Abstract
The cemented backfill mining method has progressively become the preferred mining technique for underground metal extraction due to its advantages such as environmental friendliness, high efficiency, and economic viability. The mechanical properties of the backfill are fundamental to ensuring effective strata control and structural stability within backfilled stopes. Hydration reaction serves as the critical factor in the formation of backfill mechanical properties, while temperature influences these properties by governing the progression of the hydration process. This paper systematically reviews five fundamental hydration models (NG, CEMHYD 3D, Krstulovic-Dabic, Heat of Hydration and Thermodynamic Phase Equilibrium), critically analyzing their limitations in predicting performance under extreme geothermal and cryogenic conditions. Distinct from previous reviews, this study reveals the nonlinear mapping between dynamic temperature fields and microstructural evolution. Furthermore, it incorporates recent advancements in multi-field coupling mechanisms and AI-driven strength prediction. Ultimately, this study establishes that with the emergence of advanced modeling software and machine learning algorithms, the investigation of temperature effects on backfill is poised to move toward a more comprehensive, intelligent, and refined direction.
1. Introduction
The mining industry provides the essential material foundation for human survival and is of significant importance for the sustained and healthy development of the national economy. General Secretary Xi Jinping has repeatedly emphasized the concept that “lucid waters and lush mountains are invaluable assets,” setting higher standards for traditional mining practices. Cemented backfill mining has emerged as the preferred strategy for underground metal extraction, attributed to its inherent safety, operational efficiency, and environmental sustainability [1].
As a critical or even permanent component of underground stopes, the mechanical properties and overall stability of the backfill are vital for controlling ground pressure and maintaining the long-term stability of the underground structure during extraction [2]. To mitigate disasters induced by high-stress mining at depth (such as rockbursts, roof falls, and water inrushes) and ensure production safety, mines are often designed with high cement-to-tailings ratio and high strength requirements. The persistent high costs associated with these requirements have become a major bottleneck for the application of backfill methods in deep mines with low-grade ore or low resource value [3]. The mechanical behavior of the backfill is governed not only by its material composition (e.g., binder-to-sand ratio and solids concentration) but is also highly sensitive to thermal fluctuations, such as internal hydration heat and heat exchange with the host rock [4]. Temperature has become a key external factor in regulating the performance of backfill and overcoming cost constraints.
With the depletion of surface and shallow mineral resources, deep mining has become the future trend. Currently, over 80 mines worldwide operate at depths exceeding 1000 m, with many deep-well mines now reaching depths below 3000 m. Increased mining depth, driven by the geothermal gradient and supplemented by heat from machinery, personnel, and blasting, can significantly elevate ambient temperatures within stopes. In some deep mines, ambient and rock temperatures have already exceeded 80 °C [5,6]. The ambient temperature significantly impacts the hydration reaction rate, reaction products, and internal pore structure of the backfill material. This alters the overall structure and physical-mechanical properties of the backfill, thereby affecting the development of both early-stage and long-term strength. Consequently, it exerts a critical influence on the stability of underground mining areas. The impact of high-temperature environments on backfill performance is becoming increasingly pronounced.
Copper, molybdenum, gold, lithium, and chromite are critical and strategic mineral resources in China, and their stable supply is directly related to national economic security [7]. As a primary arena for the development of these resources, Tibet has attracted the establishment of multiple world-class mines [8]. However, Tibet is situated within the world’s most complex composite orogenic belt, characterized by high altitude, low atmospheric pressure, and extremely cold climates. These conditions pose severe challenges to traditional mineral development models. In these frigid environments, stopes endure prolonged periods of sub-zero or near-zero temperatures, which not only significantly inhibits backfill hydration but also alters its microstructural pore characteristics. Particularly under the freeze–thaw effect, the phase change pressure of pore water within the interfacial transition zone (ITZ) induces the initiation and propagation of micro-cracks, leading to the weakening of bonding performance at the contact surface between the backfill and the surrounding rock [9,10]. Investigating the evolution laws of internal damage in backfill under low and extreme cold temperatures from a micro scale, and elucidating the intrinsic mechanisms of its macroscopic mechanical degradation, holds significant scientific importance and engineering value for optimizing stope structural parameters in high-altitude cold mining areas and ensuring the overall stability of backfill mining.
In summary, the synergistic mechanism between temperature and the hydration of cementitious materials has emerged as a research hotspot in the field of backfilling. Particularly in deep mining and extreme cold environment engineering, the regulatory effect of temperature on backfill properties has garnered significant attention. Scholars domestically and internationally have conducted multi-scale research revolving around temperature-driven hydration mechanisms and the evolution of macroscopic mechanical properties of backfill. These studies provide theoretical support for the regulation, optimization, and long-term stability assessment of backfill mechanical properties under various temperature environments. However, current research predominantly focuses on isothermal conditions, creating a disconnection between laboratory constant-temperature studies and actual engineering dynamic thermal processes. This paper provides a systematic review of the research progress on the evolution mechanisms of hydration reactions and backfill mechanical properties under the influence of temperature, and proposes breakthrough directions for future research.
2. Information Gathering
To systematically and comprehensively review research progress on the hydration mechanisms and mechanical performance evolution of cemented backfill under diverse thermal environments, this study adhered to a rigorous literature retrieval and screening process.
2.1. Search Strategy and Data Sources
The literature collection of this study aims to construct a comprehensive knowledge map ranging from fundamental theories to engineering practices. To ensure both the depth and frontier of the research, the Web of Science Core Collection, Scopus, and China National Knowledge Infrastructure (CNKI) were utilized as the primary information sources. The retrieval timeframe was primarily restricted to 2010–2026. This span not only covers the digital evolution of classic theories in the field of cemented backfill but also captures the cutting-edge achievements in solving deep mining challenges through artificial intelligence and multi-field coupling technologies. Regarding keyword selection, “Cemented Backfill” and “Hydration Kinetics” served as the core terms, supplemented by advanced search terms such as “Geothermal Gradient,” “Microstructural Evolution,” and “Damage Constitutive Model.” Through Boolean logic operations, core studies directly related to thermal environment regulation performance were successfully isolated from thousands of preliminary candidates.
2.2. Literature Screening Criteria
During the literature screening phase, articles were not indiscriminately compiled; instead, a quality control system based on “multi-scale correlation” was implemented. Priority was given to publications in premier civil engineering and mining journals such as Cement and Concrete Research and Construction and Building Materials to ensure data authority. The screening process focused on verifying whether the literature demonstrated a logical closed-loop from micro-mechanisms (e.g., SEM observation of hydration product morphology, NMR analysis of pore distribution) to macro-performance (e.g., strength characteristics under uniaxial or triaxial compression testing). For studies citing the five core models (the NG model, CEMHYD 3D model, Krstulovic-Dabic model, Heat of Hydration Model and Thermodynamic Phase Equilibrium model), meticulous traceability analysis was conducted to identify their advantages and application limitations under different temperature boundary conditions. This tiered screening methodology ensures the review content maintains theoretical rigor while addressing practical engineering challenges.
2.3. Data Analysis and Literature Distribution Statistics
For the representative literature obtained, we conducted a systematic classification and synthesis. We found that the research focus has gradually shifted from the early emphasis on optimising single material ratios towards investigating synergistic effects under complex environmental conditions.
The literature also exhibits a progressive relationship: foundational studies emphasise deep mining contexts and resource development challenges in extreme high-altitude cold regions. The intermediate literature focuses on the theoretical evolution of classical hydration kinetics models and interventions in the hydration process using novel additives such as steel slag, rice husk ash, and biochar, providing a theoretical foundation for understanding the chemical origins of grout strength. The top-tier literature addresses complex responses under multi-field coupling, encompassing shear mechanical properties at the grout-rock interface, durability degradation mechanisms under salt corrosion, and intelligent strength prediction employing response surface methodology (RSM) and neural networks. For each experimental study, we verified the testing methodologies employed (e.g., uniaxial/triaxial compression, SEM, NMR, TG/DTG), ensuring a rigorous logical closure between microstructural alterations and macroscopic mechanical performance.
The distribution of references in this paper, categorised by year (See Table 1) and core research theme (See Table 2), is as follows:
Table 1.
Statistical Table of Reference Content Classification Distribution (by Publication Year).
Table 2.
Statistical Table of Reference Content Classification Distribution (by Core Theme).
3. Fundamental Models for the Hydration Kinetics of Backfill Materials
The mechanical performance and long-term structural integrity of backfill are fundamentally governed by the hydration kinetics of the constituent cementitious binders. The hydration process is influenced by multiple factors, such as the type of admixtures, cement-to-tailings ratio, and temperature, making it more complex than that of single cementitious materials. For instance, the addition of chemical admixtures directly alters the induction period to meet the requirements of long-distance pipeline transport. The cement-to-tailings ratio determines the spatial distribution of the binder and the availability of nucleation sites on tailings surfaces, which in turn affects the microstructural development. Furthermore, in deep mining operations, high ambient temperatures act as a thermal catalyst that accelerates the hydration rate, potentially leading to different strength-gain characteristics compared to surface conditions.
Accurately quantifying the laws of hydration reaction facilitates further optimization of the backfill mix proportion and the maintenance of engineering stability. Literature review reveals dozens of macro- and micro-scale fundamental models based on hydration reactions. The most representative hydration reaction models currently include the nucleation and growth model, the CEMHYD 3D model, the Krstulovic-Dabic kinetic model, the hydration heat model and the Thermodynamic Phase Equilibrium Model. These will be introduced sequentially below.
3.1. Nucleation and Growth (NG) Model
The Nucleation and Growth (NG) model is a classic kinetic model established based on the microscopic mechanisms of cement clinker mineral hydration. It characterizes the hydration process as the kinetic evolution of calcium silicate hydrate (C-S-H) phases through nucleation and subsequent crystal growth. Its core premise is that the hydration reaction rate is jointly controlled by the rate of crystal nucleus formation and the rate of crystal growth, and is influenced by product layer diffusion in the later stages. Experimental observations indicate that the formation rate of C-S-H products in the early hydration stage is the controlling factor of the hydration process, a discovery that laid the foundation for the development of this model [11,12].
In 1969, Kondo and Daimon [13] delineated the hydration of tricalcium silicate C3S into three distinct stages: nucleation, accelerated growth, and diffusion-controlled reaction. In 1970, Tenoutasse [14] first applied the Johnson-Mehl-Avrami-Kolmogorov (JMAK) equation to the analysis of C3S hydration data, establishing a formula that integrated the acceleration and deceleration periods into a continuous mechanism. In 1985, Brown et al. [15] further refined this by constructing a detailed mathematical model to explore cement hydration parameters, enabling accurate predictions of early-stage characteristics. In 2007, Thomas [16] proposed the Boundary Nucleation and Growth (BNG) model, which constrains nucleation sites to particle boundaries. This approach established calculus-based kinetic equations. The volume fraction during cement hydration is expressed in the BNG model as follows [17]:
where is the specific surface area of cement, is the water-to-cement ratio, and are the densities of water and cement, respectively, and represents the linear growth rate. corresponds to the nucleation rate per unit area of untransformed boundary, and, represents the total boundary area per unit volume. Here, denotes the time elapsed since the onset of cement hydration, serving as the independent variable that governs the temporal evolution of the hydration degree. The variable is an integration variable representing the spatial position along the growth direction, with the integration limits ranging from 0 to , which corresponds to the maximum distance that hydration products have grown from the boundary by time .
This model enables a precise fitting of the entire C3S hydration heat evolution curve, exhibiting superior applicability compared to the traditional JMAK equation. Subsequent studies have also demonstrated that certain hydration accelerators shorten the induction period by enhancing nucleation rates on particle surfaces, thereby increasing the hydration reaction rate [18]. This conclusion is consistent with the core tenets of the nucleation and growth model.
