A Simple Taste Test for Clinical Assessment of Taste and Oral Somatosensory Function—The “Seven-iTT”
Abstract
1. Introduction
2. Materials and Methods
2.1. Ethic Statement
2.2. Participants
2.3. Sensory Testing
2.4. Statistical Analysis
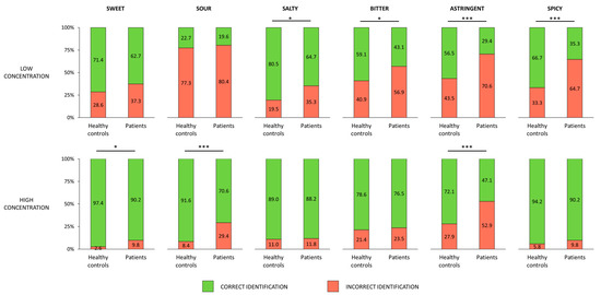
3. Results
4. Discussion
5. Conclusions
Author Contributions
Funding
Institutional Review Board Statement
Informed Consent Statement
Data Availability Statement
Conflicts of Interest
References
- Deems, D.A.; Doty, R.L.; Settle, R.G.; Moore-Gillon, V.; Shaman, P.; Mester, A.F.; Kimmelman, C.P.; Brightman, V.J.; Snow, J.B., Jr. Smell and taste disorders, a study of 750 patients from the University of Pennsylvania Smell and Taste Center. Arch. Otolaryngol. Head Neck Surg. 1991, 117, 519–528. [Google Scholar] [CrossRef] [PubMed]
- Sakashita, S.; Takayama, K.; Nishioka, K.; Katoh, T. Taste disorders in healthy “carriers” and “non-carriers” of Candida albicans and in patients with candidosis of the tongue. J. Dermatol. 2004, 31, 890–897. [Google Scholar] [CrossRef] [PubMed]
- Fark, T.; Hummel, C.; Hahner, A.; Nin, T.; Hummel, T. Characteristics of taste disorders. Eur. Arch. Otorhinolaryngol. 2013, 270, 1855–1860. [Google Scholar] [CrossRef]
- Doty, R.L.; Hawkes, C.H. Chemosensory dysfunction in neurodegenerative diseases. Handb. Clin. Neurol. 2019, 164, 325–360. [Google Scholar] [CrossRef] [PubMed]
- Melis, M.; Haehner, A.; Mastinu, M.; Hummel, T.; Barbarossa, I.T. Molecular and Genetic Factors Involved in Olfactory and Gustatory Deficits and Associations with Microbiota in Parkinson’s Disease. Int. J. Mol. Sci. 2021, 22, 4286. [Google Scholar] [CrossRef]
- Naka, A.; Riedl, M.; Luger, A.; Hummel, T.; Mueller, C.A. Clinical significance of smell and taste disorders in patients with diabetes mellitus. Eur. Arch. Otorhinolaryngol. 2010, 267, 547–550. [Google Scholar] [CrossRef]
- Douglass, R.; Heckman, G. Drug-related taste disturbance: A contributing factor in geriatric syndromes. Can. Fam. Physician 2010, 56, 1142–1147. [Google Scholar]
- Welge-Lüssen, A.; Dörig, P.; Wolfensberger, M.; Krone, F.; Hummel, T. A study about the frequency of taste disorders. J. Neurol. 2011, 258, 386–392. [Google Scholar] [CrossRef]
- Sergi, G.; Bano, G.; Pizzato, S.; Veronese, N.; Manzato, E. Taste loss in the elderly: Possible implications for dietary habits. Crit. Rev. Food Sci. Nutr. 2017, 57, 3684–3689. [Google Scholar] [CrossRef]
- Merkonidis, C.; Grosse, F.; Ninh, T.; Hummel, C.; Haehner, A.; Hummel, T. Characteristics of chemosensory disorders—Results from a survey. Eur. Arch. Oto-Rhino-Laryngol. 2015, 272, 1403–1416. [Google Scholar] [CrossRef]
- Risso, D.; Drayna, D.; Morini, G. Alteration, Reduction and Taste Loss: Main Causes and Potential Implications on Dietary Habits. Nutrients 2020, 12, 3284. [Google Scholar] [CrossRef] [PubMed]
- Vennemann, M.M.; Hummel, T.; Berger, K. The association between smoking and smell and taste impairment in the general population. J. Neurol. 2008, 255, 1121–1126. [Google Scholar] [CrossRef]
- Ahne, G.; Erras, A.; Hummel, T.; Kobal, G. Assessment of gustatory function by means of tasting tablets. Laryngoscope 2000, 110, 1396–1401. [Google Scholar] [CrossRef] [PubMed]
