Effects of Inflow Deflection Angle on the Stall Formation Mechanism and Flow Field Structure in a Vertical Axial-Flow Pump
Abstract
1. Introduction
2. Research Methods
2.1. Three-Dimensional Model
2.2. Numerical Simulation
3. Test Verification
4. Results and Discussion
4.1. Effect of Incidence Angle on Performance Characteristics Under Stall Conditions
4.2. Effect of Incidence Angle on the Stall Flow Field Structure at the Impeller Inlet
4.3. Effect of Incidence Angle on the Stall Flow Field Structure Within an Impeller Passage
5. Conclusions
- (1)
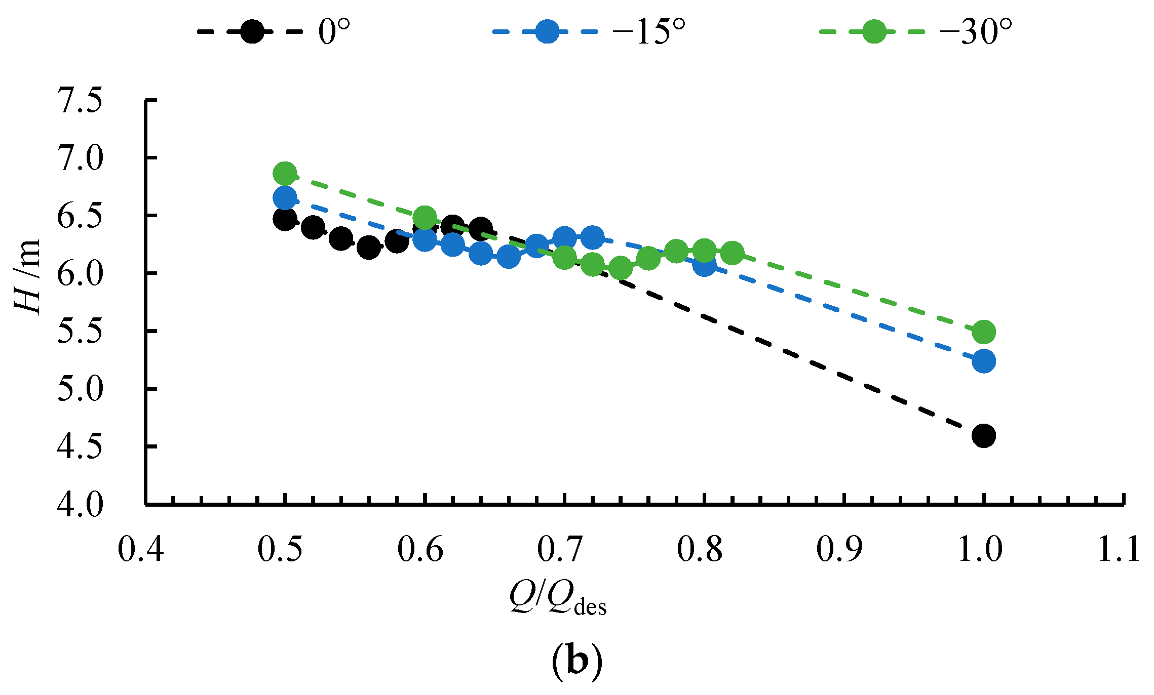
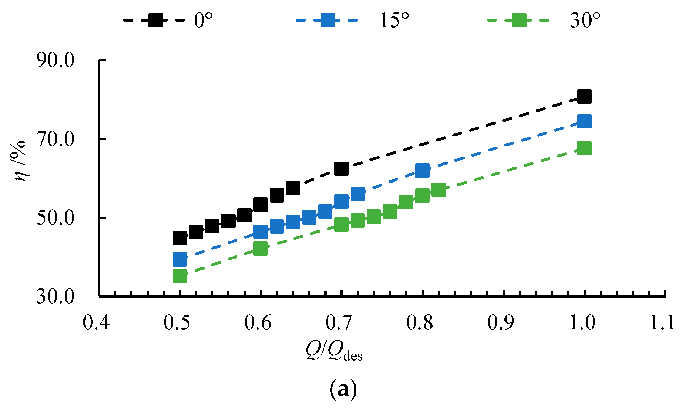
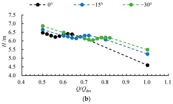
- A decreased deflection angle reduces pump efficiency but increases the head at the same flow rate. Consequently, both critical and deep stall points shift toward higher flow rates, which significantly narrows the pump’s high-efficiency operating range. This trade-off is exemplified by the −30° scheme, which exhibits a 16.27% decrease in design efficiency alongside a 19.59% increase in design head compared to the 0° scheme.
