Design and Experiment of a Roller-Brush Type Harvesting Device for Dry Safflower Based on Plant Clamping and Pose Adjustment
Abstract
1. Introduction
2. Materials and Methods
2.1. Spatial Distribution Characteristics of the Safflower Plant
2.2. Analysis of Mechanical Properties for Safflower
3. Dry Safflower Picking Mechanism and Integrated Machine Design
3.1. Shear Harvesting Mechanism Under Post Adjustment
3.2. Overall Structure and Technical Parameters
4. Design of Key Components for the Roller-Brush Pose-Adjustment Dry Safflower Harvesting Device
4.1. Theoretical Analysis and Design of the Roller Brush
4.1.1. Study on the Force Characteristics of the Pose-Adjustment Roller Brush
4.1.2. Structural Design and Parameter Determination of the Roller Brush
4.2. Kinematic Characteristics Study of the Roller Brushes
4.2.1. Motion Trajectory Analysis of the Roller Brushes
4.2.2. Analysis of the Influence of Helical Roller Brush Motion Parameters on Pose-Adjustment Effect
5. Experiments
5.1. Experimental Materials and Equipment
5.2. Validation Test for Pose-Adjustment Effect
5.3. Picking Test Methods and Evaluation Indices
5.4. Bench Test for Picking Performance
5.4.1. Box–Behnken Experimental Design
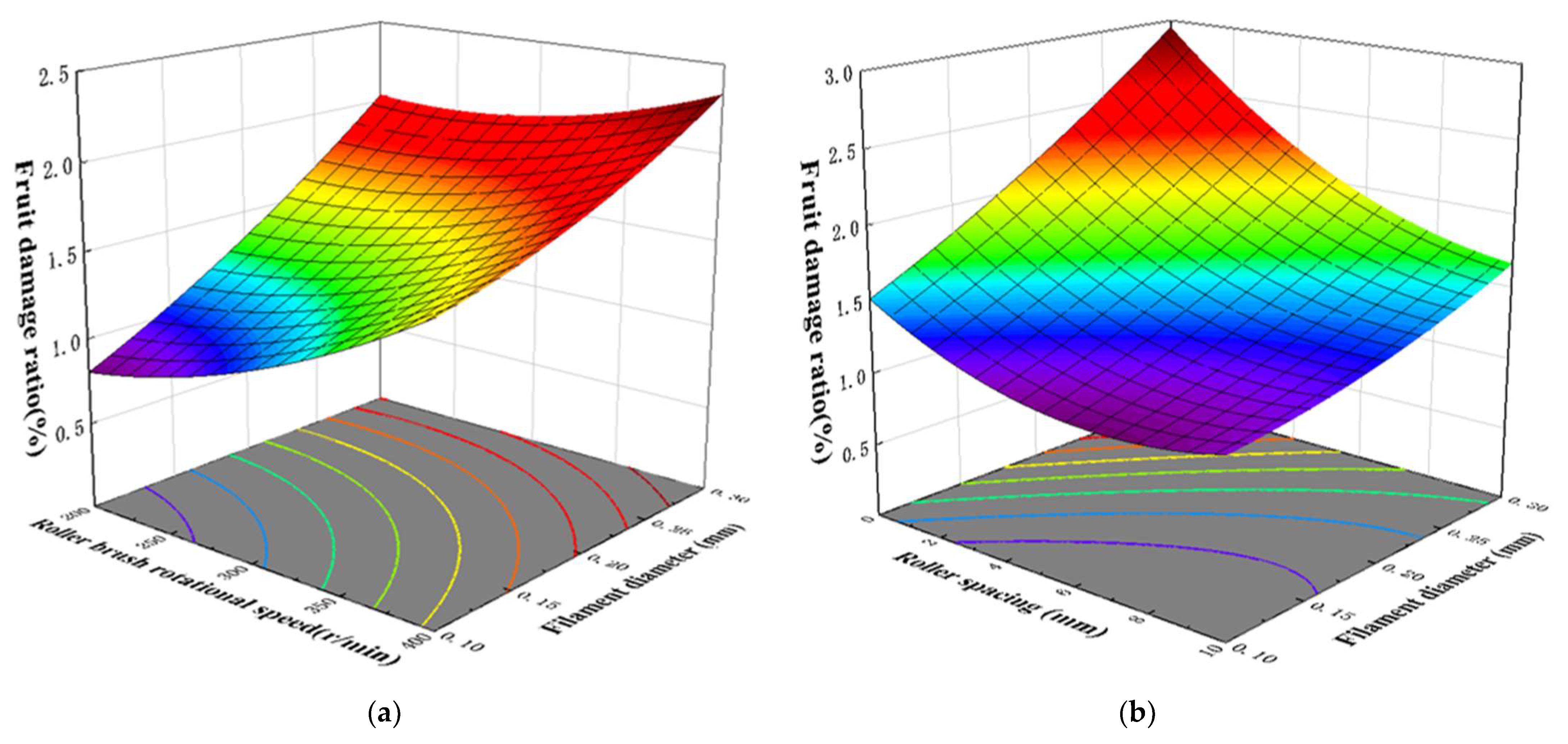
5.4.2. Effects of Factors on the Picking Rate, Damage Rate, and Fruit Injury Rate
5.4.3. Parameter Optimization
5.5. Validation Tests
6. Conclusions
- (1)
- The ‘Yumin Thornless’ safflower is a terminal-bearing, multi-branched crop. Mechanical tests showed that the average shear separation force (8.2 N) is significantly lower than the pulling force (15.03 N). The shear fracture threshold for a single filament on the seventh day after flowering was 2.9 N, providing a theoretical basis for low-damage shear harvesting.
