A Two-Stage Closed-Loop Supply Chain Pricing Decision: Cross-Channel Recycling and Channel Preference
Abstract
1. Introduction
- (1).
- What is the impact of cross-channel recycling rate on pricing and profitability in a two-stage CLSC system?
- (2).
- What is the impact of channel preference on pricing and profitability in a two-stage CLSC system?
2. Literature Review
3. Model Description and Basic Assumptions
4. Model Analysis
4.1. Centralized Decision Model
4.1.1. Differential Pricing Strategies
4.1.2. Uniform Pricing Strategy
4.2. Decentralised Decision Model
4.2.1. Manufacturer-Led Stackelberg Game (MLSG)
4.2.2. Retailer-Led Stackelberg Game (RLSG)
4.2.3. Nash Equilibrium Game Pricing (NG)
5. Numerical Analysis
5.1. Comparison of Total Supply Chain Profits under Different Decision Models
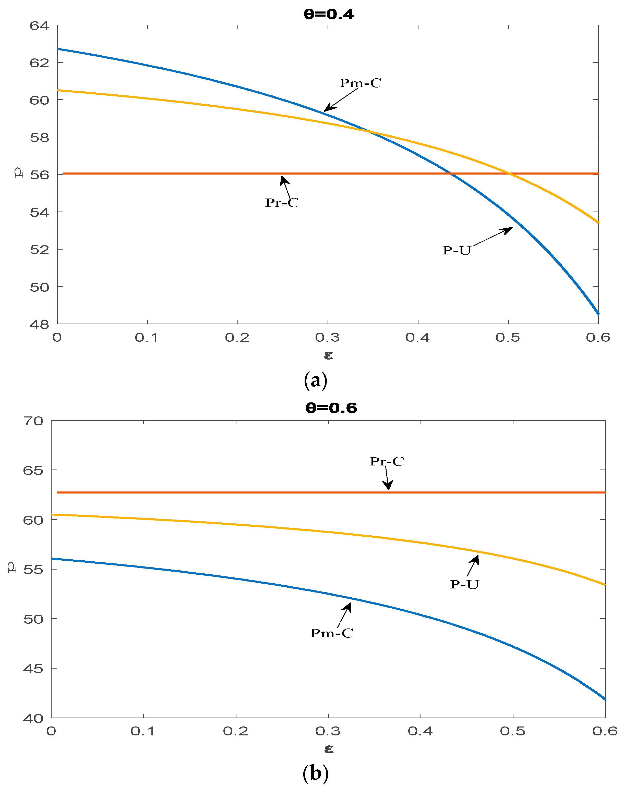
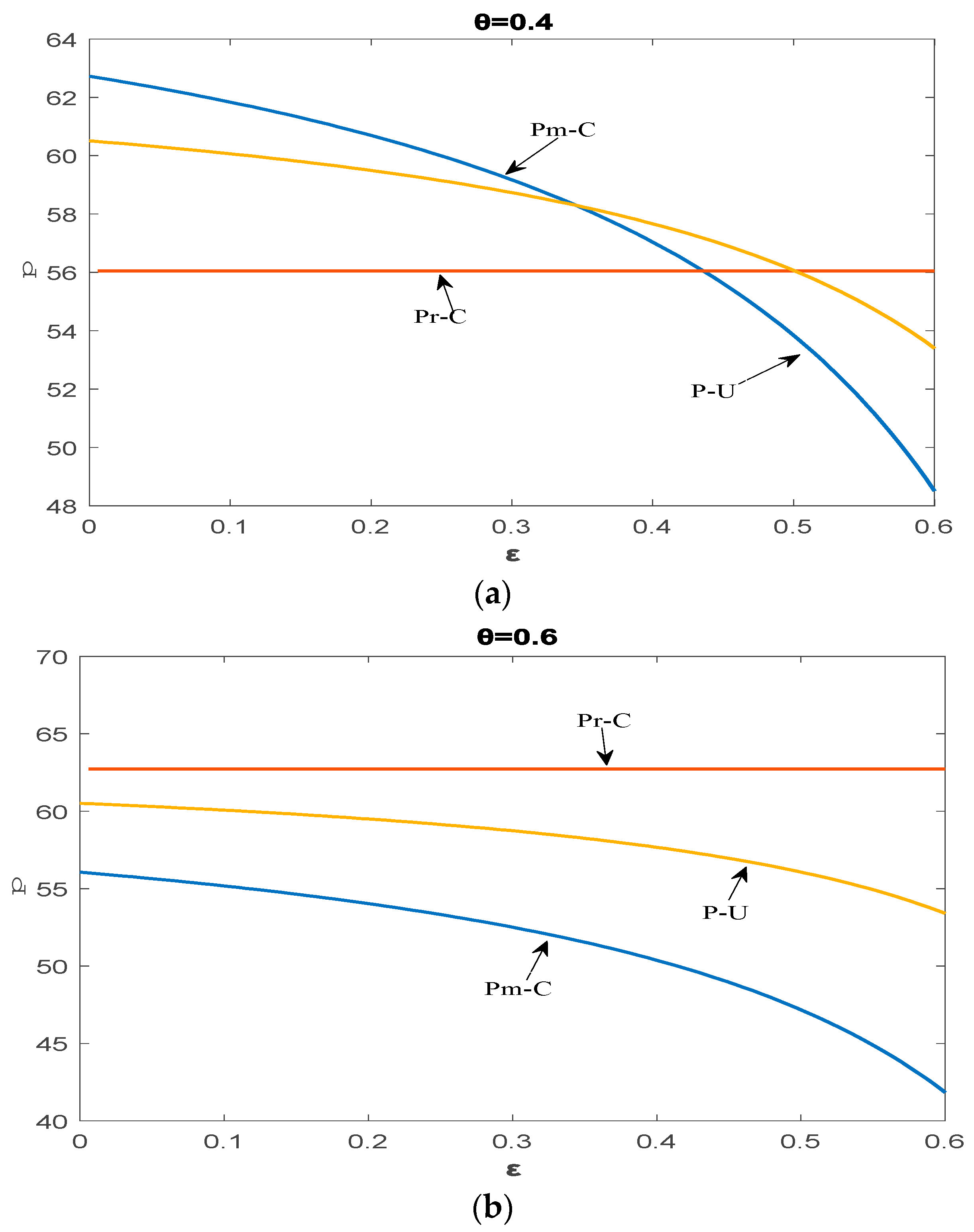
5.2. Comparison of Pricing under Different Decision-Making Models
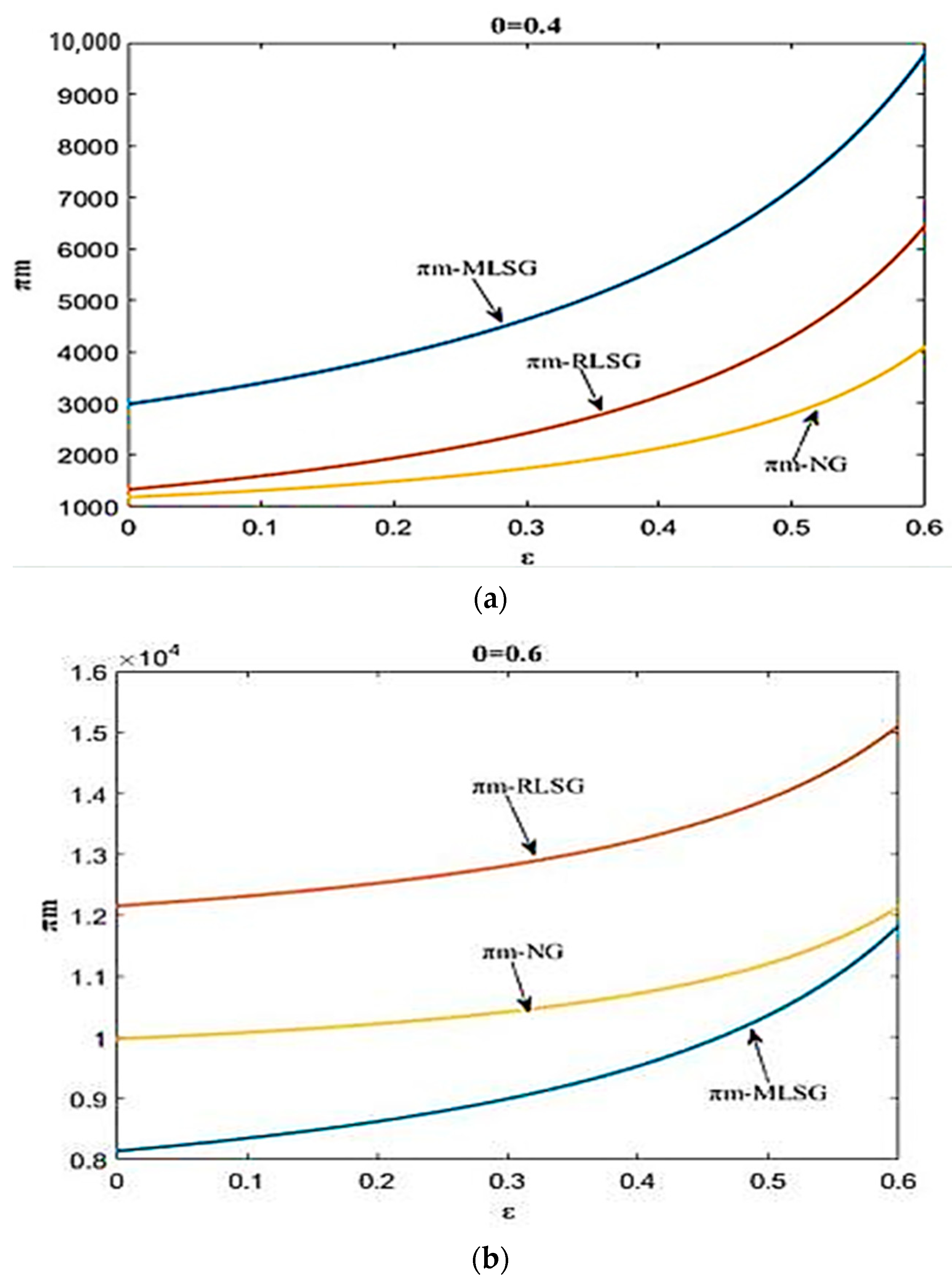
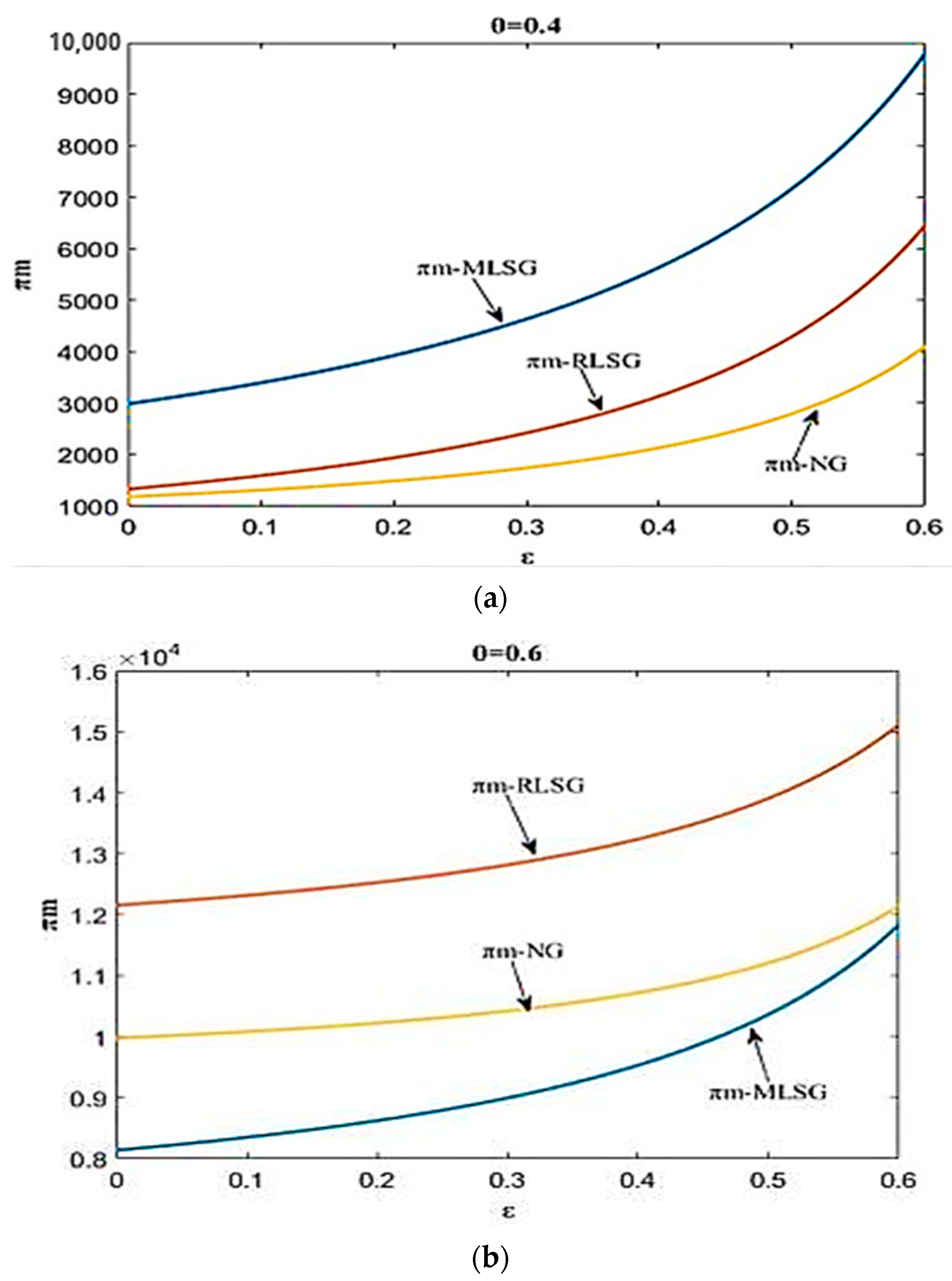
