Abstract
Cemented tailings backfill (CTB), composed of tailings, binder, and water, is widely used for filling underground goaves in mining operations. Unmanaged tailings can occupy extensive land and pose significant environmental risks. Microwave technology offers a promising approach to enhance the utilization of tailings, reducing dependency on natural resources. However, limited research on microwave heating parameters has impeded its broader adoption. This study uses the orthogonal experimental method to study the influence of various factors on the strength of the CTB and to determine the impact capacity of each factor. Additionally, this study conducted a visual analysis of the microwave heating time (MHT), microwave delay time (MDT), cement-tailings ratio, slurry concentration and microwave power (MP) to verify the experimental results. The results show that microwave heating can enhance or diminish the mechanical properties of CTB samples at different curing ages, depending on the specific microwave parameter settings. Research indicates that microwave technology can be effectively applied to mine backfill materials to improve their early strength and the modulus of elasticity.
1. Introduction
The mining industry plays an invaluable role in promoting the national economy. However, while providing raw materials, it inevitably generates a large amount of solid waste, with tailings accounting for 29% of industrial solid waste [1,2]. Enhancing the early strength and elasticity modulus of CTB not only significantly improves the efficiency and safety of mine backfilling but also promotes the resource utilization of tailings, reducing environmental impact.
Existing studies have investigated ways to enhance the early strength of the CTB or cemented paste backfill (CPB). These studies found that factors such as water-to-cement ratio adjustment, curing temperature and humidity control, active binders, and the addition of fibrous materials significantly affect the uniaxial compressive strength (UCS). For example, Hou et al. [3] used steel slag and straw fibers to prepare backfill materials to improve the mechanical properties of the filling body. The adhesion between straw fibers and the mortar matrix is the key factor in enhancing the integration of the backfill, while steel slag improves the mechanical properties by enhancing the distribution of void structures within the backfill. Their results showed that the yield stress increases with the mass concentration, steel slag content, and straw fiber content. He et al. [4] used lithium slag (LS) and fly ash (FA) as binders for the CTB. Their results indicated that LS and FA significantly affect the strength of the binder. The optimal ratio of the binder is OPC (Portland cement)-LS-FA at 2:1:1, which yields the highest UCS. This is because fly ash has good pozzolanic activity, which reacts with cement to form denser hydration products, thereby enhancing the early strength. Chen et al. [5] found that under high-temperature curing conditions, the early strength of cement mortar with sulfur-containing tailings is higher, but the late strength gradually decreases with increasing curing temperature. This is due to the early strength development of the mortar mainly depending on the rate of hydration reactions, while the late strength changes are primarily influenced by the changes in the internal pore structure of the CTB. Existing studies indicate that adding different types and proportions of additives can improve the early strength of the CTB to a certain extent [6,7,8]. Although some progress has been made in the aforementioned fields, challenges remain, such as the diversity and complexity of material selection and the varying characteristics of tailings from different mines. These methods usually require longer curing times and have limited effects.
In recent years, microwave heating technology has been widely applied in materials science and engineering due to its efficiency, speed, and energy-saving characteristics. Therefore, introducing microwave heating technology into the treatment process of the CTB has significant research implications and application prospects [9,10,11,12]. Currently, research on the application of microwave heat treatment in the CTB is still in its early stages, and this just encourages the authors to commence the present study. Existing studies have mainly focused on the effects of microwave heat treatment on the performance of concrete and other construction materials, as well as aggregate recovery. For example, Wei et al. [13] studied the microwave heating and aggregate recovery of dry and saturated concrete, investigating the impact of moisture content on the heating results. Their findings provide a new method for enhancing aggregate recovery efficiency in microwave-assisted concrete by increasing moisture content. Tang et al. [11] studied the formation process of porosity, physical and mechanical properties, pore characteristics, and hydration products to clarify the mechanism of microwave pre-curing on carbide slag-fly ash autoclaved aerated concrete (CS-FA AAC). The findings demonstrate that the innovative microwave pre-curing technology significantly accelerates slurry foaming and thickening, thereby reducing the pre-curing time and enhancing the stability of CS-FA AAC green bodies. Wang et al. [14] used microwave heating technology to cure cement-fly ash (CFA) slurry. Their results showed that microwave curing significantly increased the early strength of CFA paste and maintained its compressive strength for up to 28 days. The pore structure of the hardened paste after 28 days of microwave curing was superior to that of thermal curing. Zhou et al. [15] combined microwave curing with secondary water curing for C30 concrete. Their results indicated that while microwave curing can enhance the early hydration degree of cement, it may reduce the later hydration degree. Secondary water curing can enhance the later hydration degrees, and microwave curing is suitable for both ordinary and reinforced concrete. Ding et al. [9] investigated the effects of microwave heating time and power on the mechanical properties of CTB and explored the improvement of CTB’s mechanical properties. However, the impact of microwave delay time on CTB has been overlooked, even though delay time is also a critical parameter. Compared to traditional external heating methods, microwave heating offers advantages such as rapid temperature increase, uniform heating, and high energy efficiency. Therefore, studying the effects of microwave heat treatment on the performance of CTB can not only shorten curing time but also enhance early strength, providing a new method for mine tailings’ treatment [16,17,18].
However, CTB differs significantly from concrete in aggregate properties, mix proportions, and operational conditions, making the findings from the aforementioned studies unsuitable for direct application to CTB materials. Currently, research on utilizing microwave technology in the curing process of CTB remains in its early stages, motivating the author to pursue this study. This study aims to investigate the effects of various microwave parameters on the changes in the UCS and elastic modulus of CTB and explore how microwave heat treatment can enhance the early strength of CTB, and refine appropriate microwave heating parameters. The structure of this study is as follows: Firstly, the orthogonal experimental design (OED) is presented in detail, including the materials used, the preparation of CTB specimens, and the testing procedures. This study employs an OED method to identify five factors influencing the mechanical performance of CTB, namely microwave power (MP), microwave heating time (MHT), microwave delay time (MDT), slurry concentration, and cement-tailings ratio and investigates the effects of these factors on the mechanical properties of CTB. Second, the results are analyzed, and the impact of microwave heating on CTB’s mechanical performance is discussed. Finally, conclusions are drawn, and suggestions for future research are proposed. The advantage of orthogonal experimental design (OED) lies in its ability to analyze multiple factors and their interactions simultaneously [19]. By integrating OED with microwave heating processes, this study not only offers a novel approach to enhancing the early strength of cemented tailings backfill using microwaves but also broadens the application scope of orthogonal design in mining engineering. The OED is widely recognized and applied due to its efficiency and systematic approach [20]. The OED allows for the acquisition of substantial information with fewer experimental trials through scientifically designed schemes, thus enhancing experimental efficiency and effectiveness [21,22,23].