- Hummel, T.; Erras, A.; Kobal, G. A test for the screening of taste function. J. Rhinol. 1997, 35, 146–148. [Google Scholar]
- Mueller, C.; Kallert, S.; Renner, B.; Stiassny, K.; Temmel, A.F.; Hummel, T.; Kobal, G. Quantitative assessment of gustatory function in a clinical context using impregnated “taste strips”. J. Rhinol. 2003, 41, 2–6. [Google Scholar]
- Landis, B.N.; Welge-Luessen, A.; Bramerson, A.; Bende, M.; Mueller, C.A.; Nordin, S.; Hummel, T. “Taste Strips”—A rapid, lateralized, gustatory bedside identification test based on impregnated filter papers. J. Neurol. 2009, 256, 242–248. [Google Scholar] [CrossRef]
- Ribeiro, J.C.; Chaves, M.; Chaves, C.; Lemos, L.; Silva, E.D.; Paiva, A.; Hummel, T. Cross-cultural validation of a taste test with paper strips. Eur. Arch. Oto-Rhino-Laryngol. 2016, 273, 3407–3411. [Google Scholar] [CrossRef]
- Mueller, C.A.; Khatib, S.; Landis, B.N.; Temmel, A.F.; Hummel, T. Gustatory function after tonsillectomy. Arch. Otolaryngol. Head Neck Surg. 2007, 133, 668–671. [Google Scholar] [CrossRef]
- Melis, M.; Mastinu, M.; Sollai, G.; Paduano, D.; Chicco, F.; Magri, S.; Usai, P.; Crnjar, R.; Tepper, B.J.; Barbarossa, I.T. Taste Changes in Patients with Inflammatory Bowel Disease: Associations with PROP Phenotypes and polymorphisms in the salivary protein, Gustin and CD36 Receptor Genes. Nutrients 2020, 12, 409. [Google Scholar] [CrossRef]
- Cecchini, M.P.; Osculati, F.; Ottaviani, S.; Boschi, F.; Fasano, A.; Tinazzi, M. Taste performance in Parkinson’s disease. J. Neural. Transm. 2014, 121, 119–122. [Google Scholar] [CrossRef]
- Heckmann, J.G.; Stossel, C.; Lang, C.J.; Neundorfer, B.; Tomandl, B.; Hummel, T. Taste disorders in acute stroke: A prospective observational study on taste disorders in 102 stroke patients. Stroke 2005, 36, 1690–1694. [Google Scholar] [CrossRef] [PubMed]
- Melis, M.; Pintus, S.; Mastinu, M.; Fantola, G.; Moroni, R.; Pepino, M.Y.; Barbarossa, I.T. Changes of Taste, Smell and Eating Behavior in Patients Undergoing Bariatric Surgery: Associations with PROP Phenotypes and Polymorphisms in the Odorant-Binding Protein OBPIIa and CD36 Receptor Genes. Nutrients 2021, 13, 250. [Google Scholar] [CrossRef] [PubMed]
- Mueller, C.A.; Pintscher, K.; Renner, B. Clinical test of gustatory function including umami taste. Ann. Otol. Rhinol. Laryngol. 2011, 120, 358–362. [Google Scholar] [CrossRef] [PubMed]
- Des Gachons, C.P.; Uchida, K.; Bryant, B.; Shima, A.; Sperry, J.B.; Dankulich-Nagrudny, L.; Tominaga, M.; Smith, A.B.; Beauchamp, G.K.; Breslin, P.A. Unusual pungency from extra-virgin olive oil is attributable to restricted spatial expression of the receptor of oleocanthal. J. Neurosci. 2011, 31, 999–1009. [Google Scholar] [CrossRef] [PubMed]
- Moayedi, Y.; Michlig, S.; Park, M.; Koch, A.; Lumpkin, E.A. Somatosensory innervation of healthy human oral tissues. J. Comp. Neurol. 2021, 529, 3046–3061. [Google Scholar] [CrossRef]
- Schöbel, N.; Radtke, D.; Kyereme, J.; Wollmann, N.; Cichy, A.; Obst, K.; Kallweit, K.; Kletke, O.; Minovi, A.; Dazert, S. Astringency is a trigeminal sensation that involves the activation of G protein–coupled signaling by phenolic compounds. Chem. Senses 2014, 39, 471–487. [Google Scholar] [CrossRef]
