Bivariate Random Coefficient Integer-Valued Autoregressive Model Based on a ρ-Thinning Operator
Abstract
1. Introduction
2. Construction of the Model
- Overdispersion is observed when .
- Underdispersion occurs if .
- Equidispersion is achieved at .
- The standard Bernoulli distribution, when and , with mean ;
- The geometric distribution, when , with mean .
- (i)
- represents a random coefficient matrix comprising two mutually independent bivariate random vectors, and , each with independent and identically distributed (i.i.d.) components and with pmf values as:where and . The matrix operation replicates matrix multiplication while preserving the properties of random coefficient thinning.
- (ii)
- The innovation is a sequence of i.i.d. bivariate non-negative integer-valued random vectors with mutually independent elements and and independent of for .
- (i)
- , where
- (ii)
- for a random vector independent of .
- (iii)
- for a random vector independent of .
- (iv)
- , where has elements
- (i)
- We have , indicating .
- (ii)
- Furthermore, we calculate ; then, we have Hence, it necessitates that either both or both . Since , we deduce both .
- (iii)
- Similarly, evaluating . As , then .
- (i)
- .
- (ii)
- , where has elements
- (iii)
- .
- (iv)
3. Properties
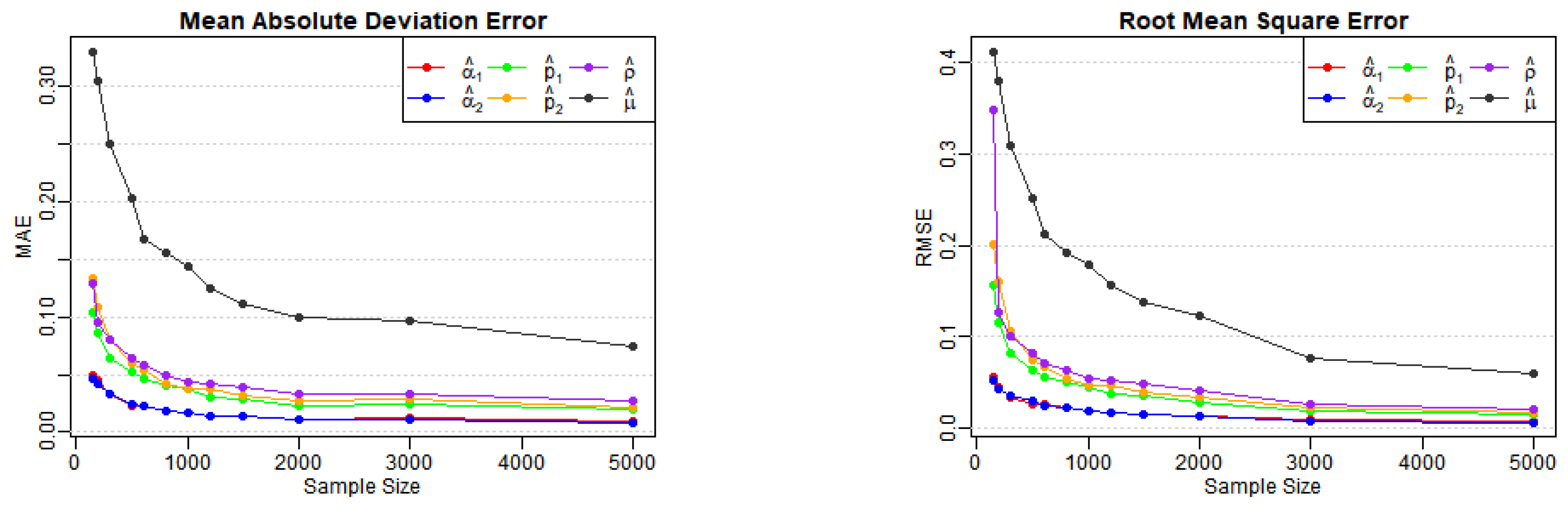
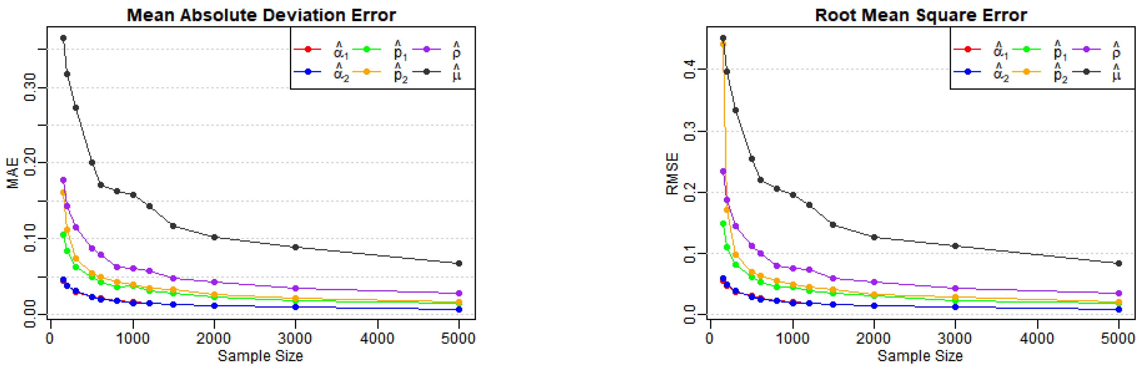
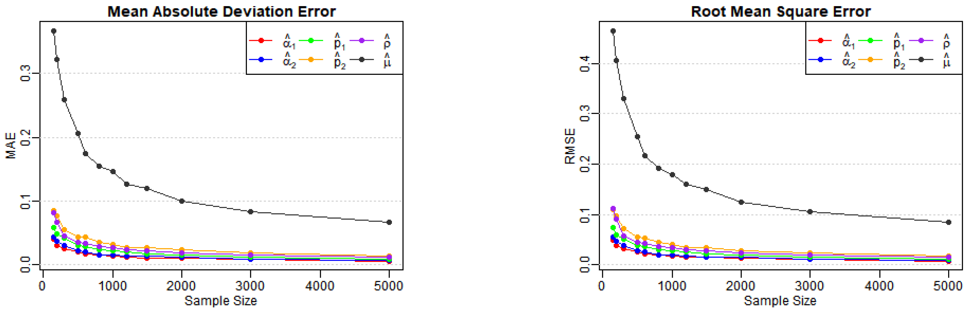
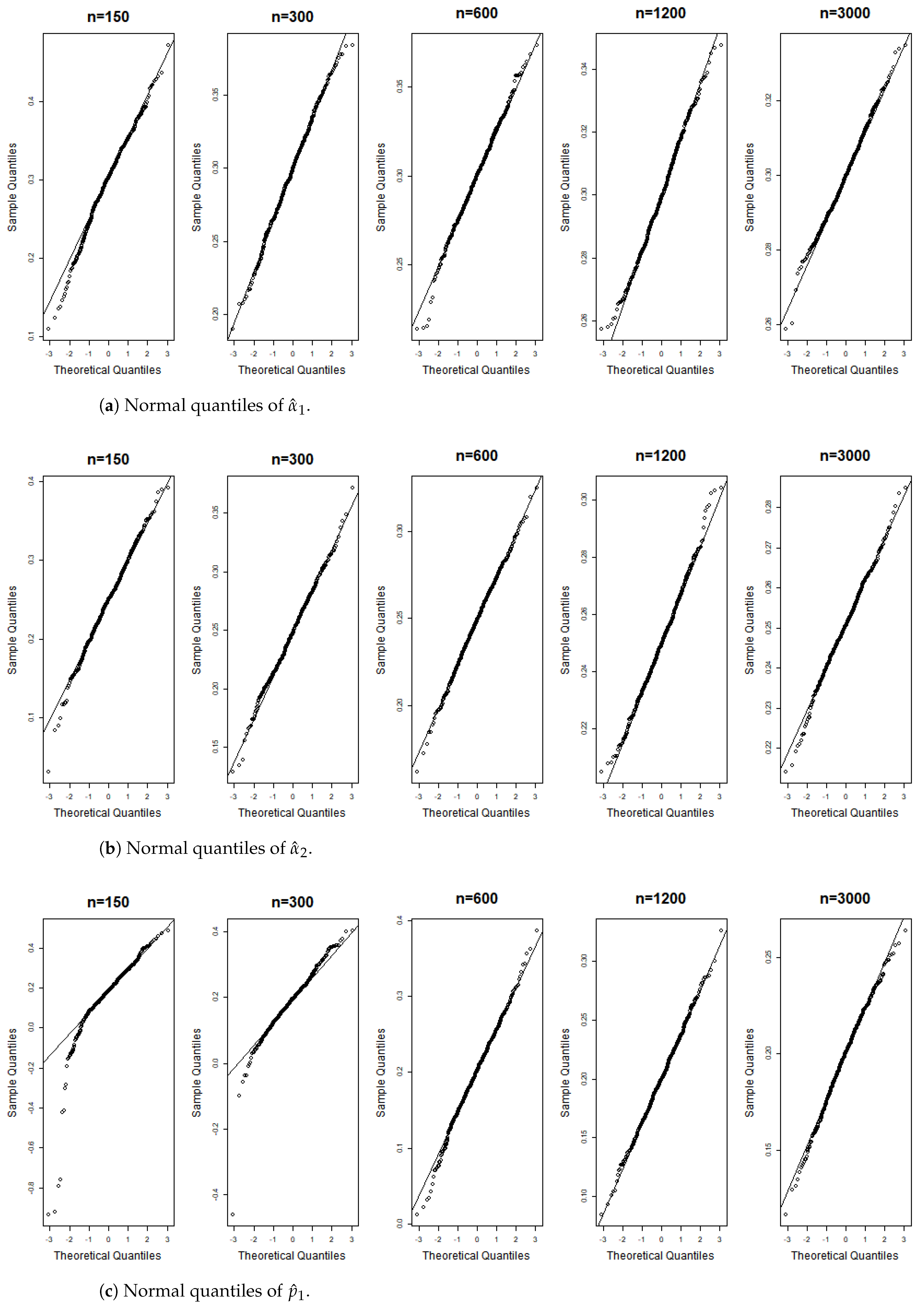
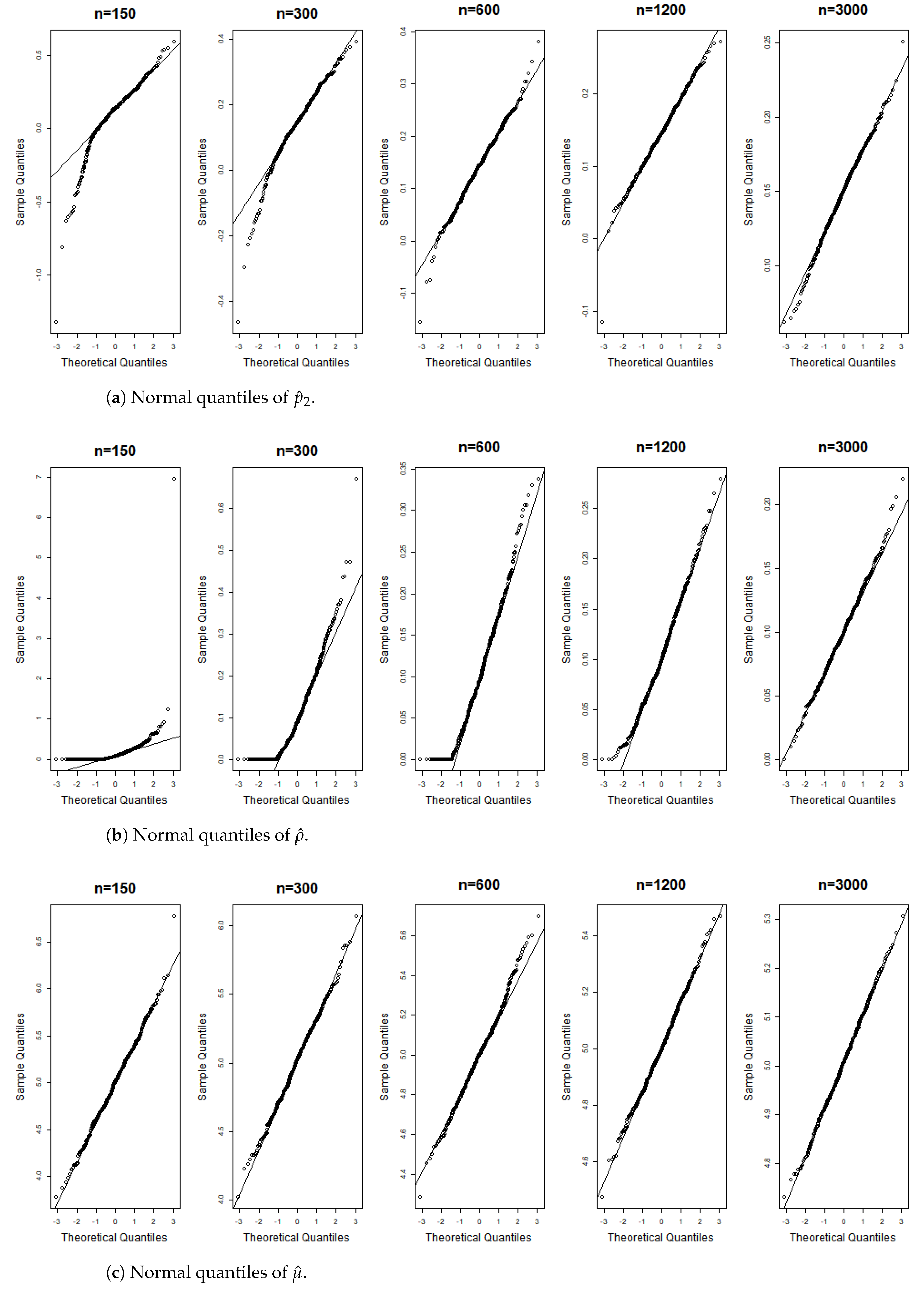