- (2)
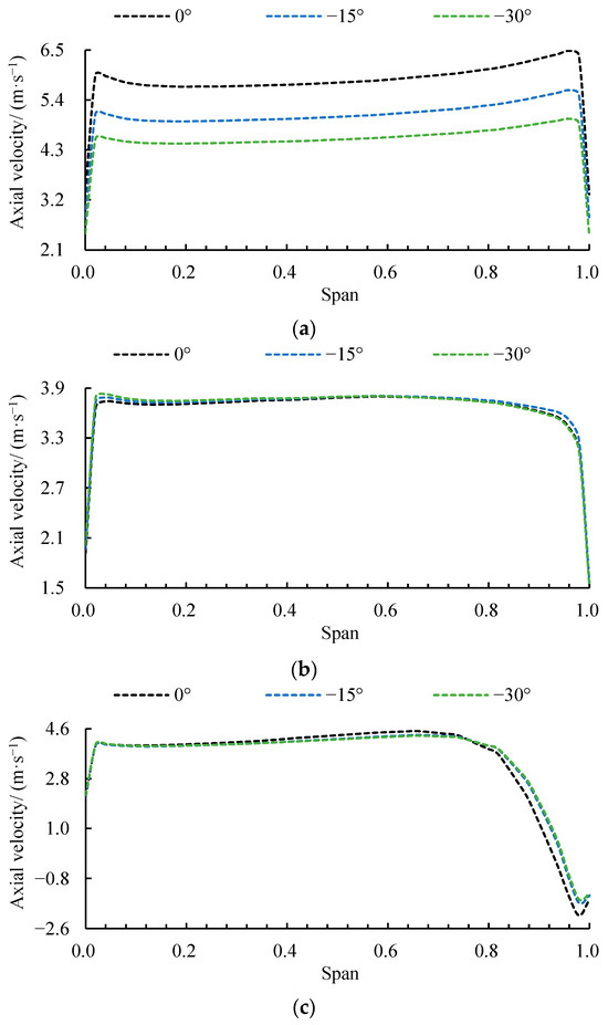
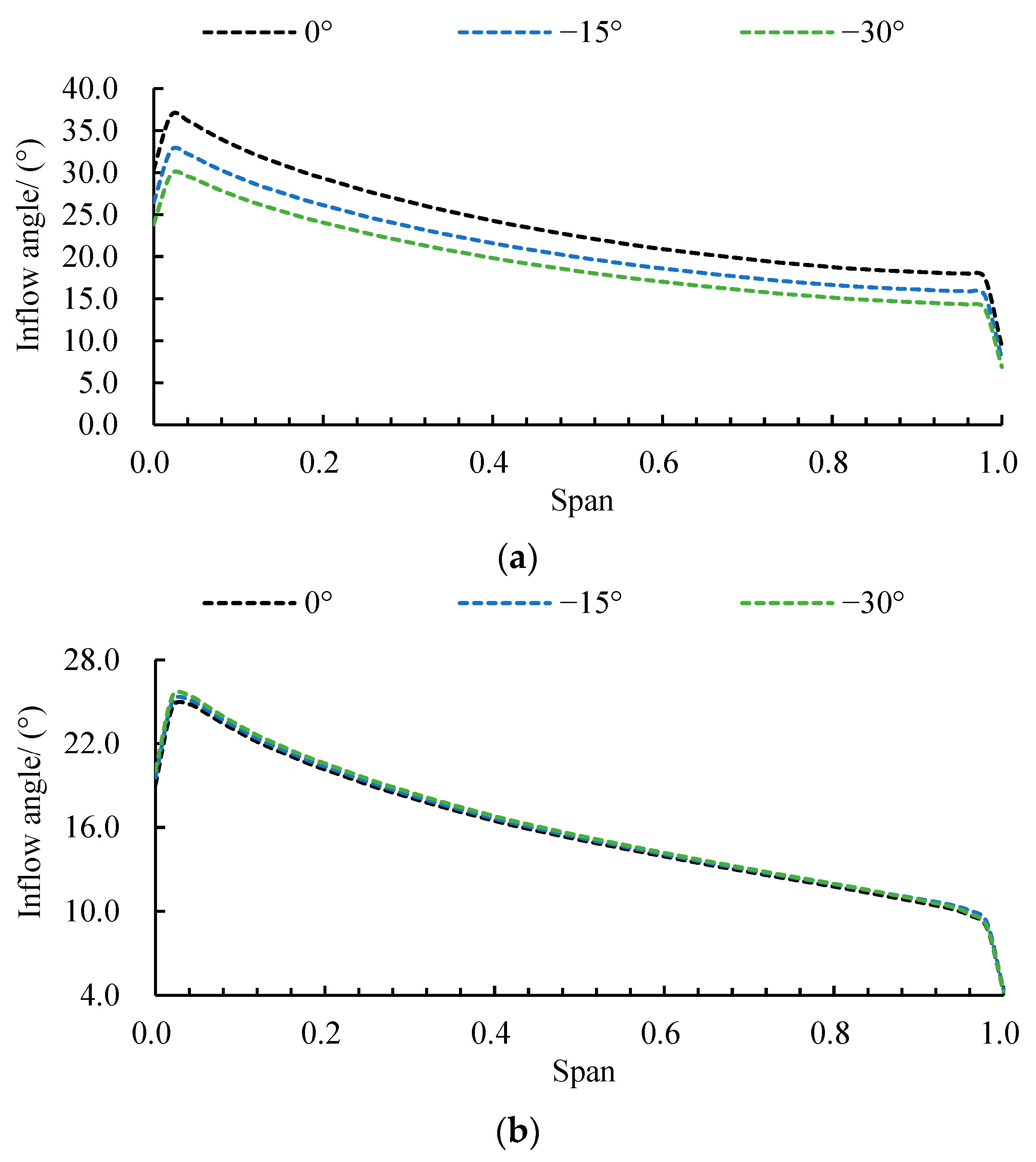
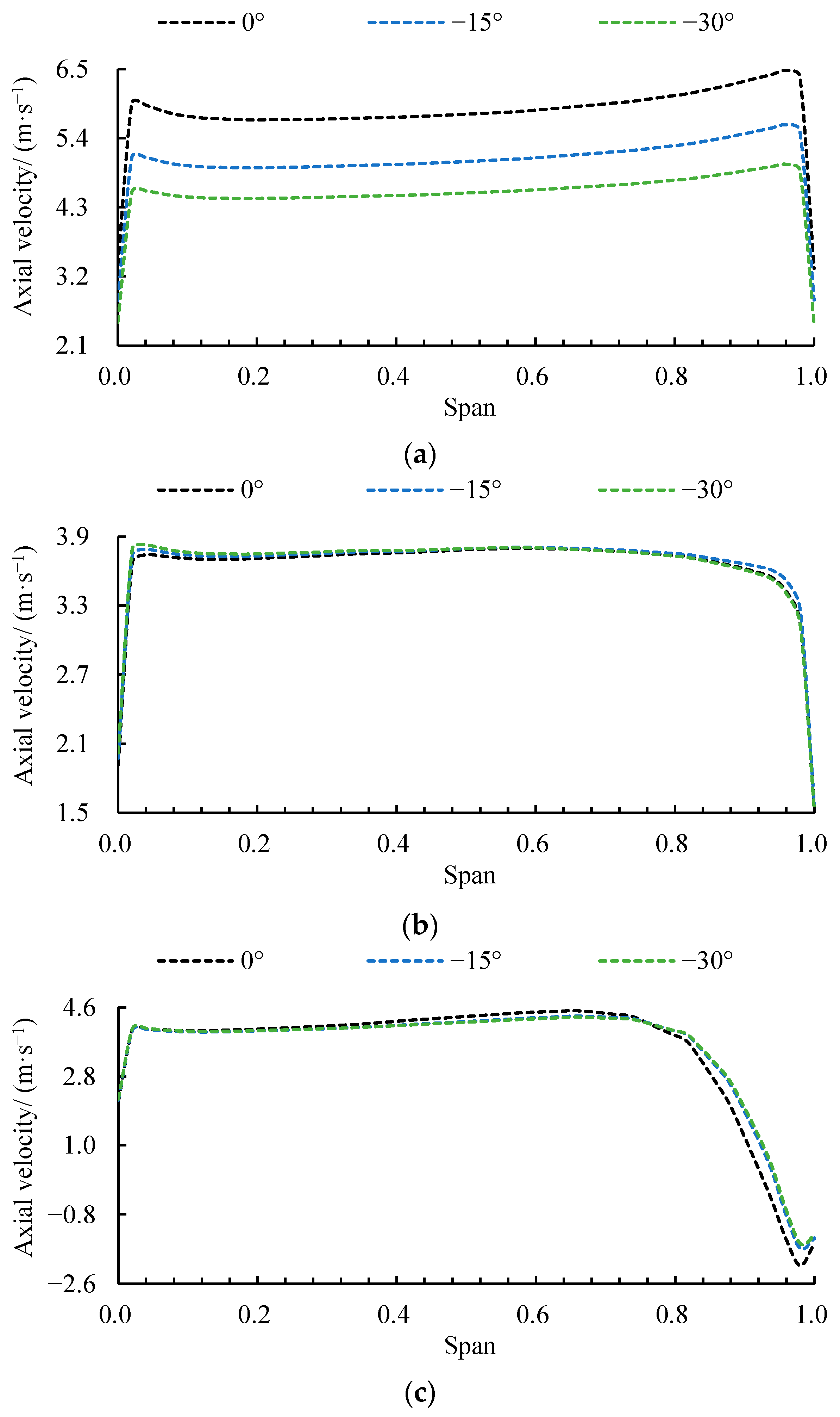
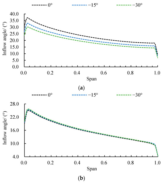
- Compared with the design condition, critical and deep stall conditions induce a circumferentially uniform flow blockage at the impeller inlet. This, in turn, reduces the axial velocity and increases the actual angle of attack. A decreased deflection angle promotes the earlier formation of this blockage at higher flow rates. Quantitatively, under the design condition at spans of 0.02 and 0.96, the axial velocity for the −30° scheme is 23.68% and 23.1% lower, respectively, than that of the 0° scheme.
