Abstract
It has been demonstrated that iron-reducing bacteria (IRB) Acidiphilium cryptum JF-5 (Alphaproteobacteria) could release arsenic from secondary iron oxyhydroxides in mine areas. This study used injecting IRB technology to carry out arsenic sequestration experiments aimed at alleviating arsenic pollution. Temperature and acetate were found to enhance arsenic release from amorphous arsenic-containing hydroxides. A suitable temperature (35 °C) increased the release of arsenic(III) and arsenic(V) by more than 1.9–2.5 and 1.1–1.3 times, respectively. The addition of acetate increased arsenic(III) and arsenic(V) release by more than 2.8–6.1 and 1.1–1.3 times, respectively, compared to the control group. After injecting IRB into amorphous arsenic-containing hydroxide sediment, arsenic associated with particles/colloid was reductively released with aqueous arsenic(III) and arsenic(V), which account for 4%–334% of aqueous arsenic(III) and 6%–332% of aqueous arsenic(V), respectively. Results from the suspension solid also showed that the average values for the lower and upper sites are 131 mg/L and 118 mg/L, respectively. These suspension solids contain rich iron. The effectiveness of this IRB-assisted arsenic release technology became better under suitable temperature (35 °C) than at low temperature (8 °C) due to biological activity. These results suggest that microbially assisted reduction using iron-reducing bacteria may effectively release arsenic by sequestrating arsenic as aqueous and particle/colloidal phases.
1. Introduction
Arsenic pollution is a global environmental issue. Arsenic-loading minerals are the main sources of arsenic in the natural environment. These minerals can be classified into two kinds. One are primary arsenic-containing minerals, such as pyrite (FeS2), arsenopyrite (FeAsS), and realgar (As4S4) [1]. They are found in many geological environments, e.g., hydrothermal mineral deposits, or sulfide-rich igneous, metamorphic, or sedimentary bedrock. Their weathering constantly releases various species of arsenic into the surrounding environment, especially the mine area. The other are secondary arsenic-containing minerals, such as arsenic-containing iron (oxy)hydroxides, ferric arsenate, and ferric sulphoarsenates/sulphoarsenites [2,3]. These are found in many environments and vary with redox, acidity, and biological activities. Their occurrence affects and changes the transportation and immobilization of arsenic [3,4,5]. The aqueous speciation of arsenic in water depends on pH, redox conditions, and biological activity [6]. Arsenic(V) is usually the prominent form of arsenic in oxic waters; arsenic(III) primarily exists in the anoxic groundwater. Inorganic arsenic(III) is more toxic than arsenic(V) [7].
Amorphous ferric hydroxides, such as ferrihydrite, often occur widely in iron-rich soil and water, such as young Holocenic soil and acid mine drainage [8,9]. Groundwater soils (Gleys), Spodosols, and paddy fields are also prone to identifying ferrihydrite due to the unique pedogenic environment and high Fe content [8,9]. Due to high surface areas (200–400 m2/g) [10,11] and adsorption capacity of arsenic (210 mg/g for arsenic(III)) [12], ferrihydrite is one of the main arsenic-immobilizing minerals in the natural environment [13,14]. Meanwhile, some studies advocate for the use of ferrihydrite as a proxy for the natural fraction of metal hydroxides or synthetic arsenic-containing material for laboratory investigations [15,16,17,18]. So, remediating arsenic-containing amorphous ferric hydroxides could significantly help solve arsenic contamination.
Biological reduction could alleviate arsenic contamination of sediment, which releases arsenic from the target media into aqueous solution, such as iron-reducing bacteria (IRB) and sulfide-reducing bacteria (SRB). García-Sánchez et al. (2005) showed that Shewanella sp. can be involved directly in the reductive dissolution of iron (oxy)hydroxides and reduce arsenic(V) [19]. Fan et al. (2017) investigated arsenic release from natural arsenic-containing ferric oxyhydroxide with sulfate-reducing bacteria [20]. They found that sulfate-reducing bacteria could improve the dissolution of ferric oxyhydroxide and release 80%–100% of the total arsenic [20]. Microbially assisted reduction technology has been provided for enhanced remediation of arsenic-bearing soil. Ren et al. (2022) have demonstrated that IRB and SRB injecting operations could quickly enhance arsenic release (11.31–16.3 mg/g) from the ferrihydrite column compared to pure water [21]. However, the variation in dissolved and particulate arsenic after injecting these bacteria has not been understood. Specific investigations on the Sulfur Bank Mercury Mine in Clear lake, California (USA), and the abandoned arsenopyrite smelting factory in Guadalix de la Sierra, Spain, all demonstrated that up to one third of the total arsenic in samples was associated with the colloid fraction, such as Fe-(hydr)oxides [22,23]. Recent research suggests that the colloid could form during the reductive dissolution of ferrihydrite, these colloids contained 7–563 mg/L iron, 84–3534 mg/L arsenic(III) and 5082–14,520 mg/L, respectively [24]. So, the variations in both arsenic species and corresponding colloid and aqueous phases potentially exist during biologically reductive process. This has become a scientific issue.
