The Impact of Dual and Triple Energy Window Scatter Correction on I-123 Postsurgical Thyroid SPECT/CT Imaging Using a Phantom with Small Sizes of Thyroid Remnants
Abstract
1. Introduction
2. Materials and Methods
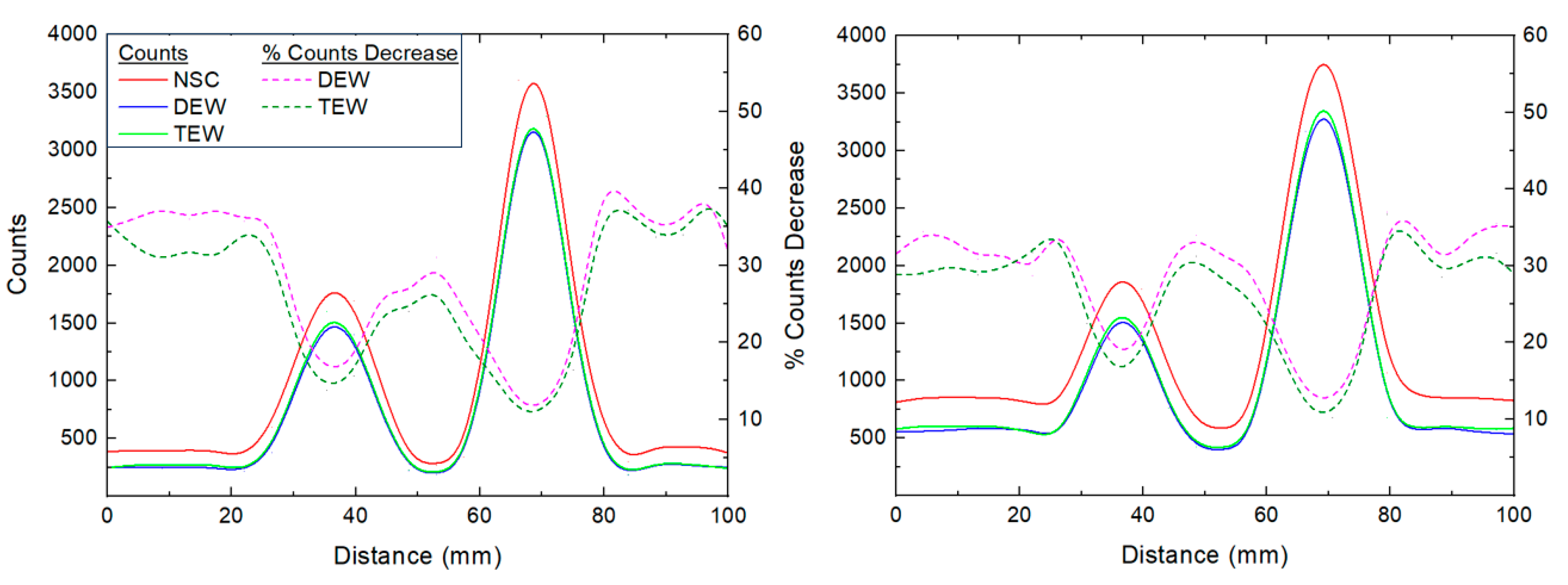
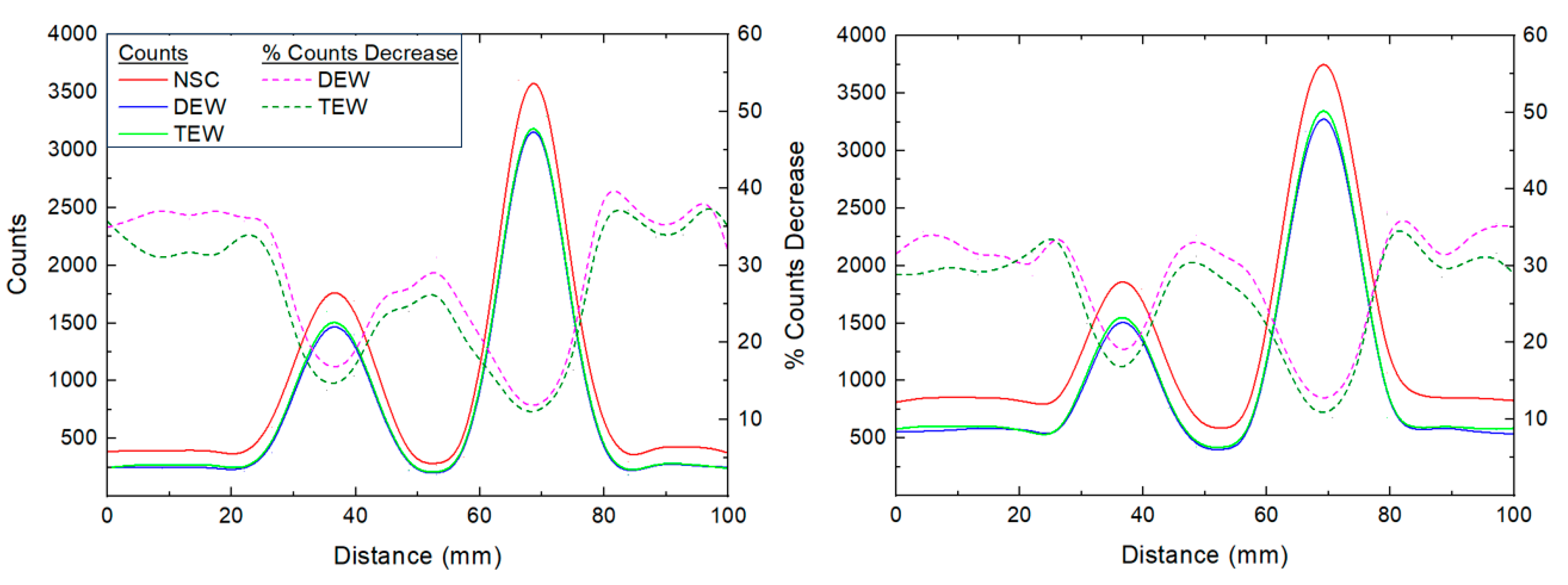
3. Results
4. Discussion
5. Conclusions
Author Contributions
Funding
Institutional Review Board Statement
Informed Consent Statement
Data Availability Statement
Conflicts of Interest
Abbreviations
| 3D | Three-dimensional |
| A | Activity |
| AP | Anterior-Posterior |
| Avg | Average |
| Bgk | Background |
| CNR | Contrast-to-Noise Ratio |
| COV | Coefficient of Variation |
| CT | Computed Tomography |
| DEW | Dual Energy Window |
| FWHM | Full Width at Half Maximum |
| LEHR | Low-Energy High-Resolution |
| MIBG | Meta-Iodo-Benzyl-Guanidine |
| NSC | Non-Scatter Corrected |
| PVE | Partial Volume Effect |
| Rbkg | Background-to-Remnant Activity Ratio |
| ROI | Region of Interest |
| SC | Scatter Correction |
| SD | Standard Deviation |
| SNR | Signal-to-Noise Ratio |
| SPECT | Single-Photon Emission Computed Tomography |
| TEW | Triple Energy Window |
| US | Ultrasound |
| V | Volume |
| VOI | Volume of Interest |
References
- Siddiqi, A.; Foley, R.R.; Britton, K.E.; Sibtain, A.; Plowman, P.N.; Grossman, A.B.; Monson, J.P.; Besser, G.M. The Role of 123I-Diagnostic Imaging in the Follow-up of Patients with Differentiated Thyroid Carcinoma as Compared to 131I-Scanning: Avoidance of Negative Therapeutic Uptake due to Stunning. Clin. Endocrinol. 2001, 55, 515–521. [Google Scholar] [CrossRef]
- Mandel, S.J.; Shankar, L.K.; Benard, F.; Yamamoto, A.; Alavi, A. Superiority of Iodine-123 Compared with Iodine-131 Scanning for Thyroid Remnants in Patients with Differentiated Thyroid Cancer. Clin. Nucl. Med. 2001, 26, 6–9. [Google Scholar] [CrossRef]
- Barwick, T.; Murray, I.; Megadmi, H.; Drake, W.M.; Plowman, P.N.; Akker, S.A.; Chew, S.L.; Grossman, A.B.; Avril, N. Single Photon Emission Computed Tomography (SPECT)/Computed Tomography Using Iodine-123 in Patients with Differentiated Thyroid Cancer: Additional Value over Whole Body Planar Imaging and SPECT. Eur. J. Endocrinol. 2010, 162, 1131–1139. [Google Scholar] [CrossRef] [PubMed][Green Version]
