Selective Separation of Scheelite from Calcite by Self-Assembly of H2SiO3 Polymer Using Al3+ in Pb-BHA Flotation
Abstract
1. Introduction
2. Materials and Methods
2.1. Minerals and Reagents
2.2. Flotation Experiments
2.3. Fourier-Transform Infrared (FTIR) Measurements
2.4. Zeta Potential Measurements
2.5. Adsorption Capacity Determination
3. Results and Discussion
3.1. Single Mineral Flotation Experiments
3.2. Structure of the Al-Na2SiO3 Polymer
3.2.1. FTIR Spectroscopy
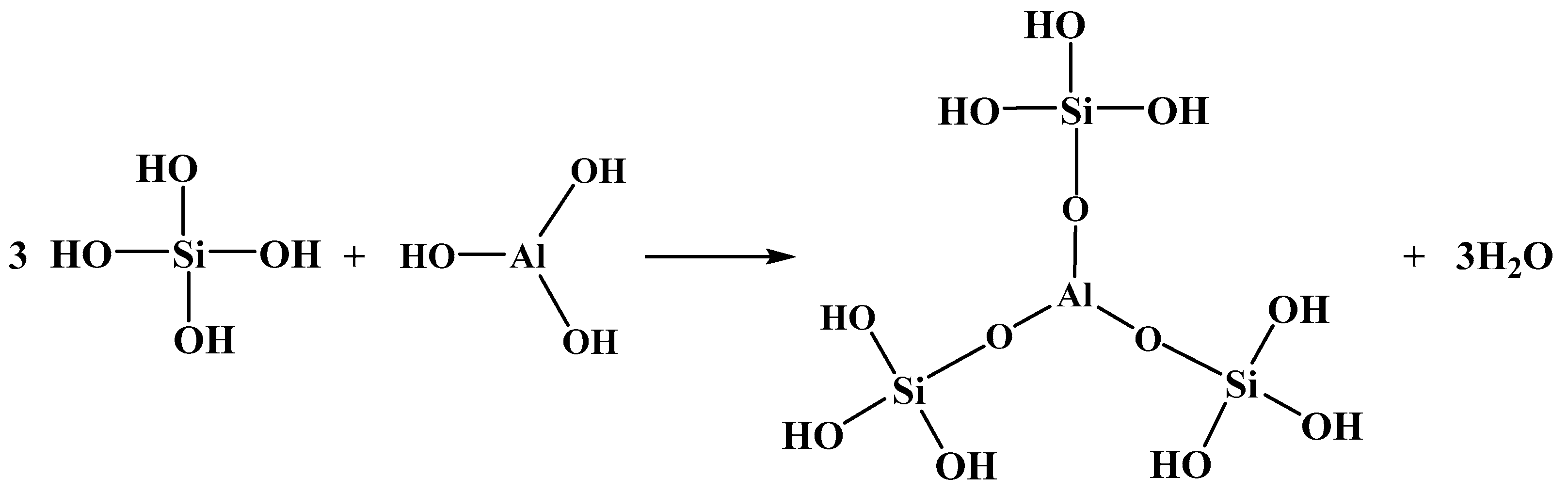
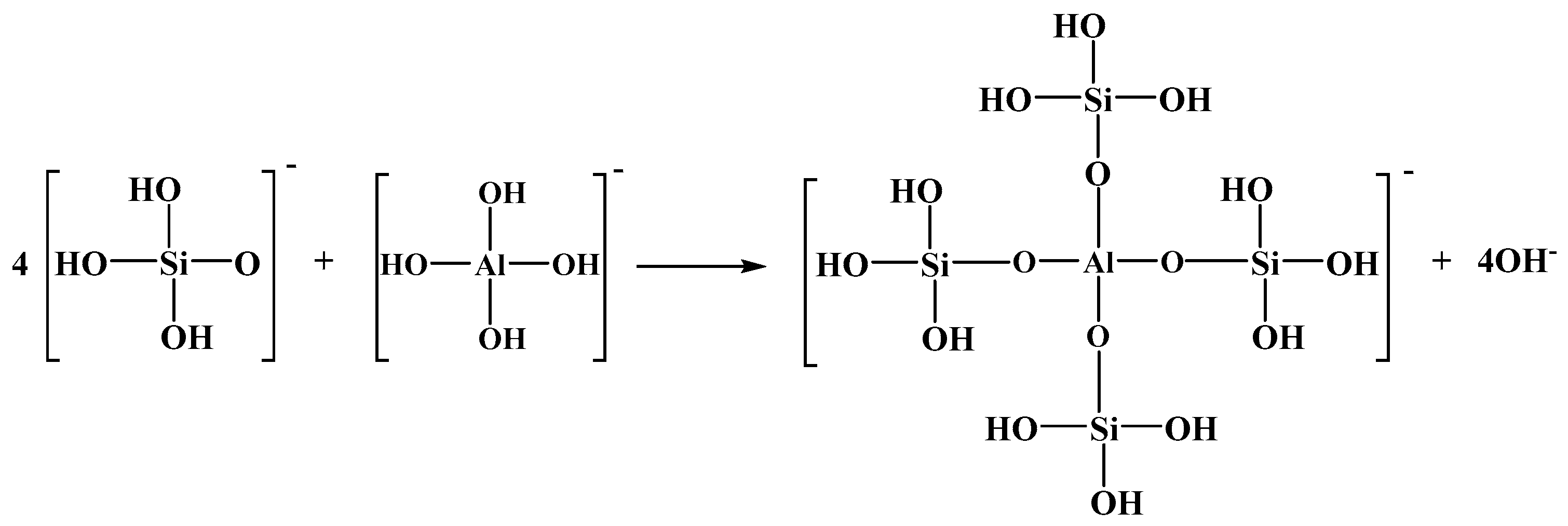
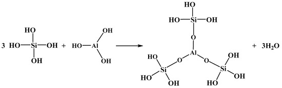
3.2.2. Self-Assembly of Sodium Silicate and Aluminum Ions in Solution
3.3. Effect of the Al-Na2SiO3 Polymer on the Adsorption of Pb-BHA Complexes on the Mineral Surface
3.3.1. Zeta Potential Measurements
3.3.2. Adsorption Capacity
3.4. Adsorption Model of the Al-Na2SiO3 Polymer and Pb-BHA Complexes on the Surface of Scheelite and Calcite
4. Conclusions
Author Contributions
Funding
Conflicts of Interest
References
- Li, C.; Lü, Y. Selective flotation of scheelite from calcium minerals with sodium oleate as a collector and phosphates as modifiers. II. The mechanism of the interaction between phosphate modifiers and minerals. Int. J. Miner. Process. 1983, 10, 219–235. [Google Scholar]
- Gao, Y.; Gao, Z.; Sun, W.; Hu, Y. Selective flotation of scheelite from calcite: A novel reagent scheme. Int. J. Miner. Process. 2016, 154, 10–15. [Google Scholar] [CrossRef]
- Gao, Y.; Gao, Z.; Sun, W.; Yin, Z.; Wang, J.; Hu, Y. Adsorption of a novel reagent scheme on scheelite and calcite causing an effective flotation separation. J. Colloid Interface Sci. 2018, 512, 39–46. [Google Scholar] [CrossRef] [PubMed]
- Han, H.S.; Hu, Y.H.; Sun, W.; Li, X.D.; Cao, C.G.; Liu, R.Q.; Yue, T.; Meng, X.S.; Guo, Y.Z.; Wang, J.J.; et al. Fatty acid flotation versus BHA flotation of tungsten minerals and their performance in flotation practice. Int. J. Miner. Process. 2017, 159, 22–29. [Google Scholar] [CrossRef]
- Li, C.; Gao, Z. Effect of grinding media on the surface property and flotation behavior of scheelite particles. Powder Technol. 2017, 322, 386–392. [Google Scholar] [CrossRef]
- Gao, Z.; Fan, R.; Ralston, J.; Sun, W.; Hu, Y. Surface broken bonds: An efficient way to assess the surface behaviour of fluorite. Miner. Eng. 2019, 130, 15–23. [Google Scholar] [CrossRef]