The kinetic process of cement hydration is typically regarded as a competitive process between nucleation and growth. Scrivener et al. [19] noted that the NG model exhibits significant advantages in describing the acceleration phase following the conclusion of the induction period, primarily due to the non-uniform distribution of C-S-H gel on the cement particle surface. Research indicates that the evolution of hydration kinetics is governed not only by chemical reaction rates but also by the spatial positioning of hydration products. This perspective provides crucial microkinetic foundations for understanding variations in hydration rates among fillers at different temperatures.
The Nucleation and Growth model effectively characterizes the hydration process from the perspective of microscopic mechanisms, and its conclusions have been extensively validated. However, the model assumes static reaction boundaries without considering boundary movement [20], resulting in insufficient adaptability for characterizing the hydration reaction of multi-particle materials.
3.2. CEMHYD 3D Model
CEMHYD 3D Model is a three-dimensional microstructure hydration simulation model developed by Bentz and Garboczi. Its core principle involves digitizing the three-dimensional microstructure of cement paste onto a uniform cubic lattice. By simulating processes such as cement particle dissolution, ion diffusion, and the nucleation and growth of hydration products, the model enables the visual analysis of hydration kinetics and microstructural evolution [21,22,23,24].
CEMHYD 3D Model initially employed the discrete element method to simulate the dissolution of cement particles and the accumulation of hydration products, enabling prediction of key parameters such as hydration heat and phase volume fraction. However, its description of the hydration induction period remained relatively simplified. In 1997, Bentz published research findings on the model, achieving the first-ever three-dimensional dynamic simulation of the microstructure during the hydration process of ordinary Portland cement [25]. Since 2000, the model has undergone multiple iterations and upgrades, with its functionality continuously enhanced. A specialized simulation module for the hydration induction period has been added, supporting curing conditions with isothermal, adiabatic, or user-defined temperature histories. By coupling the rate of calcium hydroxide consumption with the formation patterns of secondary hydration products, the simulation accuracy for composite cementitious systems has been improved [24]. In recent years, models have further incorporated randomly shaped cement particles reconstructed from X-ray Computed Tomography (XCT), enabling microstructural characterization that more closely approximates the actual morphology of cement. (Figure 1). Through comparison with experimental data, this model can accurately predict macro properties such as the compressive strength and elastic modulus of mortar cubes, with errors controlled within a reasonable range [26,27,28,29,30].
Figure 1.
3D Simulated microstructures (left) and 3D stress distributions (right) of cement pastes with various C2S and LP (limestone powder) contents after 90 days of hydration. Ref. [30] with permission from Construction and Building Materials.
However, this model presents certain limitations. Its core reaction rules are predominantly based on empirical fitting, lacking rigorous theoretical underpinning. Furthermore, with a fixed lattice resolution of 1 μm, it is incapable of capturing the structural evolution of C-S-H gel at the nanoscale [31].
3.3. Krstulovic-Dabic Kinetic Model
The Krstulovic-Dabic model is the most widely adopted kinetic framework for simulating the hydration of cementitious backfill across all curing ages. Its core advantage lies in transcending the traditional single-reaction assumption by delineating the hydration process into three successive stages: Nucleation and Growth (NG), Phase Boundary reaction (I), and Diffusion Control (D) [32].
This model is the classic multistep reaction model proposed by Croatian scholars Krstulovic and Dabic in 1967. By establishing differential equations between hydration degree and reaction time, it enables verification of the evolution mechanism of hydration rate in cementitious materials [33]. Subsequently, numerous scholars employed this model to investigate the effects of supplementary cementitious materials such as slag and fly ash on hydration reactions within the filling system [34,35,36,37]. Research has found that the addition of auxiliary admixtures often significantly prolongs the duration of the diffusion-controlled stage (D) of the hydration reaction (Figure 2). In 2017, Zhang et al. [38] applied this model to quantitatively analyze the influence mechanism of phosphoric slag on the hydration process at different temperatures, demonstrating its applicability in complex multi-component cementitious systems. In recent years, several scholars have utilized this model to investigate the effects of particle size and dosage of various nanomaterials on the hydration products and properties of cementitious materials, revealing their regulatory mechanisms and providing support for the development of high-performance cementitious materials [39,40,41,42].
Figure 2.
Hydration reaction rate curves of Q-blended cement paste within 72 h. Where Q5, Q10, Q15, Q20, and Q25 represent the replacement percentages (5%, 10%, 15%, 20%, and 25%) of supplementary cementitious materials (SCMs), such as slag or fly ash, in the binder system. And α represents the degree of hydration. Ref. [36] with permission from Construction and Building Materials.
Although this model is widely applied in engineering, the Krstulovic-Dabic model can effectively simulate the hydration process of certain composite cementitious materials, analyze hydration kinetic characteristics, and draw corresponding conclusions. However, this model is suitable for constant temperature conditions and has limitations in simulating dynamic temperature fields.
3.4. Heat of Hydration Model
The Heat of Hydration model is a modeling approach based on macroscopic thermodynamic characterization and empirical formula fitting. By monitoring the cumulative heat release and heat release rate of cementitious materials during hydration, it constructs mathematical equations that map the relationships between time, temperature, and various hydration parameters. This model serves as a vital tool for predicting early-age temperature field risks and the strength evolution laws of the backfill.
In 1984, Knudsen [43] introduced the seminal Dispersion Model, which describes the evolutionary trend of cumulative heat release through a hyperbolic equation:
where is the cumulative heat release at time , is the ultimate or maximum theoretical heat of hydration, is the hydration rate constant, represents the hydration age or time, and is the duration of the induction period or the time at which hydration begins.
After the 21st century, to address deviations in predicting hydration reactions under complex curing conditions, Schindler et al. [44] proposed the Modified Exponential Model in 2005. This model incorporates an activation energy parameter to comprehensively account for the synergistic effects of cementitious material chemistry, fineness, and ambient temperature on hydration heat release (see equation below). It has become one of the standard methods in engineering practice for predicting hydration heat curves of mass concrete and backfill.
where is the cumulative heat release at equivalent age , is the ultimate heat of hydration, is the hydration time parameter, and is the hydration shape parameter. corresponds to the equivalent age of the concrete, is the activation energy, is the universal gas constant (8.314 J/mol·K), is the reference temperature (typically 293.15 K), represents the current temperature of the material, and is the actual time interval.
Given the characteristics of high water-cement ratio and high fine tailings content in the backfill material, researchers further refined the heat release parameters (see equation below). Through thermochemical testing data, they achieved precise characterization of the temperature rise profile of the backfill mass within confined underground spaces [45,46].
where is the density of the backfill material, is the specific heat capacity, is the temperature, and represents time. corresponds to the thermal conductivity, is the Del (nabla) operator representing the spatial gradient, (or ) is the heat release rate per unit volume, is the ultimate heat of hydration, is the hydration time parameter, and is the hydration shape parameter.
However, this class of models predominantly relies on the fitting of thermodynamic parameters at the macroscopic level, failing to explain the intrinsic nature from a microscopic scale. Furthermore, distinguishing physical adsorption heat from chemical reaction heat in systems with ultra-high tailings content remains a significant challenge [47].
3.5. Thermodynamic Phase Equilibrium Models
The thermodynamic phase equilibrium model is a computational method based on the principle of Gibbs free energy minimization. It is primarily employed to predict the stable phase composition, pore solution chemistry, and volume changes in cementitious materials during the hydration process [48].
The theoretical framework for applying thermodynamics to cement systems was first established in the mid-twentieth century. Babushkin et al. initially compiled and published a thermodynamic dataset on hydrated cement in 1965, subsequently expanding it systematically in their seminal work Thermodynamics of Silicates. During its initial application phase, constrained by cumbersome manual calculations, this model remained largely confined to purely theoretical analysis. It primarily focused on predicting the final products of isolated chemical reactions under ideal equilibrium conditions, proving inadequate for describing the dynamic evolution processes within complex cementitious systems [49].
Since the turn of the 21st century, to address the research demands of complex composite cementitious systems, this model has undergone a revolutionary evolution from static to dynamic formulations. Researchers such as Lothenbach, Winnefeld, and Matschei developed thermodynamic databases specifically tailored for cement hydration products and logically consistent, such as the widely adopted Cemdata series [50,51]. As purely thermodynamic calculations inherently fail to capture the time-dependent kinetic characteristics of reactions, researchers have integrated these databases with geochemical modelling software such as GEM-Selektor v3.6.0 and PHREEQC v3.7.0 [52]. This coupled modelling approach successfully achieves dynamic input of dissolution rates for clinker minerals and supplementary cementitious materials (SCMs), thereby enabling continuous simulation of the evolution of products such as C-S-H gel, calcium hydroxide and calcium aluminate hydrate across different ageing stages [53].
Under variable temperature conditions, this modelling framework demonstrates exceptional predictive capability, clearly revealing how temperature fluctuations alter hydration pathways. Lothenbach et al.’s research confirms that when temperatures exceed 50 °C, the stability of cement system hydration products undergoes significant changes [54]. The simulation results accurately foresee and explain the thermodynamic driving forces behind the transformation of calcium aluminate hydroxide and calcium aluminate monocarbonate into monosulphate-type products (Figure 3).
Figure 3.
Modelled evolution of the liquid and solid phases during the hydration of sulphate-resisting Portland cement (SRPC) at w/c = 0.4 (left panel: 5 °C; right panel: 50 °C), where calculated hydrate assemblages and species concentrations in the pore solution are depicted as lines, and experimental data for pore solution concentrations, as well as measured amounts of pore solution, portlandite, ettringite (5 °C panel) and calcite, are shown as data points. All values refer to 100 g of solid to facilitate comparison with X-ray diffraction (XRD) and thermogravimetric analysis (TGA) data, meaning the mass of the solid phase increases over time due to the precipitation of hydration products, accompanied by a corresponding reduction in the amount of pore solution (ss = solid solution). Ref. [54] with permission from Cement and Concrete Research.
In the contemporary field of cemented backfilling for mining operations, this model has been extensively employed to evaluate the synergistic effects of complex environmental factors such as high geothermal temperatures and sulphate corrosion in deep mine shafts. By directly correlating the calculated volumetric changes in solid hydration phases with reductions in macroscopic porosity, it provides theoretical underpinnings for predicting strength development in backfill materials under extreme operational conditions.
Despite the maturity of thermodynamic methods, certain technical limitations persist in the field of deep mining. The model’s core assumption of “local equilibrium” sometimes struggles to capture metastable states occurring in actual reactions, and its predictive accuracy is highly dependent on the completeness of underlying thermodynamic data. Currently, data on complex ion interactions in deep or ultra-deep environments remains relatively scarce, which to some extent limits the model’s reliability under extreme coupled operating conditions.
3.6. Comparative Analysis of Hydration Models
The aforementioned five models characterize the hydration evolution process from different dimensions. However, their modeling process heavily relies on idealized assumptions such as constant curing environment humidity, discrete temperature, and slow evolution rates, failing to adequately account for the dynamic nonlinear effects of multi-field coupling factors under real complex operating conditions. Furthermore, these models retain inherent limitations when addressing complex multiphase systems and phenomena at the nanoscale.
