Next Article in Journal
GrImp: Granular Imputation of Missing Data for Interpretable Fuzzy Models
Previous Article in Journal
Synchronization of Networked Reaction-Diffusion Nonlinear Systems via Hybrid Control
 
 
Font Type:
Arial Georgia Verdana
Font Size:
Aa Aa Aa
Line Spacing:
Column Width:
Background:
Article

New Approach for Closure Spaces on Graphs Based on Relations and Graph Ideals

by
Rehab Alharbi
1,*,
Salah El Deen Abbas
2,
Hossam Mahmoud Omar Khiamy
2 and
Ismail Ibedou
3,*
1
Department of Mathematics, College of Science, Jazan University, Jazan 45142, Saudi Arabia
2
Mathematics Department, Faculty of Science, Sohag University, Sohag 82524, Egypt
3
Department of Mathematics, Faculty of Science, Benha University, Benha 13518, Egypt
*
Authors to whom correspondence should be addressed.
Axioms 2025, 14(12), 886; https://doi.org/10.3390/axioms14120886
Submission received: 4 October 2025 / Revised: 12 November 2025 / Accepted: 27 November 2025 / Published: 29 November 2025
(This article belongs to the Section Geometry and Topology)

Abstract

The main aim of this paper is to combine the connections between graph theory and rough set theory. We created graph ideal ASs by proposing the interior and closure operators, utilizing the concept of graph ideals. With the help of various graphical examples, we applied some topological concepts to the induced graph ideal ASs, including the subspace, continuous functions, lower separation axioms, and connectedness. However, simple directed graphs with or without loops are the ones that are discussed throughout the study. The obtained results are valid for any type of graph: multi-graphs or simple graphs, connected or disconnected graphs, with loops or without loops, and undirected or directed graphs.
MSC:
54H99; 54A05; 05C90; 54J05; 03E72; 05C99

1. Introduction

For the first time, in 1982, Pawlak introduced the theory of rough sets [1,2]. The idea of rough set theory is a generalization of crisp set theory. For the study of intelligent systems characterized by inadequate and incomplete information, this theory is an extension of set theory [3,4,5]. It is an effective tool for dealing with vagueness and incomplete information. In addition, rough set theory is an important mathematical approach to imprecise knowledge. Rough set theory uses a crisp set’s boundary region to represent ambiguity. A set is crisp if its boundary region is empty; otherwise, it is rough. The lower approximation and upper approximation are two approximations that are used in rough set theory to represent a subset of a universe. In rough set theory, equivalence classes are the fundamental building blocks. Classical sets can be uniquely characterized by their elements, which indicate whether or not an element is a part of the set. But in rough sets, we have some additional information related to the elements. As a result, the concept of a rough set is clear and accurate. In rough set theory, we keep elements that have the same information in one equivalence class, and with the help of these equivalence classes, we evaluate the lower and upper approximations of a set, which leads to uncertainty. The main idea of rough sets is truly based on the classification of uncertain information. As a result, rough set theory deals with imprecise data. In many cases, the equivalence relation provided in the universe is insufficient for introducing upper and lower approximation operators. Since then, the theory, as well as the extensions of the results and applications, have piqued the interest of several mathematicians, logicians, and researchers. These applications may be found in many different domains, including expert systems, data mining, and machine learning [6,7,8,9]. This theory relies on a certain topological configuration. Because it bridges the gap between topological researchers and those who pay attention to the application of topology theory, the concept of a topological rough set is an extremely significant generalization of a rough set.
The graph theory as introduced in [10] and its general topology are two important branches of mathematics that are closely related. The relationship between graph theory and general topology includes the construction of topologies on the set of vertices and edges of a graph. Several papers employed directed and undirected graphs to construct different topologies on graphs (see [11,12,13,14,15]). Most of these constructions were found in the theory of simple undirected graphs: that is, the sets of vertices in such graphs. A relation on a graph serves as a bridge between graph theory and topological structures.This link gives the graph additional kinds of topological structures. The article in [16] states that the labeled transitive directed graph with n points and the labeled topologies on n points correspond one to one. In 2010, the paper in [17] investigated the connection between directed graphs and finite topologies. Furthermore, the authors of [18,19] constructed graph grills and examined the properties of the topologies that were produced on a vertex set of graphs. Generalizations of rough sets via ideals and bi ideals are introduced in refs. [20,21]. In ref. [22], it is introduced a new approach for closure spaces by relations. Some basic definitions and introductions to graph theory and rough set theory may be found in sources [10,13,16,23,24]. A topology on the vertices of an undirected graph was proposed by the authors of [25] in 2013. Recently, many communications between rough set theory and graph theory were proposed, which are useful in physics and medicine. In 2018, the authors of [26] linked a vertex set of simple graphs without isolated vertices to an incidence topology. The authors of [27] in 2018 presented a novel topology on the set of vertices of a simple graph Ω = ( C ( Ω ) , M ( Ω ) ) without isolated vertices, constructed utilizing incidence topology. The family of end sets that solely include each edge’s end points creates a sub-basis for this topology. The graph Ω = ( C ( Ω ) , M ( Ω ) ) was applied by the authors of [28] to induce two topology constructions on the set of its edges M ( Ω ) , which are represented by compatible edge topology and incompatible edge topology. In [12], it was established a relation on graphs in order to generate new forms of topological structures. Similarly, in [13], the graph ideal was created and studied in order to use graph ideals to create novel topologies on the graph’s vertex set. In [29], an example of a real-life application using graphical topological spaces. Topology has been enriched with a variety of newly developed topics of study, and many new concepts have been introduced. To find valid properties in these topological problems, topologists have created novel structures such as closure space, proximity, and ideals [30].
In this study, we provide new topological findings of the induced topologies on the vertex set of a general graph, continuing the evolution of the usage of general relations. With regard to the graph’s ideal closure spaces based on minimal neighborhoods, this paper is organized as follows: In Section 2, we give a review of closure spaces on graphs with all the definitions related to this work. According to these criteria, Section 3 examines graph accumulation points, graph dense sets, and graph nowhere-dense subgraphs. We provide several interesting graphical examples. Graph subspaces of such spaces under a graph sub ideal, defined under the specified graph ideal, are proposed and studied in Section 4. In Section 5, the graph separation axioms pertaining to these graph IASs are restated using relational terms. In Section 6, we rephrase and examine connectedness in these graph IASs. Lastly, a few observations and a conclusion are provided.

2. Preliminaries

Throughout the current research, simple undirected or directed graphs with or without loops are covered. A graph is indicated by the symbol Ω . The term “simple directed or undirected graph with or without loops” will be shortened to “graph”. More broadly, any subgraph of the graph Ω that has the vertex set C ( ) is denoted by the notation C ( ) in certain places.
C ( Ω ) is a nonempty finite or infinite set, and M ( Ω ) is a set of unordered pairs of members of C ( Ω ) . A graph Ω is represented as the pair ( C ( Ω ) , M ( Ω ) . The sets C ( Ω ) = C and M ( Ω ) = M are the vertex and edge sets of Ω . The empty graph is represented by the pair Ω = ( , ) . A graph Ω with no loops or numerous edges is called a simple graph. The neighbors of (in Ω ) are the nodes that are next to for every node C ( Ω ) . If Ω = ( C , M ) and Ω = ( C , M ) , then Ω Ω = ( C C , M M ) and Ω Ω = ( C C , M M ) . If Ω Ω = ( , ) , then Ω and Ω are disjoint. In the case of C C and M M , we have Ω as a subgraph of Ω , and Ω is a supergraph of Ω , written as Ω Ω .
A relation  Ξ on a graph Ω from the vertex set C ( Ω ) to C ( Ω ) (a relation on the vertex set C ( Ω ) ) is a subset of C ( Ω ) × C ( Ω ) . For two vertices 1 and 2 , the formula ( 1 , 2 ) Ξ is abbreviated as 1 Ξ 2 and means that the vertex 1 is adjacent to the vertex 2 , and the vertex 2 is said to be adjacent to the vertex 1 . If the graph Ω is undirected, then the relation can be written as Ξ = { ( 1 , 2 ) = ( 2 , 1 ) : 1 , 2 C ( Ω ) } . Also, the afterset of 1 C ( Ω ) is 1 Ξ = { 2 : 1 Ξ 2 } and the foreset of 1 C ( Ω ) is Ξ 1 = { 2 : 2 Ξ 1 } . In this paper, ( Ω , Ξ ) refers to a closure space or graph approximation space (graph AS, for short) on graph Ω . Also, the triple ( Ω , Ξ , L ) refers to a graph ideal approximation space (graph IAS, for short) on a graph Ω .
Definition 1 
([23]). Assume that Ξ is a binary relation on a graph Ω. The intersection of all aftersets containing the vertex ⅁ is the set Ξ , and it is given by
Ξ = Ξ ( Ξ ) if : Ξ , otherwise .
Also, Ξ is the intersection of all foresets containing the vertex ⅁, i.e.,
Ξ = Ξ ( Ξ ) if : Ξ , otherwise .
Definition 2 
([23]). Assume that Ξ is a binary relation on a graph Ω. For any subgraph ℶ of Ω, a pair of lower and upper approximations, Ξ ( ) and Ξ ( ) , are defined by the following:
Ξ ( C ( ) ) = { C ( ) : Ξ C ( ) } ,
Ξ ( C ( ) ) = C ( ) { C ( Ω ) : Ξ C ( ) } .
Theorem 1 
([23]). The following properties are valid for the upper approximation defined by (2).
(1) 
Ξ ( ) = ,
(2) 
Ξ ( C ( ) ) C ( ) Ξ ( C ( ) ) for C ( ) C ( Ω ) ,
(3) 
Ξ ( C ( ) C ( ) ) = Ξ ( C ( ) ) Ξ ( C ( ) ) C ( ) , C ( ) C ( Ω ) ,
(4) 
Ξ ( Ξ ( C ( ) ) ) = Ξ ( C ( ) ) C ( ) C ( Ω ) ,
(5) 
Ξ ( C ( ) ) = ( Ξ ( [ C ( ) ] c ) ) c C ( ) C ( Ω ) , where [ C ( ) ] c denotes the usual complement of the vertex set C ( ) and equals C ( Ω ) C ( ) .
The operator Ξ ( C ( ) ) on P ( C ( Ω ) ) is said to be a closure operator, and ( Ω , Ξ ) is called a closure space. Further, it generates a topology on C ( Ω ) denoted by τ Ξ and defined by
τ Ξ = { C ( ) C ( Ω ) : Ξ ( [ C ( ) ] c ) = [ C ( ) ] c } .
Definition 3 
([13]). Consider a graph Ω = ( C ( Ω ) , M ( Ω ) ) . The collection is L = Ω : Ω = C , M , where C C , M M is said to be a graph ideal on a graph topological space C ( Ω ) , τ if it satisfies the following three conditions:
(1) 
( , ) L .
(2) 
If Ω is a subgraph of Ω and the graph Ω L , then Ω L .
(3) 
If Ω and Ω L , then Ω Ω L .
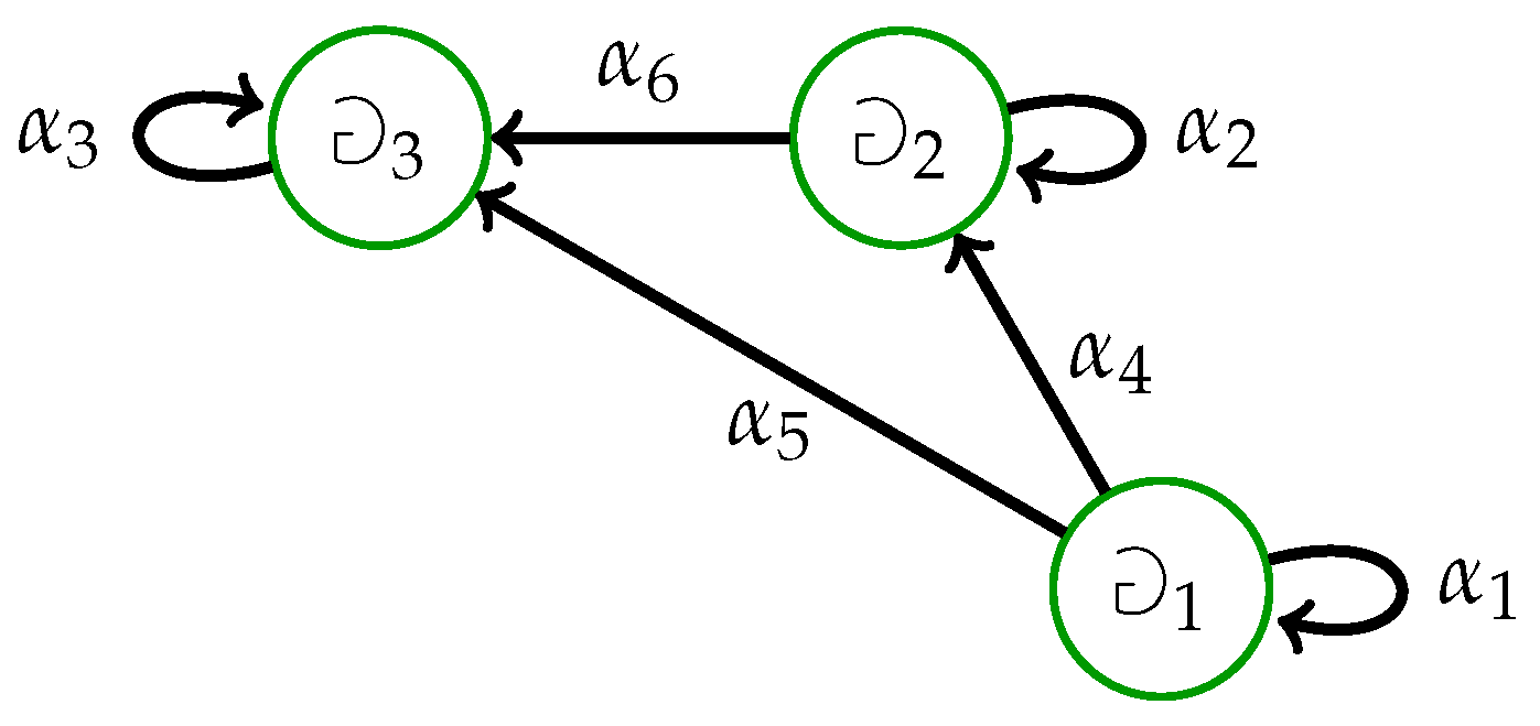
Example 1. 
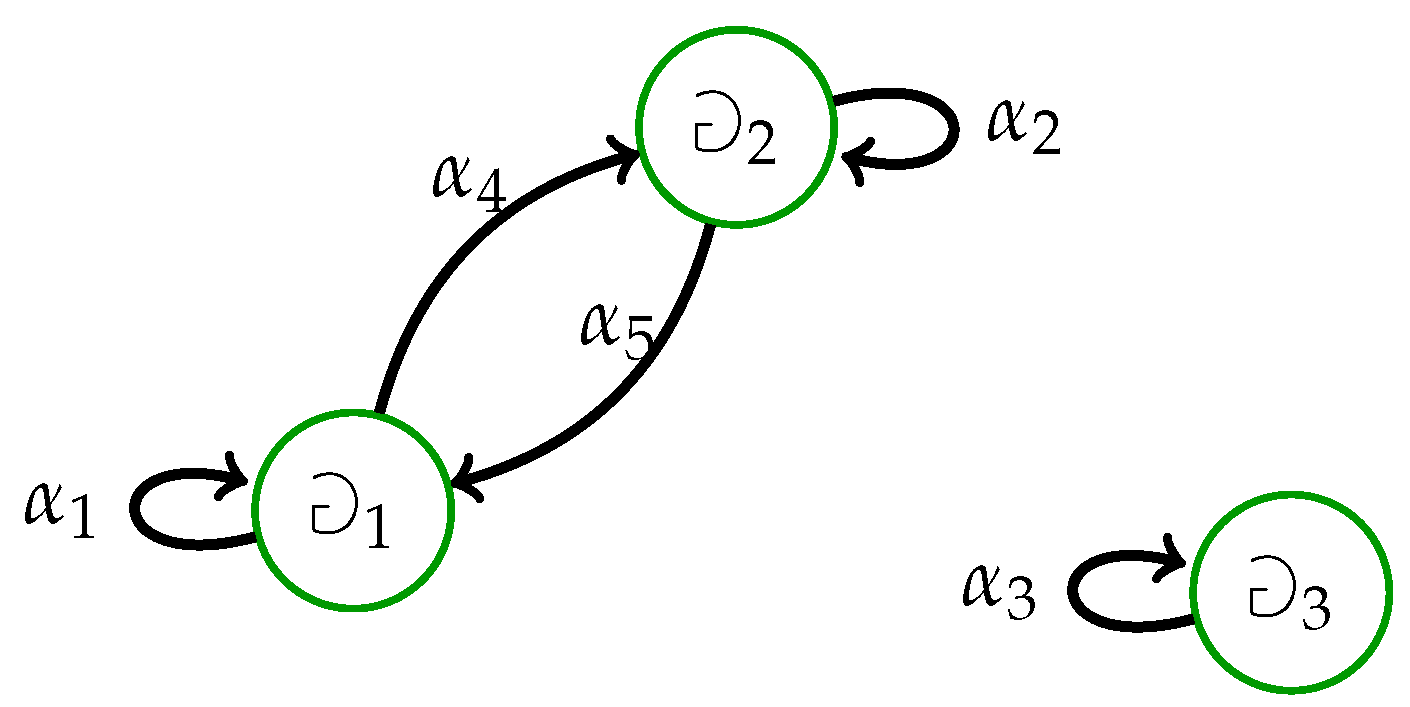
Assume that Ω is the graph ( C ( Ω ) , M ( Ω ) ) , where C ( Ω ) = { 1 , 2 , 3 } and M ( Ω ) = { α 1 , α 2 , α 3 , α 4 , α 5 , α 6 } . The drawing of the graph Ω is given in Figure 1.
For the graph in Figure 1, we have the following:
(i) 
L = { ( , ) , ( { 2 } , ) , ( { 3 } , ) , ( { 2 , 3 } , ) , ( { 2 , 3 } , { α 6 } ) } is a graph ideal.
(ii) 
L = { ( , ) , ( { 2 , 3 } , { α 6 } ) , ( { 2 , 3 } , { α 2 α 6 } ) , ( { 2 , 3 } , { α 2 , α 3 , α 6 } ) } is not a graph ideal, since ( { 2 } , ) L , ( { 3 } , ) L , ( { 2 , 3 } , ) L .
Definition 4 
([24]). Consider that graphs Ω = ( C ( Ω ) , M ( Ω ) ) and , are two subgraphs of Ω. Assume that L is a graph ideal on the graph Ω, then the lower and upper approximations of C ( ) related to L , denoted by Ξ ̲ ( C ( ) ) and Ξ ¯ ( C ( ) ) , of C ( ) are defined, respectively, by the following:
Ξ ̲ ( C ( ) ) = { C ( ) : Ξ [ C ( ) ] c = C ( Λ ) for some Λ L } ,
Ξ ¯ ( C ( ) ) = C ( ) { C ( Ω ) : Ξ C ( ) = C ( Λ * ) for some Λ * L } .
Theorem 2 
([24]). Consider the graph Ω = ( C ( Ω ) , M ( Ω ) ) and , are two subgraphs of Ω. Assume that L is a graph ideal on the graph C ( Ω ) , Then, we have the following:
(1) 
Ξ ¯ ( C ( ) ) = ( Ξ ̲ ( [ C ( ) ] c ) ) c ;
(2) 
Ξ ¯ ( ) = ;
(3) 
Ξ ̲ ( C ( ) ) C ( ) Ξ ¯ ( C ( ) ) ;
(4) 
C ( ) C ( ) implies Ξ ¯ ( C ( ) ) Ξ ¯ ( C ( ) ) ;
(5) 
Ξ ¯ ( C ( ) C ( ) ) Ξ ¯ ( C ( ) ) Ξ ¯ ( C ( ) ) ;
(6) 
Ξ ¯ ( C ( ) C ( ) ) = Ξ ¯ ( C ( ) ) Ξ ¯ ( C ( ) ) ;
(7) 
Ξ ¯ ( Ξ ¯ ( C ( ) ) ) = Ξ ¯ ( C ( ) ) .
Remark 1. 
The operator Ξ ¯ ( C ( ) ) on P ( C ( Ω ) ) induced a topology on the vertices C ( Ω ) of graph Ω, and it is denoted by τ Ξ * and defined as τ Ξ * = { C ( ) C ( Ω ) : Ξ ¯ ( [ C ( ) ] c ) = [ C ( ) ] c } .
Definition 5 
([24]). Consider the graph Ω = ( C ( Ω ) , M ( Ω ) ) , and ℶ and ℸ are two subgraphs of Ω. Assume that L is a graph ideal on the graph Ω; then, the lower and upper approximations of C ( ) related to L , denoted by Ξ ̲ ̲ ( C ( ) ) and Ξ ¯ ¯ ( C ( ) ) , of C ( ) are defined, respectively, by the following:
Ξ ̲ ̲ ( C ( ) ) = { C ( ) : Ξ Ξ [ C ( ) ] c = C ( Λ ) for some Λ L } ,
Ξ ¯ ¯ ( C ( ) ) = C ( ) { C ( Ω ) : Ξ Ξ C ( ) = C ( Λ * ) for some Λ * L } ,
where
Ξ Ξ = Ξ Ξ .
Theorem 3 
([24]). Consider the graph Ω = ( C ( Ω ) , M ( Ω ) ) , and ℶ and ℸ are two subgraphs of Ω. Assume that L is a graph ideal on the graph C ( Ω ) . Then, we have the following:
(1) 
Ξ ¯ ¯ ( C ( ) ) = ( Ξ ̲ ̲ ( [ C ( ) ] c ) ) c ;
(2) 
Ξ ¯ ¯ ( ) = ;
(3) 
Ξ ( C ( ) ) Ξ ̲ ( C ( ) ) Ξ ̲ ̲ ( C ( ) ) C ( ) Ξ ¯ ¯ ( C ( ) ) Ξ ¯ ( C ( ) ) Ξ ( C ( ) ) ;
(4) 
C ( ) C ( ) implies Ξ ¯ ¯ ( C ( ) ) Ξ ¯ ¯ ( C ( ) ) ;
(5) 
Ξ ¯ ¯ ( C ( ) C ( ) ) Ξ ¯ ¯ ( C ( ) ) Ξ ¯ ¯ ( C ( ) ) ;
(6) 
Ξ ¯ ¯ ( C ( ) C ( ) ) = Ξ ¯ ¯ ( C ( ) ) Ξ ¯ ¯ ( C ( ) ) ;
(7) 
Ξ ¯ ¯ ( Ξ ¯ ¯ ( C ( ) ) ) = Ξ ¯ ( C ( ) ) .
Remark 2. 
The operator Ξ ¯ ¯ ( C ( ) ) on P ( C ( Ω ) ) induced a topology on C ( Ω ) , which is denoted by τ Ξ * * and defined as τ Ξ * * = { C ( ) C ( Ω ) : Ξ ¯ ¯ ( [ C ( ) ] c ) = [ C ( ) ] c } . It is clear that τ Ξ τ Ξ * τ Ξ * * .
Lemma 1. 
Consider the graph Ω = ( C ( Ω ) , M ( Ω ) ) . For two vertices , C ( Ω ) , we have the following:
(1) 
If Ξ , then Ξ Ξ .
(2) 
If Ξ Ξ , then Ξ Ξ Ξ Ξ .
Proof. 
The proof is straightforward. □

