Abstract
This paper presents an experimental characterization of acoustic noise and sound quality in a 12/8 Switched Reluctance Motor (SRM) using hysteresis and Pulse Width Modulation (PWM) current control techniques. To overcome the limitations of traditional sound power measurements and enhance the accuracy of acoustic noise evaluation, a setup is applied for calculating sound power based on sound intensity measurements. The study provides a detailed description of the intensity probe-holding fixture, the hardware configuration for acoustic noise experiments, and the software setup tailored to specific measurement requirements. The acoustic noise characteristics of the motor are assessed at various operating points using two distinct current control methods: hysteresis current control with a variable switching frequency of up to 20 kHz and PWM current control with a fixed switching frequency of 12.5 kHz. Measurements of sound pressure and sound intensity enable the calculation of sound power and sound quality metrics under different operating conditions. Furthermore, the study investigates the influence of various factors on the motor’s sound power levels and sound quality. The findings provide valuable insights into the contributions of these factors to acoustic noise characteristics and offer a foundation for improving the motor’s acoustic behavior during the design and control stages.
1. Introduction
The demand for electric motors has seen a significant rise in recent years across the automotive, industrial, and residential sectors. This growth is expected to continue, fueled by technological advancements, the integration of automation in industry, rising fuel prices, and ongoing urbanization trends [1,2]. The trend toward electrification has increased the utilization of electronic and electrical devices in noise-sensitive applications. Consequently, developing motors with reduced acoustic noise is now essential [3,4,5,6].
Precise measurement and thorough analysis of acoustic noise are essential for its reduction in electric motors. Comprehensive acoustic noise analysis and characterization enable the evaluation of the acoustic behavior of electric motors, guaranteeing adherence to standards. This process helps detect possible noise sources, devise effective noise mitigation approaches, and improve motor designs for quieter operations [7,8,9,10].
Beyond regulatory compliance, acoustic noise characterization plays a significant role in enhancing sound quality, which can be assessed using metrics such as loudness and sharpness. Incorporating sound quality metrics into the analysis allows for refining motor design to reduce acoustic noise and enhance the overall sound experience. This approach is particularly important in consumer applications, where superior sound quality contributes to better user experiences and higher market acceptance [11,12].
In the literature, a variety of methods have been employed to experimentally measure acoustic noise. In [13], the vibration and acoustic noise characteristics of a Permanent Magnet Synchronous Motor (PMSM) are examined with a focus on Maximum Torque per Ampere (MTPA) control. For experimental validation, a microphone is located 20 cm above the motor. A noise shield is employed to isolate the dynamometer and minimize background noise. In [14], the application of harmonic injection Pulse Width Modulation (PWM) control in a multilevel power inverter is presented for an asynchronous motor. The study aims to show that this approach reduces acoustic noise more effectively. Noise measurements are performed in a semi-anechoic chamber using a microphone placed 1 m from the motor along its longitudinal axis. In [15], acoustic noise measurements are performed on an 18/12 Switched Reluctance Motor (SRM) to validate a current profiling method that balances the three-phase radial force sum. Acoustic noise spectra are captured using a microphone placed 30 cm away axially, with the data analyzed through a Fast Fourier Transform (FFT) analyzer. In [16], the acoustic noise level of a 6/10 SRM is measured to validate a control technique to reduce vibration and noise. The measurements are conducted with a microphone positioned 1 m radially from the center of the motor, and the results are processed through a FFT analyzer and adjusted using A-weighted sound level measurements.
Noise measurements are usually conducted using only one microphone, which measures the sound pressure level. This method does not account for changes in noise levels due to variations in distance and direction relative to the noise source. The noise level can change noticeably depending on the microphone’s location in relation to the noise source, potentially leading to inaccuracies in capturing spatial variations in noise emissions. To improve the consistency and correctness of noise measurements, it is beneficial to adopt a more thorough method, including the use of multiple microphones or the integration of advanced measurement techniques that account for spatial factors. For example, in [17], an analysis of the noise and vibration characteristics of an integrated e-powertrain system is presented. Testing is conducted in a semi-anechoic chamber using ten microphones positioned 0.1 m and 1 m from the motor housing at various locations. The study utilizes a free-field technique within a virtual hemisphere to calculate the average sound pressure level. This method accounts for the spatial factor; however, the arrangement of microphones in this manner may not be feasible for all dynamometer setups.
To accurately assess the acoustic noise characteristics of electric motors, it is essential to perform measurements under load conditions. However, environmental noise in the testing area presents challenges. Factors such as noise from adjacent equipment, room reverberations, and sound reflections from nearby surfaces can influence the recorded noise levels. Moreover, limited accessibility around the tested motor can complicate the setup of noise measurement devices. Most studies primarily focus on measuring acoustic noise and sound quality metrics for specific operating points, without investigating the underlying causes of variations in these parameters. Therefore, it is crucial to develop methods and test setups that enable a detailed study of the acoustic noise properties of electric motors while reducing the impact of environmental noise.