- Cascini, G.L.; Niccoli Asabella, A.; Notaristefano, A.; Restuccia, A.; Ferrari, C.; Rubini, D.; Altini, C.; Rubini, G. 124Iodine: A Longer-Life Positron Emitter Isotope—New Opportunities in Molecular Imaging. BioMed Res. Int. 2014, 2014, 672094. [Google Scholar] [CrossRef]
- Gunder, D.L. Collimator Design for Nuclear Medicine. In Emission Tomography: The Fundamentals of PET and SPECT; Wernick, M.N., Aarsvold, J.N., Eds.; Elsevier: Amsterdam, The Netherlands; Academic Press: San Diego, CA, USA, 2004; pp. 153–168. ISBN 978-0-12-744482-6. [Google Scholar]
- Small, A.D.; Prosser, J.; Motherwell, D.W.; McCurrach, G.M.; Fletcher, A.M.; Martin, W. Downscatter Correction and Choice of Collimator in 123I Imaging. Phys. Med. Biol. 2006, 51, N307–N311. [Google Scholar] [CrossRef] [PubMed]
- Zaidi, H.; Hasegawa, B.H. Attenuation Correction Strategies in Emission Tomography. In Quantitative Analysis in Nuclear Medicine Imaging; Zaidi, H., Ed.; Springer: Boston, MA, USA, 2006; pp. 167–204. ISBN 978-0-387-25444-9. [Google Scholar]
- Chen, J. Nuclear Data Sheets for A = 123. Nucl. Data Sheets 2021, 174, 1–463. [Google Scholar] [CrossRef]
- Lagerburg, V.; de Nijs, R.; Holm, S.; Svarer, C. A Comparison of Different Energy Window Subtraction Methods to Correct for Scatter and Downscatter in I-123 SPECT Imaging. Nucl. Med. Commun. 2012, 33, 708–718. [Google Scholar] [CrossRef] [PubMed]
- Hutton, B.F.; Buvat, I.; Beekman, F.J. Review and Current Status of SPECT Scatter Correction. Phys. Med. Biol. 2011, 56, R85–R112. [Google Scholar] [CrossRef]
- Ljungberg, M.; Pretorius, P.H. SPECT/CT: An Update on Technological Developments and Clinical Applications. Br. J. Radiol. 2018, 91, 20160402. [Google Scholar] [CrossRef]
- Ritt, P.; Kuwert, T. Quantitative SPECT/CT—Technique and Clinical Applications. In Molecular Imaging in Oncology; Schober, O., Kiessling, F., Debus, J., Eds.; Recent Results in Cancer Research; Springer International Publishing: Cham, Switzerland, 2020; pp. 565–590. ISBN 978-3-030-42618-7. [Google Scholar]
- Noori-Asl, M.; Sadremomtaz, A.; Bitarafan-Rajabi, A. Evaluation of Three Scatter Correction Methods Based on Estimation of Photopeak Scatter Spectrum in SPECT Imaging: A Simulation Study. Phys. Medica 2014, 30, 947–953. [Google Scholar] [CrossRef]
- Farncombe, T.H.; Gifford, H.C.; Narayanan, M.V.; Pretorius, P.H.; Frey, E.C.; King, M.A. Assessment of Scatter Compensation Strategies for 67Ga SPECT Using Numerical Observers and Human LROC Studies. J. Nucl. Med. 2004, 45, 802–812. [Google Scholar] [PubMed]
