Abstract
A critical aspect of modeling binomial response data is selecting an appropriate link function, as an improper choice can significantly affect model precision. This paper introduces the skew–t link model, an extension of the skew–probit model, offering increased flexibility by incorporating both asymmetry and heavy tails, making it suitable for asymmetric and complex data structures. A penalized likelihood-based estimation method is proposed to stabilize parameter estimation, particularly for the asymmetry parameter. Extensive simulation studies demonstrate the model’s superior performance in terms of lower bias, root mean squared error (RMSE), and robustness compared to traditional symmetric models like probit and logit. Furthermore, the model is applied to two real-world datasets: one concerning women’s labor participation and another related to cardiovascular disease outcomes, both showing superior fitting capabilities compared to more traditional models (with probit and the skew–probit links). These findings highlight the model’s applicability to socioeconomic and medical research, characterized by skew and asymmetric data. Moreover, the proposed model could be applied in various domains where data exhibit asymmetry and complex structures.
MSC:
62P12; 62J20; 62J12
1. Introduction
When analyzing binomial response data, models with probit, logit, and cloglog links are commonly considered. Probit and logit links are symmetric, while the cloglog link is asymmetric. Ref. [1] explores these common links. The researchers conduct various simulation studies to investigate whether the choice of the link influences the model’s fit or predictive ability. Additionally, they perform analyses on three sets of real-world data. Both simulation studies and real data analysis highlight that an incorrect choice of the link can lead to underfitting or overfitting. They conclude that making a wrong decision can occur if the link function is specified incorrectly. Therefore, one option for a specified link is an asymmetric link that has a symmetric link as a particular case. One of the links that has gained importance in various contexts is the skew–probit link, which incorporates a parameter to regulate the asymmetry of the link function and considers the probit link as a specific case. This link was proposed by [2] in the field of item response theory from a Bayesian perspective. Furthermore, the skew–probit link has been examined in the context of binary response data, both from a Bayesian perspective in [3] and from a frequentist perspective in [4]. The skew–probit link is the inverse of the cumulative distribution function of the skew–normal distribution proposed by [5]. The literature, from the work of [5,6], highlights the difficulties associated with estimating the skewness parameter in these distributions. Therefore, Refs. [7,8] suggest the application of a penalty function.
Recognizing the need for a more flexible and adaptable link function in the analysis of binomial response data, we introduce the skew–t link model in this work. Our proposed model significantly extends the capabilities of existing methods by offering greater flexibility compared to traditional links, including the skew–probit link, which it encompasses as a special case. A key innovation of our approach lies in the use of penalized maximum likelihood estimation, which enhances the stability and accuracy of parameter estimation, particularly in handling the skewness parameter. This combination of flexibility and robust estimation makes our skew–t link model a powerful tool for addressing complex data structures in binomial response models.
The structure of this article is organized systematically as follows. Section 2 presents the proposed skew–t link model for analyzing binomial response data, detailing its formulation and the penalized log-likelihood function. In Section 3, we focus on parameter estimation, including the derivation of the score function and relevant asymptotic results. Section 4 evaluates the performance of the proposed model through two comprehensive simulation studies, each considering different data generation configurations. The application of the model to real-world datasets is presented in Section 5, where we analyze both binomial and binary response data. Finally, Section 6 and Section 7 offer a detailed discussion of the findings and conclude the paper.
2. Skew–t Link Model
2.1. Formulation
As a starting point, we establish an essential part of the general notation. Let us assume that is a vector of covariates and is a vector of regression coefficients, both of dimension , where . Additionally, due to the intercept term. In this context, the skew–t link model is specified by
where is the cumulative distribution function of the skew–t distribution introduced by [9,10] with skewness parameter and degrees of freedom . In the context of the Generalized Linear Models theory, is the inverse link function [11],
The model (1) will be represented as .
By definition, the cumulative distribution function for the skew–t distribution is given by
where and denote the probability density function and cumulative distribution function of the standard Student’s t-distribution with degrees of freedom , respectively,
is continuous, smooth, and infinitely differentiable. By the fundamental theorem of calculus, the first derivative of (2) with respect to is the probability density function of the skew–t distribution,
The second derivative of (2) with respect to is
Refs. [12,13] derived explicit expressions for the cumulative distribution function when . Ref. [12] for ,
and Ref. [13] for , for example,
The model is connected to several other important models. When , it reduces to the new skew–Cauchy link model. As , it converges to the skew–probit link model, represented by . When , the model simplifies to the t-link model, represented by . When and , it becomes the Cauchy link model. Finally, as and , the model converges to the probit link model, represented by . These relationships are illustrated in Figure 1.
Figure 1.
Some of the relationships between models derived from the model.
Figure 2 displays the probability as a function of for selected values of the parameters and . This figure is highly informative. When , the probability approaches both zero and one at the same rate. However, when , the probability approaches zero more rapidly than it does one. The inverse behavior is observed when . Additionally, as the degrees of freedom decrease, the tails of the distribution become heavier. These characteristics highlight the advantage of this model compared to those that use symmetric links, such as and , as well as models that employ asymmetric links, such as . Furthermore, this model can adapt to the aforementioned models, making it a flexible link option.