However, the potential importance of injecting IRB into amorphous ferric hydroxides sediment on the variation of arsenic species and associated colloid phases has not been systematically explored. Such knowledge would benefit the construction of in situ microbially assisted reduction technology if the IRB can be made to flow through the arsenic-contaminant soil horizon. In this paper we report the effect of IRB on arsenic release of natural arsenic-containing ferric hydroxides and influence factors. Additionally, the effect of the biological reduction on colloidal arsenic in ferric hydroxides sediment column was investigated. This understanding is essential for more accurate estimation of effectiveness and application of microbially assisted reduction technology.
2. Materials and Methods
2.1. Sample Collection and Characterization
Arsenic-containing ferric hydroxides was collected from historical Huangshaping Pb-Zn mine area (25°06′48″–25°18′21″ N, 112°30′03″–112°42′23″ E), Chenzhou City, Hunan province, China. The arsenopyrite is the main arsenic-host mineral in this Pb-Zn mine. The calcareous strate are limestone, siliceous carbonate, and karst breccia strata of Lower Nianjianguan and Fengxian formation of Ordovician system. The long-term weathering of tailing caused the oxidization dissolution of arsenopyrite and release arsenic into water. Continuous addition of lime (CaO) and ferric sulfate (Fe2(SO4)3) was used to neutralize and flocculate wastewater from beneficiation activities. These resulted in the formation of secondary sulfidic tailings, such as arsenic-containing ferrihydrite. A large volume of arsenic-containing tailings occurred in the surrounding soil and sediment. The samples were freeze-dried under vacuum conditions for 24 h (cf. Labconco, Kansas City, MO, USA) and ground by agate pestle for passing through 100 meshes sieve (150 μm). The sample was mounted by the mixture of 2:1 epoxy resin and accelerated under the vacuum cold embedding machine (Buehler, Lake Bluff, IL, USA, Cast N’1000), and then cut and grinded for preparing thin sections of sediment. The specimen was observed under polarizing microscope (Nikon, Tokyo, Japan, Eclipse E400 Pol) for identifying mineralogy and micromorphology. X-ray diffraction (X’Pert PRO) analysis and X-ray photoelectron spectroscopy (XPS, R3000, VG-Scienta, East Sussex, UK) were used to further analyze mineralogical phases and arsenic valence in the sample. X-ray fluorescence spectrometers (XRF, MagiX, PANalytical B.V., Almelo, The Netherlands) were used to determine the concentration of arsenic in bulk samples, which used in later experiments.
2.2. Culture of Iron-Reducing Bacteria (A. cryptum JF-5) and Batch Experiment of Enhanced Arsenic Release by Addition of Acetate
Acidiphilium cryptum JF-5 (A. cryptum JF-5, Alphaproteobacteria) were purchased from China General Microbiological Culture Collection Center and cultured based on the previous studies [25]. It was cultured at 30 ℃ for 7 days in anaerobic conditions with acidic Fe-tryptone soya broth (Fe-TSB) medium (1L media of 0.05% TSB-basal salts, 5 mM glucose, 70 mM Fe(III), adjusted pH to 2.3 by 1M HCl). The growth of iron-reducing bacteria (IRB) was monitored by turbidity and plate counting under a microscope. The IRB were incubated for 7 days to logarithmic growth phase at 30 °C in an anaerobic chamber. These IRB in the logarithmic growth stage were vaccinated into batch experiments and allowed to grow for 7 days for investigating arsenic release variation. We took 7 days as a growth cycle. IRB could utilize acetate as carbon energy source [26,27], and arsenic reduction could be coupled with acetate oxidation for a range of relevant field conditions, such as sediment and aquifer [28,29]. Considering this, acetate was introduced to enhance the release of arsenic by IRB. An amount of 10 mL IRB was poured into 250 mL Schott glass bottles with GL45 caps, which contained 200 mL culture media, and three femable bluer connectors were used; one was connected to a gas washing bottle, one was connected to an argon source, and the third was sealed with the cap. After 10 min, argon was introduced into each bottle for rapidly building anaerobic condition and was wrapped with tin foil to ensure a dark environment. These bottles were placed in an incubator shaker (Crystal, Addison, TX, USA, IncuShaker IS-RDD3) at 30 °C for 7 days due to the growth cycle of IRB.