This paper presents an experimental characterization of acoustic noise and sound quality in a 12/8 SRM using hysteresis and PWM current control techniques. The impact of various factors, such as radial force harmonics and switching, on the noise characteristics is examined in detail. Due to the limitations of using the sound pressure level, this study calculates the sound power level of the motor through measurements taken from multiple sound intensity probes positioned around the motor, with a dedicated setup designed for this purpose. Sound power, being independent of the distance from the noise source, delivers more uniform measurements across different distances. Sound power measurement considers the total sound emission of the source, reflecting the acoustic energy radiated in all directions. This provides a comprehensive measure of acoustic noise that is not influenced by the orientation of the object [18]. The intensity probes used to calculate sound power are capable of naturally canceling part of the environmental noise when correctly positioned relative to the noise source. The probes should be oriented perpendicular to the surface of the object being tested. If the probe is positioned at an angle θ relative to the sound field, the measured noise value will vary as a function of this angle. When the noise direction is perpendicular to the probe axis, both microphones will record the same sound pressure, resulting in zero pressure difference and, consequently, zero intensity. Therefore, the impact of environmental noise can be reduced by properly positioning the probes around the tested motor [19,20].
The rest of the paper is organized as follows: Section 2 outlines the hardware setup for the experiments, and Section 3 covers the software configuration. Section 4 and Section 5 present the results of the acoustic noise characterization of the 12/8 SRM using hysteresis current control and PWM current control, respectively. Finally, the conclusions are presented in Section 6.
2. Hardware Setup
Measuring sound intensity involves using two microphones positioned face to face, collectively known as an intensity probe. Figure 1 illustrates the assembly of one of the intensity probes used in this study. The intensity probe’s operational frequency range is influenced by the spacer length. In this study, a 6 mm spacer is employed, enabling the probe to function within a frequency range of 250 Hz to 10 kHz.
Figure 1.
Assembly of the intensity probe.
In this study, sound intensity measurements are conducted using 12 intensity probes. To precisely represent the area around the tested electric motor, particularly with limited access when the motor is connected to a load (such as a dynamometer machine), a half-cylindrical surface is employed for acoustic noise measurements. A custom fixture is designed and fabricated to position the probes around the tested motor according to the half-cylindrical shape, as illustrated in Figure 2.
Figure 2.
Transportable fixture to hold the probes used in acoustic noise measurement of the 12/8 SRM.
Considering the motor dimensions, the intensity probes can be positioned in multiple arrangements around it, with varying axial and circumferential spacing. The arrangement of the 12 intensity probes can be either in two rows of 6 probes each, spaced axially, or in three rows of 4 probes each. Placing only three probes per row does not provide enough circumferential resolution, which led to the exclusion of this configuration from the fixture design. To increase flexibility in adjusting the microphones axially, three arcs were designed in place of a single half-cylinder. The arc diameter was set to 900 mm to accommodate the testing of larger motors.
To enhance versatility, the fixture is configured for easy transportation and is connected to a winch, as illustrated in Figure 2. The winch facilitates convenient relocation and allows for vertical movement of the fixture in relation to the tested motor. To allow for axial adjustment of the arcs, the winch is modified. A fixture is assembled with T-slotted framing rails and mounted onto the winch. Linear bearings are installed on the vertical rail, with each arc connected to a linear bearing through a connection part.
Selecting a large arc diameter allows the testing of larger motors. However, this approach poses challenges when testing motors with smaller outer diameters, as the probes are positioned too far from the motor surface. To address this issue, rods are designed to hold the probes, as shown in Figure 2. The arcs have holes designed to accommodate both four- and six-probe configurations. The rods are inserted into these holes, with the probes connected to the other end of the rods. The rods can move radially, enabling the probes to be placed closer to the motor surface.
The transportable fixture allows the probes to be positioned close to the motor surface, reducing the impact of environmental noise during acoustic noise measurements. For the tested 12/8 SRM, the axial length of the motor is 210 mm, and the motor outer diameter is 280 mm. As a result, the fixture is equipped with two arcs, each holding six intensity probes. After mounting the probes, the radial distance of the intensity probes is adjusted to position them close to the motor being tested (50 mm). Figure 3 shows the probe positioning around the tested SRM. Table 1 shows the list of instruments used for experimental acoustic noise measurements.
Figure 3.
Positioning of the probes around the 12/8 SRM.
Table 1.
Devices employed for experimental acoustic noise measurements.
Sound intensity measurement is suitable for noisy environments due to the directionality of noise measurement by the intensity probes. However, it is still beneficial to reduce noise from sources other than the one being measured. These additional sources include the dynamometer motor and the fan of the Variable Frequency Drive (VFD) of the dynamometer motor. To reduce the noise level from the dynamometer motor and VFD, soundproofing material is employed. Figure 4 shows the dynamometer motor and drive before and after the addition of the acoustic material. For proper cooling, the soundproofing material is not applied directly to the body of the dynamometer motor and VFD. Instead, frames are constructed for each, and acoustic material is fixed to the frames. The material used is 2” polyurethane foam, selected based on the frequency range of the noise produced by the dynamometer motor and drive [10].
Figure 4.
Induction motor dynamometer and VFD: (a) before the soundproofing cover and (b) after the soundproofing cover.
3. Software Setup
Simcenter Testlab (version 2021.1) is used for performing acoustic noise measurements and post-processing. An imaginary surface must be defined around the noise source for intensity measurements, referred to as the acoustic mesh. Smaller mesh elements are created on the surface, corresponding to the number of intensity probes and measurement points, with the center of each element placed at the location of a probe. Figure 5 shows the acoustic mesh defined for the tested SRM.
Figure 5.
Acoustic mesh defined in the software for the 12/8 SRM.
Once the microphones and their sensitivity are defined, the next step is to define the probes. Each probe is made up of two microphones: the one closer to the tested motor is designated as microphone one, and the other is designated as microphone two. This distinction is important for accurately measuring the direction of the noise. Once the probes are created, their spacer distance must be defined according to the spacer used during assembly.