In summary, this study explores the innovative approach of accelerating slurry hydration through microwave heating, offering significant practical and theoretical value in addressing mine backfilling and tailings management issues. The innovation of this study lies in its first systematic exploration of the application of microwave heat treatment technology in the CTB, revealing the mechanisms by which microwave heating affects the internal structure and performance of the CTB. Through systematic experimental research and theoretical analysis, this study aims to provide a new approach and method for mine tailings’ treatment, further promoting the development of the CTB technology, enhancing the efficiency and effectiveness of mine tailings’ treatment, and advancing the green and sustainable development of mining engineering.
2. Experimental Program
2.1. Materials
The CTB samples were prepared by mixing tailings, cement, and water. The tailings were sourced from the Bainiuchang mine of Mengzi Mining and Metallurgy Co., Ltd. (Mengzi, Yunnan, China), with P.C. 42.5 Portland cement used as the binder and tap water as the mixing water. The chemical element content in the tailings and cement was analyzed using an X-ray fluorescence spectrometer. Table 1 shows the chemical composition of tailings and cement used. The particle size distribution of tailings significantly influences mine backfilling, as it is related not only to the dewatering process but also to the cementation performance and binder consumption of the cemented backfill. Key parameters include the median particle diameter and the coefficient of particle uniformity. The particle size distribution of tailings was measured using a Malvern MS3000 laser diffraction particle size analyzer. The particle size distribution of the tailings is shown in Figure 1, and it can be seen from Figure 1 that the tailings belong to the medium- and coarse-grained tailings.
Table 1.
Chemical composition of the materials.
Figure 1.
Particle size distribution of tailings.
The chemical composition of mine tailings reflects their mineralogical makeup and potential applications. The concentration and forms of each element significantly influence the physicochemical properties, environmental impact, and resource recovery potential of the tailings [24]. The tailings used in the experiment contain high concentrations of Si (18.81%) and O (41.3%) elements, with a significant amount of Ca (11.48%) as well, which indicates the presence of minerals such as quartz and feldspar in the tailings, determining their physical stability. High-silicon-content tailings are suitable for the construction industry, such as for use as concrete aggregate or in glass manufacturing. High calcium content suggests that the tailings may possess excellent cementing properties, making them suitable for cement or construction material production. It may also enhance the alkalinity of tailings, aiding in the neutralization of acidic environments [25].
2.2. Preparation of CTB Specimens
A mining concrete pump (HBMG30/21-110S) was used to mix the components of the CTB according to the experimental design ratios, ensuring a uniform composite material. The prepared CTB mixture was then cast into molds (7.07 cm × 7.07 cm × 7.07 cm) to form cubic specimens. The CTB samples were divided into two groups: one served as the control group, while the other was subjected to microwave heating after the slurry was poured into the molds, following the experimental design. The microwave heating device used in this experiment, an Intelligent Microwave Rock Breaker (WLK-A9), features adjustable output power with a maximum power of 3000 W. The heating conditions and microwave power settings are specified in Table 2. The specimens were then cured under controlled temperature conditions of 20 ± 1 °C and a humidity level of 95%. The curing equipment used is regularly calibrated, with calibration results documented to ensure its precision and accuracy. The samples were cured for 3 and 7 days using a standard constant temperature and humidity curing chamber (SHBY-60B). The preparation of the CTB samples includes four parts: slurry mixing, mold casting, microwave heating, and sample curing. The complete process is shown in Figure 2.
Table 2.
Orthogonal experimental factor level table.
Figure 2.
Experimental specimen preparation process.
2.3. Orthogonal Experimental Design
This study identified five factors influencing the UCS of the CTB: microwave power (MP), microwave heating time (MHT), microwave delay time (MDT), slurry concentration, and cement-tailings ratio. To investigate the influence patterns of these factors on the UCS of the CTB samples, each factor was designed with four levels. The levels of each factor are shown in Table 2.
Using the UCS of the CTB at 3 and 7 days of curing as evaluation indicators, a 5-factor, 4-level orthogonal experiment was conducted. A total of 16 experimental groups were conducted, along with a blank control group. The experimental design is shown in Table 3. Three samples were used for each set of tests. Using three samples per group helps ensure the reliability and stability of the data through repeated experiments. Individual experimental results may be influenced by random errors, equipment errors, and operational mistakes. Using multiple samples helps reduce the impact of random errors and improves the reliability of the results. Using three samples ensures that the experimental results are representative and minimizes the influence of individual sample variations on the conclusions. By calculating the average of multiple samples, the overall performance of the material under the given experimental conditions can be more accurately represented.
Table 3.
OED of factors affecting the mechanical properties of CTB.
This experiment uses the L16 OED, a common type of orthogonal table, consisting of 16 experiments (i.e., 16 experimental units), aimed at studying the combinations of multiple factors and their levels. The L16 orthogonal table allows for a simultaneous analysis of the effects of multiple factors on the experimental results and explores the interaction effects between some factors. Typically, the L16 design is used to study the interaction between factors. Therefore, the L16 orthogonal experimental design is an efficient and resource-saving method, suitable for studying multiple factors and their interactions [26]. By properly arranging experimental combinations, the L16 design enables the acquisition of useful information about the effects of multiple factors with limited experiments, providing the scientific basis for parameter optimization and improving product or process performance. The experimental design is shown in Table 3. By performing range and variance analyses on the experimental data, the influence patterns of various factors on the UCS were determined.
2.4. Mechanical Properties Test
Due to the irreplaceable advantages of low cost and simple operation, the UCS test is one of the most commonly used indicators to observe the mechanical properties of CTB [27,28,29,30,31]. During the test, a loading rate of 100 N/s is used, which is commonly adopted in mechanical property tests of various materials. This rate ensures that the material is not exposed to excessively rapid loading that could lead to brittle failure while still allowing the test to be completed within a reasonable timeframe. By selecting a loading rate of 100 N/s, the test effectively simulates the stress behavior of CTB in real-world engineering applications until the samples fail. After the test, the corresponding stress-strain curve is saved. From this curve, calculate the maximum stress value (i.e., maximum compressive strength) and modulus of elasticity of the CTB.