The Nucleation and Growth (NG) model effectively characterizes the hydration process from the perspective of microscopic mechanisms, and its conclusions regarding the joint control of crystal nucleus formation and crystal growth rates have been extensively validated. However, the model assumes static reaction boundaries without considering boundary movement, resulting in insufficient adaptability for characterizing the hydration reaction of multi-particle materials common in backfill systems. In contrast, the CEMHYD3D model enables the visual analysis of hydration kinetics and microstructural evolution through a three-dimensional uniform cubic lattice. Despite its predictive accuracy for macro properties like compressive strength, its core reaction rules are predominantly based on empirical fitting rather than rigorous theoretical underpinning. Furthermore, its fixed lattice resolution of 1 μm is incapable of capturing the structural evolution of calcium silicate hydrate (C-S-H) gel at the nanoscale.
For broader engineering applications, the Krstulovic-Dabic kinetic model is widely adopted due to its ability to delineate the hydration process into three successive stages: Nucleation and Growth (NG), Phase Boundary reaction (I), and Diffusion Control (D). This model is particularly effective in analyzing the effects of supplementary cementitious materials such as slag and fly ash, which often prolong the duration of the diffusion-controlled stage. Nevertheless, its primary limitation lies in its suitability for constant temperature conditions, which hinders its performance in simulating dynamic temperature fields. Complementary to these kinetic frameworks, the Heat of Hydration model utilizes macroscopic thermodynamic characterization and empirical formula fitting to predict early-age temperature field risks. While it achieves precise characterization of temperature rise profiles in confined underground spaces, it predominantly relies on macroscopic thermodynamic parameters and fails to explain the intrinsic nature of hydration from a microscopic scale.
For the complex equilibrium problems in multiphase systems, thermodynamic phase equilibrium models provide a rigorous theoretical framework for predicting the stable phase composition and pore solution chemistry through the principle of Gibbs free energy minimisation. Unlike kinetic models focused on reaction rates, this approach defines the boundaries of hydration product evolution from a thermodynamic stability perspective. However, its limitations lie in being inherently “time-independent”, assuming the system is perpetually at or approaching chemical equilibrium. This deviates from the presence of metastable phases and kinetic hysteresis observed in actual hydration processes. Consequently, without incorporating kinetic variables such as reaction extent for coupling, the model struggles to independently describe the dynamic evolution of hydration behaviour over time.
To provide a systematic overview of these methodologies, Table 3 compares the core principles, application scales, and critical limitations of these fundamental hydration models.
Table 3.
Comparative analysis of fundamental hydration kinetic models.
Beyond temperature as an external factor, chemical admixtures play an equally crucial role in regulating the hydration induction period. Marchon and Flatt [55] elaborated on the physicochemical mechanisms whereby water-reducing agents and setting accelerators redefine hydration kinetics curves by adsorbing onto cement particle surfaces or altering pore water saturation. Comparisons of hydration models revealed that existing heat evolution models frequently overlook the synergistic interaction between admixtures and dynamic temperature fields—a boundary condition requiring correction in deep high-temperature mine backfill design.
In summary, the construction of hydration reaction models for backfill must not only draw upon classical theories of cement-based materials but also require in-depth modification specifically targeted at unique thermodynamic boundary conditions. Although progress has been made in both macroscopic and microscopic studies, a quantitative correlation model with clear physical significance between the two has not yet been constructed, making precise regulation of backfill performance difficult.
4. Current Status of Research on the Influence of Temperature on the Hydration Reaction of Backfill
Temperature, as a key regulatory factor in hydration reactions, influences not only the reaction pathway through thermodynamic conditions but also exerts multiscale effects on the evolution of the microstructure of the cementitious matrix via kinetic interactions. Current research indicates that the interaction between temperature and hydration exhibits a certain non-linear pattern, manifesting at both the molecular level and the microstructural scale [56].
4.1. Accelerating Effect of Suitable Temperature on the Hydration Reaction
The temperature sensitivity of the hydration reaction rate is fundamentally governed by the Arrhenius law, where the reaction rate constant is exponentially related to the apparent activation energy . Although the Arrhenius equation is widely applicable, the value of is not a universal constant but varies significantly across different backfill binder systems reported in the literature [57,58].
Pure cement systems typically exhibit values in the range of 30–45 kJ/mol. However, the incorporation of supplementary cementitious materials (SCMs) such as slag and fly ash significantly alters this parameter. Research indicates that slag-blended backfills generally possess higher apparent activation energy (often >50 kJ/mol) compared to pure cement systems, implying that their hydration rates are more sensitive to temperature fluctuations [59,60].
In the field of backfill research, the classification of curing temperature gradients is not based on subjective conjecture but on scientific definitions grounded in the thermodynamic characteristics of cementitious materials and the actual operating conditions of different mines. Regarding backfill curing temperatures, temperatures below 15 °C are typically regarded as low-temperature environments, commonly found in shallow mines or permafrost regions in cold zones; Temperatures between 20 °C and 40 °C are defined as moderate/optimal environments, with 20 °C being the internationally recognized standard curing temperature for fill materials. Temperatures above 35 °C effectively stimulate the reactivity of cementitious materials like slag and fly ash. Environments exceeding 45 °C are classified as high-temperature conditions, typically corresponding to deep mines with elevated ground temperatures. At these temperatures, the hydration pathway often deviates from normal conditions, potentially leading to microstructural degradation [61,62].
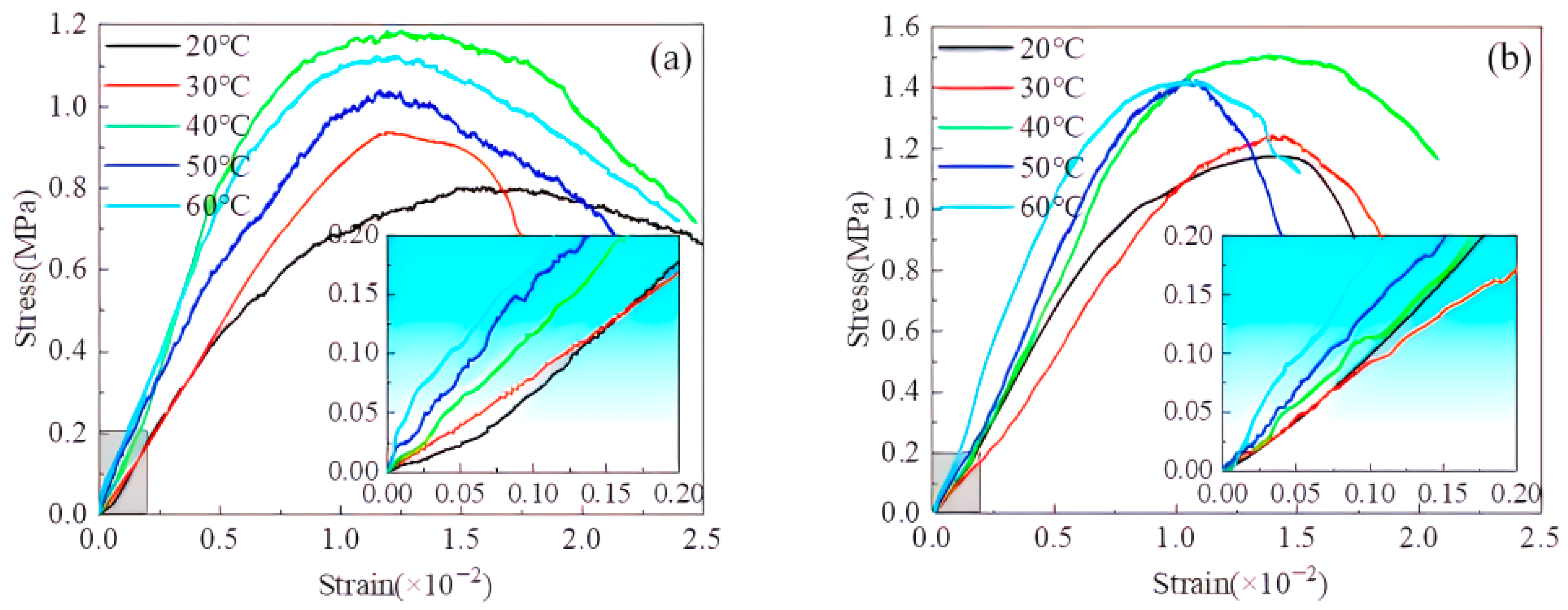
Currently, extensive experimental verification and theoretical derivations have been conducted both domestically and internationally regarding the acceleration effect of temperature on hydration reactions. Using isothermal microcalorimetry and thermogravimetric analysis, some researchers have discovered that within the 20–40 °C temperature range, elevated temperatures significantly shorten the hydration induction period, advance the exothermic peak, and increase cumulative heat release (Figure 4).
This accelerates the formation of hydration products such as C-S-H gel and calcium aluminate hydrate (AFt) [63,64,65]. Driven by this positive temperature effect, the network of acicular crystals formed between particles becomes denser (Figure 5), effectively refining the pore structure within the filler. This leads to a rapid increase in the filler’s early strength.
Figure 4.
Comparative analysis of hydration heat release curves between experimental results and simulated results for each curing temperature: (a) 20 °C; (b) 30 °C; (c) 40 °C; (d) 50 °C; (e) 60 °C. Ref. [64] with permission from Construction and Building Materials.
Figure 4.
Comparative analysis of hydration heat release curves between experimental results and simulated results for each curing temperature: (a) 20 °C; (b) 30 °C; (c) 40 °C; (d) 50 °C; (e) 60 °C. Ref. [64] with permission from Construction and Building Materials.

Figure 5.
Microstructure of CTB (cemented tailings backfill) at different curing temperatures: (a) 20 °C; (b) 40 °C; (c) 60 °C. Colors in the micrographs represent different microstructural phases: blue for pores, green for CH, and red/orange for C-S-H. Ref. [64] with permission from Construction and Building Materials.
Figure 5.
Microstructure of CTB (cemented tailings backfill) at different curing temperatures: (a) 20 °C; (b) 40 °C; (c) 60 °C. Colors in the micrographs represent different microstructural phases: blue for pores, green for CH, and red/orange for C-S-H. Ref. [64] with permission from Construction and Building Materials.

Regarding supplementary cementitious materials (SCMs) commonly employed in grouting compounds, Lothenbach et al. [66] emphasised the significant catalytic effect of temperature on the reactivity of slag and fly ash. Specifically, elevated temperatures accelerate ion dissolution and disrupt the chemical bonds within the vitreous structure. However, temperatures exceeding 45 °C trigger a “shell effect” (or crossover effect), where the accelerated precipitation of hydration products forms a dense, passivating layer on binder surfaces. This encapsulated shell impedes subsequent water ingress and ionic transport, ultimately decelerating late-stage hydration and potentially inducing strength retrogression [67,68,69,70]. Gallucci et al. [71] experimentally demonstrated that high-temperature environments induce the formation of dense yet non-uniform encapsulating layers of hydration products (such as C-S-H) around cement particles. This distribution heterogeneity impedes subsequent ion diffusion, providing a microscopic explanation for why high-temperature-cured grouts exhibit high early strength but sluggish later strength development.
4.2. Deterioration Effect of Low/Extreme Low Temperatures on Hydration Reaction
In recent years, with the development and advancement of microstructural research techniques, some scholars have experimentally explored the effects of low-temperature and extreme low-temperature environments on the hydration reaction of backfill from a microstructural perspective. Research indicates that under low-temperature conditions ranging from 5 °C to 15 °C, the hydration reaction rate significantly slows down, and hydration products predominantly distribute in isolated states (Figure 6). The rate of strength gain in the backfill also noticeably decreases [72,73,74].
Figure 6.