3. Closure Spaces by Relations via Graph Ideals

Definition 6. 
Consider the graph Ω = ( C ( Ω ) , M ( Ω ) ) , and ℶ is a subgraph of Ω. Assume that L is a graph ideal on the graph Ω. Then, a vertex Ω is called an accumulation point of the vertex set C ( ) if ( Ξ { } ) C ( ) . The set of all accumulation points of C ( ) is denoted by D ( C ( ) ) , i.e.,
D ( C ( ) ) = { C ( Ω ) : ( Ξ { } ) C ( ) } .
Definition 7. 
Consider the graph Ω = ( C ( Ω ) , M ( Ω ) ) . Assume that Ξ Ω Ξ and Ω Ω . Then, ( Ω , Ξ Ω ) is called a closure subspace of a closure space ( Ω , Ξ ) , if Ξ Ω = Ξ C ( Ω ) for all C ( Ω ) .
Lemma 2. 
Assume that ( Ω , Ξ , L ) is a graph IAS and ⅁ is a vertex of C ( Ω ) . Then, we have the following:
(1) 
Ξ ̲ ( Ξ ) = Ξ ;
(2) 
Ξ ̲ ̲ ( Ξ Ξ ) = Ξ Ξ .
Proof. 
(1)
According to Theorem 2 (3), it is noted that Ξ ̲ ( Ξ ) Ξ . Conversely, we illustrate that Ξ Ξ ̲ ( Ξ ) . Assume that Ξ . Then, according to Lemma 1 (1), Ξ Ξ . Thus, Ξ ( Ξ ) c = . As a result, Ξ ( Ξ ) c = C ( Λ ) for some Λ L . Hence, Ξ ̲ ( Ξ ) . Therefore, Ξ Ξ ̲ ( Ξ ) .
(2)
The proof is similar to (1) according to Lemma 1 (2).
Corollary 1. 
Assume that ( Ω , Ξ , L ) is a graph IAS. Then, we have the following:
(1) 
Ξ ¯ ( ( Ξ ) c ) = ( Ξ ) c ;
(2) 
Ξ ¯ ¯ ( ( Ξ Ξ ) c ) = ( Ξ Ξ ) c .
Proof. 
The proof is straightforward according to Theorem 2 (1) and Theorem 3 (1). □
Proposition 1. 
Assume that ( Ω , Ξ , L ) is a graph IAS. For C ( Ω ) , we have the following:
(1) 
Ξ ¯ ( { } ) iff Ξ { } = C ( η ) for some η L , and Ξ ¯ ( { } ) iff Ξ { } = C ( θ ) for some θ L ;
(2) 
Ξ ¯ ¯ ( { } ) iff Ξ Ξ { } = C ( η ) for some η L , and Ξ ¯ ¯ ( { } ) iff Ξ Ξ { } = C ( θ ) for some θ L .
Proof. 
(1) Assume that Ξ ¯ ( { } ) . Then, ( { } { z C ( Ω ) : z Ξ { } = C ( Λ ) for some Λ L } ) . Thus, Ξ { } = C ( Λ * ) for some Λ * L . Conversely, let Ξ { } = C ( Λ * * ) for some Λ * * L . According to Definition 4, Ξ ¯ ( { } ) . The proof of the second part is similar.
(2) The proof is similar to (1). □
Proposition 2. 
Assume that ( Ω , Ξ , L ) is a graph IAS and Ξ = C ( η ) for some η L . Then, we have the following:
(1) 
Ξ ̲ ( { } ) = { } = Ξ ¯ ( { } ) ;
(2) 
Ξ ̲ ̲ ( { } ) = { } = Ξ ¯ ¯ ( { } ) .
Proof. 
(1) Assume that Ξ = C ( Λ ) for some Λ L . Then, Ξ ( { } ) c = C ( Λ * ) for some Λ * L . Thus, Ξ ̲ ( { } ) . So, Ξ ̲ ( { } ) = { } . Also, Ξ = C ( Λ * * ) for some Λ * * L implies that Ξ { } = C ( Λ * * * ) for some Λ * * * L for all C ( Ω ) . Hence, Ξ ¯ ( { } ) = { } .
(2)
The proof is similar to (1).
Definition 8. 
Assume that ( Ω , Ξ , L ) is a graph IAS and Ω . Then, a vertex C ( Ω ) is said to be the following:
(i) A *—graph ideal accumulation point of C ( ) , if ( Ξ { } ) C ( ) = C ( Λ ) for some Λ L .
The set of all *—graph ideal accumulation points of C ( ) is denoted by D * ( C ( ) ) , i.e.,
D * ( C ( ) ) = { C ( Ω ) : ( Ξ { } ) C ( ) = C ( Λ ) for some Λ L } .
(ii) A * * —graph ideal accumulation point of C ( ) , if ( Ξ Ξ { } ) C ( ) = C ( Λ ) for some Λ L .
The set of all * * —graph ideal accumulation points of C ( ) is denoted by D * * ( C ( ) ) , i.e.,
D * * ( C ( ) ) = { C ( Ω ) : ( Ξ Ξ { } ) C ( ) = C ( Λ ) for some Λ L } .
Lemma 3. 
Assume that ( Ω , Ξ , L ) is a graph IAS and Ω . Then, the following is the case:
(1) 
Ξ ¯ ( C ( ) ) = C ( ) D * ( C ( ) ) ;
(2) 
Ξ ¯ ( C ( ) ) = C ( ) iff D * ( C ( ) ) C ( ) ;
(3) 
Ξ ¯ ¯ ( C ( ) ) = C ( ) D * * ( C ( ) ) ;
(4) 
Ξ ¯ ¯ ( C ( ) ) = C ( ) iff D * * ( C ( ) ) C ( ) .
Proof. 
(1) Assume that Ξ ¯ ( C ( ) ) . Then, ( C ( ) { C ( Ω ) : Ξ C ( ) = C ( Λ ) for some Λ L } ) . Thus, we have either C ( ) , i.e,
C ( ) D * ( C ( ) )
or C ( ) . So, { C ( Ω ) : Ξ C ( ) = C ( Λ * ) for some Λ * L } . In the latter case, we have ( Ξ { } ) C ( ) = C ( η ) for some η L } . Hence, D * ( C ( ) ) , i.e,
C ( ) D * ( C ( ) )
From (8) and (9), Ξ ¯ ( C ( ) ) C ( ) D * ( C ( ) ) . Conversely, let C ( ) D * ( C ( ) ) . Then, we have either C ( ) , i.e,
Ξ ¯ ( C ( ) )
or C ( ) . Therefore, D * ( C ( ) ) . So, ( Ξ { } ) C ( ) = C ( Λ ) for some Λ L . Hence, Ξ ¯ ( C ( ) ) , i.e,
Ξ ¯ ( C ( ) )
From (10) and (11), C ( ) D * ( C ( ) ) Ξ ¯ ( C ( ) ) . As a result, Ξ ¯ ( C ( ) ) = C ( ) D * ( C ( ) ) .
(2) Assume that C ( ) , i.e., Ξ ¯ ( C ( ) ) . Then, clearly, Ξ C ( ) = C ( Λ ) for some Λ L . Thus, ( Ξ { } ) C ( ) = C ( Λ * ) for some Λ * L and D * ( C ( ) ) . Conversely, let D * ( C ( ) ) C ( ) . Then, by (1), D * ( C ( ) ) C ( ) = Ξ ¯ ( C ( ) ) = C ( ) .
(3) The proof is similar to (1).
(4) The proof is similar to (2). □
Theorem 4. 
Assume that ( Ω , Ξ , L ) is a graph IAS and C ( Ω ) , Ω . If Ξ C ( ) = C ( Λ ) for some Λ L , then the following is the case:
(1) 
Ξ Ξ ¯ ( C ( ) ) = C ( Λ * ) for some Λ * L ;
(2) 
Ξ Ξ Ξ ¯ ¯ ( C ( ) ) = C ( Λ * * ) for some Λ * * L .
Proof. 
(1) Assume that Ξ C ( ) = C ( Λ ) for some Λ L . It is clear that ( Ξ { } ) C ( ) = Λ for some Λ L . Then, D * ( C ( ) ) . Therefore, Ξ D * ( C ( ) ) = . So, Ξ D * ( C ( ) ) = Λ for some Λ L . Hence, Ξ ( C ( ) D * ( C ( ) ) ) = Λ for some Λ L . Therefore, Ξ Ξ ¯ ( C ( ) ) = C ( Λ * ) for some Λ * L .
(2) The proof is similar to (1). □
Lemma 4. 
Assume that ( Ω , Ξ , L ) is a graph IAS and , Ω . Then,
(1) 
If C ( ) C ( ) , then D * ( C ( ) ) D * ( C ( ) ) and D * * ( C ( ) ) D * * ( C ( ) ) ,
(2) 
D * ( C ( ) C ( ) ) = D * ( C ( ) ) D * ( C ( ) ) and D * * ( C ( ) C ( ) ) = D * * ( C ( ) ) D * * ( C ( ) ) ,
(3) 
D * ( C ( ) C ( ) ) D * ( C ( ) ) D * ( C ( ) ) and D * * ( C ( ) C ( ) ) D * * ( C ( ) ) D * * ( C ( ) ) ,
(4) 
D * ( C ( ) D * ( C ( ) ) ) C ( ) D * ( C ( ) ) and D * * ( C ( ) D * * ( C ( ) ) ) C ( ) D * * ( C ( ) ) .
Proof. 
(1) Assume that C ( ) C ( ) and let D * ( C ( ) ) . Then, ( Ξ { } ) C ( ) = C ( Λ ) for some Λ L . Thus, ( Ξ { } ) C ( ) = C ( Λ * ) for some Λ * L . So, D * ( C ( ) ) . The proof of the second part is similar.
(2) Since C ( ) C ( ) C ( ) and C ( ) C ( ) C ( ) , by (1), we have
D * ( C ( ) ) D * ( C ( ) ) D * ( C ( ) C ( ) ) .
Conversely, let ( D * ( C ( ) ) D * ( C ( ) ) ) . Then, D * ( C ( ) ) and D * ( C ( ) ) . Thus, ( Ξ { } ) C ( ) = C ( η ) for some η L and ( Ξ { } ) C ( ) = C ( η * ) for some η * L . So, ( Ξ { } ) ( C ( ) C ( ) ) = C ( η * * ) for some η * * L . Hence, D * ( C ( ) C ( ) ) . The proof of the second part is similar.
(3) The proof is similar to (2).