- (3)
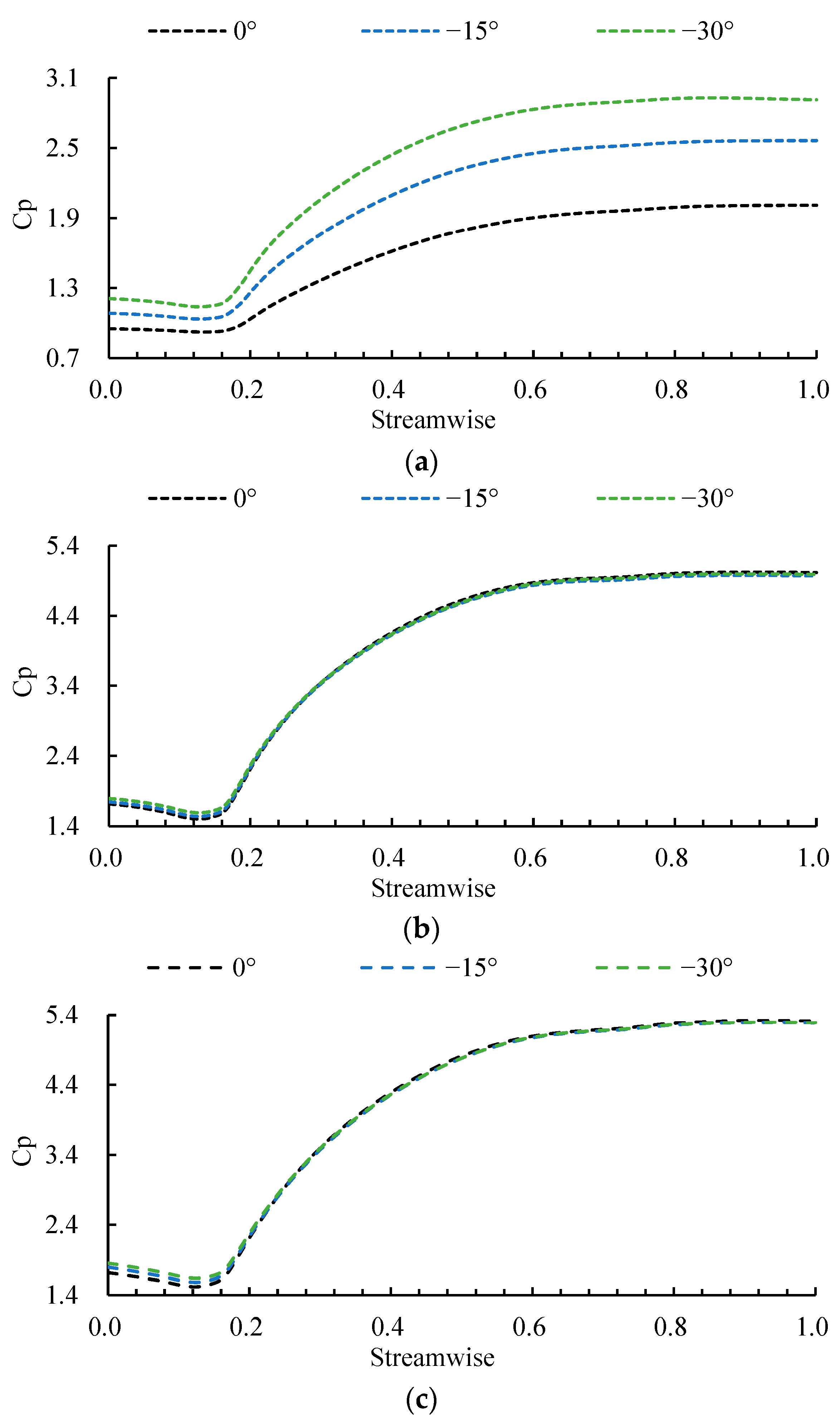
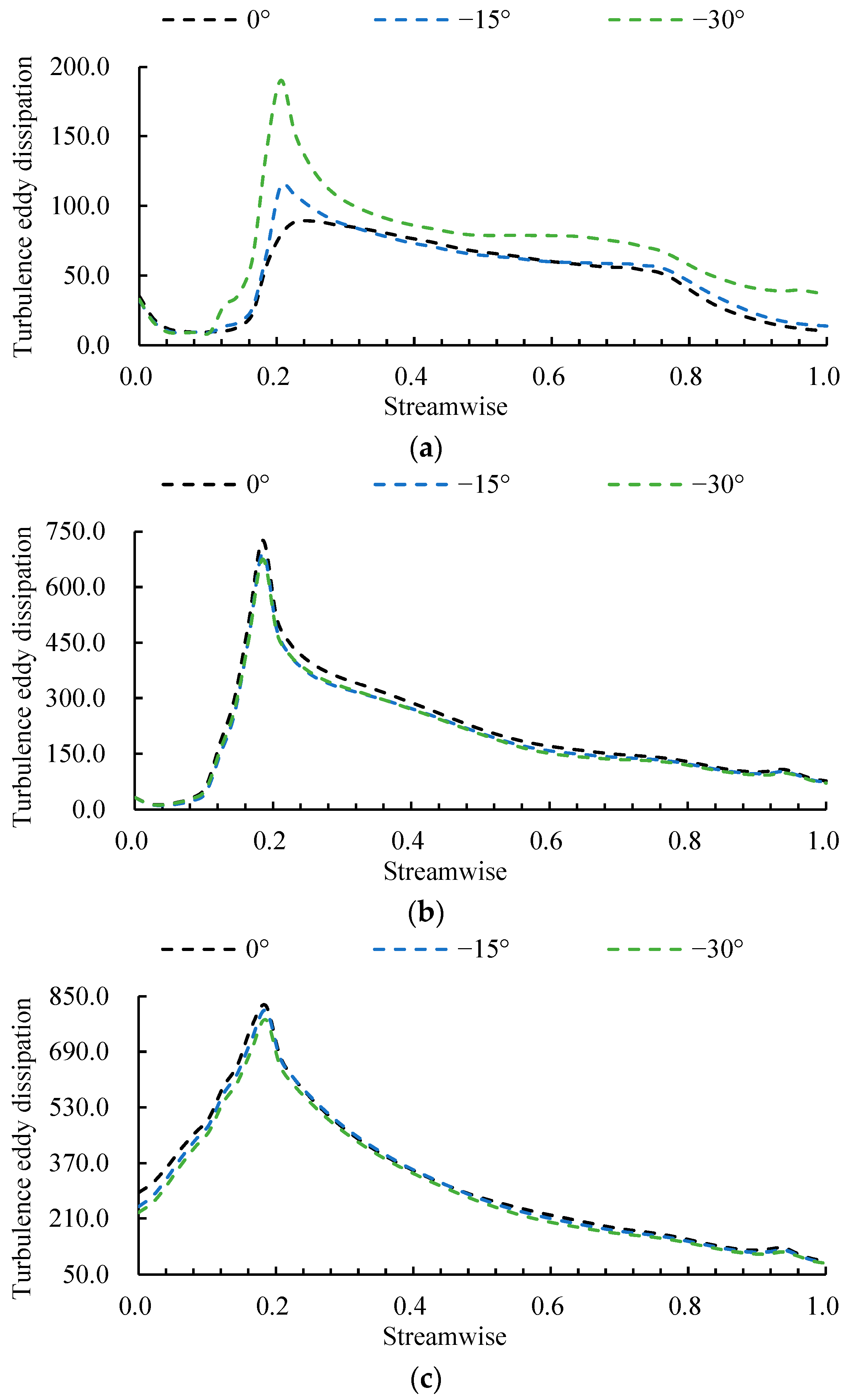
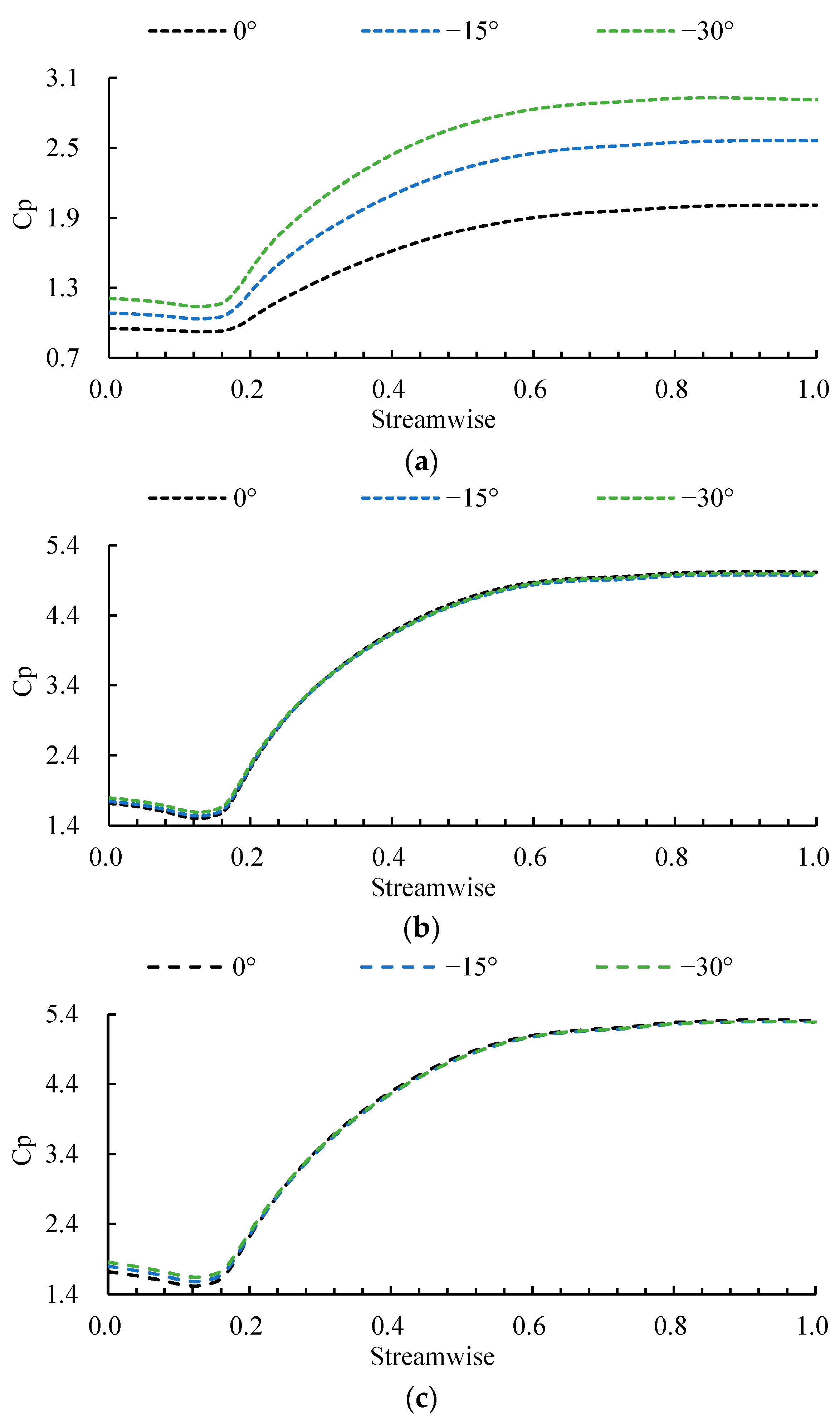
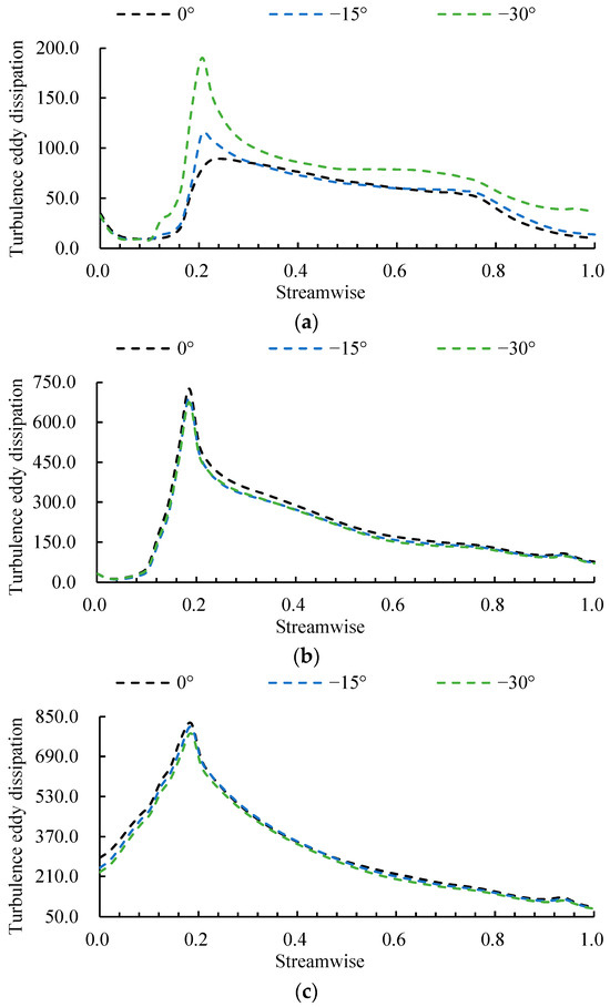
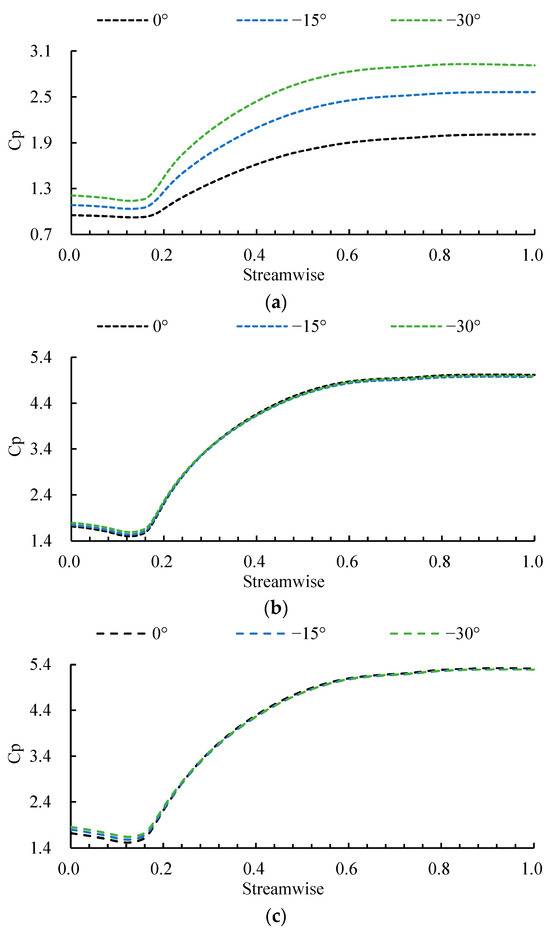
- A decreased deflection angle intensifies the stall process by amplifying the sensitivity of leading-edge separation, tip leakage flow, and the hub vortex. It also aggravates mid-axial flow blockage, as evidenced by a 6.02–8.13% higher static pressure coefficient in the −30° scheme versus the 0° scheme, which disrupts pressure recovery and degrades the impeller’s work capacity. This leads to a critical trade-off: while a smaller angle hastens stall inception, it paradoxically yields a less unstable stall flow field.
