | 0.410 (1) | 0.522 |
| Causes of Infertility | GOI Expression (FC) Median (IQR) | X2 Statistic [37] | p-Value |
|---|---|---|---|
| Unexplained | HAS2 0.00004 (0.000015–0.00022) | 9.694 (6) | 0.138 |
| GREM1 0.915 (0.00228–68.28) | 14.811 (6) | 0.022 * | |
| PTGS2 0.0591 (0.117–0.5873) | 5.517 (6) | 0.479 | |
| PCOS | HAS2 0.0019 (0.00028–0.0031) | 9.694 (6) | 0.138 |
| GREM1 530.59 (101.39–8088.13) | 14.811 (6) | 0.022 * | |
| PTGS2 4.734 (0.563–442.48) | 5.517 (6) | 0.479 | |
| Endometriosis | HAS2 0.000117 (0.000023–0.00073) | 9.694 (6) | 0.138 |
| GREM1 0.1021 (0.00618–12.057) | 14.811 (6) | 0.022 * | |
| PTGS2 0.6075 (0.5291–14.215) | 5.517 (6) | 0.479 | |
| Tubal Factor | HAS2 0.00031 (0.00005–0.00031) | 9.694 (6) | 0.138 |
| GREM1 231.472 (3.3980–231.472) | 14.811 (6) | 0.022 * | |
| PTGS2 0.3662 (0.492–0.3662) | 5.517 (6) | 0.479 | |
| Oncofertility | HAS2 0.00004 (0.000006–0.000071) | 9.694 (6) | 0.138 |
| GREM1 0.0505 (0.00084–1.1874) | 14.811 (6) | 0.022 * | |
| PTGS2 0.2394 (0.0056–43.46) | 5.517 (6) | 0.479 | |
| Male Factor | HAS2 0.000724 (0.000268–0.1269) | 9.694 (6) | 0.138 |
| GREM1 262.391 (3.907–2316.68) | 14.811 (6) | 0.022 * | |
| PTGS2 2.2513 (0.7914–248.205) | 5.517 (6) | 0.479 |
| AMH Group | GOI Expression (FC) Median (IQR) | rs | p-Value |
|---|---|---|---|
| NOR 28.57 (0–50) | HAS2 0.00071 (0.000051–0.0025) | 0.096 | 0.733 |
| GREM1 231.473 (4.481–1624.87) | 0.578 | 0.024 * | |
| PTGS2 1.988 (0.2005–119.55) | 0.486 | 0.067 | |
| DOR 50 (0–66.67) | HAS2 0.0000713 (0.0000173–0.00433) | −0.015 | 0.958 |
| GREM1 0.0676 (0.00190–2.187) | 0.049 | 0.863 | |
| PTGS2 0.3662 (0.0064–0.74863) | 0.432 | 0.108 |
| Type of Trigger | In Vivo Maturation Rates | p-Value | In Vitro Maturation Rates | p-Value |
|---|---|---|---|---|
| hCG | 66.67 (29.17–76.39) | 0.006 * | 50.00(0–50.00) | 0.695 |
| Decapeptyl | 77.27 (56.25–81.25) | 28.57 (0–40.00) | ||
| Dual Trigger | 0 (0–37.5) | 50.00 (0–62.50) |
| Oocytes Quality [24] | GOI Expression (FC) Median (IQR) | X2 Statistic [37] | p-Value |
|---|---|---|---|
| Poor | HAS2 0.00031 (0.0000173–0.00326) | 0.962 (2) | 0.618 |
| GREM1 3.39 (0.0978–277.31) | 1.477 (2) | 0.478 | |
| PTGS2 0.3661 (0.014–4.071) | 1.396 (2) | 0.498 | |
| Fair | HAS2 0.0000830 (0.0000293–0.000568) | 0.962 (2) | 0.618 |
| GREM1 2.004 (0.0071–586.024) | 1.477 (2) | 0.478 | |
| PTGS2 0.505 (0.078–7.47) | 1.396 (2) | 0.498 | |
| Good | HAS2 0.000758 (0.000051–0.000758) | 0.962 (2) | 0.618 |
| GREM1 231.472 (16.00–231.472) | 1.477 (2) | 0.478 | |
| PTGS2 18.70 (0.0494–18.70) | 1.396 (2) | 0.498 |
| Embryo Quality | GOI Expression (FC) Median (IQR) | X2 Statistic [37] | p-Value |
|---|---|---|---|
| Poor | HAS2 0.000141 (0.000177–0.0012) | 0.522 (2) | 0.770 |
| GREM1 4.481 (0.178–1071.42) | 0.930 (2) | 0.628 | |
| PTGS2 0.3700 (0.0389–60.154) | 1.259 (2) | 0.533 | |
| Fair | HAS2 0.000366 (0.0000171–0.00274) | 0.522 (2) | 0.770 |
| GREM1 5.112 (0.0072–780.693) | 0.930 (2) | 0.628 | |
| PTGS2 0.6067 (0.147–5.509) | 1.259 (2) | 0.533 | |
| Good | HAS2 0.000715 (0.0000513–0.000715) | 0.522 (2) | 0.770 |
| GREM1 231.47 (16.00–231.47) | 0.930 (2) | 0.628 | |
| PTGS2 18.70 (0.0494–18.70) | 1.259 (2) | 0.533 |
| Frozen Embryo Outcome | NOR Median (IQR) | DOR Median (IQR) | p-Value |
| Total Embryo Frozen | 2.0 (0–2.5) | 1.0 (0–1.0) | 0.077 |
| Total Embryo Use | 2.0 (2.0–2.0) | 1.0 (1.0–1.0) | 0.016 * |
| Frozen Embryo Transfer (FET) | NOR n (%) | DOR n (%) | p-Value |
| Yes | 9 (60.0) | 5 (33.3) | 0.076 # |
| No | 0 (0) | 4 (26.7) | |
| N/A | 6 (40.0) | 6 (40.0) | |