(4) Assume that C ( ) D * ( C ( ) ) . It is obvious that C ( ) and ( Ξ { } ) C ( ) = C ( Λ ) for some Λ L . Then, Ξ C ( ) = C ( Λ * ) for some Λ * L . Thus, Ξ ¯ ( C ( ) ) . So, Ξ ¯ ( Ξ ¯ ( C ( ) ) ) . Hence, D * ( Ξ ¯ ( C ( ) ) ) = D * ( C ( ) D * ( C ( ) ) ) . Therefore, D * ( C ( ) D * ( C ( ) ) ) C ( ) D * ( C ( ) ) . The proof of the second part is similar. □
Corollary 2. 
Assume that ( Ω , Ξ , L ) is any graph IAS and Ω . Then, we have the following:
D * * ( C ( ) ) D * ( C ( ) ) D ( C ( ) ) .
Proof. 
Assume that D ( C ( ) ) . Then, ( Ξ { } ) C ( ) = . Thus, ( Ξ { } ) C ( ) = C ( Λ ) for some Λ L . So, D * ( C ( ) ) and ( Ξ Ξ { } ) C ( ) = C ( Λ * ) for some Λ * L , where Ξ Ξ Ξ . Hence, D * * ( C ( ) ) . As a result, D * * ( C ( ) ) D * ( C ( ) ) D ( C ( ) ) .
Remark 3. 
The example that follows demonstrates that the converse of Corollary 2 is not true in general.
Example 2. 
Consider the graph Ω defined in Example 1. Then, the relation Ξ on the given graph has the form Ξ = { ( 1 , 1 ) , ( 1 , 2 ) , ( 1 , 3 ) , ( 2 , 2 ) , ( 2 , 3 ) , ( 3 , 3 ) } . Define a graph ideal L on Ω as L = { ( , ) , ( { 1 } , ) , ( { 3 } , ) , ( { 1 , 3 } , ) , ( { 1 , 3 } , { α 5 } ) } . Then, 1 Ξ = { 1 , 2 , 3 } , 2 Ξ = { 2 , 3 } , 3 Ξ = { 3 } . Also, Ξ 1 = { 1 } , Ξ 2 = { 1 , 2 } , Ξ 3 = { 1 , 2 , 3 } . Thus, Ξ 1 Ξ = { 1 } , Ξ 2 Ξ = { 2 } , Ξ 3 Ξ = { 3 } . Consider a subset of vertices C ( ) = { 2 , 3 } of some subgraph Ω . Then, we have
( 1 Ξ { 1 } ) C ( ) = { 2 , 3 } ,
( 2 Ξ { 2 } ) C ( ) = { 3 } ,
( 3 Ξ { 3 } ) C ( ) = .
Thus, 1 D ( C ( ) ) , 2 D ( C ( ) ) , 3 D ( C ( ) ) . So, D ( C ( ) ) = { 1 , 2 } . On the other hand, we obtain
( 1 Ξ { 1 } ) C ( ) = { 2 , 3 } = C ( Λ ) for some Λ L ,
( 2 Ξ { 2 } ) C ( ) = { 3 } = C ( Λ * ) for some Λ * L ,
( 3 Ξ { 3 } ) C ( ) = a n d ( , ) L .
Then, 1 D * ( C ( ) ) , 2 D * ( C ( ) ) 3 D * ( C ( ) ) . Thus D * ( C ( ) ) = { 1 } . Also, we have
( Ξ 1 Ξ { 1 } ) C ( ) = and ( , ) L ,
( Ξ 2 Ξ { 2 } ) C ( ) = and ( , ) L ,
( Ξ 3 Ξ { 3 } ) C ( ) = and ( , ) L .
Then, 1 D * * ( C ( ) ) , 2 D * * ( C ( ) ) , 3 D * * ( C ( ) ) .
As a result, D * * ( C ( ) ) = . So, D ( C ( ) ) D * ( C ( ) ) D * * ( C ( ) ) .
Definition 9. 
Assume that ( Ω , Ξ , L ) is any graph IAS and Ω . Then, ℶ is said to be the following:
(i) 
Graph dense, if Ξ ( C ( ) ) = C ( Ω ) ;
(ii) 
*—graph ideal dense, if Ξ ¯ ( C ( ) ) = C ( Ω ) ;
(iii) 
* * —graph ideal dense, if Ξ ¯ ¯ ( C ( ) ) = C ( Ω ) ;
(iv) 
Nowhere dense, if Ξ ( Ξ ( C ( ) ) ) = ;
(v) 
*—graph ideal nowhere dense, if Ξ ( Ξ ¯ ( C ( ) ) ) = ;
(vi) 
* * —graph ideal nowhere dense, if Ξ ( Ξ ¯ ¯ ( C ( ) ) ) = .
Corollary 3. 
Assume that ( Ω , Ξ , L ) is any graph IAS and Ω . Then, the following is the case:
(1) 
* * —graph ideal dense * —graph ideal dense ⇒ graph dense;
(2) 
Nowhere dense * —graph ideal nowhere dense * * —graph ideal nowhere dense.
Proof. 
(1) The proof is straightforward from Theorem 3 (3).
(2) Assume that is nowhere dense. Then, Ξ ( Ξ ( C ( ) ) ) = . Thus, Ξ ( Ξ ¯ ( C ( ) ) ) = and Ξ ( Ξ ¯ ¯ ( C ( ) ) ) = . So, is *—graph ideal nowhere dense and * * —graph ideal nowhere dense. □
Example 3. 
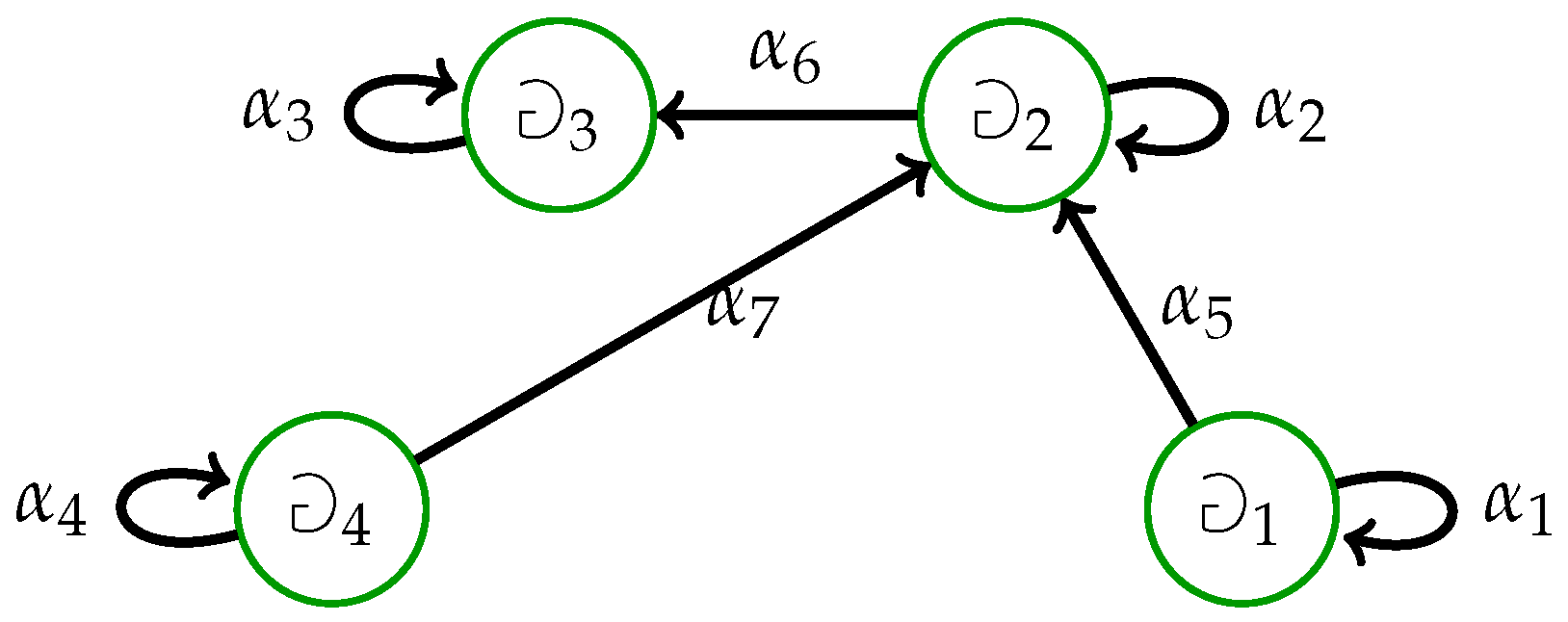
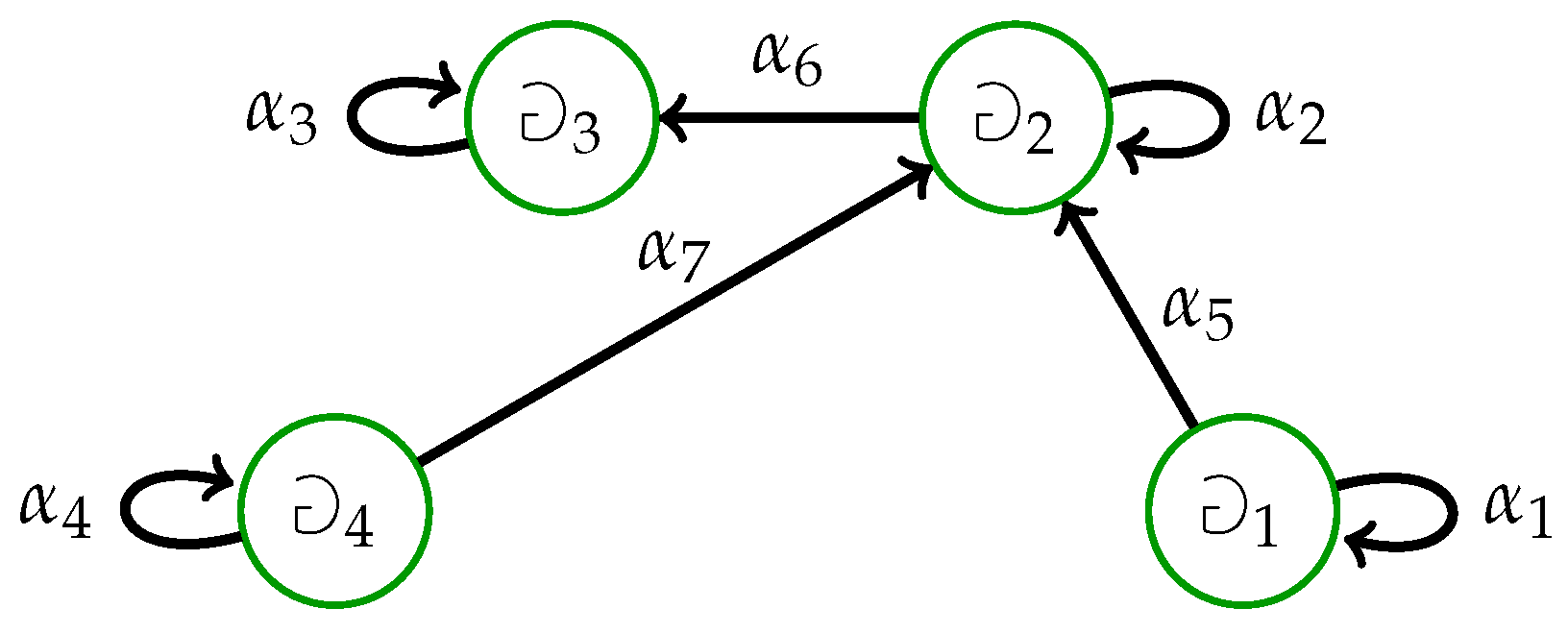
(1) Assume that Ω is the graph ( C ( Ω ) , M ( Ω ) ) , where C ( Ω ) = { 1 , 2 , 3 , 4 } and M ( Ω ) = { α 1 , α 2 , α 3 , α 4 , α 5 , α 6 , α 7 } . We represent the graph Ω in Figure 2.
The relation Ξ on the above graph Ω has the form Ξ = { ( 1 , 1 ) , ( 1 , 2 ) , ( 2 , 2 ) , ( 2 , 3 ) , ( 3 , 3 ) , ( 4 , 4 ) , ( 4 , 2 ) } . Define a graph ideal L on Ω as L = { ( , ) , ( { 2 } , ) } . Consider a subset of vertices C ( ) = { 2 , 3 } . Then, we have
1 Ξ = { 1 , 2 } , 2 Ξ = { 2 } , 3 Ξ = { 3 } , 4 Ξ = { 2 , 4 } ,
Ξ 1 = { 1 } , Ξ 2 = { 2 } , Ξ 3 = { 2 , 3 } , Ξ 4 = { 4 } .
Thus, we obtain the following:
Ξ 1 Ξ = { 1 } , Ξ 2 Ξ = { 2 } , Ξ 3 Ξ = { 3 } , Ξ 4 Ξ = { 4 } .
Assume that C ( ) = { 2 , 3 } . Then, Ξ ( C ( ) ) = C ( ) { C ( Ω ) : Ξ C ( ) } = C ( Ω ) . Thus, ℶ is a graph dense. But { C ( Ω ) : Ξ C ( ) C ( Λ ) for some Λ L } = { 3 } and Ξ ¯ ( C ( ) ) = { 2 , 3 } C ( Ω ) . So, ℶ is not *—graph ideal dense. On the other hand, suppose that L = { ( , ) , { 1 , ) } } . Then, Ξ ¯ ( C ( ) ) = C ( Ω ) . Thus, C ( ) is *—graph ideal dense. But Ξ ¯ ¯ ( C ( ) ) = C ( ) { C ( Ω ) : Ξ Ξ C ( ) C ( η ) for some η L } = C ( ) C ( Ω ) . So, ℶ is not * * —graph ideal dense.
Example 4. 
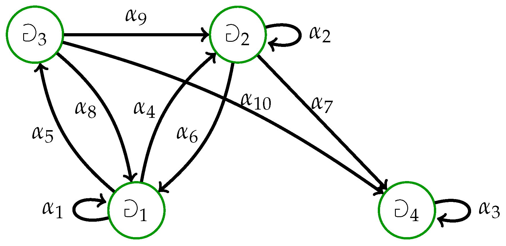
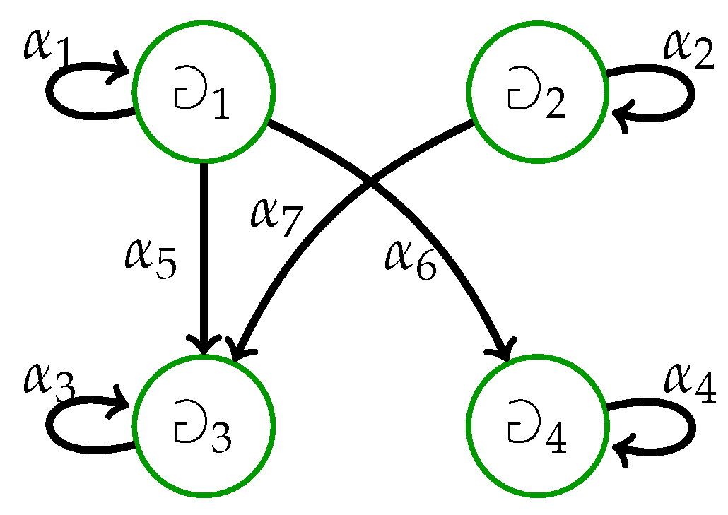
Assume that Ω is the graph ( C ( Ω ) , M ( Ω ) ) , where C ( Ω ) = { 1 , 2 , 3 , 4 } and M ( Ω ) = { α 1 , α 2 , α 3 , α 4 , α 5 , α 6 , α 7 , α 8 , α 9 , α 10 } . We represent the graph Ω as given in Figure 3.
The relation Ξ on the above graph Ω has the form Ξ = { ( 1 , 1 ) , ( 1 , 2 ) , ( 1 , 3 ) , ( 2 , 1 ) , ( 2 , 2 ) , ( 2 , 4 ) , ( 3 , 1 ) , ( 3 , 2 ) , ( 3 , 4 ) , ( 4 , 4 ) } . Define a graph ideal L on Ω as L = { ( , ) , ( { 1 } , ) } . Then, we have
1 Ξ = { 1 , 2 } , 2 Ξ = { 1 , 2 } , 3 Ξ = { 1 , 2 , 3 } , 4 Ξ = { 4 } ,
Ξ 1 = { 1 } , Ξ 2 = { 2 , 3 } , Ξ 3 = { 2 , 3 } , Ξ 4 = { 2 , 3 , 4 } .
Thus, we obtain
Ξ 1 Ξ = { 1 } , Ξ 2 Ξ = { 2 } , Ξ 3 Ξ = { 2 , 3 } , Ξ 4 Ξ = { 4 } .
Consider a subset of vertices C ( ) = { 1 } . Then, Ξ ¯ ( C ( ) ) = { 1 } and Ξ ( C ( ) ) = { 1 , 2 , 3 } . Thus, Ξ ( Ξ ¯ ( C ( ) ) ) = . So, ℶ is *—graph ideal nowhere dense. But Ξ ( Ξ ( C ( ) ) ) = { 1 , 2 , 3 } . Hence, C ( ) is not graph nowhere dense. Also, suppose that C ( ) = { 2 } . Then, Ξ ¯ ( C ( ) ) = { 1 , 2 , 3 } and Ξ ¯ ¯ ( C ( ) ) = { 2 , 3 } . Thus, Ξ ( Ξ ¯ ¯ ( C ( ) ) ) = . So, ℶ is * * —graph ideal nowhere dense. But Ξ ( Ξ ¯ ( C ( ) ) ) = { 1 , 2 , 3 } . So, ℶ is not *—graph ideal nowhere dense.
Corollary 4. 
Assume that ( Ω , Ξ , L ) is a graph IAS, and ℶ is a subgraph of Ω. Then, the following is the case:
(1) 
If ℶ is graph dense, then any subgraph induced by ( Ξ ( C ( ) ) ) c is nowhere dense.
(2) 
If C ( ) is *—graph ideal dense, then any subgraph induced by ( Ξ ¯ ( C ( ) ) ) c is *—graph ideal nowhere dense.
(3) 
If ℶ is * * —graph ideal dense, then any subgraph induced by ( Ξ ¯ ¯ ( C ( ) ) ) c is * * —graph ideal nowhere dense.
Proof. 
(1) Assume that is dense. Then, Ξ ( C ( ) ) = C ( Ω ) . Thus, ( Ξ ( C ( ) ) ) c = and Ξ ( Ξ ( C ( ) ) ) c ) = . So, Ξ ( Ξ ( Ξ ( C ( ) ) ) c ) = . Hence, ( Ξ ( C ( ) ) ) c is nowhere dense.
(2) Assume that is *—graph ideal dense. Then, Ξ ¯ ( C ( ) ) = C ( Ω ) . Thus, ( Ξ ¯ ( C ( ) ) ) c = . So, Ξ ¯ ( ( Ξ ¯ ( C ( ) ) ) c ) = and Ξ ( Ξ ¯ ( ( Ξ ¯ ( C ( ) ) ) c ) ) = . Hence, ( Ξ ¯ ( C ( ) ) ) c is *—graph ideal nowhere dense.
(3) The proof is similar to (2). □

