On Using Piecewise Fractional Differential Operator to Study a Dynamical System
Abstract
1. Introduction
2. Preliminaries
3. Qualitative Results
- (A1):
- There exist constants and such that for every
- (A2):
- For constants , , , and , the following assertions (also called the growth condition) are satisfied
4. Ulam–Hyers Stability Analysis
5. Numerical Scheme
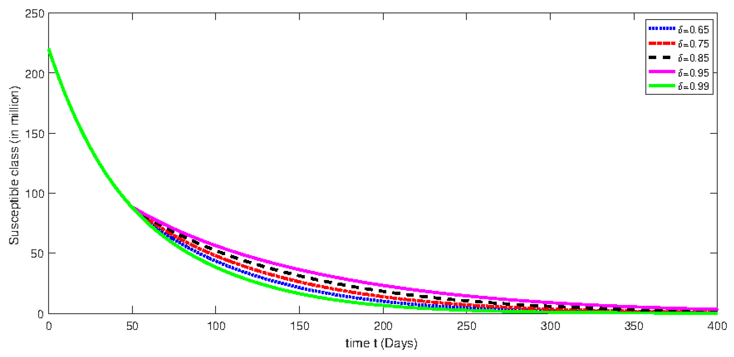
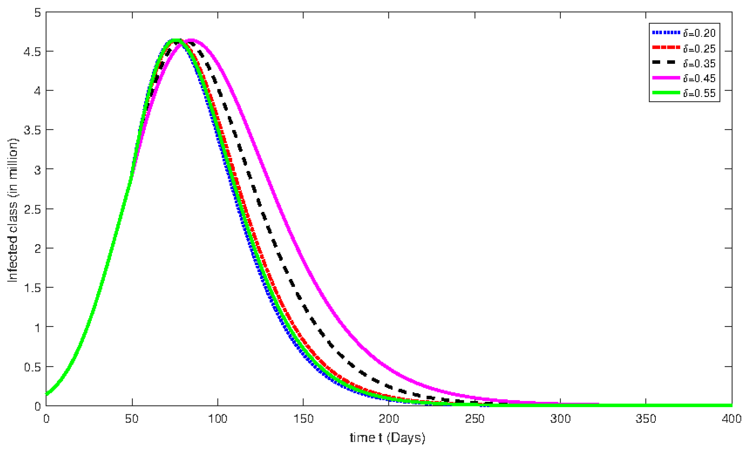
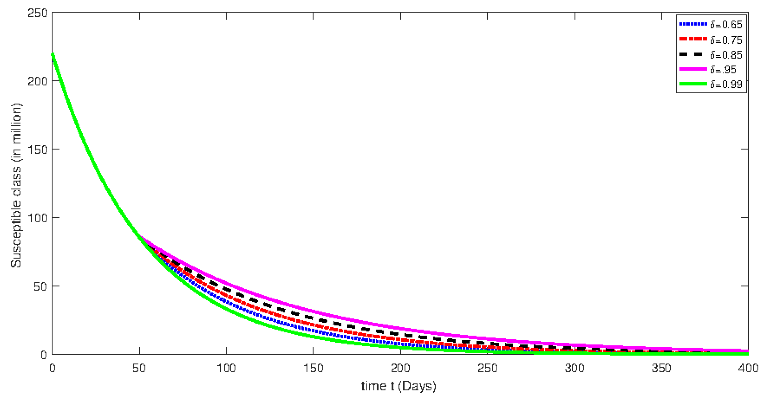
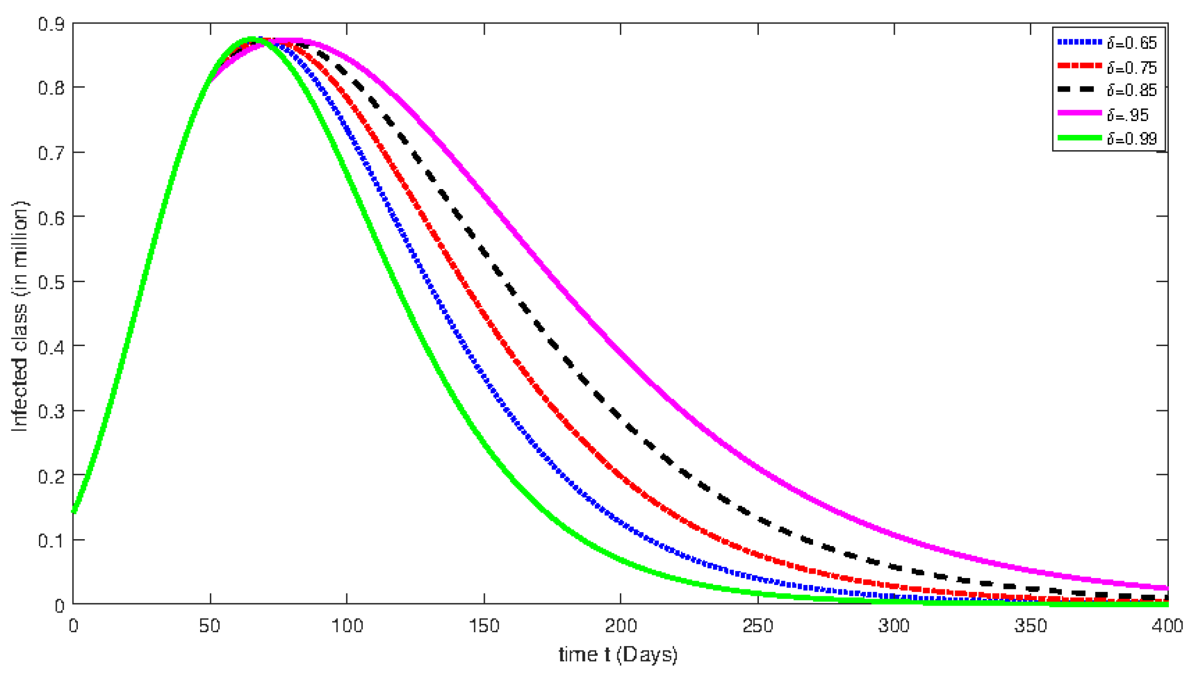
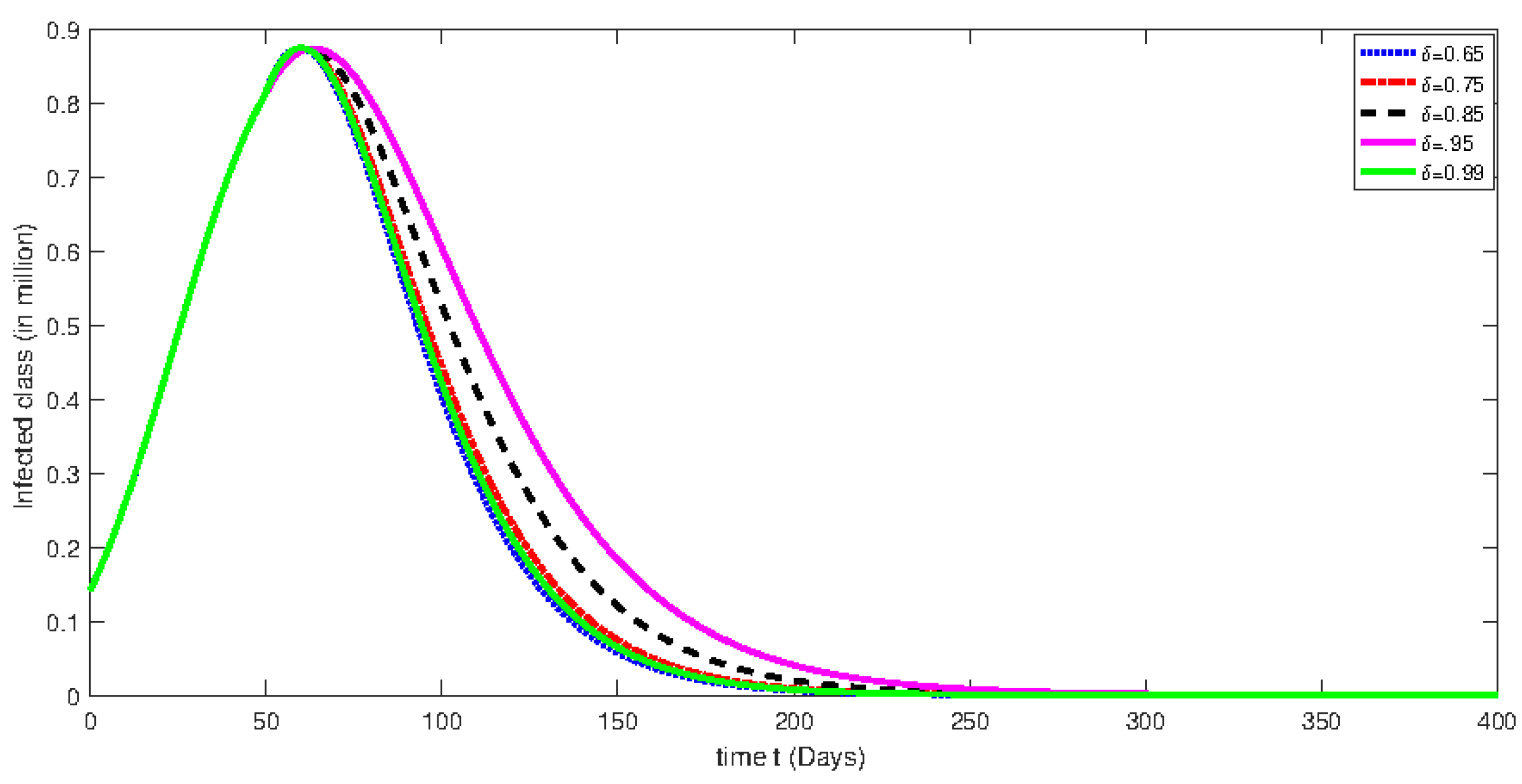
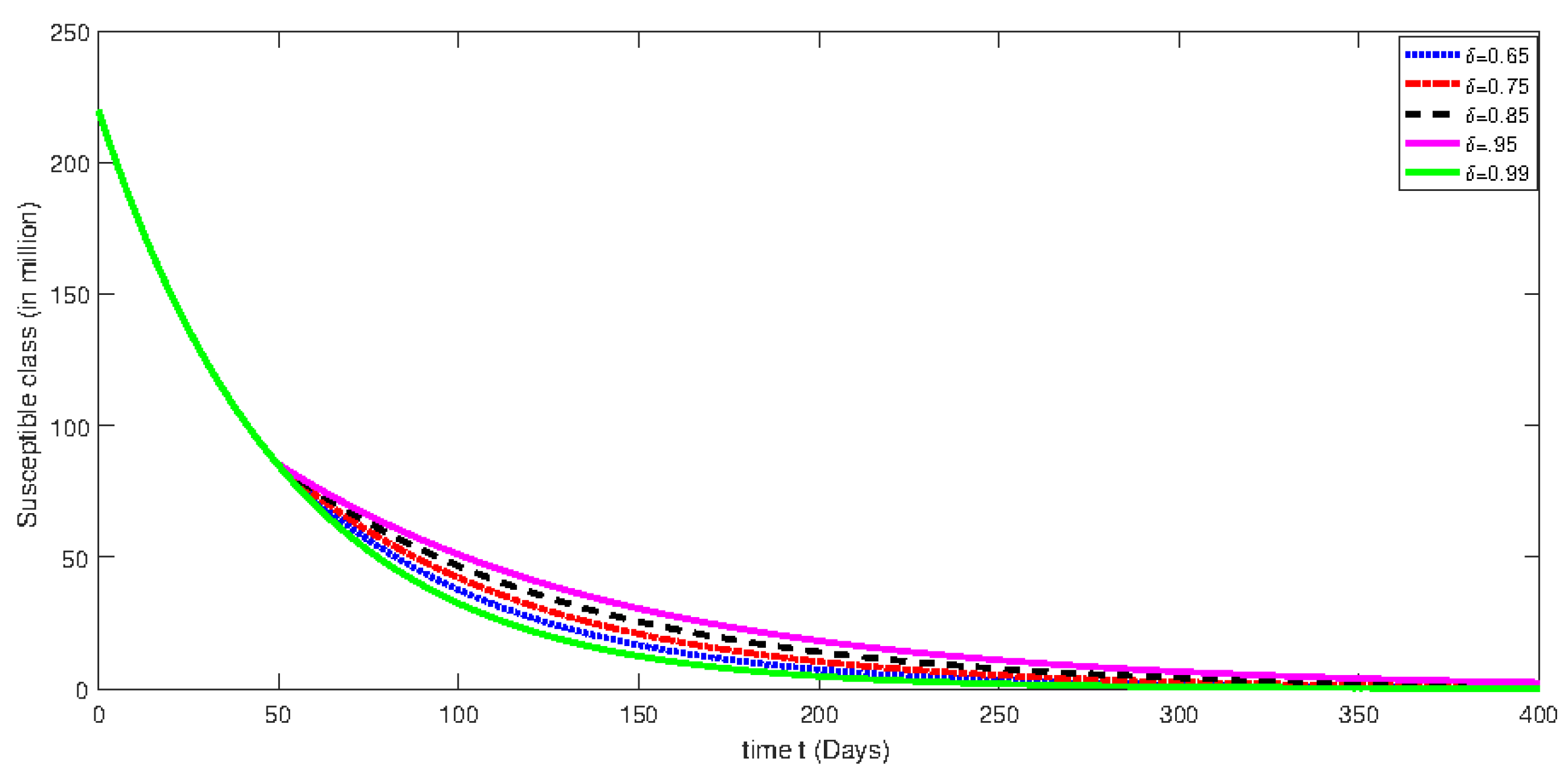
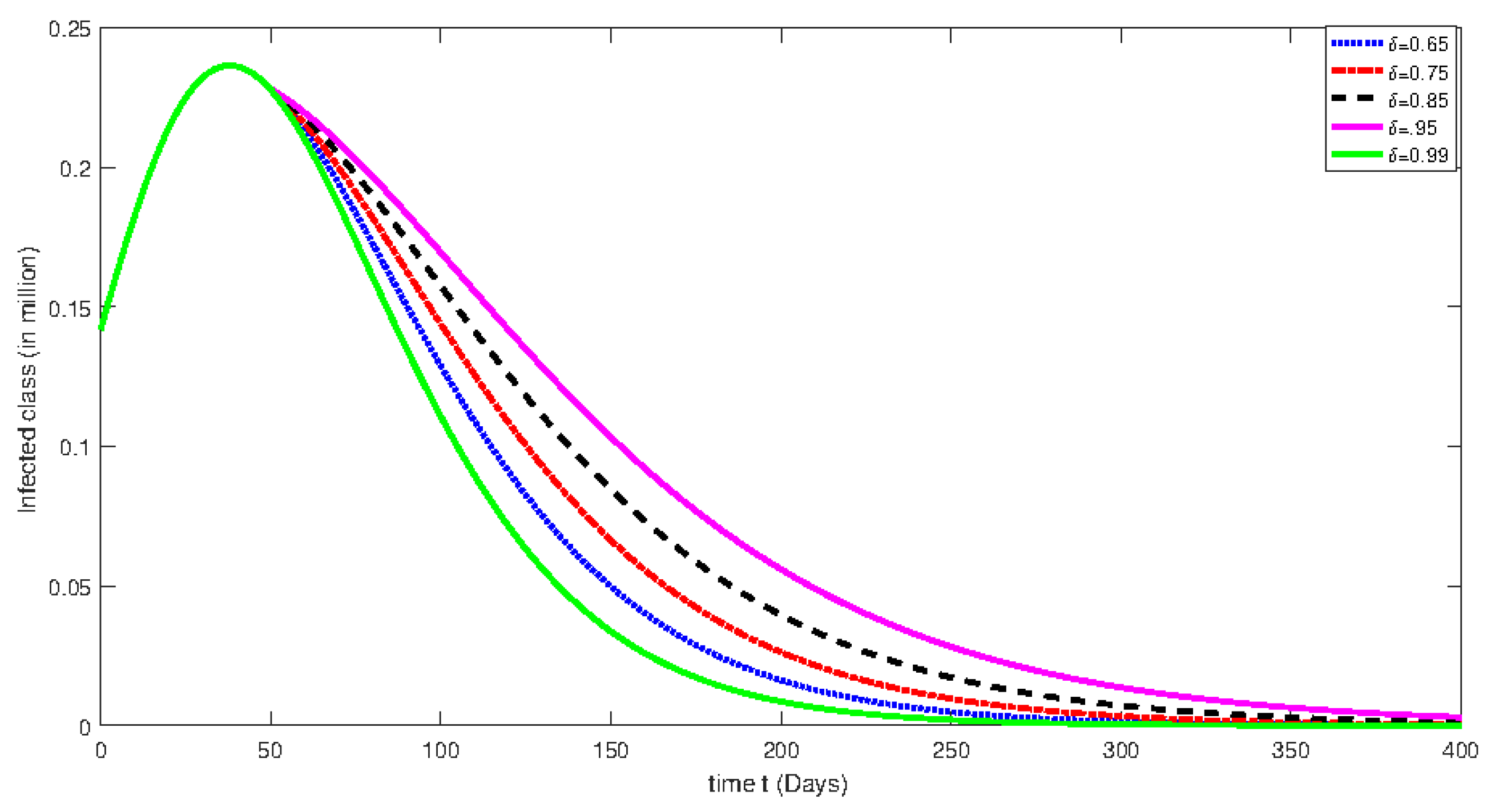
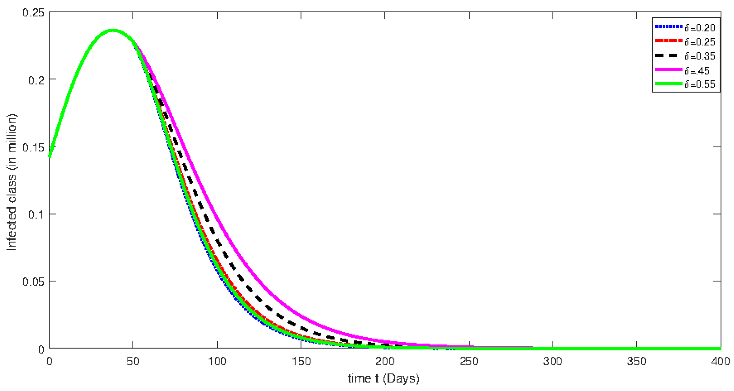
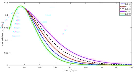
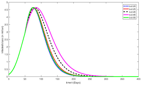
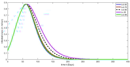
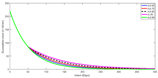
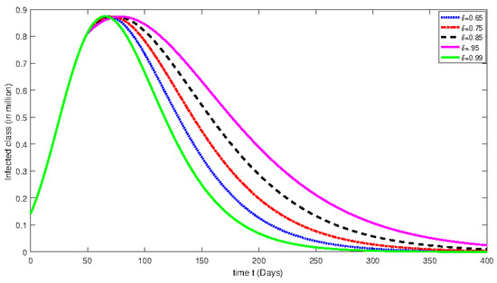
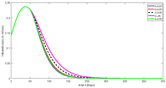
6. Results and Discussion
7. Conclusions
Author Contributions
Funding
Institutional Review Board Statement
Informed Consent Statement
Data Availability Statement
Acknowledgments
Conflicts of Interest
References
- Goyal, M.; Baskonus, H.M.; Prakash, A. An efficient technique for a time fractional model of lassa hemorrhagic fever spreading in pregnant women. Eur. Phys. J. Plus 2019, 134, 482. [Google Scholar] [CrossRef]
