GrImp: Granular Imputation of Missing Data for Interpretable Fuzzy Models
Abstract
1. Introduction
- trivial;
- manageable;
- need sophisticated methods;
- More than of missing values “severely impact any kind of interpretation” [2].
- Lowercase italics —scalars and set elements;
- Lowercase bold —vectors;
- Uppercase bold —matrices;
- Blackboard bold uppercase characters —sets;
- Uppercase italics —cardinality of sets.
2. Materials and Methods
| Algorithm 1 The GrImp procedure: granular imputation of missing values. |
| Require: – dataset with missing values Require: G – number of granules
|
Computational Complexity
- Marginalisation (line 3) requires scanning the entire dataset to separate complete and incomplete tuples. Its complexity is .
- Fuzzy granulation (line 5), performed using Fuzzy C-Means (FCM) clustering on the complete data , has complexity .
- The main loop (lines 7–17) iterates over all incomplete tuples , each processed independently:
- –
- For each tuple , the algorithm iterates over all granules .
- –
- For each granule, missing attribute values are substituted (line 7), which requires operations.
- –
- The membership degree (line 13) is computed as the product of Gaussian similarity values over all attributes, again .
- –
- The final aggregation (line 15) involves a weighted sum over G granules, each involving a vector of length A, which yields .
Overall, the per-tuple imputation cost is , and the full loop over (incomplete tuples) has complexity
3. Experiments
3.1. Datasets
- The ‘beijing’ dataset is a large-scale dataset of hourly air pollution measurements recorded by environmental monitoring stations in Beijing, China. It contains various pollutant indicators, including PM2.5 and NO2 levels [59].
- The ‘bias-min’ dataset contains numerical weather prediction meteorological forecast data and two in situ observations over Seoul, South Korea, in the summer [60].
- The ‘box’ is a classical dataset that describes the concentration of carbon dioxide in a gas furnace [61].
- The ‘carbon’ dataset contains initial and calculated atomic coordinates of carbon nanotubes [62].
- The ‘concrete’ dataset is a well-known regression dataset that describes the compressive strength of concrete samples based on their composition [63].
- The ‘CO2’ dataset contains real-world measurements of some air parameters in a pump deep shaft in a Polish coal mine [64].
- The ‘methane’ dataset contains real-world measurements of air parameters in a coal mine in Upper Silesia, Poland [65].
- The ‘wankara’ dataset contains the weather information of Ankara with the goal of predicting the mean temperature [68].
3.2. Methodology
3.2.1. Missing Data Simulation
3.2.2. Imputation Strategies
- 1.
- Mean imputation—missing values were replaced with the mean of the corresponding attribute, computed over the complete data.
- 2.
- Median imputation—similar to the mean strategy, but using the median instead. This guarantees that only existing values are used for imputation.
- 3.
- kNN-average—imputation was based on the average attribute values among the nearest neighbours of the incomplete instance, using Euclidean distance over the available attributes.
- 4.
- kNN-median—same as above, but using the median instead of the average across neighbours.
- 5.
- GrImp (granular imputation)—the method described in Section 2, based on fuzzy granules constructed from complete data and used to estimate missing values in an interpretable and structurally consistent manner.
3.2.3. Methodology of the Direct Evaluation
3.2.4. Methodology of the Indirect Evaluation
3.2.5. Reproducibility and Fairness
3.2.6. Statistical Verification
- Friedman test—a non-parametric test used to determine whether there are statistically significant differences between the methods across all datasets and missing ratios. The Friedman test ranks each method for each configuration and compares the average ranks.
- Nemenyi post hoc test—if the Friedman test revealed significant differences (significance level ), we applied Nemenyi post hoc pairwise comparisons to identify which pairs of methods differed significantly.