Figure 2.
Probability curves of for some values of and .
2.2. Penalized Log-Likelihood Function
In the Student’s t-distribution, estimating the degrees of freedom parameter presents considerable challenges, which also impact the proposed model. According to [14], in a general regression model, two estimation scenarios are considered. In the first, all parameters are estimated simultaneously, while in the second, a subset of parameters is estimated, with the remaining parameters fixed at their true values. In this work, the parameters and will be estimated, while the parameter is fixed at its true value, .
Consider the complete dataset, and . The log-likelihood function is
where
with parameter vector of dimension .
A second challenge arises in the stability of estimating the skewness parameter in the skew–t distribution, a problem that also impacts the proposed model, as it relies on the cumulative distribution function of this distribution. According to [8], available methods to address this issue, both frequentist and Bayesian, are limited to simple scenarios. This study adopts the penalized log-likelihood approach, which necessitates an appropriate penalty function. This function, also known as shrinkage estimation, semi-Bayes, or partial-Bayes, is implemented without requiring a strictly Bayesian justification [15].
Given , the penalized log-likelihood function is given by
where is the penalty function.
Ref. [8] proposes that the penalization function should meet the following properties:
- and
- .
The penalization function that we can derive from the proposal of [8] is
where and are positive constants. In [3,4], this penalty function was incorporated into the skew–probit link model for binary response data without prior knowledge of its formulation. In [3], from a Bayesian perspective, the values were set as and . Meanwhile, in [4], a frequentist approach was taken, setting and . These values were derived using the kernel of the density of the Student’s t distribution, based on the following relationship:
Ref. [3] used the parameters and , while [4] employed and . In the estimation scenario, where is assumed to be known, we adopt the approach of [8], selecting the following values:
where
Figure 3 shows the behavior of the penalty functions for both types of links.
Figure 3.
Penalty functions for link models: (a) skew–probit by Bazán et al. (2010) [3]; (b) skew–probit by Lee and Sinha (2019) [4]; and (c) skew–t by Azzalini and Arellano-Valle (2013) [8].
3. Parameter Estimation
3.1. Score Function
The estimation of the model parameters with skew–t link is carried out using the maximum penalized likelihood method. The penalized score function, obtained as the partial derivative of the penalized log-likelihood function with respect to the parameters, provides the estimation equations that must be solved to find the penalized maximum likelihood estimators. The strategy of fitting a model based on the penalized likelihood function has been widely used in various fields. Moreover, the asymptotic properties of these estimators have been extensively studied and documented in the literature for different models; see, for example, [16,17,18]. A key reference on this method is the book by [19].
Also, and .
The maximum penalized likelihood estimator of is obtained by solving the score equation,
with being the zero vector of dimension .
3.2. Asymptotic Results
In asymptotic theory, maximum penalized likelihood estimators are shown to be consistent and have an approximate multivariate normal distribution in large samples. This approach allows us to construct confidence intervals and perform hypothesis tests on the model parameters, using the expected penalized information matrix and its inverse.
Given the function (5) and , the expectation of the penalized information matrix is given by
where
with ∘ denoting the Hadamard product. In (8), and .
Consequently, the inverse from is
where
with being the identity matrix of dimension . The convenient formula for the inverse of a partitioned matrix can be seen, for example, in [20].
Assuming that is consistent, we can replace (9) with . Consequently,
The result (10) is essential for constructing confidence intervals for both and .
In this article, we utilize the open-source software R-4.4.1 [21], specifically the maxLik package [22]. This package provides a range of optimization routines that facilitate the implementation of advanced features, such as fixing specific parameter values, which is essential for the proposed model in this study.
For the estimation of the parameters of the model , the following procedure is adopted for selecting the initial values. The regression coefficients are initialized based on the estimates from the baseline model , represented as , where corresponds to the estimates obtained under the probit model. Additionally, the asymmetry parameter is initialized at zero, . These initial values are chosen to ensure a stable foundation for the iterative optimization process.
4. Simulation Study
This section aims to verify the accuracy of the parameter estimates for the model under the proposed methodology. It also assesses the adaptability of the proposed model to two asymmetric links and describes the process for determining the parameter .
4.1. Study 1
This study will address 2 scenarios for generating datasets, creating a total of 500 datasets for each scenario. The construction of the complete datasets follows the outlined procedure: in Step (1), the values for and are chosen, where . For scenario 1, the values are set as , , and . For scenario 2, the values are set as , , and . In Step (2), the values for m and are chosen, where . For scenario 1, the values are chosen as . For scenario 2, the values are chosen as . In Step (3), and are generated using the normal distribution. For scenario 1, the values and are generated. For scenario 2, the values and are generated. In Step (4), is structured, . In Step (5), is generated using the binomial distribution,
Assuming that is the estimator of in the j-th dataset crafted, the Monte Carlo mean of these estimates is consequently
The absolute bias (AB) is defined as
The Monte Carlo standard deviation (SD) and the root mean square error (RMSE) are expressed as
and
respectively.