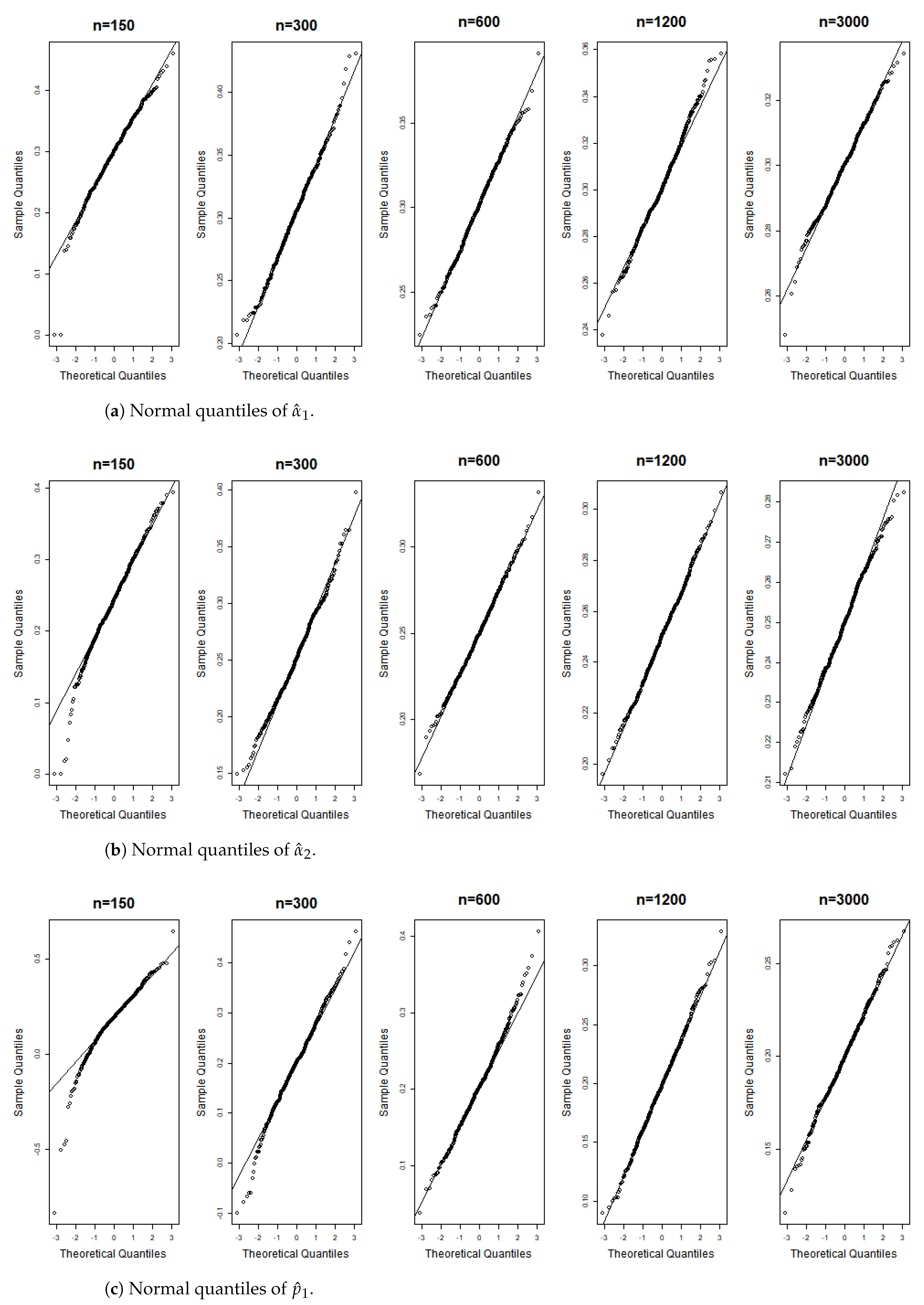
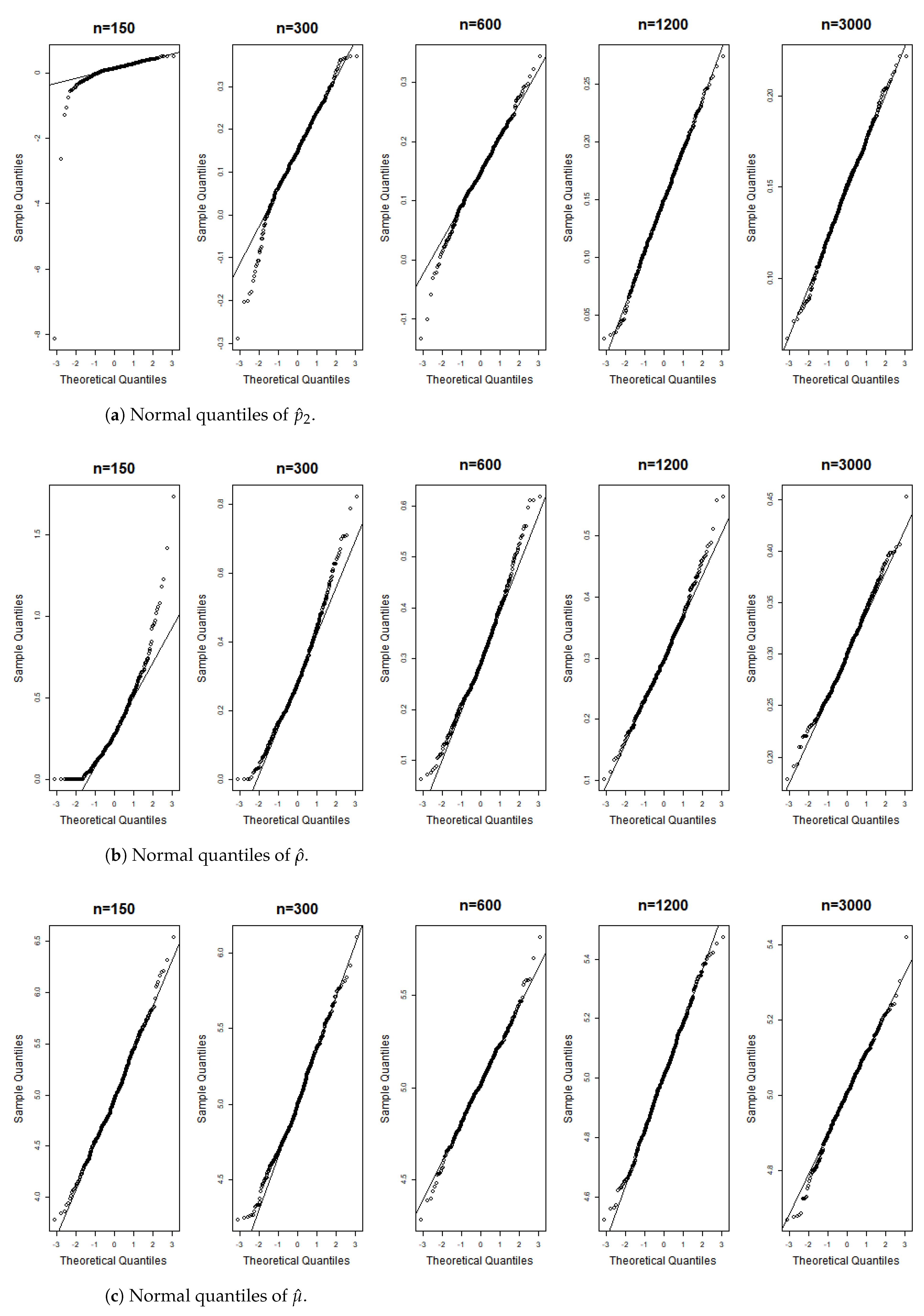
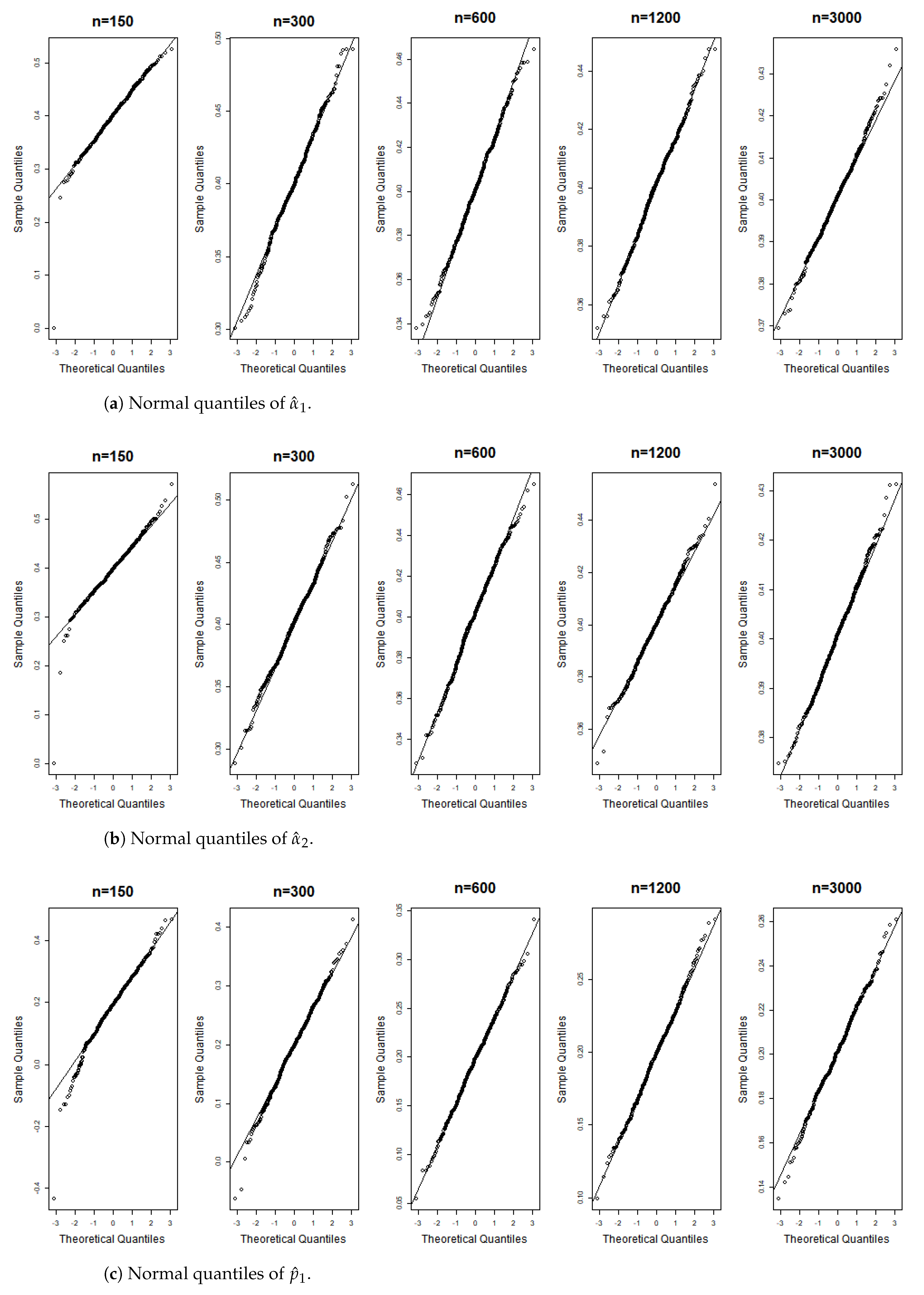
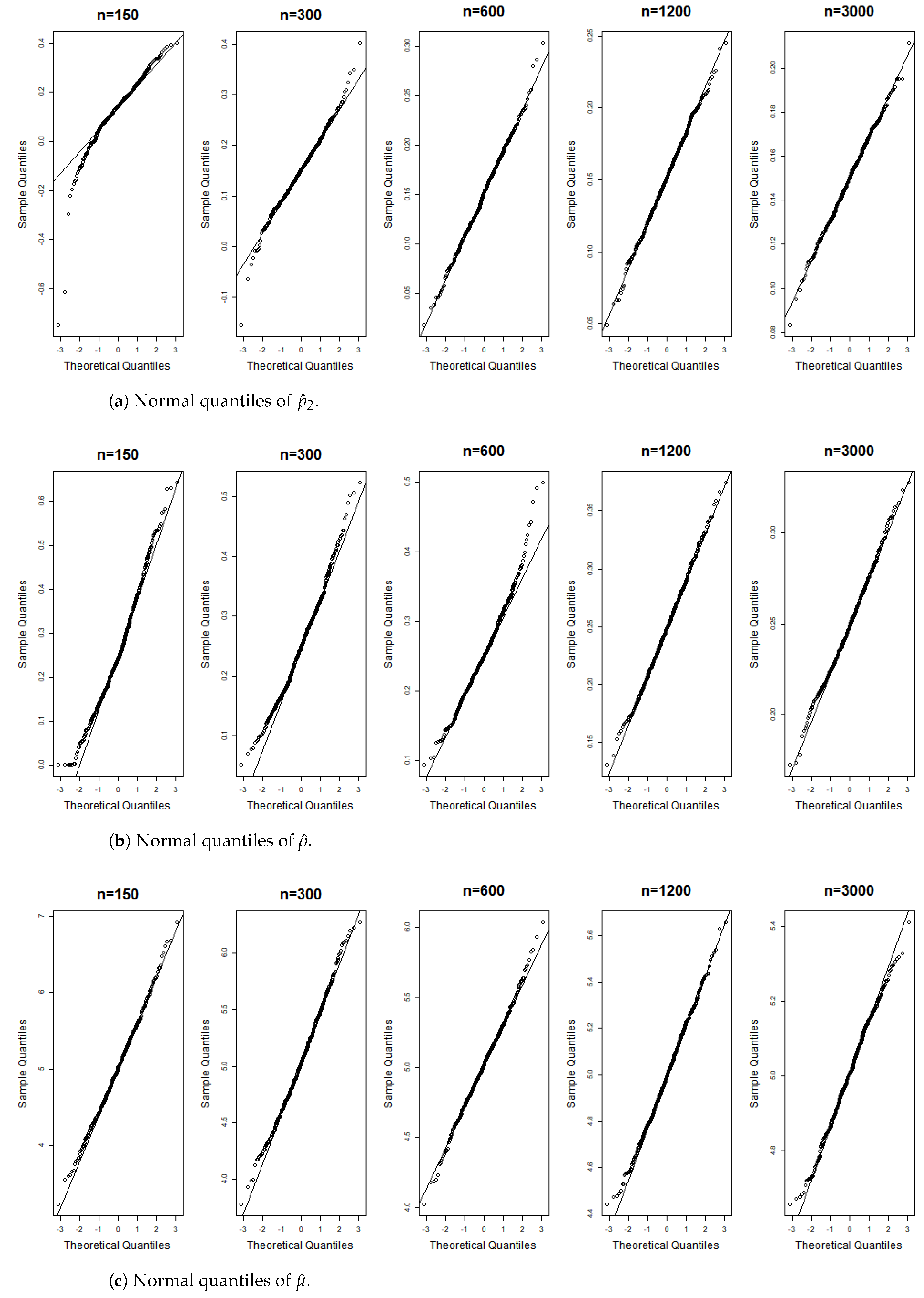
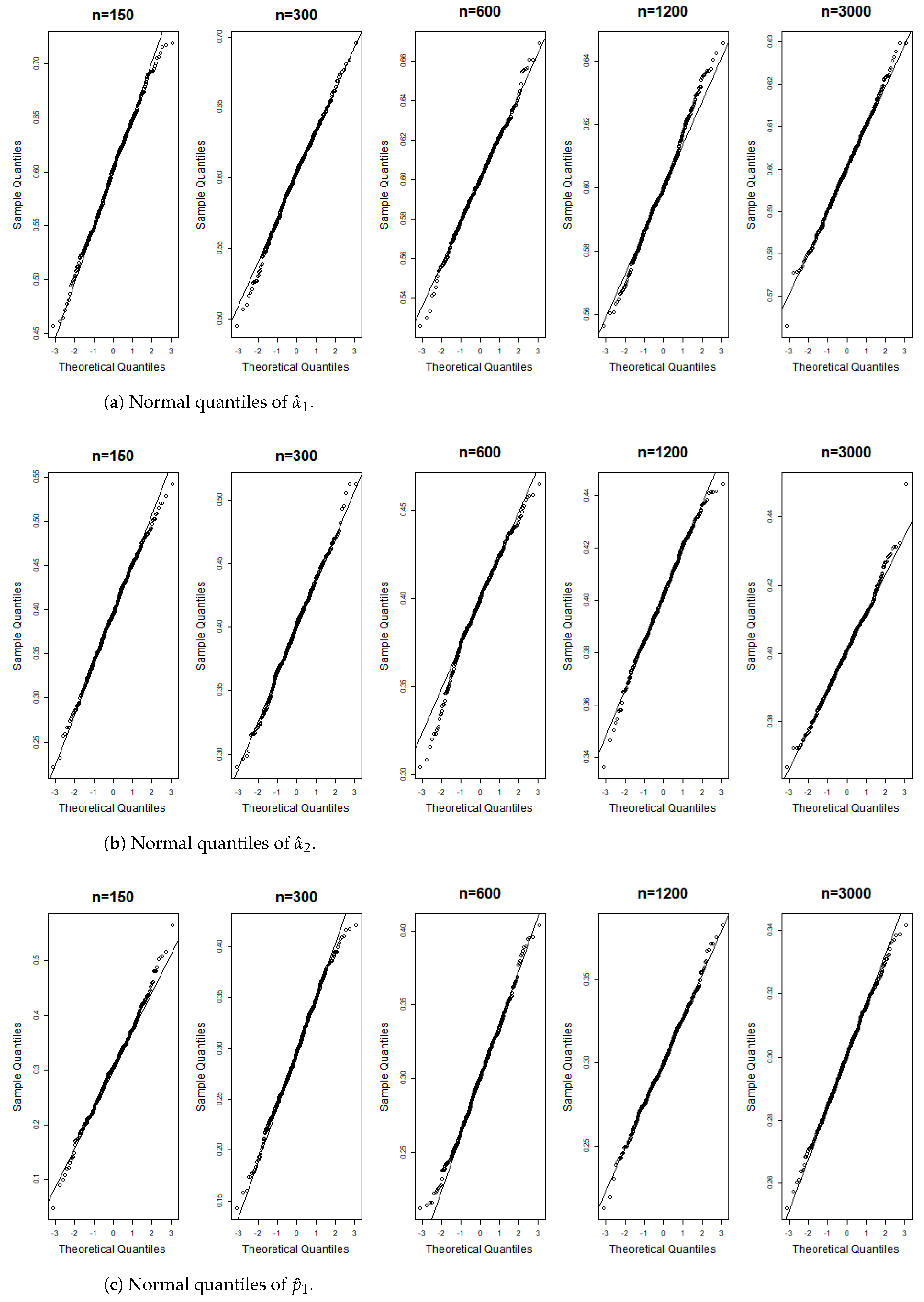
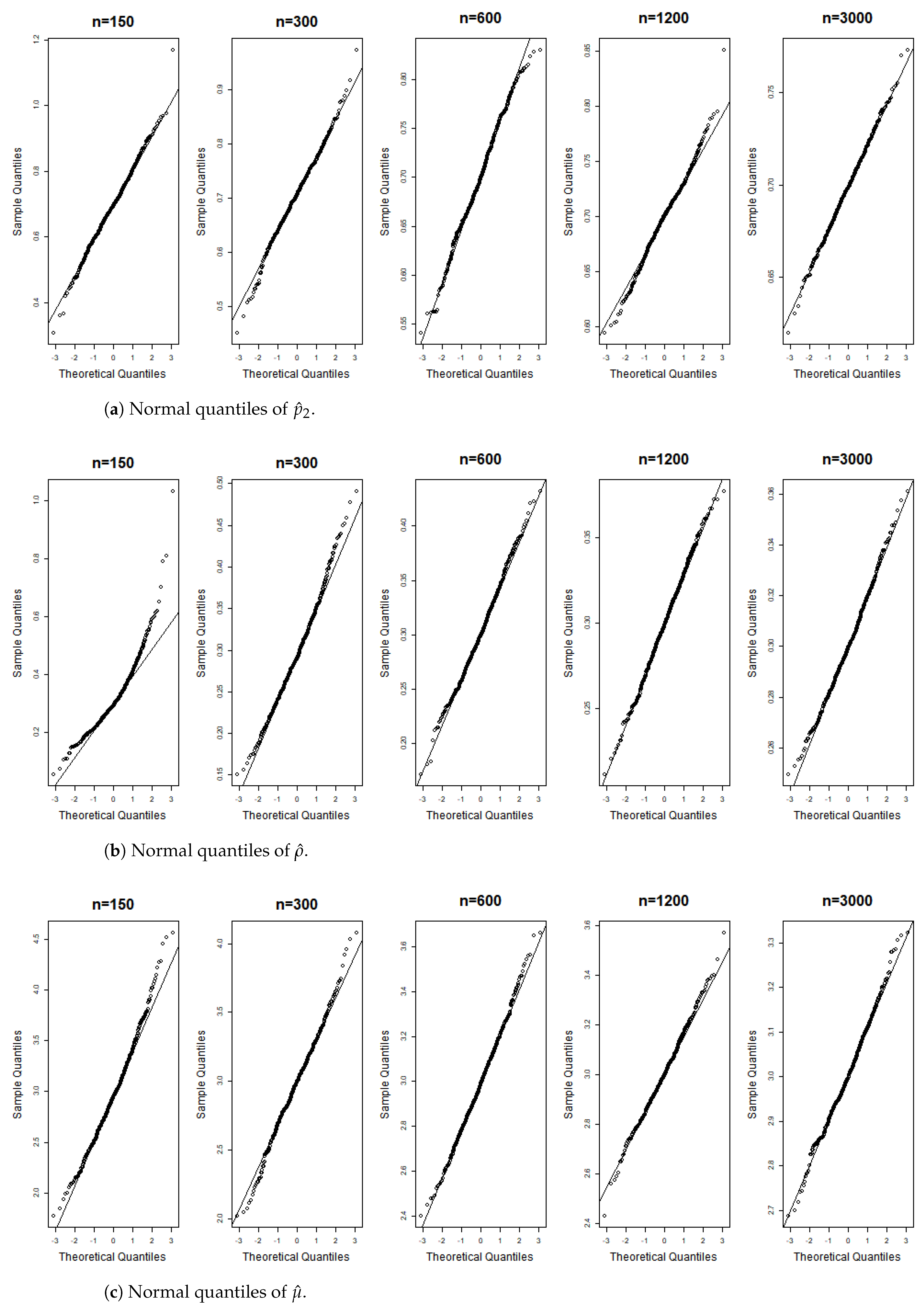
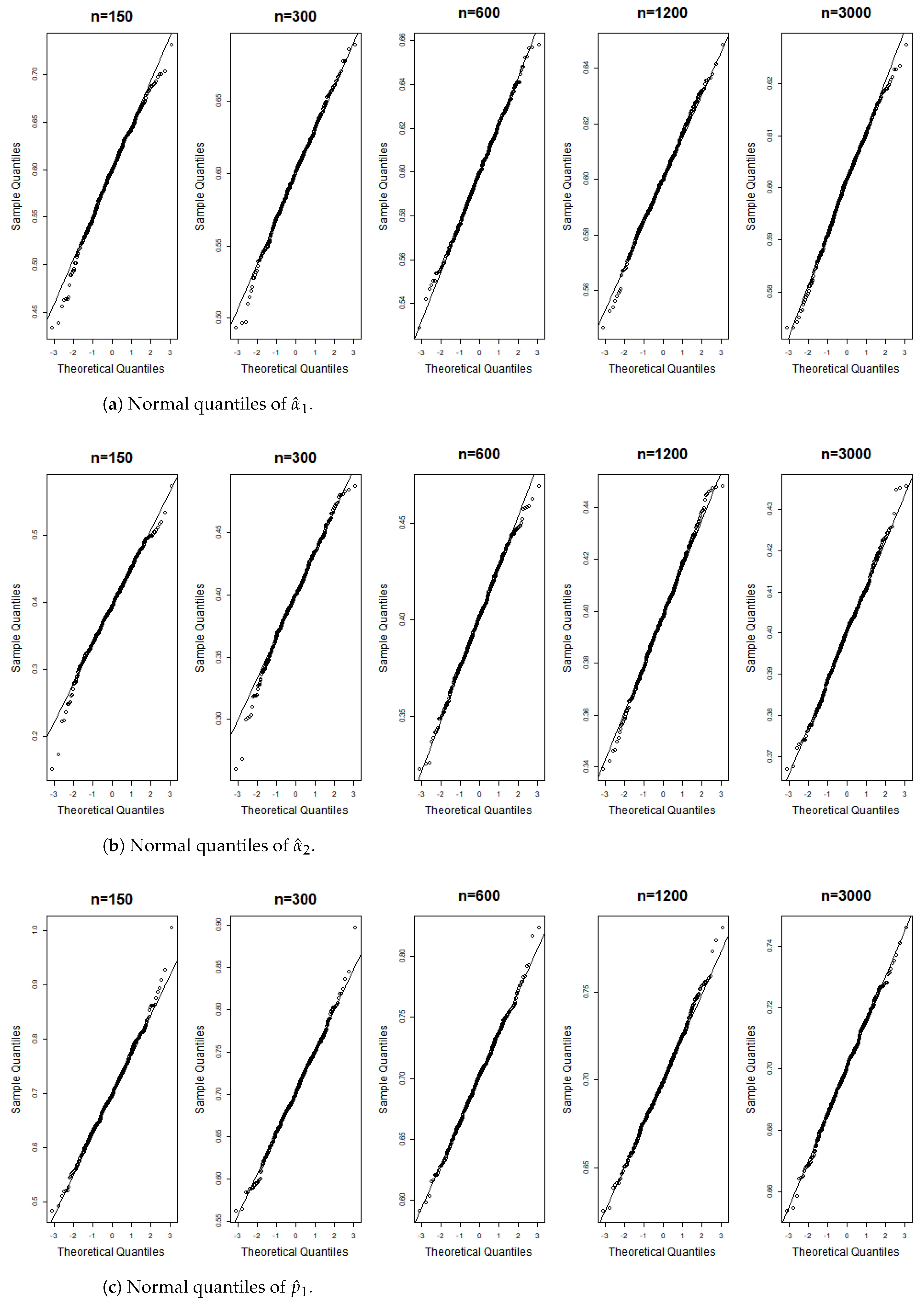
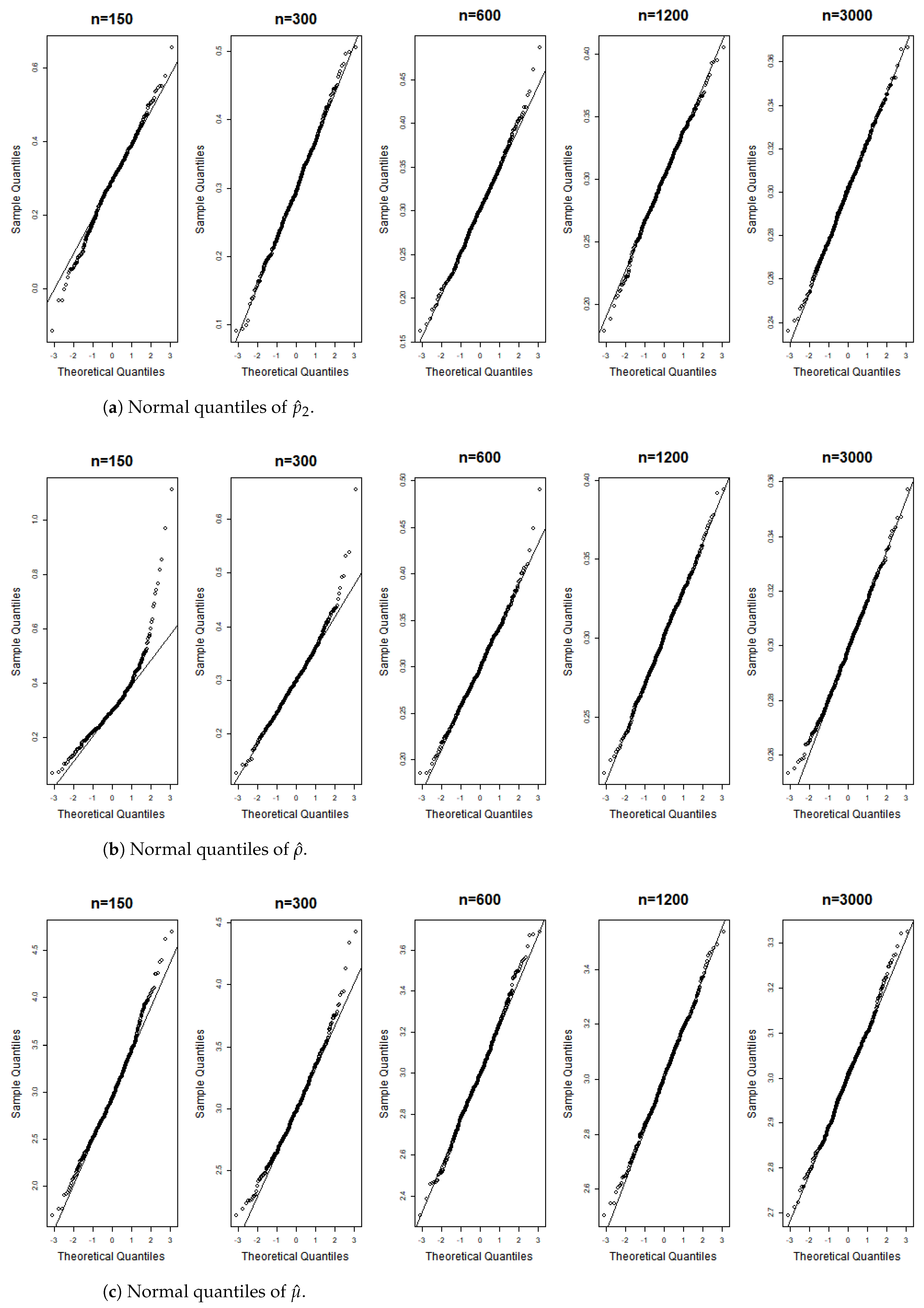
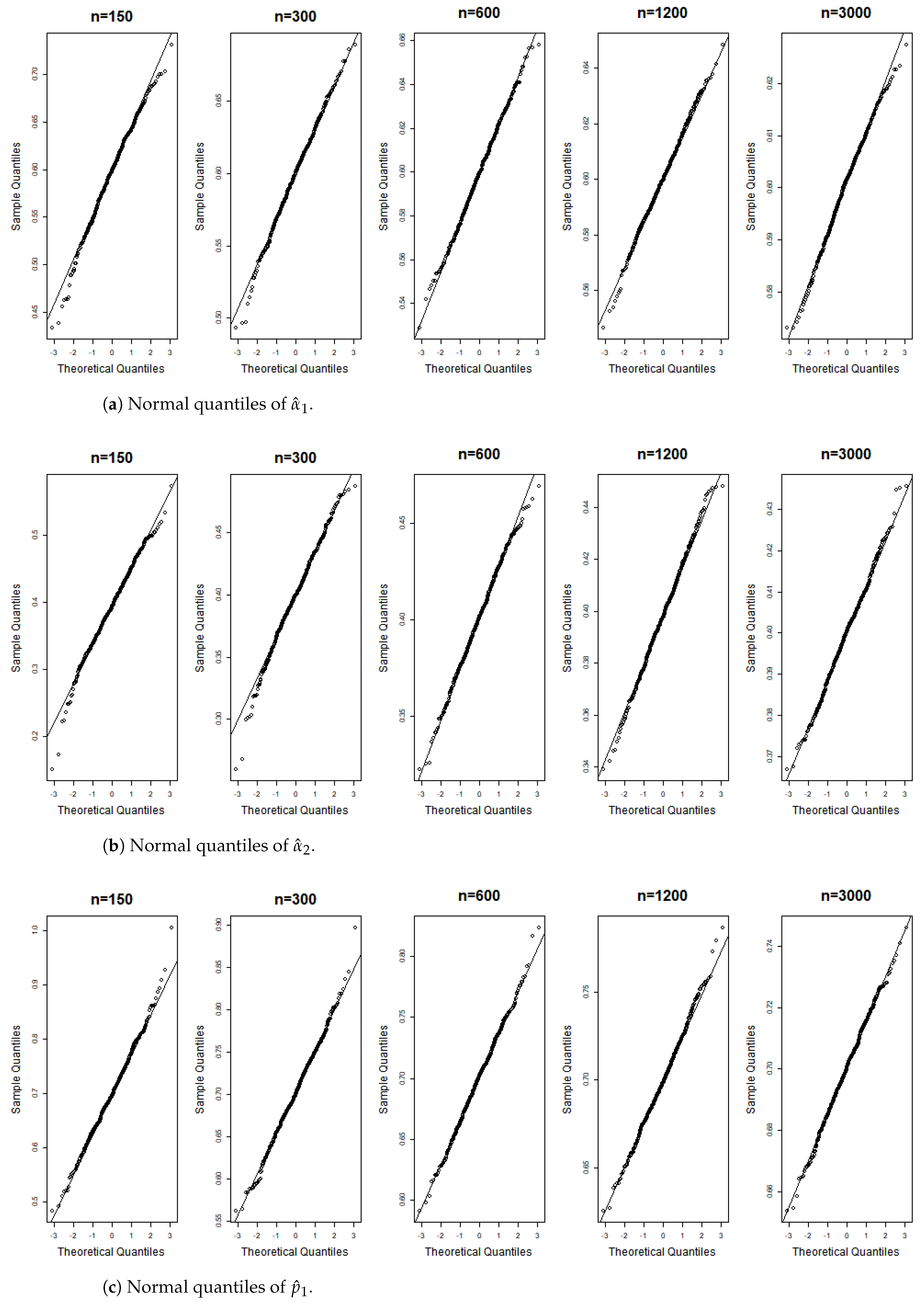
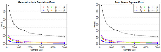
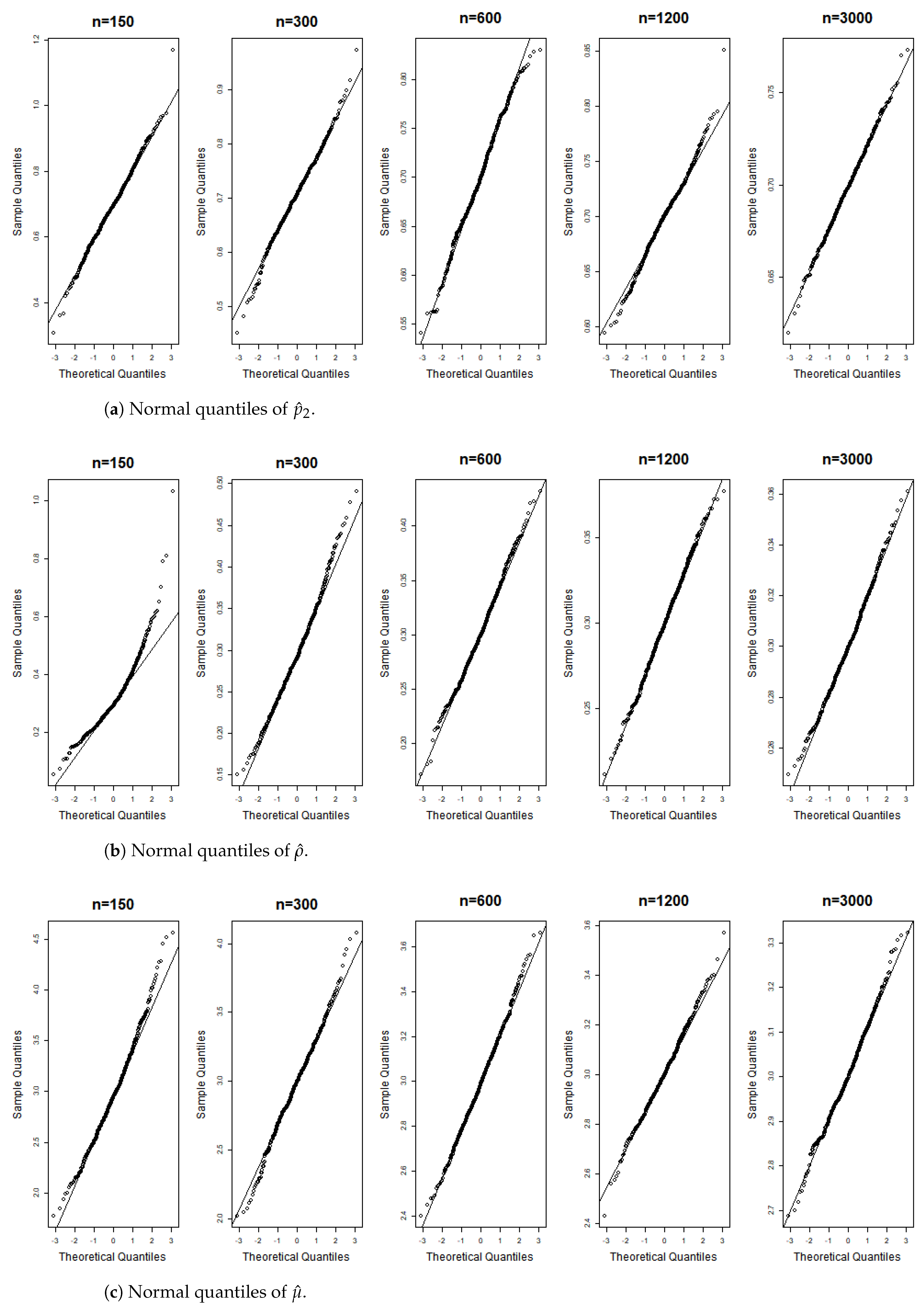
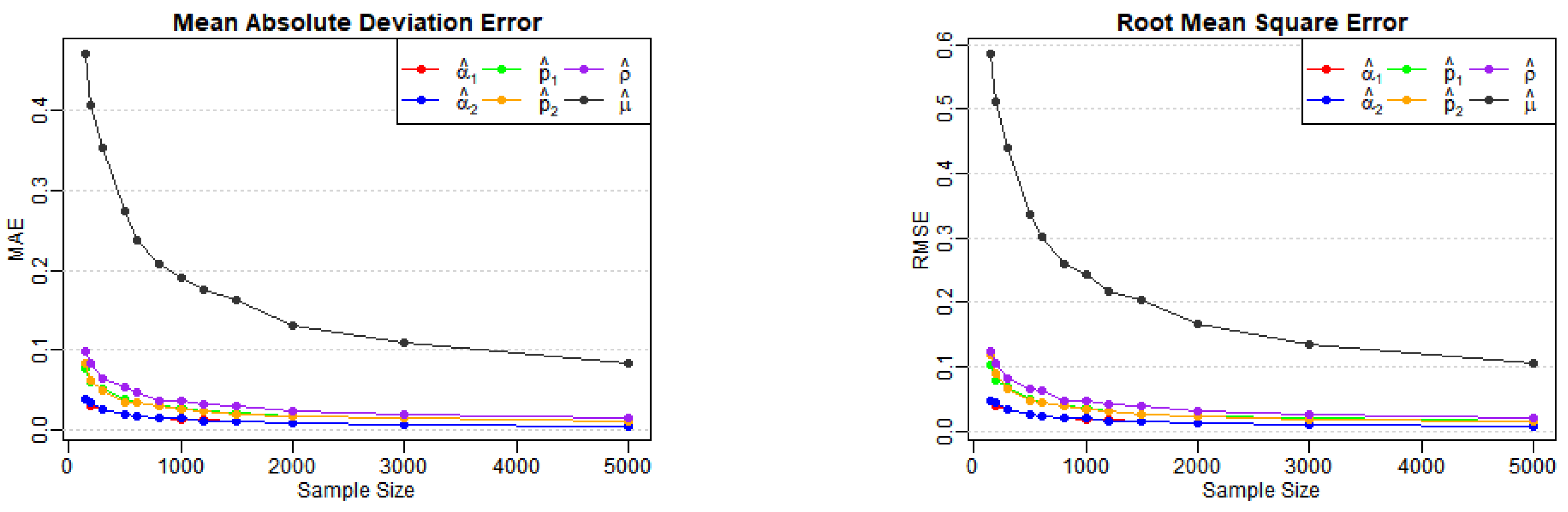