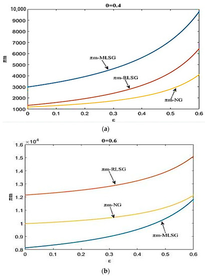
5.3. Comparison of Profits under Different Decision-Making Models
6. Conclusions and Future Work
- (1).
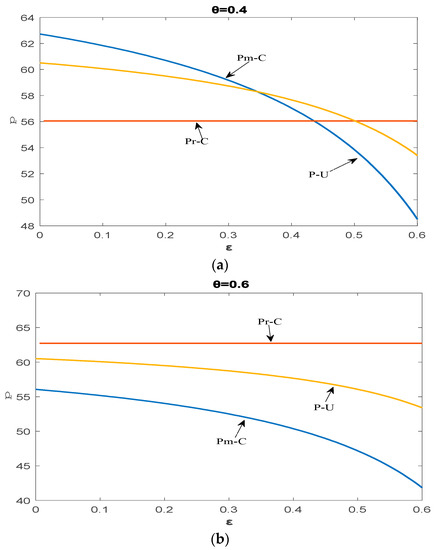
- Under centralised decision-making, the total profit of the CLSC under differential pricing is higher than that under uniform pricing. Channel preference and cross-channel recovery rates have a greater impact on the pricing decisions of manufacturers and retailers. Under the differential pricing strategy, regardless of the channel preference, the manufacturer’s pricing decreases if the cross-channel recovery rate increases. However, when the retailer’s pricing is less affected by the cross-channel recovery rate then pricing remains at a stable level. The product pricing and the influence of consumer channel preference are weaker in uniform pricing. Moreover, product pricing decreases if the cross-channel recovery rate is low. As a result, price elasticity and cross-price sensitivity do not exist under a uniform pricing strategy.
- (2).
- Under decentralised decision-making, the trend of the total profit of the supply chain varies under different decision-making models. Here, cross-channel recovery rate and channel preference have a significant impact on the total profit. When the channel consumption preference is constant, the retailer’s pricing increases if the cross-channel recovery rate increase. The manufacturer’s pricing decreases if the cross-channel recovery rate increase. Firstly, retailer and manufacturer pricing are highest in Nash equilibrium. Secondly, retailer and manufacturer pricing are mid-level under retailer dominance. However, retailer and manufacturer pricing are lowest under manufacturer dominance. In addition, under low channel preference, manufacturers and retailers prefer to have the manufacturer dominate the decision. Similarly, under high channel preference, both manufacturers and retailers prefer to have others dominate model to achieve greater profitability for themselves.
