Abstract
In this paper, we studied a nutrient–phytoplankton model with time delay and diffusion term. We studied the Turing instability, local stability, and the existence of Hopf bifurcation. Some formulas are obtained to determine the direction of the bifurcation and the stability of periodic solutions by the central manifold theory and normal form method. Finally, we verify the above conclusion through numerical simulation.
1. Introduction
One of the most complex and difficult problems in water pollution treatment is the prevention and control of algal bloom. Due to the complexity of the pollution source and the difficulty factor of material removal, it takes a lot of energy, but it is not very effective. Therefore, scientists search for better methods to prevent and cure algal bloom, especially using mathematical models, in order to find reasonable prevention and cure measures [1,2,3,4,5,6,7]. In addition, many scholars further study the dynamics of the model by considering factors such as time delay and diffusion [8,9,10,11,12]. M. Rehim et al. studied a nutrient–plankton–zooplankton system with toxic phytoplankton and three delays, and showed the phenomenon of stability switches [8]. Y. Wang and W. Jiang considered a differential algebraic phytoplankton–zooplankton system with delay and harvesting, and indicated that the toxic liberation delay of phytoplankton may affect the stability of the coexisting equilibrium [10]. In particular, Huppert et al. [13] considered the following model
where N is the nutrient level and P is the density of phytoplankton. a denotes the constant external nutrient inflow. b represents the maximal nutrient uptake rate. c represents the maximal conversion rate of nutrients into phytoplankton. d stands for the per capita mortality rate of phytoplankton. e denotes the per capita loss rate of nutrients. Relevant research work has analyzed the reasonable, deterministic, and empirical relationship between the abundance of toxin-producing phytoplankton and the diversity of plankton communities with large amounts of plankton but no toxins (called nontoxic plankton plants, NTP) [14]. In the case of toxic substances released by toxic phytoplankton (TPP), a simple model of vegetative phytoplankton was proposed and analyzed to understand the dynamic changes of the phenomenon of the seasonal mass reproductive cycle. The presence of chemical and toxic substances helps explain this phenomenon [15,16,17]. In [18], Chakraborty et al. considered the effect of toxins produced by toxic phytoplankton on the death of nontoxic phytoplankton, and produced the following equation
where is the release rate of toxic chemicals by the TPP population, and denotes the half-saturation constant.
Since the spatial distribution of nutrients and phytoplankton is inhomogeneous, there is diffusion. In addition, there is a time delay in the conversion from nutrients to phytoplankton. So, we incorporate reaction diffusion and time delay into the model (2), that is
where and are diffusion coefficients for N and P, respectively. ∆ is the Laplace operator. This is based on the assumption that the prey and predator are not stationary and will spread randomly. is the time delay that occurs for nutrients to be converted to phytoplankton. For analysis convenience, we have denoted
The corresponding problem has the following form
The content of the paper is arranged as follows. In Section 2, we study the stability and the existence of the Hopf bifurcation. In Section 3, we analyze the property of Hopf bifurcation. In Section 4, we provide a numerical simulation to verify the previous conclusions. Finally, we conclude this paper.
2. Stability Analysis
In [18], Chakraborty et al. studied the existence of equilibria. We cite the following result. The equilibrium points satisfy the following equation
It can be calculated that trivial equilibrium and interior equilibrium , where and is a root of the equation
We provide the result from [18] as follows.
Lemma 1.
The existence of a positive equilibrium for the model (4) can be divided into the following cases.
The characteristic equations are
where
2.1. Non-Delay Model
When , the characteristic becomes
where
and the eigenvalues are given by
Then, make hypothesis
Theorem 1.
Suppose , , and hypothesis (11) hold, then the equilibrium is locally asymptotically stable.
Proof.
Suppose , , and hypothesis (11) hold, we can obtain , , so the real part of the roots of the characteristic equation is negative, then the equilibrium is locally asymptotically stable. □
It is calculated that the discriminant of is , and
It is easy to verify that under the hypothesis (11).