4. Results and Discussion
4.1. Results of the Direct Evaluation
4.2. Results of the Indirect Evaluation
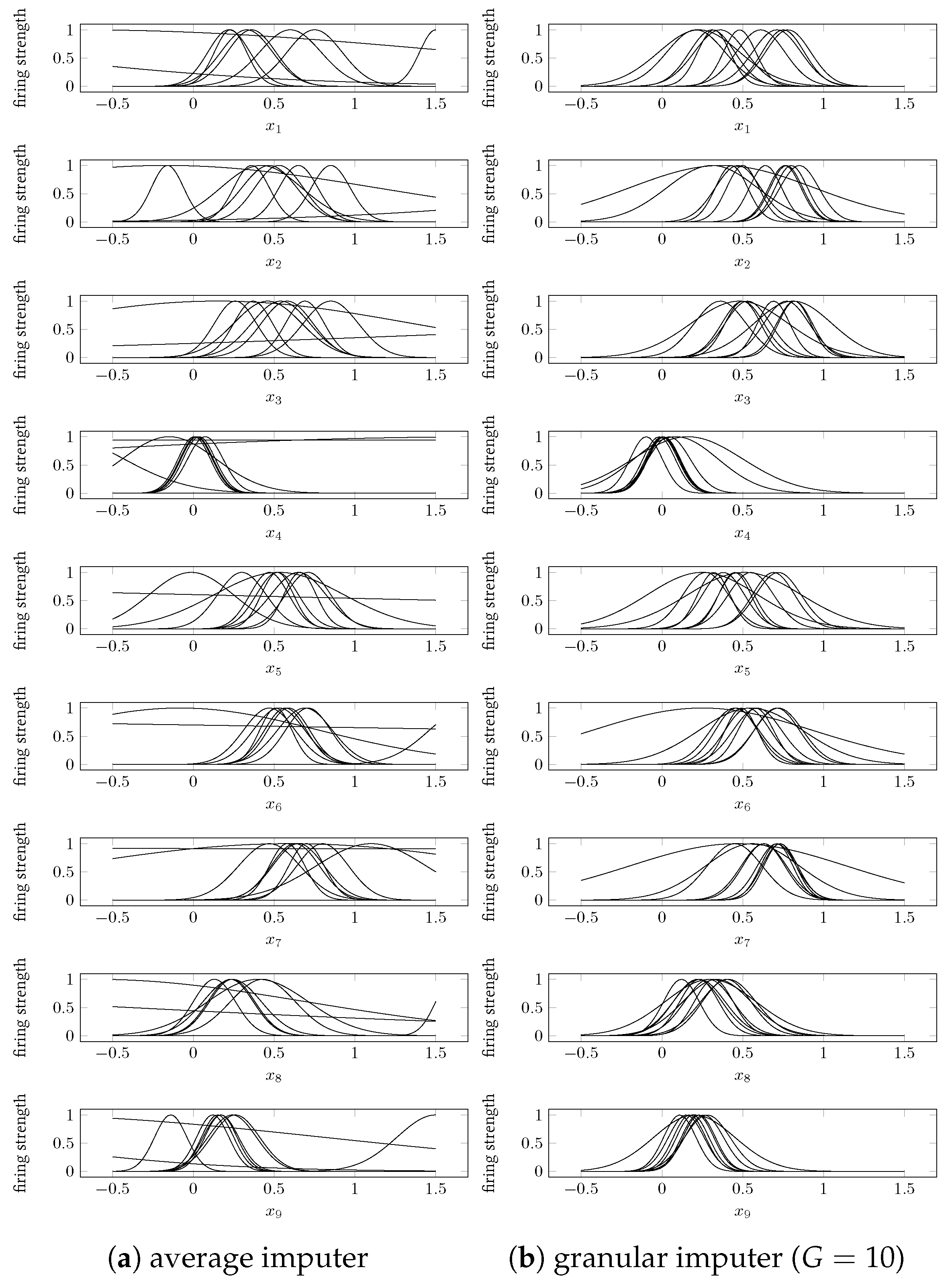
Interpretability of Fuzzy Models
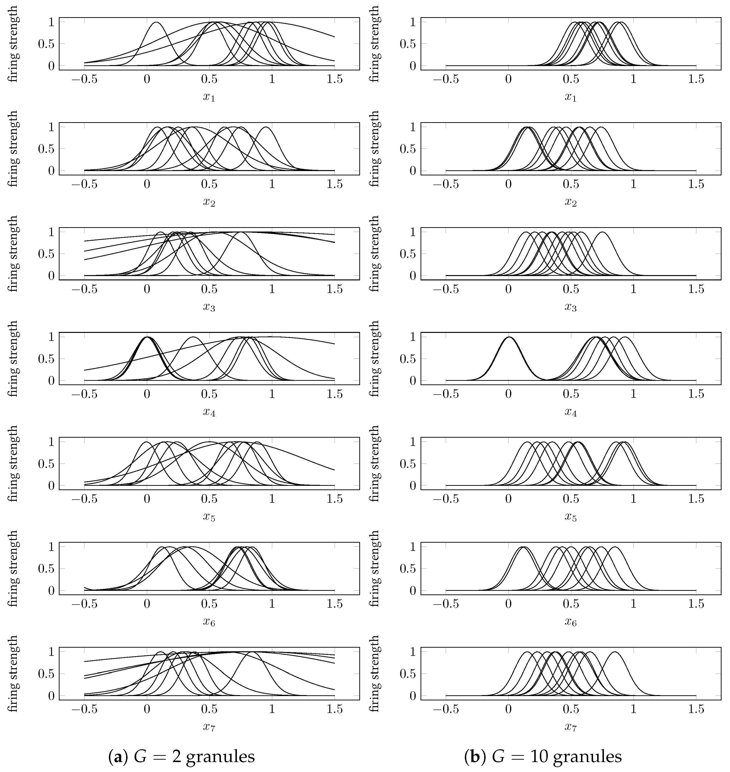
4.3. Number of Granules
4.4. Key Findings
- Dependence on dataset size. The optimal number of granules G is primarily determined by the number of data items in the dataset. Larger datasets consistently benefit from higher granularity, whereas smaller datasets require more conservative settings to avoid fragmentation effects.
- Overgranulation and the elbow effect. Excessively large values of G lead to decreased stability of the reconstructed values, manifesting as an elbow point beyond which variance increases and reconstruction quality deteriorates.
- Superior performance of GrImp. Across all tested missing-data ratios, GrImp outperformed classical statistical imputers (mean and median) as well as the kNN-based baselines, demonstrating consistently lower reconstruction error.
- Largest gains at moderate missing ratios. The most substantial improvements for GrImp over the reference methods were observed for the missing ratio in the range of 10–30%, although the method remained competitive outside this interval.
- Stability across repetitions. The method exhibited low sensitivity to random initialisation and sampling variation, producing stable results across repeated runs in both direct and indirect evaluation settings.
5. Conclusions
Author Contributions
Funding
Institutional Review Board Statement
Informed Consent Statement
Data Availability Statement
Conflicts of Interest
Abbreviations
| GrImp | Granular imputer |
| TSK | Takagi–Sugeno–Kang neuro-fuzzy system architecture |
| ANNBFIS | Artificial Neural Network-Based Fuzzy Inference System |
References
- Renz, C.; Rajapakse, J.C.; Razvi, K.; Liang, S.K.C. Ovarian cancer classification with missing data. In Proceedings of the 9th International Conference on Neural Information Processing, ICONIP’02, Singapore, 18–22 November 2002; Volume 2, pp. 809–813. [Google Scholar]
- Acuña, E.; Rodriguez, C. The treatment of missing values and its effect in the classifier accuracy. In Classification, Clustering and Data Mining Applications; Banks, D., House, L., McMorris, F.R., Arabie, P., Gaul, W., Eds.; Springer: Berlin/Heidelberg, Germany, 2004; pp. 639–648. [Google Scholar]
- Troyanskaya, O.; Cantor, M.; Sherlock, G.; Brown, P.; Hastie, T.; Tibshirani, R.; Botstein, D.; Altman, R.B. Missing value estimation methods for dna microarrays. Bioinformatics 2001, 17, 520–525. [Google Scholar] [CrossRef]