| Pregnancy Status | NOR n (%) | DOR n (%) | p-Value |
| Failed | 5 (55.6) | 1 (20.0) | 0.300 # |
| Biochemical | 1 (11.1) | 2 (40.0) | |
| Clinical | 3 (33.3) | 2 (40.0) | |
| Pregnancy Outcome | NOR n (%) | DOR n (%) | p-Value |
| Miscarriages | 2 (22.2) | 2 (40.0) | 0.766 # |
| Live Birth | 2 (22.2) | 2 (40.0) |
| Pregnancy Status | Oocytes Quality | p-Value | ||
| Poor n (%) | Fair | Good | ||
| Failed | 1 (9.1) | 4 (25) | 1 (33.3) | 0.321 |
| Biochemical | 1 (9.1) | 1 (6.3) | 0 (0) | |
| Clinical | 2 (18.2) | 2 (12.5) | 2 (66.7) | |
| Pregnancy Outcome | Oocytes Quality | p-Value | ||
| Poor n (%) | Fair | Good | ||
| Miscarriage | 2 (18.2) | 1 (6.3) | 0 (0) | 0.131 |
| Live Birth | 1 (9.1) | 2 (12.5) | 2 (66.7) | |
| Pregnancy Status | Embryo Quality | p-Value | ||
| Poor n (%) | Fair | Good | ||
| Failed | 1 (11.1) | 4 (28.6) | 1 (33.3) | 0.040 * |
| Biochemical | 0 (0) | 2 (14.3) | 0 (0) | |
| Clinical | 0 (0) | 4 (28.6) | 2 (66.7) | |
| Pregnancy Outcome | Embryo Quality | p-Value | ||
| Poor n (%) | Fair | Good | ||
| Miscarriage | 0 (0) | 3 (21.4) | 0 (0) | 0.048 * |
| Live Birth | 0 (0) | 3 (21.4) | 2 (66.7) | |
Disclaimer/Publisher’s Note: The statements, opinions and data contained in all publications are solely those of the individual author(s) and contributor(s) and not of MDPI and/or the editor(s). MDPI and/or the editor(s) disclaim responsibility for any injury to people or property resulting from any ideas, methods, instructions or products referred to in the content. |
© 2025 by the authors. Licensee MDPI, Basel, Switzerland. This article is an open access article distributed under the terms and conditions of the Creative Commons Attribution (CC BY) license (https://creativecommons.org/licenses/by/4.0/).
Share and Cite
Ahmad, M.F.; Elias, M.H.; Jin, N.M.; Abu, M.A.; Syafruddin, S.E.; Zainuddin, A.A.; Azhar, S.S.; Suzuki, N.; Karim, A.K.A. A Comparative Analysis of Gremlin-1 (GREM1), Hyaluronic Acid Synthetase-2 (HAS2), and Prostaglandin-Endoperoxide Synthase-2 (PTGS2) Expression in Cumulus Cells Among Women with Diminished Ovarian Reserve Following Rescue In Vitro Maturation (r-IVM). Life 2025, 15, 1609. https://doi.org/10.3390/life15101609
Ahmad MF, Elias MH, Jin NM, Abu MA, Syafruddin SE, Zainuddin AA, Azhar SS, Suzuki N, Karim AKA. A Comparative Analysis of Gremlin-1 (GREM1), Hyaluronic Acid Synthetase-2 (HAS2), and Prostaglandin-Endoperoxide Synthase-2 (PTGS2) Expression in Cumulus Cells Among Women with Diminished Ovarian Reserve Following Rescue In Vitro Maturation (r-IVM). Life. 2025; 15(10):1609. https://doi.org/10.3390/life15101609
Chicago/Turabian StyleAhmad, Mohd Faizal, Marjanu Hikmah Elias, Norazilah Mat Jin, Muhammad Azrai Abu, Saiful Effendi Syafruddin, Ani Amelia Zainuddin, Shah Shamsul Azhar, Nao Suzuki, and Abdul Kadir Abdul Karim. 2025. "A Comparative Analysis of Gremlin-1 (GREM1), Hyaluronic Acid Synthetase-2 (HAS2), and Prostaglandin-Endoperoxide Synthase-2 (PTGS2) Expression in Cumulus Cells Among Women with Diminished Ovarian Reserve Following Rescue In Vitro Maturation (r-IVM)" Life 15, no. 10: 1609. https://doi.org/10.3390/life15101609
APA StyleAhmad, M. F., Elias, M. H., Jin, N. M., Abu, M. A., Syafruddin, S. E., Zainuddin, A. A., Azhar, S. S., Suzuki, N., & Karim, A. K. A. (2025). A Comparative Analysis of Gremlin-1 (GREM1), Hyaluronic Acid Synthetase-2 (HAS2), and Prostaglandin-Endoperoxide Synthase-2 (PTGS2) Expression in Cumulus Cells Among Women with Diminished Ovarian Reserve Following Rescue In Vitro Maturation (r-IVM). Life, 15(10), 1609. https://doi.org/10.3390/life15101609