The results of the estimations for scenarios 1 and 2 are detailed in Table 1 and Table 2, respectively. Overall, the absolute bias (12) values are close to zero. Additionally, both the SD (13) and RMSE (14) tend to decrease as the simulation size m increases, indicating greater precision in parameter estimation. These results are illustrated in Figure 4 and Figure 5, corresponding to scenarios 1 and 2, respectively. In both figures, a diagonal line highlights the proximity between the SD and RMSE values, confirming that absolute biases are practically negligible.
Table 1.
Simulation study results for the first scenario: AB, SD, and RMSE in the parameter estimation of under three values of and five values of m.
Table 2.
Simulation study results for the second scenario: AB, SD, and RMSE in the parameter estimation of under three values of and five values of m.
Figure 4.
Simulation study results for the first scenario: SD versus RMSE in the parameter estimation of under three values of and ten values of m.
Figure 5.
Simulation study results for the second scenario: SD versus RMSE in the parameter estimation of under three values of and ten values of m.
However, it is important to note that in the scenarios with less available information, the variability of the estimators can increase significantly. This effect is observed in Figure 4, where for and , the SD of the skewness parameter estimator reaches a value of 1.925, while the RMSE is 1.927. This behavior explains why the SD and RMSE values for the skewness estimator deviate from the main group of estimates. Additionally, this dispersion may be influenced by the inherent variability in data generation, which emphasizes the need for a more detailed analysis in scenarios with smaller sample sizes.
4.2. Study 2
This subsection presents a second simulation study aimed at evaluating the adaptability of the proposed model in comparison with other asymmetric link models, specifically the cloglog and loglog links. Additionally, the process for setting the parameter is detailed. The dataset construction for each link follows the procedure outlined below. In Step (1), the value of is set. In Step (2), the value is selected. In Step (3), the values and are generated. In Step (4), the probability is defined as
In Step (5), finally, the responses are generated using a binomial distribution, i.e., .
In both scenarios, the cloglog, loglog, and models are fitted. The determination of the degrees of freedom is performed using the profile likelihood procedure described by [23]. Figure 6 displays the profile likelihood curves as a function of . The sequence used for is (with an increment of ). For data generated using the cloglog link, the appropriate degrees of freedom, where the profile-penalized log-likelihood reaches its maximum, is . For data generated using the loglog link, the appropriate degrees of freedom, corresponding to the maximum of the profile-penalized log-likelihood, is .
Figure 6.
Profile log-likelihood function and distance between the model and the cloglog and loglog models: (a) profile log-likelihood, scenario 1; (b) profile log-likelihood, scenario 2; (c) distance, scenario 1; (d) distance, scenario 2.
Table 3 focuses on the parameter estimates for the model in both scenarios. The estimates of are very close to the true values, and the 95% confidence interval includes the true value. The 95% confidence interval for does not include zero, which suggests the continued need for a model such as the one proposed, as it is adapting to datasets generated from asymmetric links.
Table 3.
Summary of parameter estimation for the cloglog, loglog and models in simulated data.
Reinforcing the flexibility of the proposed model, the formula for calculating the distance between two cumulative distribution functions of interest is presented below,
Figure 6 illustrates how this distance behaves, with the horizontal axis at zero.
5. Applications
In this section, we motivate the proposed link by comparing it with the probit and skew–probit links by fitting them to two real datasets. The first dataset has binomial response data, while the second dataset has binary response data.
5.1. Women’s Labor
The National Institute of Statistics (Instituto Nacional de Estadística: INE) of Bolivia conducts the Household Survey (Encuesta de Hogares: EH) semi-annually with the aim of assessing income poverty and collecting essential socioeconomic data to monitor the Sustainable Development Goals. The EH 2021 covers topics such as health, education, employment, non-labor income, and housing, and is publicly available on the INE website at https://www.ine.gob.bo, accessed on 1 January 2024.
For this illustration, specific data from the EH 2021 were processed. The following variables were considered: the total number of women in a specific age group (), the number of women who worked at least one hour in the previous week (), and the age of the women in years (). Additionally, this process was carried out by differentiating between urban and rural areas, considering women aged 10 to 55, in accordance with current legislation, such as the “Law 321/2013-2014 of the Code of Girls, Boys, and Adolescents” and the “Pension Law 065”. The dataset is presented in Table 4, which also includes the proportion of women who worked at least one hour in the previous week ().
Table 4.
Women’s labor data.
It is important to note that women participating in labor activities demonstrated a wide diversity of productive and commercial occupations.
Table 5 presents the parameter estimates, standard deviations and 95% confidence intervals for models (with probit link), (with skew–probit link) and (with skew–t link). It also includes model comparison criteria such as the Akaike Information Criterion (AIC), Bayesian Information Criterion (BIC), and Hannan–Quinn Information Criterion (HQIC). The information criterion values unanimously indicate that the model to consider for analysis is .
