Stabilization of G-Quadruplex-Duplex Hybrid Structures Induced by Minor Groove-Binding Drugs
Abstract
:1. Introduction
2. Materials and Methods
2.1. Materials
2.2. Optical Spectroscopy
3. Results
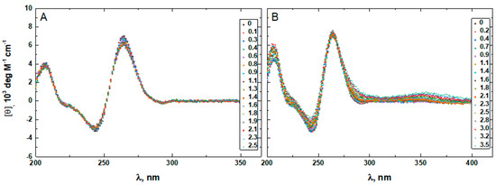
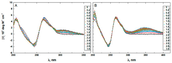
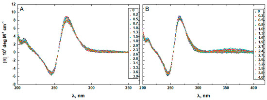
3.1. DNA Structures
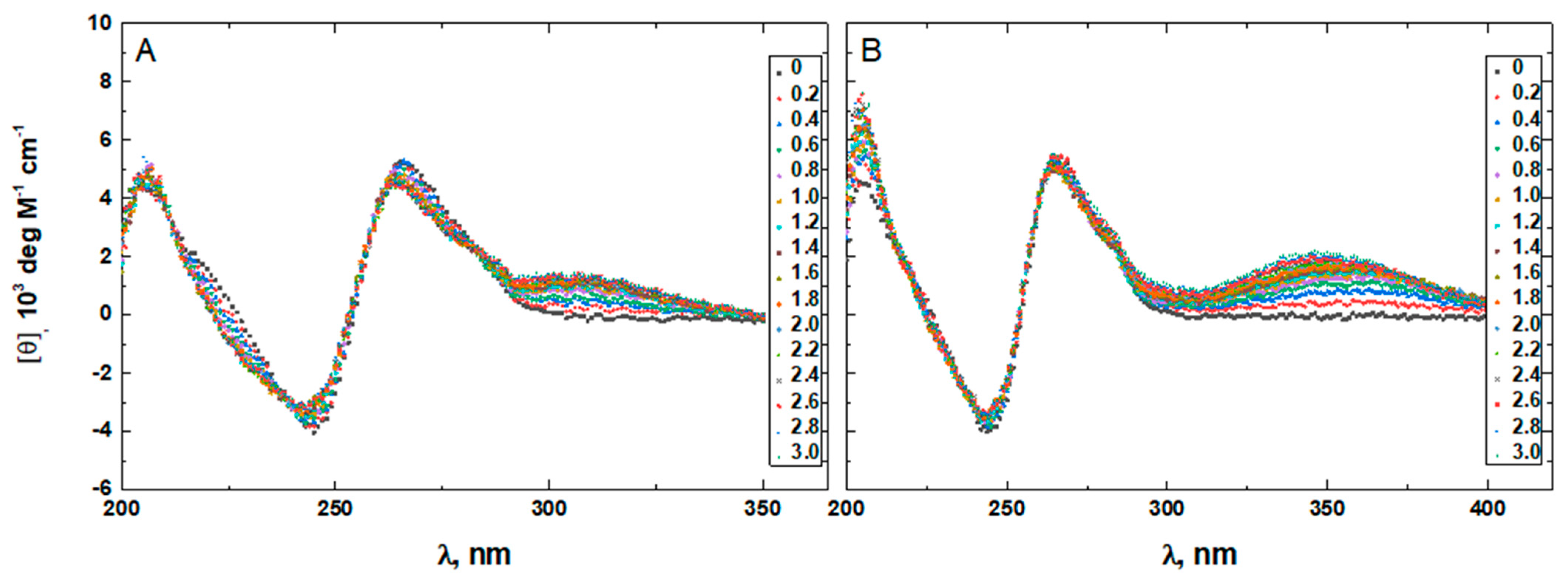
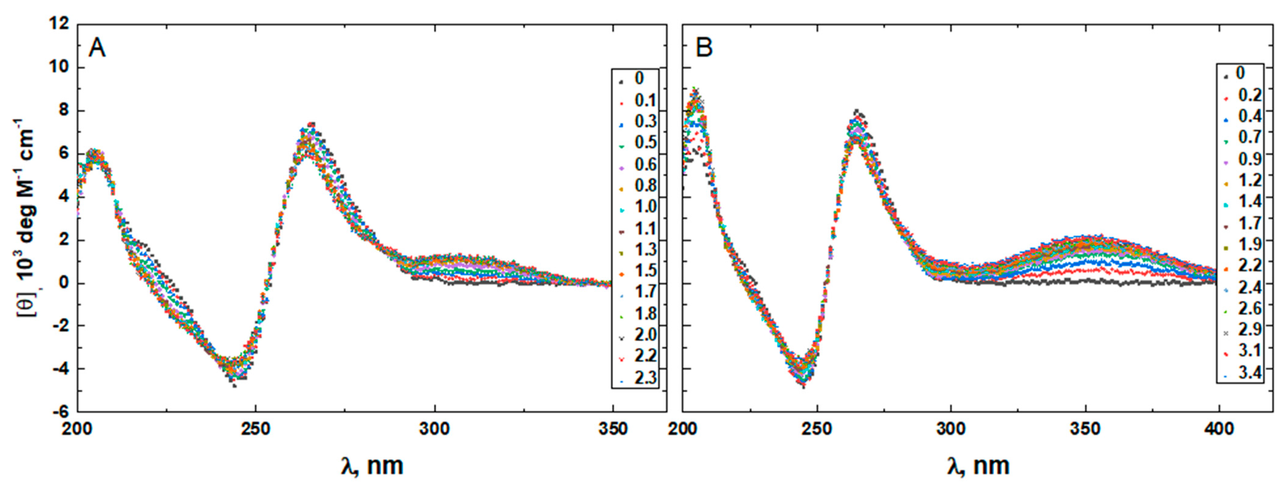
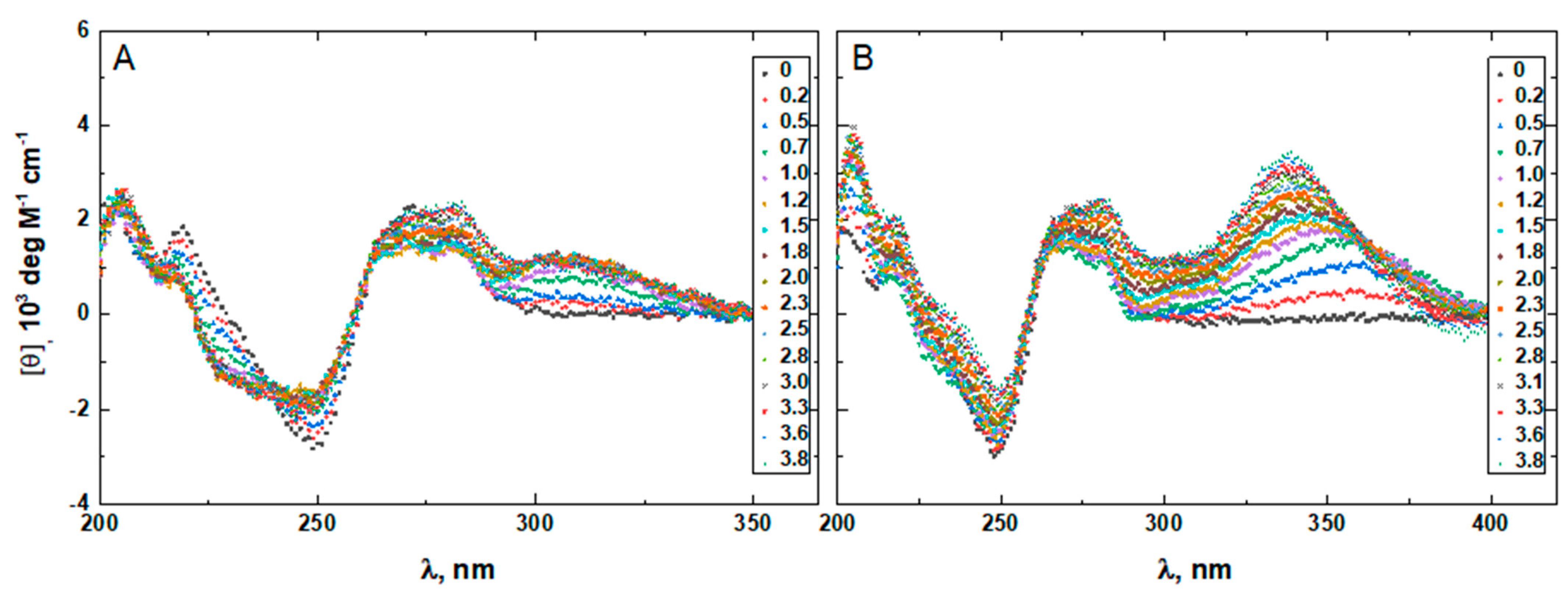
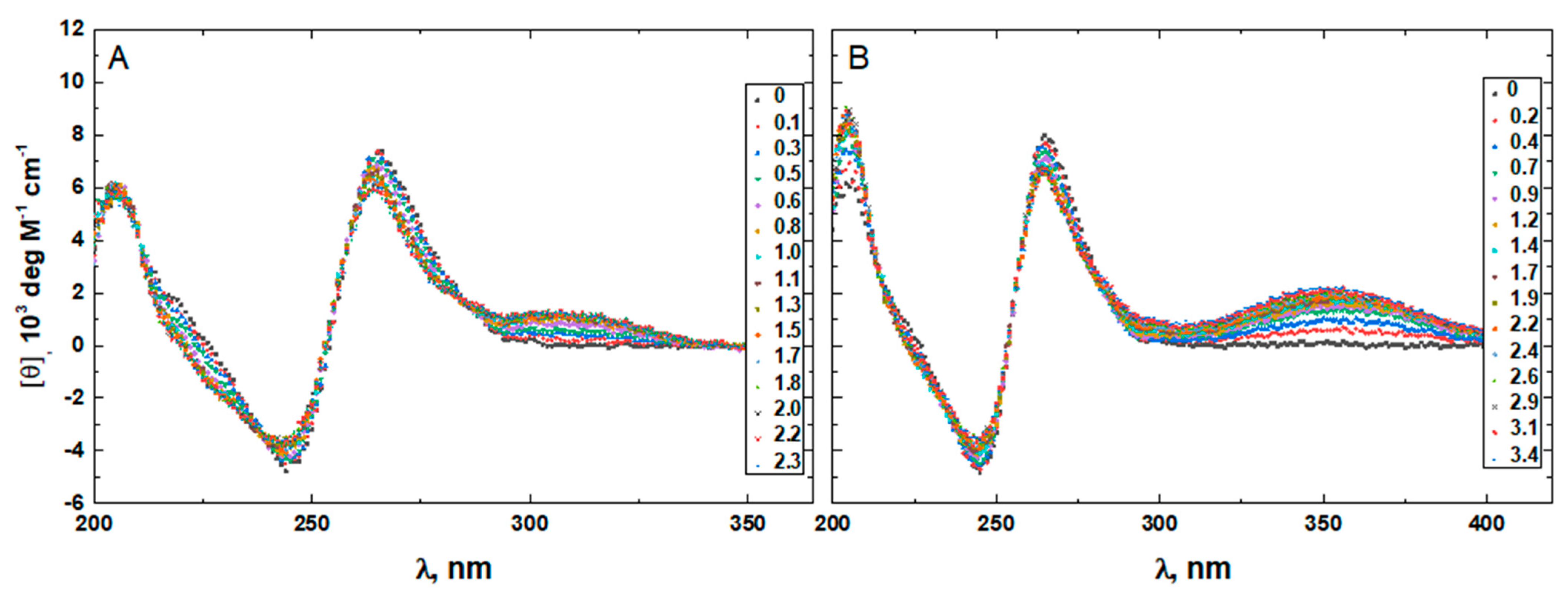
3.2. Drug Binding
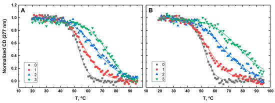
3.3. Thermal Stability
4. Discussion
5. Conclusions
Author Contributions
Funding
Institutional Review Board Statement
Informed Consent Statement
Data Availability Statement
Acknowledgments
Conflicts of Interest
References
- Huppert, J.L. Four-stranded nucleic acids: Structure, function and targeting of G-quadruplexes. Chem. Soc. Rev. 2008, 37, 1375–1384. [Google Scholar] [CrossRef] [PubMed]
- Lane, A.N.; Chaires, J.B.; Gray, R.D.; Trent, J.O. Stability and kinetics of G-quadruplex structures. Nucleic Acids Res. 2008, 36, 5482–5515. [Google Scholar] [CrossRef] [PubMed] [Green Version]
- Balasubramanian, S.; Hurley, L.H.; Neidle, S. Targeting G-quadruplexes in gene promoters: A novel anticancer strategy? Nat. Rev. Drug Disc. 2011, 10, 261–275. [Google Scholar] [CrossRef] [PubMed] [Green Version]
- Varshney, D.; Spiegel, J.; Zyner, K.; Tannahill, D.; Balasubramanian, S. The regulation and functions of DNA and RNA G-quadruplexes. Nat. Rev. Mol. Cell Biol. 2020, 21, 459–474. [Google Scholar] [CrossRef]
- Spiegel, J.; Adhikari, S.; Balasubramanian, S. The structure and function of DNA G-quadruplexes. Trends Chem. 2020, 2, 123–136. [Google Scholar] [CrossRef] [Green Version]
