Abstract
Nickel (Ni) and cobalt (Co) are strategic metals that have found applications in a wide range of metallurgical and industrial uses. In this study, the dissolution of a mixed nickel–cobalt hydroxide precipitate using organic acids (citric, oxalic, and malic acid) was investigated. Citric acid was found to be the best leaching agent yielding the following dissolution rates: 91.2% Ni, 86.8% Co, and 90.8% Mn. Oxalic acid resulted in low dissolution, which is likely due to the formation of insoluble metal oxalates. The impact of acid concentration, leaching time, and temperature on metal dissolution was systematically examined. The optimal dissolution conditions were identified as 0.5 M citric acid at 30 °C for 30 min, utilizing a 1/20 solid/liquid ratio and a stirring speed of 400 revolutions per minute (rpm). The attempt to use oxidants, such as potassium permanganate (KMnO4) and hydrogen peroxide (H2O2), to achieve selective dissolution in an organic acid environment was not successful, which was different from that in the sulfuric acid case. As for the leaching kinetics in the organic acids, it seems that the leaching of Ni correlates with the Shrinking Core Model, specifically regarding porous-layer diffusion control. Based on the experimental results, the activation energy for the leaching of Ni was estimated to be 3.1 kJ/mol.
1. Introduction
Nickel (Ni) and cobalt (Co) are considered strategic metals due to their advantageous qualities which make them extensively utilized in various industries, such as battery materials and alloy materials. Most of the Ni produced is sourced from laterite ores, constituting over 60% of the total land-based nickel resources globally. This shift in primary sources can be attributed to the exhaustion of nickel sulfide ores, which have conventionally served as the predominant source. Hydrometallurgy and pyrometallurgy are the two primary treatment methods for laterite ores. Pyrometallurgy is also largely employed in the treatment of nickel sulfide ores and saprolitic laterite nickel ores [1,2].
At present, most hydrometallurgical facilities processing nickel laterite ores utilize intermediate precipitation methods to extract Ni and Co from the leaching solution. Typically, the leachate undergoes an initial neutralization to remove impurities such as iron (Fe), aluminum (Al), and chromium (Cr), which is subsequently followed by precipitation to separate Ni and Co [3,4]. It is noted that Ni and Co exhibit closely analogous aqueous chemical characteristics due to their proximate placement in the transition metal series of the periodic table. When both elements are present in solution with water, they cannot be readily separated using a basic separation technique such as chemical precipitation by adjusting the pH [3]. Currently, there are three methods for processing laterite nickel ores, which include mixed hydroxide precipitation (MHP), mixed sulfide precipitation (MSP), and direct solvent extraction (DSX). The MSP is known to be costly and intricate due to the use of hazardous hydrogen sulfide gas under high temperatures and pressures [5]. Another issue is that MSP is not easily leachable under standard atmospheric pressure conditions. Therefore, the utilization of an autoclave becomes necessary [6]. The MHP approach seems to be more acceptable compared to the other two, especially for smaller-scale projects. Additionally, one notable benefit of the MHP is its ease of dissolving in both acidic and ammonia media which involve the use of ammoniacal ammonium carbonate solutions under atmospheric conditions. This dissolution method has exceptional efficacy in removing Fe, manganese (Mn), and magnesium (Mg) [3,5,6].
The dissolution of MHP has been studied under atmospheric conditions using various reagents, including sulfuric acid, nitric acid, and hydrochloric acid. Additionally, different oxidants such as potassium permanganate and peroxydisulfate have been employed in these systems with the aim to achieve selective separation [7]. In recent years, organic acids have been receiving increasing attention as leaching agents, particularly in Ni treatments, due to their effectiveness in addressing environmental concerns [7,8,9]. However, the application of these acids in the dissolution of MHP has not received much attention.
