Impact of Mechanical Removal on the Regeneration and Colonization Abilities of the Alien Aquatic Macrophyte Egeria densa
Abstract
1. Introduction
2. Material and Methods
2.1. Plant Collection
2.2. Experimental Design
- The number of cuts: zero, one, or two cuts.
- The removal date: one removal was conducted in May (after one month), one in July (after three months), and one removal was carried out in May and in July (two treatments), respectively.
2.3. Statistical Analyses
3. Results
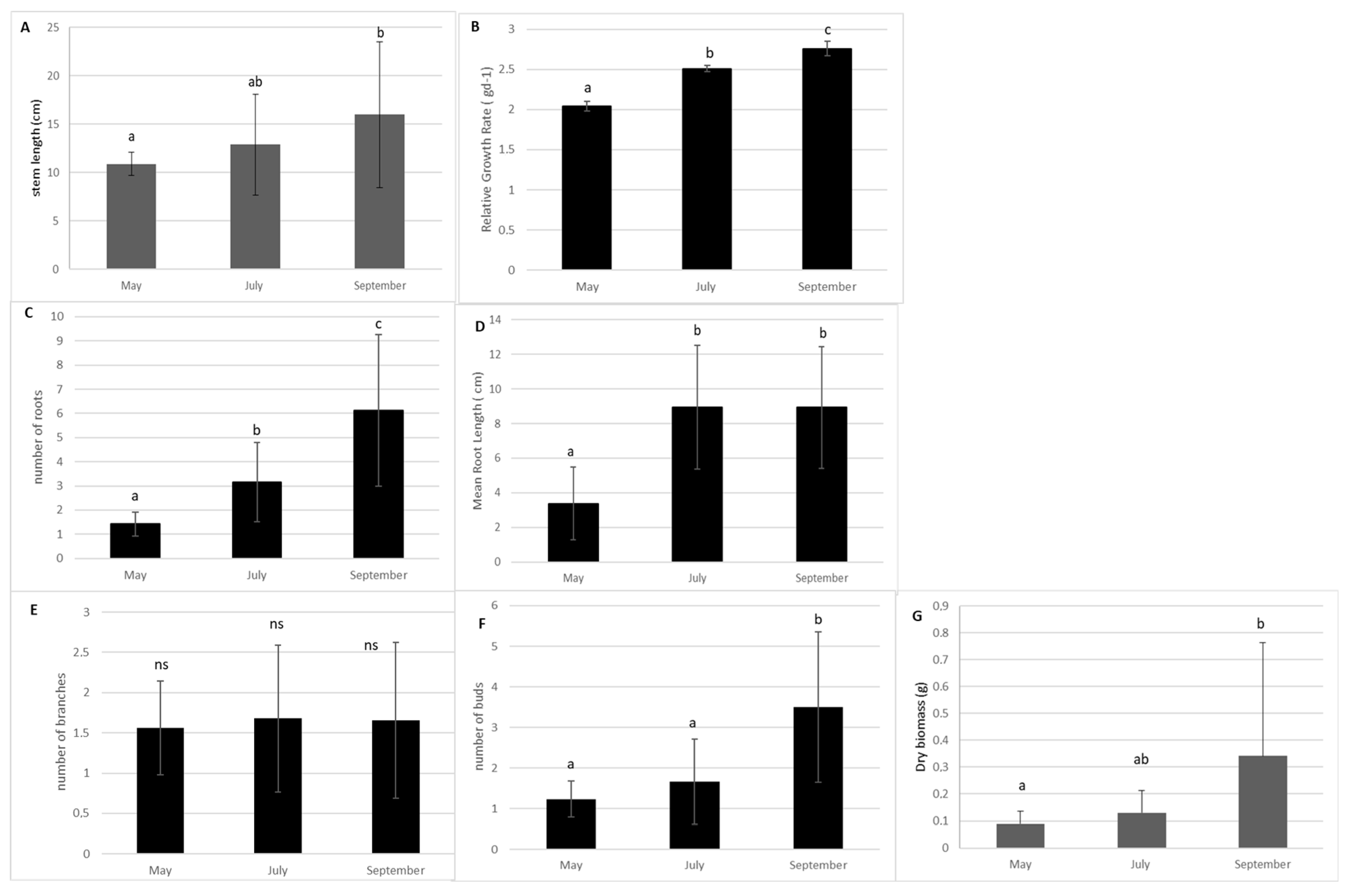
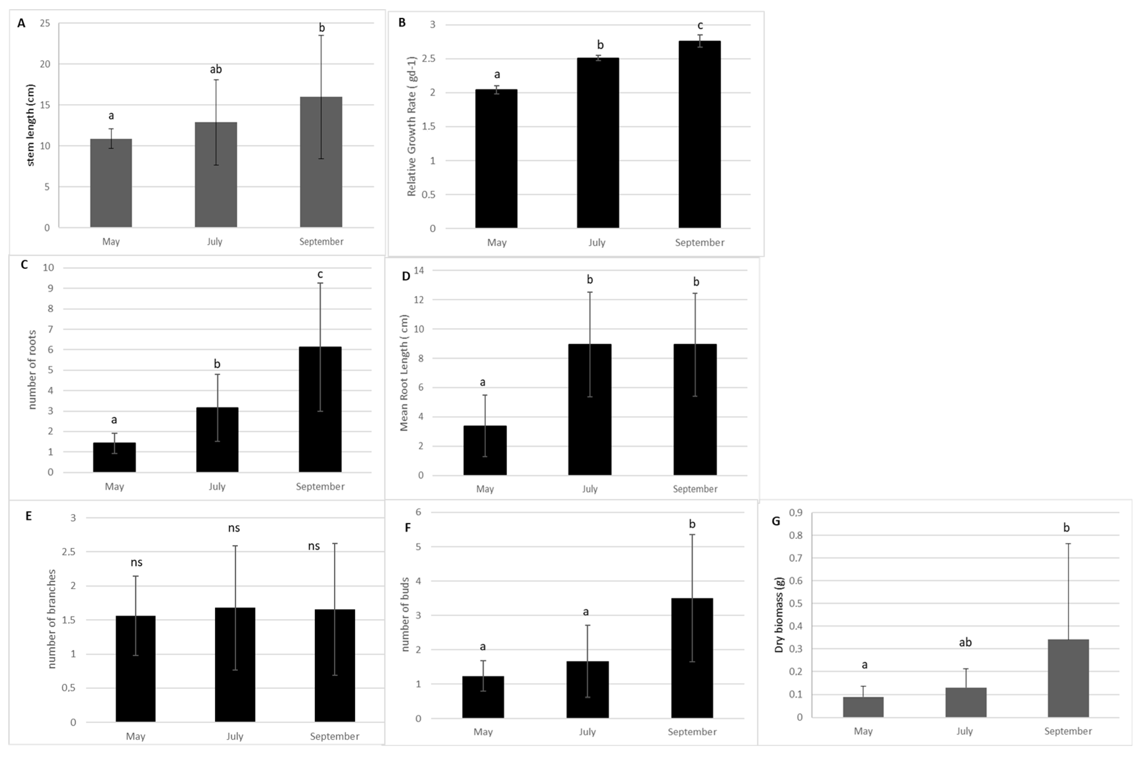
3.1. Effect of No Management on the Plant’s Growth
3.2. Impact of the Number and Period of Cutting on Dry Biomass