- Tateishi-Karimata, H.; Sugimoto, N. Chemical biology of non-canonical structures of nucleic acids for therapeutic applications. Chem. Commun. 2020, 56, 2379–2390. [Google Scholar] [CrossRef]
- Mergny, J.L.; Sen, D. DNA quadruple helices in nanotechnology. Chem. Rev. 2019, 119, 6290–6325. [Google Scholar] [CrossRef] [PubMed]
- Burge, S.; Parkinson, G.N.; Hazel, P.; Todd, A.K.; Neidle, S. Quadruplex DNA: Sequence, topology and structure. Nucleic Acids Res. 2006, 34, 5402–5415. [Google Scholar] [CrossRef] [Green Version]
- Gudanis, D.; Kaniowski, D.; Kulik, K.; Baranowski, D.; Gdaniec, Z.; Nawrot, B. Formation of an RNA quadruplex-duplex hybrid in living cells between mRNA of the epidermal growth factor receptor (EGFR) and a G-rich antisense oligoribonucleotide. Cells 2020, 9, 2375. [Google Scholar] [CrossRef]
- Pandya, N.; Bhagwat, S.R.; Kumar, A. Regulatory role of non-canonical DNA polymorphisms in human genome and their relevance in cancer. Biochim. Biophys. Acta Rev. Cancer 2021, 1876, 188594. [Google Scholar] [CrossRef]
- Husby, J.; Todd, A.K.; Platts, J.A.; Neidle, S. Small-molecule G-quadruplex interactions: Systematic exploration of conformational space using multiple molecular dynamics. Biopolymers 2013, 99, 989–1005. [Google Scholar] [CrossRef]
- Neidle, S. Human telomeric G-quadruplex: The current status of telomeric G-quadruplexes as therapeutic targets in human cancer. FEBS J. 2010, 277, 1118–1125. [Google Scholar] [CrossRef] [PubMed]
- Neidle, S. Quadruplex nucleic acids as novel therapeutic targets. J. Med. Chem. 2016, 59, 5987–6011. [Google Scholar] [CrossRef] [PubMed]
- Savva, L.; Georgiades, S.N. Recent developments in small-molecule ligands of medicinal relevance for harnessing the anticancer potential of G-quadruplexes. Molecules 2021, 26, 841. [Google Scholar] [CrossRef] [PubMed]