- Gao, W.; Veeresha, P.; Prakasha, D.G.; Baskonus, H.M.; Yel, G. New approach for the model describing the deathly disease in pregnant women using Mittag-Leffler function. Chaos Solitons Fractals 2020, 134, 109696. [Google Scholar] [CrossRef]
- Khan, M.A.; Atangana, A. Modeling the dynamics of novel Coronavirus (2019–nCov) with fractional derivative. Alex. Eng. J. 2020, 59, 2379–2389. [Google Scholar] [CrossRef]
- Shah, K.; Alqudah, M.A.; Jarad, F.; Abdeljawad, T. Semi-analytical study of Pine Wilt Disease model with convex rate under Caputo-Febrizio fractional-order derivative. Chaos Solitons Fractals 2020, 135, 109754. [Google Scholar] [CrossRef]
- Xu, C.; Alhejaili, W.; Saifullah, S.; Khan, A.; Khan, J.; El-Shorbagy, M.A. Analysis of Huanglongbing disease model with a novel fractional piecewise approach. Chaos Soliton Fractals 2022, 161, 112316. [Google Scholar] [CrossRef]
- Qu, H.; Saifullah, S.; Khan, J.; Khan, A.; ur Rahman, M.; Zheng, G. Dynamics of Leptospirosis disease in the context of piecewise classical-global and classical-Caputo fractional operators. Fractals 2022, 30, 2240216. [Google Scholar] [CrossRef]
- Arfan, M.; Shah, K.; Abdeljawad, T.; Mlaiki, N.; Ullah, A. A Caputo Power law model prediciting the spread of the COVID-19 out breaking Pakistan. Alex. Eng. J. 2021, 60, 447–456. [Google Scholar]