The purpose of this study was to investigate the leaching of a Ni-Co MHP using three different organic acids, including citric acid, oxalic acid, and malic acid. The study intended to identify the most efficient acid for the extraction of Ni and Co from the MHP. Additionally, the use of oxidants, including potassium permanganate and hydrogen peroxide, to achieve the selective dissolution of Ni and Co in an organic acid environment was attempted. Finally, the dissolution kinetics of Ni and Co and the activation energy were determined to explain the experimental findings.
2. Materials and Methods
2.1. Materials and Reagents
The Ni-Co MHP product was provided by the Meta Nickel Plant located in Gordes, Turkey. The material was subjected to size reduction using a jaw crusher, followed by further grinding in a laboratory ball mill. The product’s particle size distribution was determined using Master Sizer 2000 from Malvern. The elemental composition was determined by the Atomic Absorption Spectrometer (AAS) and X-ray fluorescence (XRF) spectrometer, namely, the Zetium model manufactured by PANalytical (Malvern, Worcestershire, UK). Meanwhile, the mineralogical composition was analyzed using X-ray diffraction (XRD) with the Bruker Discover instrument (Boston, MA, USA), running at 40 kV and 40 mA, and utilizing CuKa1 radiation with a wavelength of 1.5406 A. The calibration of the XRD 2θ diffraction angle (2θ range from 5° to 90°) was performed using a calibration standard with a known 2θ/d spacing. To validate the XRD data prior to the oxidative acid leaching process, a representative sample was subjected to analysis using field emission scanning electron microscopy (FE-SEM) in conjunction with energy-dispersive X-ray spectroscopy (EDX) on a Zeiss GeminiSEM 300 instrument (Oberkochen, Germany). The identification of the mineral phase compositions was carried out using Diffrac Suite EVA V4 software, which was supplied by the ICDD PDF-2/Minerals database.
The organic acid solutions were prepared using three different analytical grade reagents: citric acid (C6H8O7, Merck, Rahway, NJ, USA), malic acid (C4H6O5, Merck), and oxalic acid (C2H2O4, Merck). The oxidants used in this study were potassium permanganate with >99% purity obtained from Sigma-Aldrich (St. Louis, MO, USA), and hydrogen peroxide (30%) was obtained from Merck (Rahway, NJ, USA). Deionized water was employed for dilution in all experiments.
2.2. Experimental Procedure
The leaching experiments were conducted using a 500 mL glass container covered with aluminum foil to reduce the potential water loss. The leach solution was agitated using a digital overhead mechanical stirrer (MTOPS-MS3040D, Yangju-City, Korea) equipped with a three-blade stainless steel impeller of a 45 mm diameter, operating at a speed of 400 revolutions per minute (rpm). The temperature of the beaker and slurry was regulated by utilizing a heating mantle (MTOPS-MSDSM, Yangju-City, Korea) to ensure adherence to the specified temperature conditions. In each experiment, a total of 25 g dry MHP was carefully placed into a beaker after the addition of 500 mL of organic acid solution at a preset concentration. The experimental setup is displayed in Figure 1. The slurry was subjected to heat until it reached the target temperature, after which a predetermined quantity of an oxidant was introduced into the slurry. Following the completion of the leaching experiment, the pH of the slurry was determined using a pH meter (Hach, HQ40d) that was equipped with a pH probe (IntelliCAL PHC 28101). Following that, the slurry underwent filtration using a Whatman 1 filter paper, and the resulting residues were further subjected to multiple washes with deionized water. Subsequently, the filtrates were analyzed for elemental composition using atomic absorption spectroscopy (AAS) with the Thermo Scientific ICE 3300 instrument (Waltham, MA, USA). In all the leaching experiments, the ratio of solid to liquid was maintained at a constant value of 1/20 (weight/volume). The process of metal dissolution was determined by the following formula:
Figure 1.
Experimental set-up.
The dissolution percentage of the metal of interest, denoted as R, was determined by the concentration of metal ion in the pregnant leaching solution (PLS), denoted as Cm (g/mL), the volume of the leach solution, denoted as V (L), the metals content of the feed sample, denoted as Co (%), and the mass of the feed sample, denoted as M (g).