4. Graph Ideal Approximation Subspace

Lemma 5. 
If L is a graph ideal on a graph Ω and Ω Ω , then L Ω = { Ω : L } is a graph ideal on Ω .
Proof. 
(i) It is obvious that ( , ) L Ω .
(ii) Assume that , L Ω . Then, there exists η L such that = η Ω . Since L is a graph ideal and η , L , thus, = Ω L Ω .
(iii) Assume that , L Ω . Then, there exists η 1 , η 2 L such that = η 1 Ω , = η 2 Ω . Thus, = ( η 1 η 2 ) L Ω . So, L Ω is a graph ideal on Ω . □
Definition 10. 
Assume that Ω Ω , Ξ Ω = Ξ ( Ω × Ω ) Ξ and L Ω L . Then, ( Ω , Ξ Ω ¯ , L Ω ) is called a graph ideal closure subspace of a graph ideal closure space ( Ω , Ξ ¯ , L ) , if Ξ Ω = Ξ C ( Ω ) for all C ( Ω ) .
Lemma 6. 
Assume that ( Ω , Ξ Ω ¯ , L Ω ) is an ideal closure subspace of an ideal closure space ( Ω , Ξ ¯ , L ) . Then, Ξ Ω = Ξ C ( Ω for all C ( Ω iff Ξ Ω ¯ ( C ( ) ) = Ξ ¯ ( C ( ) ) C ( Ω ) for all C ( ) C ( Ω ) .
Proof. 
Assume that Ξ Ω = Ξ Ω for all Ω . We want to show that Ξ Ω ¯ ( C ( ) ) = Ξ ¯ ( C ( ) ) Ω for all Ω . Then,
Ξ ¯ ( C ( ) ) Ω = ( C ( ) { C ( Ω ) : Ξ C ( ) = C ( Λ ) for some Λ L } ) Ω = ( C ( ) Ω ) ( { Ω : Ξ C ( ) = C ( Λ * ) for some Λ * L } ) = C ( ) { Ω : Ξ Ω C ( ) = C ( Λ * * ) for some Λ * * L } = Ξ Ω ¯ ( C ( ) ) .
Conversely, suppose that Ξ Ω ¯ ( C ( ) ) = Ξ ¯ ( C ( ) ) Ω for all Ω . Then,
Ξ Ω ¯ ( C ( ) ) = C ( ) { Ω : Ξ Ω C ( ) = C ( η ) for some η L Ω } = ( C ( ) { C ( Ω ) : Ξ C ( ) = C ( η * ) for some η * L } ) Ω = ( C ( ) Ω ) ( { Ω : Ξ C ( ) = C ( Λ * * ) for some Λ * * L } ) = C ( ) { Ω : ( Ξ Ω ) C ( ) = C ( Λ * * * ) for some Λ * * * L } .
Thus, we have Ξ Ω = Ξ Ω for all Ω .
Corollary 5. 
Assume that ( Ω , Ξ ¯ , L ) is a graph ideal closure space and Ω Ω . Then, ( Ω , Ξ Ω ¯ , L Ω ) is a graph ideal closure subspace iff Ξ Ω ¯ ( C ( ) ) = Ξ ¯ ( C ( ) ) Ω for all Ω .
Proof. 
The proof is directly derived from Definition 10 and Lemma 6. □
The graph ideal closure subspace ( Ω , Ξ Ω ¯ , L Ω ) is a topological space, as demonstrated by the following Lemma.
Lemma 7. 
A graph ideal closure subspace ( Ω , Ξ Ω ¯ , L Ω ) of a graph ideal closure space ( Ω , Ξ ¯ , L ) is a topological space.
Proof. 
All we wish to demonstrate is that the closure operator Ξ Ω ¯ is idempotent. Assume that Ω . Then, we have the following
Ξ Ω ¯ ( Ξ Ω ¯ ( C ( ) ) ) = Ξ Ω ¯ ( Ξ ¯ ( C ( ) ) Ω ) = Ξ ¯ ( Ξ ¯ ( C ( ) ) Ω ) Ω Ξ ¯ ( Ξ ¯ ( C ( ) ) ) Ξ ¯ ( Ω ) Ω Ξ ¯ ( C ( ) ) Ω Ξ Ω ¯ ( C ( ) ) .
Note that Ξ Ω ¯ ( C ( ) ) Ξ Ω ¯ ( Ξ Ω ¯ ( C ( ) ) ) . Then, Ξ Ω ¯ ( Ξ Ω ¯ ( C ( ) ) ) = Ξ Ω ¯ ( C ( ) ) . Thus, Ξ Ω ¯ is idempotent. □
Theorem 5. 
Assume that ( Ω , Ξ Ω ¯ , L Ω ) is a graph ideal closure subspace of a graph ideal closure space ( Ω , Ξ ¯ , L ) and Ω . Then, we have the following
(1) 
D Ω * ( C ( ) ) = D * ( C ( ) ) Ω ;
(2) 
Ξ ̲ ( C ( ) ) Ω Ξ Ω ̲ ( C ( ) ) and Ξ ̲ ( C ( ) ) Ω Ξ Ω ̲ ( C ( ) ) .
Proof. 
(1) Assume that D Ω * ( C ( ) ) for each Ω . Then, ( Ξ Ω { } ) C ( ) = C ( η ) for some η L Ω . Thus, ( ( Ξ { } ) C ( ) ) Ω = C ( η * ) for some η * L Ω . So, ( Ξ { } ) C ( ) = C ( η * * ) for some η * * L . Hence, D * ( C ( ) ) and D * ( C ( ) ) Ω , i.e.,
D Ω * ( C ( ) ) D * ( C ( ) ) Ω .
Conversely, let D * ( C ( ) ) Ω . Then, D * ( C ( ) ) . Thus, ( Ξ { } ) C ( ) ) = C ( Λ ) for some Λ L , i.e., ( ( Ξ { } ) C ( ) ) Ω = C ( Λ * ) for some Λ * L Ω . So, ( Ξ Ω { } ) C ( ) = C ( Λ * * ) for some Λ * * L Ω . Hence, D Ω * ( C ( ) ) , i.e.,
D * ( C ( ) ) Ω D Ω * ( C ( ) ) .
Therefore, from (12) and (13), we have D Ω * ( C ( ) ) = D * ( C ( ) ) Ω .
(2) Assume that Ξ ̲ ( C ( ) ) Ω . Then, Ξ ̲ ( C ( ) ) . Thus, Ξ [ C ( ) ] c = C ( η ) for some η L . So, ( Ξ Ω ) [ C ( ) ] c ) = C ( η * ) for some η * L Ω , i.e., Ξ Ω [ C ( ) ] c = C ( η * * ) for some η * * L Ω . Hence, Ξ Ω ̲ ( C ( ) ) . Therefore, Ξ ̲ ( C ( ) ) Ω Ξ Ω ̲ ( C ( ) ) .
On the other hand, we propose the following example. □
Example 5. 
Let Ω be the graph ( C ( Ω ) , M ( Ω ) ) , where C ( Ω ) = { 1 , 2 , 3 , 4 } and M ( Ω ) = { α 1 , α 2 , α 3 , α 4 , α 5 , α 6 , α 7 } . We represent the graph Ω as given in Figure 4.
The relation Ξ on Ω is given by Ξ = { ( 1 , 1 ) , ( 1 , 3 ) , ( 1 , 4 ) , ( 2 , 2 ) , ( 2 , 3 ) , ( 3 , 3 ) , ( 4 , 4 ) } . Define a graph ideal on Ω as L = P ( { 1 , 4 } , { α 1 , α 4 , α 6 } ) = { ( , ) , ( { 1 } , ) , ( { 4 } , ) , ( { 1 , 4 } , ) , ( { 1 } , { α 1 } ) , ( { 4 } , { α 4 } ) , ( { 1 , 4 } , { α 6 } ) , ( { 1 , 4 } ,   { α 1 , α 4 } ) , ( { 1 , 4 } , { α 1 , α 6 } ) , ( { 1 , 4 } , { α 4 , α 6 } ) , ( { 1 , 4 } , { α 1 , α 4 , α 6 } ) } . Define two subgraphs of Ω as Ω * = ( { 1 , 2 } , { α 1 , α 4 } ) and = ( { 1 } , } ) . Then, we have
1 Ξ = { 1 , 3 , 4 } , 2 Ξ = { 2 , 3 } , 3 Ξ = { 3 } , 4 Ξ = { 4 } .
Thus, Ξ ̲ ( C ( ) ) = { 1 : 1 Ξ { 1 } c = C ( Λ ) for some Λ L } = , Ξ Ω = { ( 1 , 1 ) , ( 2 , 2 ) } and L Ω = { ( , ) , ( { 1 } , ) } . So, 1 Ξ Ω = { 1 } , 2 Ξ Ω = { 2 } . Hence, Ξ Ω ̲ ( C ( ) ) = { 1 : 1 Ξ Ω { 1 } c = C ( Λ * ) for some Λ * L Ω } = { 1 } . Hence, Ξ ̲ ( C ( ) ) Ω Ξ Ω ̲ ( C ( ) ) .