- Wrapp, D.; Wang, N.; Corbett, K.S.; Goldsmith, J.A.; Hsieh, C.L.; Abiona, O.; Graham, B.S.; McLellan, J.S. Cryo-EM structure of the 2019-nCoV spike in the prefusion conformation. Science 2020, 367, 1260–1263. [Google Scholar] [CrossRef]
- Rothe, C.; Schunk, M.; Sothmann, P.; Bretzel, G.; Froeschl, G.; Wallrauch, C.; Zimmer, T.; Thiel, V.; Janke, C.; Guggemos, W.; et al. Transmission of 2019-nCoV infection from an asymptomatic contact in Germany. N. Engl. J. Med. 2020, 382, 970–971. [Google Scholar] [CrossRef]
- Ahmad, Z.; Arif, M.; Ali, F.; Khan, I.; Nisar, K.S. A report on COVID-19 epidemic in Pakistan using SEIR fractional model. Sci. Rep. 2020, 10, 22268. [Google Scholar] [CrossRef]
- Ahmad, Z.; Khan, N.; Arif, M.; Murtaza, S.; Khan, I. Dynamics of fractional order SIR model with a case study of COVID-19 in Turkey. City Univ. Int. J. Comput. Anal. 2020, 4, 18–35. [Google Scholar]
- Algahtani, O.J.J. Comparing the Atangana-Baleanu and Caputo-Fabrizio derivative with fractional order: Allen Cahn model. Chaos Solitons Fractals 2016, 89, 552–559. [Google Scholar] [CrossRef]
- Atangana, A.; Baleanu, D. New fractional derivatives with nonlocal and non-singular kernel: Theory and application to heat transfer model. Therm. Sci. 2016, 20, 763–769. [Google Scholar] [CrossRef]
- Hilfer, R. Mathematical and physical interpretations of fractional derivatives and integrals. Handb. Fract. Calc. Appl. 2019, 1, 47–85. [Google Scholar]