3. Results and Discussion
3.1. Material Characterization
The detailed material characterization is reported in a previously published work [2]. Some highlights are provided here. The particle size analysis of the MHP revealed that 90% of the mass has a particle size below 43.1 μm. The AAS analysis of the MHP sample revealed the following concentrations: 34.5% Ni, 1.9% Co, and 5.4% Mn. The XRD results show that the MHP primarily contains hydroxides where the Ni, Co, and Mn are present.
3.2. Effect of Organic Acid on Dissolution of the MHP Sample
Citric acid, oxalic acid, and malic acid were used to dissolve the MHP sample. The experiments were conducted at a temperature of 30 °C with 0.5 M acid concentration, a solid–liquid ratio of 1/20, and a stirring speed of 400 rpm. Figure 2 shows the dissolution of metal ions as a function of time in different organic acid solutions. According to the result, citric acid had a significant effect on the dissolution of the MHP sample, similar to what some researchers observed in their research [4,9,10,11,12]. It can be observed that the metal dissolution was significant when the solution contained 0.5 M citric acid. The leaching dissolved almost 90% of the Ni after 30 min from the start of the experiment. The dissolution of Co and Mn was observed to be 86.8% and 90.8%, respectively.

Figure 2.
Effect of organic acids on the metals solution: (a) citric acid; (b) oxalic acid; (c) malic acid (conditions: 0.5 M, 30 °C, and S/L ratio: 1/20).
It is speculated that the observed high leaching efficiency of using critic acid is contingent upon the chemical reactivity of the metals towards the acid [13]. At 25 °C, citric acid has three carboxyl groups, and each group has its own dissociation constant for the three protons that are present as follows: pKa1 = 3.13, pKa2 = 4.76, and pKa3 = 6.40. In the event of complete dissociation, a citrate anion can easily form a complex with Ni, Co, and Mn cations, resulting in good leaching performance [14]:
C6H8O7 ↔ (C6H5O7)3− + 3H+
Ni2+ + (C6H5O7)3− ↔ (NiC6H5O7)−
Co2+ + (C6H5O7)3− ↔ (CoC6H5O7)−
Mn2+ + (C6H5O7)3− ↔ (MnC6H5O7)−
The use of oxalic acid did not show any significant effects on the metal dissolution, which is similar to some existing studies. For example, Verma et al. (2019) did not observe significant Ni, Co, and Mn dissolution in their studies that involved using oxalic acid as a leaching reagent to extract metals from waste LiNiCoMnO2 batteries [15]. In another study by Astuti et al. (2016), the researchers did not observe any dissolution of Ni with oxalic acid from a laterite ore [11]. Speciation diagrams were constructed using Medusa 2010 software to obtain more insights. The diagrams were generated based on a concentration of 10 µM for the dissolved Ni, Co, and Mn ions, and 10 mM for the oxalate ions. As shown in Figure 3, when the initial pH of the leach solution was approximately 0.5, Ni, Co, and Mn remained fairly soluble. However, as the pH increased, the metal oxalates, i.e., Ni(ox), Ni(ox)22−, Co(ox), Co(ox)22−, Mn(ox), and Mn(ox)22−, started to form. This observation hints that under a pH of around 4–5, the oxalic acid can still dissolve Ni, Co, and Mn from the MHP. However, the dissolved metal ions quickly form metal oxalates which are known to be insoluble [16]. Therefore, it cannot be argued that the observed low metal dissolutions mean that the oxalic acid cannot leach the metals from the MHP sample. Rather, the low dissolution was likely caused by the precipitation of the insoluble contents of the metal oxalates exhausting the dissolved the metal ions by the oxalic acid.

Figure 3.
Speciation diagrams in oxalic acid: (a) Ni, (b) Co, and (c) Mn. It is observed at pH values of 4–5 that metal oxalates start to form.