Theorem 2.
- (1)
- If , then the equilibrium is locally asymptotically stable.
- (2)
- If , then the equilibrium is locally asymptotically stable.
- (3)
- If , and there is no such that , then the equilibrium is locally asymptotically stable.
- (4)
- If , and there is a such that , then the equilibrium is Turing unstable.
Proof.
We can obtain and for . It can be concluded that all the characteristic roots have a negative real part. Then, the equilibrium is locally asymptotically stable (so, statement (1) is true). In the same way, statements (1)–(3) are also correct. Suppose the conditions in statement (4) are true, then at least there is a positive real part of eigenvalue root. Then, the equilibrium is Turing unstable. □
2.2. Delay Model
Now, suppose , one of the conditions (1)–(3) in Theorem 2 and hypothesis (11) hold. Assume is a solution of Equation (8), we can obtain
Then we have
which leads to
Let , Equation (15) is
By direct computation, we have
Define
Lemma 2.
Proof.
The roots of Equation (16) are
It is easy to verify that if and only if , and is always negative or a non real number. □
Suppose one of the conditions (1)–(3) in Theorem 2 and hypothesis (11) hold, from Equation (14), we can obtain
For , then Equation (8) has a pair of purely imaginary roots at ,
Lemma 3.
Suppose one of the conditions (1)–(3) in Theorem 2 and hypothesis (11) hold. Then
Denote and .
3. Property of Hopf Bifurcation
By the method [19,20,21], we study the property of Hopf bifurcation. For fixed and , denote . Let , and . The system (4) (drop the tilde) is
Let
Then
has characteristic roots . Its linear functional differential equation is
There exists a matrix function , such that
Choose
Define
for , . Choose is a basis of with and is a basis of with , where
Let and with
In addition,
Then we can compute by (28)
Define and construct a new basis for by
Then . In addition, define , where
By the decomposition of , the above solution is
with
and
The solution of (22) is
Let , and notice that . Then, we can obtain
and
From [19], z meets
among them
Hence,
with
Denote
Notice that
and we have
Furthermore, for , . Now, we compute and for . From [19], we obtain
where
Hence, we have
that is,
By (44), we have
Then, we can obtain
That is,
where
Using the definition of and (46), we have that for
As
and
we have
That is,
where
Similarly, we have
That is,
Then,
where
Therefore, we have
By [19], we have the following theorem.
Theorem 4.
For any critical value , we have the Hopf bifurcation is forward () or backward (). The bifurcating periodic solutions are orbitally asymptotically stable () or unstable (). The period increases () or decreases ().
4. Numerical Simulations
In order to verify the previous conclusion, we provide some numerical simulations by Matlab. In particular, the numerical simulation of the systems with is implemented by the pdepe function in Matlab, and is implemented by the finite-difference methods. Choose the following parameters.
By direct computation, we have is the unique positive equilibrium, and , , , , , and . Hence, hypothesis (11) holds. Now, we give the curves of and with the predator’s diffusion coefficient (Figure 1). We can see that holds when , then the Turing instability of may occur. When , then holds, which implies is locally asymptotically stable. Choose , we have , , , and such that . Then is Turing unstable (Figure 2).
Figure 1.
The curves of and with parameter .
Figure 2.
Numerical simulations for with and .
We choose , and change the parameter , which represents the release rate of toxic chemicals by the TPP population. The bifurcation diagram of system with parameter is given in Figure 3. We can see that the increasing parameter is not beneficial to the stability of initially. However, when crosses some critical value, increasing parameter is of benefit to the stability of . In particular, when the parameter is sufficiently large, will always be stable.
Figure 3.
Bifurcation diagram of system with parameter .
If we choose , we have and . Then is locally asymptotically stable for (Figure 4), and Hopf bifurcation occurs when . We obtain
Figure 4.
Numerical simulations for with and .