Diagram of pore structure evolution of UHPCC (ultra-high performance cementitious composites) at different curing temperatures. The blue arrow indicates the low-temperature inducing condition, and black arrows represent the sequential evolution process from particle packing, cement hydration to pore structure formation. The yellow boxed micro-region magnifies the local distribution of cement particles (dark blue), mineral additives (purple) and the water film on their surfaces—this core micro-interface state directly triggers the hydration inhibition effect (manifested as reduced Ca(OH)2 content in T5/T10 samples) discussed in the text. Symbol definitions: Sand (brown circles), cement particle (dark blue circles), mineral additives (purple circles), pores (red hollow circles), C-S-H gel (pink wavy lines), original C-S-H sheet (black solid lines), newly formed C-S-H sheet (red solid lines). Ref. [74] with permission from Construction and Building Materials.
When environmental conditions extend to extreme sub-zero temperatures below 0 °C or even permafrost, the regulatory mechanism of temperature on hydration reactions evolves into complex coupled interactions. Experimental observations by some scholars reveal that hydration degree significantly decreases during curing below −5 °C (Figure 7), accompanied by increased microstructural defects and higher porosity [75,76,77,78]. In studies focusing on permafrost regions, Wang et al. [79] further confirmed through the establishment of a thermo-chemical coupling model that extreme low temperatures forcibly prolong the hydration process, resulting in the backfill remaining in a low strength cemented state for a long duration. Moreover, this damage to the microstructure is irreversible.
Figure 7.
Relationship between (a) pore volume/(b) compressive strength and the value of 1 − (C2S + C3S) and CH content under different curing conditions. Blue spheres represent the test data points. The purple dashed ellipse highlights the data cluster corresponding to the standard curing condition. Ref. [76] with permission from Elsevier.
Numerical simulation methods, as an economical and convenient research tool, have become the most frequently and widely used approach in backfill studies in recent years. Based on maturity theory and chemical kinetics models, researchers have employed software such as CEMHYD3D v3.0 and FLAC3D v9.5 to quantitatively analyze the dynamic evolution of product volume fraction and porosity under varying temperature fields. Nasir et al. [62] found that moderate heating optimizes the stress field distribution within cementitious materials, compensating for initial structural defects by enhancing the degree of hydration [80,81]. Recent studies have demonstrated that the dynamic superposition effect between ambient temperature and hydration heat release is the primary driver of performance evolution in large-volume backfill bodies. Static temperature experiments alone struggle to fully replicate the true pathways of hydration reactions occurring in complex underground environments [82,83].
In summary, extensive research on temperature-controlled hydration of cementitious materials has yielded significant results both domestically and internationally, clarifying the mechanisms by which temperature variations influence hydration reaction rates, products, and macroscopic strength. However, existing studies predominantly focus on qualitative comparisons under constant temperature gradients, failing to fully elucidate the mapping relationship between the non-steady-state temperature field within the backfill and the hydration reaction. Therefore, achieving a synergistic simulation of the non-steady-state temperature field and the hydration reaction to fundamentally explain the performance evolution mechanism of backfill within complex confined spaces remains an urgent research direction requiring in-depth breakthroughs in this field.
5. Current Status of Research on the Influence of Temperature on the Evolution Laws of Mechanical Properties of Backfill
5.1. Influence of Temperature on the Strength Performance of Backfill
Temperature, as a significant factor influencing the rate of hydration reactions within backfill, plays a decisive role in determining the content of hydration products, the bonding strength between aggregate particles, and the porosity of the backfill during curing. The mechanical properties of backfill exhibit marked differences under varying curing temperatures. Research on temperature’s influence on backfill strength characteristics has now established a mature framework spanning from macro to micro scales and from experimental to theoretical approaches. The following sections will elaborate on this framework through three dimensions: macro-scale mechanical testing (uniaxial/triaxial compression tests), micro-scale characterization analysis (SEM, XRD, NMR, etc.), and numerical fitting with constitutive model development.
5.1.1. Macroscopic Mechanical Experimental Research
Experimental studies in macro-mechanics represent the most direct experimental method for evaluating the strength properties of backfill. Extensive literature research indicates that temperature regulation of filling strength exhibits distinct “interval effects” and “nonlinear aging” characteristics. The “peak strength temperature” is highly dependent on the specific chemical composition of the binder.
Hao et al. [84] conducted uniaxial compression tests on steel slag-cement bonded backfill (SS-CPB) after multi-temperature gradient curing at 20 °C, 40 °C, 60 °C, and 80 °C. Results showed that peak strength and elastic modulus exhibited a pattern of initial increase followed by decrease with rising temperature, reaching maximum values at 60 °C (Figure 8). Beyond this temperature, strength declined significantly.
Figure 8.
Mechanical performance of SS-CPB under static loading. (a) Stress–strain curve at different curing temperatures.(b) Ratios of σc/σp (blue bars) and εc/εp (orange bars). (c) Elastic modulus (blue bars, left y-axis) and brittleness index (pink bars, right y-axis). (d) Peak strength [84].
Zhang et al. [85] further quantified the relationship between temperature and the mechanical properties of backfill through uniaxial compression tests. They proposed that the uniaxial compressive strength (UCS) and elastic modulus of backfill can be accurately characterized by a polynomial function in relation to curing temperature. The mechanical parameters peak at 40 °C (Figure 9), and beyond this temperature, strength exhibits a decreasing trend due to reduced hydration. Gao et al. [86] conducted uniaxial compression tests on waste rock-tailings cemented backfill after curing at different temperatures. They found that the compressive strength and flexural strength of the backfill were optimal at 30 °C, while both strength and durability decreased at higher temperatures.
Figure 9.
Stress–strain curves at different curing temperatures: (a) 3 d; (b) 7 d. Ref. [85] with permission from Elsevier.
Regarding backfills with special components, Xu et al. [87] conducted uniaxial compression tests on CPB containing flocculants and found that the compressive strength of the fillers increased linearly as the curing temperature rose from 2 °C to 50 °C. Gu et al. [88] observed in their study of alkali-activated slag backfill that early strength development was slow at 5 °C. However, when the temperature rose to 20 °C, the activation effect of calcium salts significantly increased, improving early strength performance.
Beyond uniaxial compression conditions, Liu et al. [89] experimentally demonstrated that elevated temperatures accelerate cement hydration. Under the synergistic effects of multiaxial stress and temperature, the unconfined compressive strength (UCS) of the backfill significantly increased. Xu et al. [90] found that the shear strength at the fiber-reinforced rock-CPB interface exhibits temperature sensitivity. At 25 °C, the peak shear strength at the interface increased by 45% compared to that at 10 °C. Elevated temperatures promote the bonding between fibers and the matrix/rock interface, thereby enhancing the shear resistance of the interface. Triaxial compression tests conducted by Liu et al. [91] demonstrated that the peak strength of coal gangue-fly ash cemented backfill cured at 35 °C increased by 36% compared to that at 20 °C under identical conditions. Elevated temperatures effectively enhanced the strength properties of the backfill under complex stress environments.
5.1.2. Micro-Scale Characterization and Mechanistic Analysis
Macroscopic mechanical experiments merely describe the external influence of temperature on the strength of the backfill from a macroscopic perspective, whereas microstructural characterization analysis can fundamentally explain the changes in macroscopic strength. Microstructural characterization encompasses techniques such as SEM, XRD, and NMR. In recent years, numerous scholars have analyzed temperature’s effect on backfill strength from a microstructural perspective. Research consistently indicates that temperature influences macroscopic backfill strength by regulating the formation of hydration products and pore structure.
Zhang et al. [92] utilized SEM-EDS testing to analyze the microstructure at the rock-CPB interface, discovering that high-temperature curing promotes cement hydration, generates more hydration products, reduces porosity in the interfacial transition zone, and significantly enhances interfacial bond strength. Zhang et al. [85] analyzed pore structure via low-field NMR experiments, finding that the 40 °C curing condition yielded the lowest porosity and most optimal pore size distribution in the backfill. Furthermore, their team’s real-time monitoring of hydration heat revealed that the backfill’s hydration process could be divided into five distinct stages (Figure 10). Increased temperature caused the completion time for each stage to decrease exponentially, while the peak hydration heat release increased. These parameters showed significant correlation with uniaxial compressive strength.
Figure 10.
Analysis of different periods in the hydration process of CPB: (a) hydration time at different periods; (b) cumulative heat release at different periods. Ref. [85] with permission from Elsevier.
Fall et al. [93] further confirmed through monitoring the pattern of hydration heat release that elevated temperatures accelerate cement dissolution and ion diffusion, promoting hydration reactions. This results in faster early-stage hydration heat release in the backfill, enabling rapid strength development. However, excessively high temperatures may lead to incomplete hydration reactions, thereby affecting long-term strength. Xu et al. [94] observed via SEM that at 60 °C curing, fibers dispersed more uniformly, effectively bridging microcracks and inhibiting crack propagation. Ding et al. [95] used NMR testing to reveal that cemented tailings fillers cured at 30 °C exhibited a higher proportion of small pores, superior pore structure, and stronger energy absorption capacity. Conversely, curing at 15 °C increased the proportion of large pores, leading to reduced strength and stability.
For backfill materials subjected to ultra-high-temperature treatment, Zhan et al. [96] observed via TG/DTG and MIP testing that hydration products began decomposing beyond 100 °C. At 200 °C, severe dehydration of C-S-H gel occurred, significantly exacerbating damage (Figure 11) and causing a substantial decline in macroscopic strength.
Figure 11.
SEM image analysis of backfill bodies after high temperature action. Ref. [96] with permission from Engineering Fracture Mechanics.
5.1.3. Numerical Modeling and Constitutive Law Development
Transforming temperature-induced macroscopic mechanical responses into quantitative mathematical representations is pivotal for advancing the study of backfill strength from descriptive analysis to engineering applications. Current digital research on the strength properties of backfills under thermal influence primarily relies on empirical formula statistics and the derivation of constitutive models through fitting.
Some scholars have established regression equations linking various factors to backfill strength through multiple regression analysis, or employed response surface methodology to develop response surface regression models quantifying the effects of curing temperature and mix proportions on backfill strength [97,98,99,100,101].
Li et al. [102] established a regression model linking slurry slump to strength based on response surface methodology, clarifying the significant influence of interactions between mass concentration, cement-sand ratio, and coarse aggregate content on strength. Song et al. [103] utilized the RSM-BBD module to reveal the strength influence patterns of the interaction between slag powder content, concentration, and paste-to-aggregate ratio at different ages. Wang et al. [104] constructed a high-precision nonlinear multiple model, discovering that strength at all ages was most sensitive to the interaction between desulfurization gypsum and fly ash mass fractions. Li et al. [105] clarified the significant influence of sand-to-cement ratio and slag powder proportion based on strength models, and enhanced prediction accuracy by incorporating residual connection LSTM.
Some scholars have conducted experimental studies on the influence of temperature on the damage and failure characteristics of backfill, yielding meaningful research outcomes. These include investigations into the variation patterns and mechanisms of shear strength at the bond interface under different temperatures, studies on the propagation patterns and forms of cracks in backfill at varying temperatures, and the development of temperature-based strength prediction models and damage constitutive models [106,107,108]. Regarding strength prediction, Chao et al. [109] found that native rice husk ash exhibits optimal mechanical properties at a 20% dosage, with strength increasing in three stages over time. Deqing G et al. [110] optimized the mix design of soda ash residue-modified fill using response surface methodology and established a high-precision strength prediction model based on dimensional analysis.
In numerical simulation, Xijun Z et al. [111] used a damage constitutive model (Figure 12) to reveal the influence of contact surface moisture content and roughness on shear strength. Wang et al. [112] employed PFC 3D to quantify the relationship between micro-parameters and macro-mechanical properties, establishing an efficient chemo-mechanical coupling prediction framework.
Figure 12.
The morphology characteristics of the failed PFCM&C contact surfaces with different roughness. (a) The physical photos and (b) reconstructed images. [111].