The suspension solutions were centrifuged at 1000 rpm for 10 min (Eppendorf 5810), and the supernatant was poured out. Using the same bacterial quantity, 25 mL IRB (optimal growth log phase) solution was added in. The vials were shaken at 100 rpm and at the constant temperature for 4 days due to the growth cycle of IRB. After this, 0.5 g arsenic-containing ferrihdyrite was added to the IRB solution in each bottle and 2 mL or more of the solution was sampled using pipette at 0.5, 2, 4, 6, 8, and 10 h. Each sample was divided into three subsamples. One was used for measuring aqueous arsenic species, one for measuring colloid/particles analysis, and the third one for measuring arsenic species related with colloid/particles. One of the subsamples was passed through a 0.45 μm syringe filter for measuring arsenic(III) and arsenic(V). We termed these as aqueous arsenic(III) and arsenic(V) species. To clearly understand the effect of IRB activity on amorphous arsenic-containing hydroxides, three different temperatures (8, 25, and 35 °C) and different concentrations of acetate (3 × 10−2, 6 × 10−2 and 1.5 × 10−1 mol/L) were investigated separately. All experiments were performed in triplicate, of which one was kept as a supplementary solution for loss after sampling.
2.3. Arsenic Release from Sediment Column Experiment
2.3.1. Sediment Column
A double-glass column was designed, as shown in Figure 1, to investigate the arsenic release from water-saturated ferric hydroxides after injecting IRB. The length of the column was 40 cm, the inner diameter of column was 3.4 cm. Two ports on the left outside layer of column connects a thermostatic cooler (GE Multi Temp III) maintained at constant temperature, same as for the batch experiment. Other two ports on the right inside layer of column connect sampling ports, which represent the lower and upper sites for the sediment. A total of 20 g 10–20 meshes cleaned quartz sand (2000–4000 μm) was added to the column bottom for building base media and IRB bed, and then 0.5 g arsenic-containing ferric hydroxides was added to it. The top of the column is connected to a Schott GL45 cap with two holes. An inert pipe (45 cm long and 16 mm inner diameter) was inserted into one hole, and the ending was enclosed with a rubber clamp in the cap to avoid water leakage. One hole was connected to a syringe pump (Harvard Apparatus, Holliston, MA, USA) with double 30 mL airtight syringes by a tygon® R-3603 tube (Masterflex, Core-parmer company, Vernon Hills, IL, USA). An amount of 200 mL culture media was pumped into the column from the bottom by a peristaltic pump (Longer Precison pump Co., Baoding, China, BT100-2J) at flow velocity of 32.3 mL/h. After this, 10 mL IRB strain solution was injected into the quartz layer at 1 mL/min velocity for creating IRB-assisted reduction condition. The column was wrapped with tin foil to ensure a dark environment. It was kept like this for 7 days, which was considered one cycle. For investigating probable continuous release capability, the solution in the column was drained out by a peristaltic pump. New culture media and IRB strain column were added as previously mentioned. Due to potential long-term nature of the JF-5 bacteria reduction process, a total of two cycles were performed for investigating continuously releasing arsenic.
Figure 1.
Column experiment setup diagram for releasing arsenic from arsenic-containing hydroxides. The arrow indicates the flow direction of the water.
2.3.2. Arsenic Associated with Colloid/Particles
Considering that biological reduction by IRB may result in the formation of iron colloid/FeS particles, as reported in previous studies, these materials are likely to interact with arsenic and affect the accurate estimation of arsenic release. This work took measures regarding suspension solid and digestion of colloid/particles to comprehensively estimate arsenic release. Each sample from column experiments was divided into three subsamples. One subsample was passed through a 0.45 μm syringe filter for measuring arsenic(III) and arsenic(V), termed as aqueous arsenic(III) and arsenic(V). The second subsample was centrifuged immediately at 8000 rpm for 10 min (Eppendorf 5810) for eliminating pristine hydroxides in suspension based on the protocol described by Fan et al. (2018) [30], and then suspension solid and total iron were measure using a Hach spectrophotometer based on Method 8006 and FerroVer® Method “https://www.hach.com/parameters/solids (accessed on 7 May 2023)”. The third subsample was acidified by concentrated hydrochloric acid (HCl) under microwave condition (Multiwave3000, Anton Paar, Graz, Austria) for 15 min for dissolving arsenic on colloid/particles. After this, the sample was passed through a 0.45 μm syringe filter for measuring arsenic(III) and arsenic(V), which was termed acidified total arsenic. The total arsenic and the speciation of arsenic(III and V) in samples were determined using a S-50 hydride generation atomic fluorescence spectrometry combined with high-performance liquid chromatography (Jitian corp., Beijing, China).