Concerning malic acid, up to 71.5% of Ni was dissolved within 120 min, while Co and Mn exhibited dissolution rates of 65.7% and 69.5%, respectively. One possible reason to explain the leaching performance of malic acid being lower than that of the citric acid is that citric acid possesses three carboxylic acid groups in its structure, whereas malic acid contains only two. Citric acid exhibits greater acidity than malic acid due to its higher concentration of acidic groups, resulting in the release of more protons when dissolved in a solution, and, hence, a better leaching performance [17,18]. Observations from the pH variation can confirm this postulation. It was found that the final pH was about 3.5, 5.3, and 5.8 for citric acid, oxalic acid, and malic acid after 30 min of leaching, and that further increasing the leaching time did not change the pH for all the acid solutions.
3.3. Effect of Temperature on Dissolution of the MHP Sample
The effect of temperature on metal dissolution at different leaching times is shown in Figure 4. The temperature effect was investigated under the following experimental conditions: 0.5 M citric acid, solid-to-liquid ratio of 1/20, and stirring speed of 400 rpm. Based on the results, it can be concluded that the increase in temperature slightly increased the metal dissolution, but the extent was not significant. Therefore, 30 °C was selected as an optimum temperature for the studies onwards.
Figure 4.
The effect of temperature on metal dissolution at different times: 30 °C, 50 °C, 70 °C (conditions: 0.5 citric acid, S/L ratio of 1/20, and 400 rpm).
3.4. Effect of Citric Acid Concentration on the Dissolution of the MHP Sample
The leaching experiments were conducted using different citric acid concentrations (ranging from 0.1 to 0.5 M) at 30 min, a temperature of 30 °C, and a solid–liquid ratio of 1:20. Figure 5 shows the effect of citric acid concentration on the metal dissolution of the MHP sample. The dissolution rates of Ni, Co, and Mn exhibit a notable enhancement as the concentration of citric acid increases. Specifically, the dissolution of Ni increases from 18% to 91.2%, Co from 15.2% to 86.8%, and Mn from 9% to 90.8%. The improved dissolution was expected because a higher citric acid concentration results in more acidity, which can facilitate the leaching process. Note that the pH of the slurry reduced from 6.4 to 3.6 when the concentration of the acid increased from 0.1 to 0.5 M.
Figure 5.
Effect of citric acid concentration on metal dissolution at 30 °C, for a leaching time of 30 min, at an S/L ratio of 1/20, and at 400 rpm.
3.5. Synergistic Impact of Citric Acid and Oxalic Acid on the Dissolution of the MHP Sample
The potential synergistic impact of citric acid and oxalic acid on the dissolution of Ni, Co, and Mn under certain experimental settings was investigated. These parameters included 0.5 M citric acid solution, 2.5 g of oxalic acid, and temperature of 30 °C for 30 min. Figure 6 shows that the addition of oxalic acid had no discernible impact on the dissolution of Ni. However, a slight influence on the dissolution of Co and Mn is noticeable. Kursunoglu (2019) reported a similar result by utilizing 2 g of oxalic acid as a synergistic reagent with sulfuric acid. The results for Ni were distinct due to the formation of nickel oxalate, which began to precipitate in the sulfate solution. However, due to the remarkable binding between the citrate ion and Ni, this quantity of oxalate is unlikely to have any detrimental impact on Ni [19].
Figure 6.
Synergistic effect of oxalic acid on metal dissolution using 0.5 M citric acid, 5 g/L oxalic acid, 2.5 g/L KMnO4, temperature of 30 °C, S/L ratio of 1/20, and 30 min.
3.6. Effect of Oxidants on Metal Dissolution
The use of citric acid alone cannot achieve selective dissolution among different metals ions. To achieve this, some oxidants may be utilized. Researchers have investigated the effect of different oxidants on the precipitation of Co or Mn in other MHP samples. They have investigated the precipitation of Co and Mn from a metal sulfate leach solution using ozone gas and sodium persulfate as an oxidative reagent [3,20]. The process of Mn(II) oxidation with the addition of a strong oxidant has been widely employed in water business for an extended period. According to our previous study [2], potassium permanganate has a significant effect on Mn precipitation from the sulfate leach solution [2]. To the best of our knowledge, previous research was only carried out in metal sulfate media. In this study, we investigated the effects of oxidants on selective metal dissolution in a citrate acid leach media. Potassium permanganate and hydrogen peroxide were selected as the oxidants based on our previous study [2].