Configuring various sound intensity parameters for both time domain and frequency domain processing, according to the experiment requirements, is essential. The acoustic measurement bandwidth must be no less than twice the maximum frequency used, which is set to 25.6 kHz. Additionally, parameters like measurement duration and the number of averages per second should be defined. To minimize the effect of environmental noise, the software averages the results of multiple acoustic noise measurements taken over short periods. The number of averages per second determines the duration of each individual measurement, while the measurement duration specifies the total time for all measurements. While increasing the total measurement time can help reduce intermittent noise, it may not be ideal for certain operational conditions, particularly during peak load measurements. As a result, the measurement duration is set to 30 s. The number of averages per second is determined by the minimum frequency, set at 10 Hz, corresponding to a period of 0.1 s. With four averages per second, each measurement period is 0.25 s, which is sufficient to capture the minimum frequency.
4. Acoustic Noise Characterization with Hysteresis Current Control
To perform the acoustic noise characterization of the 12/8 SRM, the motor is tested at different operating points, and the sound intensity and sound pressure values are measured. These measured values are then used to calculate the sound power level and sound quality metrics. To investigate the impact of speed variations and loading on acoustic noise characteristics, speed points ranging from 400 rpm to 1000 rpm are considered in 200 rpm increments, while the current reference points range from 0 A to 50 A in 10 A increments. The upper and lower boundaries are set based on the electrical and mechanical constraints of the setup.
Table 2 shows the operating points used for the experiments in this paper. Two different current control techniques are employed. First, the acoustic noise characteristics are measured using a hysteresis current control method, which utilizes a variable switching frequency with a maximum of 20 kHz. Then, noise characteristics are measured using a PWM current control method with a fixed switching frequency of 12.5 kHz.
Table 2.
Operating points used to measure the acoustic noise characteristics of the 12/8 SRM.
4.1. Sound Power Level
Sound intensity is measured at the specified operating points, and the sound power levels are calculated accordingly. Due to the proper positioning of the probes and the use of environmental noise reduction techniques, in most operating points, including those at no-load conditions (e.g., 0 A), the intensity vectors are outward, indicating that the tested motor’s noise dominates over environmental noise. Figure 6 shows the measured sound intensity for some of the operating points with the hysteresis control method. The arrows represent the resultant direction of the sound intensity within each mesh element, while the colors on the acoustic mesh indicate the amplitude of the sound intensity.
Figure 6.
Measured sound intensity at different operating points with hysteresis control: (a) 400 rpm, 0 A; (b) 400 rpm, 40 A; (c) 1000 rpm, 0 A; (d) 1000 rpm, 40 A.
The field indicators for sound intensity measurements are calculated for third octave bands to assess the measurement quality. Four criteria are calculated based on the field indicators in Siemens Testlab: Crit. 0, Crit. 1a, Crit. 1b, and Crit. 2. Ideally, all these criteria should be positive for measurements to meet the ISO 9614-1 standard [21]. The overall quality of the measurements is acceptable for calculating the sound power level and analyzing the motor’s behavior under various operating conditions. In most cases, Crit. 1a and Crit. 1b are positive, indicating that the impact of external noise sources on the measurements is properly reduced by either soundproofing these sources or placing the probes close to the motor surface. Crit. 0 is positive in most cases; however, it is slightly negative (up to −1) in some instances. Crit. 2 is positive in almost half of the cases but sometimes becomes negative (up to −130). This suggests that the variation in the measured intensity between probes is relatively high in those cases, and a higher number of probes might be needed to meet the standard.
The calculated A-weighted sound power level of the motor for different operating points with the hysteresis control method is illustrated in Figure 7. The calculated sound power levels serve as an indicator of the acoustic noise behavior of the motor rather than its true sound power level, as the acoustic mesh does not completely cover the area around the motor. However, benefiting from the symmetrical design of the motor structure, the calculated sound power level estimates the behavior of the real sound power level of the motor with good accuracy.
Figure 7.
Contour plot of the A-weighted sound power level of the 12/8 SRM for different operating points with hysteresis control.
The sound power level of the motor generally increases with the load at each speed. Initially, this increase is steep but becomes more gradual as the load increases. This behavior can be attributed to the more moderate rise in the magnitude of radial force harmonics under heavier loads. However, the sound power level does not always increase consistently with loading. In some cases, harmonics that significantly contribute to noise—such as those interacting with the natural frequency—may diminish as the load increases. This reduction can result from changes in the current waveform shape caused by loading. Consequently, the sound power level does not always follow a uniform upward trend with increased loading. For example, at 1000 rpm, the sound power level decreases from 60.96 dB to 60.78 dB when the current reference increases from 20 A to 30 A.
A comparison of operating points with the same current reference but different speeds reveals that, in most cases, increasing the speed results in a higher sound power level, particularly at lower current references. However, at higher current references, there are instances where the sound power level decreases with the increasing speed. For example, at a 40 A current reference, the sound power level drops from 62.07 dB to 61.28 dB as the speed increases from 600 rpm to 800 rpm. This reduction can be attributed to variations in the amplitudes of resonance within the motor structure at different speeds and also the impact of the shape of the current excitation at different speeds.
4.2. Sound Quality Metrics
Sound quality metrics are calculated to analyze the acoustic noise characteristics of the 12/8 SRM. These metrics are derived from the sound pressure recorded by microphone two of probe four (face 4:2 in Figure 5). The sound quality metrics calculated from other microphones, which cover the entire motor surface area (e.g., faces 1:2, 2:2, 3:2, 5:2, and 6:2 in Figure 5) show similar results for the sound quality metrics.