3. Results and Discussion
3.1. Orthogonal Experimental Results
After preparing the CTB samples, microwave heating and curing were performed according to the experimental design. After 3 and 7 days of curing, uniaxial compression tests were conducted on the CTB samples to obtain the UCS average of the three parallel samples, which was taken as the result under various influencing factors. The test results are shown in Table 4.
Table 4.
UCS test results.
The early stage of cement hydration refers to the process where cement reacts with water to form hydration products (such as calcium silicate hydrate, calcium hydroxide, etc.) and begins to form the cement matrix. The early hydration stage typically occurs between the initial and final setting times, generally within the first 24–72 h after mixing slurry. The early characteristics of cement hydration have a significant impact on the final performance of CTB, particularly on strength development, durability, and stability. Examining the early characteristics of cement hydration, especially under the influence of microwave heating, is crucial for understanding the performance of CTB. The specific significance is as follows: Influence the formation of early strength, predict long-term performance, optimize material proportions, improve construction quality and safety, and evaluate the effects of microwave heating.
The selection of 3 and 7 days as curing times is typically aimed at focusing on the early hydration stage, as these two time points are significant in the hydration process of CTB. The hydration reaction of cement is most significant in the early stage (typically within the first few days). During the first few hours to days, after cement and water are mixed, cement particles react with water to form hydration products (such as calcium silicate hydrate and calcium aluminate hydrate), which provide the foundation for the hardening of cement-based materials. Studying the early hydration stage, particularly with curing times of 3 and 7 days, helps us gain a deeper understanding of the early strength development and structural changes in tailings cemented backfill or other cement-based materials.
Day 3: This time point is typically used to capture the early stages of cement hydration. By the third day of curing, most of the hydration reactions have occurred. Although hydration is not fully complete, a relatively stable strength value can be obtained. For CTB, the 3-day curing time reflects the early strength development and helps evaluate the impact of microwave heating on the CTB’s initial performance. Day 7: This time point is a common standard curing period, during which many cement products typically reach a relatively stable strength value. After 7 days of curing, the cement hydration reaction continues, but the rate of strength gain begins to slow down. Choosing 7 days as the testing period provides a more comprehensive assessment of the CTB’s strength development and reflects the long-term effects of microwave heating during ongoing hydration.
The critical importance of early strength: In many applications, especially in the study of CTB, the rapid growth of early strength is crucial. Good early strength ensures the stability and load-bearing capacity of CTB during the construction process, especially when rapid curing and high early load-bearing capacity are required for the fill.
3.2. Analysis of Patterns
Analyzing the results of the OED can identify influence patterns of various factors on the UCS and rank the extent of their impact. Therefore, range analysis and variance analysis were performed on the results of this orthogonal experiment.
3.2.1. Range Analysis
Range analysis is simple to perform and provides intuitive results, but it cannot estimate experimental errors. By calculating the range of the experimental data, the range analysis results of this orthogonal experiment were obtained [32,33]. The analysis results are shown in Table 5. As seen from the range analysis in Table 5 and Table 6, the influencing factors on the UCS, in descending order, are the cement-tailings ratio of the CTB, slurry concentration, MP, MHT, and MDT. Comparatively, internal factors of the CTB have a greater effect on the UCS than the external factors, and the influence of the cement-tailings ratio is greater than that of the slurry concentration.
Table 5.
Range analysis in UCS of the CTB at 3 days.
Table 6.
Range analysis in UCS of the CTB at 7 days.
In Table 6 here, kn (n = 1, 2, 3, 4) represents the mean value of each level of the influencing factors, and R represents the range of each influencing factor. The larger the range, the greater the impact on the UCS of CTB.
As seen from the range analysis in Table 5 and Table 6, the influencing factors on the UCS, in descending order, are the cement-tailings ratio of the CTB, slurry concentration, MP, MHT, and MDT. Comparatively, internal factors of the CTB have a greater effect on the UCS than the external factors, and the influence of the cement-tailings ratio is greater than that of the slurry concentration. The impact of microwave parameters on the CTB is typically manifested as local or short-term effects. For example, MP: the power of microwave heating affects the heating rate. Excessive power may lead to overheating, while insufficient power may hinder the progress of cement hydration. However, the impact of MP is generally limited to the heating process and does not directly or persistently affect the long-term strength of the material. MDT: MDT affects the cement hydration process. Too short a time may prevent sufficient hydration, while too long a time may lead to over-hydration. Overall, the impact of microwave heating is primarily concentrated in the early hydration stage, while the strength and performance of cement materials are more influenced by the long-term hydration process and cement mix. Therefore, the impact of microwave parameters is typically localized and limited; their variations may not influence the final strength of the material in the long term and broadly, as is the case with the sand-to-cement ratio and slurry concentration. The K-value of microwave parameters is generally small.
3.2.2. Variance Analysis
Compared to range analysis, variance analysis has the advantage of estimating experimental errors, analyzing the errors within and between groups, and avoiding the interference of experimental errors on the data, thereby ensuring the reliability and accuracy of the data [34]. By performing a variance analysis on the results of this experiment, the variance analysis results for the influencing factors on the UCS were obtained. The variance analysis results are shown in Table 7 and Table 8, where * indicates that it has the greatest impact.
Table 7.
Variance analysis in UCS of the CTB at 3 days.
Table 8.
Variance analysis in UCS of the CTB at 7 days.
In analysis of variance (ANOVA), the F-ratio and the F-critical value are important statistics used to determine whether differences between groups are significant [23]. They have distinct meanings and roles. Meaning of F-ratio: the F-ratio in ANOVA is a ratio used to compare two different variances, typically the variance between groups and the variance within groups. Significance of F-ratio: a larger F-ratio indicates more pronounced differences between groups, suggesting that the factor has a stronger influence on the dependent variable. Conversely, a smaller F-ratio suggests smaller differences between groups, potentially indicating no significant factor effect [22]. The F-critical value is obtained from the F-distribution table and depends on the significance level (α) and degrees of freedom. The F-critical value is used to compare with the calculated F-ratio to determine whether the experimental results are significant. If the calculated F-ratio > F-critical value, it indicates significant differences between groups. If the calculated F-ratio < F-critical value, it indicates no significant differences between groups. This implies that the observed difference in group means may merely be due to random variation.