- Pourmoghaddas, A.; Vanderwerf, K.; Ruddy, T.D.; Glenn Wells, R. Scatter Correction Improves Concordance in SPECT MPI with a Dedicated Cardiac SPECT Solid-State Camera. J. Nucl. Cardiol. 2015, 22, 334–343. [Google Scholar] [CrossRef] [PubMed]
- Van Gils, C.A.J.; Beijst, C.; Van Rooij, R.; De Jong, H.W.A.M. Impact of Reconstruction Parameters on Quantitative I-131 SPECT. Phys. Med. Biol. 2016, 61, 5166–5182. [Google Scholar] [CrossRef]
- Mu’minah, I.A.S.; Hidayati, N.R.; Widodo, P.; Shintawati, R.; Soejoko, D.S. Investigation of Image Quality for Quantitative Lu-177 in SPECT Imaging: A Phantom Study. J. Phys. Conf. Ser. 2020, 1505, 012048. [Google Scholar] [CrossRef]
- Miwa, K.; Nemoto, R.; Masuko, H.; Yamao, T.; Kobayashi, R.; Miyaji, N.; Inoue, K.; Onodera, H. Evaluation of Quantitative Accuracy among Different Scatter Corrections for Quantitative Bone SPECT/CT Imaging. PLoS ONE 2022, 17, e0269542. [Google Scholar] [CrossRef] [PubMed]
- Hadjiconstanti, A.; Michael, K.; Frangos, S.; Demosthenous, G.; Lyra, M. The Impact of Two Scatter Correction Methods on I-131 AC-SPECT Images Using an Anthropomorphic Phantom with Variable Sizes of Thyroid Remnants. In Proceedings of the 2020 7th International Conference on Biomedical and Bioinformatics Engineering, Kyoto, Japan, 6–9 November 2020. [Google Scholar] [CrossRef]
- Fletcher, A.M.; Motherwell, D.W.; Small, A.D.; McCurrach, G.M.; Goodfield, N.E.R.; Petrie, M.C.; Martin, W.; Cobbe, S.M. I-123 MIBG Cardiac Uptake Measurements: Limitations of Collimator Choice and Scatter Correction in the Clinical Context. Nucl. Med. Commun. 2010, 31, 629–636. [Google Scholar] [CrossRef]
- Kobayashi, H.; Momose, M.; Kanaya, S.; Kondo, C.; Kusakabe, K.; Mitsuhashi, N. Scatter Correction by Two-Window Method Standardizes Cardiac I-123 MIBG Uptake in Various Gamma Camera Systems. Ann. Nucl. Med. 2003, 17, 309–313. [Google Scholar] [CrossRef]
- Inoue, Y.; Shirouzu, I.; Machida, T.; Yoshizawa, Y.; Akita, F.; Minami, M.; Ohtomo, K. Collimator Choice in Cardiac SPECT with I-123-Labeled Tracers. J. Nucl. Cardiol. 2004, 11, 433–439. [Google Scholar] [CrossRef]