- Cooke, M.; Green, P.; Josifovski, L.; Vizinho, A. Robust automatic speech recognition with missing and unreliable acoustic data. Speech Commun. 2001, 34, 267–285. [Google Scholar] [CrossRef]
- Siminski, K. Imputation of missing values by inversion of fuzzy neuro-system. In Man-Machine Interactions 4; Springer International Publishing: Cham, Switzerland, 2016; pp. 573–582. [Google Scholar]
- Grzymała-Busse, J. A rough set approach to data with missing attribute values. In Rough Sets and Knowledge Technology; Lecture Notes in Computer Science; Wang, G., Peters, J., Skowron, A., Yao, Y., Eds.; Springer: Berlin/Heidelberg, Germany, 2006; Volume 4062, pp. 58–67. [Google Scholar]
- Nowicki, R. Rough-neuro-fuzzy system with MICOG defuzzification. In Proceedings of the 2006 IEEE International Conference on Fuzzy Systems, Vancouver, QC, Canada, 16–21 July 2006; pp. 1958–1965. [Google Scholar]
- Siminski, K. Clustering with missing values. Fundam. Informaticae 2013, 123, 331–350. [Google Scholar] [CrossRef]
- Siminski, K. Rough subspace neuro-fuzzy system. Fuzzy Sets Syst. 2015, 269, 30–46. [Google Scholar] [CrossRef]
- Himmelspach, L.; Conrad, S. Fuzzy clustering of incomplete data based on cluster dispersion. In Computational Intelligence for Knowledge-Based Systems Design; Lecture Notes in Computer Science; Hüllermeier, E., Kruse, R., Hoffmann, F., Eds.; Springer: Berlin/Heidelberg, Germany, 2010; Volume 6178, pp. 59–68. [Google Scholar]
- Batista, G.E.; Monard, M.C. A study of k-nearest neighbour as an imputation method. Front. Artif. Intell. Appl. 2002, 87, 251–260. [Google Scholar]
- Gupta, A.; Lam, M.S. Estimating missing values using neural networks. J. Oper. Res. Soc. 1996, 47, 229–238. [Google Scholar]
- Siminski, K. Ridders algorithm in approximate inversion of fuzzy model with parameterized consequences. Expert Syst. Appl. 2016, 51, 276–285. [Google Scholar] [CrossRef]
- Yoon, J.; Jordon, J.; van der Schaar, M. GAIN: Missing data imputation using generative adversarial nets. In Proceedings of the 35 International Conference on Machine Learning, PMLR 80, Stockholm, Sweden, 10–15 July 2018; pp. 1–10. [Google Scholar]
- McCoy, J.T.; Kroon, S.; Auret, L. Variational autoencoders for missing data imputation with application to a simulated milling circuit. In Proceedings of the 5th IFAC Workshop on Mining, Mineral and Metal Processing, Shanghai, China, 23–25 August 2018; pp. 141–146. [Google Scholar]
- Qiu, Y.L.; Zheng, H.; Gevaert, O. Genomic data imputation with variational auto-encoders. GigaScience 2020, 9, 1–12. [Google Scholar] [CrossRef]
- Matyja, A.; Siminski, K. Comparison of algorithms for clustering incomplete data. Found. Comput. Decis. Sci. 2014, 39, 107–127. [Google Scholar] [CrossRef]