5. Lower Separation Axioms in Graph IASs

Definition 11. 
(i) A graph AS ( Ω , Ξ ) is called a graph T 0 —space if Ω , there exists Ω such that the following is the case:
Ξ ( C ( ) ) , C ( ) o r Ξ ( C ( ) ) , C ( ) .
(ii) A graph IAS ( Ω , Ξ , L ) is called a graph T 0 * -space if Ω , there exists Ω such that
Ξ ̲ ( C ( ) ) , C ( ) o r Ξ ̲ ( C ( ) ) , C ( ) .
(iii) A graph IAS ( Ω , Ξ , L ) is called a graph T 0 * * —space if C ( Ω ) , there exists Ω such that
Ξ ̲ ̲ ( C ( ) ) , C ( ) o r Ξ ̲ ̲ ( C ( ) ) , C ( ) .
Proposition 3. 
For a graph IAS ( Ω , Ξ , L ) , the next statements are equivalent:
(1) 
Ω is a graph T 0 * —space;
(2) 
Ξ ¯ ( { } ) Ξ ¯ ( { } ) for each Ω ;
(3) 
( Ω , Ξ Ω , L Ω ) is a graph T 0 * —space for each Ω Ω .
Proof. 
(1) ( 2 ) : Assume that (1) holds, and let Ω . Then, there exists Ω such that Ξ ̲ ( C ( ) ) , C ( ) . Thus, Ξ [ C ( ) ] c = C ( Λ ) for some Λ L , [ C ( ) ] c . So, Ξ { } = C ( Λ * ) for some Λ * L . Hence, by Proposition 1 (1), Ξ ¯ ( { } ) . In the same manner, we can prove that Ξ ¯ ( { } ) . Therefore, Ξ ¯ ( { } ) Ξ ¯ ( { } ) .
(2) ( 3 ) : Assume that (2) holds, and let Ω Ω and Ω . Then, Ω , and by (2), Ξ ¯ ( { } ) or Ξ ¯ ( { } ) . Thus, by Proposition 1 (1), Ξ { } = C ( Λ ) for some Λ L or Ξ { } = C ( η ) for some η L , i.e.,
Ξ Ω ̲ ( { } c ) , { } c or Ξ Ω ̲ ( { } c ) , { } c .
So, ( Ω , Ξ Ω , L Ω ) is a T 0 * —space.
(3) ( 1 ) : Assume that (3) holds and let C ( Ω ) . Then, there exists Ω Ω such that Ω . By (3), there exists Ω such that
Ξ Ω ̲ ( C ( ) ) , C ( ) or Ξ Ω ̲ ( C ( ) ) , C ( ) .
Then, Ξ Ω [ C ( ) ] c = C ( Λ ) for some Λ L Ω , [ C ( ) ] c or Ξ Ω [ C ( ) ] c = C ( Λ * ) for some Λ * L Ω , [ C ( ) ] c . Thus, we obtain the following:
Ξ [ C ( ) ] c = C ( Λ ) for some Λ L , [ C ( ) ] c or Ξ [ C ( ) ] c = C ( η ) f o r s o m e η L , [ C ( ) ] c .
So, Ξ { } = C ( Λ ) for some Λ L or Ξ { } = C ( η ) for some η L . Hence we have
Ξ ̲ ( { } c ) , { } c or Ξ ̲ ( { } c ) , { } c .
Therefore, Ω is a graph T 0 * —space. □
Corollary 6. 
For a graph AS ( Ω , Ξ ) on a graph Ω, the next statements are equivalent:
(1) 
Ω is a graph T 0 —space;
(2) 
For each Ω , either Ξ or Ξ ;
(3) 
Ξ ( { } ) Ξ ( { } ) for each Ω ;
(4) 
( Ω , Ξ Ω ) is a graph T 0 —space for each Ω Ω .
Corollary 7. 
For a graph IAS ( Ω , Ξ , L ) , the following are equivalent:
(1) 
Ω is a graph T 0 * * —space;
(2) 
Ξ ¯ ¯ ( { } ) Ξ ¯ ¯ ( { } ) for each Ω ;
(3) 
( Ω , Ξ Ω , L Ω ) is a graph T 0 * * —space for each Ω Ω .
Definition 12. 
(i) A graph AS ( Ω , Ξ ) is called a graph T 1 —space if Ω , there exists , Ω such that the following is the case:
Ξ ( C ( ) ) , C ( ) and Ξ ( C ( ) ) , C ( ) .
(ii) A graph IAS ( Ω , Ξ , L ) is called a graph T 1 * —space if Ω , there exists , Ω such that the following is the case:
Ξ ̲ ( C ( ) ) , C ( ) and Ξ ̲ ( C ( ) ) , C ( ) .
(iii) A graph IAS ( Ω , Ξ , L ) is called a graph T 1 * * —space if Ω , there exists , Ω such that the following is the case:
Ξ ̲ ̲ ( C ( ) ) , C ( ) and Ξ ̲ ̲ ( C ( ) ) , C ( ) .
Proposition 4. 
For a graph IAS ( Ω , Ξ , L ) , the next statements are equivalent:
(1) 
Ω is a graph T 1 * —space;
(2) 
Ξ ¯ ( { } ) = { } for each Ω ;
(3) 
D * ( { } ) = for each Ω ;
(4) 
( Ω , Ξ Ω , L Ω ) is a graph T 1 * —space for each Ω Ω .
Proof. 
(1) ( 2 ) : Assume that ( Ω , Ξ , L ) is graph T 1 * —space, and let Ω . Then, for C ( Ω ) { } , and Ω such that Ξ ̲ ( C ( ) ) , C ( ) . Thus, Ξ [ C ( ) ] c = C ( Λ ) for some Λ L , [ C ( ) ] c . So, Ξ { } = C ( Λ * ) for some Λ * L , i.e., Ξ ¯ ( { } ) . Hence,
Ξ ¯ ( { } ) = { } .
(2) ( 3 ) : Assume that (2) holds and let Ω . Then, Ξ ¯ ( { } ) = { } D * ( { } ) , but D * ( { } ) . Thus, we have the following
D * ( { } ) = .
(3) ( 4 ) : Assume that (3) holds, and let Ω for each Ω Ω . Then, clearly, Ω . By (3), D Ω * ( { } ) = D Ω * ( { } ) = . According to Theorem 5 (1), D * ( { } ) = D * ( { } ) = . Thus, Ξ Ω ¯ ( { } ) = { } and Ξ Ω ¯ ( { } ) = { } , i.e., Ξ Ω ̲ ( { } c ) = { } c and Ξ Ω ̲ ( { } c ) = { } c . So, there exist { } c and { } c Ω such that
Ξ Ω ̲ ( { } c ) , { } c and Ξ Ω ̲ ( { } c ) , { } c .
Hence, ( Ω , Ξ Ω , L Ω ) is a graph T 1 * —space.
(4) ( 1 ) : Assume that (4) holds, and let Ω . Then, clearly, there exists Ω Ω such that Ω . According to (4), there exists , Ω such that we have the following:
Ξ Ω ̲ ( C ( ) ) , C ( ) ) and Ξ Ω ̲ ( C ( ) ) , C ( ) .
Thus, Ξ { } L and Ξ { } = C ( Λ ) for some Λ L . So, we have
Ξ ̲ ( { } c ) , { } c and Ξ ̲ ( { } c ) , { } c ) .
Hence, C ( Ω ) is a graph T 1 * —space. □
Corollary 8. 
For a graph AS ( Ω , Ξ ) , the next statements are equivalent:
(1) 
Ω is a graph T 1 —space;
(2) 
For each Ω , Ξ and Ξ ;
(3) 
Ξ ( { } ) = { } for each Ω ;
(4) 
D ( { } ) = for each Ω ;
(5) 
( Ω , Ξ Ω ) is a graph T 1 —space for each Ω Ω .
Corollary 9. 
For an IAS ( C ( Ω ) , Ξ , L ) , the next statements are equivalent:
(1) 
Ω is a graph T 1 * * —space;
(2) 
Ξ ¯ ¯ ( { } ) = { } for each Ω ;
(3) 
D * * ( { } ) = for each Ω ;
(4) 
( Ω , Ξ Ω , L Ω ) is a graph T 1 * * —space for each Ω Ω .
Definition 13. 
(i) A graph AS ( Ω , Ξ ) is called a graph Ξ 0 —space if it satisfies the following condition: for any Ω , the following is the case:
Ξ ( { } ) = Ξ ( { } ) o r Ξ ( { } ) Ξ ( { } ) = .
(ii) A graph IAS ( Ω , Ξ , L ) is called a graph Ξ 0 * -space if it satisfies the following condition: for any Ω , we have the following:
Ξ ¯ ( { } ) = Ξ ¯ ( { } ) o r Ξ ¯ ( { } ) Ξ ¯ ( { } ) = .
(iii) A graph IAS ( Ω , Ξ , L ) is called a graph Ξ 0 * * —space if it satisfies the following condition: for any Ω , the following is the case:
Ξ ¯ ¯ ( { } ) = Ξ ¯ ¯ ( { } ) o r Ξ ¯ ¯ ( { } ) Ξ ¯ ¯ ( { } ) = .
Proposition 5. 
For a graph IAS ( Ω , Ξ , L ) , the following statements are equivalent:
(1) 
Ω is a graph Ξ 0 * —space,
(2) 
If Ξ ¯ ( { } ) , then Ξ ¯ ( { } ) for all Ω .
Proof. 
(1) ( 2 ) : Assume that (1) holds, let , be two distinct vertices in ( Ω , Ξ , L ) . Then, Ξ ¯ ( { } ) = Ξ ¯ ( { } ) or Ξ ¯ ( { } ) Ξ ¯ ( { } ) = .
In the first case, Ξ ¯ ( { } ) = Ξ ¯ ( { } ) implies Ξ ¯ ( { } ) and Ξ ¯ ( { } ) .
In the second case, Ξ ¯ ( { } ) Ξ ¯ ( { } ) = , implies { } Ξ ¯ ( { } ) = and { } Ξ ¯ ( { } ) = . This means that Ξ ¯ ( { } ) and Ξ ¯ ( { } ) ) . Thus, Ξ ¯ ( { } ) and Ξ ¯ ( { } ) . Hence, in either case, (2) holds.
(2) ( 1 ) : Assume that (2) holds, and let Ω . Then,
either Ξ ¯ ( { } ) and Ξ ¯ ( { } ) or Ξ ¯ ( { } ) and Ξ ¯ ( { } ) .
If Ξ ¯ ( { } ) and Ξ ¯ ( { } ) , then
Ξ ¯ ( { } ) = Ξ ¯ ( { } ) .
If Ξ ¯ ( { } ) a n d Ξ ¯ ( { } ) , then
Ξ ¯ ( { } ) Ξ ¯ ( { } ) = .
From (14) and (15), we complete the proof. □
Corollary 10. 
For a graph AS ( Ω , Ξ ) , the next statements are equivalent:
(1) 
Ω is a graph Ξ 0 —space;
(2) 
If Ξ , then Ξ for all Ω .
Corollary 11. 
For a graph IAS ( Ω , Ξ , L ) , the next statements are equivalent:
(1) 
Ω is a graph Ξ 0 * * —space;
(2) 
If Ξ ¯ ¯ ( { } ) , then Ξ ¯ ¯ ( { } ) for all Ω .
Definition 14. 
(i) A graph AS ( Ω , Ξ ) is called a graph T 2 —space if Ω , there exists , Ω such that
Ξ ( C ( ) ) , Ξ ( C ( ) ) and C ( ) C ( ) = .
(ii) A graph IAS ( Ω , Ξ , L ) is called a graph T 2 * —space if Ω , there exists , Ω such that
Ξ ̲ ( C ( ) ) , Ξ ̲ ( C ( ) ) and C ( ) C ( ) = .
(iii) A graph IAS ( Ω , Ξ , L ) is called a graph T 2 * * —space if Ω , there exists , Ω such that
Ξ ̲ ̲ ( C ( ) ) , Ξ ̲ ̲ ( C ( ) ) and C ( ) C ( ) = .
Theorem 6. 
For a graph IAS ( Ω , Ξ , L ) , the next statements are equivalent:
(1) 
Ω is a graph T 2 * —space;
(2) 
Ω : Ξ ̲ ( C ( ) ) , ( Ξ ¯ ( C ( ) ) ) c for all Ω .
Proof. 
(1) ( 2 ) : Assume that Ω is a graph T 2 * —space, and let Ω . Then, there exists , Ω such that Ξ ̲ ( C ( ) ) , Ξ ̲ ( C ( ) ) and C ( ) C ( ) = . Thus, Ξ C ( ) c = C ( Λ ) for some Λ L and C ( ) C ( ) c . So, ( Ξ { } ) C ( ) = C ( Λ * ) for some Λ * L , i.e., D * ( C ( ) ) . Hence, Ξ ̲ ( C ( ) ) D * ( C ( ) ) = and Ξ ̲ ( C ( ) ) C ( ) = , i.e., Ξ ̲ ( C ( ) ) Ξ ¯ ( C ( ) ) = . Therefore, Ξ ̲ ( C ( ) ) , Ξ ̲ ( C ( ) ) ( Ξ ¯ ( C ( ) ) ) c .
(2) ( 1 ) : Assume that (2) holds and let Ω . Then, by (2), there exists Ω such that Ξ ̲ ( C ( ) ) , ( Ξ ¯ ( C ( ) ) ) c . Assume that C ( ) = ( Ξ ¯ ( C ( ) ) ) c . Then, C ( ) = Ξ ̲ ( [ C ( ) ] c ) (from Theorem 2 (1)), and so, Ξ ̲ ( C ( ) ) = Ξ ̲ ( Ξ ̲ ( [ C ( ) ] c ) ) = Ξ ̲ ( [ C ( ) ] c ) = C ( ) . Also, C ( ) C ( ) = C ( ) Ξ ̲ ( [ C ( ) ] c ) C ( ) [ C ( ) ] c = . Thus, Ω is a graph T 2 * —space. □
Corollary 12. 
For a graph AS, ( Ω , Ξ ) , the next statements are equivalent:
(1) 
Ω is a graph T 2 —space;
(2) 
Ω : Ξ ( C ( ) ) , ( Ξ ( C ( ) ) ) c for all Ω .
Corollary 13. 
For a graph IAS, ( Ω , Ξ , L ) , the next statements are equivalent:
(1) 
Ω is a graph T 2 * * —space;
(2) 
Ω : Ξ ̲ ̲ ( C ( ) ) , ( Ξ ¯ ¯ ( C ( ) ) ) c for all Ω .
Corollary 14. 
For a graph IAS ( Ω , Ξ , L ) , the following holds:
(1) 
Graph- T 1 = graph - Ξ 0 + graph - T 0 ;
(2) 
graph - T 1 * = graph - Ξ 0 * + graph - T 0 * ;
(3) 
graph - T 1 * * = graph - Ξ 0 * * + graph - T 0 * * .
Proof. 
The proof is immediately constructed from Definition 13, Propositions 3 and 4, and Corollaries 6–9. □
Remark 4. 
For a special graph Ω = K n , n 2 or a circular graph Ω = C n , n 2 with a proper graph ideal K P ( Ω ) , ( Ω , Ξ , L ) is not a graph - T i or a graph - T i * or a graph - T i * * for i = 0 , 1 , 2 .
Remark 5. 
From Definitions 11, 12, and 14, we have the implication given in Figure 5.
To demonstrate that the implication is irreversible, we present the following examples. Also, the examples show that graph - Ξ 0 graph - T 0 , graph - Ξ 0 graph - Ξ 0 * ,   graph - Ξ 0 * graph - T 0 * , graph - Ξ 0 * graph - Ξ 0 * * and graph - Ξ 0 * * graph - T 0 * * .
Example 6. 
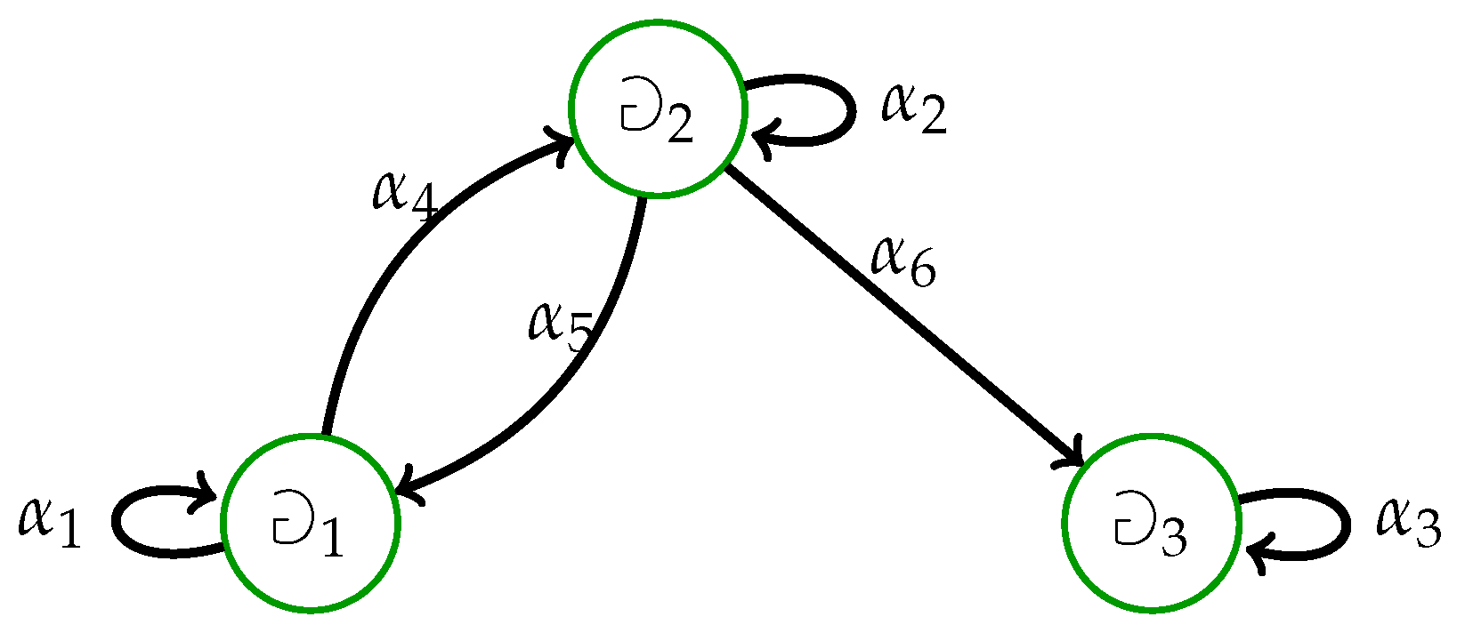
(1) Assume that Ω is the graph ( C ( Ω ) , M ( Ω ) ) , where C ( Ω ) = { 1 , 2 , 3 } and M ( Ω ) = { α 1 , α 2 , α 3 , α 4 } . The drawing of this graph Ω is given in Figure 6.
  • The relation Ξ on the above graph Ω has the form Ξ = { ( 1 , 1 ) , ( 1 , 2 ) , ( 2 , 2 ) , ( 3 , 3 ) } . Then, 1 Ξ = { 1 , 2 } , 2 Ξ = { 2 } , 3 Ξ = { 3 } . Thus, 1 Ξ { 3 } = 2 Ξ { 1 } = 2 Ξ { 3 } = . So, Ξ ( { 1 } ) Ξ ( { 2 } ) Ξ ( { 3 } ) . Hence, Ω is a graph - T 0 —space. But ( 1 Ξ { 1 } ) { 2 } = { 2 } . Then, D ( { 2 } ) . Thus, Ω is not a graph - T 1 . Also, 2 1 Ξ but 1 2 Ξ . Thus, Ω is not graph - Ξ 0
(2) 
In (1), define a graph ideal L on Ω as L = { ( , ) , ( { 1 } , ) , ( { 3 } , ) , ( { 1 , 3 } , ) , ( { 1 , 3 } , { α 5 } ) } . Then, 1 Ξ { 3 } = 2 Ξ { 1 } = 2 Ξ { 3 } = L . Thus, Ξ ¯ ( { 1 } ) Ξ ¯ ( { 2 } ) Ξ ¯ ( { 3 } ) . So, Ω is graph - T 0 * . But ( 1 Ξ { 1 } ) { 2 } L . Then, D * ( { 2 } ) . Thus, Ω is not a graph - T 1 * . Also, 1 Ξ ¯ ( { 2 } ) but 2 Ξ ¯ ( { 1 } ) . Then, Ω is not a graph - Ξ 0 * .
(3) 
Assume that Ω is the graph ( C ( Ω ) , M ( Ω ) ) , where C ( Ω ) = { 1 , 2 , 3 } and M ( Ω ) = { α 1 , α 2 , α 3 , α 4 , α 5 } . The drawing of this graph Ω is given in Figure 7.
The relation Ξ on the above graph Ω has the form Ξ = { ( 1 , 1 ) , ( 1 , 2 ) , ( 2 , 1 ) , ( 2 , 2 ) , ( 3 , 3 ) } . Then, 1 Ξ = { 1 , 2 } , 2 Ξ = { 1 , 2 } , 3 Ξ = { 3 } . Define a graph ideal L on the graph Ω as L = { ( , ) , ( { 3 } , ) } . As a result, we have the following:
(i) For 1 2 , 2 1 Ξ , and 1 2 Ξ ;
(ii) For 2 3 , 2 3 Ξ and 3 2 Ξ ;
(iii) For 1 3 , 1 3 Ξ and 3 1 Ξ .
So, Ω is a graph - Ξ 0 . But 2 1 Ξ and 1 2 Ξ . Then, Ω is not graph - T 0 .
(4) 