- Papanastasiou, E.; Moralidis, E.; Siountas, A. The Effect of Scatter Correction on Planar and Tomographic Semiquantitative I123 Cardiac Imaging. A Phantom Study. Hell. J. Nucl. Med. 2017, 20, 154–159. [Google Scholar]
- Hayashi, M.; Deguchi, J.; Utsunomiya, K.; Yamada, M.; Komori, T.; Takeuchi, M.; Kanna, K.; Narabayashi, I. Comparison of Methods of Attenuation and Scatter Correction in Brain Perfusion SPECT. J. Nucl. Med. Technol. 2005, 33, 224–229. [Google Scholar]
- Yang, Y.-W.; Chen, J.-C.; Chang, C.-J.; Cheng, C.-Y.; Wang, S.-J. Evaluation of Collimator Choice and Scatter Correction on 123I SPECT Images. Nucl. Instrum. Methods Phys. Res. Sect. A Accel. Spectrometers Detect. Assoc. Equip. 2008, 584, 204–211. [Google Scholar] [CrossRef]
- Michael, K.; Hadjiconstanti, A.; Lontos, A.; Demosthenous, G.; Frangos, S.; Parpottas, Y. A Neck-Thyroid Phantom with Small Sizes of Thyroid Remnants for Postsurgical I-123 and I-131 SPECT/CT Imaging. Life 2023, 13, 961. [Google Scholar] [CrossRef]
- Koral, K.F.; Swailem, F.M.; Buchbinder, S.; Clinthorne, N.H.; Rogers, W.L.; Tsui, M.W. SPECT Dual-Energy-Window Compton Correction: Scatter Multiplier Required for Quantification. J. Nucl. Med. 1990, 31, 90–98. [Google Scholar] [PubMed]
- Rueden, C.T.; Schindelin, J.; Hiner, M.C.; DeZonia, B.E.; Walter, A.E.; Arena, E.T.; Eliceiri, K.W. ImageJ2: ImageJ for the next Generation of Scientific Image Data. BMC Bioinform. 2017, 18, 529. [Google Scholar] [CrossRef] [PubMed]
- Brenner, D.E.; Whitley, N.O.; Houk, T.L.; Aisner, J.; Wiernik, P.; Whitley, J. Volume Determinations in Computed Tomography. JAMA J. Am. Med. Assoc. 1982, 247, 1299–1302. [Google Scholar] [CrossRef]
- BIPM; IEC; IFCC; ILAC; ISO; IUPAC; IUPAP; OIML. Evaluation of Measurement Data-Guide to the Expression of Uncertainty in Measurement. JCGM 100:2008 (GUM 1995 with Minor Corrections); Joint Committee for Guides in Metrology: Sèvres, France, 2008. [Google Scholar]
- Cherry, S.; Sorenson, J.; Phelps, M. Physics in Nuclear Medicine; Elsevier Saunders: Philadelphia, PA, USA, 2012; ISBN 978-1-4160-5198-5. [Google Scholar]
- Wieczorek, H. SPECT Image Quality and Quantification. In Proceedings of the IEEE Nuclear Science Symposium Conference Record, San Diego, CA, USA, 29 October–1 November 2006; Institute of Electrical and Electronics Engineers Inc.: Piscataway, NJ, USA, 2006; Volume 5, pp. 2854–2858. [Google Scholar]