- Luedtke, N.W. Targeting G-quadruplex DNA with small molecules. Chimia 2009, 63, 134–139. [Google Scholar] [CrossRef] [Green Version]
- Collie, G.W.; Parkinson, G.N. The application of DNA and RNA G-quadruplexes to therapeutic medicines. Chem. Soc. Rev. 2011, 40, 5867–5892. [Google Scholar] [CrossRef]
- Lim, K.W.; Phan, A.T. Structural basis of DNA quadruplex-duplex junction formation. Angew. Chem. Int. Ed. Engl. 2013, 52, 8566–8569. [Google Scholar] [CrossRef]
- Risitano, A.; Fox, K.R. The stability of intramolecular DNA quadruplexes with extended loops forming inter- and intra-loop duplexes. Org. Biomol. Chem. 2003, 1, 1852–1855. [Google Scholar] [CrossRef]
- Lim, K.W.; Jenjaroenpun, P.; Low, Z.J.; Khong, Z.J.; Ng, Y.S.; Kuznetsov, V.A.; Phan, A.T. Duplex stem-loop-containing quadruplex motifs in the human genome: A combined genomic and structural study. Nucleic Acids Res. 2015, 43, 5630–5646. [Google Scholar] [CrossRef] [Green Version]
- Tan, D.J.Y.; Winnerdy, F.R.; Lim, K.W.; Phan, A.T. Coexistence of two quadruplex-duplex hybrids in the PIM1 gene. Nucleic Acids Res. 2020, 48, 11162–11171. [Google Scholar] [CrossRef]
- Lim, K.W.; Khong, Z.J.; Phan, A.T. Thermal stability of DNA quadruplex-duplex hybrids. Biochemistry 2014, 53, 247–257. [Google Scholar] [CrossRef] [PubMed]
- Nguyen, T.Q.N.; Lim, K.W.; Phan, A.T. Folding kinetics of G-quadruplexes: Duplex stem loops drive and accelerate G-quadruplex folding. J. Phys. Chem. B 2020, 124, 5122–5130. [Google Scholar] [CrossRef] [PubMed]
- Fottichia, I.; Amato, J.; Pagano, B.; Novellino, E.; Petraccone, L.; Giancola, C. How are thermodynamically stable G-quadruplex-duplex hybrids? J. Them. Anal. Calorim. 2015, 121, 1121–1127. [Google Scholar] [CrossRef]