- Zadeh, L.A. Fuzzy sets and information granularity. In Advances in Fuzzy Set Theory and Applications; Gupta, N., Ragade, R., Yager, R., Eds.; North-Holland Publishing Co.: Amsterdam, The Netherlands, 1979; pp. 3–18. [Google Scholar]
- Yao, Y. The art of granular computing. In Rough Sets and Intelligent Systems Paradigms; Kryszkiewicz, M., Peters, J.F., Rybinski, H., Skowron, A., Eds.; Springer: Berlin/Heidelberg, Germany, 2007; pp. 101–112. [Google Scholar]
- Yao, Y. A triarchic theory of granular computing. Granul. Comput. 2016, 1, 145–157. [Google Scholar] [CrossRef]
- Pedrycz, W.; Succi, G.; Sillitti, A.; Iljazi, J. Data description: A general framework of information granules. Knowl.-Based Syst. 2015, 80, 98–108. [Google Scholar] [CrossRef]
- Piegat, A.; Pluciński, M. Computing with words with the use of inverse rdm models of membership functions. Int. J. Appl. Math. Comput. Sci. 2015, 25, 675–688. [Google Scholar] [CrossRef]
- Zadeh, L.A. From computing with numbers to computing with words–From manipulation of measurements to manipulation of perceptions. Int. J. Appl. Math. Comput. Sci. 2002, 12, 307–324. [Google Scholar]
- Ciucci, D. Orthopairs and granular computing. Granul. Comput. 2016, 1, 159–170. [Google Scholar] [CrossRef]
- Pedrycz, W. Granular Computing: Analysis and Design of Intelligent Systems; CRC Press: Boca Raton, FL, USA, 2013. [Google Scholar]
- Shifei, D.; Li, X.; Hong, Z.; Liwen, Z. Research and progress of cluster algorithms based on granular computing. Int. J. Digit. Content Technol. Its Appl. 2010, 4, 96–104. [Google Scholar]
- Siminski, K. An outlier-robust neuro-fuzzy system for classification and regression. Int. J. Appl. Math. Comput. Sci. 2021, 31, 303–319. [Google Scholar] [CrossRef]
- Siminski, K. Prototype based granular neuro-fuzzy system for regression task. Fuzzy Sets Syst. 2022, 449, 56–78. [Google Scholar] [CrossRef]
- Suchy, D.; Siminski, K. Grdbscan: A granular density-based clustering algorithm. Int. J. Appl. Math. Comput. Sci. 2023, 33, 297–312. [Google Scholar] [CrossRef]
- Yao, Y.; Zhong, N. Granular computing. In Wiley Encyclopedia of Computer Science and Engineering; Wah, B.W., Ed.; Wiley: Hoboken, NJ, USA, 2007. [Google Scholar]
- Yao, Y. Granular computing: Past, present and future. In Proceedings of the 2008 IEEE International Conference on Granular Computing, GrC 2008, Hangzhou, China, 26–28 August 2008; pp. 80–85. [Google Scholar]
- Yao, Y. Three-way decision and granular computing. Int. J. Approx. Reason. 2018, 103, 107–123. [Google Scholar] [CrossRef]
- Pieta, P.; Szmuc, T. Applications of rough sets in big data analysis: An overview. Int. J. Appl. Math. Comput. Sci. 2021, 31, 659–683. [Google Scholar] [CrossRef]