The leaching test was conducted using 0.5 M citric acid at a temperature of 30 °C, a leaching time of 30 min, a solid-to-liquid ratio of 1/20, and a 2.5 g/L concentration of potassium permanganate. The results are shown in Figure 6. However, the addition of oxidants did not result in any selectivity, which is different from what we expected based on our previous study. The effect of hydrogen peroxide as an oxidative reagent with different concentrations on the metal dissolution was also studied with the following conditions: 0.5 M citric acid, temperature of 30 °C, leaching time of 30 min, solid-to-liquid ratio of 1/20, stirring speed of 400 rpm, and hydrogen peroxide concentrations of 10, 20, and 30 mL/L (Figure 7). Unfortunately, the results indicated no significant effects in the selective separation of the metals.
Figure 7.
The effect of different concentrations of hydrogen peroxide on the separation of metals from a citrate leach solution using 0.5 M citric acid, a temperature of 30 °C, a leaching time of 30 min, and an S/L ratio of 1/20.
It is postulated that the inefficiency in achieving selective leaching is due to the possibility that the metal and citrate ions create a strong bond in the solution; hence, the selective separation of Co and Mn is challenging. While there are not many studies directly related this subject, the literature has a few directions that are worth future investigation. For example, the precipitation of Co (IV) oxide from a synthetic cobalt–citrate complex in alkaline conditions using sodium lauryl sulfate (SDS) and in a protracted procedure is possible [21]. Solven extraction to achieve a selective separation of nickel, cobalt, and manganese from the citrate leach solution as suggested by the literature should be investigated for the MHP citrate system [22,23,24,25].
3.7. The Kinetic Studies of Nickel Dissolution
The kinetic analysis of Ni leaching from the MHP by citric acid was investigated by the shrinking core model. If the dissolution of heterogeneous Ni is regulated by the chemical reaction occurring at the surface of the mineral, the kinetics of the dissolution can be mathematically represented by Equation (6) (supposing that the Ni-containing minerals possess a spherical radius):
1 − (1 − X)1/3 = Kc × t
In this context, the variables are defined as follows: X represents the fraction of Ni that has undergone a reaction, t denotes the leaching time in minutes, and Kc refers to the constant of the chemical reaction rate, which is a dimensionless quantity.
Similarly, if the rate at which the leaching agent diffuses through the solid product layer surrounding the unreacted core is the step that limits the overall reaction rate, then the kinetics can be described by Equation (7):
1 − 3(1 − X)2/3 − 2 (1 − X) = Ks × t
The variable “Ks” represents the constant of the solid product layer diffusion rate, which is dimensionless.
The determination of the activation energy necessary for the leaching of Ni from the mixed hydroxide precipitate was performed by the utilization of the Arrhenius plot, which is obtained from Equation (8).
where Kap is the constant of the apparent rate, R is the gas constant (8.314 J/(mol K)), A is the pre-exponential factor, Ea is the activation energy (kJ/mol), and T is temperature (K) [26].