- Nguyen, T.Q.N.; Lim, K.W.; Phan, A.T. A Dual-specific targeting approach based on the simultaneous recognition of duplex and quadruplex motifs. Sci. Rep. 2017, 7, 11969. [Google Scholar] [CrossRef] [PubMed] [Green Version]
- Crothers, D.M. Statistical thermodynamics of nucleic acid melting transitions with coupled binding equilibria. Biopolymers 1971, 10, 2147–2160. [Google Scholar] [CrossRef] [PubMed]
- McFedries, A.; Schwaid, A.; Saghatelian, A. Methods for the elucidation of protein-small molecule interactions. Chem. Biol. 2013, 20, 667–673. [Google Scholar] [CrossRef] [PubMed] [Green Version]
- Carvalho, J.; Queiroz, J.A.; Cruz, C. Circular dichroism of G-quadruplex: A laboratory experiment for the study of topology and ligand binding. J. Chem. Ed. 2017, 94, 1547–1551. [Google Scholar] [CrossRef]
- Redhead, M.; Satchell, R.; McCarthy, C.; Pollack, S.; Unitt, J. Thermal shift as an entropy-driven effect. Biochemistry 2017, 56, 6187–6199. [Google Scholar] [CrossRef]
- Tataurov, A.V.; You, Y.; Owczarzy, R. Predicting ultraviolet spectrum of single stranded and double stranded deoxyribonucleic acids. Biophys. Chem. 2008, 133, 66–70. [Google Scholar] [CrossRef]
- Loontiens, F.G.; Regenfuss, P.; Zechel, A.; Dumortier, L.; Clegg, R.M. Binding characteristics of Hoechst 33258 with calf thymus DNA, poly[d(A-T):, and d(CCGGAATTCCGG): Multiple stoiciometries and determination of tight binding with a wide spectrum site affinities. Biochemistry 1990, 29, 9029–9039. [Google Scholar] [CrossRef]
- Chalikian, T.V.; Plum, G.E.; Sarvazyan, A.P.; Breslauer, K.J. Influence of drug binding on DNA hydration: Acoustic and densimetric characterizations of netropsin binding to the poly(dAdT)·poly(dAdT) and poly(dA)·poly(dT) duplexes and the poly(dT)·poly(dA)·poly(dT) triplex at 25 °C. Biochemistry 1994, 33, 8629–8640. [Google Scholar] [CrossRef] [PubMed]