- Skowron, A.; Jankowski, A.; Dutta, S. Interactive granular computing. Granul. Comput. 2016, 1, 95–113. [Google Scholar] [CrossRef]
- Pedrycz, A.; Hirota, K.; Pedrycz, W.; Dong, F. Granular representation and granular computing with fuzzy sets. Fuzzy Sets Syst. 2012, 203, 17–32. [Google Scholar] [CrossRef]
- Xia, S.; Chen, L.; Liu, S.; Yang, H. A new method for decision making problems with redundant and incomplete information based on incomplete soft sets: From crisp to fuzzy. Int. J. Appl. Math. Comput. Sci. 2022, 32, 657–669. [Google Scholar] [CrossRef]
- Siminski, K. GrNFS: Granular neuro-fuzzy system for regression in large volume data. Int. J. Appl. Math. Comput. Sci. 2021, 31, 445–459. [Google Scholar] [CrossRef]
- Siminski, K. 3WDNFS—Three-way decision neuro-fuzzy system for classification. Fuzzy Sets Syst. 2023, 466, 108432. [Google Scholar] [CrossRef]
- Yao, Y. Three-way decision: An interpretation of rules in rough set theory. In Rough Sets and Knowledge Technology; Wen, P., Li, Y., Polkowski, L., Yao, Y., Tsumoto, S., Wang, G., Eds.; Springer: Berlin/Heidelberg, Germany, 2009; pp. 642–649. [Google Scholar]
- Yao, Y. The superiority of three-way decisions in probabilistic rough set models. Inf. Sci. 2011, 181, 1080–1096. [Google Scholar] [CrossRef]
- Cpalka, K.; Lapa, K.; Przybyl, A.; Zalasinski, M. A new method for designing neuro-fuzzy systems for nonlinear modelling with interpretability aspects. Neurocomputing 2014, 135, 203–217. [Google Scholar] [CrossRef]
- Pancho, D.P.; Alonso, J.M.; Alcalá-Fdez, J.; Magdalena, L. Interpretability analysis of fuzzy association rules supported by fingrams. In Proceedings of the 8th Conference of the European Society for Fuzzy Logic and Technology (EUSFLAT 2013), Milan, Italy, 11–13 September 2013; pp. 469–474. [Google Scholar]
- Siminski, K.; Wnuk, K. Automatic extraction of linguistic description from fuzzy rule base. arXiv 2024, arXiv:2404.03058. [Google Scholar] [CrossRef]
- Yousefi, J. A modified nefclass classifier with enhanced accuracy-interpretability trade-off for datasets with skewed feature values. Fuzzy Sets Syst. 2021, 413, 99–113. [Google Scholar] [CrossRef]
- Leski, J.M. Fuzzy (c+p)-means clustering and its application to a fuzzy rule-based classifier: Towards good generalization and good interpretability. IEEE Trans. Fuzzy Syst. 2015, 23, 802–812. [Google Scholar] [CrossRef]
- Lapa, K.; Cpalka, K.; Rutkowski, L. New Aspects of Interpretability of Fuzzy Systems for Nonlinear Modeling; Springer International Publishing: Cham, Switzerland, 2018; pp. 225–264. [Google Scholar]