Author Contributions
Funding
Institutional Review Board Statement
Informed Consent Statement
Data Availability Statement
Acknowledgments
Conflicts of Interest
Nomenclature
| CLSC | Closed-Loop Supply Chain |
| MLSG | Manufacturer-Led Stackelberg Game |
| RLSG | Retailer-Led Stackelberg Game |
| NG | Nash Equilibrium Game Pricing |
References
- Yenipazarli, A. Managing new and remanufactured products to mitigate environmental damage under emissions regulation. Eur. J. Oper. Res. 2016, 249, 117–130. [Google Scholar] [CrossRef]
- Grewal, D.; Hulland, J.; Kopalle, P.K.; Karahanna, E. The future of technology and marketing: A multidisciplinary perspective. J. Acad. Mark. Sci. 2020, 48, 1–8. [Google Scholar] [CrossRef]
- He, P.; Wang, Z.; Shi, V.; Liao, Y. The direct and cross effects in a supply chain with consumers sensitive to both carbon emissions and delivery time. Eur. J. Oper. Res. 2021, 292, 172–183. [Google Scholar] [CrossRef]
- Tseng, M.-L.; Islam, S.; Karia, N.; Fauzi, F.A.; Afrin, S. A literature review on green supply chain management: Trends and future challenges. Resour. Conserv. Recycl. 2019, 141, 145–162. [Google Scholar] [CrossRef]
- Zhang, H.; Xu, H.; Pu, X. A Cross-Channel Return Policy in a Green Dual-Channel Supply Chain Considering Spillover Effect. Sustainablity 2020, 12, 2171. [Google Scholar] [CrossRef]
- Murata, K. Analyzing Environmental Continuous Improvement for Sustainable Supply Chain Management: Focusing on Its Performance and Information Disclosure. Sustainablity 2016, 8, 1256. [Google Scholar] [CrossRef]
- Li, J.; Hu, Z.; Shi, V.; Wang, Q. Manufacturer’s encroachment strategy with substitutable green products. Int. J. Prod. Econ. 2021, 235, 108102. [Google Scholar] [CrossRef]
- Li, B.; Zhu, M.; Jiang, Y.; Li, Z. Pricing policies of a competitive dual-channel green supply chain. J. Clean. Prod. 2016, 112, 2029–2042. [Google Scholar] [CrossRef]
- Marak, Z.R.; Pillai, D. Factors, Outcome, and the Solutions of Supply Chain Finance: Review and the Future Directions. J. Risk Financ. Manag. 2018, 12, 3. [Google Scholar] [CrossRef]
- Levalle, R.R. Supply Networks BT—Resilience by Teaming in Supply Chains and Networks; Springer: Cham, Switzerland, 2018; pp. 5–17. [Google Scholar]
- Dotoli, M.; Fanti, M.P.; Meloni, C.; Zhou, M. Design and optimization of integrated E-supply chain for agile and environmentally conscious manufacturing. IEEE Trans. Syst. Man. Cybern. Part A Syst. Hum. 2005, 36, 62–75. [Google Scholar] [CrossRef]
- Dotoli, M.; Fanti, M.P.; Meloni, C.; Zhou, M. A multi-level approach for network design of integrated supply chains. Int. J. Prod. Res. 2005, 43, 4267–4287. [Google Scholar] [CrossRef]
- Murata, K.; Wakabayashi, K.; Watanabe, A. Study on and Instrument to Assess Knowledge Supply Chain Systems Using Advanced Kaizen Activity in SMEs. Supply Chain Forum Int. J. 2014, 15, 20–32. [Google Scholar] [CrossRef]
- Ying, K.-C.; Pourhejazy, P.; Cheng, C.-Y.; Syu, R.-S. Supply chain-oriented permutation flowshop scheduling considering flexible assembly and setup times. Int. J. Prod. Res. 2020, 58, 1–24. [Google Scholar] [CrossRef]
- Shi, M.; Yu, W. Market Reactions to Supply Chain Management Excellence. J. Risk Financ. Manag. 2018, 11, 62. [Google Scholar] [CrossRef]
- Meng, L.; Qiang, Q.; Huang, Z.; Zhang, B.; Yang, Y. Optimal Pricing Strategy and Government Consumption Subsidy Policy in Closed-Loop Supply Chain with Third-Party Remanufacturer. Sustainability 2020, 12, 2411. [Google Scholar] [CrossRef]
- Guo, L.; Dai, Y.; Lien, D. The effects of China’s split-share reform on firms’ capital structure choice. Appl. Econ. 2016, 48, 2530–2549. [Google Scholar] [CrossRef]
- Ullah, M.; Asghar, I.; Zahid, M.; Omair, M.; AlArjani, A.; Sarkar, B. Ramification of remanufacturing in a sustainable three-echelon closed-loop supply chain management for returnable products. J. Clean. Prod. 2021, 290, 125609. [Google Scholar] [CrossRef]
- Zhang, Z.; Zhang, Q.; Liu, Z.; Zheng, X. Static and Dynamic Pricing Strategies in a Closed-Loop Supply Chain with Reference Quality Effects. Sustainability 2018, 10, 157. [Google Scholar] [CrossRef]
- Ghisellini, P.; Cialani, C.; Ulgiati, S. A Review on Circular Economy: The Expected Transition to a Balanced Interplay of Environmental and Economic Systems. J. Clean. Prod. 2016, 114, 11–32. [Google Scholar] [CrossRef]
- Masi, D.; Day, S.; Godsell, J. Supply Chain Configurations in the Circular Economy: A Systematic Literature Review. Sustainability 2017, 9, 1602. [Google Scholar] [CrossRef]
- Pourhejazy, P.; Kwon, O.K.; Chang, Y.-T.; Park, H. Evaluating Resiliency of Supply Chain Network: A Data Envelopment Analysis Approach. Sustainability 2017, 9, 255. [Google Scholar] [CrossRef]
- Zhang, J.; Farris, P.W.; Irvin, J.W.; Kushwaha, T.; Steenburgh, T.J.; Weitz, B.A. Crafting Integrated Multichannel Retailing Strategies. J. Interact. Mark. 2010, 24, 168–180. [Google Scholar] [CrossRef]