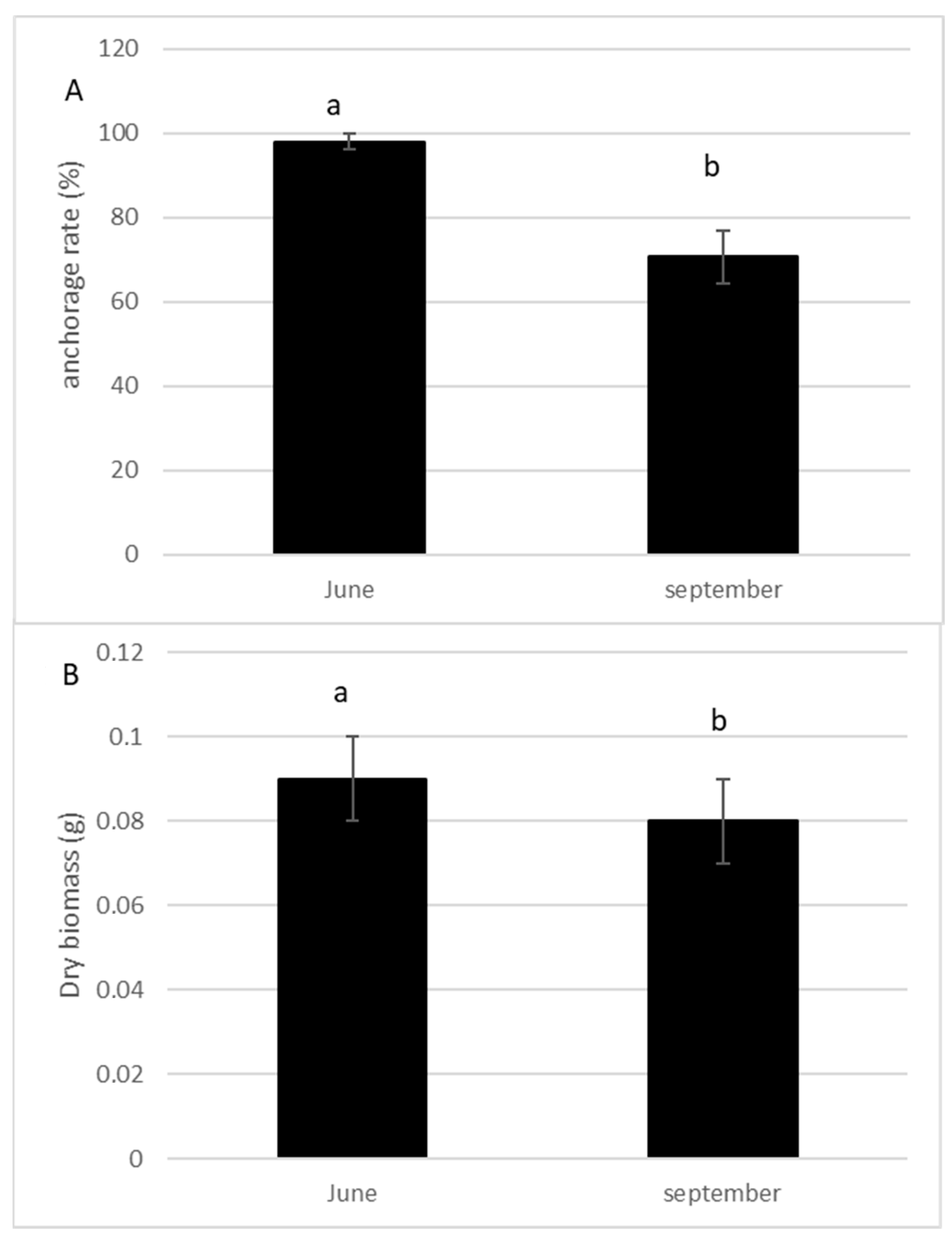
3.3. Effect of the Removal Date on Fragment’s Regeneration and Colonization Success
4. Discussion
4.1. Impact of Frequency and Date of Removal on E. densa Biomass
4.2. Regeneration and Colonization Abilities of Fragments
5. Conclusions
Supplementary Materials
Funding
Institutional Review Board Statement
Informed Consent Statement
Data Availability Statement
Acknowledgments
Conflicts of Interest
References
- Ribaudo, C.; Tison-Rosebery, J.; Buquet, D.; Jan, G.; Jamoneau, A.; Abril, G.; Anschutz, P.; Bertrin, V. Invasive Aquatic Plants as Ecosystem Engineers in an Oligo-Mesotrophic Shallow Lake. Front. Plant Sci. 2018, 9, 1781–1795. [Google Scholar] [CrossRef] [PubMed]
- Johnstone, I.M. Macrophyte management: An integrated perspective. N. Z. J. Mar. Freshw. Res. 1986, 20, 599–614. [Google Scholar] [CrossRef][Green Version]
- Van Nes, E.H.; Van den Berg, M.S.; Clayton, J.S.; Coops, H.; Scheffer, M.; Van Ierland, E. A simple model for evaluating the costs and benefits of aquatic macrophytes. Hydrobiologia 1999, 415, 335–339. [Google Scholar] [CrossRef]
- Winterton, S.; Scher, J. Aquarium and Pond Plants of the World, 2nd ed.; Lucid v. 3.4; USDA/APHIS/PPQ Center for Plant Health Science and Technology: Raleigh, NC, USA; North Carolina State University: Raleigh, NC, USA; California Department of Food and Agriculture: Sacramento, CA, USA, 2007.