3.3. Effect of Microwave Heating on the UCS of CTB
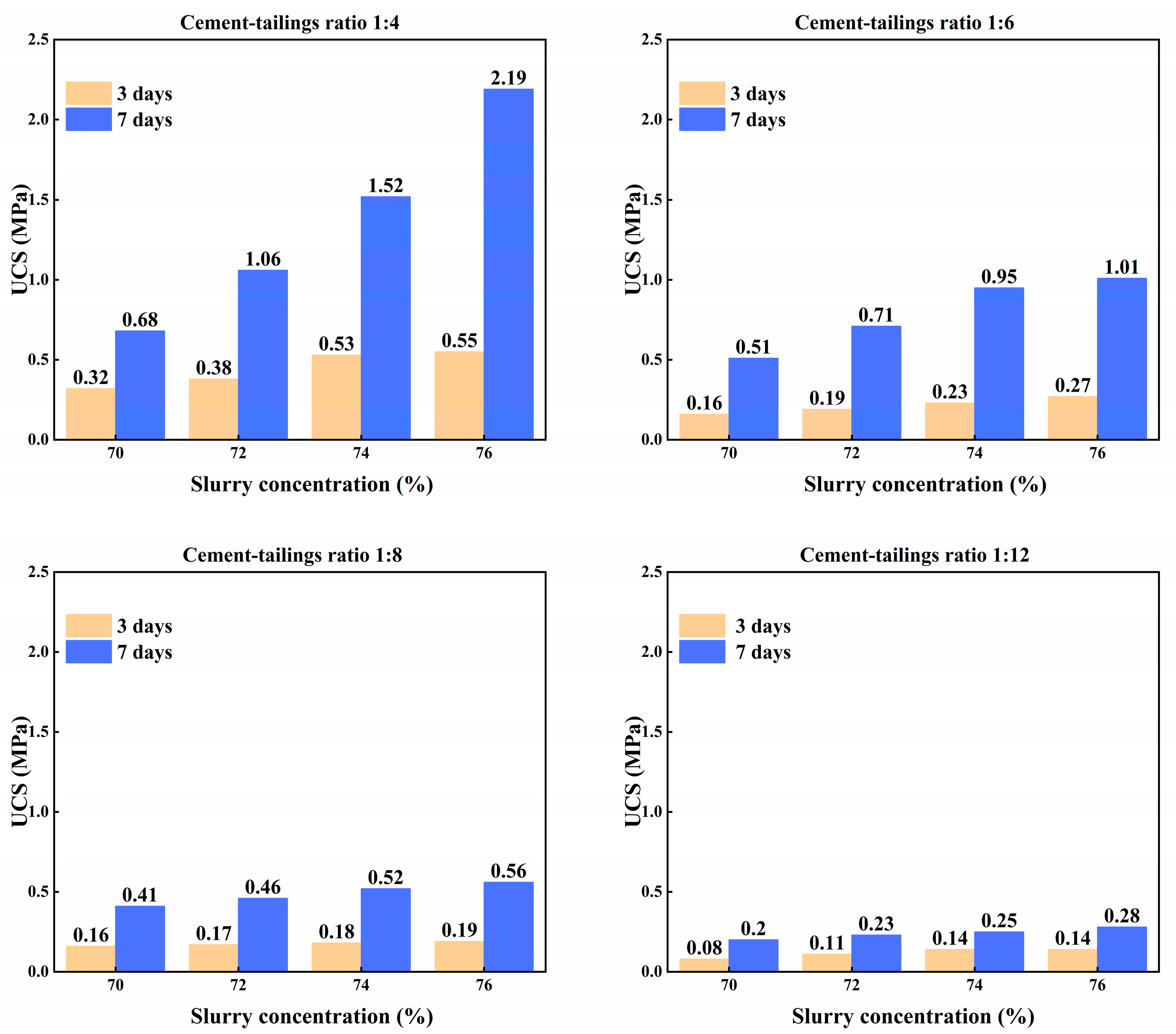
As shown in Figure 3, during the three-day curing period, the UCS with a cement-tailings ratio of 1:4 and a slurry concentration of 70% increased by 300.13%. For a concentration of 72%, it increased by 326.32%. The average increase was 276.17%. For a cement-tailings ratio of 1:6, the UCS with a slurry concentration of 70% increased by 306.25%; for 72%, by 373.68. The average increase was 328.47%. For a cement-tailings ratio of 1:8, the UCS with a slurry concentration of 76% increased by 263.16%. The average increase was 196.11%. For a cement-tailings ratio of 1:12, the UCS with a slurry concentration of 70% increased by 187.5%. The average increase was 135.84%.
Figure 3.
UCS comparison of CTB with a three-day curing period.
Although the orthogonal experimental analysis did not show significant effects of MHT, MP, and MDT on the UCS, the experimental results indicate that the UCS treated with microwave heating significantly improved under the same cement-tailings ratio, slurry concentration, and curing time. The higher the cement content, the greater the UCS of the CTB improvement. This is because microwave heating can significantly accelerate the cement hydration process. During hydration, cement produces hydration products, such as ettringite and calcium silicate hydrate, which form a solid framework within the CTB, thus increasing its compressive strength. Microwave heating rapidly raises the temperature of the cement paste, promoting early cement hydration and enabling the rapid generation of hydration products, thereby enhancing the early strength of the CTB [9,12,16]. Additionally, microwave heating can reduce the amount of free water in the cement paste, thus lowering the porosity of the CTB and further enhancing its compressive strength. Furthermore, microwave heating can effectively improve the microstructure of the CTB. In traditional curing processes, the uneven distribution of moisture within the CTB can lead to the formation of microcracks, which weaken its overall strength. Microwave heating, with its penetrating and selective heating characteristics, ensures more uniform moisture evaporation within the CTB, reducing the formation of microcracks and thereby improving the overall strength of the CTB. Wu et al. [12] found that the CTB treated with microwave heating exhibited a denser microstructure, significantly lower porosity, and fewer microcracks, resulting in a substantial increase in UCS. Additionally, microwave heating can effectively enhance the durability of the CTB. During the microwave heating process, the rapid temperature rise within the CTB accelerates the migration and diffusion of harmful substances, such as chloride ions and sulfates. Under the influence of microwave heating, these harmful substances can quickly migrate from the interior to the surface of the CTB and are expelled during subsequent cooling and moisture evaporation, thereby reducing their impact on the durability of the CTB.
As shown in Figure 4, during the seven-day curing period, the UCS with a cement-tailings ratio of 1:4 and a slurry concentration of 70% increased by 191.18%. The average increase was 123.55%. For a cement-tailings ratio of 1:6, the UCS with a slurry concentration of 70% increased by 129.41%. The average increase was 87.40%. For a cement-tailings ratio of 1:8, the UCS with a slurry concentration of 76% increased by 107.14%. The average increase was 74.08%. For a cement-tailings ratio of 1:12, the UCS with a slurry concentration of 70% increased by 105.00%. The average increase was 72.1%.