- Caputo, M.; Fabrizio, M. On the notion of fractional derivative and applications to the hysteresis phenomena. Meccanica 2017, 52, 3043–3052. [Google Scholar] [CrossRef]
- Sun, H.; Zhang, Y.; Baleanu, D.; Chen, W.; Chen, Y. A new collection of real world applications of fractional calculus in science and engineering. Commun. Nonl. Sci. Numer. Simul. 2018, 64, 213–231. [Google Scholar] [CrossRef]
- Ionescu, C.; Lopes, A.; Copot, D.; Machado, J.T.; Bates, J.H. The role of fractional calculus in modeling biological phenomena: A review. Commun. Nonl. Sci. Numer. Simul. 2017, 51, 141–159. [Google Scholar] [CrossRef]
- Wu, G.C.; Zeng, D.Q.; Baleanu, D. Fractional impulsive differential equations: Exact solutions, integral equations and short memory case. Fract. Calc. Appl. Anal. 2019, 22, 180–192. [Google Scholar] [CrossRef]
- Wu, G.C.; Luo, M.; Huang, L.L.; Banerjee, S. Short memory fractional differential equations for new memristor and neural network design. Nonlinear Dyn. 2020, 100, 3611–3623. [Google Scholar] [CrossRef]
- Atangana, A.; Araz, S.I. New concept in calculus: Piecewise differential and integral operators. Chaos Solitons Fractals 2021, 145, 110638. [Google Scholar] [CrossRef]