Table 5.
Summary of parameter estimation for , and , along with model selection performance evaluation using AIC, BIC, and HQIC on data related to women’s labor.
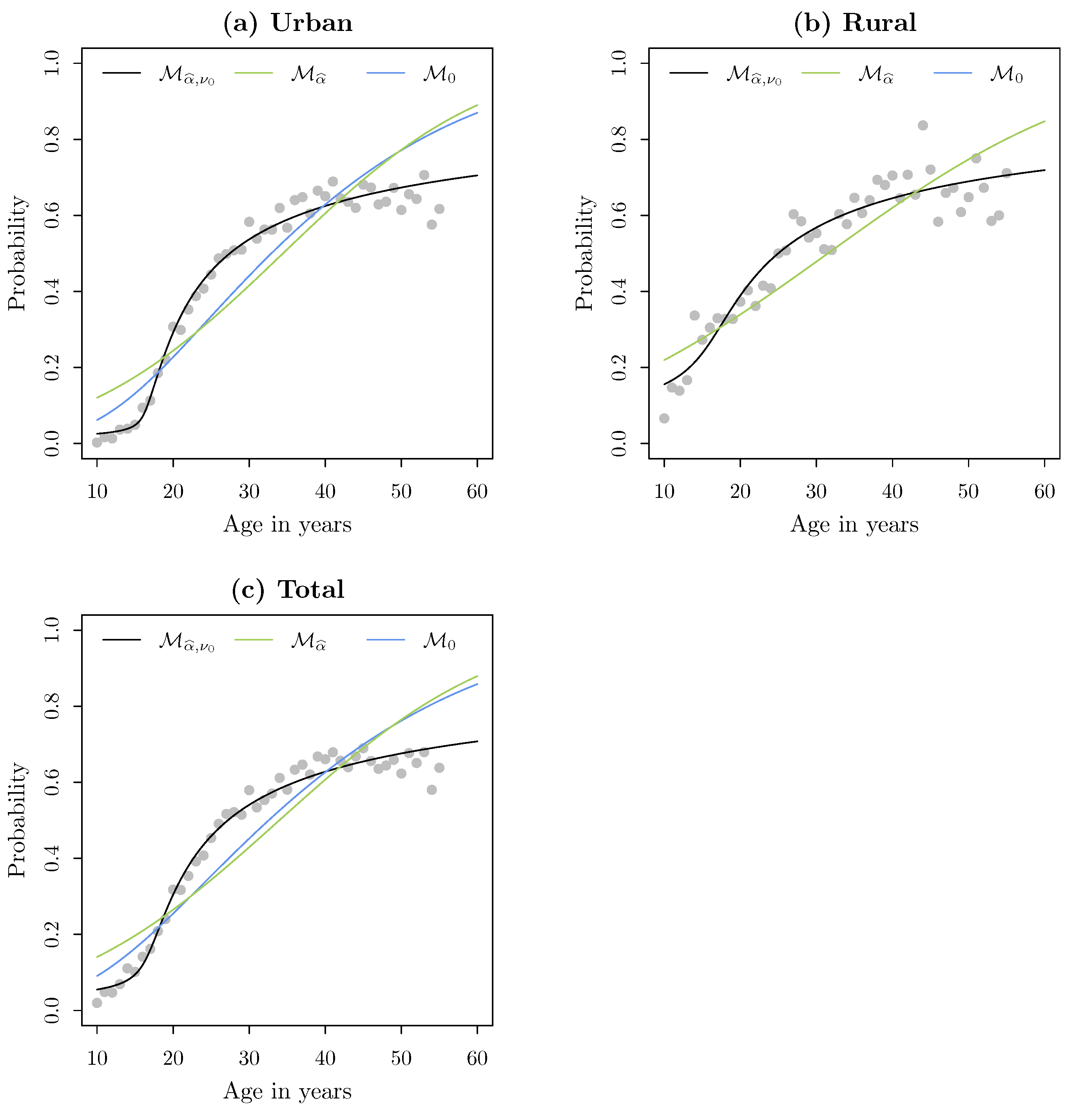
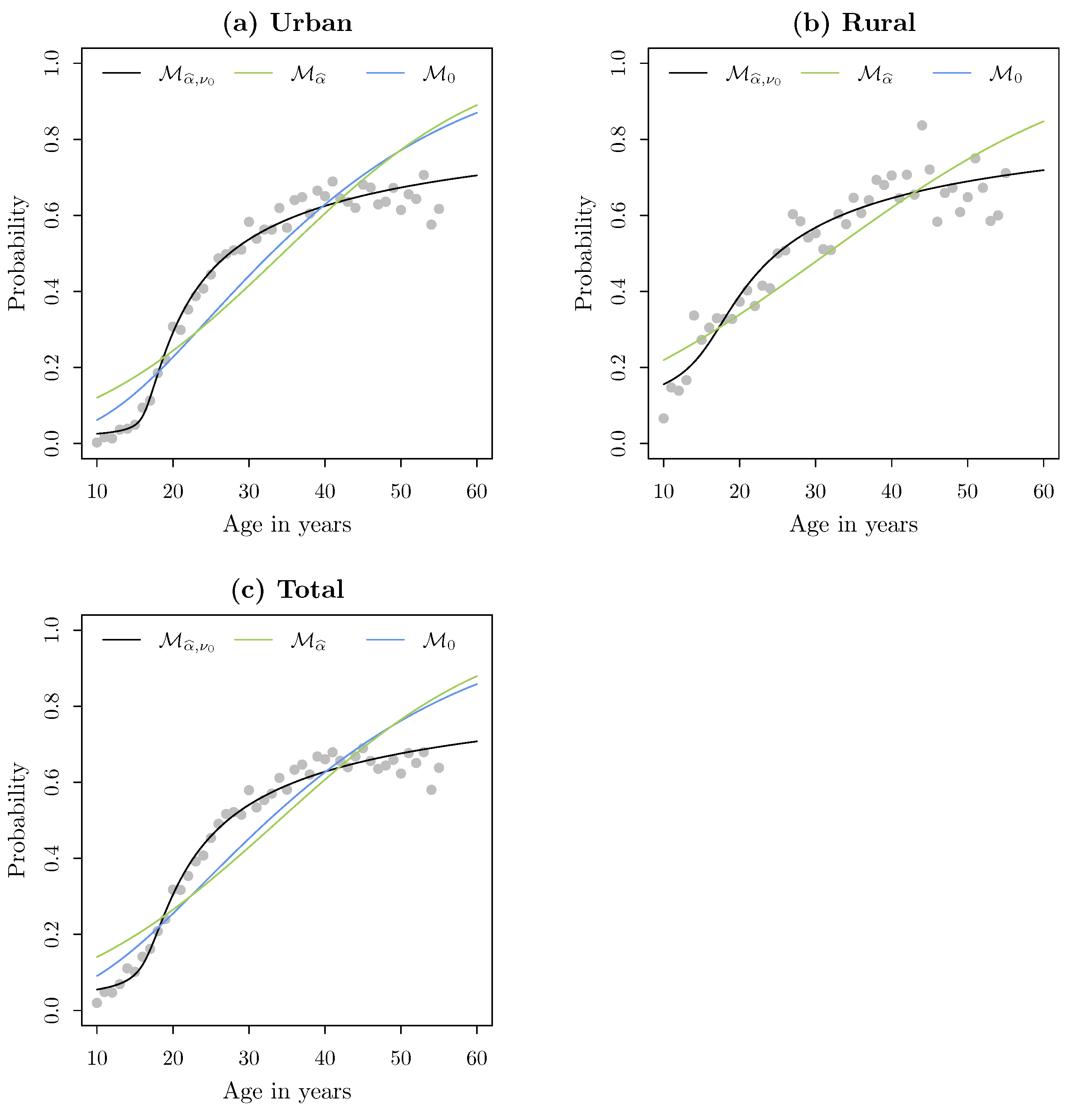
Figure 7 shows the proportion of women who participated in work activities according to their area of residence, with the lines representing the fitted model. This figure demonstrates that, when comparing models and with , the first two do not fit the data in any of the three scenarios. This underscores the need for a model with a flexible link function, which successfully addresses.
Figure 7.
Proportion of women who participated in work activities for at least one hour during the previous week, according to the area of residence in Bolivia. The lines represent the fitted model.
Table 6 presents the results of the Kolmogorov–Smirnov (K-S) test for assessing the normality of the residuals. Following the fitting of the three models, , and , we calculated the estimated probabilities and Pearson residuals. The K-S test was then applied to compare the distribution of the residuals with a theoretical normal distribution. In this table, the D value represents the K-S statistic, which measures the maximum difference between the empirical and theoretical distributions. At a significance level of , the null hypothesis is rejected if the p-value falls below this threshold, indicating a departure from normality. Conversely, if the p-value exceeds this level, it suggests that the residuals can be considered normally distributed, thereby supporting the model’s adequacy. Specifically, with , the p-values for both the urban area and the total area indicate that the proposed model is adequate. Furthermore, at , all p-values suggest that the proposed model is appropriate.
Table 6.
Kolmogorov–Smirnov test results for assessing the normality of residuals by area and model on data related to women’s labor.