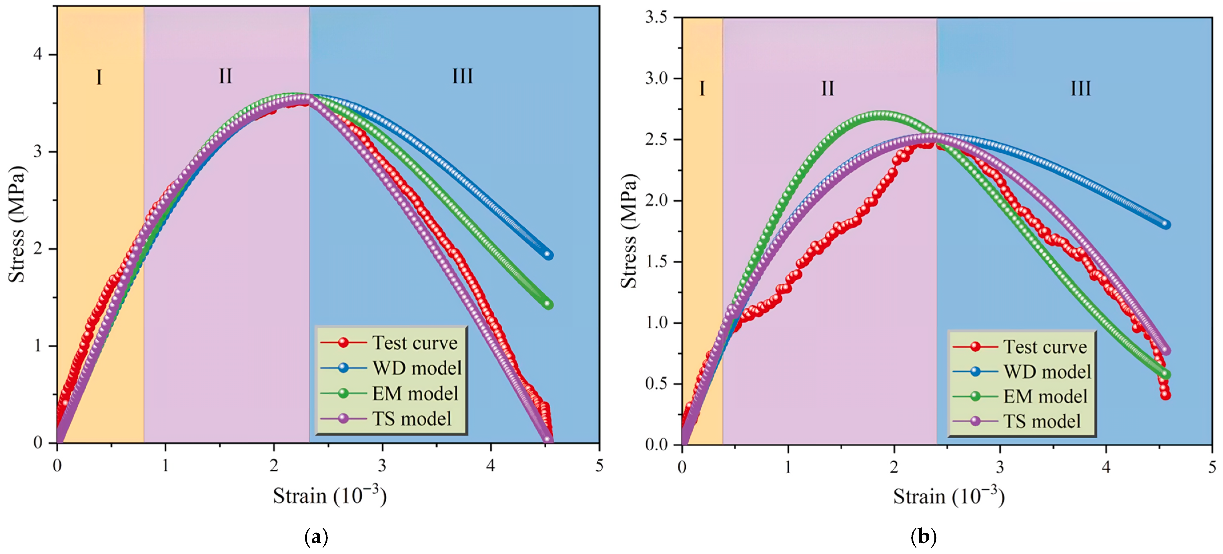
Regarding damage evolution, Yin et al. [113] proposed a three-stage damage model that accurately captured the progressive degradation of tailings-waste rock backfill under impact loading, with model predictions closely matching field experimental data (Figure 13). Jie W et al. [114] investigated rock encapsulation effects, clarifying the contribution mechanism of confinement layer thickness to strength enhancement and synergistic damage in backfill.
Figure 13.
Applicability verification of damage constitutive model. (a) c/s =1:6; strain rate = 30.25−1; (b) c/s =1:8; strain rate = 32.27−1. Region I represents the linear elastic stage, Region II represents the plastic yield stage, and Region III represents the post-peak failure stage. Ref. [113] with permission from Construction and Building Materials.
In summary, the temperature-driven evolution of backfill strength is a nonlinear process involving material proportions, hydration levels, and changes in micro-pore structure. Temperature exhibits a “first-increase-then-decrease” interval effect on backfill strength performance, which is also material-dependent. The peak strength temperatures differ across various cementitious systems. Beyond critical temperatures, thermal cracking and incomplete hydration reactions lead to significant strength degradation. Although partial strength prediction models and damage constitutive models have been established using multiple regression and response surface methods, and some researchers have verified the physical triggers of microstructural cracking in backfill through micro-macro experiments, the variability of strength indicators remains constrained by complex temperature variations under different operating conditions and the “shell effect.” Developing accurate constitutive models for dynamic strength evolution tailored to the actual ground temperature characteristics of different mines is essential for ensuring the stability of deep mining areas.
5.2. Influence of Temperature on Durability Performance of Backfill
The long-term stability of backfill under complex mining conditions is influenced by multiple factors, including curing temperature, age, and material composition. Its durability exhibits distinct zone dependency and time-dependent characteristics. Long-term monitoring by some researchers indicates that early-stage curing at appropriate temperatures helps optimize pore structure, laying a solid foundation for durability. However, prolonged exposure to temperatures exceeding 50 °C accelerates microcrack propagation due to accumulated internal stresses and thermal instability of hydration products, ultimately inducing systematic deterioration of durability [115,116]. Conversely, in cold regions or extreme low-temperature environments, the severe lag in hydration reactions causes periodic expansion damage to the microstructure of the fill material, leading to irreversible deterioration in its durability [117,118,119].
In addition to regulating durability by influencing hydration reactions, temperature also affects the erosion resistance of backfill by accelerating the migration and reaction rates of corrosive ions. Studies involving chloride, sulfate, or heavy metal ion leaching have revealed that elevated temperatures accelerate the migration and reaction of corrosive ions, significantly shortening the corrosion resistance lifespan of the backfill. Long-term volume expansion of ionic products generates internal stresses that cause pore wall cracking and backfill spalling (Figure 14), ultimately leading to a substantial reduction in durability [120].
Figure 14.
Schematic diagram of salt attack model: (a) Cl−; (b) SO42−. Ref. [120] with permission from Construction and Building Materials.
To counteract this degradation mechanism, researchers employed material-based control methods—such as introducing nano-SiO2, silica fume, or calcium salt activators—to reconfigure diffusion pathways. This effectively slowed the permeation rate of harmful ions, achieving compensatory enhancement of durability [121,122]. Baddredine, H E [123] demonstrated through X-ray micromicroscopic tomography that the penetration depth of water and ions within cementitious materials is highly dependent on the physical connectivity of the pore structure. They proposed that post-treatment with materials such as nano-silica can effectively modify the wettability and transport properties of hardened paste, thereby significantly inhibiting the penetration rate of harmful media such as chloride ions.
In the field of carbonation resistance research, temperature exerts a more complex dual regulatory effect on the carbonation resistance durability of backfill. Moderate temperature increases accelerate the kinetics of carbonation reactions, promoting rapid deposition of calcium carbonate crystals within early-stage micro-pores. This enhances structural density and carbonation resistance. However, excessively high temperatures or severe temperature cycling fluctuations often lead to uneven distribution of carbonation products, triggering internal micro-cracks that conversely diminish carbonation resistance durability [124,125].
In summary, the durability of the filling material exhibits pronounced time-dependent characteristics under the combined effects of temperature, aging, and environmental media. Given the irreversible nature of durability degradation in the filling material, future research should focus more on reconstructing microdiffusion pathways to enhance and ensure the long-term performance of the filling material in extreme geothermal or cryogenic environments.
6. Development Trends
Currently, although phased progress has been achieved in research concerning the hydration reaction and mechanical performance of backfill under temperature effects, studies on dynamic temperature fields remain relatively scarce, and quantitative research linking the microscopic to macroscopic levels is also deficient. Notably, as highlighted by recent research trends, a significant number of studies have begun to leverage artificial intelligence for performance prediction, signaling a paradigm shift in the field. Therefore, it is suggested that future research should expand in the following directions:
- (1)
- Research on Dynamic Temperature Fields
Current research on the effects of temperature on hydration reactions or backfill mechanical performance is predominantly based on constant temperature (isothermal) conditions. Moreover, experimental settings are confined to laboratories, lacking simulations of the variable temperature processes found in actual engineering practice. Consequently, it is impossible to accurately predict the long-term performance evolution of backfill in deep mines. Therefore, it is necessary to combine engineering reality with experiments based on variable temperature environments to explore the influence of dynamic temperature fields on the mechanical performance of backfill.
- (2)
- Quantitative Correlation between Microscopic and Macroscopic Levels
Although progress has been made in both macroscopic and microscopic aspects, there is a prevalent disconnection between existing macroscopic and microscopic studies. A quantitative correlation model with clear physical significance has not yet been constructed between the two, making it difficult to achieve precise regulation of backfill performance. Therefore, it is essential to establish such correlation models to elucidate the intrinsic links and formulate specific mathematical expressions.
- (3)
- Long-term Database for Extreme Environments
Current research generally focuses on the temperature range of 10 °C to 50 °C. Studies targeting extreme environments, such as severe cold or high temperature and high humidity, are mostly short-term experiments. There is a lack of data on the long-term performance evolution of backfill, which fails to support long-cycle stability assessments. Therefore, it is necessary to establish a long-term database for extreme regions to provide data support for the full-temperature-cycle performance evolution of backfill.
- (4)
- Multi-field Coupling Evolution Mechanism
Currently, research on backfill performance mostly concentrates on the unidirectional or bidirectional effects of temperature and mechanical performance. However, the environment of most engineering mines is extremely complex, often accompanied by interweaving factors such as high ground stress and high chemical corrosion. Existing studies have a shallow understanding of the degradation mechanism of backfill performance under multi-field coupling. Therefore, future efforts should construct multi-field coupling evolution models to deeply analyze the laws governing the impact of synergistic factors on backfill stability, thereby more realistically replicating complex mining conditions.
- (5)
- AI-Based Prediction and Intelligent Optimization
Recent advancements in research indicate a notable shift from traditional empirical models to data-driven artificial intelligence (AI) approaches. Numerous studies have demonstrated that AI and Machine Learning (ML) algorithms, including Random Forest (RF), Support Vector Machines (SVMs), and various Deep Learning architectures, are capable of processing multi-dimensional variables (e.g., curing temperature, binder type, and hydration degree) with a level of precision that surpasses classical regression models. In light of this progress, AI-based prediction is increasingly regarded as a dominant paradigm for assessing the long-term strength and stability of backfill. While AI-driven methodologies offer significant advantages in handling complex, high-dimensional data, physical modeling and fundamental materials science will continue to play a vital role, offering the mechanistic understanding required to interpret and validate data-driven predictions. Future research should focus not only on further developing these high-performance predictive models, but also on integrating them with optimization algorithms to enable autonomous, real-time mix design in complex mining environments.
7. Conclusions
- (1)
- The theoretical framework for temperature-regulated hydration relies on five mainstream models. While the NG, CEMHYD 3D, Krstulovic-Dabic, and Heat of Hydration models effectively cover micro-to-macro kinetics, and the Thermodynamic Phase Equilibrium model addresses dynamic phase changes, all currently exhibit limitations in fully capturing nanoscale phenomena and dynamic, non-steady-state temperature fields.
- (2)
- Backfill hydration exhibits an optimal temperature interval (typically 20 °C to 40 °C), within which the induction period is shortened and early strength develops rapidly. However, extreme environments cause severe deterioration: temperatures below −5 °C induce significant hydration lag and microstructural porosity, while temperatures exceeding 45 °C trigger a “shell effect” that encapsulates binder particles, inhibiting long-term hydration.
- (3)
- Temperature exerts a non-linear “increase-then-decrease” interval effect on mechanical performance. The peak strength threshold is highly material-dependent; for example, slag-blended systems often require higher activation energies (>50 kJ/mol) and peak at different temperatures compared to pure cement systems. Beyond critical temperatures (e.g., >100 °C to 200 °C), severe dehydration of C-S-H gel leads to structural thermal cracking and significant strength degradation.
- (4)
- Backfill durability exhibits significant time-dependent degradation under multi-field coupling (e.g., thermal stress combined with sulfate/chloride erosion). To ensure long-term stability in extreme environments, future research must transition from isothermal, trial-and-error experiments to dynamic temperature field simulations. The integration of Artificial Intelligence (AI) and Machine Learning algorithms to explore the intricate, non-linear relationships between micro-mechanisms and macro-performance is expected to become an increasingly dominant approach in the development of intelligent backfill design.
Author Contributions
Conceptualization, Y.T. and W.S.; literature search and selection, J.L. and Z.Z.; data curation, J.L.; writing—original draft preparation, J.L.; writing—review and editing, Y.T. and W.S.; supervision, Y.T.; project administration, Y.T. All authors have read and agreed to the published version of the manuscript.