- Feng, B.; Luo, X.; Wang, J.; Wang, P. The flotation separation of scheelite from calcite using acidified sodium silicate as depressant. Miner. Eng. 2015, 80, 45–49. [Google Scholar]
- Dong, L.; Jiao, F.; Qin, W.; Zhu, H.; Jia, W. Effect of acidified water glass on the flotation separation of scheelite from calcite using mixed cationic/anionic collectors. Appl. Surf. Sci. 2018, 444, 747–756. [Google Scholar] [CrossRef]
- Gao, Z.; Bai, D.; Sun, W.; Cao, X.; Hu, Y. Selective flotation of scheelite from calcite and fluorite using a collector mixture. Miner. Eng. 2015, 72, 23–26. [Google Scholar] [CrossRef]
- Oliveira, J.F.; Sampaio, J.A. Development studies for the recovery of Brazilian scheelite fines by froth flotation. In Production and Processing of Fine Particles; Plumpton, A.J., Ed.; Pergamon: Amsterdam, The Netherlands, 1988; pp. 209–217. [Google Scholar]
- Liu, C.; Feng, Q.; Zhang, G.; Chen, W.; Chen, Y. Effect of depressants in the selective flotation of scheelite and calcite using oxidized paraffin soap as collector. Int. J. Miner. Process. 2016, 157, 210–215. [Google Scholar] [CrossRef]
- Mercade, V. Effect of polyvalent metal-silicate hydrosols on the flotation of calcite. Trans. SME/AIME 1981, 268, 1842–1846. [Google Scholar]
- Yang, Y.; Xu, L.; Tian, J.; Liu, Y.; Han, Y. Selective flotation of ilmenite from olivine using the acidified water glass as depressant. Int. J. Miner. Process. 2016, 157, 73–79. [Google Scholar] [CrossRef]
- Feng, B.; Guo, W.; Xu, H.; Peng, J.; Luo, X.; Zhu, X. The combined effect of lead ion and sodium silicate in the flotation separation of scheelite from calcite. Sep. Sci. Technol. 2016, 52, 567–573. [Google Scholar] [CrossRef]
- Tohry, A.; Dehghani, A. Effect of sodium silicate on the reverse anionic flotation of a siliceous–phosphorus iron ore. Sep. Purif. Technol. 2016, 164, 28–33. [Google Scholar] [CrossRef]
- Deng, R.; Yang, X.; Hu, Y.; Ku, J.; Zuo, W.; Ma, Y. Effect of Fe(II) as assistant depressant on flotation separation of scheelite from calcite. Miner. Eng. 2018, 118, 133–140. [Google Scholar] [CrossRef]
- Han, H.S.; Hu, Y.H.; Sun, W.; Li, X.D.; Chen, K.F.; Zhu, Y.G.; Nguyen, A.V.; Tian, M.J.; Wang, L.; Yue, T.; et al. Novel catalysis catalysis mechanisms of benzohydroxamic acid adsorption by lead ions and changes in the-surface of scheelite particles. Miner. Eng. 2018, 119, 11–22. [Google Scholar] [CrossRef]