Figure 4.
UCS comparison of CTB with a seven-day curing period.
From the above experimental results, it can be observed that the early strength of the CTB significantly improved after microwave heating. However, as the curing time extends, the rate of strength growth gradually slows down or even decreases. This phenomenon is mainly due to the following reasons. First, although microwave heating can quickly enhance the early strength of the CTB, the rapid temperature rise may lead to incomplete cement hydration. In traditional curing processes, cement hydration is a gradual process that takes a long time to complete. Microwave heating accelerates the hydration process by rapidly raising the temperature, thereby quickly increasing early strength [35]. However, it may also cause some cement particles to lose activity due to excessive temperature, affecting subsequent hydration. Therefore, as curing time extends, the strength growth of the CTB slows down or even stops. Secondly, during microwave heating, the temperature distribution inside the CTB may be uneven, leading to incomplete hydration in some areas. Although microwave heating is characterized by uniform heating, in practice, due to the material properties and the multifield coupling stress distribution of the microwave field, temperature gradients may exist inside the fill material, resulting in weaker hydration in certain regions [9,36]. These regions may show higher strength in the early stages but experience slow or even declining strength growth during later curing due to incomplete hydration. Thirdly, microwave heating may increase microcracks and pores inside the CTB, affecting its long-term strength. During microwave heating, rapid temperature rise and moisture evaporation may cause uneven stress distribution within the CTB, leading to the formation of microcracks. These microcracks may have little impact on early strength, but, over time, their expansion and connection can lead to strength reduction [16]. Microwave heating can affect the microstructure of CTB, primarily manifested as changes in its pore structure. Under microwave heating, the moisture within the CTB can evaporate more uniformly, reducing the uneven distribution of moisture and improving the material’s density. Microwave heating can also induce grain growth and phase transitions of minerals within CTB to some extent, further enhancing its strength. Additionally, rapid moisture evaporation during microwave heating may create pores within the CTB, weakening the overall strength of the material, especially evident during long-term curing.
As shown in Figure 5, the CTB without microwave heating treatment had an average strength growth rate of 188.08% after 3 and 7 days of curing. In contrast, Figure 3 shows that CTB subjected to microwave heating treatment had an average strength growth rate of 234.15% after 3 days of curing, significantly enhancing the early strength of CTB, further confirming the hypotheses and conclusions of this study.
Figure 5.
UCS comparison of CTB with a normal curing.
3.4. Effect of Univariate on UCS
To visually illustrate the impact of factors other than the cement-tailings ratio and slurry concentration on the UCS, an analysis was conducted on the effects of MHT, MDT, and MP on the UCS.
3.4.1. Microwave Heating Time
Figure 6 illustrates the effect of MHT (4, 6, 8, and 10 min) on UCS of CTB samples cured for different durations (3 and 7 days). Figure 6 also shows that during the early stage (0–3 days), UCS of CTB increases with MHT from 0 to 8 min; however, from 8 to 10 min, UCS of CTB decreases with further heating time. CTB heated for 8 min shows the highest UCS value. These results indicate that MHT longer than 8 min can reduce the early strength enhancement effect on CTB samples. These findings suggest that microwave treatment can significantly enhance the mechanical properties of CTB within an appropriate MHT range.
Figure 6.
Effect of microwave heating time on UCS of CTB.
Figure 6 also shows that the effect of MHT on CTB cured for 7 days is different from that cured for 3 days. From 0 to 6 min, the UCS of CTB increases with longer heating time, but from 6 to 10 min, UCS decreases as MHT increases. In CTB cured for 7 days, the hydration of the binder continues, but at a slower rate compared to early-stage CTB (0–3 days). MHT for 6 min can appropriately increase the temperature for the formation of hydration products, thereby enhancing the strength of CTB. However, when the MHT exceeds 6 min, excessive heat is generated, causing thermal damage that disrupts the internal microstructure, leading to adverse effects. Based on the above results, it is concluded that microwave heating can significantly enhance UCS of early-stage CTB (0–7 days), but the MHT should not be too long (6–8 min in this study). As previously mentioned, the high early strength growth of CTB is crucial for mining operations. Therefore, it is expected that microwave technology will be practically incorporated into the mining filling schedule to enhance the early strength of CTB.
3.4.2. Microwave Delay Time
The effect of MDT on the timing of microwave heating should be another important consideration in the application of microwave technology in mining fill operations. However, previous studies [9] did not take this factor into account. Therefore, MDTs of 0, 2, 4, and 6 h were used to reveal the impact of MDT on the development of UCS in CTB. Figure 7 shows the effect of MDT on UCS of CTB samples at different curing ages (3 days and 7 days). From Figure 7, it can be noted that regardless of MDT, the higher UCS gains in CTB are associated with longer curing ages. The study also found that if the MDT is 0 h, microwave heating (for 6 min) has a significant promoting effect on the development of UCS in CTB. From Figure 7 it can be observed that the optimal MDT differs between the 3-day and 7-day curing periods. For the 3-day curing period, the UCS gradually increases as the MDT increases from 0 to 4 h; beyond 4 h, UCS begins to decrease. For the 7-day curing period, the UCS gradually increases as the MDT increases from 0 to 2 h; beyond 2 h, the UCS begins to decrease.
Figure 7.
Effect of microwave delay time on UCS of CTB.
The positive impact of shorter MDT for microwave heating can be explained as follows: microwave radiation provides thermal energy that accelerates the early hydration reactions of the binder, producing more hydration products and thereby improving the UCS. In contrast, the negative impact of longer MDT for microwave heating on UCS of 7-day cured CTB may be due to the removal of water, a reactant in binder hydration, by microwave radiation. Consequently, fewer hydration products are formed, which reduces the later strength of CTB. Additionally, the CTB structure has already been set and hardened before microwave heating. The application of microwaves generates significant heat, which inevitably causes thermal expansion, potentially leading to cracks and weakening the structure of CTB. Therefore, the shorter the MDT, the better the mechanical properties of CTB.