- (2)
- This study proposes a “pose-adjustment and shearing” mechanism: the counter-rotating helical pose-adjustment rollers deflect the randomly posed fruit balls until the plant stem is orthogonal to the roller brush axis, enabling the shear force to act precisely on the necking zone. Based on this, a coordinated roller-brush harvesting device was designed, which completes the processes of plant guiding → pose adjustment → picking → pneumatic collection in a single pass, providing a solution for continuous, low-damage harvesting of dry safflower.
- (3)
- The key components of the dry safflower harvesting device were analyzed and designed. Mechanical analysis indicated that at the optimal pose-adjustment point A, the plant is subjected to a resultant force of 0–14.33 N to achieve post adjustment from vertical to orthogonal to the roller brush axis; based on this, the structural parameters of the roller brush were selected. The kinematic model revealed that the post angle α and the velocity ratio K determine the adjustment effect. Considering the limiting speed of 600 r/min and efficiency requirements, the final parameters were determined as forward speed = 0.4 m/s, helical roller brush speed = 330 r/min, and inclination angle = 15°.
- (4)
- The pose-adjustment performance validation test, based on theoretical analysis results, showed that the measured average angle between the plant stem and the roller brush axis was 95.27°, falling within the target range of 81–99°. The adjustment accuracy meets the requirements for subsequent picking. Bench tests employing a Box–Behnken design identified the optimal parameter combination for picking as roller brush speed = 282.5 r/min, spacing = 3.7 mm, brush diameter = 0.1 mm. Validation confirmed average values of 91.18% for picking rate, 6.18% for damage rate, and 0.95% for fruit injury rate. The close agreement between measured and predicted values for all indices indicates that the model’s accuracy meets the requirements for optimizing the picking mechanism’s parameters and satisfies the technical code for safflower harvesting.
Author Contributions
Funding
Data Availability Statement
Conflicts of Interest
References
- Kassa, B.A.; Mekbib, F.; Assefa, K. Effects of plant hormones and genotypes on anther culture response of safflower (Carthamus tinctorius L.). Sci. Afr. 2024, 26, e02367. [Google Scholar] [CrossRef]
- Lv, X.; Xin, X.; Liang, S.; Adilai, A. Exploration of dyeing process and cultural product development of Xinjiang safflower. West. Leather 2024, 46, 71–74. [Google Scholar]
- Federica, Z.; Angelini, L.G.; Sara, B.; Foschi, L.; Clemente, C.; Ferioli, F.; Vecchi, A.; Rossi, A.; Monti, A.; Tavarini, S. Safflower (Carthamus tinctorius L.) a winter multipurpose oilseed crop for the Mediterranean region: Lesson learnt from on-farm trials. Ind. Crops Prod. 2022, 184, 115042. [Google Scholar]
- Abbaspour-Fard, H.M.; Yousefzadeh, H.; Azhari, A.; Ebrahimi-Nik, M.A.; Moghaddam, M.H. Ergonomic evaluation of conventional saffron harvesting versus using a trolley. Saffron Agron. Technol. 2018, 6, 253–267. [Google Scholar]
- Azimi, S.; Chegini, G.; Kianmehr, M.H. Design and manufacture of safflower petal harvester machine. Mech. Ind. 2012, 13, 301–305. [Google Scholar] [CrossRef]
- Ge, Y.; Zhang, L.; Han, D.; Cao, S.; Wang, M.; Lu, Y.; Ying, Y. Current situation and development trend of mechanical harvesting of safflower filaments. J. Agric. Mech. Res. 2014, 36, 265–268. [Google Scholar]