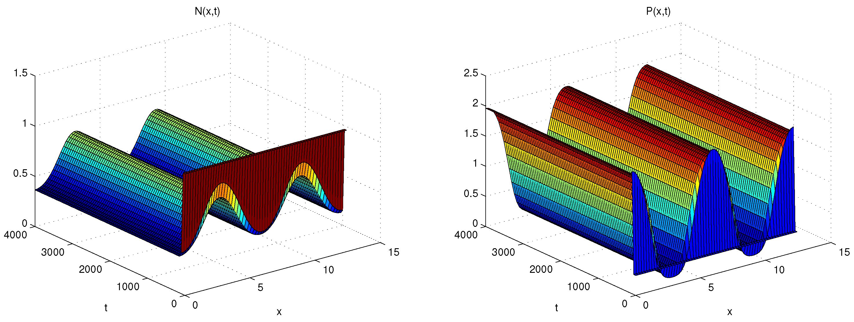
Hence, the stable bifurcating periodic solutions exist for (Figure 5). However, if we choose and , is locally asymptotically stable (Figure 6).
Figure 5.
Numerical simulations for with and .
Figure 6.
Numerical simulations for with and .
5. Conclusions
Diffusion and time delay was incorporated into a nutrient–phytoplankton model. The instability and Hopf bifurcation induced by the time delay was studied. Through the central manifold theory and normal form method, some parameters were given to determine the property of bifurcating periodic solutions. The results indicate diffusion may induce Turing unstable. The release rate of toxic chemicals by the TPP population has a stabilizing and destabilizing effect on the stability of the positive equilibrium. In addition, the time delay can also affect the stability of the positive equilibrium, and it can induce periodic oscillation of prey and predator population density.
Author Contributions
Conceptualization, R.Y. and D.J.; methodology, R.Y.; software, L.W.; Investigation, R.Y. and L.W.; writing—original draft preparation, L.W.; writing—review and editing, R.Y. and D.J.; Project administration, D.J.; Funding acquisition, R.Y. All authors have read and agreed to the published version of the manuscript.
Funding
This research was funded by Fundamental Research Funds for the Central Universities (Grant No. 2572019BC01) and Postdoctoral Program of Heilongjiang Province (Grant No. LBH-Q21060).
Data Availability Statement
Not applicable.
Acknowledgments
The authors wish to express their gratitude to the editors and the reviewers for the helpful comments.
Conflicts of Interest
The authors declare no conflict of interest.
References
- Luo, J. Phytoplankton-zooplankton dynamics in periodic environments taking into account eutrophication. Math. Biosci. 2013, 245, 126–136. [Google Scholar] [CrossRef] [PubMed]
- Dai, C.; Zhao, M. Nonlinear Analysis in a Nutrient-Algae-Zooplankton System with Sinking of Algae. Abstr. Appl. Anal. 2014, 2014, 278457. [Google Scholar] [CrossRef]
- Rehim, M.; Wu, W.; Muhammadhaji, A. On the Dynamical Behavior of Toxic-Phytoplankton-Zooplankton Model with Delay. Discret. Dyn. Nat. Soc. 2015, 2015, 756315. [Google Scholar] [CrossRef] [Green Version]
- Chakraborty, K.; Jana, S.; Kar, T.K. Global dynamics and bifurcation in a stage structured prey-predator fishery model with harvesting. Appl. Math. Comput. 2012, 218, 9271–9290. [Google Scholar] [CrossRef]
- Rehim, M.; Imran, M. Dynamical analysis of a delay model of phytoplankton-zooplankton interaction. Appl. Math. Model. 2012, 36, 638–647. [Google Scholar] [CrossRef]
- Chakrabarti, S. Eutrophication global aquatic environmental problem: A review. Res. Rev. J. Ecol. Environ. Sci. 2018, 6, 1–6. [Google Scholar]
- Sharma, A.K.; Sharma, A.; Agnihotri, K. Bifurcation behaviors analysis of a plankton model with multiple delays. Int. J. Biomath. 2016, 9, 1650086. [Google Scholar] [CrossRef]