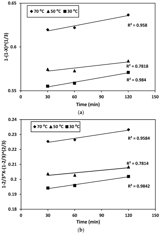
As depicted in Figure 8, a strong correspondence is observed between the empirical data and Equations (6) and (7). This suggests that the leaching kinetics of Ni from the MHP sample may indeed be well explained by the shrinking core model, which incorporates both the solid-particle-layer diffusion control and the chemical reaction. The Arrhenius plot displayed in Figure 9 relies on the utilization of apparent rate constants, which are derived from the sloping curves of linear regressions, as illustrated in Figure 8. The gradient of the linear relationship depicted in Figure 9 indicates an apparent activation energy value of Ea = 3.1 kJ/mol within the temperature range of 303–343 K. According to Habashi (1980), the process can be characterized as being diffusion-controlled if its activation energy falls in the range of 4–12 kJ/mol. Conversely, a chemically controlled process is indicated by a greater activation energy, namely, greater than 41.8 kJ/mol [27]. The suitability of this low activation energy is evident in an operation that is determined by the diffusion through a solid product layer. This finding further reinforces the significance of diffusion through a product layer as the rate-determining step in the kinetics of the reaction [28,29]. The rate of a diffusion-controlled process typically has a mild dependence on temperature, whereas a chemically controlled process demonstrates a high sensitivity to changes in temperature [30,31]. The process of citric acid leaching in this study demonstrates the ability to achieve elevated Ni recovery rates under reduced temperature and ambient conditions.
Figure 8.
The plots of the comparison between rate equation models and data from experiments over a period of time: (a) 1 − (1 − X)1/3; (b) 1 − 3(1 − X)2/3 − 2 (1 − X).
Figure 9.
A linear regression analysis of the experimental data acquired at 30 °C, 50 °C, and 70 °C to plot Ln k against (1/T).
4. Conclusions
Organic acids leaching was utilized for the dissolution of Ni, Co, and Mn from an MHP sample. The most effective dissolution was achieved by the citric acid. There was no observed significant effect on the metal dissolution using oxalic acid. The optimum conditions were determined as follows: citric acid concentration of 0.5 M, leaching time of 30 min, temperature of 30 °C, solid-to-liquid ratio of 1/20, stirring speed of 400 rpm with dissolution rates of 91.2%, 86.8%, and 90.8% for Ni, Co, and Mn, respectively. The use of oxalic acid as a synergic agent did not show any effects on the metal dissolution. In addition, no effect was demonstrated using potassium permanganate and hydrogen peroxide as an oxidant on the selective metal dissolution. The leaching process seems to be regulated by the diffusion mechanism occurring within the solid product layer surrounding the contracting unreacted core. The leaching rate can be characterized using the shrinking core model. The predicted apparent activation energy for the Ni leaching process is 3.1 kJ/mol.
Author Contributions
Conceptualization, S.H. and S.K.; methodology, S.H. and S.K.; investigation, S.H. and S.K.; resources, S.K. and M.K.; writing—original draft preparation, S.H. and A.M.T.; writing—review and editing and supervision, S.H., A.M.T., M.K., S.K. and P.C.; funding acquisition, S.K. and P.C. All authors have read and agreed to the published version of the manuscript.
Funding
This research received no external funding.
Data Availability Statement
Additional data are available from the lead author on request.
Conflicts of Interest
The authors declare no conflicts of interest.