Author Contributions
Funding
Data Availability Statement
Conflicts of Interest
Nomenclature
| URANS | Unsteady Reynolds-Averaged Navier–Stokes |
| H | Head |
| E | Efficiency |
| θ | Inflow deflection angle |
| η | Efficiency |
| Qdes | Design flow rate |
| EXP | Experiment |
| CFD | Computational fluid dynamics |
| R* | The radius of the object being calculated. |
| Rh | Hub radius |
| Rs | Rim radius |
| Span | Radial coefficient |
| Streamwise | Axial coefficient |
| TKE | Turbulent kinetic energy |
| Absolute pressure | |
| Density | |
| Circumferential velocity | |
| Cp | Static pressure coefficient |
| TED | Turbulence eddy dissipation |
References
- Yang, F.; Lin, Z.; Li, J.; Nasr, A.; Cong, W.; Li, C. Analysis of internal flow characteristics and structure optimization of vertical submersible axial flow pump device. Adv. Mech. Eng. 2022, 14, 16878132221100641. [Google Scholar] [CrossRef]
- Jiao, H.; Shan, J.; Yang, G.; Wang, M.; Chen, S. Comparison of the shutdown transitions of the full-flow pump and axial-flow pump. J. Mar. Sci. Eng. 2023, 11, 2129. [Google Scholar] [CrossRef]
- Yang, F.; Chang, P.; Cai, Y.; Lin, Z.; Tang, F.; Lv, Y. Analysis of energy loss characteristics of vertical axial flow pump based on entropy production method under partial conditions. Entropy 2022, 24, 1200. [Google Scholar] [CrossRef]
- Yang, F.; Jiang, D.; Yuan, Y.; Lv, Y.; Jian, H.; Gao, H. Influence of rotation speed on flow field and hydraulic noise in the conduit of a vertical axial-flow pump under low flow rate condition. Machines 2022, 10, 691. [Google Scholar] [CrossRef]
- Zhou, Z.; Li, H.; Chen, J.; Li, D.; Zhang, N. Numerical simulation on transient pressure pulsations and complex flow structures of a ultra-high-speed centrifugal pump at stalled condition. Energies 2023, 16, 4476. [Google Scholar] [CrossRef]
- Wéber, R.; Hős, C. Experimental and numerical analysis of hydraulic transients in the presence of air valve. Period. Polytech. Mech. Eng. 2018, 62, 1–9. [Google Scholar] [CrossRef]
- Lu, J.; Wang, Y.; Wang, B.; Zhou, Y.; Liu, X.; Si, Q. Study on the vibration characteristics induced by rotating stall in a centrifugal pump based on improved variational mode decomposition. Flow Meas. Instrum. 2025, 102, 102761. [Google Scholar] [CrossRef]
- Tang, Y.; Wang, F.; Wang, C.; Ye, C.; Qu, Q.; Xu, J. Investigation on the influence of seal clearance leakage on the rotating stall characteristics for a centrifugal pump. Phys. Fluids 2024, 36, 025176. [Google Scholar] [CrossRef]
- Zhao, Z.; Song, W.; Jin, Y.; He, L. Numerical study on flow stall and kinetic energy conversion of low-specific-speed centrifugal pump. Phys. Fluids 2023, 35, 044104. [Google Scholar]
- Feng, J.; Ge, Z.; Yang, H.; Zhu, G.; Li, C.; Luo, X. Rotating stall characteristics in the vaned diffuser of a centrifugal pump. Ocean. Eng. 2021, 229, 108955. [Google Scholar] [CrossRef]
- Ji, L.; Li, Y.; Li, W.; Li, S.; Yang, Y.; Yang, Y.; Li, H.; Agarwal, R.K. Investigation of vortex dynamics diagnosis in the stall state of mixed-flow pump with blade gap size effect. J. Braz. Soc. Mech. Sci. Eng. 2023, 45, 395. [Google Scholar] [CrossRef]
- Ji, L.; Li, W.; Shi, W.; Tian, F.; Agarwal, R. Effect of blade thickness on rotating stall of mixed-flow pump using entropy generation analysis. Energy 2021, 236, 121381. [Google Scholar] [CrossRef]
- Ji, L.; Li, S.; Li, W.; Huang, Y.; Shi, W.; Li, H.; Yang, Y.; Agarwal, R.K. Study on passive suppression method of rotating stall in mixed-flow pump: Using different impeller rim structures. Proc. Inst. Mech. Eng. Part A J. Power Energy 2023, 237, 965–984. [Google Scholar] [CrossRef]
- Ji, L.; Li, W.; Shi, W.; Tian, F.; Li, S.; Agarwal, R. Influence of different blade numbers on the performance of “saddle zone” in a mixed flow pump. Proc. Inst. Mech. Eng. Part A J. Power Energy 2022, 236, 477–489. [Google Scholar] [CrossRef]
- Lu, D.; Li, W.; Li, S.; Ji, L.; Yang, Y. Research on the relationship between stall propagation and flange leakage of mixed-flow pumps. Water 2022, 14, 1730. [Google Scholar] [CrossRef]
- Li, J.; Zhang, R.; Xu, H.; Feng, J. Multi-condition design optimization of groove flow control technique in an axial-flow pump. Int. J. Turbo Jet-Engines 2021, 40, s17–s32. [Google Scholar] [CrossRef]
- Nguyen, D.A.; Lee, H.J.; Kim, S.; Choi, B.-L.; Choi, D.-H.; Kim, G.S.; Sun, S.; Kim, J.-H. Multiobjective hydraulic optimization of the diffuser vane in an axial flow pump. Phys. Fluids 2024, 36, 075125. [Google Scholar] [CrossRef]
- Zheng, Y.; Li, Y.; Zhu, X.; Xu, X.; Meng, F. Numerical investigation of entropy hydraulic loss analysis and vortical structure suppression in mixed flow pump device under lateral inflow. Proc. Inst. Mech. Eng. Part E J. Process Mech. Eng. 2023, 237, 1529–1545. [Google Scholar] [CrossRef]