- Marky, L.A.; Breslauer, K.J. Calculating thermodynamic data for transitions of any molecularity from equilibrium melting curves. Biopolymers 1987, 26, 1601–1620. [Google Scholar] [CrossRef] [PubMed]
- Rachwal, P.A.; Fox, K.R. Quadruplex melting. Methods 2007, 43, 291–301. [Google Scholar] [CrossRef] [PubMed]
- Mergny, J.L.; Lacroix, L. Analysis of thermal melting curves. Oligonucleotides 2003, 13, 515–537. [Google Scholar] [CrossRef]
- Park, Y.W.; Breslauer, K.J. Drug binding to higher ordered DNA structures: Netropsin complexation with a nucleic acid triple helix. Proc. Natl. Acad. Sci. USA 1992, 89, 6653–6657. [Google Scholar] [CrossRef] [Green Version]
- Han, F.; Taulier, N.; Chalikian, T.V. Association of the minor groove binding drug Hoechst 33258 with d(CGCGAATTCGCG)2: Volumetric, calorimetric, and spectroscopic characterizations. Biochemistry 2005, 44, 9785–9794. [Google Scholar] [CrossRef]
- Martino, L.; Virno, A.; Pagano, B.; Virgilio, A.; Di Micco, S.; Galeone, A.; Giancola, C.; Bifulco, G.; Mayol, L.; Randazzo, A. Structural and thermodynamic studies of the interaction of distamycin A with the parallel quadruplex structure [d(TGGGGT)]4. J. Am. Chem. Soc. 2007, 129, 16048–16056. [Google Scholar] [CrossRef]
- Maiti, S.; Chaudhury, N.K.; Chowdhury, S. Hoechst 33258 binds to G-quadruplex in the promoter region of human c-myc. Biochem. Biophys. Res. Commun. 2003, 310, 505–512. [Google Scholar] [CrossRef]
- Jain, A.K.; Bhattacharya, S. Interaction of G-quadruplexes with nonintercalating duplex-DNA minor groove binding ligands. Bioconjug. Chem. 2011, 22, 2355–2368. [Google Scholar] [CrossRef]