Funding
This work was funded by the National Natural Science Foundation of China (52274110).
Data Availability Statement
The data are contained within the article.
Acknowledgments
The authors thank the journal editors and anonymous reviewers for their constructive comments.
Conflicts of Interest
The authors declare no conflict of interest.
References
- Xie, H.; Gao, F.; Ju, Y.; Gao, M.; Zhang, R.; Gao, Y.; Liu, J.; Xie, L. Quantitative Delineation and Analysis of Deep Mining. Chin. J. Coal Sci. Eng. 2015, 40, 1–10. [Google Scholar] [CrossRef]
- He, M.; Guo, P. Thermodynamic effects of deep rock mass and temperature control measures. Chin. J. Rock Mech. Eng. 2013, 32, 2377–2393. [Google Scholar]
- Li, K. Study on Mechanical and Acoustic Emission Characteristics of Cemented Tailings Backfill Under Uniaxial Compression Under the Influence of Temperature. Master’s Thesis, Wuhan University of Science and Technology, Wuhan, China, 2019. [Google Scholar]
- Xie, H.; Ju, Y.; Gao, F.; Gao, M.; Zhang, R. Groundbreaking theoretical and technical conceptualization of fluidized mining of deep underground solid mineral resources. Tunn. Undergr. Space Technol. Inc. Trenchless Technol. Res. 2017, 67, 68–70. [Google Scholar] [CrossRef]
- Xie, H.; Gao, F.; Ju, Y.; Zhang, R.; Gao, M.; Deng, J. Several Disruptive Technology Concepts and Research Directions in the Field of Deep Earth Science. Eng. Sci. Technol. 2017, 49, 1–8. [Google Scholar] [CrossRef]
- Yang, D.; Yang, T. Thermal Environment in Mines and Its Control. Doctoral Thesis, Metallurgical Industry Press, Beijing, China, 2009. [Google Scholar]
- Wu, Q.; Zhou, N.; Cheng, J. Review and prospect of supply security of strategic critical mineral resources. Resour. Sci. 2020, 42, 1439–1451. [Google Scholar] [CrossRef]
- Zheng, Y.; Ci, Q.; Gao, S.; Wu, S.; Jiang, X.; Chen, X. Polymetallic mineralisation series and exploration prospects for silver-tin-copper deposits in the western segment of Mount Kailash, Tibet. Front. Earth Sci. 2021, 28, 379–402. [Google Scholar] [CrossRef]
- Xie, R.; Qiao, P. Study on performance degradation of interfacial transition zone of concrete with low degradation aggregate under freeze-thaw cycles. Concrete 2022, 1–6. [Google Scholar] [CrossRef]
- Li, G.; Tang, L.; Jin, L.; Cui, Y.; Xi, J. Study on Strength Degradation Characteristics of Soil-Rock Mixtures under Freeze-Thaw Cycling. J. Henan Univ. Sci. Technol. (Nat. Sci. Ed.) 2022, 43, 67–75+7–8. [Google Scholar] [CrossRef]
- Garrault-Gauffinet, S.; Nonat, A. Experimental investigation of calcium silicate hydrate (C–S–H) nucleation. J. Cryst. Growth 1999, 200, 565–574. [Google Scholar] [CrossRef]
- Garrault, S.; Nonat, A. Hydrated Layer Formation on Tricalcium and Dicalcium Silicate Surfaces: Experimental Study and Numerical Simulations. Langmuir ACS J. Surf. Colloids 2001, 17, 8131–8138. [Google Scholar] [CrossRef]
- Kondo, R.; Daimon, M. Early hydration of tricalcium silicate: A solid reaction with induction and acceleration periods. J. Am. Ceram. Soc. 1969, 52, 503–508. [Google Scholar] [CrossRef]
- McCurdy, K.G.; Erno, B.P. The kinetics of hydration of tricalcium silicate. Silic. Ind. 1970, 35, 301–307. [Google Scholar] [CrossRef]
- Brown, P.W.; Pommersheim, J.M.; Frohnsdorff, G. A kinetic model for the hydration of tricalcium silicate. Cem. Concr. Res. 1985, 15, 35–41. [Google Scholar] [CrossRef]
- Thomas, J.J. A New Approach to Modeling the Nucleation and Growth Kinetics of Tricalcium Silicate Hydration. J. Am. Ceram. Soc. 2007, 90, 3282–3288. [Google Scholar] [CrossRef]
- Ji, Y.; Zhang, X.; Pel, L.; Sun, Z. NMR investigations on Cl− and Na+ ion binding during the early hydration process of C3S, C3A and cement paste: A combined modelling and experimental study. Compos. Part B 2024, 283, 111624. [Google Scholar] [CrossRef]
- Thomas, J.J.; Allen, A.J.; Jennings, H.M. Hydration kinetics and microstructure development of normal and CaCl2-accelerated tricalcium silicate (C3S) pastes. J. Phys. Chem. C 2009, 113, 19836–19844. [Google Scholar] [CrossRef]
- Scrivener, L.K.; Juilland, P.; Monteiro, J.P. Advances in understanding hydration of Portland cement. Cem. Concr. Res. 2015, 78, 38–56. [Google Scholar] [CrossRef]
- Cahn, J.W. The kinetics of grain boundary nucleated reactions. Acta Metall. 1956, 4, 449–459. [Google Scholar] [CrossRef]
- van Breugel, K. Numerical simulation of hydration and microstructural development in hardening cement paste (I): Theory. Cem. Concr. Res. 1995, 25, 319–331. [Google Scholar] [CrossRef]
- Bentz, D.P.; Garboczi, E.J. A digitized simulation model for microstructural development. Ceram. Trans. 1991, 16, 211–226. [Google Scholar]
- Garboczi, E.J.; Bentz, D.P. Computer simulation of the diffusivity of cement-based materials. J. Mater. Sci. 1992, 27, 2083–2092. [Google Scholar] [CrossRef]
- Bentz, D.P. CEMHYD3D: A Three-Dimensional Cement Hydration and Microstructure Development Modeling Package, Version 3.0[R]; NISTIR 7232; U.S. Department of Commerce: Washington, DC, USA, 2005. [CrossRef]
- Bentz, D.P. Three-dimensional computer simulation of cement hydration and microstructure development. J. Am. Ceram. Soc. 1997, 80, 3–21. [Google Scholar] [CrossRef]
- Bullard, J.W.; Garboczi, E.J. A model investigation of the influence of particle shape on Portland cement hydration. Cem. Concr. Res. 2006, 36, 1007–1015. [Google Scholar] [CrossRef]
- Garboczi, E.; Bullard, J. Shape analysis of a reference cement. Cem. Concr. Res. 2004, 34, 1933–1937. [Google Scholar] [CrossRef]
- Bentz, D.P. Quantitative comparison of real and CEMHYD3D simulated cement paste microstructures. Cem. Concr. Res. 2004, 34, 3–7. [Google Scholar] [CrossRef]
- Haecker, C.-J.; Garboczi, E.J.; Bullard, J.W.; Bohn, R.B.; Sun, Z.; Shah, S.P.; Voigt, T. Modeling the linear elastic properties of Portland cement paste. Cem. Concr. Res. 2005, 35, 1948–1960. [Google Scholar] [CrossRef]
- Nguyen, V.T.; Phan, T.D.; Noh, H.W.; Lee, S.Y.; Kim, D.J. Effects of high-volume limestone powder substitution on hydration and mechanical–microstructural development of low-carbon cement pastes: Simulation and experiment. Constr. Build. Mater. 2025, 471, 140710. [Google Scholar] [CrossRef]
- Garboczi, E.; Bentz, D. The effect of statistical fluctuation, finite size error, and digital resolution on the phase percolation and transport properties of the NIST cement hydration model. Cem. Concr. Res. 2001, 31, 1501–1514. [Google Scholar] [CrossRef]
- Krstulović, R.; Dabić, P. A conceptual model of the cement hydration process. Cem. Concr. Res. 2000, 30, 693–698. [Google Scholar] [CrossRef]
- Dabiĉ, P.; Krstuloviĉ, R.; Rušiĉ, D. A new approach in mathematical modelling of cement hydration development. Cem. Concr. Res. 2000, 30, 1017–1021. [Google Scholar] [CrossRef]
- Liu, L.; Yang, P.; Qi, C.; Zhang, B.; Guo, L.; Song, K.-I. An experimental study on the early-age hydration kinetics of cemented paste backfill. Constr. Build. Mater. 2019, 212, 283–294. [Google Scholar] [CrossRef]
- Long, Z.; Long, G.; Tang, Z.; Shangguan, M.; Wang, J.; Yi, M.; Zhang, Y.; Peng, L.; Wang, L. Analysis of hydration kinetics in high early-strength cementitious system with calcium sulphoaluminate cement and CSH seeds. Constr. Build. Mater. 2024, 448, 138222. [Google Scholar] [CrossRef]
- Chen, Z.; Luo, J.; Wei, J.; Liu, J.; Tang, J. Quantitative analysis of hydration kinetics and compressive strength model of cement-based materials blended with Sugarcane Bagasse Ash. Constr. Build. Mater. 2025, 489, 142334. [Google Scholar] [CrossRef]
- Wang, Y.; Xia, J.; Yang, H.; Zhou, Y.; Song, K.; Tan, S.; Chen, Y. Sulfate-regulated hydration mechanism and kinetics of backfill materials based on coal gangue and high-salinity concentrated mine water. Process Saf. Environ. Prot. 2025, 201, 107559. [Google Scholar] [CrossRef]
- Zhang, Z.; Wang, Q.; Yang, J. Hydration mechanisms of composite binders containing phosphorus slag at different temperatures. Constr. Build. Mater. 2017, 147, 720–732. [Google Scholar] [CrossRef]
- Yu, R.; Spiesz, P.; Brouwers, H. Effect of nano-silica on the hydration and microstructure development of Ultra-High Performance Concrete (UHPC) with a low binder amount. Constr. Build. Mater. 2014, 65, 140–150. [Google Scholar] [CrossRef]
- Liu, Y.; Guo, H.; Zhang, Z.; Zhu, Y. Hydration mechanism and photocatalytic antibacterial performance of cement-based composites modified by hydrophilic nano-TiO2 particles. Constr. Build. Mater. 2024, 419, 135538. [Google Scholar] [CrossRef]
- Zou, Q.; Liu, Y.; Li, Q.; Hu, Y.; Yan, F.; Chen, Z. Effect of particle size and dosage on hydration kinetics of nano-alumina-modified cement. Constr. Build. Mater. 2025, 494, 143283. [Google Scholar] [CrossRef]
- Meng, S.; Shi, Z.; Ouyang, X. Comparison of the effects of carbon-based and inorganic nanomaterials on early cement hydration. Constr. Build. Mater. 2024, 421, 135705. [Google Scholar] [CrossRef]
- Knudsen, T. The dispersion model for hydration of portland cement I. General concepts. Cem. Concr. Res. 1984, 14, 622–630. [Google Scholar] [CrossRef]
- Schindler, K.A.; Folliard, J.K. Heat of Hydration Models for Cementitious Materials. Mater. J. 2005, 102, 24. [Google Scholar] [CrossRef]
- Nasir, O.; Fall, M. Modeling the heat development in hydrating CPB structures. Comput. Geotech. 2009, 36, 1207–1218. [Google Scholar] [CrossRef]
- Snelson, G.D.; Wild, S.; O’Farrell, M. Heat of hydration of Portland Cement–Metakaolin–Fly ash (PC–MK–PFA) blends. Cem. Concr. Res. 2008, 38, 832–840. [Google Scholar] [CrossRef]