2.4. Characterization of Samples Before and After Interaction with IRB
After the various processes, samples were subjected to X-ray photoelectron spectroscopy (XPS) (XPS, R3000, VG-Scienta, East Sussex, UK), equipped with an Al-Kα source. All XPS patterns were acquired by setting the pass energy to 30 eV and the step size to 0.05 eV. The deconvolution of the raw data and fitting was using the software XPSpeak41, and the Shirley-type background was subtracted before deconvolution. Arsenic(III) and arsenic(V) peaks were fixed to be 44.3 eV and 45.3 eV based on the summary report on arsenopyrite of Corkhill and Vaughan [31].
3. Results and Discussion
3.1. Arsenic-Containing Ferric Hydroxides
The color of arsenic-containing ferric hydroxides in sample site was brown-red (Figure 2A). Two mineralogical phases were identified under the polarizing microscope; one was amorphous ferric hydroxide, which was yellowish-brown and non-pleochroic, and the other was gypsum, which was acicular and colorless (Figure 2B). X-ray diffraction results showed that the ferric hydroxide was amorphous (Figure 2C). These hydroxides occurred as cluster and no obvious crystal plane was observed under the corresponding scanned electron micrograph (Figure 2D). Elemental analysis from X-ray Fluorescence Spectrometers (XRF, MagiX, PANalytical B.V., Almelo, The Netherlands) shows that per gram hydroxides samples contained 102.3 mg arsenic.
Figure 2.
Arsenic-containing ferric hydroxides. (A): sampling photo, (B): photo under polarizing microscope, (C): XRD of sample, (D): SEM micrograph).
3.2. The Effect of Temperature on Arsenic Release
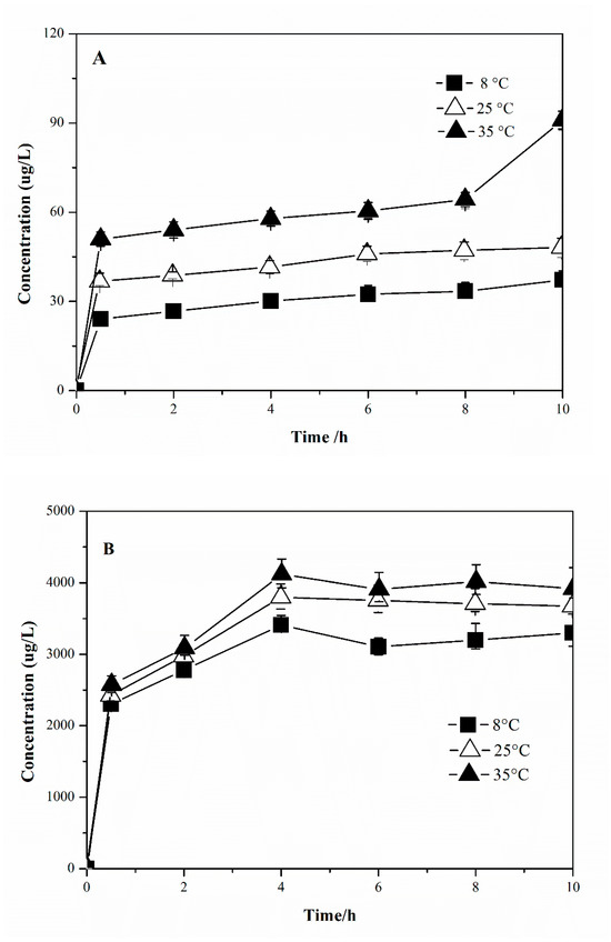
Under low-temperature (8 °C) condition, the concentration of released arsenic(V) from arsenic-containing ferric hydroxide increased from 2304.9 μg/L at 0.5 h to 3300.4 μg/L at 10 h after adding IRB to (Figure 3). Aqueous arsenic(III) concentration increased from 24.1 μg/L at 0.5 h to 26.7 μg/L at 2 h, and then kept increasing relatively slowly (Figure 3). Compared to low temperature, medium and high temperatures (25 °C and 35 °C) enhanced the reduction of arsenic, which made the concentration of aqueous arsenic(III) increase from 36.7 μg/L at 0.5 h to 48.1 μg/L at 10 h at medium temperatures and from 51.2 μg/L at 0.5 h to 91.3 μg/L at 10 h at high temperatures.
Figure 3.
The effect of different culture temperature on arsenic (III and V) release by IRB. (A): arsenic(III) species, (B): arsenic(V). Error bars represent the standard deviation from the average of three samples for each batch experiment.