- Tunninen, V.; Kauppinen, T.; Eskola, H. Physical Characteristics of Collimators for Dual-Isotope Imaging with 99mTc and 123I. In EMBEC & NBC 2017; Eskola, H., Väisänen, O., Viik, J., Hyttinen, J., Eds.; IFMBE Proceedings; Springer: Singapore, 2018; Volume 65, pp. 245–249. ISBN 978-981-10-5121-0. [Google Scholar]
- Fakhri, G.E.; Benali, H.; Todd-Pokropek, A.; Paola, R.D. Relative Impact of Scatter, Collimator Response, Attenuation, and Finite Spatial Resolution Corrections in Cardiac SPECT. J. Nucl. Med. 2000, 41, 1400–1408. [Google Scholar] [PubMed]
- Dewaraja, Y.K.; Ljungberg, M.; Koral, K.F. Accuracy of 131I Tumor Quantification in Radioimmunotherapy Using SPECT Imaging with an Ultra-High-Energy Collimator: Monte Carlo Study. J. Nucl. Med. 2000, 41, 1760–1767. [Google Scholar]
- Perisinakis, K.; Karkavitsas, N.; Damilakis, J.; Gourtsoyiannis, N. Effect of Dual and Triple Energy Window Scatter Correction Methods on Image Quality in Liver Scintigraphy. Nuklearmedizin 1998, 37, 239–244. [Google Scholar] [CrossRef]
- Leenhardt, L.; Erdogan, M.F.; Hegedus, L.; Mandel, S.J.; Paschke, R.; Rago, T.; Russ, G. 2013 European Thyroid Association Guidelines for Cervical Ultrasound Scan and Ultrasound-Guided Techniques in the Postoperative Management of Patients with Thyroid Cancer. Eur. Thyroid J. 2013, 2, 147–159. [Google Scholar] [CrossRef]
- Vrinceanu, D.; Dumitru, M.; Cergan, R.; Anghel, A.G.; Costache, A.; Patrascu, E.T.; Sarafoleanu, C.C. Correlations between Ultrasonography Performed by the ENT Specialist and Pathologic Findings in the Management of Three Cases with Thyroglossal Duct Cyst. Med. Ultrason. 2018, 20, 524–526. [Google Scholar] [CrossRef]
- Anghel, B.; Serboiu, C.; Marinescu, A.; Taciuc, I.-A.; Bobirca, F.; Stanescu, A.D. Recent Advances and Adaptive Strategies in Image Guidance for Cervical Cancer Radiotherapy. Medicina 2023, 59, 1735. [Google Scholar] [CrossRef] [PubMed]







| ID | V1 (mL) | A1 (MBq) | V2 (mL) | A2 (MBq) | Rbkg (%) |
|---|---|---|---|---|---|
| 1 | 1.5 | 0.51 | 3.0 | 0.93 | 0 |
| 2 | 1.5 | 0.63 | 3.0 | 1.44 | 0 |
| 3 | 1.5 | 2.52 | 3.0 | 2.07 | 0 |
| 4 | 1.5 | 6.07 | 3.0 | 6.03 | 0 |
| 5 | 1.5 | 12.65 | 3.0 | 12.54 | 0 |
| 6 | 10.0 | 3.15 | 0.5 | 2.15 | 0 |
| 7 | 10.0 | 3.15 | 1.0 | 2.52 | 0 |
| 8 | 1.5 | 0.55 | 3.0 | 1.11 | 5 |
| 9 | 1.5 | 0.55 | 3.0 | 1.11 | 10 |
| V (mL) | RNSC | RDEW | RTEW | RCT |
|---|---|---|---|---|