From (3), we have the following cases:
If 1 2 , then 1 Ξ { 2 } = C ( Λ ) for some Λ L a n d 2 Ξ { 1 } = C ( η ) for some η L . Thus, 1 Ξ ¯ ( { 2 } ) a n d 2 Ξ ¯ ( { 1 } ) .
If 2 3 , then 2 Ξ { 3 } = 3 Ξ { 2 } = and ( , ) L . Thus, 2 Ξ ¯ ( { 3 } ) a n d 3 Ξ ¯ ( { 2 } ) .
If 1 3 , then 1 Ξ { 3 } = 3 Ξ { 1 } = = and ( , ) L . Thus, 1 Ξ ¯ ( { 3 } ) a n d 3 Ξ ¯ ( { 1 } ) .
So, Ω is a graph - Ξ 0 * . But Ξ ¯ ( { 1 } ) = Ξ ¯ ( { 2 } ) = { 1 , 2 } . Then, Ω is not a graph - T 0 * .
(5) 
From (3), ( 2 Ξ { 2 } ) { 1 } = { 1 } . Then, D ( { 1 } ) . Thus, Ω is not a graph - T 1 . But if L = { ( , ) , ( { 1 } , ) , ( { 2 } , ) , ( { 1 , 2 } , ) , ( { 1 , 2 } , { α 4 } ) , ( { 1 , 2 } , { α 5 } ) , ( { 1 , 2 } , { α 4 , α 5 } ) } , then 2 Ξ { 1 } = C ( Λ ) for some Λ L and 3 Ξ { 1 } = and ( , ) L . Thus, Ξ ¯ ( { 1 } ) = { 1 } , 1 Ξ { 2 } = C ( Λ * ) for some Λ * L and 3 Ξ { 2 } = and ( , ) L . So, Ξ ¯ ( { 2 } ) = { 2 } , 2 Ξ { 3 } = C ( η ) for some η L and 1 Ξ { 3 } = and ( , ) L . Hence, Ξ ¯ ( { 3 } ) = { 3 } . Therefore, Ω is graph - T 1 * .
(6) 
From (5), Ω is graph - T 0 * , but it is not graph - T 0 .
(7) 
In (1), suppose that L = { ( , ) , { 2 , ) } } . Then, we have the following cases:
If 1 2 , 1 Ξ { 2 } = C ( Λ ) for some Λ L and 2 Ξ { 1 } = C ( Λ * ) for some Λ * L , then 1 Ξ ¯ ( { 2 } ) and 2 Ξ ¯ ( { 1 } ) .
If 2 3 , 2 Ξ { 3 } = 3 Ξ { 2 } = and ( , ) L , then 2 Ξ ¯ ( { 3 } ) and 3 Ξ ¯ ( { 2 } ) .
If 1 3 , 1 Ξ { 3 } = 3 Ξ { 1 } = and ( , ) L , then 1 Ξ ¯ ( { 3 } ) and 3 Ξ ¯ ( { 1 } ) .
Thus, Ω is graph - Ξ 0 * . But 2 1 Ξ and 1 2 Ξ . Then, Ω is not graph - Ξ 0 .
(8) 
In (3), Ω is not graph - Ξ 0 . But 2 Ξ ¯ ( { 1 } ) and 1 Ξ ¯ ( { 2 } ) . Then, Ω is not graph - Ξ 0 * .
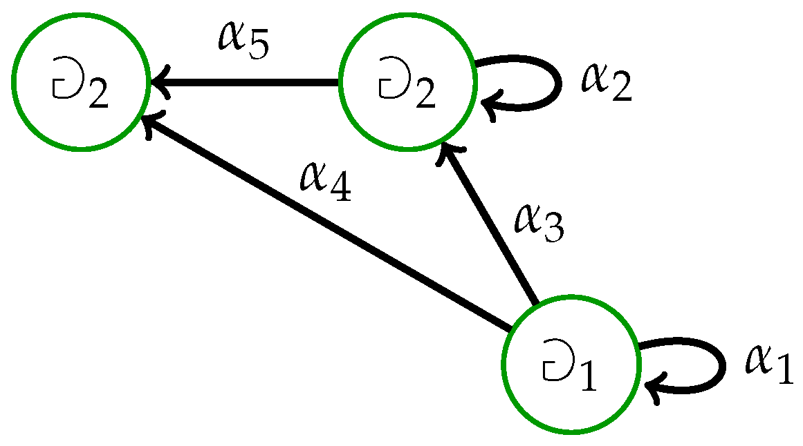
Example 7. 
(1) Assume that Ω is the graph ( C ( Ω ) , M ( Ω ) ) , where C ( Ω ) = { 1 , 2 , 3 } and M ( Ω ) = { α 1 , α 2 , α 3 , α 4 , α 5 } . The drawing of this graph Ω is given in Figure 8.
  • The relation Ξ on the above graph Ω has the form Ξ = { ( 1 , 1 ) , ( 1 , 2 ) , ( 2 , 1 ) , ( 2 , 2 ) , ( 3 , 3 ) } . Then, 1 Ξ = { 1 , 2 } , 2 Ξ = { 1 , 2 } , 3 Ξ = { 3 } . Also, Ξ 1 = { 1 , 2 } , Ξ 2 = { 1 , 2 } , Ξ 3 = { 3 } . Thus, Ξ 1 Ξ = { 1 , 2 } , Ξ 2 Ξ = { 1 , 2 } , Ξ 3 Ξ = { 3 } . Define a graph ideal L as L = { ( , ) , ( { 2 } , ) } . As a result, Ξ 1 Ξ { 2 } = C ( Λ ) for some Λ L , Ξ 1 Ξ { 3 } = Ξ 2 Ξ { 3 } = and ( , ) L . Hence, Ξ ¯ ¯ ( { 1 } ) Ξ ¯ ¯ ( { 2 } ) Ξ ¯ ¯ ( { 3 } ) . Therefore, Ω is graph - T 0 * * . But ( Ξ 2 Ξ { 2 } ) { 1 } = C ( η ) for some η L . Then, D * ( { 1 } ) . Thus, Ω is not a graph - T 1 * * . Also, 1 Ξ ¯ ¯ ( { 2 } ) but 2 Ξ ¯ ¯ ( { 1 } ) . Then, Ω is not graph - Ξ 0 * * .
(2) 
In (1), define a graph ideal L as L = { ( , ) , ( { 3 } , ) } . Then, we have the following cases.
For 1 2 , Ξ 1 Ξ { 2 } L and Ξ 2 Ξ { 1 } L , 1 Ξ ¯ ¯ ( { 2 } ) and 2 Ξ ¯ ¯ ( { 1 } ) .
For 2 3 , Ξ 2 Ξ { 3 } = Ξ 3 Ξ { 2 } = and ( , ) L , 2 Ξ ¯ ¯ ( { 3 } ) and 3 Ξ ¯ ¯ ( { 2 } ) .
For 1 3 , Ξ 1 Ξ { 3 } = Ξ 3 Ξ { 1 } = and ( , ) L , 1 Ξ ¯ ¯ ( { 3 } ) and 3 Ξ ¯ ¯ ( { 1 } ) .
Thus, Ω is graph - Ξ 0 * * . But Ξ ¯ ¯ ( { 1 } ) = Ξ ¯ ¯ ( { 2 } ) = { 1 , 2 } . Then, Ω is not graph - T 0 * * .
(3) 
From (2), Ω is graph - Ξ 0 * * . But 2 Ξ { 3 } = C ( Λ * ) for some Λ * L and 3 Ξ { 2 } = C ( μ ) for some μ L . Then, 2 Ξ ¯ ( { 3 } ) , but 3 Ξ ¯ ( { 2 } ) . Thus, Ω is not graph - Ξ 0 * * .
(4) 
Assume that Ω is the graph ( C ( Ω ) , M ( Ω ) ) , where C ( Ω ) = { 1 , 2 , 3 } and M ( Ω ) = { α 1 , α 2 , α 3 , α 4 } . The drawing of this graph Ω is given in Figure 9.
The relation Ξ on the above graph Ω has the form Ξ = { ( 1 , 1 ) , ( 1 , 2 ) , ( 2 , 3 ) , ( 3 , 3 ) } . Then, 1 Ξ = { 1 , 2 } , 2 Ξ = { 1 , 2 } , 3 Ξ = { 3 } . Also, Ξ 1 = { 1 } , Ξ 2 = { 2 , 3 } , Ξ 3 = { 2 , 3 } . Thus, Ξ 1 Ξ = { 1 } , Ξ 2 Ξ = { 2 } , Ξ 3 Ξ = { 3 } . Define a graph ideal as { ( , ) , ( { 3 } , ) } . As a result, we have the following:
(i) 
Ξ 2 Ξ { 1 } = Ξ 3 Ξ { 1 } = and ( , ) L , i.e., Ξ ¯ ¯ ( { 1 } ) = { 1 } .
(ii) 
Ξ 1 Ξ { 2 } = Ξ 3 Ξ { 2 } = and ( , ) L , i.e., Ξ ¯ ¯ ( { 2 } ) = { 2 } .
(iii) 
Ξ 2 Ξ { 3 } = Ξ 1 Ξ { 3 } = and ( , ) L , i.e., Ξ ¯ ¯ ( { 3 } ) = { 3 } .
Thus, Ω is a graph - T 1 * * . But 2 Ξ { 1 } = { 1 } = C ( Λ ) for some Λ L . Then, Ξ ¯ ( { 1 } ) { 1 } . Hence, Ω is not a graph - T 1 * .
(5) 
According to (4), Ω is graph - T 0 * * . But Ξ ¯ ( { 1 } ) = Ξ ¯ ( { 2 } ) = { 1 , 2 } . Then, Ω is not a graph - T 0 * .
(6) 
Assume that Ω is the graph ( C ( Ω ) , M ( Ω ) ) , where C ( Ω ) = { 1 , 2 , 3 } and M ( Ω ) = { α 1 , α 2 , α 3 , α 4 , α 5 , α 6 } . The drawing of this graph Ω is given in Figure 10.
The relation Ξ on the above graph Ω has the form Ξ = { ( 1 , 1 ) , ( 1 , 2 ) , ( 2 , 1 ) , ( 2 , 2 ) , ( 2 , 3 ) , ( 3 , 3 ) } . Then, 1 Ξ = { 1 , 2 } , 2 Ξ = { 1 , 2 } , 3 Ξ = { 3 } . Also, Ξ 1 = { 1 , 2 } , Ξ 2 = { 2 } , Ξ 3 = { 2 , 3 } . Thus, Ξ 1 Ξ = { 1 , 2 } , Ξ 2 Ξ = { 2 } , Ξ 3 Ξ = { 3 } . Define a graph ideal as { ( , ) , ( { 3 } , ) } . As a result, we have the following:
(i) 
For 1 2 , 1 Ξ { 2 } = C ( Λ ) for some Λ L and 2 Ξ { 1 } L , i.e., 1 Ξ ¯ ( { 2 } ) and 2 Ξ ¯ ( { 1 } ) .
(ii) 
For 2 3 , 2 Ξ { 3 } = 3 Ξ { 2 } = and ( , ) L , i.e., 2 Ξ ¯ ( { 3 } ) and 3 Ξ ¯ ( { 2 } ) .
(iii) 
For 1 3 , 1 Ξ { 3 } = 3 Ξ { 1 } = and ( , ) L , i.e., 1 Ξ ¯ ( { 3 } ) and 3 Ξ ¯ ( { 1 } ) .
Hence, Ω is a graph - Ξ 0 * . But Ξ 1 Ξ { 2 } = C ( Λ * ) for some Λ * L and Ξ 2 Ξ { 1 } = C ( η ) for some η L . Then, 1 Ξ ¯ ¯ ( { 2 } ) , but 2 Ξ ¯ ¯ ( { 1 } ) . Thus, Ω is not graph - Ξ 0 * * .
Example 8. 
(1) Assume that Ω = ( C ( Ω ) , M ( Ω ) ) is an infinite graph, and Ξ = C ( Ω ) × C ( Ω ) . A graphical representation of the infinite graph Ω is given in Figure 11.
If L f is the graph ideal of finite subgraphs of Ω , then
Ξ ( C ( ) ) = C ( ) i f c i s f i n i t e , o t h e r w i s e .
Thus, Ω , we have the following:
Ξ ( { } c ) = { } c , { } c a n d Ξ ( { } c ) = { } c , { } c .
So, Ω is a graph - T 1 . But Ω is not graph - T 2 , since if Ξ ( C ( ) ) , Ξ ( C ( ) ) and C ( ) C ( ) = , then Ξ ( C ( ) ) Ξ ( C ( ) ) = and Ξ ( C ( ) ) ( Ξ ( C ( ) ) ) c , which is impossible because Ξ ( C ( ) ) is infinite and ( Ξ ( C ( ) ) ) c is finite.
(2) In (1), we have the following:
Ξ ̲ ( C ( ) ) = Ξ ̲ ̲ ( C ( ) ) = C ( ) i f c L f , o t h e r w i s e .
Then, Ω , we have the following:
Ξ ̲ ( { } c ) = Ξ ̲ ̲ ( { } c ) = { } c , { } c a n d Ξ ̲ ( { } c ) = Ξ ̲ ̲ ( { } c ) = { } c , { } c .
Thus, Ω is graph - T 1 * and graph - T 1 * * . But Ω is neither graph - T 2 * nor graph - T 2 * * .
(3) In Example 6 (1), if L = { ( , ) , ( { 1 } , ) , ( { 2 } , ) } , ( { 1 , 2 } , ) } , ( { 1 , 2 } , { α 4 } ) } } , then Ξ ̲ ( { 1 } ) = { 1 } , Ξ ̲ ( { 2 } ) = { 2 } and Ξ ̲ ( { 3 } ) = { 3 } . Thus, Ω is graph - T 2 * . But Ω is not graph - T 2 , since it is not graph - T 1 .
(4) In Example 7 (4), we have Ξ ̲ ̲ ( { 1 } ) = { 1 } , Ξ ̲ ̲ ( { 2 } ) = { 2 } and Ξ ̲ ̲ ( { 3 } ) = { 3 } . Then, Ω is a graph - T 2 * * . But Ω is not graph - T 2 * , since it is not graph - T 1 * .
Definition 15. 
Assume that ( Ω , Ξ 1 ) and ( Ω , Ξ 2 ) are ASs, and let L be a graph ideal on Ω. Then, we have the following:
(i) A function f : ( Ω , Ξ 1 ) ( Ω , Ξ 2 ) is said to be continuous if Ξ 1 ( f 1 ( C ( μ ) ) ) f 1 ( Ξ 2 ( C ( μ ) ) ) , i.e., Ξ 1 ( f 1 ( C ( μ ) ) ) f 1 ( Ξ 2 ( C ( μ ) ) ) for all μ Ω .
(ii) A function f : ( Ω , Ξ 1 , L ) ( Ω , Ξ 2 ) is said to be *—graph continuous (resp. * * —graph continuous) if Ξ 1 ̲ ( f 1 ( C ( μ ) ) ) f 1 ( Ξ 2 ( C ( μ ) ) ) (resp. Ξ 1 ̲ ̲ ( f 1 ( C ( μ ) ) ) f 1 ( Ξ 2 ( C ( μ ) ) ) ), i.e., Ξ 1 ¯ ( f 1 ( C ( μ ) ) ) f 1 ( Ξ 2 ( C ( μ ) ) (resp. Ξ 1 ¯ ¯ ( f 1 ( C ( μ ) ) ) f 1 ( Ξ 2 ( C ( μ ) ) ) for all μ Ω .
Remark 6. 
From Theorem 3 (3), we have the following diagram:
C o n t i n u o u s * g r a p h c o n t i n u o u s * * g r a p h c o n t i n u o u s .
The following example shows that the implication in the diagram is not reversible.
Example 9. 
Assume that Ω is the graph ( C ( Ω ) , M ( Ω ) ) , where C ( Ω ) = { 1 , 2 , 3 } and M ( Ω ) = { α 1 , α 2 , α 3 , α 4 , α 5 } . Also, let Ω be the graph ( C ( Ω ) , M ( Ω ) ) , where C ( Ω ) = { 1 , 2 , 3 } and M ( Ω ) = { α 1 , α 2 , α 3 , α 4 , α 5 } . The graphical representations of the two graphs Ω and Ω are given in Figure 12.
The relation on the above graph Ω has the form Ξ 1 = { ( 1 , 1 ) , ( 1 , 2 ) , ( 1 , 3 ) , ( 2 , 2 ) , ( 2 , 3 ) } , and the relation on the graph Ω has the form Ξ 2 = { ( 1 , 1 ) , ( 1 , 2 ) , ( 2 , 1 ) , ( 2 , 2 ) , ( 3 , 3 ) } . Then, 1 Ξ 1 = { 1 , 2 , 3 } , 2 Ξ 1 = { 2 , 3 } , 3 Ξ 1 = { 2 , 3 } . Also, Ξ 1 1 = { 1 } , Ξ 1 2 = { 1 , 2 } , Ξ 1 3 = . Thus,
Ξ 1 1 Ξ 1 = { 1 } , Ξ 1 2 Ξ 1 = { 2 } , Ξ 1 3 Ξ 1 = .
On the other hand, 1 Ξ 2 = { 1 , 2 } , 2 Ξ 2 = { 1 , 2 } , 3 Ξ 2 = { 3 } . Also, Ξ 2 1 = { 1 , 2 } , Ξ 2 2 = { 1 , 2 } , Ξ 2 3 = { 3 } . So,
Ξ 2 1 Ξ 2 = { 1 , 2 } , Ξ 2 2 Ξ 2 = { 1 , 2 } , Ξ 2 3 Ξ 2 = { 3 } .
Assume that f : ( C ( Ω ) , Ξ 1 , L ) ( Ω , Ξ 2 ) is the mapping given by f ( 1 ) = f ( 2 ) = 1 , f ( 3 ) = 3 .
(1) Define a graph ideal as { ( , ) , ( { 2 } , ) , ( { 3 } , ) , ( { 2 , 3 } , ) , ( { 2 , 3 } , { α 5 } ) } . As a result, we have the following:
Ξ 1 ̲ ( f 1 ( { 1 } ) ) = { 1 , 2 } f 1 ( Ξ 2 ( { 1 } ) ) = ,
Ξ 1 ̲ ( f 1 ( { 2 } ) ) = f 1 ( Ξ 2 ( { 2 } ) ) = ,
Ξ 1 ̲ ( f 1 ( { 3 } ) ) = { 3 } f 1 ( Ξ 2 ( { 3 } ) ) = { 3 } ,
Ξ 1 ̲ ( f 1 ( { 1 , 2 } ) ) = { 1 , 2 } f 1 ( Ξ 2 ( { 1 , 2 } ) ) = { 1 , 2 } ,
Ξ 1 ̲ ( f 1 ( { 1 , 3 } ) ) = C ( Ω ) f 1 ( Ξ 2 ( { 1 , 3 } ) ) = { 3 } ,
Ξ 1 ̲ ( f 1 ( { 2 , 3 } ) ) = { 3 } f 1 ( Ξ 2 ( { 2 , 3 } ) ) = { 3 } .
Thus, f is *—graph continuous. But f is not continuous, since Ξ 1 ( f 1 ( { 3 } ) ) = f 1 ( Ξ 2 ( { 3 } ) ) = { 3 } .
(2) Consider L = { ( , ) , ( { 1 } , ) } . Then, we obtain
Ξ 1 ̲ ̲ ( f 1 ( { 1 } ) ) = { 1 , 2 } f 1 ( Ξ 2 ( { 1 } ) ) = ,
Ξ 1 ̲ ̲ ( f 1 ( { 2 } ) ) = f 1 ( Ξ 2 ( { 2 } ) ) = ,
Ξ 1 ̲ ̲ ( f 1 ( { 3 } ) ) = { 3 } f 1 ( Ξ 2 ( { 3 } ) ) = { 3 } ,
Ξ 1 ̲ ̲ ( f 1 ( { 1 , 2 } ) ) = { 1 , 2 } f 1 ( Ξ 2 ( { 1 , 2 } ) ) = { 1 , 2 } ,
Ξ 1 ̲ ̲ ( f 1 ( { 1 , 3 } ) ) = C ( Ω ) f 1 ( Ξ 2 ( { 1 , 3 } ) ) = { 3 } ,
Ξ 1 ̲ ̲ ( f 1 ( { 2 , 3 } ) ) = { 3 } f 1 ( Ξ 2 ( { 2 , 3 } ) ) = { 3 } .
Thus, f is * * —graph continuous. While f is not *—graph continuous, since
Ξ 1 ̲ ( f 1 ( { 1 , 2 } ) ) = f 1 ( Ξ 2 ( { 1 , 2 } ) ) = { 1 , 2 } .
Theorem 7. 
Assume that f : ( C ( Ω ) , Ξ 1 ) ( Ω , Ξ 2 ) be an injective continuous function. Then, ( Ω , Ξ 1 , L ) is a graph- T i * if ( Ω , Ξ 2 ) is a graph- T i for i = 0 , 1 , 2 .
Proof. 
Assume that ( Ω , Ξ 2 ) is a graph - T i for i = 0 , 1 , 2 and let in Ω . We provide a proof for i = 2 . Since f is injective, f ( ) f ( ) in Ω . Then, by the hypothesis, there exist μ , ν Ω such that f ( ) Ξ 1 ( C ( μ ) ) , f ( ) Ξ 2 ( W ) and C ( μ ) W = , i.e., f 1 ( Ξ 2 ( C ( μ ) ) ) , f 1 ( Ξ 2 ( W ) ) and f 1 ( C ( μ ) ) f 1 ( W ) = . Since f is continuous, Ξ 1 ( f 1 ( C ( μ ) ) ) , Ξ 2 ( f 1 ( W ) ) . Thus, Ξ 1 ̲ ( f 1 ( C ( μ ) ) ) , Ξ 1 ̲ ( f 1 ( W ) ) , i.e., there exists C ( ) = f 1 ( C ( μ ) ) , C ( ) = f 1 ( W ) in Ω such that Ξ 1 ̲ ( C ( ) ) , Ξ 1 ̲ ( C ( ) ) and C ( ) C ( ) = . So, ( Ω , Ξ 1 , L ) is graph - T 2 * . For i = 0 , 1 the proofs are similar. □
Corollary 15. 
Assume that f : ( Ω , Ξ 1 ) ( Ω , Ξ 2 ) is an injective continuous function. Then, ( Ω , Ξ 1 , L ) is graph - T i * * if ( Ω , Ξ 2 ) is graph - T i for i = 0 , 1 , 2 .