- McGuire, P.E.; Damania, A.B.; Qualset, C.O. Safflower in California. The Paulden F. Knowles Personal History of Plant Exploration and Research on Evolution, Genetics, and Breeding; University of California: Davis, CA, USA, 2012. [Google Scholar]
- Rahman, T.U.; Faraz, A.; Nawaz, T.; Saud, S.; Fahad, S.; Harrison, M.T. Towards Sustainable Solutions: Climate Change and Food Security in a Globalized World. Food Energy Secur. 2025, 14, e70126. [Google Scholar] [CrossRef]
- Rajvanshi, A.K. Development of Safflower Petal Collector. Nimbkar Agric. Res. Inst. 2005, 19, 6–10. [Google Scholar]
- Bertetto, A.M.; Ricciu, R.; Badas, M. A mechanical saffron flower harvesting system. Meccanica 2014, 49, 2785–2796. [Google Scholar] [CrossRef]
- Ichiura, S.; Yoshihiro, H.; Sato, K.; Onodera, R.; Katahira, M. Safflower Production Management ECOSYSTEM with AI Harvester; American Society of Agricultural and Biological Engineers: St. Joseph, MI, USA, 2020. [Google Scholar]
- Chen, B.; Yao, Q.; Ding, F.; Li, K.; Ma, B. Design and optimization of a negative-pressure rotary-cutting safflower filament harvesting device. Sci. Rep. 2025, 15, 9693. [Google Scholar] [CrossRef]
- Zhou, K.; Yan, D.; Li, Y.; Hou, J.; Zhang, Z.; Wu, Y.; Li, Y.; Jia, C.; Liang, X.; Li, X. A Brush Roller-Type Safflower Harvesting Machine and Its Usage Method. CN116616042A, 22 August 2023. [Google Scholar]
- Xu, Y.; Huang, B.; Wang, X.; Chen, J.; Cui, C.; Liu, Z.; Zhao, Y. A Highly Efficient Safflower Picking Platform. CN219373139U, 21 July 2023. [Google Scholar]
- Li, Y.; Yan, D.; Tan, C.; Shi, H.; Zhou, K.; Zhang, Z.; Jia, C. A Rubbing Type Safflower Flower Picking Machine and Its Picking Method. CN116897692A, 25 August 2023. [Google Scholar]
- He, Y. A Dry Safflower Picking Machine. CN113439540A, 28 September 2021. [Google Scholar]
- Zhao, F. A Synchronous-Clamping Brush-Roller Safflower Picking Device. CN220712110U, 26 August 2023. [Google Scholar]
- Uljayev, E.; Ravutov, S.T.; Ubaydullayev, U.M. Remote control device to control the contact uniformity of the brush strippers on the spindle’s surface of the cotton picking apparatus. IOP Conf. Ser. Earth Environ. Sci. 2020, 614, 012139. [Google Scholar] [CrossRef]
- Yan, D. Design and Experiment of a Brush-Roller Safflower Harvesting Device. Master’s Thesis, Shandong Agricultural University, Taian, China, 2024. [Google Scholar]
- Sun, C.; Ge, Y.; Zhang, H.; Zeng, H.; Zhang, L. Design and experiment of the vertical brush-roller picking device for dry-safflower harvesters. Trans. Chin. Soc. Agric. Eng. 2024, 40, 203–211. [Google Scholar]
- Xin, X. Design and Research of a Collection Device for Dried Safflower Harvesting Machine. Master’s Thesis, Shihezi University, Shihezi, China, 2024. [Google Scholar]
- Zhang, L.; Zeng, H.; Ge, Y.; He, B.; Ma, C.; Guo, Y. Design and experiment of an inclined brush-roller picking device for dried safflower. Trans. Chin. Soc. Agric. Eng. 2025, 41, 40–50. [Google Scholar]
- Dong, J.; Ge, Y.; Chu, S.; Zheng, Y.; Zeng, H.; Guo, D. Design and kinematic analysis of a feeding and spacing mechanism for safflower fruit balls. J. Shihezi Univ. 2024, 42, 22–29. [Google Scholar]
- Wang, X.; Xu, Y.; Zhou, J.; Chen, J. Recognition of safflower for picking in complex environments based on improved YOLOv7. Trans. Chin. Soc. Agric. Eng. 2023, 39, 169–176. [Google Scholar]
- Qiu, Z.; Guo, H.; Gao, G.; Wu, T.; Chen, H. Design and experiment of an end-effector for a safflower picking robot. J. Chin. Agric. Mech. 2025, 46, 271–276. [Google Scholar]