5.2. Cardiovascular Disease
One of the leading causes of death in the world is cardiovascular disease (CVD). Ref. [24] proposes a methodology to predict cardiovascular diseases. The study [24] is from the Sleep Heart Health Study (SHHS), a multicenter cohort study implemented by the National Heart, Lung, and Blood Institute to determine the cardiovascular and other consequences of sleep-disordered breathing (the full dataset can be downloaded from https://sleepdata.org, accessed on 1 January 2024). In the original study, the SHHS was designed to determine whether sleep-disordered breathing and obstructive sleep apnea were a risk factor for cardiovascular and cerebrovascular disease [25]. The SHHS dataset is a prospective cohort study that recruited participant data from nine cohort studies. It contains the data of 5804 adults (40+ years), divided into 2 datasets: SHHS1 as a baseline for measuring the health status of the subjects, based on the polysomnography test and medical indices, collected between 1995 and 1998; and SHHS2, which contains the results of the selected cohort follow-up from January 2001 to June 2003, classifying the subjects who did or did not present cardiovascular disease (CVD) or related health problems during that period of time. Given that the dataset includes more than 1200 variables, the main challenge in CVD prediction is to select a subset of variables that might be most useful in explaining CVD. Although many alternatives have been proposed, we use the variables selected by [24] as its use in a machine learning model seems to outperform other options in terms of prediction ability.
The variables considered are the following: y, indicating cardiovascular disease (CVD) events (TRUE = a CVD event occurred, FALSE, otherwise) since Sleep Heart Health Study Visit One (Sleep Heart Health Study Visit One: SHHS1); , indicating age at time of study in years, based on start date of Sleep Heart Health Study Visit One (SHHS1) Polysomnography (PSG) recording; , indicating history of diabetes (Sleep Heart Health Study Visit One (SHHS1)); , indicating Doctor of Medicine (MD)-reported coronary artery bypass graft (CABG) since Sleep Heart Health Study Visit One (SHHS1); , indicating cigarette pack-years since Sleep Heart Health Study Visit One (SHHS1).
The minimum age in years at the time of the study is 39, the maximum age is 90, and the mean age is approximately 65 years. The proportion of patients with a history of diabetes is 0.067. The proportion of patients with coronary artery graft report is 0.035. The mean number of packs of cigarettes consumed per year by patients is approximately 13. The variable y is labeled with one and zero, which represent the presence or not, respectively, of CVD events from SHHS2. Out of a total of 2939 patients (patients belonging to the first and second studies), 749 had almost 1 of the CVD events, which shows an imbalance in the dataset.
The skew–t link model for binary response data is specified by
where .
Table 7 provides a summary of the parameter estimates and model comparison criteria applied to the dataset. The information criteria values indicate that the most suitable model for the analysis is , which underscores once again the need for a model with a flexible link function, a need that effectively meets. It is worth noting that the estimated skewness parameter is 2.943. As shown in Figure 2, when , the probability tends to approach zero more rapidly than one, which explains the imbalance observed in the binary response data.
Table 7.
Summary of parameter estimation for , and , along with model selection performance evaluation using AIC, BIC, and HQIC on data related to cardiovascular disease.
The assessment of residual normality using the K-S test showed that the K-S statistics for models , and were , and , respectively, with p-values less than . These results suggest a significant deviation from normality in the residuals of all three models. However, the K-S test is known for its sensitivity to large sample sizes, which may result in detecting minor deviations from normality that do not necessarily affect the overall model fit.
6. Discussion
The skew–t link model proposed in this paper provides a significant contribution to the field of binomial and binary response data analysis by addressing the limitations of traditional symmetric link functions like probit and logit, as well as the less flexible skew–probit link. This model introduces an additional level of flexibility through the incorporation of both an asymmetry parameter and degrees of freedom, enabling it to handle more complex data patterns. The effectiveness of the skew–t link model is demonstrated in both simulation studies and real-world applications, highlighting its potential as a valuable tool for researchers in various fields.
Another main contribution of the paper is the use of a penalized likelihood-based estimation method to stabilize the estimation process, particularly for the asymmetry parameter. Estimating this parameter can be challenging due to potential divergence, but the penalization strategy mitigates this issue, leading to more robust and reliable parameter estimates. This approach is essential in cases where traditional maximum likelihood estimation methods may fail, making the model more practical for real-world applications.
The comprehensive simulation studies conducted in this paper demonstrate the accuracy and reliability of the skew–t link model. In both scenarios tested, the model consistently exhibited low absolute bias and decreasing Monte Carlo standard deviations and root mean squared errors as the sample size increased. These findings underscore the model’s ability to provide consistent and reliable parameter estimates across different data configurations. The second study, which highlights the model’s adaptability to asymmetric link functions such as cloglog and loglog, further emphasizes its flexibility in handling a variety of data structures.
Additionally, an alternative approach that could complement the findings of this study is the implementation of a Bayesian perspective. Specifically, one could consider a hierarchical representation where the response follows a binomial distribution given by with , where , and . Here, , and represent suitable prior distributions. Notably, the estimation of the degrees of freedom parameter can be complex; the authors of [26] suggest employing the Jeffreys prior distribution proposed by [27] for the skew–t distribution, which can be expressed as
where is the trigamma function. Alternatively, one might consider fixing the degrees of freedom in the estimation scenario presented in this article.