- Magdalena, L. Fuzzy Systems Interpretability: What, Why and How; Springer International Publishing: Cham, Switzerland, 2021; pp. 111–122. [Google Scholar]
- Pan, L.; Gao, C.; Zhou, J.; Chen, G.; Yue, X. Three-way decision-based Takagi-Sugeno-Kang fuzzy classifier for partially labeled data. Appl. Soft Comput. 2024, 164, 112010. [Google Scholar] [CrossRef]
- Ribeiro, M.T.; Singh, S.; Guestrin, C. “Why should I trust you?”: Explaining the predictions of any classifier. In Proceedings of the 22nd ACM SIGKDD International Conference on Knowledge Discovery and Data Mining, KDD ’16, San Francisco, CA, USA, 13–17 August 2016; pp. 1135–1144. [Google Scholar]
- Slowik, A.; Cpalka, K.; Lapa, K. Multipopulation nature-inspired algorithm (MNIA) for the designing of interpretable fuzzy systems. IEEE Trans. Fuzzy Syst. 2020, 28, 1125–1139. [Google Scholar] [CrossRef]
- de Oliveira, J.V. Semantic constraints for membership function optimization. IEEE Trans. Syst. Man Cybern.-Part A Syst. Humans 1999, 29, 128–138. [Google Scholar] [CrossRef]
- Gacto, M.J.; Alcala, R.; Herrera, F. Interpretability of linguistic fuzzy rule-based systems: An overview of interpretability measures. Inf. Sci. 2011, 181, 4340–4360. [Google Scholar] [CrossRef]
- Mencar, C. Interpretability of fuzzy systems. In Fuzzy Logic and Applications; Springer International Publishing: Cham, Switzerland, 2013; pp. 22–35. [Google Scholar]
- Saaty, T.L.; Ozdemir, M.S. Why the magic number seven plus or minus two. Math. Comput. Model. 2003, 38, 233–244. [Google Scholar] [CrossRef]
- Zhou, S.-M.; Gan, J.Q. Low-level interpretability and high-level interpretability: A unified view of data-driven interpretable fuzzy system modelling. Fuzzy Sets Syst. 2008, 159, 3091–3131. [Google Scholar] [CrossRef]
- Siminski, K. FuBiNFS—Fuzzy biclustering neuro-fuzzy system. Fuzzy Sets Syst. 2022, 438, 84–106. [Google Scholar] [CrossRef]
- Chen, M.; Zhang, L.; Lu, W.; Liu, X.; Pedrycz, W. Imputation for incomplete data based on granulated single output neural network group. Expert Syst. Appl. 2026, 297, 129321. [Google Scholar] [CrossRef]
- Hu, X.; Pedrycz, W.; Wu, K.; Shen, Y. Information granule-based classifier: A development of granular imputation of missing data. Knowl.-Based Syst. 2021, 214, 106737. [Google Scholar]
- Liang, X.; Zou, T.; Guo, B.; Li, S.; Zhang, H.; Zhang, S.; Huang, H.; Chen, S.X. Assessing Beijing’s PM2.5 pollution: Severity, weather impact, apec and winter heating. Proc. R. Soc. A 2015, 471, 257–276. [Google Scholar] [CrossRef]
- Cho, D.; Yoo, C.; Im, J.; Cha, D.-H. Comparative assessment of various machine learning-based bias correction methods for numerical weather prediction model forecasts of extreme air temperatures in urban areas. Earth Space Sci. 2020, 7, e2019EA000740. [Google Scholar] [CrossRef]