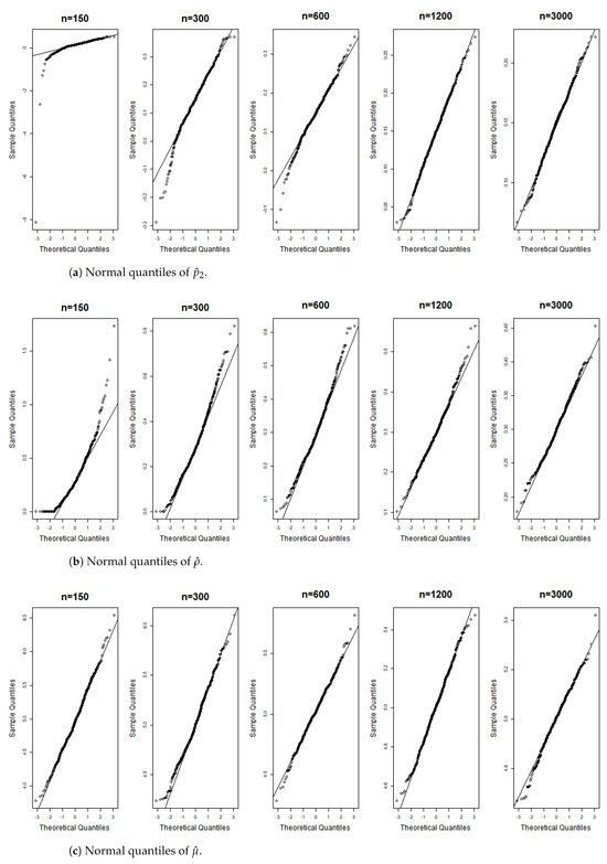
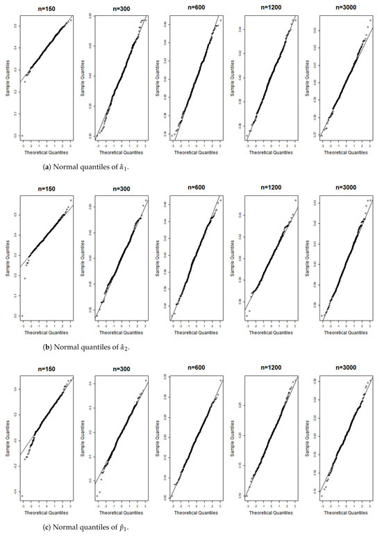
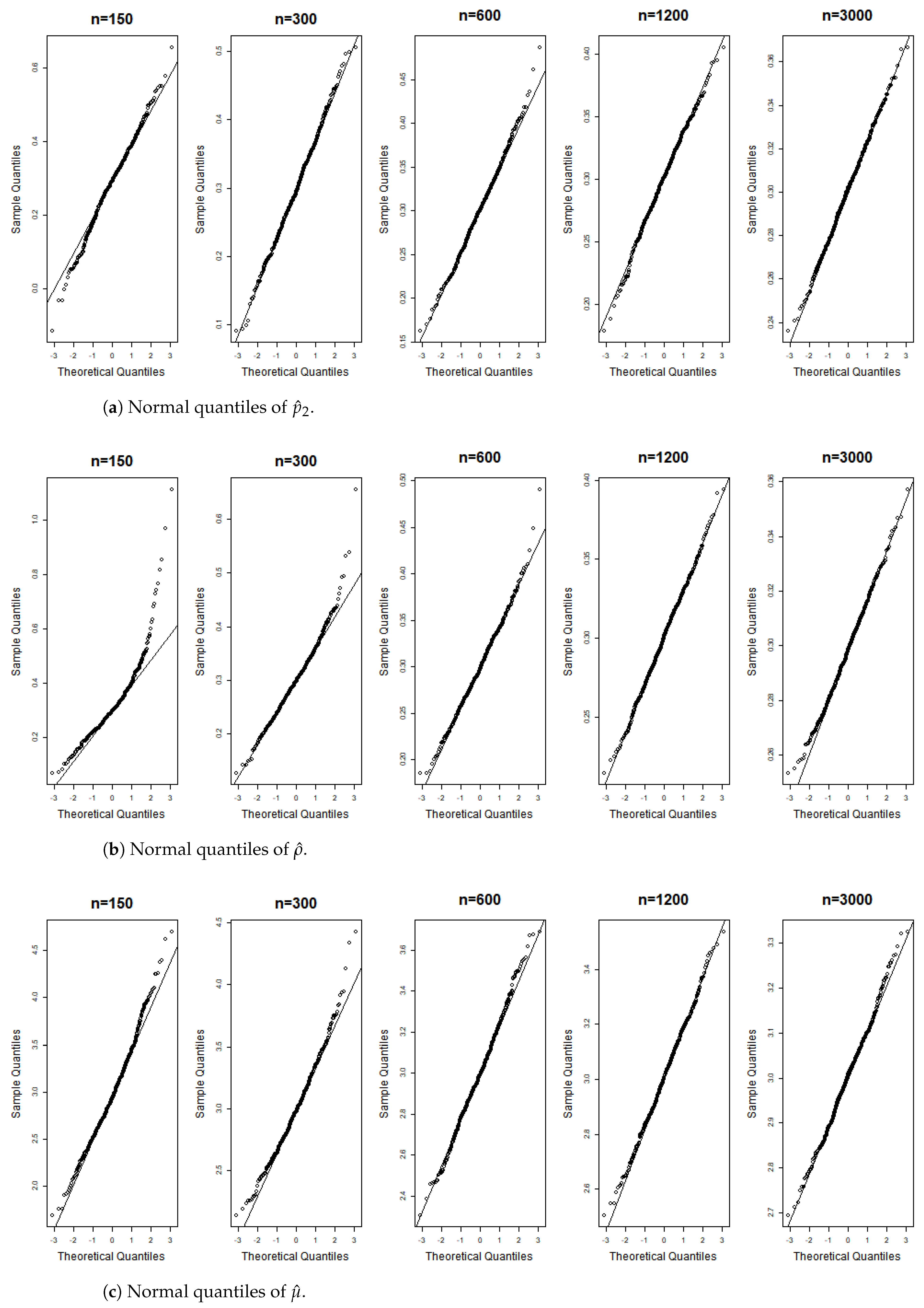
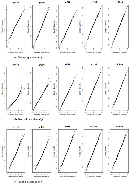
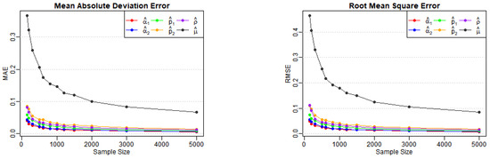
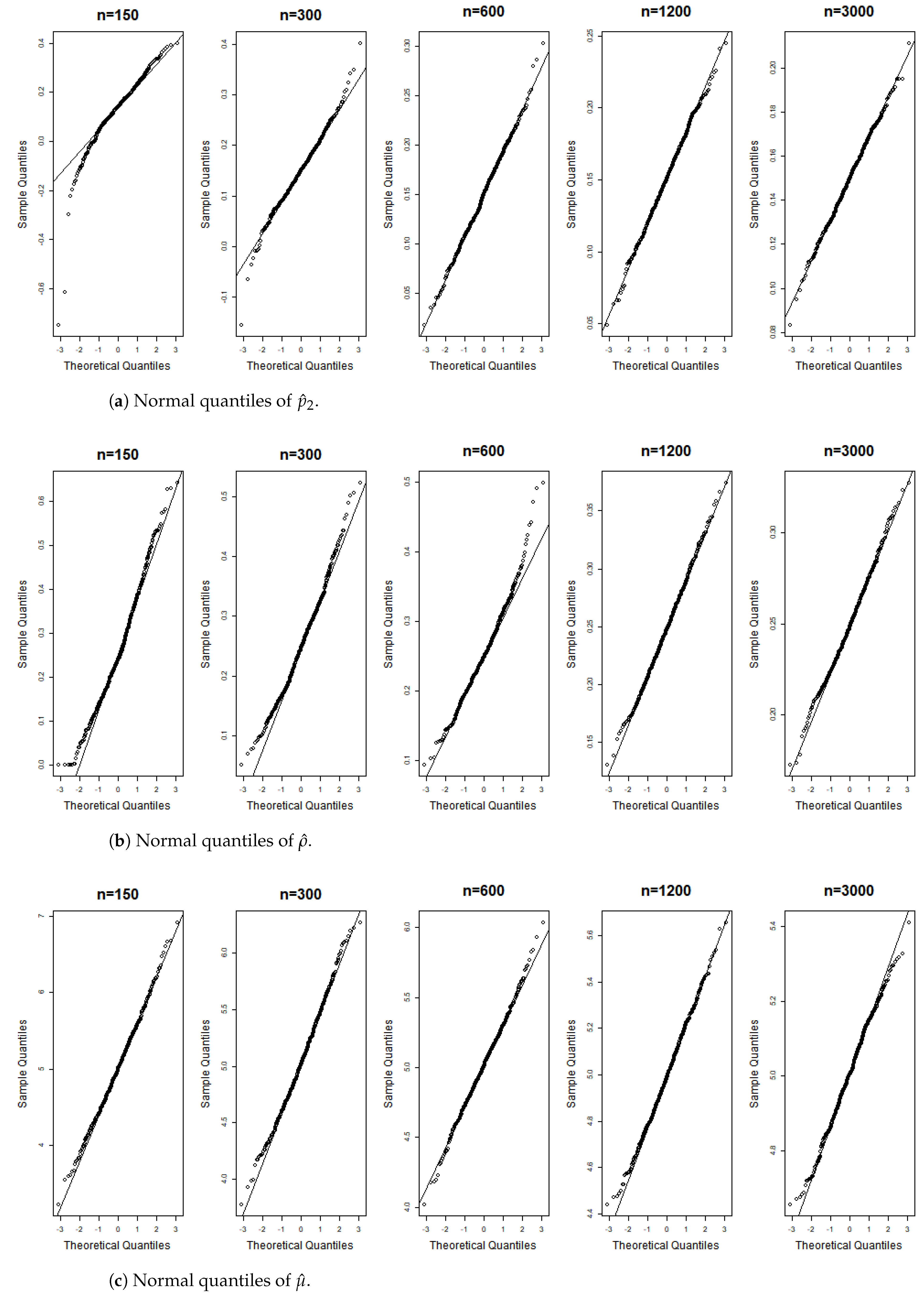
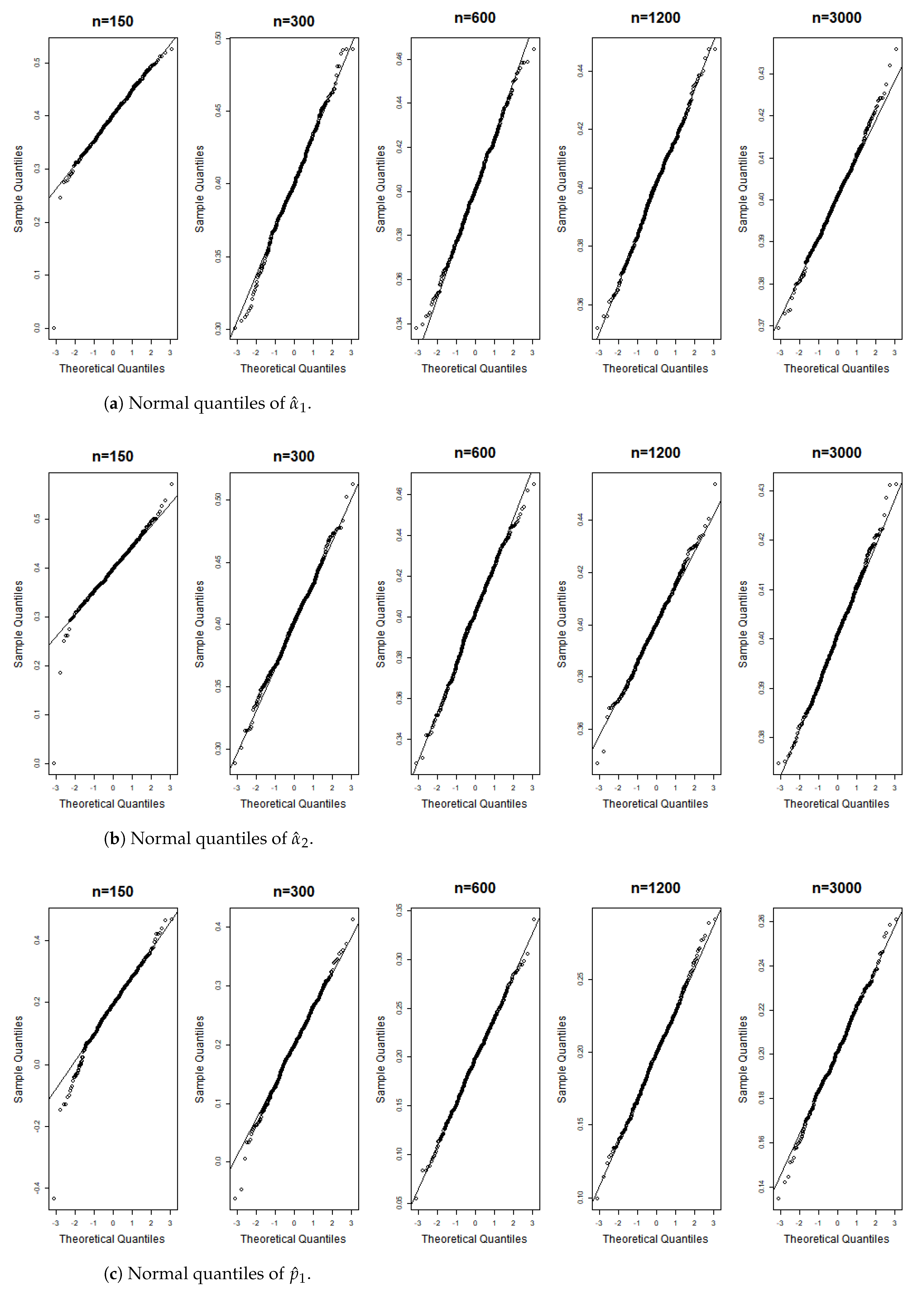
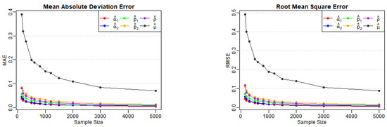
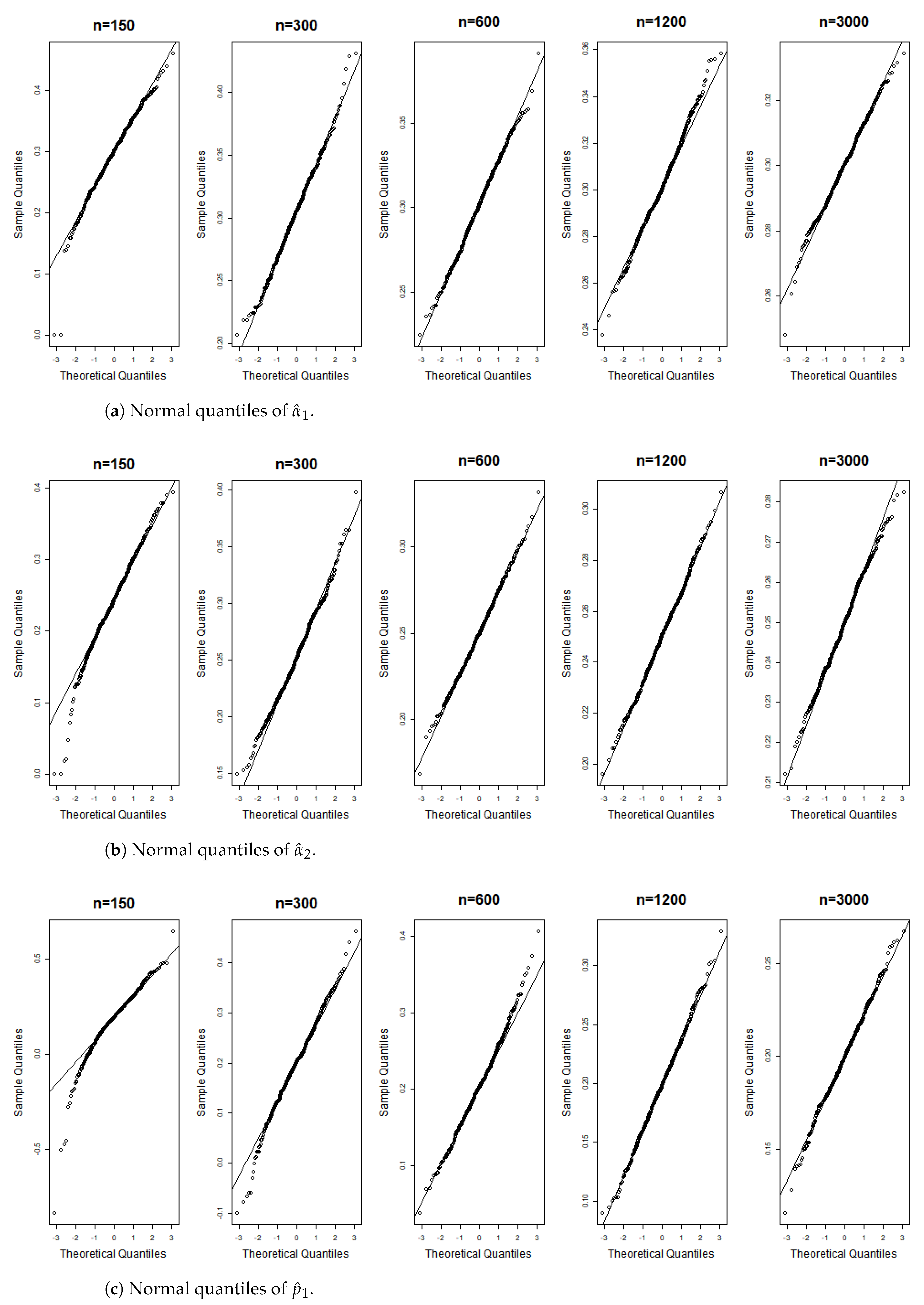
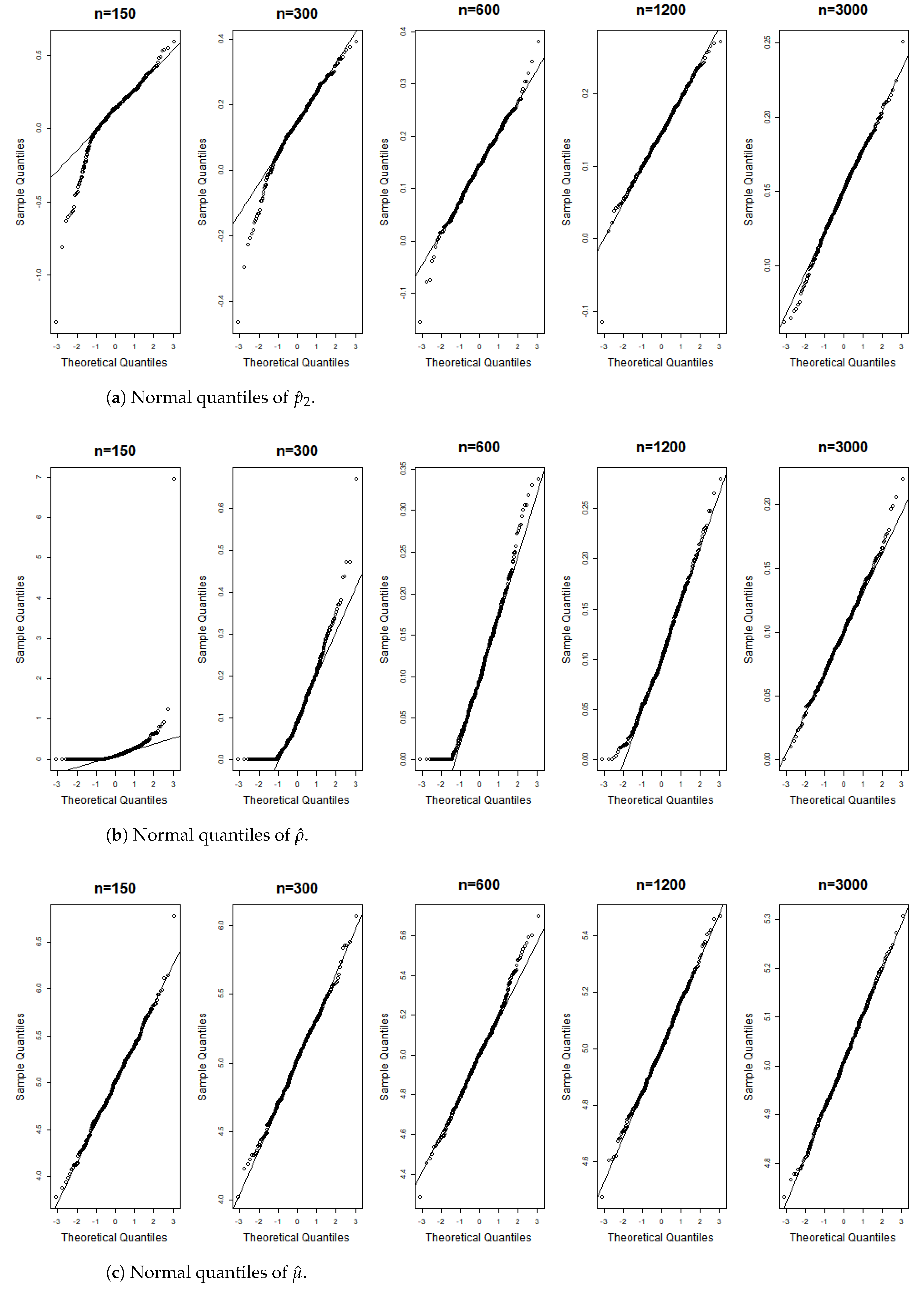
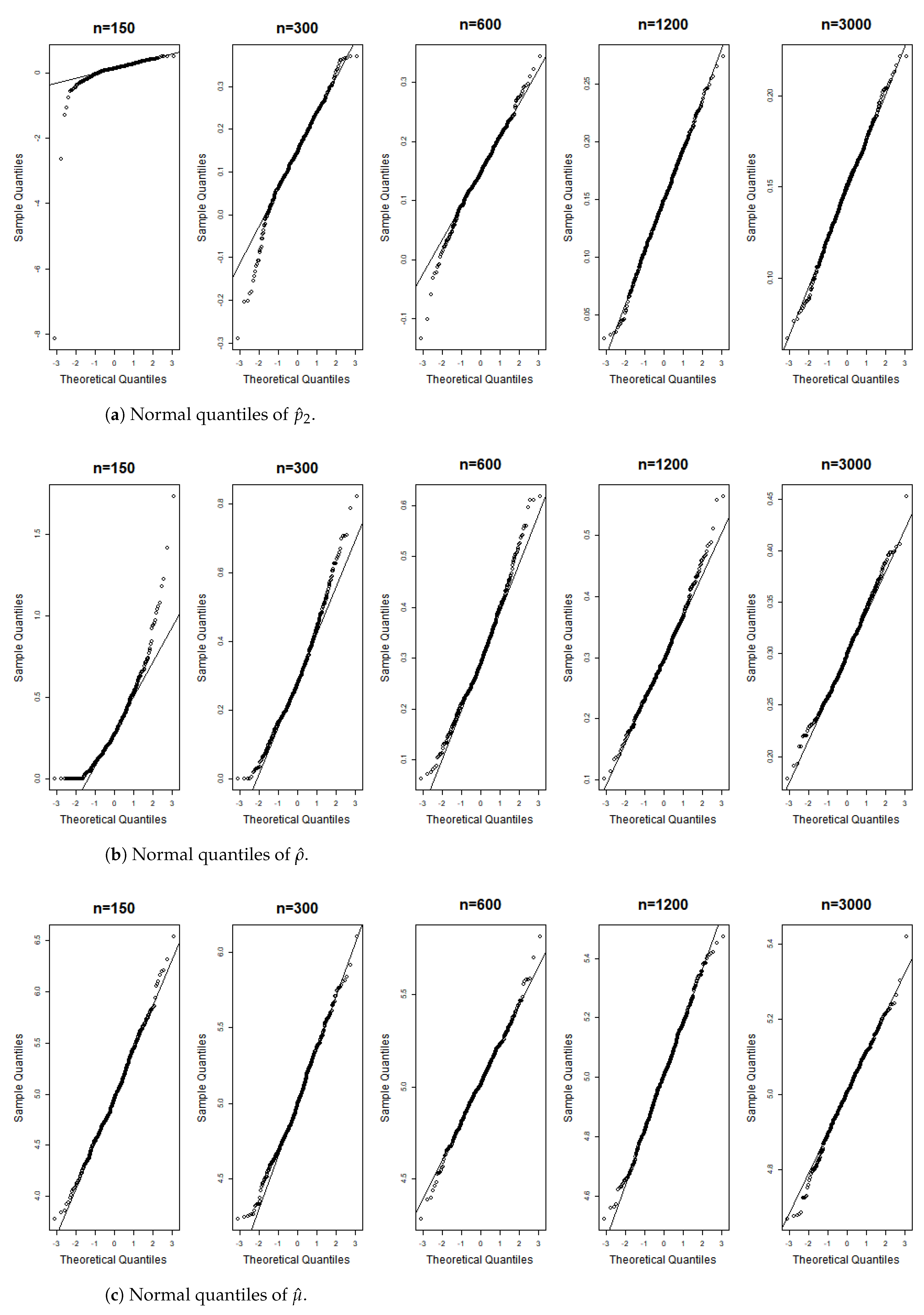
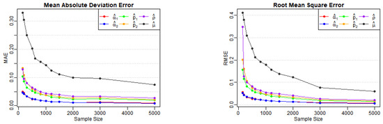