6. Connectedness in Graph IASs

Definition 16. 
Assume that ( Ω , Ξ ) is a graph AS. Then,
(i) Two subgraphs , Ω are called graph-separated if Ξ ( C ( ) ) C ( ) = C ( ) Ξ ( C ( ) ) = .
(ii) A subgraph Ω Ω is called graph-disconnected if there exist separated subgraphs Ω such that Ω . Ω is said to be graph-connected (contains one component) if it is not graph disconnected (more than one component).
(iii) ( Ω , Ξ ) is called a graph-disconnected space if there exist two graph separated subgraphs , Ω such that = Ω . ( Ω , Ξ ) is called a graph connected space if it is not graph disconnected space.
Definition 17. 
Assume that ( Ω , Ξ , L ) is a graph IAS. Then, we have the following:
(i) , Ω is called a *—graph-separated (resp. * * —graph-separated) set if Ξ ¯ ( C ( ) ) C ( ) = C ( ) Ξ ¯ ( C ( ) ) = (resp. Ξ ¯ ¯ ( C ( ) ) C ( ) = C ( ) Ξ ¯ ¯ ( C ( ) ) = ).
(ii) Ω Ω is called a *—graph-disconnected (resp. * * —graph-disconnected) set if there exist *—graph-separated (resp. * * —graph-separated) subgraphs , Ω such that Ω . Ω is said to be *—graph-connected (resp. * * —graph-connected) if it is not *—graph-disconnected (resp. * * —graph-disconnected).
(iii) ( Ω , Ξ , L ) is called a *—graph-disconnected (resp. * * —graph-disconnected) space if there exist *—graph-separated (resp. * * —graph-separated) subgraphs , Ω such that = Ω . ( Ω , Ξ , L ) is called a *—graph-connected (resp. * * —graph-connected) space if it is not a *—graph-disconnected (resp. * * —graph-disconnected) space.
Remark 7. 
We propose the next diagrams:
g r a p h s e p a r a t e d * g r a p h s e p a r a t e d * * g r a p h s e p a r a t e d .
Then, we have
* * g r a p h c o n n e c t e d * g r a p h c o n n e c t e d g r a p h c o n n e c t e d .
The following examples demonstrate that the implications cannot be reversed.
Example 10. 
Assume that Ω is the graph ( C ( Ω ) , M ( Ω ) ) , where C ( Ω ) = { 1 , 2 , 3 , 4 } and M ( Ω ) = { α 1 , α 2 , α 3 , α 4 , α 5 , α 6 , α 7 } . We represent the graph Ω as in Figure 13:
The relation Ξ on the graph Ω has the form Ξ = { ( 1 , 1 ) , ( 1 , 2 ) , ( 2 , 2 ) , ( 2 , 3 ) , ( 3 , 3 ) , ( 4 , 4 ) , ( 4 , 2 ) } . Then, 1 Ξ = { 1 , 2 } , 2 Ξ = { 2 } , 3 Ξ = { 3 } , 4 Ξ = { 2 , 4 } . Also, Ξ 1 = { 1 } , Ξ 2 = { 2 } , Ξ 3 = { 2 , 3 } , Ξ 4 = { 4 } . Thus, Ξ 1 Ξ = { 1 } , Ξ 2 Ξ = { 2 } , Ξ 3 Ξ = { 3 } , Ξ 4 Ξ = { 4 } .
(1) 
Define a graph ideal L on Ω as L = { ( , ) , ( { 2 } , ) } . For C ( ) = { 1 , 3 } , C ( ) = { 2 , 4 } , we have the following:
Ξ ( C ( ) ) = C ( ) { C ( Ω ) : Ξ C ( ) } = { 1 , 3 } a n d Ξ ( C ( ) ) = { 1 , 2 , 4 } ,
Ξ ¯ ( C ( ) ) = C ( ) { C ( Ω ) : Ξ C ( ) = C ( Λ ) for some Λ L } = { 1 , 3 } a n d Ξ ¯ ( C ( ) ) = { 2 , 4 } .
Thus, Ξ ¯ ( C ( ) ) C ( ) = C ( ) Ξ ¯ ( C ( ) ) = , but C ( ) Ξ ( C ( ) ) = { 1 } . So, ℶ and ℸ are *—graph-separated subgraphs but are not graph-separated subgraphs.
(2) 
Define a graph ideal L on Ω as L = { ( , ) , ( { 4 } , ) } . For C ( ) = { 2 } , C ( ) = { 1 , 4 } , we obtain the following:
Ξ ¯ ( C ( ) ) = C ( ) { C ( Ω ) : Ξ C ( ) = C ( Λ ) for some Λ L } = { 1 , 2 , 4 } and Ξ ¯ ( C ( ) ) = { 1 , 4 } ,
Ξ ¯ ¯ ( C ( ) ) = C ( ) { C ( Ω ) : Ξ Ξ C ( ) = C ( Λ * ) for some Λ * L } = { 2 } and Ξ ¯ ¯ ( C ( ) ) = { 1 , 4 } .
Thus, Ξ ¯ ¯ ( C ( ) ) C ( ) = C ( ) Ξ ¯ ¯ ( C ( ) ) = , but Ξ ¯ ( C ( ) ) C ( ) = { 1 } . So, ℶ and ℸ are * * —graph-separated subgraphs but are not *—graph-separated subgraphs.
Example 11. 
Assume that Ω is the graph ( C ( Ω ) , M ( Ω ) ) , where C ( Ω ) = { 1 , 2 , 3 } and M ( Ω ) = { α 1 , α 2 , α 3 , α 4 , α 5 } . We represent the graph Ω as in Figure 14.
The relation Ξ on the above graph Ω has the form Ξ = { ( 1 , 1 ) , ( 1 , 2 ) , ( 1 , 3 ) , ( 2 , 2 ) , ( 2 , 3 ) } . Then, 1 Ξ = { 1 , 2 , 3 } , 2 Ξ = { 2 , 3 } , 3 Ξ = { 2 , 3 } . Also, Ξ 1 = { 1 } , Ξ 2 = { 1 , 2 } , Ξ 3 = . Thus, Ξ 1 Ξ = { 1 } , Ξ 2 Ξ = { 2 } , Ξ 3 Ξ = .
(1) 
Define a graph ideal L on Ω as L = { ( , ) , ( { 2 } , ) , ( { 3 } , ) , ( { 2 , 3 } , ) , ( { 2 , 3 } , { α 5 } ) } . Then, we have the following:
Ξ ( { 2 } ) = Ξ ( { 3 } ) = Ξ ( { 2 , 3 } ) = Ξ ( { 1 , 2 } ) = Ξ ( { 1 , 3 } ) = C ( Ω ) , Ξ ( { 1 } ) = { 1 } .
Thus, Ω is a graph-connected space. But we obtain
C ( Ω ) = { 1 } { 2 , 3 } , Ξ ¯ ( { 1 } ) { 2 , 3 } = { 1 } Ξ ¯ ( { 2 , 3 } ) = .
So, Ω is not a *graph-connected space.
(2) 
Define a graph ideal L on Ω as L = { ( , ) , ( { 1 } , ) } . Then, we obtain the following:
Ξ ¯ ( { 2 } ) = Ξ ¯ ( { 3 } ) = Ξ ¯ ( { 2 , 3 } ) = Ξ ¯ ( { 1 , 2 } ) = Ξ ¯ ( { 1 , 3 } ) = C ( Ω ) , Ξ ¯ ( { 1 } ) = { 1 } .
Thus, Ω is a *—graph-connected space. But we have the following:
C ( Ω ) = { 1 } { 2 , 3 } , Ξ ¯ ¯ ( { 1 } ) { 2 , 3 } = { 1 } Ξ ¯ ¯ ( { 2 , 3 } ) = .
So, Ω is not a * * —graph-connected space.
Proposition 6. 
Assume that ( Ω , Ξ , L ) is a graph IAS. Then, the next statements are equivalent:
(1) 
Ω is *—graph connected;
(2) 
For each , Ω with = ( , ) , Ξ ̲ ( C ( ) ) = C ( ) , Ξ ̲ ( C ( ) ) = C ( ) and = Ω , = ( , ) or = ( , ) ;
(3) 
For each , Ω Ω with = ( , ) , Ξ ¯ ( C ( ) ) = C ( ) , Ξ ¯ ( C ( ) ) = C ( ) and = Ω , = ( , ) or = ( , ) .
Proof. 
(1) ( 2 ) : Assume that (1) holds, and let , Ω with Ξ ̲ ( C ( ) ) = C ( ) , Ξ ̲ ( C ( ) ) = C ( ) such that = ( , ) and = Ω . Then,
Ξ ¯ ( C ( ) ) Ξ ¯ ( C ( ) c ) = ( Ξ ̲ ( C ( ) ) ) c = C ( ) c ,
Ξ ¯ ( C ( ) ) Ξ ¯ ( [ C ( ) ] c ) = ( Ξ ̲ ( C ( ) ) ) c = [ C ( ) ] c .
Thus, Ξ ¯ ( C ( ) ) C ( ) = C ( ) Ξ ¯ ( C ( ) ) = . So, and are *—graph-separated subgraphs. Since = Ω , = ( , ) or = ( , ) by (1).
(2) ( 3 ) and ( 3 ) ( 1 ) Clear. □
Corollary 16. 
Assume that ( Ω , Ξ ) is a graph AS. Then, the next statements are equivalent:
(1) 
Ω is graph-connected;
(2) 
For each , Ω with C ( ) C ( ) = , Ξ ( C ( ) ) = C ( ) , Ξ ( C ( ) ) = C ( ) and = Ω , = ( , ) or = ( , ) ;
(3) 
For each , Ω with = ( , ) , Ξ ( C ( ) ) = C ( ) , Ξ ( C ( ) ) = C ( ) and = Ω , = ( , ) or = ( , ) .
Corollary 17. 
Assume that ( Ω , Ξ , L ) is a graph IAS. Then, the next statements are equivalent:
(1) 
Ω is * * —graph-ideal-connected;
(2) 
For each , Ω with = ( , ) , Ξ ̲ ̲ ( C ( ) ) = C ( ) , Ξ ̲ ̲ ( C ( ) ) = C ( ) and = Ω , = ( , ) or = ( , ) ;
(3) 
For each , Ω with = ( , ) , Ξ ¯ ¯ ( C ( ) ) = C ( ) , Ξ ¯ ¯ ( C ( ) ) = C ( ) and = Ω , = ( , ) or = ( , ) .
Remark 8. 
Assume that ( Ω , Ξ , L ) is a graph IAS. If the graph Ω is a strongly disconnected graph, then it is graph-disconnected, *—graph-disconnected, and **—graph-disconnected graph. Similarly, if Ω is a strongly connected graph, then it is graph-connected, *—graph-connected, and **—graph-connected, as shown in the following example
Example 12. 
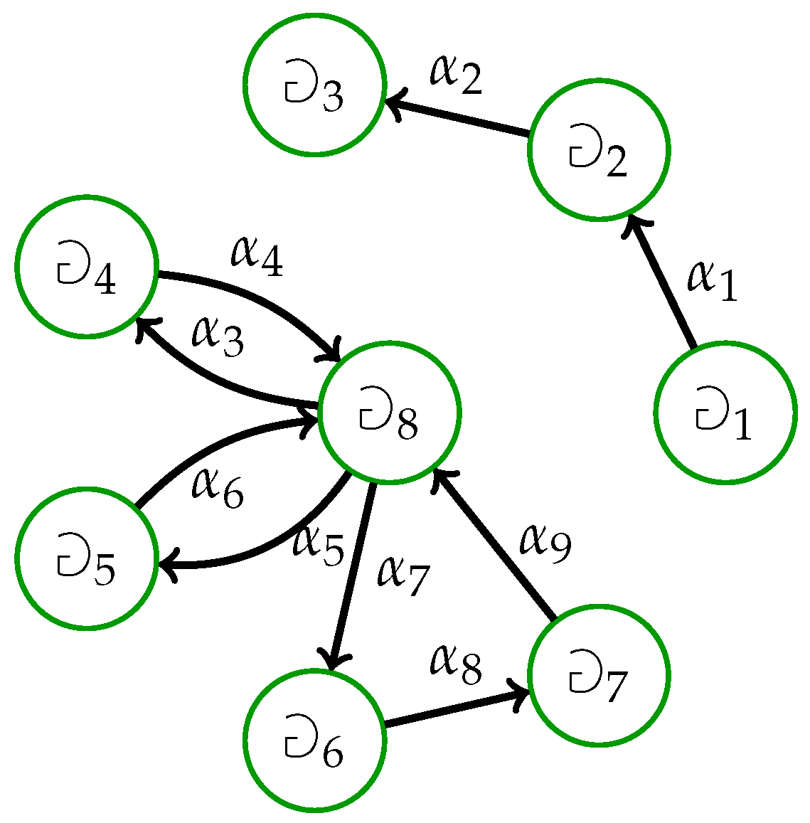
In this example, we apply Definitions 16 and 17 of connectedness to the original definition of connected and disconnected graphs. Assume that Ω is the graph ( C ( Ω ) , M ( Ω ) ) , where C ( Ω ) = { 1 , 2 , 3 , 4 , 5 , 6 , 7 , 8 } and M ( Ω ) = { α 1 , α 2 , α 3 ,   α 4 , α 5 , α 6 , α 7 , α 8 , α 9 } . The drawing of this graph Ω is given in Figure 15.
The binary relation C on the above graph Ω has the form Ξ = { ( 1 , 2 ) , ( 2 , 3 ) , ( 4 , 8 ) , ( 8 , 4 ) , ( 5 , 8 ) , ( 8 , 5 ) , ( 8 , 6 ) , ( 6 , 7 ) , ( 7 , 8 ) } . This implies that 1 Ξ = , 2 Ξ = { 2 } , 3 Ξ = { 3 } , 4 Ξ = { 4 , 5 , 6 } , 5 Ξ = { 4 , 5 , 6 } , 6 Ξ = { 4 , 5 , 6 } , 7 Ξ = { 7 } , 8 Ξ = { 8 } . Also, Ξ 1 = { 1 } , Ξ 2 = { 2 } , Ξ 3 = , Ξ 4 = { 4 , 5 , 7 } , Ξ 5 = { 4 , 5 , 7 } , Ξ 6 = { 6 } , Ξ 7 = { 4 , 5 , 7 } , Ξ 8 = { 8 } . Thus, Ξ 1 Ξ = , Ξ 2 Ξ = { 2 } , Ξ 3 Ξ = , Ξ 4 Ξ = { 4 , 5 } , Ξ 5 Ξ = { 4 , 5 } , Ξ 6 Ξ = { 6 } , Ξ 7 Ξ = { 7 } , Ξ 8 Ξ = { 8 } . Define a graph ideal L on Ω as L = { ( , ) , ( { 2 } , ) , ( { 5 } , ) , ( { 8 } , ) , ( { 2 , 5 } , ) , ( { 2 , 8 } , ) , ( { 2 , 5 , 8 } , ) , ( { 5 , 8 } , ) , ( { 5 , 8 } , { α 5 } ) , ( { 5 , 8 } , { α 6 } ) , ( { 5 , 8 } , { α 5 , α 6 } ) } . There exist two subgraphs = ( { 1 , 2 , 3 } , { α 1 , α 2 } ) and = ( { 4 , 5 , 6 , 7 , 8 } , { α 3 , α 4 , α 5 , α 6 , α 7 , α 8 , α 9 } ) such that the following is the case:
Ξ ( C ( ) ) C ( ) = C ( ) Ξ ( C ( ) ) = Ξ ¯ ( C ( ) ) C ( ) = C ( ) Ξ ¯ ( C ( ) ) = Ξ ¯ ¯ ( C ( ) ) C ( ) = C ( ) Ξ ¯ ¯ ( C ( ) ) = a n d = Ω .
Then, the graph Ω is disconnected, *—graph-disconnected, and **—graph-disconnected.
Theorem 8. 
Assume that ( Ω , Ξ , L ) is a graph IAS and C ( ν ) ν Ω is *—graph-connected. If , Ω is a *—graph separated set with ν , then either or ν .
Proof. 
Assume that and Ω are *—graph-separated sets with ν . Then, we have
Ξ ¯ ( C ( ) ) C ( ) = C ( ) Ξ ¯ ( C ( ) ) = , C ( ν ) = ( C ( ν ) C ( ) ) ( C ( ν ) C ( ) ) .
On the other hand, we obtain
Ξ ¯ ( C ( ν ) C ( ) ) ( C ( ν ) C ( ) ) Ξ ¯ ( C ( ν ) ) Ξ ¯ ( C ( ) ) ( C ( ν ) C ( ) ) = Ξ ¯ ( C ( ν ) ) C ( ν ) Ξ ¯ ( C ( ) ) C ( ) = C ( ν ) = ,
  • and
Ξ ¯ ( C ( ν ) C ( ) ) ( C ( ν ) C ( ) ) Ξ ¯ ( C ( ν ) ) Ξ ¯ ( C ( ) ) ( C ( ν ) C ( ) ) = Ξ ¯ ( C ( ν ) ) C ( ν ) Ξ ¯ ( C ( ) ) C ( ) = C ( ν ) = .
Thus, ν and ν are *—graph-separated sets with C ( ν ) = ( C ( ν ) C ( ) ) ( C ( ν ) C ( ) ) . But ν is *—graph-connected, which implies that ν or ν .
Corollary 18. 
Assume that ( Ω , Ξ ) is a graph IAS and ν Ω is connected. If , Ω is a separated subgraph with ν , then either ν or ν .
Corollary 19. 
Assume that ( Ω , Ξ , L ) is a graph IAS and ν Ω is * * —graph ideal connected. If , Ω is a * * —graph-ideal-separated set with ν , then either ν or ν .
Theorem 9. 
Assume that f : ( Ω , Ξ 1 , L ) ( Ω , Ξ 2 ) is a *—graph continuous function. Then, f ( C ( ) ) Ω is a connected subgraph if ℶ is *—graph-connected in Ω.
Proof. 
Assume that C ( ) is *—graph-connected in Ω . Assume that f ( C ( ) ) is disconnected. Then, there exist two separated subgraphs γ , μ Ω with f ( C ( ) ) C ( γ ) C ( μ ) , i.e., Ξ 2 ( C ( γ ) ) C ( μ ) = C ( γ ) Ξ 2 ( C ( μ ) ) = . Since f is *—graph-continuous, C ( ) f 1 ( C ( γ ) ) f 1 ( C ( μ ) ) . Thus, we have the following:
Ξ 1 ¯ ( f 1 ( C ( γ ) ) ) f 1 ( C ( μ ) ) f 1 ( Ξ 2 ( C ( γ ) ) ) f 1 ( C ( μ ) ) = f 1 ( Ξ 2 ( C ( γ ) ) C ( μ ) ) = f 1 ( ) = ,
Ξ 1 ¯ ( f 1 ( C ( μ ) ) ) f 1 ( C ( γ ) ) f 1 ( Ξ 2 ( C ( μ ) ) ) f 1 ( C ( γ ) ) = f 1 ( Ξ 2 ( C ( μ ) ) C ( γ ) ) = f 1 ( ) = .
So, f 1 ( C ( γ ) ) and f 1 ( C ( μ ) ) are *—graph-separated subgraphs in Ω , i.e., C ( ) f 1 ( C ( γ ) ) f 1 ( C ( μ ) ) . Hence, is *—graph-disconnected, which contradicts the statement that is *—graph-connected. Therefore, f ( C ( ) ) is a connected subgraph. □
Corollary 20. 
Assume that f : ( Ω , Ξ 1 , L ) ( Ω , Ξ 2 ) is a * * —graph continuous function. Then, f ( C ( ) ) Ω is a connected subgraph if ℶ is * * —graph-connected in Ω.