- Box, G.E.P.; Jenkins, G. Time Series Analysis, Forecasting and Control; Holden-Day, Incorporated: Oakland, CA, USA, 1970. [Google Scholar]
- Acı, M.; Avcı, M. Artificial neural network approach for atomic coordinate prediction of carbon nanotubes. Appl. Phys. A 2016, 122, 631. [Google Scholar] [CrossRef]
- Yeh, I.C. Modeling of strength of high-performance concrete using artificial neural networks. Cem. Concr. Res. 1998, 28, 1797–1808. [Google Scholar] [CrossRef]
- Sikora, M.; Krzykawski, D. Application of data exploration methods in analysis of carbon dioxide emission in hard-coal mines dewater pump stations. Mech. Autom. Gor. 2005, 413, 57–67. [Google Scholar]
- Sikora, M.; Sikora, B. Application of machine learning for prediction a methane concentration in a coal-mine. Arch. Min. Sci. 2006, 51, 475–492. [Google Scholar]
- Kaya, H.; Tüfekci, P.; Gürgen, S.F. Local and global learning methods for predicting power of a combined gas and steam turbine. In Proceedings of the International Conference on Emerging Trends in Computer and Electronics Engineering (ICETCEE 2012), Dubai, United Arab Emirates, 24–25 March 2012; pp. 13–18. [Google Scholar]
- Tüfekci, P. Prediction of full load electrical power output of a base load operated combined cycle power plant using machine learning methods. Int. J. Electr. Power Energy Syst. 2014, 60, 126–140. [Google Scholar] [CrossRef]
- Alcalá-Fdez, J.; Fernandez, A.; Luengo, J.; Derrac, J.; García, S.; Sánchez, L.; Herrera, F. KEEL data-mining software tool: Data set repository, integration of algorithms and experimental analysis framework. J. Mult.-Valued Log. Soft Comput. 2011, 17, 255–287. [Google Scholar]
- Sugeno, M.; Kang, G.T. Structure identification of fuzzy model. Fuzzy Sets Syst. 1988, 28, 15–33. [Google Scholar] [CrossRef]
- Takagi, T.; Sugeno, M. Fuzzy identification of systems and its application to modeling and control. IEEE Trans. Syst. Man Cybern. 1985, 15, 116–132. [Google Scholar] [CrossRef]
- Czogala, E.; Leski, J. Fuzzy and Neuro-Fuzzy Intelligent Systems; Series Studies in Fuzziness and Soft Computing; Physica-Verlag, A Springer-Verlag Company: Heidelberg, Germany, 2000. [Google Scholar]







| Dataset Name | Number of Data Items | Number of Attributes |
|---|---|---|
| ‘beijing’ | 41,757 | 6 |
| ‘bias-min’ | 7590 | 25 |
| ‘box’ | 290 | 11 |
| ‘carbon’ | 10,720 | 6 |
| ‘concrete’ | 1030 | 9 |
| ‘CO2’ | 2653 | 13 |
| ‘methane’ | 1022 | 8 |
| ‘power’ | 9568 | 5 |
| ‘wankara’ | 1608 | 10 |
| Method | Parameters | F | |
|---|---|---|---|
| GrImp | 21.217 | 0.00008468 | |