3.4.3. Microwave Power
MP, which affects the temperature during microwave heating, should be the most important consideration in the application of microwave technology in mining fill operations. However, previous studies failed to consider this important factor, and the findings of this study differ from those of previous research. Therefore, MPs of 60, 180, 300, and 420 W were used to reveal the impact of MP on the development of UCS in CTB. Figure 8 shows the effect of MP on UCS of CTB samples at different curing ages (3 days and 7 days). From Figure 8, it can be noted that regardless of MP, UCS of CTB increases in both curing periods. The study also found that when the MP is 420 W, microwave heating significantly promotes the development of the UCS in the CTB. From Figure 8, it can be observed that the optimal MP is the same for both 3-day and 7-day curing periods. For a 3-day curing period, UCS of CTB gradually increases as the MP increases from 0 to 420 W. For the 7-day curing period, UCS of CTB gradually increases as the MP increases from 0 to 420 W. Since the maximum MP in this experiment is set at 420 W, and UCS of CTB samples is still increasing, optimal MP parameters above 420 W remain to be explored.
Figure 8.
Effect of microwave power on UCS of CTB.
The beneficial effects of MP on UCS can be attributed to the following: microwave radiation delivers thermal energy, and the level of MP determines the amount of thermal energy provided. Increasing the MP appropriately enhances the thermal energy, producing more hydration products and thereby improving the UCS. Conversely, excessively high MP can have a negative impact, possibly due to the excessive thermal energy provided by microwave radiation, which can damage the internal structure of CTB and thereby reduce its mechanical properties. Additionally, the CTB structure has already been set and hardened before microwave heating. The application of microwaves generates significant heat, which inevitably causes thermal expansion, potentially leading to cracks and weakening the structure of CTB. Therefore, selecting the optimal MP parameters for microwave heating is crucial for enhancing the early strength of CTB.
3.5. Effect of Univariate on the Modulus of Elasticity
3.5.1. Microwave Heating Time
The elastic modulus reflects the CTB’s resistance to deformation and is a key indicator of its stiffness and stress-strain relationship [12,37,38]. The influence of MHT on the modulus of elasticity of the CTB cured with different ages is illustrated in Figure 9. The figure shows that, regardless of the curing time, the elastic modulus of the CTB is significantly affected by the MHT. It is also noteworthy that, as the curing time increases, the variation in the elastic modulus differs from that observed at the 3-day curing period. In the early 3 days, the addition of microwave heating during conventional curing significantly enhances the elastic modulus. This finding is consistent with the effect of heating time on the UCS at the same age. However, for CTB cured for 7 days, excessive heating time reduces the elastic modulus, especially when the heating time exceeds 8 min.
Figure 9.
Effect of microwave heating time on the modulus of elasticity of CTB.
During the early 3-day curing stage, the cement hydration reaction in CTB is not yet complete, and the early strength and elastic modulus mainly rely on the formation of early hydration products and the increase in filling density. Microwave heating rapidly and uniformly increases the temperature around the cement particles, enhancing the reaction rate between cement and water, thereby accelerating the formation of early hydration products. The generated products fill the pores in the CTB, improving the structure’s density and early rigidity, thus significantly enhancing the elastic modulus. On the other hand, microwave heating can reduce porosity through thermal effects, causing closer contact between particles and improving the early UCS and elastic modulus of CTB. For CTB cured for 7 days, microwave heating, especially when the heating time is too long (e.g., exceeding 8 min), can cause a decrease in elastic modulus. This may be due to excessive internal temperature from prolonged heating, resulting in thermal stress and thermal expansion effects. This uneven thermal expansion may lead to the formation and propagation of microcracks within the material, weakening the overall elastic modulus. The nonuniformity of microwave heating during the process may lead to the formation of cracks or voids in certain regions of the material, which directly affects its elastic modulus. An increase in voids or the expansion of cracks can reduce the overall stiffness and strength of the material, thereby affecting its elastic modulus.
3.5.2. Microwave Delay Time
Figure 10 shows the influence of delay time on the modulus of elasticity of the CTB at the curing ages of 3 and 7 d. When the curing time reaches 3 days, microwave heating can only increase the elastic modulus with appropriate delay times (2 and 4 h), which differs from the previous studies [12], where the delay times were 0 and 3 h. The elastic modulus value with a delay time of 0 h is unexpectedly lower than that at 2 h. It should be noted that experimental errors may lead to unexpected results. When the curing time is extended to 7 days, adding microwave heating during conventional curing reduces the elastic modulus.
Figure 10.
Effect of microwave delay time on the modulus of elasticity of CTB.
The reason for this result has been discussed in Section 3.4.1. MDT of 2 and 4 h may coincide with the efficient stage of cement hydration, promoting the densification of the cement paste and thereby increasing the elastic modulus. If the MDT is too early (e.g., 0 h), before the cement paste has fully begun hydration, microwave heating may cause rapid evaporation of moisture, inhibit the hydration reaction, and increase voids, leading to a reduction in the elastic modulus. On the other hand, during the 7-day curing process, cement hydration has reached a more mature stage, and any rapid thermal expansion or uneven heating may induce cracks or voids within the material, leading to a reduction in the overall elastic modulus. Microwave heating may also affect the interfaces within the material, such as the bonding or interaction forces between particles. When the material is heated, the interactions between particles or molecules may change, which in turn affects the elastic modulus.
3.5.3. Microwave Power
The effect of MP on the elastic modulus at different curing ages is shown in Figure 11. Similarly, a previous study [12] did not consider the impact of MP, the most important microwave parameter, on the elastic modulus of CTB. It can be observed from Figure 11 that regardless of curing time, an increase in MP positively influences the elastic modulus. It is also noteworthy that as the curing time extends to seven days, the variation in elastic modulus is reduced compared to that observed during the 3-day curing period. During the early 3-day curing period, incorporating microwave heating into conventional curing significantly enhances the elastic modulus, with the highest value observed at a power of 420 W. For CTB cured for 7 days, microwave heating also improves the elastic modulus, particularly when the microwave power exceeds 180 W.
Figure 11.
Effect of microwave power on the modulus of elasticity of CTB.
When the MP is moderate, the hydration reaction of the cement particles becomes more uniform and rapid, thereby improving the mechanical properties of the material. Microwave heating can transfer heat more uniformly, avoiding issues such as local overheating or uneven heating that may occur with traditional methods, thereby improving the material’s uniformity and further enhancing its elastic modulus. By the seventh day, the cement hydration is nearly complete, but appropriate MP can still accelerate the reaction of partially unhydrated cement particles, continuing the formation of hydration products and further strengthening the structure of CTB. Higher MP (e.g., above 300 W) can promote the later-stage hydration reaction in a shorter period, allowing for a more complete formation of hydration products, which enhances the strength and elastic modulus.