- Han, H.S.; Liu, W.L.; Hu, Y.H.; Sun, W.; Li, X.D. A novel flotation scheme: Selective flotation of tungsten minerals from calcium minerals using Pb-BHA complexes in Shizhuyuan. Rare Met. 2017, 36, 533–540. [Google Scholar] [CrossRef]
- Wei, Z.; Hu, Y.; Han, H.; Sun, W.; Wang, R.; Wang, J. Selective flotation of scheelite from calcite using Al-Na2SiO3 polymer as depressant and Pb-BHA complexes as collector. Miner. Eng. 2018, 120, 29–34. [Google Scholar] [CrossRef]
- Du, J.; Cormack, A.N. The medium range structure of sodium silicate glasses: A molecular dynamics simulation. J. Non-Cryst. Solids 2004, 349, 66–79. [Google Scholar] [CrossRef]
- Neuefeind, J.; Liss, K.D. Bond angle distribution in amorphous germania and silica. Berichte der Bunsengesellschaft/Phys. Chem. Chem. Phys. 1996, 100, 1341–1349. [Google Scholar] [CrossRef]
- Poulsen, H.F.; Neuefeind, J.; Neumann, H.B.; Schneider, J.R.; Zeidler, M.D. Amorphous silica studied by high energy X-ray diffraction. J. Non-Cryst. Solids 1995, 188, 63–74. [Google Scholar] [CrossRef]
- Chen, X.; Niu, Z.; Wang, J.; Zhu, G.R.; Zhou, M. Effect of sodium polyacrylate on mechanical properties and microstructure of metakaolin-based geopolymer with different SiO2/Al2O3 ratio. Ceram. Int. 2018, 44, 18173–18180. [Google Scholar] [CrossRef]
- Ji, X.; Zhou, Q.; Qiu, G.; Peng, B.; Guo, M.; Zhang, M. Synthesis of an alumina enriched Al2O3-SiO2 aerogel: Reinforcement and ambient pressure drying. J. Non-Cryst. Solids 2017, 471, 160–168. [Google Scholar] [CrossRef]
- Zagrajczuk, B.; Dziadek, M.; Olejniczak, Z.; Sulikowski, B.; Cholewa-Kowalska, K.; Laczka, M. Structural investigation of gel-derived materials from the SiO2Al2O3 system. J. Mol. Struct. 2018, 1167, 23–32. [Google Scholar] [CrossRef]
- Hernandez, C.; Pierre, A.C. Evolution of the Texture and Structure of SiO2-Al2O3 Xerogels and Aerogels as a Function of the Si to Al Molar Ratio. J. Sol-Gel Sci. Technol. 2001, 20, 227–243. [Google Scholar] [CrossRef]
- Orlović, A.; Janaćković, D.; Skala, D. Alumina/silica aerogel with zinc chloride alkylation catalyst: Influence of supercritical drying conditions and aerogel structure on alkylation catalytic activity. Catal. Commun. 2002, 3, 119–123. [Google Scholar] [CrossRef]