The application of the skew–t link model to two real-world datasets, women’s labor and cardiovascular disease data, further validates its practical utility. In both cases, the model outperformed traditional symmetric link functions and the skew–probit link in terms of model fit, as indicated by lower AIC, BIC, and HQIC values. These results indicate that the skew–t link model is particularly well suited for datasets with inherent asymmetry, which is commonly found in socioeconomic and medical research as well as in other fields like environmental science and finance. For instance, in environmental and atmospheric sciences, the skew–t link model can be applied to analyze data related to events such as pollution levels or extreme weather occurrences, where outcome distributions often exhibit non-symmetry due to natural variability. Additionally, in finance and economics, this model can enhance the analysis of binary outcomes such as credit defaults, investment decisions, or market participation, where irregularities in data distributions frequently challenge traditional models. We believe the skew–t model provides a flexible alternative that can more effectively capture the complexities of asymmetric and heavy-tailed data across these diverse domains.
Despite the clear advantages of the skew–t link model, there are several limitations that warrant further exploration. First, while the penalized likelihood estimation method effectively addresses the challenges in estimating the asymmetry parameter, the choice of penalty function could potentially influence the results. Future research could explore alternative penalty functions and assess their impact on model performance. Second, the skew–t link model, as presented in this paper, is limited to binomial and binary response data. Extending this model to more complex data structures, such as multinomial or mixed response models, could significantly broaden its applicability. Additionally, exploring the use of the skew–t link in hierarchical or multilevel models could provide further insights into its potential for analyzing nested data structures, which are common in fields like education and healthcare. Another promising direction for future research lies in the development of computational tools and algorithms that can efficiently estimate the skew–t link model’s parameters for larger datasets. Although the penalized likelihood estimation method is effective, its computational cost may increase with larger sample sizes or more complex data configurations. Developing optimized algorithms for parameter estimation could make the skew–t link model more accessible for big data applications.
7. Conclusions
The skew–t link model introduced in this work represents a significant advance in the analysis of binomial and binary response data. Its flexibility, particularly in handling asymmetric distributions and heavy tails, makes it a valuable tool for researchers in a range of fields. The model’s ability to outperform traditional symmetric links and the skew–probit link in both simulated and real-world data underscores its potential to address longstanding challenges in statistical modeling. Future research should focus on extending the model to more complex data structures, exploring alternative estimation methods, and optimizing computational tools to improve its applicability in diverse research settings.
Author Contributions
Conceptualization, O.C.-P., G.I.-P. and O.N.; methodology, O.C.-P., O.N. and G.I.-P.; software, O.C.-P.; validation, O.C.-P., O.N. and G.I.-P.; formal analysis, O.C.-P.; investigation, O.C.-P.; data curation, O.N. and O.C.-P.; writing—original draft preparation, O.C.-P.; writing—review and editing, O.N., G.I.-P. and O.C.-P.; visualization, O.C.-P.; supervision, O.N. and G.I.-P.; project administration, O.N.; funding acquisition, O.N. All authors have read and agreed to the published version of the manuscript.
Funding
O.C.-P.’s research was partially supported by the PhD scholarship of the Universidad de Valparaíso (Chile), and O.N. was partially funded by the Chilean national ANID-Fondecyt grant 1241881-E2024.
Data Availability Statement
The original contributions presented in the study are included in the article, further inquiries can be directed to the corresponding authors.
Acknowledgments
The authors thank the editor and the three anonymous reviewers for their valuable comments and suggestions.
Conflicts of Interest
The authors declare no conflicts of interest.
References
- Chen, M.-H.; Dey, D.K.; Shao, Q.-M. On robustness of choice of links in binomial regression. Calcutta Stat. Assoc. Bull. 2022, 53, 145–164. [Google Scholar] [CrossRef]
- Bazán, J.L.; Bolfarine, H.; Branco, M.D. A skew item response model. Bayesian Anal. 2006, 1, 861–892. [Google Scholar] [CrossRef]
- Bazán, J.L.; Bolfarine, H.; Branco, M.D. A framework for skew-probit links in binary regression. Commun. Stat.-Theory Methods 2010, 4, 678–697. [Google Scholar] [CrossRef]