- Zahid, M.; Jehangir, M.; Shahzad, N. Towards Digital Economy: The Impact of Electronic Banking on Customer Satisfaction among the Pakistan Banking Industry. Int. J. E Entrep. Innov. 2012, 3, 34–46. [Google Scholar] [CrossRef]
- He, P.; He, Y.; Xu, H. Channel structure and pricing in a dual-channel closed-loop supply chain with government subsidy. Int. J. Prod. Econ. 2019, 213, 108–123. [Google Scholar] [CrossRef]
- Kaoud, E.; Abdel-Aal, M.; Sakaguchi, T.; Uchiyama, N. Design and Optimization of the Dual-Channel Closed Loop Supply Chain with E-Commerce. Sustainability 2020, 12, 10117. [Google Scholar] [CrossRef]
- Arshad, M.; Khalid, Q.S.; Lloret, J.; Leon, A. An Efficient Approach for Coordination of Dual-Channel Closed-Loop Supply Chain Management. Sustainability 2018, 10, 3433. [Google Scholar] [CrossRef]
- Zhang, X.; Li, Q.; Qi, G. Decision-Making of a Dual-Channel Closed-Loop Supply Chain in the Context Government Policy: A Dynamic Game Theory. Discret. Dyn. Nat. Soc. 2020, 2020, 1–19. [Google Scholar] [CrossRef]
- Huang, Y.; Wang, Z. Dual-Recycling Channel Decision in a Closed-Loop Supply Chain with Cost Disruptions. Sustainability 2017, 9, 2004. [Google Scholar] [CrossRef]
- Zhang, Z.-Z.; Wang, Z.-J.; Liu, L.-W. Retail Services and Pricing Decisions in a Closed-Loop Supply Chain with Remanufacturing. Sustainability 2015, 7, 2373–2396. [Google Scholar] [CrossRef]
- Miao, S.; Liu, D.; Ma, J. O2O Recycling Closed-Loop Supply Chain Modeling Based on Classification Process considering Environmental Index. Discret. Dyn. Nat. Soc. 2020, 2020, 1–15. [Google Scholar] [CrossRef]
- Jin, L.; Zheng, B.; Huang, S. Pricing and coordination in a reverse supply chain with online and offline recycling channels: A power perspective. J. Clean. Prod. 2021, 298, 126786. [Google Scholar] [CrossRef]
- Shekarian, E.; Flapper, S. Analyzing the Structure of Closed-Loop Supply Chains: A Game Theory Perspective. Sustainability 2021, 13, 1397. [Google Scholar] [CrossRef]
- Ijaz, M.F.; Rhee, J.; Jo, M. A Study on Customer’s Attitude in Digital Signage based Online Store. In Proceedings of the Korea Institute of Industrial Engineers 2017 Spring Conference, Yeosu, Korea, 24–26 April 2017. [Google Scholar]
- Ijaz, M.F.; Rhee, J. Constituents and Consequences of Online-Shopping in Sustainable E-Business: An Experimental Study of Online-Shopping Malls. Sustainability 2018, 10, 3756. [Google Scholar] [CrossRef]
- Molinillo, S.; Mercadé-Melé, P.; De Noronha, T. Cause-Related Marketing Influence on Consumer Loyalty in a Medium-Sized City. Sustainability 2020, 12, 3632. [Google Scholar] [CrossRef]
- Strenitzerová, M.; Gaňa, J. Customer Satisfaction and Loyalty as a Part of Customer-Based Corporate Sustainability in the Sector of Mobile Communications Services. Sustainability 2018, 10, 1657. [Google Scholar] [CrossRef]
- Pei, X.-L.; Guo, J.-N.; Wu, T.-J.; Zhou, W.-X.; Yeh, S.-P. Does the Effect of Customer Experience on Customer Satisfaction Create a Sustainable Competitive Advantage? A Comparative Study of Different Shopping Situations. Sustainability 2020, 12, 7436. [Google Scholar] [CrossRef]
- Hadi, N.U.; Aslam, N.; Gulzar, A. Sustainable Service Quality and Customer Loyalty: The Role of Customer Satisfaction and Switching Costs in the Pakistan Cellphone Industry. Sustainability 2019, 11, 2408. [Google Scholar] [CrossRef]
- Kucuk, S.U.; Maddux, R.C. The role of the Internet on free-riding: An exploratory study of the wallpaper industry. J. Retail. Consum. Serv. 2010, 17, 313–320. [Google Scholar] [CrossRef]
- David, A.; Adida, E. Competition and Coordination in a Two-Channel Supply Chain. Prod. Oper. Manag. 2015, 24, 1358–1370. [Google Scholar] [CrossRef]
- Ryan, J.K.; Sun, D.; Zhao, X. Coordinating a Supply Chain with a Manufacturer-Owned Online Channel: A Dual Channel Model Under Price Competition. IEEE Trans. Eng. Manag. 2012, 60, 247–259. [Google Scholar] [CrossRef]
- Dan, B.; Xu, G.; Liu, C. Pricing policies in a dual-channel supply chain with retail services. Int. J. Prod. Econ. 2012, 139, 312–320. [Google Scholar] [CrossRef]
- Pourhejazy, P.; Kwon, O.K. The New Generation of Operations Research Methods in Supply Chain Optimization: A Review. Sustainability 2016, 8, 1033. [Google Scholar] [CrossRef]
- Takahashi, K.; Aoi, T.; Hirotani, D.; Morikawa, K. Inventory control in a two-echelon dual-channel supply chain with setup of production and delivery. Int. J. Prod. Econ. 2011, 133, 403–415. [Google Scholar] [CrossRef]
- Chen, J.; Bell, P.C. The impact of customer returns on supply chain decisions under various channel interactions. Ann. Oper. Res. 2013, 206, 59–74. [Google Scholar] [CrossRef]
- Elmaghraby, W.; Keskinocak, P. Dynamic Pricing in the Presence of Inventory Considerations: Research Overview, Current Practices, and Future Directions. Manag. Sci. 2003, 49, 1287–1309. [Google Scholar] [CrossRef]
- Zhang, J.; Lei, L.; Zhang, S.; Song, L. Dynamic vs. static pricing in a supply chain with advertising. Comput. Ind. Eng. 2017, 109, 266–279. [Google Scholar] [CrossRef]