4. Conclusions
This experimental study explored the use of microwave radiation to boost the early strength of CTB. The study specifically examined how microwave heating influences the mechanical properties of the CTB. The findings lead to the following conclusions.
- Internal factors of CTB have a greater impact on its strength than microwave heating does. However, selecting appropriate MHT and MP, followed by conventional curing, helps improve the early mechanical properties of the CTB. Within an appropriate time frame, extending the MHT can accelerate the hydration rate of the cementitious materials, producing more hydration products, which thus contribute to higher UCS and elasticity modulus in the CTB. However, if the MHT is too long, thermal damage can negatively affect the mechanical properties of the CTB.
- The MDT is also crucial, hence the consideration of MDT between placing the CTB and microwave heating. Shorter microwave delay times are associated with better mechanical properties in the early-stage CTB. Microwave radiation significantly affects the strength and elasticity modulus of the CTB.
- An appropriate microwave radiational setting can be established: 420 W of MP, 6 min of MHT, and an MDT of 4 h. The optimal MP parameters above 420 W remain to be explored. The mechanism by which microwave radiation enhances the CTB can be explained through studies of its microstructure.
- The enhancement of early strength in CTB through microwave treatment has significant practical implications in mining applications. In terms of economic feasibility, although the initial investment in microwave treatment equipment is high, its advantages—such as improved tailings recovery, reduced operational costs, and energy savings—can lead to significant economic benefits in the long run.
Author Contributions
Conceptualization, X.C.; methodology, X.C.; software, X.C.; validation, X.C.; K.Z. and Z.P.; formal analysis, X.C.; investigation, X.C.; resources, X.C.; data curation, X.C.; writing—original draft preparation, X.C.; writing—review and editing, Z.P.; visualization, X.C.; supervision, Z.P.; project administration, K.Z.; funding acquisition, X.C. All authors have read and agreed to the published version of the manuscript.
Funding
This study was funded by the National Natural Science Foundation of China (Project No. 52204167), the Natural Science Foundation of Hunan Province (Project No. 2024JJ6504), and the Fundamental Research Funds for the Central Universities of Central South University (Project No. 2023ZZTS0715).
Data Availability Statement
Data are contained within the article.
Conflicts of Interest
The authors declare that they have no known competing financial interests or personal relationships that could have appeared to influence the work reported in this paper.
References
- Jin, A.-b.; Wang, J.; Chen, S.-j.; Li, H. Strength and damage characteristics of tailings filling body with different particle size distributions. Rock Soil Mech. 2022, 43, 3083–3093. [Google Scholar]
- Zhang, Q.; Yin, G.; Fan, X.; Li, X.; Wang, W.; Geng, W.; Liu, H. A damage constitutive model of tailings based on the analysis of elastic-plastic and sliding of skeleton grains. Disaster Adv. 2012, 5, 730–735. [Google Scholar]
- Hou, Y.; Kong, P.; Yang, K.; Yin, S.; Yu, X.; Wang, Y.; Kou, P. Enhancing performance and structural integrity of cemented paste backfill: Rheological behavior, strength characteristics, and microstructural dynamics. Case Stud. Constr. Mat. 2024, 20, e03367. [Google Scholar] [CrossRef]
- He, Y.; Chen, Q.; Qi, C.; Zhang, Q.; Xiao, C. Lithium slag and fly ash-based binder for cemented fine tailings backfill. J. Environ. Manag. 2019, 248, 109282. [Google Scholar] [CrossRef]
- Chen, Q.; Chen, H.; Wang, P.; Chen, X.; Chen, J. Effect of Sulphur-Containing Tailings Content and Curing Temperature on the Properties of M32.5 Cement Mortar. Materials 2021, 14, 5751. [Google Scholar] [CrossRef]
- Chindaprasirt, P.; Rattanasak, U.; Taebuanhuad, S. Role of microwave radiation in curing the fly ash geopolymer. Adv. Powder Technol. 2013, 24, 703–707. [Google Scholar] [CrossRef]
- Fall, M.; Benzaazoua, M. Modeling the effect of sulphate on strength development of paste backfill and binder mixture optimization. Cem. Concr. Res. 2005, 35, 301–314. [Google Scholar] [CrossRef]
- Fall, M.; Samb, S.S. Effect of high temperature on strength and microstructural properties of cemented paste backfill. Fire Saf. J. 2009, 44, 642–651. [Google Scholar] [CrossRef]
- Ding, P.; Yan, S.; Guo, Q.; Chang, L.; Li, Z.; Zhou, C.; Han, D.; Yang, J. Study on the Effects of Microwave Heating Time and Power on the Mechanical Properties of Cemented Tailings Backfill. Minerals 2024, 14, 944. [Google Scholar] [CrossRef]
- Kong, Y.; Wang, P.; Liu, S. Microwave pre-curing of Portland cement-steel slag powder composite for its hydration properties. Constr. Build. Mater. 2018, 189, 1093–1104. [Google Scholar] [CrossRef]
- Tang, T.; Cai, L.; You, K.; Liu, M.; Han, W. Effect of microwave pre-curing technology on carbide slag-fly ash autoclaved aerated concrete (CS-FA AAC): Porosity rough body formation, pore characteristics and hydration products. Constr. Build. Mater. 2020, 263, 120112. [Google Scholar] [CrossRef]
- Wu, D.; Sun, W.; Liu, S.; Qu, C. Effect of microwave heating on thermo-mechanical behavior of cemented tailings backfill. Constr. Build. Mater. 2021, 266, 121180. [Google Scholar] [CrossRef]
- Wei, W.; Shao, Z.; Zhang, P.; Chen, W.; Qiao, R.; Yuan, Y. Experimental assessment of microwave heating assisted aggregate recycling from dried and saturated concrete. Mater. Struct. 2021, 54, 142. [Google Scholar] [CrossRef]
- Wang, Y.; Luo, S.; Yang, L.; Ding, Y. Microwave curing cement-fly ash blended paste. Constr. Build. Mater. 2021, 282, 122685. [Google Scholar] [CrossRef]
- Zhou, F.; Pan, G.; Meng, H.; Mi, R. Effect of secondary curing on the performance of microwave cured concrete. Constr. Build. Mater. 2022, 330, 127256. [Google Scholar] [CrossRef]
- Wu, D.; Zhao, P.; Cheng, W.; Hao, Z.; Zhang, Y. Effect of microwave on coupled rheological and mechanical properties of cemented tailings backfill. Constr. Build. Mater. 2024, 441, 137558. [Google Scholar] [CrossRef]
- Haddad, R. Characterization and Deterioration Detection of Portland Cement Concrete Using Electromagnetic Waves over a Wideband of Frequency. 1996. Available online: https://vtechworks.lib.vt.edu/items/984c4c4b-1763-4193-83b5-2ca5ccab357c (accessed on 1 January 2025).