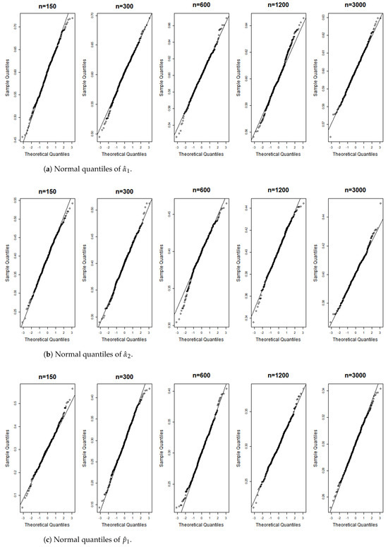
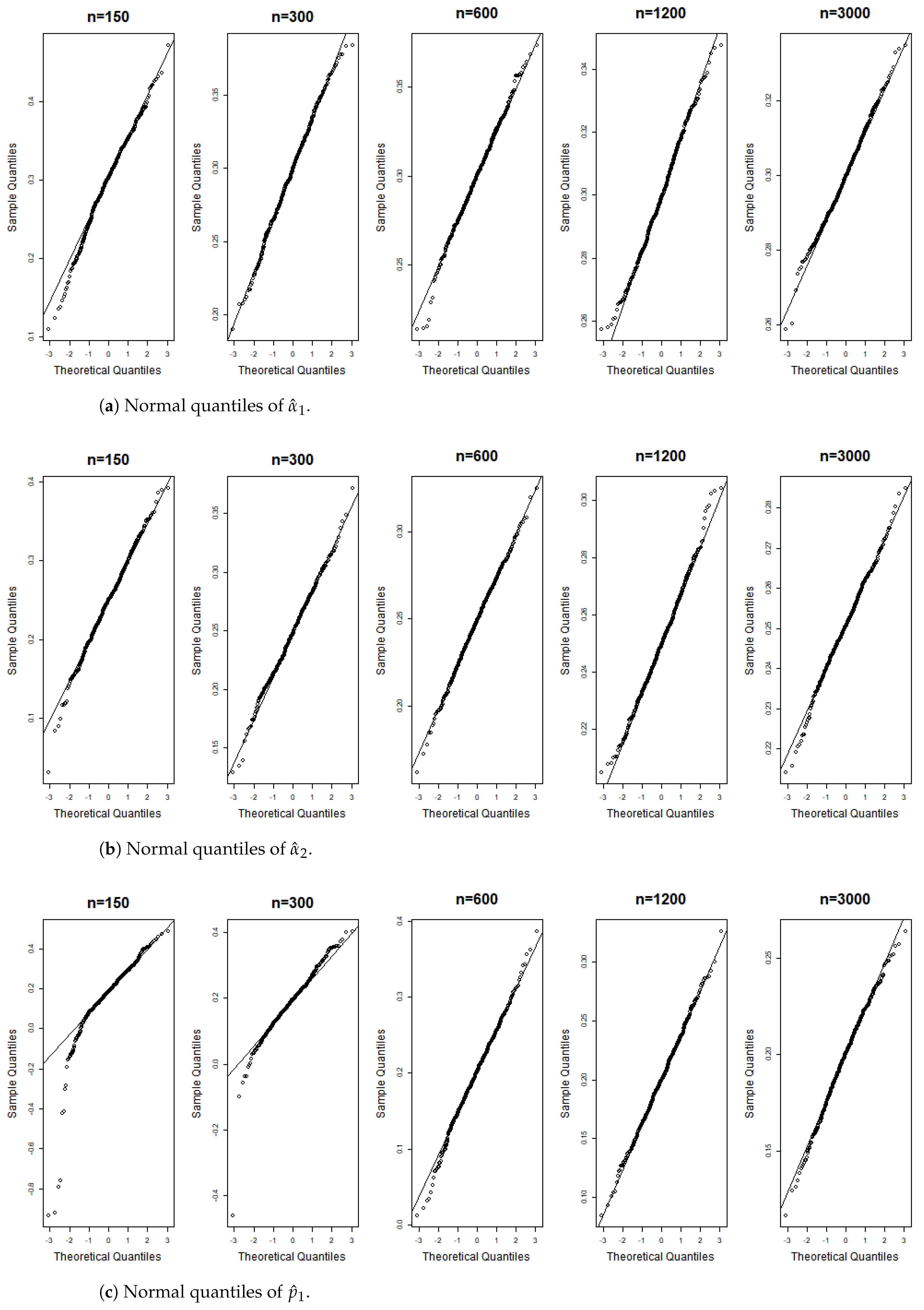
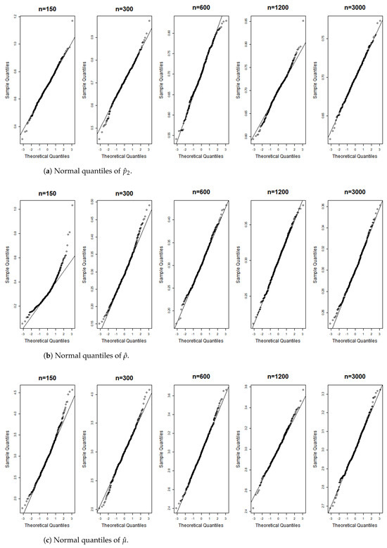
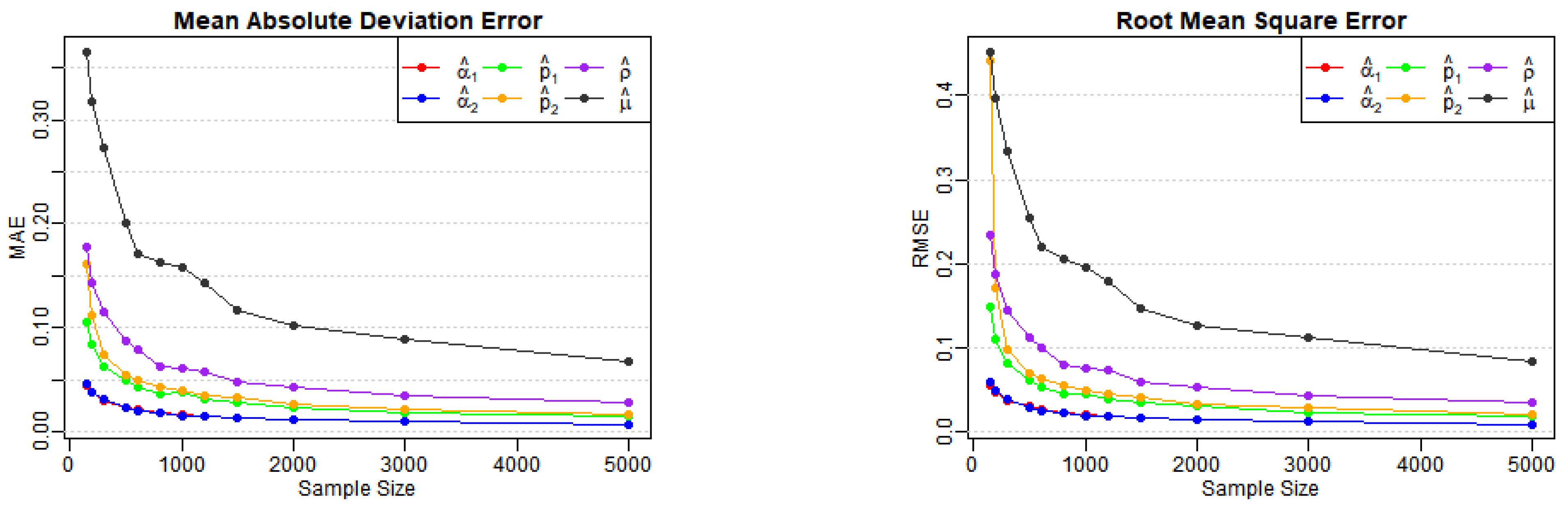
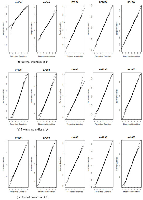
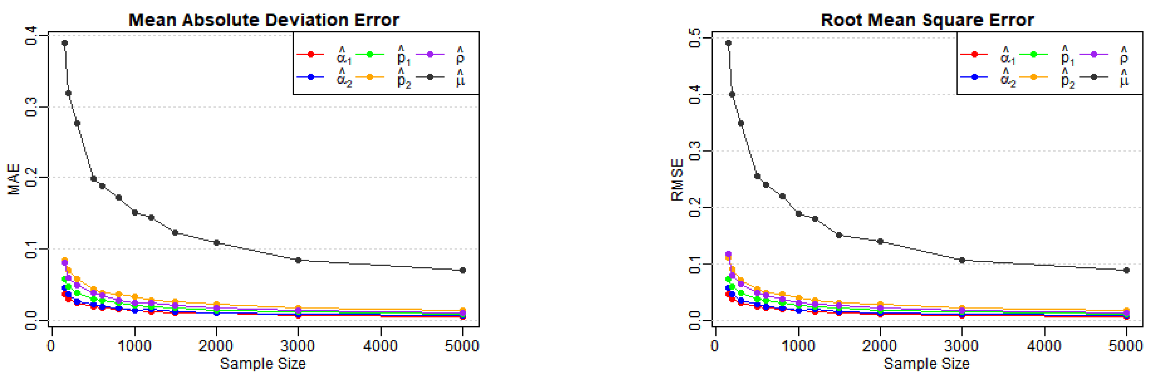
4. Estimation Procedure
- Model (A): () = (0.3, 0.25, 0.2, 0.15, 0.1, 5);
- Model (B): () = (0.3, 0.25, 0.2, 0.15, 0.3, 5);
- Model (C): () = (0.4, 0.4, 0.2, 0.15, 0.25, 5);
- Model (D): () = (0.6, 0.4, 0.3, 0.7, 0.3, 3);
- Model (E): () = (0.6, 0.4, 0.7, 0.3, 0.3, 3).