Similar to the release of arsenic(III), the variations in temperature result in changes in the released arsenic(V). The increase rate of aqueous arsenic(V) slightly varied with increases in temperatures when adding IRB. After a reaction with IRB for 10 h, the released aqueous arsenic(V) concentrations were 3300.4 μg/L, 3678.3 μg/L and 3912.4 μg/L for low, medium, and high temperature. Increasing the temperature from 8 °C to 35 °C, the corresponding aqueous arsenic(III) and arsenic(V) concentration increased 2.5 times and 1.2 times after 10 h, respectively. Some bacteria also exhibit strong adsorption affinity for arsenic, such as Shewanell oneidensis. Arsenic from groundwater can be removed by biofilm for arsenic concentrations (0–800 μM) [32]. With the addition of iron ions, the methylates of S.oneidensis MR-1 could promote the transformation of inorganic arsenic into less toxic organic arsenic, which has potential applications in the bioremediation of arsenic [33,34].
3.3. The Effect of Addition of Acetate on Arsenic Release
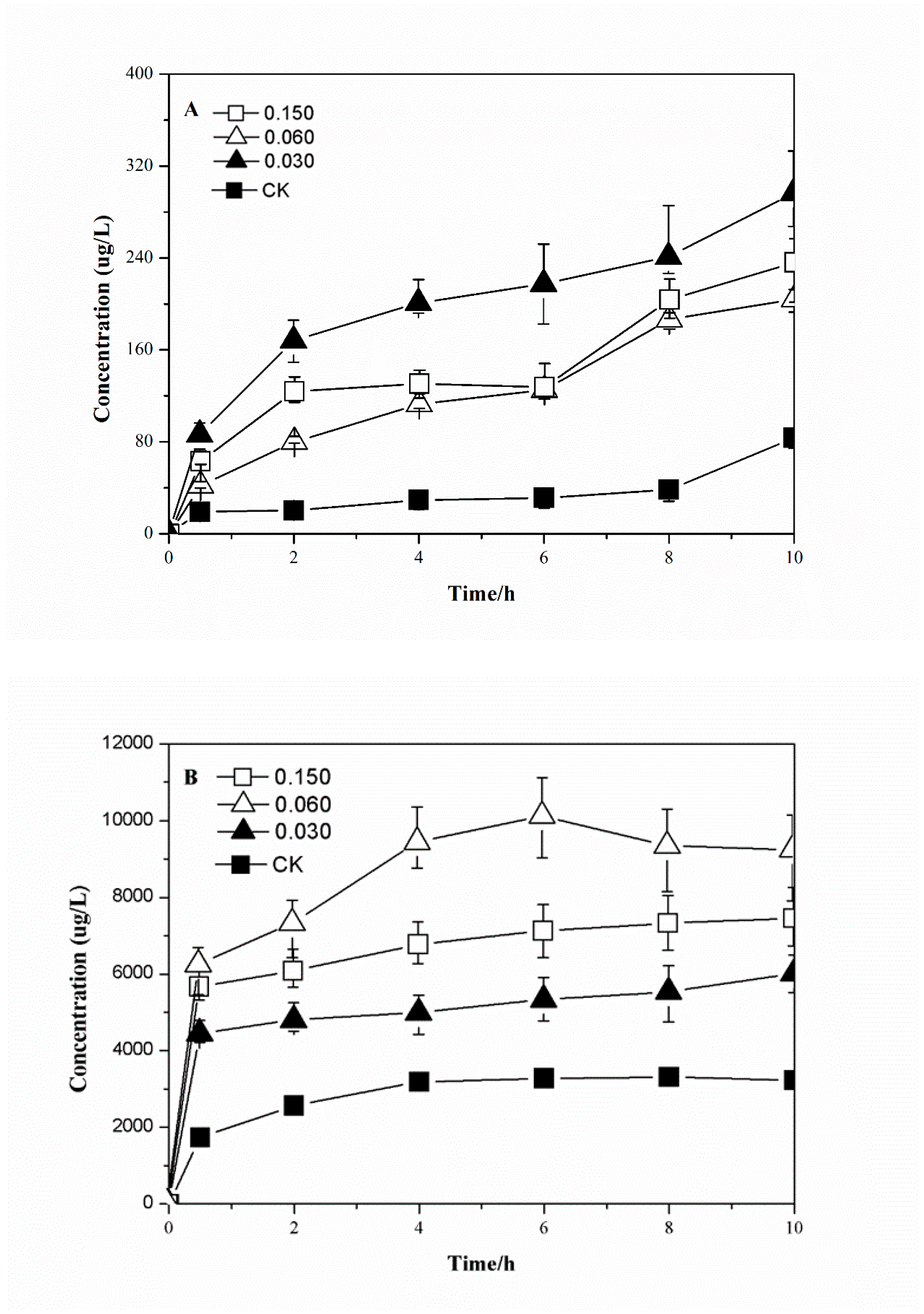
The presence of acetate increased the concentration of released arsenic(III) (Figure 4). For low concentration of acetate, the released arsenic(III) readily increased from 42.5 μg/L at 0.5 h to 204.6 μg/L at 10 h. For medium concentration of acetate, the released arsenic(III) increased more slowly than in the low-concentration group, where it increased from 63.8 μg/L at 0.5 h to 236.7 μg/L at 10 h. But at high concentration of acetate, the tendency to increase rises compared to the medium-concentration group, but it is still slower than in the low-concentration group. Based on the released aqueous arsenic(III) concentration, the presence of acetate enhanced the released arsenic(III) 3.5–8.3 times compared to the control group (CK).