- Scrivener, K.; Ouzia, A.; Juilland, P.; Kunhi Mohamed, A. Advances in understanding cement hydration mechanisms. Cem. Concr. Res. 2019, 124, 105823. [Google Scholar] [CrossRef]
- Lothenbach, B. Thermodynamic equilibrium calculations in cementitious systems. Mater. Struct. 2010, 43, 1413–1433. [Google Scholar] [CrossRef]
- Babushkin, V.I.; Matveyev, G.M.; Mchedlov-Petrossyan, O.P. Thermodynamics of Silicates; Springer: Berlin/Heidelberg, Germany, 1985. [Google Scholar] [CrossRef]
- Matschei, T.; Lothenbach, B.; Glasser, P.F. Thermodynamic properties of Portland cement hydrates in the system CaO–Al2O3–SiO2–CaSO4–CaCO3–H2O. Cem. Concr. Res. 2007, 37, 1379–1410. [Google Scholar] [CrossRef]
- Lothenbach, B.; Winnefeld, F. Thermodynamic modelling of the hydration of Portland cement. Cem. Concr. Res. 2005, 36, 209–226. [Google Scholar] [CrossRef]
- Kulik, D.A.; Winnefeld, F.; Kulik, A.; Miron, G.D.; Lothenbach, B. CemGEMS—An easy-to-use web application for thermodynamic modeling of cementitious materials. RILEM Tech. Lett. 2021, 6, 36–52. [Google Scholar] [CrossRef]
- Davies, R.H.; Gisby, J.A.; Dinsdale, A.; Tyrer, M.; Walker, C.S.; Glasser, F.P. Thermodynamic modelling of phase equilibria in cement systems: Multiple sublattice model for solids in equilibrium with non-ideal aqueous phase. Adv. Appl. Ceram. 2014, 113, 509–516. [Google Scholar] [CrossRef]
- Lothenbach, B.; Matschei, T.; Möschner, G.; Glasser, F.P. Thermodynamic modelling of the effect of temperature on the hydration and porosity of Portland cement. Cem. Concr. Res. 2008, 38, 1–18. [Google Scholar] [CrossRef]
- Marchon, D.; Flatt, R.J. Mechanisms of cement hydration. In Science and Technology of Concrete Admixtures; Elsevier: Amsterdam, The Netherlands, 2016; pp. 129–145. [Google Scholar] [CrossRef]
- Emmanuel, A.C.; Krishnan, S.; Bishnoi, S. Influence of curing temperature on hydration and microstructural development of ordinary Portland cement. Constr. Build. Mater. 2022, 329, 127070. [Google Scholar] [CrossRef]
- Riding, K.A.; Poole, J.L.; Folliard, K.J.; Juenger, M.C.G.; Schindler, A.K. New Model for Estimating Apparent Activation Energy of Cementitious Systems. ACI Mater. J. 2011, 108, 550C–557C. [Google Scholar] [CrossRef]
- Wu, D.; Fall, M.; Cai, S. Coupling temperature, cement hydration and rheological behaviour of fresh cemented paste backfill. Miner. Eng. 2013, 42, 76–87. [Google Scholar] [CrossRef]
- Barnett, S.J.; Soutsos, M.N.; Millard, S.G.; Bungey, J.H. Strength development of mortars containing ground granulated blast-furnace slag: Effect of curing temperature and determination of apparent activation energies. Cem. Concr. Res. 2005, 36, 434–440. [Google Scholar] [CrossRef]
- Xiong, X.; van Breugel, K. Isothermal Calorimetry Study of Blended Cements and its Application in Numerical Simulations. Heron 2001, 46, 150–159. [Google Scholar]
- Wei, X.; Li, D.; Ming, F.; Yang, C.; Chen, L.; Liu, Y. Influence of low-temperature curing on the mechanical strength, hydration process, and microstructure of alkali-activated fly ash and ground granulated blast furnace slag mortar. Constr. Build. Mater. 2021, 269, 121811. [Google Scholar] [CrossRef]
- Nasir, O.; Fall, M. Coupling binder hydration, temperature and compressive strength development of underground cemented paste backfill at early ages. Tunn. Undergr. Space Technol. Inc. Trenchless Technol. Res. 2009, 25, 9–20. [Google Scholar] [CrossRef]
- Safari, A.; Tennant, C.; Gholampour, A.; Palmer, J.; Taheri, A. Effect of Mixing Water Temperature on the Thermal and Microstructural Evolution of Cemented Paste Backfill in Underground Mining. Minerals 2025, 15, 887. [Google Scholar] [CrossRef]
- Zhang, C.; Guo, J.; Song, W.; Taheri, A.; Wang, X.; Xia, W. Simulation of hydration reactions and microstructural characteristics of cemented tailings backfill under temperature effects. Constr. Build. Mater. 2025, 470, 140573. [Google Scholar] [CrossRef]
- Ouyang, S.; Huang, Y.; Zhou, N.; Li, J.; Gao, H.; Guo, Y. Microcalorimetric testing and analysis of hydration exothermic characteristics of fly ash paste filling materials. J. Coal Sci. Eng. 2015, 40, 2801–2806. [Google Scholar] [CrossRef]
- Lothenbach, B.; Scrivener, K.; Hooton, R. Supplementary cementitious materials. Cem. Concr. Res. 2011, 41, 1244–1256. [Google Scholar] [CrossRef]
- Zhang, C.; Song, W.; Guo, J.; Taheri, A.; Wang, Y.; Wang, X. Hydration behavior, microstructural characteristics, and kinetic analysis of cemented tailings backfill under temperature effect. Case Stud. Constr. Mater. 2025, 23, e05081. [Google Scholar] [CrossRef]
- Fall, M.; Samb, S. Effect of high temperature on strength and microstructural properties of cemented paste backfill. Fire Saf. J. 2008, 44, 642–651. [Google Scholar] [CrossRef]
- Bahafid, S.; Ghabezloo, S.; Faure, P.; Duc, M.; Sulem, J. Effect of the hydration temperature on the pore structure of cement paste: Experimental investigation and micromechanical modelling. Cem. Concr. Res. 2018, 111, 1–14. [Google Scholar] [CrossRef]
- Zou, C.; Long, G.; Zeng, X.; Ma, K.; Xie, Y. Hydration and multiscale pore structure characterization of steam-cured cement paste investigated by X-ray CT. Constr. Build. Mater. 2021, 282, 122629. [Google Scholar] [CrossRef]
- Gallucci, E.; Zhang, X.; Scrivener, K. Effect of temperature on the microstructure of calcium silicate hydrate (C-S-H). Cem. Concr. Res. 2013, 53, 185–195. [Google Scholar] [CrossRef]
- Li, L.; Feng, T.; Li, Y.; Zhang, Y.; Sun, W.; Liu, Z. Evaluating the effect of high fly ash content and low curing temperature on early hydration heat of blended cement based on isothermal calorimetric method. Constr. Build. Mater. 2024, 430, 136110. [Google Scholar] [CrossRef]
- Li, L.; Sun, W.; Feng, Z.; Li, Y.; Feng, T.; Liu, Z. Hydration kinetics and apparent activation energy of cement pastes containing high silica fume content at lower curing temperature. Constr. Build. Mater. 2024, 435, 136881. [Google Scholar] [CrossRef]
- Han, F.; Wang, J.; Ji, X.; Chen, S.; Liu, J.; Wu, M.; Liu, J. Insights into the hydration kinetics and microstructural evolution of ultra-high performance cementitious composite at mid-to-low curing temperatures. Constr. Build. Mater. 2025, 468, 140403. [Google Scholar] [CrossRef]
- Li, H.; Jiang, S.; Chen, X.; Ge, Y.; Dong, S. Hydration investigation of negative temperature concrete at early age based on low-field nuclear magnetic resonance. Cold Reg. Sci. Technol. 2022, 194, 103449. [Google Scholar] [CrossRef]
- Zhang, J.; Lu, X.; Xiong, B.; Tian, B.; Li, H. Multi-scale investigation of low/negative-temperature curing on the early macro-micro properties and hydration of single, binary, and ternary supplementary cementitious materials (SCMs)-modified Portland cement. Constr. Build. Mater. 2026, 506, 144851. [Google Scholar] [CrossRef]
- Hui, Y.X.; Fang, Y.F.; Tong, Y.; Shang, X.P.; Ding, X.Q. Effect of C—A—S—H—PCE Nanocomposites on Early Hydration and Performance of Portland Cement at Low Temperatures. J. Mater. Civ. Eng. 2025, 37, 04025149. [Google Scholar] [CrossRef]
- Feng, Y.; Wang, Z.; Dong, E.; Fan, D.; Yu, R. Impact of freezing conditions on the characteristics of ultra-low water binder ratio cementitious composites (ULCC): Towards to hydration mechanism and molecular migration model. Constr. Build. Mater. 2024, 435, 136878. [Google Scholar] [CrossRef]
- Wang, X.; Li, Z.; Sun, B.; Wang, Z.; Gao, Y.; Han, D.; Zhang, Y. Coupling mechanisms between cement hydration and permafrost during well construction in the Arctic region. Geoenergy Sci. Eng. 2023, 222, 211429. [Google Scholar] [CrossRef]
- Cui, L.; Fall, M. An evolutive elasto-plastic model for cemented paste backfill. Comput. Geotech. 2016, 71, 19–29. [Google Scholar] [CrossRef]
- Zhang, C.; Guo, J.; Song, W.; Tan, Y.; Taheri, A.; Wang, X. Stability analysis and strength optimization of cemented tailings backfill in high-temperature mining. Green Smart Min. Eng. 2025, 2, 84–95. [Google Scholar] [CrossRef]
- Qi, C.; Chen, Q.; Fourie, A.; Tang, X.; Zhang, Q.; Dong, X.; Feng, Y. Constitutive modelling of cemented paste backfill: A data-mining approach. Constr. Build. Mater. 2019, 197, 262–270. [Google Scholar] [CrossRef]
- Cui, L.; Fall, M. Multiphysics Model for Consolidation Behavior of Cemented Paste Backfill. Int. J. Geomech. 2016, 17, 04016077. [Google Scholar] [CrossRef]
- Hao, J.; Zhou, Z.; Chen, Z.; Zhao, Z.; Shen, Y. Mechanical performance and damage mechanisms of steel slag-cement pasted backfill under high-temperature cured and cyclic static loading for deep-mining applications. J. Mater. Res. Technol. 2025, 35, 5698–5716. [Google Scholar] [CrossRef]
- Zhang, C.; Song, W.; Taheri, A.; Fu, J.; Zhao, T.; Tan, Y. Hydration mechanism and mechanical-thermal correlation of cemented paste backfill under different curing temperatures. J. Build. Eng. 2024, 85, 108691. [Google Scholar] [CrossRef]
- Gao, R.; Wang, W.; Xiong, X.; Li, J.; Xu, C. Effect of curing temperature on the mechanical properties and pore structure of cemented backfill materials with waste rock-tailings. Constr. Build. Mater. 2023, 409, 133850. [Google Scholar] [CrossRef]
- Xu, W.; Chen, W.; Tian, M.; Guo, L. Effect of temperature on time-dependent rheological and compressive strength of fresh cemented paste backfill containing flocculants. Constr. Build. Mater. 2020, 267, 121038. [Google Scholar] [CrossRef]
- Gu, X.; Jiang, H.; Ren, L.; Cui, L.; Fu, Y.; Wang, Z. Improving early-age performance of alkali-activated slag paste backfill with calcium salts at low temperature. Constr. Build. Mater. 2024, 411, 134608. [Google Scholar] [CrossRef]