- Lee, C.B.; Lawless, H.T. Time-course of astringent sensations. Chem. Senses 1991, 16, 225–238. [Google Scholar] [CrossRef]
- Chung, K.T.; Wong, T.Y.; Wei, C.I.; Huang, Y.W.; Lin, Y. Tannins and human health: A review. Crit. Rev. Food Sci. Nutr. 1998, 38, 421–464. [Google Scholar] [CrossRef]
- Smutzer, G.; Devassy, R.K. Integrating TRPV1 Receptor Function with Capsaicin Psychophysics. Adv. Pharmacol. Sci. 2016, 2016, 1512457. [Google Scholar] [CrossRef]
- Bangcuyo, R.G.; Simons, C.T. Lingual tactile sensitivity: Effect of age group, sex, and fungiform papillae density. Exp. Brain Res. 2017, 235, 2679–2688. [Google Scholar] [CrossRef]
- Essick, G.K.; Chopra, A.; Guest, S.; McGlone, F. Lingual tactile acuity, taste perception, and the density and diameter of fungiform papillae in female subjects. Physiol. Behav. 2003, 80, 289–302. [Google Scholar] [CrossRef] [PubMed]
- Bogdanov, V.; Reinhard, J.; McGlone, F.; Haehner, A.; Simons, C.T.; Hummel, T. Oral Somatosensory Sensitivity in Patients with Taste Disturbance. Laryngoscope 2021, 131, 2572–2577. [Google Scholar] [CrossRef] [PubMed]
- Just, T.; Pau, H.W.; Steiner, S.; Hummel, T. Assessment of oral trigeminal sensitivity in humans. Eur. Arch. Oto-Rhino-Laryngol. 2007, 264, 545–551. [Google Scholar] [CrossRef] [PubMed]
- Smutzer, G.; Jacob, J.C.; Tran, J.T.; Shah, D.I.; Gambhir, S.; Devassy, R.K.; Tran, E.B.; Hoang, B.T.; McCune, J.F. Detection and modulation of capsaicin perception in the human oral cavity. Physiol. Behav. 2018, 194, 120–131. [Google Scholar] [CrossRef]
- Just, T.; Steiner, S.; Strenger, T.; Pau, H.W. Changes of oral trigeminal sensitivity in patients after middle ear surgery. Laryngoscope 2007, 117, 1636–1640. [Google Scholar] [CrossRef]
- Roukka, S.; Puputti, S.; Aisala, H.; Hoppu, U.; Seppa, L.; Sandell, M.A. The Individual Differences in the Perception of Oral Chemesthesis Are Linked to Taste Sensitivity. Foods 2021, 10, 2730. [Google Scholar] [CrossRef]
- Wang, M.; Septier, C.; Brignot, H.; Martin, C.; Canon, F.; Feron, G. Astringency Sensitivity to Tannic Acid: Effect of Ageing and Saliva. Molecules 2022, 27, 1617. [Google Scholar] [CrossRef]
- Zhu, Y.; Hummel, T. Assessment of Taste Function; Springer: Berlin/Heidelberg, Germany, 2021. [Google Scholar]
- McHugh, M.L. Interrater reliability: The kappa statistic. Biochem. Med. 2012, 22, 276–282. [Google Scholar] [CrossRef]
- Kerby, D.S. The simple difference formula: An approach to teaching nonparametric correlation. Compr. Psychol. 2014, 3, 1–10. [Google Scholar] [CrossRef]
- Soter, A.; Kim, J.; Jackman, A.; Tourbier, I.; Kaul, A.; Doty, R.L. Accuracy of self-report in detecting taste dysfunction. Laryngoscope 2008, 118, 611–617. [Google Scholar] [CrossRef]
- Park, Y.-J.; Kho, H.-S. Relationship between subjective taste sensations and taste strip test in patients with taste disorders with and without burning mouth syndrome. J. Dent. Sci. 2022, 17, 1528–1537. [Google Scholar] [CrossRef] [PubMed]