7. Conclusions

The notion of graph-induced topology, which is a generalization of topologies generated from graphs by relations and graph ideals, is introduced in this article, along with the fascinating challenge of reconstructing topology from graph vertices. We apply various ideal-based closure space definitions to graph IASs. This leads to the definition and study of graph accumulation points, graph subspaces, and the lower graph separation axioms of such spaces. More generalizations and links with graph theory are made possible by the study of graph connectedness in these spaces. The findings produced are accurate on all kinds of graphs and are provided for the first time. All things considered, this work establishes a strong basis for additional study and applications in related domains, propelling advancements in the comprehension and application of rough set theory and graph theory.
Future research might concentrate on a number of areas to further our knowledge and use of graph IASs. First, a deeper understanding of the relationships and interactions between these different frameworks may be gained by identifying the connections between graph ideal-induced topology and other mathematical structures, such as algebraic structures or metric spaces. This might lead to the development of new mathematical tools and techniques for studying and characterizing graph IASs. Second, examining how graph IASs behave when different graph alterations are made, including adding or removing edges, can help determine how resilient and flexible these spaces are in changing situations. Additionally, applying graph IASs to real-world problems and domains, such as network analysis, social sciences, and computational biology, can unlock practical insights and solutions. Better network modeling, optimization techniques, and decision-making frameworks can result from the development of specialized algorithms and methods that make use of the distinctive characteristics of IASs. Future studies can further develop the area of graph IASs and their applications across other disciplines by following these avenues.

Author Contributions

Methodology, data curation, and funding, R.A.; validation, formal analysis, and investigation, S.E.D.A.; software, writing—original draft, and writing—review of final draft, H.M.O.K.; conceptualization, supervision, and project administration, I.I. All authors have read and agreed to the published version of the manuscript.

Funding

This research received no external funding.

Data Availability Statement

The datasets used and/or analyzed during the current study are available from the corresponding author upon reasonable request.

Conflicts of Interest

The authors declare that they have no conflicts of interest.

Nomenclature

The following symbols were used in this paper:
SymbolDescription
Ω Directed graph;
C ( Ω ) Set of vertices (nodes) over Ω ;
M ( Ω ) Set of edges over Ω ;
P ( Ω ) Family of all subgraphs of Ω ;
P ( C ( Ω ) ) , P ( M ( Ω ) ) , Family of all subsets of C ( Ω ) and M ( Ω ) , respectively;
, , Λ , Ω Subgraphs of Ω ;
, Vertices (nodes) of Ω ;
α Edge of Ω ;
Ξ Relation on the graph Ω ;
Ξ Minimal right neighborhood of ;
Ξ Minimal left neighborhood of ;
Ξ Ξ Intersection of minimal left and right neighborhoods of ;
Ξ ( C ( ) ) , Ξ ̲ ( C ( ) ) , Ξ ̲ ̲ ( C ( ) ) Lower approximations of C ( ) ;
Ξ ( C ( ) ) , Ξ ¯ ( C ( ) ) , Ξ ¯ ¯ ( C ( ) ) Upper approximations of C ( ) ;
D ( C ( ) ) , D ( C ( ) ) * , D ( C ( ) ) * * Accumulation points of C ( ) ;
L Graph ideal;
L Ω Graph sub-ideal;
K n Complete graph of n-vertices;
C n Circular graph of n-vertices.

References

  1. Pawlak, Z. Rough sets. Int. J. Comput. Inf. Sci. 1982, 11, 341–356. [Google Scholar] [CrossRef]
  2. Pawlak, Z. Rough Sets, Theoretical Aspects of Reasoning About Data; Kluwer Academic Publishers: Boston, MA, USA, 1991. [Google Scholar]
  3. Nguyen, S.H.; Skowron, A.; Synak, P. Discovery of Data Patterns with Applications to Decomposition and Classification Problems, Rough Sets in Knowledge Discovery 2; Springer: Heidelberg, Germany, 1998. [Google Scholar]
  4. Slowinski, R.; Vanderpooten, D. A generalized definition of rough approximations based on similarity. IEEE Trans. Knowl. Data Eng. 2000, 12, 331–336. [Google Scholar] [CrossRef]
  5. Pawlak, Z.; Skowron, A. Rough sets and boolean reasoning. Inform. Sci. 2007, 177, 41–73. [Google Scholar] [CrossRef]
  6. El-Sheikh, S.A.; Hosny, M.; Raafat, M. Comment on rough multisets and information multisystems. Adv. Decis. Sci. 2017, 2017, 3436073. [Google Scholar] [CrossRef]
  7. Hosny, M.; Raafat, M. On generalization of rough multiset via multiset ideals. J. Intell. Fuzzy Syst. 2017, 33, 1249–1261. [Google Scholar] [CrossRef]
  8. Pei, Z.; Pei, D.; Zheng, L. Topology vs generalized rough sets. Int. J. Approx. Reason. 2011, 52, 231–239. [Google Scholar] [CrossRef]
  9. Abbas, S.; El-Sanowsy, S.; Khiamy, H.M. New approach for closure spaces by relations via ideals. Ann. Fuzzy Math. Inform. 2023, 26, 59–89. [Google Scholar]
  10. Bondy, J.A.; Murty, U. Graph Theory, Graduate Texts in Mathematics; Springer: Berlin, Germany, 2008. [Google Scholar]
  11. Othman, H.A.; Al-Shamiri, M.M.; Saif, A.; Acharjee, S.; Lamoudan, T.; Ismail, R. Pathless directed topology in connection to the circulation of blood in the heart of human body. AIMS Math 2022, 7, 18158–18172. [Google Scholar] [CrossRef]
  12. Nada, S.; Atik, A.E.; Atef, M. New types of topological structures via graphs. Math. Methods Appl. Sci. 2018, 41, 5801–5810. [Google Scholar] [CrossRef]
  13. Gnanchandra, P.; Ambigai, L. Topology via Graph Ideals. Ratio Math. 2023, 48, 1–17. [Google Scholar]
  14. Alzubaidi, H.; Kočinac, L.D.; Othman, H.A. On Topologies on Simple Graphs and Their Applications in Radar Chart Methods. Axioms 2025, 14, 178. [Google Scholar] [CrossRef]
  15. Shi, D.; Abbas, S.E.; Khiamy, H.M.; Ibedou, I. On Graph Primal Topological Spaces. Axioms 2025, 14, 662. [Google Scholar] [CrossRef]
  16. Rosenfeld, A. “Fuzzy Graph”. In Proceedings of the US—Japan Seminar on Fuzzy Sets and Their Applications, Berkeley, CA, USA, 1–4 July 1974; Academic Press: Cambridge, MA, USA, 1975; pp. 77–95. [Google Scholar]
  17. Marijuan, C. Finite topology and digraphs. Proyecciones 2010, 29, 291–307. [Google Scholar] [CrossRef]
  18. Lalithambigai, K.; Gnanachandra, P. Topologies induced on vertex set of graphs. Mapana-J. Sci. 2023, 22, 33–50. [Google Scholar]
  19. Lalithambigai, K.; Gnanachandra, P. Topologies induced by graph grills on vertex set of graphs. Neuroquantology 2022, 20, 426–435. [Google Scholar]
  20. Kandil, A.; Yakout, M.; Zakaria, A. Generalized rough sets via ideals. Ann. Fuzzy Math. Inform. 2013, 5, 525–532. [Google Scholar]
  21. Kandil, A.; El-Sheikh, S.A.; Hosny, M.; Raafat, M. Bi-ideal ASs and their applications. Soft Comput. 2020, 24, 12989–13001. [Google Scholar] [CrossRef]
  22. Allam, A.A.; Bakeir, M.; Abo-Tabl, E. New approach for closure spaces by relations. Acta Math. Acad. Paedagog. Nyregyhziensis 2006, 22, 285–304. [Google Scholar]
  23. El Atik, A.E.F.; Nawar, A.; Atef, M. Rough approximation models via graphs based on neighborhood systems. Granul. Comput. 2021, 6, 1025–1035. [Google Scholar] [CrossRef]
  24. Çaksu Güler, A. Different Neighborhoods via Ideals on Graphs. J. Math. 2022, 2022, 9925564. [Google Scholar] [CrossRef]
  25. Amiri, S.M.; Jafarzadeh, A.; Khatibzadeh, H. An Alexandroff topology on graphs. Bull. Iran. Math. Soc. 2013, 39, 647–662. [Google Scholar]
  26. Kilicman, A.; Abdulkalek, K. Topological spaces associated with simple graphs. J. Math. Anal. 2018, 9, 44–52. [Google Scholar]
  27. Nianga, C.G.; Canoy, S. On a finite topological space induced by Hop neighborhoods of a graph. Adv. Appl. Dis. Math. 2019, 21, 79–89. [Google Scholar] [CrossRef]
  28. Abdu, K.A.; Kiliciman, A. Topologies on the edges set of directed graphs. J. Math. Comp. Sci. 2018, 18, 232–241. [Google Scholar] [CrossRef]
  29. Damag, F.H.; Saif, A.; Kiliçman, A.; Mesmouli, M.B.; Alhubairah, F. Upper a-Graphical Topological Spaces with the COVID-19 Form and Its Diffusion. Axioms 2025, 14, 84. [Google Scholar] [CrossRef]
  30. Kuratowski, K. Topology; Academic Press: New York, NY, USA, 1966. [Google Scholar]
Figure 1. Graph defined in Example 1.
Figure 1. Graph defined in Example 1.
Axioms 14 00886 g001
Figure 2. Graph defined in Example 3.
Figure 2. Graph defined in Example 3.
Axioms 14 00886 g002
Figure 3. Graph defined in Example 4.
Figure 3. Graph defined in Example 4.
Axioms 14 00886 g003
Figure 4. Graph defined in Example 5.
Figure 4. Graph defined in Example 5.
Axioms 14 00886 g004
Figure 5. The implications of Remark 5.
Figure 5. The implications of Remark 5.
Axioms 14 00886 g005
Figure 6. Graph defined in Example 6 (1).
Figure 6. Graph defined in Example 6 (1).
Axioms 14 00886 g006
Figure 7. Graph defined in Example 6 (3).
Figure 7. Graph defined in Example 6 (3).
Axioms 14 00886 g007
Figure 8. Graph defined in Example 7 (1).
Figure 8. Graph defined in Example 7 (1).
Axioms 14 00886 g008
Figure 9. Graph defined in Example 7 (4).
Figure 9. Graph defined in Example 7 (4).
Axioms 14 00886 g009
Figure 10. Graphs defined in Example 7 (6).
Figure 10. Graphs defined in Example 7 (6).
Axioms 14 00886 g010
Figure 11. A graphical representation of the infinite graphs defined in Example 8.
Figure 11. A graphical representation of the infinite graphs defined in Example 8.
Axioms 14 00886 g011
Figure 12. Graphs defined in Example 9.
Figure 12. Graphs defined in Example 9.
Axioms 14 00886 g012
Figure 13. Graph defined in Example 10.
Figure 13. Graph defined in Example 10.
Axioms 14 00886 g013
Figure 14. Graph defined in Example 11.
Figure 14. Graph defined in Example 11.
Axioms 14 00886 g014
Figure 15. Strongly disconnected graph with two weak connected components in Example 12.
Figure 15. Strongly disconnected graph with two weak connected components in Example 12.
Axioms 14 00886 g015
Disclaimer/Publisher’s Note: The statements, opinions and data contained in all publications are solely those of the individual author(s) and contributor(s) and not of MDPI and/or the editor(s). MDPI and/or the editor(s) disclaim responsibility for any injury to people or property resulting from any ideas, methods, instructions or products referred to in the content.

Share and Cite

MDPI and ACS Style

Alharbi, R.; Abbas, S.E.D.; Khiamy, H.M.O.; Ibedou, I. New Approach for Closure Spaces on Graphs Based on Relations and Graph Ideals. Axioms 2025, 14, 886. https://doi.org/10.3390/axioms14120886

AMA Style

Alharbi R, Abbas SED, Khiamy HMO, Ibedou I. New Approach for Closure Spaces on Graphs Based on Relations and Graph Ideals. Axioms. 2025; 14(12):886. https://doi.org/10.3390/axioms14120886

Chicago/Turabian Style

Alharbi, Rehab, Salah El Deen Abbas, Hossam Mahmoud Omar Khiamy, and Ismail Ibedou. 2025. "New Approach for Closure Spaces on Graphs Based on Relations and Graph Ideals" Axioms 14, no. 12: 886. https://doi.org/10.3390/axioms14120886

APA Style

Alharbi, R., Abbas, S. E. D., Khiamy, H. M. O., & Ibedou, I. (2025). New Approach for Closure Spaces on Graphs Based on Relations and Graph Ideals. Axioms, 14(12), 886. https://doi.org/10.3390/axioms14120886

Note that from the first issue of 2016, this journal uses article numbers instead of page numbers. See further details here.

Article Metrics

Back to TopTop