5. Real Data Examples
5.1. Crime Data: Disorderly Conduct Counts in Carrathool
5.2. Crime Data: Theft Counts in Narrandera
6. Conclusions
Author Contributions
Funding
Data Availability Statement
Conflicts of Interest
Appendix A. Proof in Lemma 1
- (i)
- , where
- (ii)
- for a random vector independent of .
- (iii)
- for a random vector independent of .
- (iv)
- where ,
Appendix B. Proof in Proposition 1
- 1.
- is non-decreasing for all t.To substantiate this claim, we must demonstrate that for all and , . For , we have thatNow suppose that for and all ; we will demonstrate that . We consider the components and :Similarly,Therefore, by mathematical induction, we establish that is non-decreasing for all t.
- 2.
- for .To demonstrate this, let us denote . From Lemma 1, it follows that:Assuming , we find:where represents the identity matrix. Hence, the matrix is invertible, and . Consequently, becomes independent of t as and tends to as .Let us consider . Leveraging the findings from Lemma 1, we derive:where , withIf , all entries of the matrix fall within the interval . Through iterative recursion repeated m times, we establish its independence from t. Consequently, . Hence, for .
- 3.
- is a Cauchy sequence.Let for all , . From Equation (A1), it is straightforward to getThen, we haveNext, we aim to prove that
Appendix C. Proof in Proposition 2
- (i)
- .
- (ii)
- where
Appendix D. Proof in Lemma 3
Appendix E. Proof in Theorem 3
References
- Brannas, K.; Nordstrom, J. A Bivariate Integer Valued Allocation Model for Guest Nights in Hotels and Cottages. Umea Economic Studies Working Paper No. 547. 2001. Available online: https://ssrn.com/abstract=255292 (accessed on 20 May 2024). [CrossRef]
- Quoreshi, A.S. Bivariate time series modeling of financial count data. Commun. Stat. Theory Methods 2006, 35, 1343–1358. [Google Scholar] [CrossRef]
- Pedeli, X.; Karlis, D. A bivariate INAR (1) process with application. Stat. Model. 2011, 11, 325–349. [Google Scholar] [CrossRef]
- Nastić, A.S.; Ristić, M.M.; Popović, P.M. Estimation in a bivariate integer-valued autoregressive process. Commun. Stat. Theory Methods 2016, 45, 5660–5678. [Google Scholar] [CrossRef]
- Khan, N.M.; Oncel Cekim, H.; Ozel, G. The family of the bivariate integer-valued autoregressive process (BINAR (1)) with Poisson–Lindley (PL) innovations. J. Stat. Comput. Simul. 2020, 90, 624–637. [Google Scholar] [CrossRef]
- Chen, H.; Zhu, F.; Liu, X. A new bivariate INAR (1) model with time-dependent innovation vectors. Stats 2022, 5, 819–840. [Google Scholar] [CrossRef]
- Popović, P.M.; Ristić, M.M.; Nastić, A.S. A geometric bivariate time series with different marginal parameters. Stat. Pap. 2016, 57, 731–753. [Google Scholar] [CrossRef]
- Yu, M.; Wang, D.; Yang, K.; Liu, Y. Bivariate first-order random coefficient integer-valued autoregressive processes. J. Stat. Plan. Inference 2020, 204, 153–176. [Google Scholar] [CrossRef]
- Su, B.; Zhu, F. Comparison of BINAR (1) models with bivariate negative binomial innovations and explanatory variables. J. Stat. Comput. Simul. 2021, 91, 1616–1634. [Google Scholar] [CrossRef]
- Steutel, F.W.; van Harn, K. Discrete analogues of self-decomposability and stability. Ann. Probab. 1979, 7, 893–899. [Google Scholar] [CrossRef]
- Al-Osh, M.A.; Aly, E.-E.A. First order autoregressive time series with negative binomial and geometric marginals. Commun. Stat. Theory Methods 1992, 21, 2483–2492. [Google Scholar] [CrossRef]
- Borges, P.; Molinares, F.F.; Bourguignon, M. A geometric time series model with inflated-parameter Bernoulli counting series. Stat. Probab. Lett. 2016, 119, 264–272. [Google Scholar] [CrossRef]
- Kachour, M.; Truquet, L. A p-order signed integer-valued autoregressive (SINAR (p)) model. J. Time Ser. Anal. 2011, 32, 223–236. [Google Scholar] [CrossRef]
- Bulla, J.; Chesneau, C.; Kachour, M. A bivariate first-order signed integer-valued autoregressive process. Commun. Stat. Theory Methods 2017, 46, 6590–6604. [Google Scholar] [CrossRef]
- Zhang, Q.; Wang, D.; Fan, X. A negative binomial thinning-based bivariate INAR (1) process. Stat. Neerl. 2020, 74, 517–537. [Google Scholar] [CrossRef]
- Ristić, M.M.; Bakouch, H.S.; Nastić, A.S. A new geometric first-order integer-valued autoregressive (NGINAR (1)) process. J. Stat. Plan. Inference 2009, 139, 2218–2226. [Google Scholar] [CrossRef]
- Kolev, N.; Minkova, L.; Neytchev, P. Inflated-parameter family of generalized power series distributions and their application in analysis of overdispersed insurance data. ARCH Res. Clear. House 2000, 2, 295–320. [Google Scholar]
- Ristić, M.M.; Nastić, A.S.; Jayakumar, K.; Bakouch, H.S. A bivariate INAR (1) time series model with geometric marginals. Appl. Math. Lett. 2012, 25, 481–485. [Google Scholar] [CrossRef]
- Popović, P.M. A bivariate INAR (1) model with different thinning parameters. Stat. Pap. 2016, 57, 517–538. [Google Scholar] [CrossRef]
- Anderson, T.W.; Darling, D.A. A test of goodness of fit. J. Am. Stat. Assoc. 1954, 49, 765–769. [Google Scholar] [CrossRef]
- Gross, L. Tests for Normality, R Package Version 1.0-2. 2013. Available online: http://CRAN.R-project.org/package=nortest (accessed on 20 May 2024).