- Lee, D.; Sinha, S. Identifiability and bias reduction in the skew-probit model for a binary response. J. Stat. Comput. Simul. 2019, 89, 1621–1648. [Google Scholar] [CrossRef]
- Azzalini, A. A class of distributions which includes the normal ones. Scand. J. Stat. 1985, 12, 171–178. [Google Scholar]
- Liseo, B.; Loperfido, N. A note on reference priors for the scalar skew-normal distribution. J. Stat. Plan. Inference 2006, 136, 373–389. [Google Scholar] [CrossRef]
- Sartori, N. Bias prevention of maximum likelihood estimates for scalar skew normal and skew t distributions. J. Stat. Plan. Inference 2006, 136, 4259–4275. [Google Scholar] [CrossRef]
- Azzalini, A.; Arellano-Valle, R.B. Maximum penalized likelihood estimation for skew-normal and skew-t distributions. J. Stat. Plan. Inference 2013, 143, 419–433. [Google Scholar] [CrossRef]
- Branco, M.D.; Dey, D.K. A general class of multivariate skew-elliptical distributions. J. Multivar. Anal. 2001, 79, 99–113. [Google Scholar] [CrossRef]
- Azzalini, A.; Capitanio, A. Distributions generated by perturbation of symmetry with emphasis on a multivariate skew t-distribution. J. R. Stat. Soc. B Stat. Methodol. 2003, 65, 367–389. [Google Scholar] [CrossRef]
- Nelder, J.A.; Wedderburn, R.W.M. Generalized linear models. J. R. Stat. Soc. Ser. A 1972, 135, 370–384. [Google Scholar] [CrossRef]
- Behboodian, J.; Jamalizadeh, A.; Balakrishnan, N. A new class of skew-cauchy distributions. Stat. Probab. Lett. 2006, 76, 1488–1493. [Google Scholar] [CrossRef]
- Jamalizadeh, A.; Khosravi, M.; Balakrishnan, N. Recurrence relations for distributions of a skew-t and a linear combination of order statistics from a bivariate-t. Comput. Stat. Data Anal. 2009, 53, 847–852. [Google Scholar] [CrossRef]
- Taylor, J.M.G.; Siqueira, T.A.; Weiss, R.E. The cost of adding parameters to a model. J. R. Stat. Soc. B Stat. Methodol. 1996, 58, 593–607. [Google Scholar] [CrossRef]
- Cole, S.R.; Chu, H.; Greenland, S. Maximum likelihood, profile likelihood, and penalized likelihood: A primer. Am. J. Epidemiol. 2013, 179, 252–260. [Google Scholar] [CrossRef]
- Ciuperca, G.; Ridolfi, A.; Idier, J. Penalized maximum likelihood estimator for normal mixtures. Scand. J. Stat. 2003, 30, 45–59. [Google Scholar] [CrossRef]
- Otsu, T. Penalized empirical likelihood estimation of semiparametric models. J. Multivar. Anal. 2007, 98, 1923–1954. [Google Scholar] [CrossRef]
- Pötscher, B.M.; Leeb, H. On the distribution of penalized maximum likelihood estimators: The LASSO, SCAD, and thresholding. J. Multivar. Anal. 2009, 100, 2065–2082. [Google Scholar] [CrossRef]
- Eggermont, P.P.; LaRiccia, V.N. Maximum Penalized Likelihood Estimation: Volume II: Regression, 1st ed.; Springer: New York, NY, USA, 2009; p. 7. [Google Scholar]
- Abadir, K.M.; Magnus, J.R. Matrix Algebra, 1st ed.; Cambridge University Press: New York, NY, USA, 2005; p. 106. [Google Scholar]
- R Core Team. R: A Language and Environment for Statistical Computing; R Foundation for Statistical Computing: Vienna, Austria, 2024. [Google Scholar]
- Henningsen, A.; Toomet, O. maxLik: A package for maximum likelihood estimation in R. Comput. Stat. 2010, 26, 443–458. [Google Scholar] [CrossRef]
- Murphy, S.A.; Van Der Vaart, A.W. On profile likelihood. J. Am. Stat. Assoc. 2000, 95, 449–465. [Google Scholar] [CrossRef]
- Rodriguez-Segura, M.; Nicolis, O.; Peralta-Marquez, B.; Carrillo-Azocar, J. Predicting cardiovascular disease by combining optimal feature selection methods with machine learning. In Proceedings of the 2020 39th International Conference of the Chilean Computer Science Society (SCCC), Coquimbo, Chile, 16–20 November 2020; pp. 1–8. [Google Scholar]
- Quan, S.F.; Howard, B.V.; Iber, C.; Kiley, J.P.; Nieto, F.J.; O’Connor, G.T.; Rapoport, D.M.; Redline, S.; Robbins, J.; Samet, J.M.; et al. The sleep heart health study: Design, rationale, and methods. Sleep 1997, 20, 1077–1085. [Google Scholar] [PubMed]
- Branco, M.D.; Genton, M.G.; Liseo, B. Objective bayesian analysis of skew-t distributions. Scand. J. Stat. 2012, 40, 63–85. [Google Scholar] [CrossRef]
- Fonseca, T.C.O.; Ferreira, M.A.R.; Migon, H.S. Objective bayesian analysis for the Student-t regression model. Biometrika 2008, 95, 325–333. [Google Scholar] [CrossRef]
Disclaimer/Publisher’s Note: The statements, opinions and data contained in all publications are solely those of the individual author(s) and contributor(s) and not of MDPI and/or the editor(s). MDPI and/or the editor(s) disclaim responsibility for any injury to people or property resulting from any ideas, methods, instructions or products referred to in the content. |
© 2024 by the authors. Licensee MDPI, Basel, Switzerland. This article is an open access article distributed under the terms and conditions of the Creative Commons Attribution (CC BY) license (https://creativecommons.org/licenses/by/4.0/).