- Wu, S.; Liu, Q.; Zhang, R.Q. The Reference Effects on a Retailer’s Dynamic Pricing and Inventory Strategies with Strategic Consumers. Oper. Res. 2015, 63, 1320–1335. [Google Scholar] [CrossRef]
- Yang, L.; Ji, J.; Chen, K. Game Models on Optimal Strategies in a Tourism Dual-Channel Supply Chain. Discret. Dyn. Nat. Soc. 2016, 2016, 1–15. [Google Scholar] [CrossRef]
- Yao, D.-Q.; Liu, J.J. Competitive pricing of mixed retail and e-tail distribution channels. Omega 2005, 33, 235–247. [Google Scholar] [CrossRef]
- Dumrongsiri, A.; Fan, M.; Jain, A.; Moinzadeh, K. A supply chain model with direct and retail channels. Eur. J. Oper. Res. 2008, 187, 691–718. [Google Scholar] [CrossRef]
- Huang, S.; Yang, C.; Zhang, X. Pricing and production decisions in dual-channel supply chains with demand disruptions. Comput. Ind. Eng. 2012, 62, 70–83. [Google Scholar] [CrossRef]
- Song, L.; Yan, Y.; Yao, F. Closed-Loop Supply Chain Models Considering Government Subsidy and Corporate Social Responsibility Investment. Sustainability 2020, 12, 2045. [Google Scholar] [CrossRef]
- Li, B.; Huang, S.; Yang, C. Pricing and Production Quantity Decisions in a Supply Chain with Demand-Stimulating Service under Demand Disruptions. Int. J. Adv. Inf. Sci. Serv. Sci. 2012, 4, 183–192. [Google Scholar] [CrossRef]
- Su, J.; Li, C.; Zeng, Q.; Yang, J.; Zhang, J. A Green Closed-Loop Supply Chain Coordination Mechanism Based on Third-Party Recycling. Sustainability 2019, 11, 5335. [Google Scholar] [CrossRef]
- Heydari, J.; Govindan, K.; Jafari, A. Reverse and closed loop supply chain coordination by considering government role. Transp. Res. Part D Transp. Environ. 2017, 52, 379–398. [Google Scholar] [CrossRef]
- Whiteside, J.; Dani, S. Influence of Organisational Culture on Supply Chain Resilience: A Power and Situational Strength Conceptual Perspective. J. Risk Financ. Manag. 2020, 13, 147. [Google Scholar] [CrossRef]
- Esenduran, G.; Atasu, A.; Van Wassenhove, L.N. Valuable e-waste: Implications for extended producer responsibility. IISE Trans. 2019, 51, 382–396. [Google Scholar] [CrossRef]
- Chen, J.; Bell, P.C. The impact of customer returns on pricing and order decisions. Eur. J. Oper. Res. 2009, 195, 280–295. [Google Scholar] [CrossRef]
- Zhou, W.; Zheng, Y.; Huang, W. Competitive advantage of qualified WEEE recyclers through EPR legislation. Eur. J. Oper. Res. 2017, 257, 641–655. [Google Scholar] [CrossRef]
- Zhang, C.; Yu, J.H.; Li, Y.H. Design of recycling incentive contracts on closed-loop supply chains and optimization of government subsidized remanufacturing policies. China Manag. Sci. 2016, 24, 71–78. [Google Scholar]
- Xie, Y.Y.; Liang, P.J.; Li, L. Research on the strategy of revenue sharing contract mechanism under closed-loop supply chain. J. Manag. Eng. 2017, 2, 185–191. [Google Scholar]
- Jiang, S.; Li, S. Green supply chain game model and revenue sharing contract considering product greenness. China Manag. Sci. 2015, 23, 169–176. [Google Scholar]
- Meng, Y.; Huang, L.J.; Zhang, Z.Q.; Yang, B.Y. Research on closed-loop supply chain differential pricing decision based on recovery risk. Oper. Res. Manag. 2019, 28, 57–67. [Google Scholar]
- Huang, Y.; Nie, Z.S.; Zhao, J.J. Study on the cooperation model of product recycling in the closed-loop supply chain of remanufacturing. J. Manag. Eng. 2019, 33, 147–152. [Google Scholar]
- Liu, S.; Xu, Z. Stackelberg game models between two competitive retailers in fuzzy decision environment. Fuzzy Optim. Decis. Mak. 2013, 13, 33–48. [Google Scholar] [CrossRef]
- Alamdar, S.F.; Rabbani, M.; Heydari, J. Pricing, collection, and effort decisions with coordination contracts in a fuzzy, three-level closed-loop supply chain. Expert Syst. Appl. 2018, 104, 261–276. [Google Scholar] [CrossRef]
- Hafezalkotob, A. Modelling intervention policies of government in price-energy saving competition of green supply chains. Comput. Ind. Eng. 2018, 119, 247–261. [Google Scholar] [CrossRef]
- Fallah, H.; Eskandari, H.; Pishvaee, M.S. Competitive closed-loop supply chain network design under uncertainty. J. Manuf. Syst. 2015, 37, 649–661. [Google Scholar] [CrossRef]
- Wang, Y. Pricing and Warranty Decisions of Substitutable Products for a Fuzzy Two-Echelon Supply Chain. Discret. Dyn. Nat. Soc. 2017, 2017, 1–12. [Google Scholar] [CrossRef]
- Moradinasab, N.; Amin-Naseri, M.; Behbahani, T.J.; Jafarzadeh, H. Competition and cooperation between supply chains in multi-objective petroleum green supply chain: A game theoretic approach. J. Clean. Prod. 2018, 170, 818–841. [Google Scholar] [CrossRef]
- Hafezalkotob, A. Competition of two green and regular supply chains under environmental protection and revenue seeking policies of government. Comput. Ind. Eng. 2015, 82, 103–114. [Google Scholar] [CrossRef]
- Yang, D.; Xiao, T. Pricing and green level decisions of a green supply chain with governmental interventions under fuzzy uncertainties. J. Clean. Prod. 2017, 149, 1174–1187. [Google Scholar] [CrossRef]
- Sheu, J.-B.; Chen, Y.J. Impact of government financial intervention on competition among green supply chains. Int. J. Prod. Econ. 2012, 138, 201–213. [Google Scholar] [CrossRef]