- Liu, D.T.; Besser, G.; Renner, B.; Seyferth, S.; Hummel, T.; Mueller, C.A. Retronasal olfactory function in patients with smell loss but subjectively normal flavor perception. Laryngoscope 2020, 130, 1629–1633. [Google Scholar] [CrossRef] [PubMed]
- Li, Z.; Stolper, S.; Draf, J.; Haehner, A.; Hummel, T. Smell, taste and trigeminal function: Similarities and differences between results from home tests and examinations in the clinic. J. Rhinol. 2022, 60, 293–300. [Google Scholar] [CrossRef]
- Steinbach, S.; Reindl, W.; Kessel, C.; Ott, R.; Zahnert, T.; Hundt, W.; Heinrich, P.; Saur, D.; Huber, W. Olfactory and gustatory function in irritable bowel syndrome. Eur. Arch. Oto-Rhino-Laryngol. 2010, 267, 1081–1087. [Google Scholar] [CrossRef]
- Grasl, S.; Janik, S.; Wiederstein, S.; Haymerle, G.; Renner, B.; Mueller, C.A. Chemosensory Functions After Glossectomy—A Cross-Sectional Pilot Study. Laryngoscope 2022, 1–8. [Google Scholar] [CrossRef]
- Green, T.; Wolf, A.; Oleszkiewicz, A.; Aronis, A.; Hummel, T.; Pepino, M.Y.; Niv, M.Y. Subjective assessment and taste strips testing of gustatory function, at home, and in the lab. bioRxiv 2022. [Google Scholar] [CrossRef]
- Schumm, L.P.; McClintock, M.; Williams, S.; Leitsch, S.; Lundstrom, J.; Hummel, T.; Lindau, S.T. Assessment of sensory function in the National Social Life, Health, and Aging Project. J. Gerontol. B Psychol. Sci. Soc. Sci. 2009, 64 (Suppl S1), i76–i85. [Google Scholar] [CrossRef]
- Essick, G.K.; Chen, C.C.; Kelly, D.G. A letter-recognition task to assess lingual tactile acuity. J. Oral Maxillofac. Surg. 1999, 57, 1324–1330. [Google Scholar] [CrossRef]
- Melis, M.; Yousaf, N.Y.; Mattes, M.Z.; Cabras, T.; Messana, I.; Crnjar, R.; Tomassini Barbarossa, I.; Tepper, B.J. Sensory perception of and salivary protein response to astringency as a function of the 6-n-propylthioural (PROP) bitter-taste phenotype. Physiol. Behav. 2017, 173, 163–173. [Google Scholar] [CrossRef]
- Yousaf, N.Y.; Tepper, B.J. The Effects of Cranberry Polyphenol Extract (CPE) Supplementation on Astringency and Flavor Perception as a Function of PROP Taster Status and Other Individual Factors. Int. J. Environ. Res. Public Health 2022, 19, 11995. [Google Scholar] [CrossRef]
- Melis, M.; Atzori, E.; Cabras, S.; Zonza, A.; Calo, C.; Muroni, P.; Nieddu, M.; Padiglia, A.; Sogos, V.; Tepper, B.J.; et al. The gustin (CA6) gene polymorphism, rs2274333 (A/G), as a mechanistic link between PROP tasting and fungiform taste papilla density and maintenance. PLoS ONE 2013, 8, e74151. [Google Scholar] [CrossRef] [PubMed]
- Sollai, G.; Melis, M.; Pani, D.; Cosseddu, P.; Usai, I.; Crnjar, R.; Bonfiglio, A.; Tomassini Barbarossa, I. First objective evaluation of taste sensitivity to 6-n-propylthiouracil (PROP), a paradigm gustatory stimulus in humans. Sci. Rep. 2017, 7, 40353. [Google Scholar] [CrossRef] [PubMed]
- van Elst, J.M.; Boesveldt, S.; Vissink, A.; Jager-Wittenaar, H.; Reyners, A.K.; de Haan, J.J. Subjective Mouthfeel and Temperature Alterations in COVID-19 Patients Six to Ten Months After Diagnosis. Chemosens. Percept. 2022, 1–10. [Google Scholar] [CrossRef] [PubMed]
- Gudziol, H.; Hummel, T. Normative values for the assessment of gustatory function using liquid tastants. Acta Oto-Laryngol. 2007, 127, 658–661. [Google Scholar] [CrossRef]