Figure 4.
The effect of different concentrations of acetate on arsenic (III and V) release by IRB. (A): arsenic(III) species, (B): arsenic(V). Error bars represent the standard deviation from the average of three samples for each batch experiment.
For arsenic(V), the presence of acetate also enhanced the release of arsenic(V), but the order of promotion is different with arsenic(III). Medium acetate concentration results in the highest release of arsenic(V) compared to other groups. Different enhance order between arsenic(III) and arsenic(V) indicated that there is more than one mechanism controlling dissolution of arsenic-containing amorphous hydroxide under IRB conditions. Based on the released aqueous arsenic(V) concentration, the presence of acetate enhanced the released arsenic(V) 2.8–3.6 times than the control group. With aqueous arsenic(III), the medium concentration acetate could increase the most total arsenic released than other groups, which was 2.8–6.1 times that of the control group.
3.4. Comparison of Arsenic Species in Solids Before and After Acted with IRB
Results from XPS of pristine arsenic-contaning hydroxides show that it only contains arsenic(V) based on the fitted peaks (Figure 5A). After acting with IRB under low temperature, arsenic(III) species was observed in solid samples due to a peak occurring in 43.62 eV. Arsenic(III) and arsenic(V) accounted for 55% and 45%, respectively, based on the fitted peak areas (Figure 5B). A suitable temperature could enhance reduction of arsenic in solid samples, which causes arsenic(III) to increase to 63% and arsenic(V) to decrease to 37%. Ren et al. (2022) used XPS to show that about 17.5% of total arsenic was released into an aqueous solution after one biological operation (SRB+IRB), the residual solid contained more arsenic(III) than arsenic(V) [21]. Our result was in accordance with their study.

Figure 5.
XPS spectra of As3d peaks from pristine arsenic-containing amorphous hydroxide (A), reacted with IRB under low temperature (B), and high temperature and medium acetate addition (C).
3.5. Arsenic Release from Sediment Column
3.5.1. Arsenic Release Under 35 °C
Since the medium acetate concentration obtained the highest total arsenic release in batch experiments, we chose medium acetate concentration for the column experiments. Aqueous arsenic(III) concentration from both upper and lower sites firstly increases from the first days to the third, and then decreased on the fourth day. The highest arsenic(III) concentration occurs on the 5–7th day, which indicates that the reducibility of system during this stage was the strongest. After the second cycle (7–14 days), the aqueous arsenic (III) also increased from the 9th day and reached a plateau until the end of the experiment. This suggests that injecting IRB is feasible and may become effective.
It is worth noting that the concentrations of total arsenic(III) and arsenic(V) were mostly higher compared to aqueous arsenic(III) and arsenic(V), regardless of whether it was from the upper or lower site. This suggests that some arsenic species were related with colloid or particles. Due to very similar variation tendency, it was suggested that these arsenic-related colloid or particles occur uniformly in column. Compared to the batch experiment, the column experiment released more arsenic(III), which was 6.4–12.4 times higher than in the batch experiment (medium acetate group) based on the released average values (batch experiment: 148.2 μg/L; column experiment: 955.2 μg/L for aqueous arsenic(III) and 1845.2 μg/L for total arsenic(III)).
The color of the column was brown at the initial stage due to suspension of arsenic-containing ferric amorphous hydroxides (Figure 6). It gradually became black when injecting IRB and it was most pronounced on days 7–8. This was due to the formation of biological FeS particles. IRB could prompt the formation of ferrous sulfide by sulfidation. How do these minerals affect aqueous arsenic species or concentrations? There are two aspects of significance. On the one hand, aqueous arsenic may coprecipitates with S2− and format secondary arsenic sulfide, e.g., orpiment (AsS). So, these minerals could trap some aqueous arsenic as secondary mineralization. On the other hand, these reductive minerals may carry arsenic and trigger the transportation of arsenic again which was originally adsorbed on ferric oxyhydroxides. The latter is favorable for releasing arsenic from the original media.
Figure 6.
Arsenic species released after injection of iron reducing bacteria under suitable temperature (35 °C) as function of time. Upper: arsenic(III); lower: arsenic(V); total arsenic(III)/arsenic(V) represents aqueous and colloidal/particles-related arsenic(III)/arsenic(V).