- Shah, K.; Deljawad, T.; Abdalla, B.; Abualrub, M.S. Utilizing fixed point approach to investigate piecewise equations with non-singular type derivative. AIMS Math. 2022, 7, 14614–14630. [Google Scholar] [CrossRef]
- Shah, K.; Ahmad, I.; Nieto, J.J.; Rahman, G.U.; Abdeljawad, T. Qualitative investigation of nonlinear fractional coupled pantograph impulsive differential equations. Qual. Theory Dyn. Syst. 2022, 21, 131. [Google Scholar] [CrossRef]
- Ahmad, M.; Zada, A.; Alzabut, J. Stability analysis of a nonlinear coupled implicit switched singular fractional differential system with p-Laplacian. Adv. Differ. Equat. 2019, 2019, 436. [Google Scholar] [CrossRef]
- Nawaz, Y.; Arif, M.S.; Abodayeh, K. A numerical scheme for fractional mixed convection flow over flat and oscillatory plates. J. Comput. Nonlinear Dyn. 2022, 17, 071008. [Google Scholar] [CrossRef]
- Laksaci, N.; Boudaoui, A.; Shatanawi, W.; Shatnawi, T.A. Existence results of global solutions for a coupled implicit Riemann–Liouville fractional integral equation via the vector kuratowski measure of noncompactness. Fractal Fract. 2022, 6, 130. [Google Scholar] [CrossRef]
- Shah, K.; Abdeljawad, T. Study of a mathematical model of COVID-19 outbreak using some advanced analysis. Waves Random Complex Media 2022, 2022, 1–18. [Google Scholar] [CrossRef]
- Shah, K.; Abdeljawad, T.; Alrabaiah, H. On coupled system of drug therapy via piecewise equations. Fractals 2022, 30, 2240206. [Google Scholar] [CrossRef]