- Doty, R.L.; Cameron, E.L. Sex differences and reproductive hormone influences on human odor perception. Physiol. Behav. 2009, 97, 213–228. [Google Scholar] [CrossRef]
- Maeda, E.; Katsura, H.; Nin, T.; Sakaguchi-Fukunaga, A.; Mishiro, Y.; Sakagami, M. Change of somatosensory function of the tongue caused by chorda tympani nerve disorder after stapes surgery. Laryngoscope 2018, 128, 701–706. [Google Scholar] [CrossRef]
- Iannilli, E.; Singh, P.B.; Schuster, B.; Gerber, J.; Hummel, T. Taste laterality studied by means of umami and salt stimuli: An fMRI study. Neuroimage 2012, 60, 426–435. [Google Scholar] [CrossRef]
- Cecchini, M.P.; Knaapila, A.; Hoffmann, E.; Boschi, F.; Hummel, T.; Iannilli, E. A cross-cultural survey of umami familiarity in European countries. Food Qual. Prefer. 2019, 74, 172–178. [Google Scholar] [CrossRef]
- Melis, M.; Mastinu, M.; Arca, M.; Crnjar, R.; Tomassini Barbarossa, I. Effect of chemical interaction between oleic acid and L-Arginine on oral perception, as a function of polymorphisms of CD36 and OBPIIa and genetic ability to taste 6-n-propylthiouracil. PLoS ONE 2018, 13, e0194953. [Google Scholar] [CrossRef]




| Taste Quality | Substance | Low Concentration (g/mL) | High Concentration (g/mL) |
|---|---|---|---|
| Sweet | Sucrose | 0.05 | 0.4 |
| Sour | Citric acid | 0.05 | 0.3 |
| Salty | Sodium chloride | 0.016 | 0.25 |
| Bitter | Quinine hydrochloride | 0.0004 | 0.006 |
| Astringent | Tannin | 0.1 | 0.2 |
| Spicy | Capsaicin | 2.47 × 10−5 | 2.47 × 10−4 |
Disclaimer/Publisher’s Note: The statements, opinions and data contained in all publications are solely those of the individual author(s) and contributor(s) and not of MDPI and/or the editor(s). MDPI and/or the editor(s) disclaim responsibility for any injury to people or property resulting from any ideas, methods, instructions or products referred to in the content. |
© 2022 by the authors. Licensee MDPI, Basel, Switzerland. This article is an open access article distributed under the terms and conditions of the Creative Commons Attribution (CC BY) license (https://creativecommons.org/licenses/by/4.0/).
Share and Cite
Mastinu, M.; Pieniak, M.; Wolf, A.; Green, T.; Hähner, A.; Niv, M.Y.; Hummel, T. A Simple Taste Test for Clinical Assessment of Taste and Oral Somatosensory Function—The “Seven-iTT”. Life 2023, 13, 59. https://doi.org/10.3390/life13010059
Mastinu M, Pieniak M, Wolf A, Green T, Hähner A, Niv MY, Hummel T. A Simple Taste Test for Clinical Assessment of Taste and Oral Somatosensory Function—The “Seven-iTT”. Life. 2023; 13(1):59. https://doi.org/10.3390/life13010059
Chicago/Turabian StyleMastinu, Mariano, Michał Pieniak, Anne Wolf, Tomer Green, Antje Hähner, Masha Y. Niv, and Thomas Hummel. 2023. "A Simple Taste Test for Clinical Assessment of Taste and Oral Somatosensory Function—The “Seven-iTT”" Life 13, no. 1: 59. https://doi.org/10.3390/life13010059
APA StyleMastinu, M., Pieniak, M., Wolf, A., Green, T., Hähner, A., Niv, M. Y., & Hummel, T. (2023). A Simple Taste Test for Clinical Assessment of Taste and Oral Somatosensory Function—The “Seven-iTT”. Life, 13(1), 59. https://doi.org/10.3390/life13010059