- Zheng, Y.; Gu, Z.; Li, Y.; Zhu, X.; Meng, F.; Wang, M. Entropy production analysis for energy dissipation of a vertical mixed-flow pump device under asymmetric inflow conditions. Proc. Inst. Mech. Eng. Part C J. Mech. Eng. Sci. 2022, 236, 10426–10439. [Google Scholar] [CrossRef]
- Yun, L.; Zhenguo, W.; Mingyu, Z.; Yuan, X. Research on the transient flow and vortex structure evolution mechanism of reactor coolant pump under non-uniform inflow. Ann. Nucl. Energy 2025, 217, 111346. [Google Scholar] [CrossRef]
- Long, Y.; Tian, C.; Zhang, M.; Guo, X. Research on flow characteristics of reactor coolant pumps under non-uniform inflow. Ann. Nucl. Energy 2025, 213, 111109. [Google Scholar] [CrossRef]
- Yuan, Y.; Fang, Y.; Tang, L. Effects of non-uniform elbow inflow on the unsteady flow and energy development characteristics of a centrifugal pump. Phys. Fluids 2023, 35, 015152. [Google Scholar] [CrossRef]
- Zheng, Y.; Li, Y.; Zhu, X.; Sun, D.; Meng, F. Influence of asymmetric inflow on the transient pressure fluctuation characteristics of a vertical mixed-flow pump. Proc. Inst. Mech. Eng. Part A J. Power Energy 2022, 236, 1518–1532. [Google Scholar] [CrossRef]
- Kan, K.; Zhang, Q.; Xu, H.; Feng, J.; Song, Z.; Cheng, J.; Binama, M. Investigation of non-uniform inflow effects on impeller forces in axial-flow pumps operating as turbines. Water 2024, 16, 1428. [Google Scholar] [CrossRef]
- Savcı, İ.H.; Şener, R.; Duman, İ. A study of signal noise reduction of the mass air flow sensor using the flow conditioner on the air induction system of heavy-duty truck. Flow Meas. Instrum. 2022, 83, 102121. [Google Scholar] [CrossRef]
- Şener, R.; Demir, M.E. Heat transfer and flow characteristics of a novel turbulator design in heat exchanger: Experimental and numerical analysis. Proc. Inst. Mech. Eng. Part A J. Power Energy 2024, 238, 1228–1237. [Google Scholar] [CrossRef]
- Li, S.; Luan, Y.; Xu, Y.; Liu, X.; Yang, F.; Xu, G. Numerical analysis of pressure fluctuation characteristics of axial flow pump device of edge pump unit in multi-unit pumping station. AIP Adv. 2024, 14, 075311. [Google Scholar] [CrossRef]
- Deng, E.; Yue, H.; Ni, Y.Q.; He, X.H.; Yang, W.C.; Chen, Z.W. Wake dynamic characteristics of windproof structures in embankment–bridge sections along a high-speed railway under natural strong crosswinds. Phys. Fluids 2023, 35, 055109. [Google Scholar]
- Shi, W.; Xie, B.; Ni, C.; Yu, X.; Chai, Y.; Shi, L. Numerical Simulation and Model Test on Pressure Fluctuation and Structural Characteristics of Lightweight Axial Flow Pump. Processes 2024, 12, 2369. [Google Scholar] [CrossRef]
- Meng, F.; Li, Y.; Li, M.; Ning, C. Investigation of Blade Root Clearance Flow Effects on Pressure Fluctuations in an Axial Flow Pump. Machines 2025, 13, 733. [Google Scholar] [CrossRef]
- Wang, H.; Wu, X.; Xu, X.; Bian, S.; Meng, F. Size Effect on Energy Characteristics of Axial Flow Pump Based on Entropy Production Theory. Machines 2025, 13, 252. [Google Scholar] [CrossRef]


















| Scheme 1 | Scheme 2 | Scheme 3 | Scheme 4 | |
|---|---|---|---|---|
| Totall nodes number | 3,477,186 | 4,255,566 | 5,192,051 | 6,122,068 |
| Head H (m) | 4.70 | 4.63 | 4.59 | 4.66 |
Disclaimer/Publisher’s Note: The statements, opinions and data contained in all publications are solely those of the individual author(s) and contributor(s) and not of MDPI and/or the editor(s). MDPI and/or the editor(s) disclaim responsibility for any injury to people or property resulting from any ideas, methods, instructions or products referred to in the content. |
© 2025 by the authors. Licensee MDPI, Basel, Switzerland. This article is an open access article distributed under the terms and conditions of the Creative Commons Attribution (CC BY) license (https://creativecommons.org/licenses/by/4.0/).
Share and Cite
Meng, F.; Hu, Q.; Liu, J.; Li, Y.; Zhang, G.; Lu, J. Effects of Inflow Deflection Angle on the Stall Formation Mechanism and Flow Field Structure in a Vertical Axial-Flow Pump. Machines 2025, 13, 1054. https://doi.org/10.3390/machines13111054
Meng F, Hu Q, Liu J, Li Y, Zhang G, Lu J. Effects of Inflow Deflection Angle on the Stall Formation Mechanism and Flow Field Structure in a Vertical Axial-Flow Pump. Machines. 2025; 13(11):1054. https://doi.org/10.3390/machines13111054
Chicago/Turabian StyleMeng, Fan, Qixiang Hu, Jinhe Liu, Yanjun Li, Guangjian Zhang, and Jiaxing Lu. 2025. "Effects of Inflow Deflection Angle on the Stall Formation Mechanism and Flow Field Structure in a Vertical Axial-Flow Pump" Machines 13, no. 11: 1054. https://doi.org/10.3390/machines13111054
APA StyleMeng, F., Hu, Q., Liu, J., Li, Y., Zhang, G., & Lu, J. (2025). Effects of Inflow Deflection Angle on the Stall Formation Mechanism and Flow Field Structure in a Vertical Axial-Flow Pump. Machines, 13(11), 1054. https://doi.org/10.3390/machines13111054