| GrImp | 21.230 | 0.00008473 | |
| GrImp | 21.240 | 0.00008477 | |
| kNN-average | 23.053 | 0.00009201 | |
| kNN-median | 24.149 | 0.00009639 | |
| average | 29.680 | 0.00011846 | |
| median | 29.808 | 0.00011897 |
| Method | Parameters | F | |
|---|---|---|---|
| GrImp | 26.687 | 0.00041491 | |
| GrImp | 26.693 | 0.00041501 | |
| GrImp | 26.702 | 0.00041515 | |
| GrImp | 26.710 | 0.00041528 | |
| GrImp | 26.714 | 0.00041533 | |
| GrImp | 26.761 | 0.00041606 | |
| kNN-average | 27.035 | 0.00042032 | |
| average | 30.665 | 0.00047677 | |
| kNN-median | 30.793 | 0.00047875 | |
| median | 30.829 | 0.00047931 |
| Method | Parameters | F | |
|---|---|---|---|
| GrImp | 12.870 | 0.00026904 | |
| GrImp | 12.906 | 0.00026978 | |
| GrImp | 12.948 | 0.00027066 | |
| GrImp | 13.133 | 0.00027452 | |
| GrImp | 13.544 | 0.00028312 | |
| kNN-average | 14.081 | 0.00029434 | |
| GrImp | 14.165 | 0.00029610 | |
| kNN-median | 14.675 | 0.00030676 | |
| GrImp | 15.013 | 0.00031383 | |
| average | 21.071 | 0.00044045 | |
| median | 21.241 | 0.00044400 |
| Method | Parameters | Time [s] |
|---|---|---|
| average | 0.0738 | |
| median | 0.0721 | |
| GrImp | 0.1268 | |
| GrImp | 0.1558 | |
| GrImp | 0.2263 | |
| GrImp | 0.3918 | |
| GrImp | 0.7575 | |
| GrImp | 0.8821 | |
| GrImp | 1.0468 | |
| kNN-average | 67.6906 | |
| kNN-median | 67.4996 |
Disclaimer/Publisher’s Note: The statements, opinions and data contained in all publications are solely those of the individual author(s) and contributor(s) and not of MDPI and/or the editor(s). MDPI and/or the editor(s) disclaim responsibility for any injury to people or property resulting from any ideas, methods, instructions or products referred to in the content. |
© 2025 by the authors. Licensee MDPI, Basel, Switzerland. This article is an open access article distributed under the terms and conditions of the Creative Commons Attribution (CC BY) license (https://creativecommons.org/licenses/by/4.0/).
Share and Cite
Siminski, K.; Wnuk, K. GrImp: Granular Imputation of Missing Data for Interpretable Fuzzy Models. Axioms 2025, 14, 887. https://doi.org/10.3390/axioms14120887
Siminski K, Wnuk K. GrImp: Granular Imputation of Missing Data for Interpretable Fuzzy Models. Axioms. 2025; 14(12):887. https://doi.org/10.3390/axioms14120887
Chicago/Turabian StyleSiminski, Krzysztof, and Konrad Wnuk. 2025. "GrImp: Granular Imputation of Missing Data for Interpretable Fuzzy Models" Axioms 14, no. 12: 887. https://doi.org/10.3390/axioms14120887
APA StyleSiminski, K., & Wnuk, K. (2025). GrImp: Granular Imputation of Missing Data for Interpretable Fuzzy Models. Axioms, 14(12), 887. https://doi.org/10.3390/axioms14120887