- Xu, C.; Liu, Z.; Pang, Y.; Saifullah, S.; Inc, M. Oscillatory, crossover behavior and chaos analysis of HIV-1 infection model using piece-wise Atangana-Baleanu fractional operator: Real data approach. Chaos Soliton Fractals 2022, 164, 112662. [Google Scholar] [CrossRef]
- Saifullah, S.; Ahmad, S.; Jarad, F. Study on the dynamics of a piecewise Tumour-Immune interaction model. Fractals 2022, 30, 2240233. [Google Scholar] [CrossRef]
- Abdelmohsen, S.A.M.; Yassen, M.F.; Ahmad, S.; Abdelbacki, A.M.M.; Khan, J. Theoretical and numerical study of the rumours spreading model in the framework of piecewise derivative. Eur. Phys. J. Plus 2022, 137, 738. [Google Scholar] [CrossRef]
- Ahmad, S.; Yassen, M.F.; Alam, M.M.; Alkhati, S.; Jarad, F.; Riaz, M.B. A numerical study of dengue internal transmission model with fractional piecewise derivative. Results Phys. 2022, 39, 105798. [Google Scholar] [CrossRef]
- Shah, K.; Abdeljawad, T.; Ali, A. Mathematical analysis of the Cauchy type dynamical system under piecewise equations with Caputo fractional derivative. Chaos Solitons Fractals 2022, 161, 112356. [Google Scholar] [CrossRef]
- Pais, R.J.; Taveira, N. Predicting the evolution and control of the COVID-19 pandemic in Portugal. F1000 Research 2020, 9, 283. [Google Scholar] [CrossRef] [PubMed]