The first studied metric is loudness. The behavior of the loudness metric follows the measured sound power level. However, unlike decibels, loudness is based on perceived loudness and is developed through human evaluation rather than being solely derived from mathematical equations [22]. Figure 8 illustrates the loudness curves over time for different speed points and current references with the hysteresis control method. The average sound loudness values are presented in Table 3.
Figure 8.
Sound loudness at different rotational speeds with hysteresis control: (a) 400 rpm, (b) 600 rpm, (c) 800 rpm, and (d) 1000 rpm.
Table 3.
Average sound loudness values (sone) for different operating points with hysteresis control.
For the 400 rpm and 600 rpm speed points, the loudness level of the motor increases as the load increases. The rate of increase is higher at first, then it reduces after the 20 A current reference. For the 800 rpm and 1000 rpm speed points, and for the current references higher than 20 A, the loudness values are close to each other. However, the trend is not consistently ascending, unlike the first two speed points, as the loudness values fluctuate. The pattern for the loudness values is similar to the trend for the sound power level values and can be attributed to the radial force harmonics. At higher loads, the radial force harmonics mostly increase with an increasing current reference, but the increase might not be as consistent as it was at lower current references. There can be cases where the magnitude of some of the harmonics decreases with the increasing load. Additionally, the variable switching frequency due to the hysteresis control method can contribute to this inconsistency.
By comparing the operating points with the same current reference at different speeds, it can be noted that the loudness increases with speed for current references lower than 20 A. However, for current references higher than 20 A, loudness decreases as speed increases. This could be attributed to different amplitudes of resonance in the motor structure at different speeds and also the impact of the shape of the current excitation at different speeds.
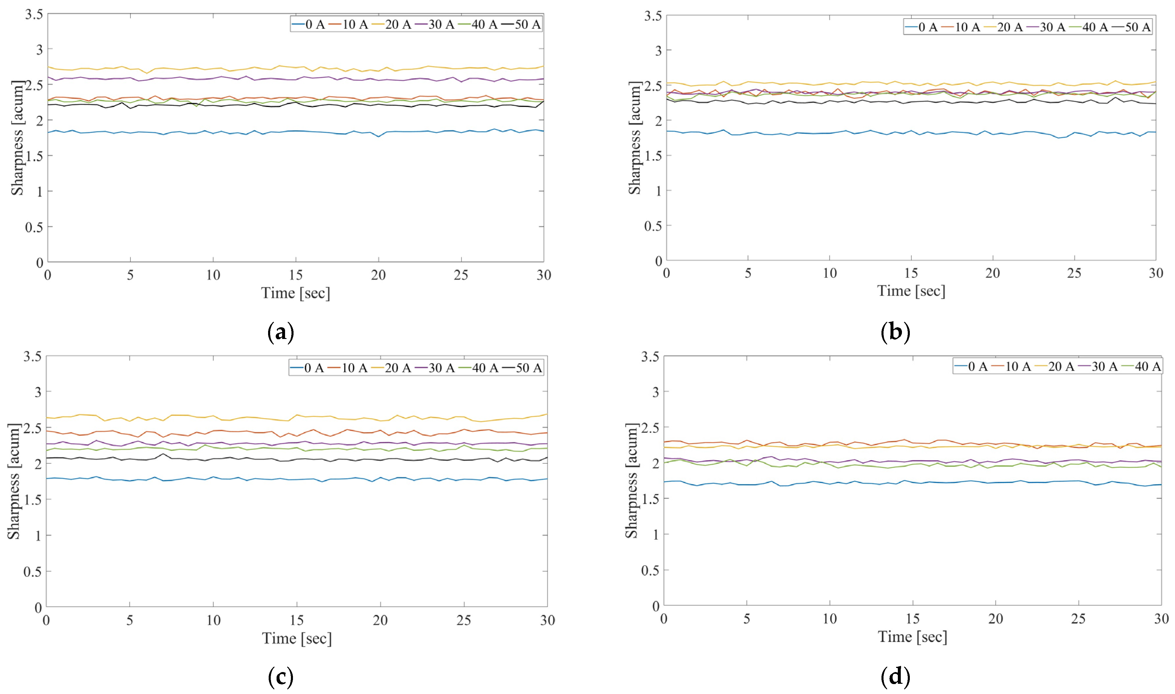
The second metric examined is sharpness. Sharpness is influenced by the frequency content of the acoustic noise. An increase in the proportion of high-frequency content in the spectrum leads to higher sharpness and vice versa [23]. Figure 9 illustrates the sharpness curves over time for different speed points and current references with the hysteresis control method. The average sound sharpness values are shown in Table 4.
Figure 9.
Sound sharpness at different rotational speeds with hysteresis control: (a) 400 rpm, (b) 600 rpm, (c) 800 rpm, and (d) 1000 rpm.
Table 4.
Average sound sharpness values (acum) for different operating points with hysteresis control.
For the speed points studied, sharpness increases for the current references up to 20 A and decreases beyond that. At a specific speed, as the load increases from zero, the magnitude of the acoustic noise harmonics generally increases. This increase is more pronounced in the high-frequency region, especially due to the switching frequency. With the increasing load, the magnitude of the dominant radial force harmonics mostly increases, affecting the motor’s noise level. This impact is particularly noticeable in the low-frequency region of the acoustic noise spectrum, which can be observed more clearly using third octave band plots. Figure 10 illustrates the third octave bands for 600 rpm and 1000 rpm at three different current references with the hysteresis control method. The x-axis represents the center frequency of the third octave bands.