- Cook, C.D.K.; Urmi-Kônig, K. A revision of the genus Egeria (Hydrocharitaceae). Aquat. Bot. 1984, 19, 73–96. [Google Scholar] [CrossRef]
- Dutartre, A.; Haury, J.; Jicorel, A. Succession of E. densa in a drinking water reservoir in Morbihan (France). Hydrobiologia 1999, 415, 243–247. [Google Scholar] [CrossRef]
- Yarrow, M.; Marín, V.H.; Finlayson, M.; Tironi, A.; Delgado, L.D.; Fischer, F. The ecology of E. densa Planchon (Liliopsida: Alismatales): A wetland ecosystem engineer? Rev. Chil. Hist. Nat. 2009, 82, 299–313. [Google Scholar] [CrossRef]
- Branquart, E.; Stiers, I.; Triest, L.; Vanderhoeven, S.; Van Landuyt, W.; Van Rossum, F.; Verloove, F. Harmonia Database: E. densa. Harmonia Version 1.2, Belgian Forum on Invasive Species. Available online: http://ias.biodiversity.be/ (accessed on 21 February 2013).
- Santos, M.J.; Anderson, L.W.J.; Ustin, S.L. Effects of invasive species on plant communities: An example using submersed aquatic plants at the regional scale. Biol. Invasions 2011, 13, 443–457. [Google Scholar] [CrossRef]
- Durand, J.; Fleenor, W.; McElreath, R.; Santos, M.J.; Moyle, P. Physical Controls on the Distribution of the Submersed Aquatic Weed E. densa in the Sacramento–San Joaquin Delta and Implications for Habitat Restoration. San Franc. Estuary Watershed Sci. 2016, 14. [Google Scholar] [CrossRef]
- Hussner, A.; Stiers, I.; Verhofstad, M.; Bakker, E.; Grutters, B.; Haury, J.; van Valkenburg, J.; Brundu, G.; Newman, J.; Clayton, J.; et al. Management and control methods of invasive alien freshwater aquatic plants: A review. Aquat. Bot. 2017, 136, 112–137. [Google Scholar] [CrossRef]
- Barrat-Segretain, M.-H.; Bornette, G. Regeneration and colonization abilities of aquatic plant fragments: Effect of disturbance seasonality. Hydrobiologia 2000, 421, 31–39. [Google Scholar] [CrossRef]
- Thiébaut, G.; Martinez, L. An exotic macrophyte bed may facilitate the anchorage of exotic propagules during the first stage of invasion. Hydrobiologia 2015, 746, 183–196. [Google Scholar] [CrossRef]
- Haramoto, T.; Ikusima, I. Life cycle of E. densa Planch., an aquatic plant naturalized in Japan. Aquat. Bot. 1988, 30, 389–403. [Google Scholar] [CrossRef]
- Getsinger, K.D.; Dillon, C.R. Quiescence, growth and senescence of E. densa in Lake Marion. Aquat. Bot 1984, 20, 329–338. [Google Scholar] [CrossRef]
- Li, Y.; Yu, D.; Yan, X. Are polyphenolics valuable in anti-herbivory strategies of submersed freshwater macrophytes? Arch. Hydrobiol. 2004, 161, 391–402. [Google Scholar] [CrossRef]
- R Core Team. R: A Language and Environment for Statistical Computing; The R Development Core Team: Vienna, Austria, 2020. [Google Scholar]
- Vari, A. Colonization by fragments in six common aquatic macrophyte species. Fund. Appl. Limnol. 2013, 183, 15–26. [Google Scholar] [CrossRef]
- Abernethy, V.J.; Sabbatini, M.R.; Murphy, K.J. Response of Elodea canadensis Michx. and Myriophyllum spicatum L. to shade, cutting and competition in experimental culture. Hydrobiologia 1996, 340, 219–224. [Google Scholar] [CrossRef]
- Di Nino, F.; Thiébaut, G.; Muller, S. Response of Elodea nuttallii (Planch.) H. St. John to manual harvesting in the north-eastern-France. Hydrobiologia 2005, 551, 147–157. [Google Scholar] [CrossRef]
- Chesneau, E.; Thiébaut, G.; Haury, J. Stratégies de Réponses des Macrophytes Aquatiques Invasifs à la Pression Biotique et au Faucardage. Final Report AE Loire Bretagne, 2017; p. 82. [Google Scholar]
- Haury, J.J.; Matrat, R.; Hudin, S.; Lambert, E.; Anras, L.; Dutartre, A.; Bottner, B.; Gentil, E.; Gressette, S.; Loriot, S.; et al. Manuel de Gestion des Plantes Exotiques Envahissant les Milieux Aquatiques et Les berges du Bassin Loire-Bretagne. Fédération des Conservatoires D’espaces Naturels. 2010. 136p. Available online: https://hal.inrae.fr/hal-02824128/file/2010_Haury_ManuelGestion_1.pdf (accessed on 5 September 2023).