- Reza-Gharehbagh, R.; Hafezalkotob, A.; Asian, S.; Makui, A.; Zhang, A.N. Peer-to-peer financing choice of SME entrepreneurs in the re-emergence of supply chain localization. Int. Trans. Oper. Res. 2019, 27, 2534–2558. [Google Scholar] [CrossRef]
- Zhao, J.; Wang, L. Pricing and retail service decisions in fuzzy uncertainty environments. Appl. Math. Comput. 2015, 250, 580–592. [Google Scholar] [CrossRef]
- Mahmoudi, R.; Rasti-Barzoki, M. Sustainable supply chains under government intervention with a real-world case study: An evolutionary game theoretic approach. Comput. Ind. Eng. 2018, 116, 130–143. [Google Scholar] [CrossRef]
- Zou, G.; Ye, Q.M. Pricing decisions in a two-way two-channel closed-loop supply chain considering equity concerns. J. Syst. Manag. 2018, 2. [Google Scholar]
- Beames, A.; Claassen, G.D.H.; Akkerman, R. Logistics in the Circular Economy: Challenges and Opportunities BT-Strategic Decision Making for Sustainable Management of Industrial Networks; Springer: Cham, Switzerland, 2021; pp. 1–14. [Google Scholar]
- Liu, Y.; Xia, Z.-J.; Shi, Q.-Q.; Xu, Q. Pricing and coordination of waste electrical and electronic equipment under third-party recycling in a closed-loop supply chain. Environ. Dev. Sustain. 2021, 1–18. [Google Scholar] [CrossRef]
- Stritch, J.; Bretschneider, S.; Darnall, N.; Hsueh, L.; Chen, Y. Sustainability Policy Objectives, Centralized Decision Making, and Efficiency in Public Procurement Processes in U.S. Local Governments. Sustainability 2020, 12, 6934. [Google Scholar] [CrossRef]
- Zhang, Y.; Chen, W. Optimal production and financing portfolio strategies for a capital-constrained closed-loop supply chain with OEM remanufacturing. J. Clean. Prod. 2021, 279, 123467. [Google Scholar] [CrossRef]
- Li, P.; Rao, C.; Goh, M.; Yang, Z. Pricing strategies and profit coordination under a double echelon green supply chain. J. Clean. Prod. 2021, 278, 123694. [Google Scholar] [CrossRef]
- Li, J.; Yi, L.; Shi, V.; Chen, X. Supplier encroachment strategy in the presence of retail strategic inventory: Centralization or decentralization? Omega 2021, 98, 102213. [Google Scholar] [CrossRef]
- Fu, Y.; Gu, B.; Xie, Y.; Ye, J.; Cao, B. Channel structure and differential pricing strategies in dual-channel e-retail considering e-platform business models. IMA J. Manag. Math. 2020, 32, 91–114. [Google Scholar] [CrossRef]
- Huang, H.; Xiong, Y.; Zhou, Y. A larger pie or a larger slice? Contract negotiation in a closed-loop supply chain with remanufacturing. Comput. Ind. Eng. 2020, 142, 106377. [Google Scholar] [CrossRef]
- Dong, J.; Jiang, L.; Lu, W.; Guo, Q. Closed-loop supply chain models with product remanufacturing under random demand. Optimization 2021, 70, 27–53. [Google Scholar] [CrossRef]
- Guo, H.; Liu, Z.; Hu, B.; Lin, H.; Shi, L.; Meng, C. Pricing and Coordination Mechanism of Supply Chain considering Product Recycling under Asymmetric Power. Math. Probl. Eng. 2021, 2021, 1–11. [Google Scholar] [CrossRef]
- Jian, J.; Li, B.; Zhang, N.; Su, J. Decision-making and coordination of green closed-loop supply chain with fairness concern. J. Clean. Prod. 2021, 298, 126779. [Google Scholar] [CrossRef]
- Rahimi, M.; Hafezalkotob, A.; Asian, S.; Martínez, L. Environmental Policy making in Supply Chains under Ambiguity and Competition: A Fuzzy Stackelberg Game Approach. Sustainability 2021, 13, 2367. [Google Scholar] [CrossRef]
- Li, G.; Wu, H.; Sethi, S.P.; Zhang, X. Contracting green product supply chains considering marketing efforts in the circular economy era. Int. J. Prod. Econ. 2021, 234, 108041. [Google Scholar] [CrossRef]
- Chen, X.; Li, B.; An, S.; Li, Y. Pricing decisions with different time sequences in a cross-border dual-channel supply chain. Int. Trans. Oper. Res. 2021, 28, 2518–2547. [Google Scholar] [CrossRef]
- Cao, Z.; Wang, Y.; Zhao, J.; Min, J. Store brand introduction and quantity decision under asymmetric cost information in a retailer-led supply chain. Comput. Ind. Eng. 2021, 152, 106995. [Google Scholar] [CrossRef]
- Fu, R.; Qiang, Q.; Ke, K.; Huang, Z. Closed-loop supply chain network with interaction of forward and reverse logistics. Sustain. Prod. Consum. 2021, 27, 737–752. [Google Scholar] [CrossRef]
- Gong, Y.; Chen, M.; Wang, Z.; Zhan, J. With or without deposit-refund system for a network platform-led electronic closed-loop supply chain. J. Clean. Prod. 2021, 281, 125356. [Google Scholar] [CrossRef]
- Bahel, E. Patent Nash equilibria in symmetric strictly competitive games. Econ. Lett. 2021, 199, 109733. [Google Scholar] [CrossRef]
- Sadana, U.; Reddy, P.V.; Zaccour, G. Nash equilibria in nonzero-sum differential games with impulse control. Eur. J. Oper. Res. 2021. [Google Scholar] [CrossRef]







| References | Variables | Theory | Intervention Policy |
|---|---|---|---|
| Liu et al. [67] | Manufacturing cost; demand | Stackelberg | Price |
| Alamdar et al. [68] | Sales dependent demand | Nash | Price |