Figure 10.
Third octave bands different motor loads with hysteresis control: (a) 600 rpm and (b) 1000 rpm.
At 600 rpm, increasing the current reference to 20 A increases the magnitude of most octave bands, as depicted in Figure 10a. This increase is particularly noticeable in the high-frequency region (octave bands with a center frequency higher than 2500 Hz), enhancing sharpness from 1.82 acum at 0 A to 2.52 acum at 20 A. When the current reference is further increased from 20 A to 40 A, the amplitude of the octave bands increases in the low-frequency region (octave bands centered at 500 Hz, 800 Hz, 1000 Hz, 1250 Hz, and 2000 Hz) but decreases in the high-frequency region (octave bands centered at 5000 Hz, 8000 Hz, and 10,000 Hz). Consequently, sharpness decreases from 2.52 acum at 20 A to 2.36 acum at 40 A.
At 1000 rpm, as shown in Figure 10b, increasing the current reference to 20 A increases the magnitude of most octave bands. This increase is particularly noticeable in the high-frequency region (octave bands with a center frequency higher than 2500 Hz), enhancing the sharpness from 1.72 acum at 0 A to 2.22 acum at 20 A. When the current reference is further increased from 20 A to 40 A, the amplitude of the octave bands increases in the low-frequency region (octave bands centered at 400 Hz, 500 Hz, 1000 Hz, and 1250 Hz) but decreases in the high-frequency region (octave bands with center frequency higher than 5000 Hz). Consequently, sharpness decreases from 2.22 acum at 20 A to 1.97 acum at 40 A.
4.3. Spectrogram Analysis
To further investigate the impact of various factors on the acoustic noise level of the motor, the spectrogram of the motor’s acoustic noise can be plotted. For this, a signal representing the motor speed needs to be sent to the data acquisition unit. The spectrogram is plotted for speeds ranging from 200 rpm to 1000 rpm using sound pressure recorded by microphone two of probe four (face 4:2 in Figure 5). Figure 11a presents the spectrograms for the frequency ranges of 0 to 16 kHz for the hysteresis control method. Figure 11b shows the same spectrogram for a narrower frequency range of 0 to 4 kHz to better illustrate the impact of the dominant radial force harmonics.
Figure 11.
Acoustic noise spectrogram of the 12/8 SRM with hysteresis control: (a) 0–16 kHz and (b) 0–4 kHz.
The impact of radial force harmonics and switching is evident in Figure 11a. Radial force harmonics mainly contribute to higher noise levels in the lower frequency range (up to 5 kHz), while switching causes higher noise levels in the higher frequency range (above 5 kHz). Figure 11b further illustrates the impact of radial force harmonics, specifying the dominant orders. For a SRM, the temporal and spatial order of the dominant radial force harmonics can be described as
where is the number of phases, is the number of the stator poles, is the number of the rotor poles, is the temporal order, and is the spatial order [24]. Based on (1), the temporal and spatial orders for a 12/8 SRM can be calculated as
Figure 12 illustrates the dominant radial force for a 12/8 SRM. The dominant radial force harmonics for a 12/8 SRM have a temporal order that is a multiple of eight. The traces for these harmonics can be seen in the experimental spectrogram results in Figure 11b. It can be noted that the harmonics with temporal orders that are multiples of 24 contribute more to noise production. These temporal orders have a circumferential order of zero. Radial force harmonics with a circumferential order of zero can partially excite non-zero mode shapes if the forcing frequency of the radial force harmonics is close to the natural frequency of that mode shape. Hence, in most cases, they contribute to noise production more than other circumferential orders.
Figure 12.
Dominant radial force harmonics of a 12/8 SRM.
5. Acoustic Noise Characterization with PWM Current Control
In the hysteresis current control method, a hysteresis band is defined around the current reference, and the current is regulated by switching the voltage to keep the current within that band when the phase is excited. In the PWM current control method, the error between the phase current and the current reference is controlled generally by a proportional–integral controller, and the phase voltage regulates the phase current by modulating the DC input voltage through the switching signals generated by the PWM controller. While the hysteresis control method is simpler, PWM control can regulate the current more effectively. PWM control also enables a constant switching frequency. In this study, a 120-degree phase conduction period is used for both controllers for all operating points. Figure 13 illustrates the current waveforms for an 800 rpm and 50 A operating point with hysteresis and PWM current control techniques.
Figure 13.
Phase current waveforms for the 800 rpm, 50 Nm operating point: (a) hysteresis current control and (b) PWM current control.
5.1. Sound Power Level
Similar to experiments with the hysteresis control method, the motor noise remains dominant over the environmental noise with the PWM control method. Figure 14 illustrates the calculated A-weighted sound power level of the motor for different operating points with the PWM control technique. Compared to the results with the hysteresis control technique, the sound power level of the motor is lower when using the PWM control technique, especially at light loads. This results in less steep slopes in the sound power level waveforms at light loads. At higher loads, the sound power level with the PWM control method remains lower; however, the difference between the noise level of the two control techniques becomes smaller.
Figure 14.
Contour plot of the A-weighted sound power level of the 12/8 SRM for different operating points with the PWM current control.
5.2. Sound Quality Metrics
Figure 15 illustrates the loudness curves over time for different speed points and current references. The average sound loudness values are presented in Table 5. The loudness level of the motor increases as the load increases for all speed points. Additionally, for operating points with the same current reference, the loudness is mostly higher at higher speed points. This trend corresponds to the trend observed in the sound power level of the motor. Compared to the results with the hysteresis controller in Table 3, the loudness level of the motor is lower across all operating points. This difference is higher at lower speeds, which can be attributed to the impact of switching. At 400 rpm, the loudness difference increases initially, peaking at 8.31 sone at a 30 A current reference. At 1000 rpm, the difference peaks at 5.52 sone at a 20 A current reference, then decreases to 0.57 sone at the 40 A current reference.