- Rehim, M.; Zhang, Z.; Muhammadhaji, A. Mathematical analysis of a nutrient-plankton system with delay. SpringerPlus 2016, 5, 1–22. [Google Scholar] [CrossRef] [PubMed] [Green Version]
- Meng, X.Y.; Wang, J.G.; Huo, H.F. Dynamical Behaviour of a Nutrient-Plankton Model with Holling Type IV, Delay, and Harvesting. Discret. Dyn. Nat. Soc. 2018, 2018, 9232590. [Google Scholar] [CrossRef] [Green Version]
- Wang, Y.; Jiang, W. Bifurcations in a delayed differential-algebraic plankton economic system. J. Appl. Anal. Comput. 2017, 7, 1431–1447. [Google Scholar] [CrossRef]
- Guo, Q.; Dai, C.; Yu, H.; Liu, H.; Sun, X.; Li, J.; Zhao, M. Stability and bifurcation analysis of a nutrient hytoplankton model with time delay. Math. Methods Appl. Sci. 2020, 43, 3018–3039. [Google Scholar] [CrossRef]
- Thakur, N.K.; Ojha, A.; Tiwari, P.K.; Upadhyay, R.K. An investigation of delay induced stability transition in nutrient-plankton systems. Chaos Solitons Fractals 2021, 142, 110474. [Google Scholar] [CrossRef]
- Huppert, A.; Blasius, B.; Stone, L. A Model of Phytoplankton Blooms. Am. Nat. 2002, 159, 156–171. [Google Scholar] [CrossRef] [PubMed]
- Roy, S. Do phytoplankton communities evolve through a self-regulatory abundance-diversity relationship? Biosystems 2009, 95, 160–165. [Google Scholar] [CrossRef] [PubMed]
- Pal, S.; Chatterjee, S.; Chattopadhyay, J. Role of toxin and nutrient for the occurrence and termination of plankton bloom Results drawn from field observations and a mathematical model. Biosystems 2007, 90, 87–100. [Google Scholar] [CrossRef] [PubMed]
- Roy, S.; Alam, S.; Chattopadhyay, J. Competing Effects of Toxin-Producing Phytoplankton on Overall Plankton Populations in the Bay of Bengal. Bull. Math. Biol. 2006, 68, 2303. [Google Scholar] [CrossRef] [PubMed]
- Sarkar, R.R.; Chattopadhayay, J. Occurrence of planktonic blooms under environmental fluctuations and its possible control mechanism–mathematical models and experimental observations. J. Theor. Biol. 2003, 224, 501–516. [Google Scholar] [CrossRef]
- Chakraborty, S.; Chatterjee, S.; Venturino, E.; Chattopadhyay, J. Recurring Plankton Bloom Dynamics Modeled via Toxin-Producing Phytoplankton. J. Biol. Phys. 2007, 33, 271–290. [Google Scholar] [CrossRef] [Green Version]
- Wu, J. Theory and Applications of Partial Functional-Differential Equations; Springer: New York, NY, USA, 1996. [Google Scholar]
- Ruan, S.; Wei, J. On the zeros of transcendental functions with applications to stability of delay differential equations with two delays. Dyn. Contin. Discrete Impuls. Syst. Ser. A Math. Anal. 2003, 10, 863–874. [Google Scholar]
- Hassard, B.D.; Kazarinoff, N.D.; Wan, Y.H. Theory and Applications of Hopf Bifurcation; Cambridge University Press: Cambridge, UK, 1981. [Google Scholar]
Publisher’s Note: MDPI stays neutral with regard to jurisdictional claims in published maps and institutional affiliations. |
© 2022 by the authors. Licensee MDPI, Basel, Switzerland. This article is an open access article distributed under the terms and conditions of the Creative Commons Attribution (CC BY) license (https://creativecommons.org/licenses/by/4.0/).