| Hafezalkotob [69] | Policies; investment; financial benefits | Stackelberg | Social welfare |
| Fallah et al. [70] | Self-price and cross-price elasticity coefficients; demand; profits | Stackelberg | Price |
| Wang [71] | Consumer demand; manufacturing cost | Stackelberg | Warranty service |
| Moradinasab et al. [72] | Profits; environmental pollution | Stackelberg; Nash | Price |
| Hafezalkotob [73] | manufacturer cost; demand | Stackelberg | Price |
| Yang et al. [74] | Market scale; manufacturer profit; retailer profit; price elasticity; sensitivity coefficient of the product | Stackelberg | Price |
| Sheu et al. [75] | Wholesale-price; taxation | Nash | Price |
| Reza-Gharehbagh et al. [76] | lending-investment; debt financing; equity financing | Stackelberg | Price |
| Zhao et al. [77] | Customer demands; manufacturing cost; service cost coefficients | Stackelberg; Nash | Price |
| Mahmoudi et al. [78] | Profit; product targets | Stackelberg | Price |
| Symbols | Description |
|---|---|
| The recovery rate of intact products in the retailer recovery channel. | |
| The recycling rate of used products in manufacturers recycling channels. | |
| Manufacturer cross-channel recovery rates for intact product recovery. | |
| Demand for products from retailer and manufacturer channels, respectively. | |
| Total market demand, potential market demand from retailers, and potential market demand from manufacturers, respectively. | |
| Consumer preference for visiting a retailer’s physical shop. | |
| Channel ownership prices and cross-price sensitivity, respectively. | |
| Manufacturer’s wholesale price and retailer’s transfer price for the recycled product, respectively. | |
| Retailer’s retail prices and manufacturer’s direct sales prices, respectively. | |
| Manufacturing costs, the value of intact products sold on the secondary market, and profit from the recycling of discarded products, respectively. | |
| The cost of recycling disposal is Here, denoting the retailer-recycling channel, denoting the manufacturer-recycling channel, and denoting the manufacturer cross-channel recycling channel for intact products. | |
| Total CLSC profit, retailer brick-and-mortar profit, and manufacturer online shop profit, respectively. | |
| The convex function of consumer channel preference based on retailer’s pricing | |
| The concave function of consumer channel preferences based on manufacturer’s pricing | |
| Manufacturer’s wholesale price under Manufacturer-led Stackelberg game | |
| Manufacturer’s direct selling price under Manufacturer-led Stackelberg game | |
| Manufacturer’s retail price under Manufacturer-led Stackelberg game | |
| Manufacturer’s wholesale price under Retailer-led Stackelberg game | |
| Manufacturer’s the direct selling price under Retailer-led Stackelberg game | |
| Manufacturer’s the retail price under Retailer-led Stackelberg game | |
| Manufacturer’s wholesale price under Nash equilibrium game | |
| Manufacturer’s direct selling price under Nash equilibrium game | |
| Manufacturer’s retail price under Nash equilibrium game | |
| Manufacturer pricing under differential pricing | |
| Retailer pricing under differential pricing | |
| Retailer pricing under manufacturer-led | |
| Retailer pricing under retailer-led | |
| Retailer pricing under Nash equilibrium | |
| Manufacturer pricing under manufacturer-led | |
| Manufacturer pricing under retailer-led | |
| Manufacturer pricing under Nash equilibrium | |
| Manufacturer’s profit size under the manufacturer-led model | |
| Manufacturer’s profit size under the retailer-led model | |
| Manufacturer’s profit size under Nash equilibrium model |
| Parameter | s | ||||||||||||
|---|---|---|---|---|---|---|---|---|---|---|---|---|---|
| Values | 1000 | 0.2 | 0.1 | (0.4, 0.6) | 10 | 5 | 8 | 20 | 15 | 10 | 2 | 4 | 2 |
Publisher’s Note: MDPI stays neutral with regard to jurisdictional claims in published maps and institutional affiliations. |
© 2021 by the authors. Licensee MDPI, Basel, Switzerland. This article is an open access article distributed under the terms and conditions of the Creative Commons Attribution (CC BY) license (https://creativecommons.org/licenses/by/4.0/).
Share and Cite
Pan, W.; Lin, M. A Two-Stage Closed-Loop Supply Chain Pricing Decision: Cross-Channel Recycling and Channel Preference. Axioms 2021, 10, 120. https://doi.org/10.3390/axioms10020120
Pan W, Lin M. A Two-Stage Closed-Loop Supply Chain Pricing Decision: Cross-Channel Recycling and Channel Preference. Axioms. 2021; 10(2):120. https://doi.org/10.3390/axioms10020120
Chicago/Turabian StylePan, Wenjun, and Miao Lin. 2021. "A Two-Stage Closed-Loop Supply Chain Pricing Decision: Cross-Channel Recycling and Channel Preference" Axioms 10, no. 2: 120. https://doi.org/10.3390/axioms10020120
APA StylePan, W., & Lin, M. (2021). A Two-Stage Closed-Loop Supply Chain Pricing Decision: Cross-Channel Recycling and Channel Preference. Axioms, 10(2), 120. https://doi.org/10.3390/axioms10020120