References
- Hu, X.; Ma, B.; He, F.; Chen, Y.; Wang, C. Ammonia leaching process for selective extraction of nickel and cobalt from polymetallic mixed hydroxide precipitate. J. Environ. Chem. Eng. 2022, 10, 108936. [Google Scholar] [CrossRef]
- Hussaini, S.; Ichlas, Z.T.; Top, S.; Kursunoglu, S.; Kaya, M. Selective leaching of a mixed nickel-cobalt hydroxide precipitate in sulphuric acid solution with potassium permanganate as oxidant. Sep. Sci. Technol. 2020, 56, 2475–2484. [Google Scholar] [CrossRef]
- Ichlas, Z.T.; Mubarok, M.Z.; Magnalita, A.; Vaughan, J.; Sugiarto, A.T. Processing mixed nickel-cobalt hydroxide precipitate by sulfuric acid leaching followed by selective oxidative precipitation of cobalt and manganese. Hydrometallurgy 2020, 191, 105185. [Google Scholar] [CrossRef]
- Astuti, W.; Nurjaman, F.; Rofiek Mufakhir, F.; Sumardi, S.; Avista, D.; Cleary Wanta, K.; Tri Bayu Murti Petrus, H. A novel method: Nickel and cobalt extraction from citric acid leaching solution of nickel laterite ores using oxalate precipitation. Miner. Eng. 2023, 191, 107982. [Google Scholar] [CrossRef]
- Harvey, R.; Hannah, R.; Vaughan, J. Selective precipitation of mixed nickel–cobalt hydroxide. Hydrometallurgy 2011, 105, 222–228. [Google Scholar] [CrossRef]
- Jones, A.N.; Welham, N.J. Properties of aged mixed nickel–cobalt hydroxide intermediates produced from acid leach solutions and subsequent metal recovery. Hydrometallurgy 2010, 103, 173–179. [Google Scholar] [CrossRef]
- Williams, C.; Hawker, W.; Vaughan, J.W. Selective leaching of nickel from mixed nickel cobalt hydroxide precipitate. Hydrometallurgy 2013, 138, 84–92. [Google Scholar] [CrossRef]
- Kaya, M.; Kursunoglu, S.; Hussaini, S.; Gül, E. Leaching of Turkish Oxidized Pb–Zn Flotation Tailings by Inorganic and Organic Acids. In PbZn 2020: 9th International Symposium on Lead and Zinc Processing; Springer: San Diego, USA, 2020; pp. 447–468. [Google Scholar]
- Mubarok, M.Z.; Astuti, W.; Chaerun, S.K. Leaching Behaviour of Nickel from Indonesian Laterite Ore in Some Organic Acids. In Proceedings of the International Mineral Processing Symposium, Kapadokya, Turkey, 6–8 October 2010. [Google Scholar]
- Astuti, W.; Hirajima, T.; Sasaki, K.; Okibe, N. Comparison of atmospheric citric acid leaching kinetics of nickel from different Indonesian saprolitic ores. Hydrometallurgy 2016, 161, 138–151. [Google Scholar] [CrossRef]
- Astuti, W.; Hirajima, T.; Sasaki, K.; Okibe, N. Comparison of effectiveness of citric acid and other acids in leaching of low-grade Indonesian saprolitic ores. Miner. Eng. 2016, 85, 1–16. [Google Scholar] [CrossRef]
- Wanta, K.C.; Astuti, W.; Petrus, H.T.B.M.; Perdana, I. Product Diffusion-Controlled Leaching of Nickel Laterite using Low Concentration Citric Acid Leachant at Atmospheric Condition. Int. J. Technol. 2022, 13, 410–421. [Google Scholar] [CrossRef]
- Kursunoglu, S.; Kursunoglu, N.; Hussaini, S.; Kaya, M. Selection of an appropriate acid type for the recovery of zinc from a flotation tailing by the analytic hierarchy process. J. Clean. Prod. 2021, 283, 124659. [Google Scholar] [CrossRef]
- Behera, S.K.; Panda, P.P.; Singh, S.; Pradhan, N.; Sukla, L.B.; Mishra, B.K. Study on reaction mechanism of bioleaching of nickel and cobalt from lateritic chromite overburdens. Int. Biodeterior. Biodegrad. 2011, 65, 1035–1042. [Google Scholar] [CrossRef]
- Verma, A.; Kore, R.; Corbin, D.R.; Shiflett, M.B. Metal Recovery Using Oxalate Chemistry: A Technical Review. Ind. Eng. Chem. Res. 2019, 58, 15381–15393. [Google Scholar] [CrossRef]
- Krishnamurty, K.V.; Harris, G.M. The Chemistry of the Metal Oxalato Complexes. Chem. Rev. 1961, 61, 213–246. [Google Scholar] [CrossRef]