- Tunç, C.; Bixcxer, E. Hyers-Ulam-Rassias stability for a first order functional differential equation. J. Math. Fund. Sci. 2015, 47, 143–153. [Google Scholar] [CrossRef]
- Tunç, C.; Tunxcx, O.; Yao, J. On the new qualitative results in integro-differential equations with Caputo fractional derivative and multiple kernels and delays. J. Nonl. Convex Anal. 2022, 23, 2577–2591. [Google Scholar]
- Arshad, M.S.; Baleanu, D.; Riaz, M.B.; Abbas, M. A novel 2-Stage Fractional Runge-Kutta Method for a Time Fractional Logistic Growth Model. Discret. Dyn. Nat. Soc. 2020, 2020, 1020472. [Google Scholar] [CrossRef]
- Fu, Z.J.; Tang, Z.C.; Zhao, H.T.; Li, P.W.; Rabczuk, T. Numerical solutions of the coupled unsteady nonlinear convection-diffusion equations based on generalized finite difference method. Eur. Phys. J. Plus 2019, 134, 1–20. [Google Scholar] [CrossRef]












| Variables | Description |
|---|---|
| a | Birth rate |
| k | Rate constant |
| Rate of isolation in percent | |
| Rate of protection | |
| Recovery rate | |
| Natural birth rate | |
| Initial papulation of susceptible compartment | |
| Initial papulation of infected compartment |
| Nomenclature | Numerical Value |
|---|---|
| a | 0.000090 |
| k | 0.00090 |
| 30%; 50%; 70% assumed | |
| 0.000780 | |
| 100 | |
| 0.05 |