Figure 15.
Sound loudness at different rotational speeds with the PWM current control: (a) 400 rpm, (b) 600 rpm, (c) 800 rpm, and (d) 1000 rpm.
Table 5.
Average sound loudness values (sone) for different operating points with the PWM current control.
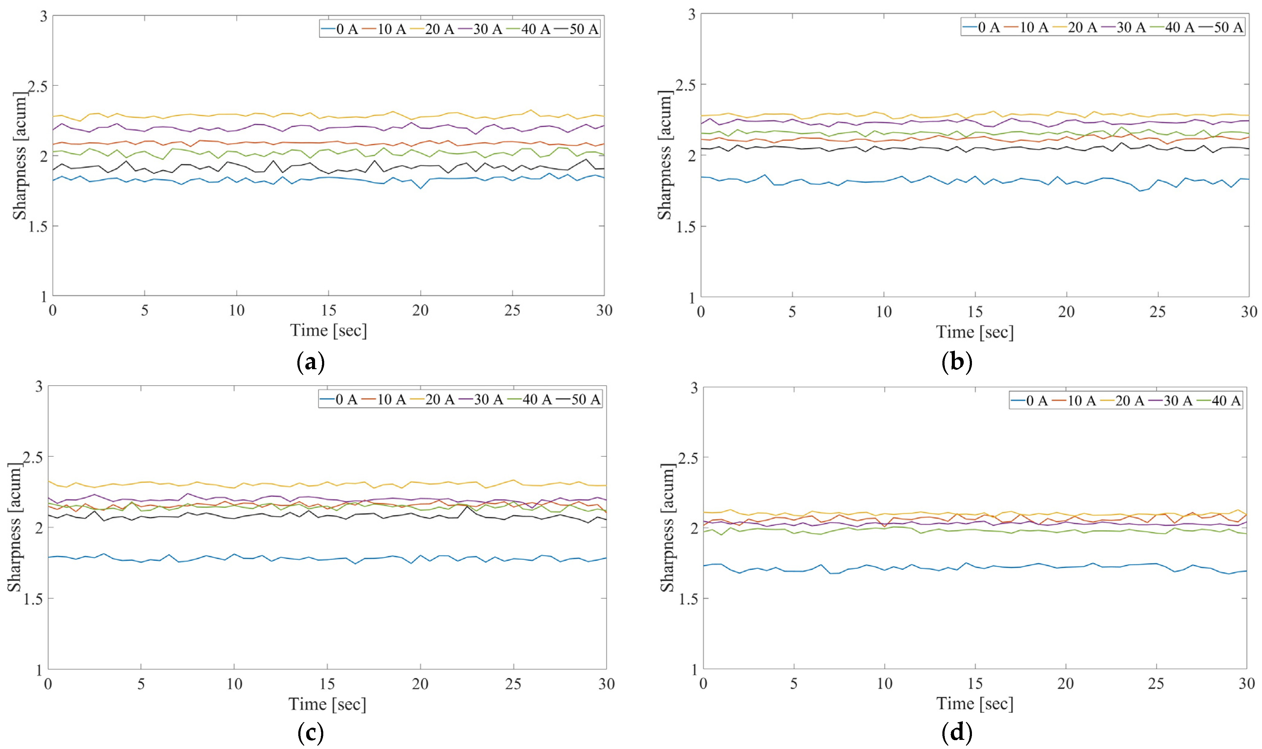
Figure 16 illustrates the sharpness curves with the PWM control method over time for various speed points and current references. In addition, the average sound sharpness values are shown in Table 6. The sharpness values with the PWM control method are considerably lower compared to those with the hysteresis control method. The reduction in sharpness is more pronounced at lower speeds. For instance, the sharpness drops by 0.3 acum at the 400 rpm, 50 A operating point but only drops by 0.02 acum at the 800 rpm and 50 A operating point and by 0.01 acum at the 1000 rpm and 40 A operating point. Third octave band plots are used to explain this difference. Figure 17 compares the third octave bands at the 400 rpm, 50 A and 800 rpm, 50 A operating points for the hysteresis and PWM controllers.
Figure 16.
Sound sharpness at different rotational speeds with the PWM current control: (a) 400 rpm, (b) 600 rpm, (c) 800 rpm, and (d) 1000 rpm.
Table 6.
Average sound sharpness values (acum) for different operating points with the PWM current control.
Figure 17.
Third octave bands for the hysteresis and PWM controllers: (a) 400 rpm, 50 A operating point and (b) 800 rpm, 50 A operating point.
At the 400 rpm, 50 A operating point in Figure 17a, the amplitude of the third octave bands with center frequencies from 2500 Hz to 10,000 Hz is higher for the hysteresis controller. This amplitude is higher for the PWM controller only at the third octave band with a center frequency of 12,500 Hz, which is the switching frequency in the PWM controller. This results in a higher sharpness with the hysteresis controller at the 400 rpm and 50 A current references.
At the 800 rpm, 50 A operating point in Figure 17b, the amplitude of the octave bands is mostly similar for both controllers, leading to almost identical sharpness values. This difference in sharpness reduction between the two operating points for the two controllers can be attributed to the impact of the switching frequency. As illustrated in the spectrogram in Figure 11 with the hysteresis control technique, at 400 rpm, the impact of the switching frequency is considerable on the noise level of the motor, but this impact is significantly reduced at 800 rpm.