- Zhou, J.; Le, V.; Kalia, D.; Nakayama, S.; Mikek, C.; Lewis, E.A.; Sintim, H.O. Diminazene or berenil, a classic duplex minor groove binder, binds to G-quadruplexes with low nanomolar dissociation constants and the amidine groups are also critical for G-quadruplex binding. Mol. Biosyst. 2014, 10, 2724–2734. [Google Scholar] [CrossRef] [Green Version]
- Boncina, M.; Podlipnik, C.; Piantanida, I.; Eilmes, J.; Teulade-Fichou, M.P.; Vesnaver, G.; Lah, J. Thermodynamic fingerprints of ligand binding to human telomeric G-quadruplexes. Nucleic Acids Res. 2015, 43, 10376–10386. [Google Scholar] [CrossRef] [PubMed] [Green Version]
- Pagano, B.; Fotticchia, I.; De Tito, S.; Mattia, C.A.; Mayol, L.; Novellino, E.; Petraccone, L.; Giancola, C. Selective Binding of Distamycin A Derivative to G-Quadruplex Structure [d(TGGGGT)]4. J. Nucleic Acids 2010, 2010, 247137. [Google Scholar] [CrossRef] [PubMed] [Green Version]
- Busto, N.; Cano, B.; Tejido, R.; Biver, T.; Leal, J.M.; Venturini, M.; Secco, F.; Garcia, B. Aggregation features and fluorescence of Hoechst 33258. J. Phys. Chem. B 2015, 119, 4575–4581. [Google Scholar] [CrossRef] [PubMed]
- Schellman, J.A. Macromolecular binding. Biopolymers 1975, 14, 999–1018. [Google Scholar] [CrossRef]
- Paul, A.; Guo, P.; Boykin, D.W.; Wilson, W.D. A new generation of minor-groove-binding-heterocyclic diamidines that recognize G·C base pairs in an AT sequence context. Molecules 2019, 24, 946. [Google Scholar] [CrossRef] [Green Version]
- Wemmer, D.E.; Dervan, P.B. Targeting the minor groove of DNA. Curr. Opin. Struct. Biol. 1997, 7, 355–361. [Google Scholar] [CrossRef]
- Finn, P.B.; Bhimsaria, D.; Ali, A.; Eguchi, A.; Ansari, A.Z.; Dervan, P.B. Single position substitution of hairpin pyrrole-imidazole polyamides imparts distinct DNA-binding profiles across the human genome. PLoS ONE 2020, 15, e0243905. [Google Scholar] [CrossRef]