- Marinakis, K.I.; Shergold, H.L. Influence of sodium silicate addition on the adsorption of oleic acid by fluorite, calcite and barite. Int. J. Miner. Process. 1985, 14, 177–193. [Google Scholar] [CrossRef]
- Qi, G.W.; Klauber, C.; Warren, L.J. Mechanism of action of sodium silicate in the flotation of apatite from hematite. Int. J. Miner. Process. 1993, 39, 251–273. [Google Scholar] [CrossRef]
- Bai, S.; Naren, G.; Nakano, M.; Okaue, Y.; Yokoyama, T. Effect of polysilicic acid on the precipitation of calcium carbonate. Colloids Surf. A Physicochem. Eng. Asp. 2014, 445, 54–58. [Google Scholar] [CrossRef]
- Shimada, K.; Tarutani, T. The Kinetics of the Polymerization of Silicic Acid. Bull. Chem. Soc. Jpn. 1980, 53, 3488–3491. [Google Scholar] [CrossRef]
- Benezeth, P.; Palmer, D.A.; Wesolowski, D.J. The aqueous chemistry of aluminum. A new approach to high-temperature solubility measurements. Geothermics 1997, 26, 465–481. [Google Scholar] [CrossRef]
- Bi, S.; An, S.; Tang, W.; Yang, M.; Qian, H.; Wang, J. Modeling the distribution of aluminum speciation in acid soil solution equilibria with the mineral phase alunite. Environ. Geol. 2001, 41, 25–36. [Google Scholar] [CrossRef]
- Huang, C.; Stumm, W. Specific adsorption of cations on hydrous γ-Al2O3. J. Colloid Interface Sci. 1973, 43, 409–420. [Google Scholar] [CrossRef]
- Martell, A.E.; Hancock, R.D.; Smith, R.M.; Motekaitis, R.J. Coordination of Al(III) in the environment and in biological systems. Coord. Chem. Rev. 1996, 149, 311–328. [Google Scholar] [CrossRef]
- Driscoll, C.T.; Schecher, W.D. The chemistry of aluminum in the environment. Environ. Geochem. Health 1990, 12, 28–49. [Google Scholar] [CrossRef] [PubMed]
- Kawalec-Pietrenko, B.; Rybarczyk, P. Al(III) and Cu(II) simultaneous foam separation: Physicochemical problems. Chem. Pap. 2014, 68, 890–898. [Google Scholar] [CrossRef]
- Robert, E. The Hydrolysis of Cations; Wiley: Hoboken, NJ, USA, 1976; pp. 2385–2387. [Google Scholar]
- Van Benschoten, J.E.; Edzwald, J.K. Chemical aspects of coagulation using aluminum salts—I. Hydrolytic reactions of alum and polyaluminum chloride. Water Res. 1990, 24, 1519–1526. [Google Scholar] [CrossRef]
- ller, R.K. The effect of surface aluminosilicate ions on the properties of colloidal silica. J. Colloid Interface Sci. 1976, 55, 25–34. [Google Scholar]
- Ma, J. Preparation and Flocculation Mechansim of Modified Silica Sol; Nanjing Forestry University: Nanjing, China, 2004. [Google Scholar]