Disclaimer/Publisher’s Note: The statements, opinions and data contained in all publications are solely those of the individual author(s) and contributor(s) and not of MDPI and/or the editor(s). MDPI and/or the editor(s) disclaim responsibility for any injury to people or property resulting from any ideas, methods, instructions or products referred to in the content. |
© 2023 by the authors. Licensee MDPI, Basel, Switzerland. This article is an open access article distributed under the terms and conditions of the Creative Commons Attribution (CC BY) license (https://creativecommons.org/licenses/by/4.0/).
Share and Cite
Khan, S.; Khan, Z.A.; Alrabaiah, H.; Zeb, S. On Using Piecewise Fractional Differential Operator to Study a Dynamical System. Axioms 2023, 12, 292. https://doi.org/10.3390/axioms12030292
Khan S, Khan ZA, Alrabaiah H, Zeb S. On Using Piecewise Fractional Differential Operator to Study a Dynamical System. Axioms. 2023; 12(3):292. https://doi.org/10.3390/axioms12030292
Chicago/Turabian StyleKhan, Shahid, Zareen A. Khan, Hussam Alrabaiah, and Salman Zeb. 2023. "On Using Piecewise Fractional Differential Operator to Study a Dynamical System" Axioms 12, no. 3: 292. https://doi.org/10.3390/axioms12030292
APA StyleKhan, S., Khan, Z. A., Alrabaiah, H., & Zeb, S. (2023). On Using Piecewise Fractional Differential Operator to Study a Dynamical System. Axioms, 12(3), 292. https://doi.org/10.3390/axioms12030292