The result from the suspension solid (SS) also confirms the above phenomena. The concentrations of SS from both lower and upper sites became the highest on the 6th day, reaching 252 mg/L and 226 mg/L, respectively (Figure 7). The concentration in the lower site was mostly higher compared to the upper site, which was due to probable settlement. The average values of SS for lower and upper sites were 131 mg/L and 118 mg/L, respectively. The chemical analysis of samples showed that dissolved total iron also experienced a maximum on the 5th day and varied similarly to SS. Ren et al. combined SRB and ferric-reducing bacteria (Shewanella oneidensis MR-1) to release arsenic from ferrihydrite; they found that IRB+SRB operation could increase arsenic release quantity 14–57 times more compared to pure water. The result of their study also showed experimentally that the re-adsorption of arsenic(V) was attributed to the formation of black secondary FeS mineral from altered amorphous hydroxides. Previous studies by Han et al. (2011) and Liu et al. (2017), who synthesized FeS particles inorganically and biologically, respectively, and obtained maximum adsorption capacities of 41.7 for arsenic(III) and 87.3 mg/g for arsenic(V) at pH 5 based on normalizing the data to the amount of the FeS-coated sand and limestone [25,35]. But they did not further consider the quantity of these particles carrying arsenic. Combining their results with those found in our study, we conclude that IRB produces arsenic-rich colloid/particles in solution during the reductive dissolution of amorphous hydroxides. Therefore, arsenic release caused by IRB-mediated reductive dissolution involves more than just the aqueous species typically analyzed. This issue may have been underestimated in previous study [21].
Figure 7.
The color change and released suspension solid (SS) and total iron (TFe) after injection of iron-reducing bacteria under suitable temperature (35 °C) as function of time. Upper: Color of column; medium: suspension solid (SS); lower: total iron (TFe).
3.5.2. Arsenic Release Under 8 °C
A temperature lower than the optimal showed lower arsenic(III) release (Figure 8). The released arsenic(III) concentrations decreased from 1742 μg/L at the beginning of the experiment to 360 μg/L at the end of the experiment for the upper site. Arsenic(III) concentrations in the lower site decreased from 1821 μg/L to 381 μg/L, which is slightly more compared to upper sites. It was suggested that bacterial activity continued to release arsenic from sediment into solution even at low temperatures. Meanwhile, the total concentration of arsenic(III) released into solution was generally 2%–1145% higher and 12%–985% higher than the aqueous arsenic(III) for the upper and lower sites, respectively. This indicates that a significant portion of arsenic(III) in the column was present in non-aqueous fraction.
Figure 8.
Arsenic species released after injection of iron-reducing bacteria under low temperature (8 °C) as function of time. Upper: arsenic(III); lower: arsenic(V); total arsenic(III)/arsenic(V) represents aqueous and colloidal/particles-related arsenic(III)/arsenic(V).
Compared to arsenic(III), the concentrations of arsenic(V) varies less. But there was more arsenic(V) non-aqueous than arsenic(III). Based on calculations, the concentrations of total arsenic(V) from the upper and lower sites were 3%–125% and 2%–755% higher, respectively. It is also suggested that non-aqueous arsenic(V) was present in the column. Meanwhile, more non-aqueous arsenic(V) occurred in the lower site than in the upper site, which showed that sediment released colloid or particles into surrounding solution.
Compared to the suitable temperature, the color of the column induced by low temperature varied less (Figure 9). The concentration of suspension solid (SS) for lower sites decreased from 79 mg/L to 22 mg/L on the second day and gradually increased to 58 mg/L. It then fluctuated between 38 and 47 mg/L from the 6th to the 10th day, then increased to 69 mg/L at the end of the experiment. Two increasing processes were observed due to two cycles of injecting SRB. The upper and lower sites varied similarly. The average SS values for the lower and upper sites were 47 mg/L and 49 mg/L, respectively, and were only 35.9% and 41.5% in the suitable-temperature group. It is suggested that biological activities enhanced the release of colloid/particles and temperature is an important controlling factor. The chemical analysis from samples showed that dissolved total iron varied from 0.27 mg/L to 2.43 mg/L for the lower site and 0.42 mg/L and 2.52 mg/L for the upper site.
Figure 9.
The color change and released suspension solid (SS) and total iron (TFe) after injection of sulfating reducing bacteria under low temperature (8 °C) as function of time. Upper: Color of column; medium: Suspension solid (SS); lower: total iron (TFe).