- Zhang, Z.; Zeng, C.; Xing, Z.; Xu, P.; Guo, Q.; Shi, R.; Wang, Y. Discrete element modeling and parameter calibration of safflower biomechanical properties. Int. J. Agric. Biol. Eng. 2024, 17, 37–46. [Google Scholar] [CrossRef]
- Chen, Y. Design and Research of Roller-Type Safflower Picking Performance Test Device. Master’s Thesis, Shihezi University, Shihezi, China, 2017. [Google Scholar]
- Sun, W.; Cao, W.; Gu, L.; Liu, J.; Wang, S. Design and experiment of comb-clamp picking mechanism based on mechanical properties of safflower. J. Agric. Mech. Res. 2018, 40, 46–51. [Google Scholar]
- Owen, J.P.; Cleary, W.P. Screw conveyor performance: Comparison of discrete element modelling with laboratory experiments. Prog. Comput. Fluid Dyn. 2010, 10, 327–333. [Google Scholar] [CrossRef]
- Yang, L.; Zhang, Y.; He, Z.; Li, S.; Pu, Y.; Chen, W.; Yang, S.; Yang, M. Design and experiment of the rotating shear picking device for green Sichuan peppers. Trans. Chin. Soc. Agric. Eng. 2024, 40, 72–83. [Google Scholar]
- Lyu, H.; Li, L.; Zhao, Q.; Wu, Z.; Guo, X. Design and experiment of a shear-type picking end-effector for camellia flowers. J. Agric. Mech. Res. 2024, 46, 134–139+144. [Google Scholar]
- Chen, Q.; Xiao, M.; Luo, C.; Gao, J.; Ou, Y.; Zeng, C.; Li, W.; Zhou, X. Design of elliptical claw shear-type picking end-effector for dragon fruit. J. Agric. Sci. Technol. 2025, 27, 113–121. [Google Scholar]
- Charles, K. Berkeley Physics Course, Vol. 1: Mechanics; China Machine Press: Beijing, China, 2015. [Google Scholar]
- Johnson, K.L. Contact Mechanics; Higher Education Press: Beijing, China, 1992. [Google Scholar]
- Johnson, K.L. Contact Mechanics; Cambridge University Press: Cambridge, UK, 1998. [Google Scholar]
- Feng, Z.; Wu, J.; Sun, H.; Li, F. Measurement and analysis of apple static compression contact stress distribution characteristics. Mod. Food Sci. Technol. 2014, 30, 76–81. [Google Scholar]
- Ji, W.; Tang, C.; Xu, B.; He, G. Contact force modeling and variable damping impedance control of apple harvesting robot. Comput. Electron. Agric. 2022, 198, 107026. [Google Scholar] [CrossRef]
- Liu, J.; Yang, K. Vibration-impact composite dynamics modeling of grape cluster systems for non-destructive harvesting and transport. J. Jiangsu Univ. 2022, 43, 178–183. [Google Scholar]
- Minglani, D.; Sharma, A.; Pandey, H.; Dayal, R.; Joshi, J.B. Analysis of flow behavior of size distributed spherical particles in screw feeder. Powder Technol. 2021, 382, 1–22. [Google Scholar] [CrossRef]
- Zhao, L. Design and Experimental Study on a Spiral Comb-Brush Apple Harvesting Machine. Master’s Thesis, Northwest A&F University, Xianyang, China, 2022. [Google Scholar]
- Jia, C. Research on Parameter Design and Optimization Method of Screw Conveyor. Master’s Thesis, Taiyuan University of Technology, Taiyuan, China, 2015. [Google Scholar]
- Liu, L.; Wu, T.; Kong, F.; Sun, Y.; Chen, C. Optimal design and experiment of picking mechanism for brush-roller castor harvester. Trans. Chin. Soc. Agric. Eng. 2021, 37, 19–29. [Google Scholar]
- Wang, L.; Zhang, H.; Liu, Q. Experiment on harvesting performance of rubber-finger drum cotton picking head. Trans. Chin. Soc. Agric. Eng. 2016, 32, 35–41. [Google Scholar]
- Chinese Academy of Agricultural Mechanization Sciences. Agricultural Machinery Design Handbook; China Machine Press: Beijing, China, 1990; Volume 2. [Google Scholar]
- T/SHZSAQS 00064-2022; Technical Regulations for Mechanized Harvesting of Safflower. National Library of Standards: Beijing, China, 2022. Available online: https://www.ndls.org.cn/standard/detail/f9880ccff8e9f9b72c2af94cd1f769df (accessed on 24 April 2022).