- Deren, K. Study on Preparation and Flocculating Mechanism of the Poly Aluminum Ferric Silicate-Sulfate Complex Flocculant; Harbin Institute of Technology: Harbin, China, 2006. [Google Scholar]
- Gao, Z.; Sun, W.; Hu, Y. New insights into the dodecylamine adsorption on scheelite and calcite: An adsorption model. Miner. Eng. 2015, 79, 54–61. [Google Scholar] [CrossRef]
- Gao, Z.; Hu, Y.; Sun, W.; Drelich, J.W. Surface-Charge Anisotropy of Scheelite Crystals. Langmuir 2016, 32, 6282–6288. [Google Scholar] [CrossRef]
- Hu, Y.; Xu, Z. Interactions of amphoteric amino phosphoric acids with calcium-containing minerals and selective flotation. Int. J. Miner. Process. 2003, 72, 87–94. [Google Scholar] [CrossRef]
















| Products | Yield/% | WO3 Grade/% | WO3 Recovery/% |
|---|---|---|---|
| Concentrate | 48.30 | 66.10 | 79.81 |
| Tailings | 51.70 | 15.62 | 20.19 |
| Feeding | 100.00 | 40.00 | 100.00 |
© 2019 by the authors. Licensee MDPI, Basel, Switzerland. This article is an open access article distributed under the terms and conditions of the Creative Commons Attribution (CC BY) license (http://creativecommons.org/licenses/by/4.0/).
Share and Cite
Wei, Z.; Hu, Y.; Han, H.; Sun, W.; Wang, R.; Sun, W.; Wang, J.; Gao, Z.; Wang, L.; Zhang, C.; et al. Selective Separation of Scheelite from Calcite by Self-Assembly of H2SiO3 Polymer Using Al3+ in Pb-BHA Flotation. Minerals 2019, 9, 43. https://doi.org/10.3390/min9010043
Wei Z, Hu Y, Han H, Sun W, Wang R, Sun W, Wang J, Gao Z, Wang L, Zhang C, et al. Selective Separation of Scheelite from Calcite by Self-Assembly of H2SiO3 Polymer Using Al3+ in Pb-BHA Flotation. Minerals. 2019; 9(1):43. https://doi.org/10.3390/min9010043
Chicago/Turabian StyleWei, Zhao, Yuehua Hu, Haisheng Han, Wei Sun, Ruolin Wang, Wenjuan Sun, Jianjun Wang, Zhiyong Gao, Li Wang, Chenyang Zhang, and et al. 2019. "Selective Separation of Scheelite from Calcite by Self-Assembly of H2SiO3 Polymer Using Al3+ in Pb-BHA Flotation" Minerals 9, no. 1: 43. https://doi.org/10.3390/min9010043
APA StyleWei, Z., Hu, Y., Han, H., Sun, W., Wang, R., Sun, W., Wang, J., Gao, Z., Wang, L., Zhang, C., Sun, L., & Liu, R. (2019). Selective Separation of Scheelite from Calcite by Self-Assembly of H2SiO3 Polymer Using Al3+ in Pb-BHA Flotation. Minerals, 9(1), 43. https://doi.org/10.3390/min9010043