5.3. Spectrogram Analysis
To further investigate the impact of various factors on the motor’s acoustic noise level with the PWM control method, the acoustic noise spectrogram is plotted for speeds ranging from 200 rpm to 1000 rpm. Figure 18a presents the spectrograms for the frequency ranges of 0 to 16 kHz for the PWM current control. Figure 18b shows the same spectrogram for a narrow frequency range of 0 to 4 kHz to better illustrate the impact of radial force harmonics.
Figure 18.
Acoustic noise spectrogram of the 12/8 SRM with the PWM current control: (a) 0–16 kHz and (b) 0–4 kHz.
The impact of radial force harmonics and switching is apparent in Figure 18a. Radial force harmonics primarily contribute to higher noise levels in the lower frequency range (up to 5 kHz), while switching effects increase noise levels in the higher frequency range (between 10 kHz and 15 kHz). By comparing the noise traces due to radial force harmonics, it is clear that the acoustic noise impacted by radial force harmonics is reduced for the PWM current control due to better current regulation. The main difference in the spectrograms for the two different current control techniques is in the noise traces due to switching. The noise traces with the PWM control method are narrower and concentrated around the switching frequency, whereas the noise traces with the hysteresis control method are wider and cover a broader frequency range. This leads to higher sound power levels, loudness, and sharpness at most operating points with the hysteresis current control.
6. Conclusions
This paper examines the acoustic noise characteristics of a 12/8 SRM, providing detailed descriptions of the hardware and software setups required for the experiments. The motor is tested at various operating points using two different current control techniques, with an investigation into the effects of speed variations and loading on the acoustic noise. Generally, increasing the load tends to elevate the motor’s sound power level and loudness, with some exceptions. Notably, the sound power level and loudness are lower when using the PWM control technique. The maximum sound power level for the hysteresis controller is 62.89 dB at the 600 rpm, 50 A operating point, while, for the PWM controller, it is 61.89 dB at the 1000 rpm, 40 A operating point. The maximum loudness for the hysteresis controller is 26.56 sone at the 400 rpm, 50 A operating point, and for the PWM controller, it is 23.30 sone at the 1000 rpm, 40 A operating point. Sharpness values with the PWM current control are considerably lower compared to those with the hysteresis current control. The reduction in sharpness is more pronounced at lower speeds, dropping by 0.3 acum at the 400 rpm, 50 A operating point but only by 0.01 acum at the 1000 rpm, 40 A operating point. This greater reduction at lower speeds is attributed to the impact of the switching frequency. To further investigate this, acoustic noise spectrograms are plotted for both current control techniques. Comparing the noise traces caused by radial force harmonics, it is evident that the acoustic noise affected by radial force harmonics is reduced with the PWM current control due to its better current regulation. The primary difference in the spectrograms between the two current control techniques lies in the noise traces resulting from switching. The noise traces with the PWM current control are narrower and concentrated around the switching frequency, while those with the hysteresis current control are wider and span a broader frequency range. This results in higher sound power levels, loudness, and sharpness at most operating points.
Author Contributions
Conceptualization, M.M. and B.B.; Methodology, M.M.; Investigation, M.M.; Writing—original draft preparation, M.M.; Writing—review and editing, B.B. All authors have read and agreed to the published version of the manuscript.
Funding
This research was undertaken, in part, thanks to funding from the Natural Sciences and Engineering Council of Canada (NSERC) and the Canada Foundation for Innovation (CFI).
Data Availability Statement
Data are contained within the article.
Acknowledgments
The authors would like to thank GRAS and Siemens for their support with the experimental acoustic noise measurement instruments and Siemens Testlab software in this research.
Conflicts of Interest
The authors declare no conflicts of interest.