| Parameters | Mean | Max | Min |
|---|---|---|---|
| Number of fruit ball/pcs | 3.8 | 6 | 1 |
| Maximum fruit ball height/mm | 411.4 | 520 | 319 |
| Minimum fruit ball height/mm | 395.6 | 470 | 310 |
| Fruit ball diameter/mm | 19.75 | 25.21 | 14.53 |
| Diameter at the neck/mm | 11.21 | 17.16 | 6.54 |
| Distance from neck to stigma tip in desiccated safflower/mm | 13.54 | 16.42 | 9.88 |
| Parameter | Value |
|---|---|
| Travel speed/m/s | 0.4~0.6 |
| Harvesting efficiency/hm2/h | 0.053~0.075 |
| Roller brush rotational speed/r/min | 200~800 |
| Roller brush inclination angle/° | 10~30 |
| Post-to-Picking roller brushes spacing H/mm | 0~20 |
| Gap between two pairs of roller brushes L/mm | 0~10 |
| Electric motor power/kW | 3 |
| Fan power/kW | 2 |
| Factor Coding | Rotational Speed of the Picking Brush n (r/min) | Post-to-Picking Roller Brushes Spacing x (mm) | Bristle Diameter of the Picking Brush d (mm) |
|---|---|---|---|
| −1 | 200 | 0 | 0.1 |
| 0 | 300 | 5 | 0.2 |
| 1 | 400 | 10 | 0.3 |
| No. | x1 | x2 | x3 | Y1 | Y2 | Y3 |
|---|---|---|---|---|---|---|
| 1 | −1 | −1 | 0 | 89.41 | 12.36 | 2.06 |
| 2 | 1 | −1 | 0 | 93.22 | 15.2 | 2.53 |
| 3 | −1 | 1 | 0 | 83.47 | 6.6 | 1.1 |
| 4 | 1 | 1 | 0 | 84.58 | 11.53 | 1.92 |
| 5 | −1 | 0 | −1 | 85.52 | 5.25 | 0.88 |
| 6 | 1 | 0 | −1 | 88.23 | 10.1 | 1.68 |
| 7 | −1 | 0 | 1 | 92.34 | 12.24 | 2.04 |
| 8 | 1 | 0 | 1 | 94.32 | 15.79 | 2.33 |
| 9 | 0 | −1 | −1 | 94.45 | 9.12 | 1.52 |
| 10 | 0 | 1 | −1 | 84.21 | 6.8 | 1.13 |
| 11 | 0 | −1 | 1 | 96.04 | 18.25 | 3.04 |
| 12 | 0 | 1 | 1 | 93.21 | 10.25 | 1.71 |
| 13 | 0 | 0 | 0 | 96.51 | 8.64 | 1.44 |
| 14 | 0 | 0 | 0 | 96.5 | 8.5 | 1.42 |
| 15 | 0 | 0 | 0 | 95.8 | 9.38 | 1.56 |
| 16 | 0 | 0 | 0 | 96.25 | 9.34 | 1.56 |
| 17 | 0 | 0 | 0 | 95.32 | 9.64 | 1.61 |
| Indicator | Source of Variation | Sum of Squares (SS) | Degrees of Freedom (df) | Mean Square (MS) | F-Value | p-Value |
|---|---|---|---|---|---|---|
| Picking rate | Model | 363.04 | 9 | 40.34 | 140.44 | <0.0001 ** |
| x1 | 11.54 | 1 | 11.54 | 40.19 | 0.0004 ** | |
| x2 | 95.57 | 1 | 95.57 | 332.72 | <0.0001 ** | |
| x3 | 69.03 | 1 | 69.03 | 240.34 | <0.0001 ** | |
| x1x2 | 1.82 | 1 | 1.82 | 6.35 | 0.0399 * | |
| x2x3 | 13.73 | 1 | 13.73 | 47.79 | 0.0002 ** | |
| x12 | 111.26 | 1 | 111.26 | 387.37 | <0.0001 ** | |
| x22 | 44.9 | 1 | 44.9 | 156.32 | <0.0001 ** | |
| x32 | 2.92 | 1 | 2.92 | 10.17 | 0.0153 * | |
| Residual | 2.01 | 7 | 0.2872 | |||
| Lack of Fit | 0.9644 | 3 | 0.3215 | 1.23 | 0.48085 | |
| Pure Error | 1.05 | 4 | 0.2615 | |||
| Damage rate | Model | 185.91 | 9 | 20.66 | 125.84 | <0.0001 ** |
| x1 | 32.68 | 1 | 32.68 | 199.1 | <0.0001 ** | |