- Popović, P.M.; Nastić, A.S.; Ristić, M.M. Residual analysis with bivariate INAR (1) models. REVSTAT-Stat. J. 2018, 16, 349–363. [Google Scholar]
- Weiss, C.H.; Homburg, A.; Puig, P. Testing for zero inflation and overdispersion in inar (1) models. Stat. Pap. 2019, 60, 823–848. [Google Scholar] [CrossRef]
- Kang, Y.; Zhu, F.; Wang, D.; Wang, S. A zero-modified geometric INAR (1) model for analyzing count time series with multiple features. Can. J. Stat. 2023. [Google Scholar] [CrossRef]
- Brockwell, P.J.; Davis, R.A. Introduction to Time Series and Forecasting; Springer: Berlin/Heidelberg, Germany, 2002. [Google Scholar]
- Brockwell, P.J.; Davis, R.A. Time Series: Theory and Methods; Springer Science & Business Media: Berlin, Germany, 1991. [Google Scholar]





















| Model (A) | Model (B) | ||||||||||||
|---|---|---|---|---|---|---|---|---|---|---|---|---|---|
| Size | Metrics | 0.30 | 0.25 | 0.20 | 0.15 | 0.10 | 5.00 | 0.30 | 0.25 | 0.20 | 0.15 | 0.30 | 5.00 | 
| 150 | Est. | 0.2913 | 0.2410 | 0.1665 | 0.1028 | 0.1388 | 4.9929 | 0.2966 | 0.2413 | 0.1782 | 0.0823 | 0.3104 | 4.9649 | 
| Bias | −0.0087 | −0.0090 | −0.0335 | −0.0472 | 0.0388 | −0.0071 | −0.0034 | −0.0087 | −0.0218 | −0.0677 | 0.0104 | −0.0351 | |
| MAE | 0.0500 | 0.0465 | 0.1036 | 0.1341 | 0.1284 | 0.3299 | 0.0449 | 0.0465 | 0.1047 | 0.1621 | 0.1776 | 0.3656 | |
| RMSE | 0.0555 | 0.0527 | 0.1559 | 0.2008 | 0.3483 | 0.4113 | 0.0547 | 0.0582 | 0.1476 | 0.4420 | 0.2344 | 0.4522 | |
| 300 | Est. | 0.2933 | 0.2431 | 0.1887 | 0.1351 | 0.1071 | 5.0062 | 0.3045 | 0.2521 | 0.1983 | 0.1440 | 0.2921 | 5.0100 | 
| Bias | −0.0067 | −0.0069 | −0.0113 | −0.0149 | 0.0071 | 0.0062 | 0.0045 | 0.0021 | −0.0017 | −0.0060 | −0.0079 | 0.0100 | |
| MAE | 0.0327 | 0.0326 | 0.0638 | 0.0802 | 0.0798 | 0.2506 | 0.0298 | 0.0312 | 0.0632 | 0.0746 | 0.1149 | 0.2724 | |
| RMSE | 0.0344 | 0.0354 | 0.0822 | 0.1059 | 0.1004 | 0.3080 | 0.0373 | 0.0387 | 0.0821 | 0.0980 | 0.1447 | 0.3337 | |
| 600 | Est. | 0.2964 | 0.2457 | 0.1985 | 0.1398 | 0.1012 | 4.9958 | 0.3009 | 0.2497 | 0.2025 | 0.1456 | 0.2975 | 5.0169 | 
| Bias | −0.0036 | −0.0043 | −0.0015 | −0.0102 | 0.0012 | −0.0042 | 0.0009 | −0.0003 | 0.0025 | −0.0044 | −0.0025 | 0.0169 | |
| MAE | 0.0234 | 0.0224 | 0.0463 | 0.0535 | 0.0579 | 0.1670 | 0.0209 | 0.0191 | 0.0420 | 0.0494 | 0.0789 | 0.1719 | |
| RMSE | 0.0259 | 0.0252 | 0.0568 | 0.0669 | 0.0706 | 0.2125 | 0.0259 | 0.0239 | 0.0540 | 0.0641 | 0.0990 | 0.2194 | |
| 1200 | Est. | 0.2989 | 0.2492 | 0.1992 | 0.1449 | 0.1033 | 5.0021 | 0.3011 | 0.2495 | 0.1980 | 0.1475 | 0.2991 | 5.0012 | 
| Bias | −0.0011 | −0.0008 | −0.0008 | −0.0051 | 0.0033 | 0.0021 | 0.0011 | −0.0005 | −0.0020 | −0.0025 | −0.0009 | 0.0012 | |
| MAE | 0.0146 | 0.0143 | 0.0303 | 0.0380 | 0.0423 | 0.1252 | 0.0152 | 0.0143 | 0.0309 | 0.0353 | 0.0571 | 0.1424 | |
| RMSE | 0.0173 | 0.0173 | 0.0377 | 0.0478 | 0.0520 | 0.1563 | 0.0192 | 0.0178 | 0.0391 | 0.0445 | 0.0724 | 0.1784 | |
| 3000 | Est. | 0.2998 | 0.2505 | 0.1990 | 0.1492 | 0.1001 | 5.0058 | 0.2999 | 0.2497 | 0.1992 | 0.1485 | 0.2997 | 4.9988 | 
| Bias | −0.0002 | 0.0005 | −0.0010 | −0.0008 | 0.0001 | 0.0058 | −0.0001 | −0.0003 | −0.0008 | −0.0015 | −0.0003 | −0.0012 | |
| MAE | 0.0118 | 0.0111 | 0.0242 | 0.0286 | 0.0335 | 0.0964 | 0.0097 | 0.0097 | 0.0182 | 0.0220 | 0.0343 | 0.0893 | |
| RMSE | 0.0095 | 0.0087 | 0.0193 | 0.0228 | 0.0266 | 0.0774 | 0.0122 | 0.0120 | 0.0229 | 0.0277 | 0.0421 | 0.1130 | |
| AD | 0.4014 | 0.4446 | 0.6456 | 0.4647 | 0.2335 | 0.1660 | 0.2979 | 0.4877 | 0.3091 | 0.4579 | 0.7324 | 0.4977 | |
| p-value | 0.3585 | 0.2832 | 0.0916 | 0.2534 | 0.7957 | 0.9395 | 0.5872 | 0.2227 | 0.5569 | 0.2633 | 0.0559 | 0.2106 | |
| Model (C) | |||||||
|---|---|---|---|---|---|---|---|
| Size | Metrics | 0.40 | 0.40 | 0.20 | 0.15 | 0.25 | 5.00 | 
| 150 | Est. | 0.3990 | 0.3962 | 0.1860 | 0.1320 | 0.2546 | 5.0048 | 
| Bias | −0.0010 | −0.0038 | −0.0140 | −0.0180 | 0.0046 | 0.0048 | |
| MAE | 0.0383 | 0.0382 | 0.0767 | 0.0833 | 0.0985 | 0.4698 | |
| RMSE | 0.0469 | 0.0476 | 0.1018 | 0.1178 | 0.1234 | 0.5860 | |
| 300 | Est. | 0.3997 | 0.4005 | 0.1957 | 0.1492 | 0.2485 | 5.0276 | 
| Bias | −0.0003 | 0.0005 | −0.0043 | −0.0008 | −0.0015 | 0.0276 | |
| MAE | 0.0262 | 0.0270 | 0.0528 | 0.0497 | 0.0651 | 0.3519 | |
| RMSE | 0.0333 | 0.0339 | 0.0675 | 0.0642 | 0.0811 | 0.4382 | |
| 600 | Est. | 0.4002 | 0.4007 | 0.1956 | 0.1492 | 0.2523 | 5.0087 | 
| Bias | 0.0002 | 0.0007 | −0.0044 | −0.0008 | 0.0023 | 0.0087 | |
| MAE | 0.0188 | 0.0190 | 0.0346 | 0.0351 | 0.0480 | 0.2383 | |
| RMSE | 0.0234 | 0.0239 | 0.0437 | 0.0433 | 0.0620 | 0.3015 | |
| 1200 | Est. | 0.4004 | 0.4001 | 0.1978 | 0.1505 | 0.2479 | 4.9909 | 
| Bias | 0.0004 | 0.0001 | −0.0022 | 0.0005 | −0.0021 | −0.0091 | |
| MAE | 0.0132 | 0.0120 | 0.0244 | 0.0251 | 0.0333 | 0.1745 | |
| RMSE | 0.0166 | 0.0151 | 0.0309 | 0.0313 | 0.0415 | 0.2153 | |
| 3000 | Est. | 0.4005 | 0.4004 | 0.2008 | 0.1493 | 0.2490 | 5.0044 | 
| Bias | 0.0005 | 0.0004 | 0.0008 | −0.0007 | −0.0010 | 0.0044 | |
| MAE | 0.0079 | 0.0079 | 0.0155 | 0.0150 | 0.0208 | 0.1091 | |
| RMSE | 0.0101 | 0.0098 | 0.0195 | 0.0186 | 0.0258 | 0.1347 | |
| AD | 0.2718 | 0.2061 | 0.4386 | 0.2595 | 0.4890 | 0.5042 | |
| p-value | 0.6703 | 0.8696 | 0.2928 | 0.7118 | 0.2211 | 0.2029 | |
| Model (D) | Model (E) | ||||||||||||
|---|---|---|---|---|---|---|---|---|---|---|---|---|---|
| Size | Metrics | 0.60 | 0.40 | 0.30 | 0.70 | 0.30 | 3.00 | 0.60 | 0.40 | 0.70 | 0.30 | 0.30 | 3.00 | 
| 150 | Est. | 0.5989 | 0.3943 | 0.3025 | 0.6947 | 0.3106 | 2.9614 | 0.5961 | 0.3931 | 0.6987 | 0.2861 | 0.3111 | 2.9720 | 
| Bias | −0.0011 | −0.0057 | 0.0025 | −0.0053 | 0.0106 | −0.0386 | −0.0039 | −0.0069 | −0.0013 | −0.0139 | 0.0111 | −0.0280 | |
| MAE | 0.0397 | 0.0441 | 0.0581 | 0.0856 | 0.0815 | 0.3666 | 0.0379 | 0.0458 | 0.0588 | 0.0856 | 0.0807 | 0.3892 | |
| RMSE | 0.0488 | 0.0547 | 0.0746 | 0.1103 | 0.1119 | 0.4651 | 0.0479 | 0.0583 | 0.0744 | 0.1111 | 0.1179 | 0.4905 | |
| 300 | Est. | 0.6013 | 0.3991 | 0.2950 | 0.7052 | 0.2949 | 2.9846 | 0.5989 | 0.3986 | 0.7014 | 0.2971 | 0.2999 | 2.9953 | 
| Bias | 0.0013 | −0.0009 | −0.0050 | 0.0052 | −0.0051 | −0.0154 | −0.0011 | −0.0014 | 0.0014 | −0.0029 | −0.0001 | −0.0047 | |
| MAE | 0.0255 | 0.0302 | 0.0417 | 0.0554 | 0.0456 | 0.2589 | 0.0256 | 0.0277 | 0.0395 | 0.0582 | 0.0495 | 0.2759 | |
| RMSE | 0.0322 | 0.0378 | 0.0514 | 0.0713 | 0.0575 | 0.3311 | 0.0322 | 0.0357 | 0.0497 | 0.0725 | 0.0647 | 0.3487 | |
| 600 | Est. | 0.5994 | 0.3975 | 0.2995 | 0.7007 | 0.3012 | 2.9896 | 0.5989 | 0.4007 | 0.7000 | 0.3007 | 0.2992 | 2.9992 | 
| Bias | −0.0006 | −0.0025 | −0.0005 | 0.0007 | 0.0012 | −0.0104 | −0.0011 | 0.0007 | 0.0000 | 0.0007 | −0.0008 | −0.0008 | |
| MAE | 0.0173 | 0.0211 | 0.0285 | 0.0433 | 0.0344 | 0.1738 | 0.0176 | 0.0205 | 0.0289 | 0.0393 | 0.0350 | 0.1881 | |
| RMSE | 0.0219 | 0.0269 | 0.0355 | 0.0535 | 0.0430 | 0.2170 | 0.0219 | 0.0256 | 0.0363 | 0.0499 | 0.0439 | 0.2390 | |
| 1200 | Est. | 0.6004 | 0.4013 | 0.2999 | 0.6981 | 0.2984 | 3.0039 | 0.5999 | 0.3979 | 0.6994 | 0.3001 | 0.2999 | 3.0026 | 
| Bias | 0.0004 | 0.0013 | −0.0001 | −0.0019 | −0.0016 | 0.0039 | −0.0001 | −0.0021 | −0.0006 | 0.0001 | −0.0001 | 0.0026 | |
| MAE | 0.0122 | 0.0144 | 0.0208 | 0.0273 | 0.0237 | 0.1270 | 0.0126 | 0.0156 | 0.0204 | 0.0290 | 0.0243 | 0.1447 | |
| RMSE | 0.0156 | 0.0179 | 0.0262 | 0.0354 | 0.0296 | 0.1602 | 0.0160 | 0.0197 | 0.0257 | 0.0365 | 0.0301 | 0.1791 | |
| 3000 | Est. | 0.6000 | 0.4005 | 0.2998 | 0.6982 | 0.2998 | 3.0030 | 0.6007 | 0.3997 | 0.7000 | 0.3002 | 0.2982 | 3.0000 | 
| Bias | 0.0000 | 0.0005 | −0.0002 | −0.0018 | −0.0002 | 0.0030 | 0.0007 | −0.0003 | 0.0000 | 0.0002 | −0.0018 | 0.0000 | |
| MAE | 0.0081 | 0.0093 | 0.0126 | 0.0183 | 0.0152 | 0.0836 | 0.0079 | 0.0093 | 0.0122 | 0.0181 | 0.0145 | 0.0856 | |
| RMSE | 0.0102 | 0.0118 | 0.0155 | 0.0232 | 0.0192 | 0.1054 | 0.0098 | 0.0117 | 0.0153 | 0.0226 | 0.0180 | 0.1074 | |
| AD | 0.1186 | 0.3962 | 0.2291 | 0.1378 | 0.5815 | 0.7015 | 0.7048 | 0.4253 | 0.2718 | 0.2414 | 0.2766 | 0.5041 | |
| p-value | 0.9898 | 0.3688 | 0.8088 | 0.9763 | 0.1297 | 0.0667 | 0.0654 | 0.3150 | 0.6705 | 0.7713 | 0.6542 | 0.2031 | |
| Crime | Min | Max | Median | Mean | Var | ||
|---|---|---|---|---|---|---|---|
| Offensive Conduct (OCND) | 0 | 5 | 0 | 0.3448 | 0.5551 | 1.6098 | 0.6616 | 
| Offensive Language (OLNG) | 0 | 4 | 0 | 0.2960 | 0.3992 | 1.3487 | 0.6438 | 
| Estimate | -BVGINAR(1) | BVNGINAR(1) | BVPOINAR(1) | BVMIXINAR(1) | 
|---|---|---|---|---|
| 0.1278 | 0.2364 | 0.0769 | 0.3306 | |
| 0.3435 | 0.1695 | 0.5340 | 0.2339 | |
| 0.5724 | 0.2289 | 0.6902 | 0.3071 | |
| 0.6263 | 0.2572 | 0.2078 | 0.0961 | |
| 0.0777 | – | – | – | |
| 0.3448 | 0.3448 | 0.3448 | 0.3448 | |
| LogLik | −489.64 | −492.15 | −492.25 | −526.14 | 
| AIC | 991.27 | 994.31 | 994.51 | 1062.29 | 
| BIC | 1008.53 | 1013.57 | 1013.77 | 1081.55 | 
| Crime | Min | Max | Median | Mean | Var | ||
|---|---|---|---|---|---|---|---|
| Break and Enter Thefts into Dwellings (BETD) | 0 | 40 | 4 | 5.5431 | 25.7244 | 4.6408 | 0.7587 | 
| Break and Enter Thefts into Non-Dwellings (BETND) | 0 | 22 | 3 | 4.0517 | 15.8417 | 3.9099 | 0.7681 | 
| Estimate | -BVGINAR(1) | BVNGINAR(1) | BVPOINAR(1) | BVMIXINAR(1) | 
|---|---|---|---|---|
| 0.2434 | 0.7028 | 0.3483 | 0.6987 | |
| 0.2686 | 0.6855 | 0.5614 | 0.7911 | |
| 0.7451 | 0.3911 | 0.9741 | 0.4548 | |
| 0.2428 | 0.2431 | 0.3223 | 0.4693 | |
| 1.5649 | – | – | – | |
| 5.5431 | 5.5431 | 5.5431 | 5.5431 | |
| LogLik | −1742.96 | −1761.20 | −1987.37 | −2216.58 | 
| AIC | 3497.91 | 3532.40 | 3984.75 | 4443.16 | 
| BIC | 3515.17 | 3551.66 | 4004.01 | 4462.42 | 
| Disclaimer/Publisher’s Note: The statements, opinions and data contained in all publications are solely those of the individual author(s) and contributor(s) and not of MDPI and/or the editor(s). MDPI and/or the editor(s) disclaim responsibility for any injury to people or property resulting from any ideas, methods, instructions or products referred to in the content. | 
© 2024 by the authors. Licensee MDPI, Basel, Switzerland. This article is an open access article distributed under the terms and conditions of the Creative Commons Attribution (CC BY) license (https://creativecommons.org/licenses/by/4.0/).
Share and Cite
Liu, C.; Wang, D. Bivariate Random Coefficient Integer-Valued Autoregressive Model Based on a ρ-Thinning Operator. Axioms 2024, 13, 367. https://doi.org/10.3390/axioms13060367
Liu C, Wang D. Bivariate Random Coefficient Integer-Valued Autoregressive Model Based on a ρ-Thinning Operator. Axioms. 2024; 13(6):367. https://doi.org/10.3390/axioms13060367
Chicago/Turabian StyleLiu, Chang, and Dehui Wang. 2024. "Bivariate Random Coefficient Integer-Valued Autoregressive Model Based on a ρ-Thinning Operator" Axioms 13, no. 6: 367. https://doi.org/10.3390/axioms13060367
APA StyleLiu, C., & Wang, D. (2024). Bivariate Random Coefficient Integer-Valued Autoregressive Model Based on a ρ-Thinning Operator. Axioms, 13(6), 367. https://doi.org/10.3390/axioms13060367
 
        

 
       