References
- Vlachou, V.I.; Efstathiou, D.E.; Karakatsanis, T.S. Design, Analysis and application of control techniques for driving a permanent magnet synchronous motor in an elevator system. Machines 2024, 12, 560. [Google Scholar] [CrossRef]
- Hu, H.; Wang, D.; Wu, Y.; Deng, J.; Chen, X.; Ding, W. Uncertainty optimization of vibration characteristics of automotive micro-motors based on pareto elliptic algorithm. Machines 2024, 12, 566. [Google Scholar] [CrossRef]
- Rahmani, M.; Darabi, A.; Deylami, F.P. Impact of the stator coil pitch on acoustic noise and vibration of squirrel cage induction motors. IEEE Trans. Energy Convers. 2023, 38, 2344–2352. [Google Scholar] [CrossRef]
- Masoumi, M.; Tsao, A.; Abeyrathne, C.; Sahu, A.; Bilgin, B. Investigation of the impact of rotor shaping on the torque and radial force harmonics of a V-shape interior permanent magnet synchronous machine. IET Electr. Power Appl. 2024, 18, 185–194. [Google Scholar] [CrossRef]
- Gundogmus, O.; Das, S.; Yasa, Y.; Elamin, M.; Sozer, Y.; Kutz, J.; Tylenda, J.; Wright, R.L. Acoustic noise mitigation in high pole count switched reluctance machines utilizing skewing method on stator and rotor poles. IEEE Trans. Ind. Electron. 2022, 69, 5581–5593. [Google Scholar] [CrossRef]
- Das, S.; Gundogmus, O.; Sozer, Y.; Kutz, J.; Tylenda, J.; Wright, R.L. Wide speed range noise and vibration mitigation in switched reluctance machines with stator pole bridges. IEEE Trans. Ind. Electron. 2021, 36, 9300–9311. [Google Scholar] [CrossRef]
- Ibrahim, I.; Rahman, T.; Lowther, D.A. A study of vibroacoustic performance of synchronous motor drives under different operating conditions. In Proceedings of the International Electric Machines & Drives Conference (IEMDC), Hartford, CT, USA, 17–20 May 2021; pp. 1–9. [Google Scholar]
- Gonzalez, P.; Buigues, G.; Mazon, A.J. Noise in electric motors: A comprehensive review. Energies 2023, 16, 5311. [Google Scholar] [CrossRef]
- Pindoriya, R.M.; Thakur, R.K.; Rajpurohit, B.S.; Kumar, R. Numerical and experimental analysis of torsional vibration and acoustic noise of PMSM coupled with DC generator. IEEE Trans. Ind. Electron. 2022, 69, 3345–3356. [Google Scholar] [CrossRef]
- Sahu, A.K.; Selliah, A.; Hassan, A.; Masoumi, M.; Bilgin, B. Experimental evaluation of acoustical materials for noise reduction in an induction motor drive. Machines 2024, 12, 499. [Google Scholar] [CrossRef]
- Fang, Y.; Zhang, T. Sound quality of the acoustic noise radiated by PWM-fed electric powertrain. IEEE Trans. Ind. Electron. 2018, 65, 4534–4541. [Google Scholar] [CrossRef]
- Andersson, A.; Lennström, D.; Nykänen, A. Influence of inverter modulation strategy on electric drive efficiency and perceived sound quality. IEEE Trans. Transp. Electrific. 2016, 2, 24–35. [Google Scholar] [CrossRef]
- Han, Z.; Liu, J. Comparative analysis of vibration and noise in IPMSM considering the effect of MTPA control algorithms for electric vehicles. IEEE Trans. Power Electron. 2021, 36, 6850–6862. [Google Scholar] [CrossRef]
- Ruiz-Gonzalez, A.; Heredia-Larrubia, J.-R.; Meco-Gutierrez, M.J.; Perez-Hidalgo, F.-M. Pulse-width modulation technique with harmonic injection in the modulating wave and discontinuous frequency modulation for the carrier wave for multilevel inverters: An application to the reduction of acoustic noise in induction motors. IEEE Access 2023, 11, 40579–40590. [Google Scholar] [CrossRef]
- Furqani, J.; Wiguna, C.A.; Chiba, A.; Gundogmus, O.; Sozer, Y.; Purwadi, A. Experimental verification of acoustic noise and radial force sum variation in switched reluctance motor. IEEE Trans. Ind. Appl. 2021, 57, 2481–2493. [Google Scholar] [CrossRef]
- Wiguna, C.A.; Cai, Y.; Lilian, L.L.S.S.; Furqani, J.; Fujii, Y.; Kiyota, K.; Chiba, A. Vibration and acoustic noise reduction in switched reluctance motor by selective radial force harmonics reduction. IEEE Open J. Ind. Appl. 2022, 4, 23–34. [Google Scholar] [CrossRef]
- Feng, S.; Qu, R. Noise and vibration analysis of integrated two-speed e-powertrain system for electric vehicles. IEEE Trans. Ind. Appl. 2024, 60, 57–67. [Google Scholar] [CrossRef]
- Sound Pressure, Sound Power, and Sound Intensity: What’s the Difference? SIEMENS Community. Available online: https://community.sw.siemens.com/s/article/sound-pressure-sound-power-and-sound-intensity-what-s-the-difference (accessed on 10 July 2024).
- Sound Intensity. SIEMENS Community. Available online: https://community.sw.siemens.com/s/article/Sound-Intensity (accessed on 10 July 2024).
- Simcenter Testlab: Measuring Sound Intensity. SIEMENS Community. Available online: https://community.sw.siemens.com/s/article/Simcenter-Testlab-Measuring-Sound-Intensity (accessed on 10 July 2024).
- ISO 9614-1:1993; Acoustics—Determination of Sound Power Levels of Noise Sources Using Sound Intensity—Part 1: Measurement at Discrete Points. ISO: Geneva, Switzerland, 1993.
- Sound Quality Metrics: Loudness and Sones. SIEMENS Community. Available online: https://community.sw.siemens.com/s/article/sound-quality-metrics-loudness-and-sones (accessed on 10 July 2024).
- Sharpness in Simcenter Testlab. SIEMENS Community. Available online: https://community.sw.siemens.com/s/article/Sharpness-in-Simcenter-Testlab (accessed on 10 July 2024).
- Masoumi, M.; Bilgin, B. Comparative Study on the Radial Force and Acoustic Noise Harmonics of an Interior Permanent Magnet, Induction, and Switched Reluctance Motor Drive. IEEE Access 2024, 12, 49937–49946. [Google Scholar] [CrossRef]
Disclaimer/Publisher’s Note: The statements, opinions and data contained in all publications are solely those of the individual author(s) and contributor(s) and not of MDPI and/or the editor(s). MDPI and/or the editor(s) disclaim responsibility for any injury to people or property resulting from any ideas, methods, instructions or products referred to in the content. |
© 2025 by the authors. Licensee MDPI, Basel, Switzerland. This article is an open access article distributed under the terms and conditions of the Creative Commons Attribution (CC BY) license (https://creativecommons.org/licenses/by/4.0/).

