- Anderson, L.W.J. Dissipation and Movement of Sonar and Komeen Following Typical Applications for control of E. Densa in the Sacramento–San Joaquin Delta and Production and Viability of Fragments Following Mechanical Harvesting (1997/1998); Department of Agriculture–Agricultural Research Service, Environmental Impact Report for California Department of Boating and Waterways: Davis, CA, USA, 1998; p. 79.
- Kuntz, K.; Heidbüchel, P.; Hussner, A. Effects of water nutrients on regeneration capacity of submerged aquatic plant fragments. Ann. Limnol. 2014, 50, 155–162. [Google Scholar] [CrossRef]
- Feijoó, C.; García, M.E.; Momo, F.; Toja, J. Nutrient absorption by the submerged macrophyte. Limnetica 2002, 21, 93–104. [Google Scholar]




| Stem Length | Number Buds | Number Lat Branches | Number Root | |||||||||
|---|---|---|---|---|---|---|---|---|---|---|---|---|
| df | F | p | df | χ | p | df | χ | p | df | χ | p | |
| Season | 1 | 11.31 | <0.0001 | 1 | 329.09 | <0.0001 | 1 | 233.53 | <0.0001 | 1 | 537.79 | 0.101 |
| timing | 1 | 18.81 | <0.0001 | 1 | 136.13 | <0.0001 | 1 | 121.22 | <0.0001 | 1 | 194.14 | <0.0001 |
| Season × timing | 1 | 0.01 | 0.914 | 1 | 129.46 | 0.010 | 1 | 121.03 | 0.661 | 1 | 166.51 | <0.0001 |
Disclaimer/Publisher’s Note: The statements, opinions and data contained in all publications are solely those of the individual author(s) and contributor(s) and not of MDPI and/or the editor(s). MDPI and/or the editor(s) disclaim responsibility for any injury to people or property resulting from any ideas, methods, instructions or products referred to in the content. |
© 2023 by the author. Licensee MDPI, Basel, Switzerland. This article is an open access article distributed under the terms and conditions of the Creative Commons Attribution (CC BY) license (https://creativecommons.org/licenses/by/4.0/).
Share and Cite
Thiébaut, G. Impact of Mechanical Removal on the Regeneration and Colonization Abilities of the Alien Aquatic Macrophyte Egeria densa. Life 2023, 13, 2004. https://doi.org/10.3390/life13102004
Thiébaut G. Impact of Mechanical Removal on the Regeneration and Colonization Abilities of the Alien Aquatic Macrophyte Egeria densa. Life. 2023; 13(10):2004. https://doi.org/10.3390/life13102004
Chicago/Turabian StyleThiébaut, Gabrielle. 2023. "Impact of Mechanical Removal on the Regeneration and Colonization Abilities of the Alien Aquatic Macrophyte Egeria densa" Life 13, no. 10: 2004. https://doi.org/10.3390/life13102004
APA StyleThiébaut, G. (2023). Impact of Mechanical Removal on the Regeneration and Colonization Abilities of the Alien Aquatic Macrophyte Egeria densa. Life, 13(10), 2004. https://doi.org/10.3390/life13102004