| 0.5 | 5.8 | 5.5 | 5.6 | 1.1 |
| 1.0 | 2.9 | 2.7 | 2.6 | 1.1 |
| 1.5 * | 2.8 | 2.6 | 2.5 | 1.0 |
| 3.0 * | 1.8 | 1.6 | 1.6 | 1.0 |
| 10.0 | 1.1 | 1.1 | 1.1 | 1.0 |
| Rbkg = 5% | Rbkg = 10% | |||||
|---|---|---|---|---|---|---|
| Avg | SD | %COV | Avg | SD | %COV | |
| NSC | 441.2 | 27.6 | 6.2 | 895.3 | 31.4 | 3.5 |
| DEW | 262.2 | 25.2 | 9.6 | 544.6 | 30.2 | 5.5 |
| TEW | 288.7 | 24.0 | 8.3 | 566.3 | 29.8 | 5.3 |
Disclaimer/Publisher’s Note: The statements, opinions and data contained in all publications are solely those of the individual author(s) and contributor(s) and not of MDPI and/or the editor(s). MDPI and/or the editor(s) disclaim responsibility for any injury to people or property resulting from any ideas, methods, instructions or products referred to in the content. |
© 2024 by the authors. Licensee MDPI, Basel, Switzerland. This article is an open access article distributed under the terms and conditions of the Creative Commons Attribution (CC BY) license (https://creativecommons.org/licenses/by/4.0/).
Share and Cite
Michael, K.; Frangos, S.; Iakovou, I.; Lontos, A.; Demosthenous, G.; Parpottas, Y. The Impact of Dual and Triple Energy Window Scatter Correction on I-123 Postsurgical Thyroid SPECT/CT Imaging Using a Phantom with Small Sizes of Thyroid Remnants. Life 2024, 14, 113. https://doi.org/10.3390/life14010113
Michael K, Frangos S, Iakovou I, Lontos A, Demosthenous G, Parpottas Y. The Impact of Dual and Triple Energy Window Scatter Correction on I-123 Postsurgical Thyroid SPECT/CT Imaging Using a Phantom with Small Sizes of Thyroid Remnants. Life. 2024; 14(1):113. https://doi.org/10.3390/life14010113
Chicago/Turabian StyleMichael, Konstantinos, Savvas Frangos, Ioannis Iakovou, Antonis Lontos, George Demosthenous, and Yiannis Parpottas. 2024. "The Impact of Dual and Triple Energy Window Scatter Correction on I-123 Postsurgical Thyroid SPECT/CT Imaging Using a Phantom with Small Sizes of Thyroid Remnants" Life 14, no. 1: 113. https://doi.org/10.3390/life14010113
APA StyleMichael, K., Frangos, S., Iakovou, I., Lontos, A., Demosthenous, G., & Parpottas, Y. (2024). The Impact of Dual and Triple Energy Window Scatter Correction on I-123 Postsurgical Thyroid SPECT/CT Imaging Using a Phantom with Small Sizes of Thyroid Remnants. Life, 14(1), 113. https://doi.org/10.3390/life14010113