| x2 | 48.76 | 1 | 48.76 | 297.03 | <0.0001 ** | |
| x3 | 79.76 | 1 | 79.76 | 485.88 | <0.0001 ** | |
| x1x2 | 1.09 | 1 | 1.09 | 6.65 | 0.0365 * | |
| x2x3 | 8.07 | 1 | 8.07 | 49.13 | 0.0002 ** | |
| x12 | 4.48 | 1 | 4.48 | 27.28 | 0.0012 ** | |
| x22 | 7.02 | 1 | 7.02 | 42.77 | 0.0003 ** | |
| x32 | 2.15 | 1 | 2.15 | 13.07 | 0.0086 ** | |
| Residual | 1.15 | 7 | 0.1642 | |||
| Lack of Fit | 0.1499 | 3 | 0.05 | 0.2 | 0.8915 | |
| Pure Error | 0.9992 | 4 | 0.2498 | |||
| fruit injury rate | Model | 4.69 | 9 | 0.521 | 79.28 | <0.0001 ** |
| x1 | 0.7081 | 1 | 0.7081 | 107.74 | <0.0001 ** | |
| x2 | 1.35 | 1 | 1.35 | 205.87 | <0.0001 ** | |
| x3 | 1.91 | 1 | 1.91 | 290.77 | <0.0001 ** | |
| x1x3 | 0.065 | 1 | 0.065 | 9.89 | 0.0163 * | |
| x2x3 | 0.2209 | 1 | 0.2209 | 33.61 | 0.0007 ** | |
| x12 | 0.075 | 1 | 0.075 | 11.42 | 0.0118 * | |
| x22 | 0.2653 | 1 | 0.2653 | 40.36 | 0.0004 ** | |
| Residual | 0.046 | 7 | 0.0066 | |||
| Lack of Fit | 0.0183 | 3 | 0.0061 | 0.8827 | 0.5217 | |
| Pure Error | 0.0277 | 4 | 0.0069 |
Disclaimer/Publisher’s Note: The statements, opinions and data contained in all publications are solely those of the individual author(s) and contributor(s) and not of MDPI and/or the editor(s). MDPI and/or the editor(s) disclaim responsibility for any injury to people or property resulting from any ideas, methods, instructions or products referred to in the content. |
© 2025 by the authors. Licensee MDPI, Basel, Switzerland. This article is an open access article distributed under the terms and conditions of the Creative Commons Attribution (CC BY) license (https://creativecommons.org/licenses/by/4.0/).
Share and Cite
Ma, C.; Zeng, H.; Ge, Y.; Li, G.; He, B.; Guo, Y. Design and Experiment of a Roller-Brush Type Harvesting Device for Dry Safflower Based on Plant Clamping and Pose Adjustment. Machines 2025, 13, 1039. https://doi.org/10.3390/machines13111039
Ma C, Zeng H, Ge Y, Li G, He B, Guo Y. Design and Experiment of a Roller-Brush Type Harvesting Device for Dry Safflower Based on Plant Clamping and Pose Adjustment. Machines. 2025; 13(11):1039. https://doi.org/10.3390/machines13111039
Chicago/Turabian StyleMa, Chunjiao, Haifeng Zeng, Yun Ge, Guotao Li, Botao He, and Yangyang Guo. 2025. "Design and Experiment of a Roller-Brush Type Harvesting Device for Dry Safflower Based on Plant Clamping and Pose Adjustment" Machines 13, no. 11: 1039. https://doi.org/10.3390/machines13111039
APA StyleMa, C., Zeng, H., Ge, Y., Li, G., He, B., & Guo, Y. (2025). Design and Experiment of a Roller-Brush Type Harvesting Device for Dry Safflower Based on Plant Clamping and Pose Adjustment. Machines, 13(11), 1039. https://doi.org/10.3390/machines13111039