- Kang, J.S.; Meier, J.L.; Dervan, P.B. Design of sequence-specific DNA binding molecules for DNA methyltransferase inhibition. J. Am. Chem. Soc. 2014, 136, 3687–3694. [Google Scholar] [CrossRef]
- Harika, N.K.; Germann, M.W.; Wilson, W.D. First structure of a designed minor groove binding heterocyclic cation that specifically recognizes mixed DNA base pair sequences. Chemistry 2017, 23, 17612–17620. [Google Scholar] [CrossRef]














| G4HP | HP | K6bp6T | G4 | QDH5L | |
|---|---|---|---|---|---|
| ΔTM (Netropsin) | 21.5 ± 0.4 | 24.7 ± 0.4 | 18.5 ± 0.2 | 29.3 ± 0.5 | 26.6 ± 0.7 |
| ΔTM (Hoechst 33258) | 26.4 ± 0.3 | 24.4 ± 0.8 | 14.8 ± 0.4 | 31.8 ± 3.8 | 35.9 ± 0.4 |
Publisher’s Note: MDPI stays neutral with regard to jurisdictional claims in published maps and institutional affiliations. |
© 2022 by the authors. Licensee MDPI, Basel, Switzerland. This article is an open access article distributed under the terms and conditions of the Creative Commons Attribution (CC BY) license (https://creativecommons.org/licenses/by/4.0/).
Share and Cite
Scott, L.; Chalikian, T.V. Stabilization of G-Quadruplex-Duplex Hybrid Structures Induced by Minor Groove-Binding Drugs. Life 2022, 12, 597. https://doi.org/10.3390/life12040597
Scott L, Chalikian TV. Stabilization of G-Quadruplex-Duplex Hybrid Structures Induced by Minor Groove-Binding Drugs. Life. 2022; 12(4):597. https://doi.org/10.3390/life12040597
Chicago/Turabian StyleScott, Lily, and Tigran V. Chalikian. 2022. "Stabilization of G-Quadruplex-Duplex Hybrid Structures Induced by Minor Groove-Binding Drugs" Life 12, no. 4: 597. https://doi.org/10.3390/life12040597
APA StyleScott, L., & Chalikian, T. V. (2022). Stabilization of G-Quadruplex-Duplex Hybrid Structures Induced by Minor Groove-Binding Drugs. Life, 12(4), 597. https://doi.org/10.3390/life12040597