- Li, P.; Zeng, G.M.; Xu, W.H.; Zhang, C.; Jiang, M. Effects of organic acids on zinc and lead leaching from contaminated sediments. Zhongguo Huanjing Kexue/China Environ. Sci. 2010, 30, 1235–1240. [Google Scholar]
- Yan, Y.; Gao, J.; Wu, J.; Li, B. Effects of Inorganic and Organic Acids on Heavy Metals Leaching in Contaminated Sediment. In An Interdisciplinary Response to Mine Water Challenges; Sui, W., Sun, W., Eds.; China University of Mining and Technology Press: Xuzhou, China, 2014. [Google Scholar]
- Kursunoglu, S. Synergistic effect of organic acid on the dissolution of mixed nickel-cobalt hydroxide precipitate in sulphuric acid solution. Metall. Res. Technol. 2019, 116, 319. [Google Scholar] [CrossRef]
- Byrne, K.; Hawker, W.; Vaughan, J. Effect of key parameters on the selective acid leach of nickel from mixed nickel-cobalt hydroxide. AIP Conf. Proc. 2017, 1805, 030001. [Google Scholar]
- Wang, R.-T.; Kong, L.-B.; Lang, J.-W.; Wang, X.-W.; Fan, S.-Q.; Luo, Y.-C.; Kang, L. Mesoporous Co3O4 materials obtained from cobalt–citrate complex and their high capacitance behavior. J. Power Sources 2012, 217, 358–363. [Google Scholar] [CrossRef]
- Ma, L.; Nie, Z.; Xi, X.; Han, X.g. Cobalt recovery from cobalt-bearing waste in sulphuric and citric acid systems. Hydrometallurgy 2013, 136, 1–7. [Google Scholar] [CrossRef]
- Ma, L.W.; Xi, X.L.; Zhang, Z.Z.; Huang, Z.Q.; Chen, J.P. Hydrometallurgical Treatment for Mixed Waste Battery Material. IOP Conf. Ser. Mater. Sci. Eng. 2017, 170, 012024. [Google Scholar] [CrossRef]
- Kursunoglu, S.; Ichlas, Z.T.; Kaya, M. Solvent extraction process for the recovery of nickel and cobalt from Caldag laterite leach solution: The first bench scale study. Hydrometallurgy 2017, 169, 135–141. [Google Scholar] [CrossRef]
- Baba, Y.; Kubota, F.; Kamiya, N.; Goto, M. Development of Novel Extractants with Amino Acid Structure for Efficient Separation of Nickel and Cobalt from Manganese Ions. Ind. Eng. Chem. Res. 2014, 53, 812–818. [Google Scholar] [CrossRef]
- Levenspiel, O. Chemical Reaction Engineering; Wiley: Hoboken, NJ, USA, 1998. [Google Scholar]
- Habashi, F. Principles of Extractive Metallurgy; Gordon&Breach: New York, NY, USA, 1980; Volume 2. [Google Scholar]
- Astuti, W.; Hirajima, T.; Sasaki, K.; Okibe, N. Kinetics of nickel extraction from Indonesian saprolitic ore by citric acid leaching under atmospheric pressure. Min. Metall. Explor. 2015, 32, 176–185. [Google Scholar] [CrossRef]
- Vegliò, F.; Trifoni, M.; Pagnanelli, F.; Toro, L. Shrinking core model with variable activation energy: A kinetic model of manganiferous ore leaching with sulphuric acid and lactose. Hydrometallurgy 2001, 60, 167–179. [Google Scholar] [CrossRef]
- Habashi, F. Principles of Extractive Metallurgy, General Principles; Gordon and Breach: New York, NY, USA, 1969; Volume 1. [Google Scholar]
- Sohn, H.Y.; Wadsworth, M.E. Rate Process of Extractive Metallurgy; Plenum Press: New York, NY, USA, 1979. [Google Scholar]
Disclaimer/Publisher’s Note: The statements, opinions and data contained in all publications are solely those of the individual author(s) and contributor(s) and not of MDPI and/or the editor(s). MDPI and/or the editor(s) disclaim responsibility for any injury to people or property resulting from any ideas, methods, instructions or products referred to in the content. |
© 2024 by the authors. Licensee MDPI, Basel, Switzerland. This article is an open access article distributed under the terms and conditions of the Creative Commons Attribution (CC BY) license (https://creativecommons.org/licenses/by/4.0/).