- Somaratna, J.; Ravikumar, D.; Neithalath, N. Response of alkali activated fly ash mortars to microwave curing. Cem. Concr. Res. 2010, 40, 1688–1696. [Google Scholar] [CrossRef]
- Xu, H.; Jaynes, J.; Ding, X. Combining Two-Level and Three-Level Orthogonal Arrays for Factor Screening and Response Surface Exploration. Stat. Sin. 2014, 24, 269–289. [Google Scholar] [CrossRef]
- Voelkel, J.G.; Gallagher, K.P. The design and analysis of order-of-addition experiments: An introduction and case study. Qual. Eng. 2019, 31, 627–638. [Google Scholar] [CrossRef]
- Georgiou, S.D. Orthogonal designs for computer experiments. J. Stat. Plann. Inference 2011, 141, 1519–1525. [Google Scholar] [CrossRef]
- Georgiou, S.D.; Stylianou, S.; Drosou, K.; Koukouvinos, C. Construction of orthogonal and nearly orthogonal designs for computer experiments. Biometrika 2014, 101, 741–747. [Google Scholar] [CrossRef]
- Huynh, T.V. Orthogonal Array Experiment in Systems Engineering and Architecting. Syst. Eng. 2011, 14, 208–222. [Google Scholar] [CrossRef]
- Simonsen, A.M.T.; Solismaa, S.; Hansen, H.K.; Jensen, P.E. Evaluation of mine tailings’ potential as supplementary cementitious materials based on chemical, mineralogical and physical characteristics. Waste Manag. 2020, 102, 710–721. [Google Scholar] [CrossRef]
- Zhu, P.; Wang, L.; Hong, D.; Zhou, M. A Study of Cordierite Ceramics Synthesis From Serpentine Tailing and Kaolin Tailing. Sci. Sinter. 2012, 44, 129–134. [Google Scholar] [CrossRef]
- Lei, G.; Guo, Y.G.; Zhu, J.G.; Chen, X.M.; Xu, W.; Shao, K.R. Sequential Subspace Optimization Method for Electromagnetic Devices Design with Orthogonal Design Technique. IEEE Trans. Magn. 2012, 48, 479–482. [Google Scholar] [CrossRef]
- Cao, S.; Yilmaz, E.; Song, W. Fiber type effect on strength, toughness and microstructure of early age cemented tailings backfill. Constr. Build. Mater. 2019, 223, 44–54. [Google Scholar] [CrossRef]
- Jiang, H.; Qi, Z.; Yilmaz, E.; Han, J.; Qiu, J.; Dong, C. Effectiveness of alkali-activated slag as alternative binder on workability and early age compressive strength of cemented paste backfills. Constr. Build. Mater. 2019, 218, 689–700. [Google Scholar] [CrossRef]
- Kou, Y.; Deng, Y.; Tan, Y.; Han, C.; Song, W. Hydration Characteristics and Early Strength Evolution of Classified Fine Tailings Cemented Backfill. Materials 2023, 16, 963. [Google Scholar] [CrossRef]
- Wang, Y.; Wu, J.; Ma, D.; Pu, H.; Yin, Q.; Chen, W. Study on macro-meso mechanical properties of cemented tailings backfill with high fly ash content. Environ. Sci. Pollut. Res. 2023, 30, 2904–2917. [Google Scholar] [CrossRef]
- Qiu, H.; Zhang, F.; Sun, W.; Liu, L.; Zhao, Y.; Huan, C. Experimental Study on Strength and Permeability Characteristics of Cemented Rock-Tailings Backfill. Front. Earth Sci. 2022, 10, 802818. [Google Scholar] [CrossRef]
- Yin, Z.; Li, R.; Lin, H.; Chen, Y.; Wang, Y.; Zhao, Y. Analysis of Influencing Factors of Cementitious Material Properties of Lead–Zinc Tailings Based on Orthogonal Tests. Materials 2023, 16, 361. [Google Scholar] [CrossRef]
- Cong, M.; Zhang, S.; Sun, D.; Zhou, K. Optimization of preparation of foamed concrete based on orthogonal experiment and range analysis. Front. Mater. 2021, 8, 778173. [Google Scholar] [CrossRef]
- Yin, S.; Hou, Y.; Yang, S.; Chen, X. Study on static and dynamic flocculation settlement characteristics of fine tailings slurry and influence of flocculant on strength of fine tailings backfill. Case Stud. Constr. Mater. 2022, 17, e01525. [Google Scholar] [CrossRef]
- Makul, N.; Rattanadecho, P.; Agrawal, D.K. Applications of microwave energy in cement and concrete—A review. Renew. Sustain. Energy Rev. 2014, 37, 715–733. [Google Scholar] [CrossRef]
- Sun, J.; Wang, W.; Yue, Q. Review on Microwave-Matter Interaction Fundamentals and Efficient Microwave-Associated Heating Strategies. Materials 2016, 9, 231. [Google Scholar] [CrossRef] [PubMed]
- Pan, Z.; Zhou, K.; Wang, Y.; Lin, Y.; Saleem, F. Comparative Analysis of Strength and Deformation Behavior of Cemented Tailings Backfill under Curing Temperature Effect. Materials 2022, 15, 3491. [Google Scholar] [CrossRef]
- Chen, S.; Yilmaz, E.; Xiang, Z.; Wang, Y. Curing conditions effect on pore structure, compressive strength and elastic modulus of cementitious tailings backfills. Powder Technol. 2023, 422, 118458. [Google Scholar] [CrossRef]
Disclaimer/Publisher’s Note: The statements, opinions and data contained in all publications are solely those of the individual author(s) and contributor(s) and not of MDPI and/or the editor(s). MDPI and/or the editor(s) disclaim responsibility for any injury to people or property resulting from any ideas, methods, instructions or products referred to in the content. |
© 2025 by the authors. Licensee MDPI, Basel, Switzerland. This article is an open access article distributed under the terms and conditions of the Creative Commons Attribution (CC BY) license (https://creativecommons.org/licenses/by/4.0/).