- Liu, H.B.; Fall, M. Mechanical response and pore pressure evolution of cemented paste backfill under deep mine-like multiaxial stress and temperature conditions. Int. J. Min. Sci. Technol. 2025, 36, 457–474. [Google Scholar] [CrossRef]
- Xu, X.; An, N.; Fang, K. Experimental investigation into the temperature effect on the shear behavior of the fiber-reinforced interface between rock and cemented paste backfill. Constr. Build. Mater. 2022, 356, 129280. [Google Scholar] [CrossRef]
- Liu, W.; Hu, Z.; Liu, C.; Huang, X.; Hou, J. Mechanical properties under triaxial compression of coal gangue-fly ash cemented backfill after cured at different temperatures. Constr. Build. Mater. 2024, 411, 134268. [Google Scholar] [CrossRef]
- Zhang, C.; Wang, J.; Song, W.; Fu, J. The bonding mechanism of rock and cement paste backfill interface under high temperature curing. Powder Technol. 2025, 453, 120680. [Google Scholar] [CrossRef]
- Fall, M.; Célestin, J.C.; Pokharel, M.; Touré, M. A contribution to understanding the effects of curing temperature on the mechanical properties of mine cemented tailings backfill. Eng. Geol. 2010, 114, 397–413. [Google Scholar] [CrossRef]
- Xu, W.; Li, Q.; Zhang, Y. Influence of temperature on compressive strength, microstructure properties and failure pattern of fiber-reinforced cemented tailings backfill. Constr. Build. Mater. 2019, 222, 776–785. [Google Scholar] [CrossRef]
- Ding, P.; Yan, S.; Chang, L.; Li, Z.; Guo, Q.; Xu, L.; Akdag, S.; Zhou, C. Temperature-dependent mechanical properties and energy evolution of cemented tailings backfill: A triaxial testing and damage modeling study. Powder Technol. 2026, 470, 122027. [Google Scholar] [CrossRef]
- Zhan, R.; Zhang, B.; Liu, L.; Sun, W.; Huan, C.; Ji, H.; Zhang, J. Strength and damage constitutive model of backfill body after high temperature treatment. Eng. Fract. Mech. 2025, 314, 110686. [Google Scholar] [CrossRef]
- Yan, B.; Zhu, W.; Hou, C.; Yu, Y.; Guan, K. Effects of coupled sulphate and temperature on internal strain and strength evolution of cemented paste backfill at early age. Constr. Build. Mater. 2020, 230, 116937. [Google Scholar] [CrossRef]
- Xiong, R. Effect of High Temperature on Strength and Deformation Characteristics of Grout Filling. Min. Technol. 2015, 15, 18–21. [Google Scholar] [CrossRef]
- Wang, X.M.; Hu, Y.B.; Wang, S.; Liu, J.X.; Chen, Y.; Bian, J.W. Orthogonal experimental study on mix proportion optimization of ultrafine full tailings backfill. Gold Sci. Technol. 2015, 23, 45–49. [Google Scholar] [CrossRef]
- Han, B.; Liu, C.; Sun, W.; Yao, S.; Wu, J.X. Optimization of waste rock crushed cemented backfill mix proportion and its application in cold climate conditions. J. Cent. South Univ. (Sci. Technol.) 2015, 46, 4195–4203. [Google Scholar] [CrossRef]
- Liu, C.; Han, B.; Sun, W.; Wu, J.X.; Yao, S.; Hu, H.Y. Experimental Study and Industrial Application of Strength Characteristics of Waste Rock Crushed and Grouted Filling in High-Altitude Cold Regions. J. Rock Mech. Eng. 2015, 34, 139–147. [Google Scholar] [CrossRef]
- Li, C.Q.; Zhu, X.; Lai, W.; Peng, L.; Wang, Y.L.; Li, W.B. Research on the Transport Properties of Grout Filling Slurry with Coarse Aggregate Addition and Strength Optimisation of the Filled Body. Min. Res. Dev. 2025, 45, 109–117. [Google Scholar] [CrossRef]
- Song, X.; Zhang, H. Application of RSM-BBD in Optimising the Mix Proportion of Slag-Based Tailings Grouting Materials. Min. Res. Dev. 2025, 45, 59–67. [Google Scholar] [CrossRef]
- Wang, L.Y.; Li, X.W.; Chen, W.; Yin, S.H. Strength Evolution Patterns and Mix Design Optimisation of Coal-Based Filling Cementitious Materials Based on RSM. J. Eng. Sci. 2026, 48, 461–476. [Google Scholar] [CrossRef]
- Li, Z.X.; Xu, Z.Y.; Chai, Q.P.; Yan, D.Y.; Wang, X.S. Analysis and prediction of backfill strength based on response surface methodology. Sci. Technol. Eng. 2024, 24, 13748–13755. [Google Scholar] [CrossRef]
- Wang, Y.; Wu, A.X.; Wang, H.J.; Wang, Y.M.; Cui, L.; Jin, F.; Zhou, B.; Shen, J.H. Damage constitutive model for full-tail cemented paste under initial temperature conditions. J. Eng. Sci. 2017, 39, 31–38. [Google Scholar] [CrossRef]
- Chen, S. Study on Mechanical Properties and Response Mechanism of Paste Backfill Under Pressure-Temperature Effects. Ph.D. Thesis, University of Science and Technology Beijing, Beijing, China, 2020. [Google Scholar]
- Li, P.; Zhao, G.; Zhang, L. Experimental Study on Bond Shear Properties between Freeze-Thaw Damaged Concrete and Fresh Concrete. J. Build. Struct. 2004, 111–117. [Google Scholar] [CrossRef]
- Liu, C.; Zhang, W.; Liu, H.; Lin, X.; Zhang, R.F. A compressive strength prediction model based on the hydration reaction of cement paste by rice husk ash. Constr. Build. Mater. 2022, 340, 127841. [Google Scholar] [CrossRef]
- Gan, D.Q.; Sun, H.K.; Xue, Z.L.; Liu, Z.Y.; Yang, X. Damage evolution and strength prediction model of soda residue modified cemented tailings backfill under uniaxial compression. Constr. Build. Mater. 2023, 408, 133709. [Google Scholar] [CrossRef]
- Zhang, X.J.; Du, M.R.; Fang, H.Y.; Li, B.; Zhao, P.; Zhai, K.J.; Yao, X.P.; Du, X.M.; Shi, M.S.; Ma, D. Study on the shear strength and damage constitutive model of the contact surface between PVA fiber-enhanced cement mortar and concrete. Constr. Build. Mater. 2023, 400, 132571. [Google Scholar] [CrossRef]
- Wang, Y.; Cao, C.; Wang, D.F.; Jiao, J.; Wu, A.X. Research on PFC3D meso-parameters prediction model and strength simulation of backfill based on hemical-mechanical coupling. Sci. Rep. 2025, 15, 43376. [Google Scholar] [CrossRef] [PubMed]
- Yin, S.H.; Zeng, J.L.; Yan, Z.P.; Wang, L.M.; Chen, W.; Chen, D.P.; Yang, J. Damage constitutive models and damage evolution of cemented tailings and waste-rock backfill under impact loading. Constr. Build. Mater. 2025, 460, 139838. [Google Scholar] [CrossRef]
- Wang, J.; Fu, J.X.; Song, W.D.; Zhang, Y.F. Mechanical properties, damage evolution, and constitutive model of rock-encased backfill under uniaxial compression. Constr. Build. Mater. 2021, 285, 122898. [Google Scholar] [CrossRef]
- Fall, M.; Pokharel, M. Coupled effects of sulphate and temperature on the strength development of cemented tailings backfills: Portland cement-paste backfill. Cem. Concr. Compos. 2010, 32, 819–828. [Google Scholar] [CrossRef]
- Abdul-Hussain, N.; Fall, M. Unsaturated hydraulic properties of cemented tailings backfill that contains sodium silicate. Eng. Geol. 2011, 123, 288–301. [Google Scholar] [CrossRef]
- Zeng, H.Y.; Jin, M.; Li, W.W.; Gao, C.; Ma, Y.F.; Guan, Q.F.; Li, B.Y.; Liu, J.P. Assessing the durability performance of high belite cement incorporating fly ash under long-term temperature variations. Cem. Concr. Compos. 2024, 152, 105643. [Google Scholar] [CrossRef]
- Sun, W.; Wu, D.; Liu, H.; Qu, C. Thermal, mechanical and ultrasonic properties of cemented tailings backfill subjected to microwave radiation. Constr. Build. Mater. 2021, 313, 125535. [Google Scholar] [CrossRef]
- Zhu, J.T.; Snoeck, D.; Gu, L.L.; Zheng, H.; Jiang, S.; Chen, B.; Li, D.S. Metakaolin-driven optimization of magnesium phosphate cement: Mechanical properties, durability, and microstructural evolution under aggressive environments. Constr. Build. Mater. 2025, 497, 143893. [Google Scholar] [CrossRef]
- Cai, C.; Li, F.H.; Fan, S.X.; Yan, D.H.; Sun, Q.; Jin, H.S.; Shao, J.H.; Chen, Z.; Liu, M.H. Investigation on deterioration mechanism of geopolymer cemented coal Gangue-Fly ash backfill under combined action of high temperature and salt corrosion environment. Constr. Build. Mater. 2023, 398, 132518. [Google Scholar] [CrossRef]
- Yang, L.; Zhao, X.; Cai, S.N.; Hua, M.Q.; Liu, J.J.; Liu, H.; Wu, J.Y.; Pang, L.M.; Gui, X.Y. Enhancing the Chloride Adsorption and Durability of Sulfate-Resistant Cement-Based Materials by Controlling the Calcination Temperature of CaFeAl-LDO. Materials 2025, 18, 4884. [Google Scholar] [CrossRef]
- Wang, C.; Zhang, P.; Guo, J.J.; Wang, J.; Zhang, T.H. Durability and microstructure of cementitious composites under the complex environment: Synergistic effects of nano-SiO2 and polyvinyl alcohol fiber. Constr. Build. Mater. 2023, 400, 132621. [Google Scholar] [CrossRef]
- El Haddaji, B.; Keita, E.; Fabien, A.; Aimedieu, P.; Sebaibi, N.; Collet, P.; Andres, V.; Porcheron, T.; Van Damme, H.; Audibert-Hayet, A.; et al. Nanosilica-based post-treatment of hardened cement-based materials: The underlying physics. Cem. Concr. Res. 2023, 171, 107211. [Google Scholar] [CrossRef]
- Mangi, H.N.; Ma, L.Q.; Sajib, M.H.; Yan, D.T.; Ahmad, Q.A.; Ngo, I.; Yang, X.H. CO2 carbonation process of cemented paste backfill material using polycarboxylate ether (PCE) and MgCl2. Results Eng. 2025, 28, 107742. [Google Scholar] [CrossRef]
- Guan, Q.F.; Ma, Y.F.; Jin, M.; Zeng, H.Y.; Gao, C.; Tang, J.H.; Liu, J.Z.; Han, F.Y.; Li, W.W.; Liu, J.P. Carbonation curing of belite-rich cement: The role of fly ash and strengthening mechanism. Cem. Concr. Compos. 2024, 149, 105530. [Google Scholar] [CrossRef]
Disclaimer/Publisher’s Note: The statements, opinions and data contained in all publications are solely those of the individual author(s) and contributor(s) and not of MDPI and/or the editor(s). MDPI and/or the editor(s) disclaim responsibility for any injury to people or property resulting from any ideas, methods, instructions or products referred to in the content. |
© 2026 by the authors. Licensee MDPI, Basel, Switzerland. This article is an open access article distributed under the terms and conditions of the Creative Commons Attribution (CC BY) license.