4. Conclusions
The results of arsenic-containing amorphous hydroxides reductive dissolution under IRB conditions demonstrate that microbially assisted arsenic release through IRB injection is an effective method for reducing arsenic in mine environments. The major findings of our study are as follows:
- With an increase in temperature, IRB can promote arsenic release from arsenic-containing amorphous hydroxides. A suitable temperature (35 °C) can cause the release of more than 1.9–2.5 times arsenic(III) and 1.1–1.3 times arsenic(V). Compared to the control group, acetate can enhance arsenic release more than 2.8–6.1 times for arsenic(III) and 1.1–1.3 times for arsenic(V).
- XPS results showed that some arsenic species in solid change into arsenic(III) compared to pristine amorphous hydroxides. Injecting IRB into arsenic-containing amorphous hydroxides layer could cause arsenic release from sediment.
- Both aqueous arsenic(III) and arsenic(V) were observed during arsenic release. Meanwhile, arsenic related to particles/colloid was also released by IRB. From the upper and lower sites, they account for 4%–334% of aqueous arsenic(III) and 6%–332% of aqueous arsenic(V), respectively. These fractions are often underestimated or are not detected. SS data also showed that average values of SS from lower and upper sites are 131 and 118 mg/L, respectively. They are significantly higher compared to the group with low bacterial activity. These fractions contain rich iron. The IRB-assisted arsenic release technology can promote arsenic release and form concentration profile of arsenic and SS.
Author Contributions
Conceptualization, R.Q.; methodology, R.Q. and D.L.; software, D.L.; investigation, D.L. and X.T.; resources, R.Q.; data curation, D.L. and X.T; writing—original draft preparation, D.L.; writing—review and editing, R.Q.; supervision, R.Q.; project administration, R.Q.; funding acquisition, R.Q. All authors have read and agreed to the published version of the manuscript.
Funding
This research was funded by The Project was supported by Open Research Grant of Joint National-Local Engineering Research Centre for Safe and Precise Coal Mining (Grant NO.EC2022016)and the National Natural Science of Chongqing City, China (CSTB2022NSCQ-MSX1382).
Data Availability Statement
The data that support the findings are available from the corresponding author upon reasonable request.
Conflicts of Interest
The authors declare no conflicts of interest.
References
- Craw, D.; Bowell, R.J. The characterization of arsenic in mine waste. Rev. Mineral. Geochem. 2014, 79, 473–505. [Google Scholar] [CrossRef]
- Gieré, R.; Sidenko, N.V.; Lazareva, E.V. The role of secondary minerals in controlling the migration of arsenic and metals from high-sulfide wastes Berikul gold mine, Siberia. Appl. Geochem. 2003, 18, 1347–1359. [Google Scholar] [CrossRef]
- Drahota, P.; Filippi, M. Secondary arsenic minerals in the environment: A review. Environ. Int. 2009, 35, 1243–1255. [Google Scholar] [CrossRef]
- Blowes, D.W.; Ptacek, C.J. Acid neutralization mechanisms in inactive mine tailings. In The Environmental Geochemistry of Sulfide Mine-Wastes; Jambor, J.L., Blowes, D.W., Eds.; Mineralogical Association of Canada: Nepean, ON, Canada, 1994; pp. 271–292. [Google Scholar]
- Henke, K.R. Arsenic in natural environments. In Arsenic Environmental Chemistry, Health Threats and Waste Treatment; Henke, K.R., Ed.; John Wiley& Sons Ltd.: Chichester, UK, 2009; pp. 69–235. [Google Scholar]
- Shih, M.C. An overview of arsenic removal by pressure-driven membrane processes. Desalination 2005, 172, 85–97. [Google Scholar] [CrossRef]
- Hughes, M.F.; Thomas, D.J.; Kenyon, E.M. Toxicology and epidemiology of arsenic and its compounds. In Arsenic Environmental Chemistry, Health Threats and Waste Treatment; Henke, K., Ed.; John Wiley & Sons Ltd.: Hoboken, NJ, USA, 2010; pp. 237–265. [Google Scholar]
- Childs, C.W. Ferrihydrite: A review of structure, properties and occurrence in relation to soils. Pflanzenernährung Bodenkd. 1992, 155, 441–448. [Google Scholar] [CrossRef]
- Nordstrom, D.K.; Alpers, C.N. Geochemistry of acid mine water. In The Environmental Geochemistry of Mineral Deposis; Rev. Econ. Geol. V.6A; Society for Economic Geologists Inc.: Littleton, CO, USA, 1999; pp. 133–160. [Google Scholar]
- Childs, C.W.; Matsue, N.; Yoshinaga, N. Ferrihydrite deposits in paddy races, Asodani. Clay Sci. 1990, 8, 9–15. [Google Scholar]
- Schwertmann, U.; Murad, E. Forms and translocation of iron in podzoilized soils. In Proceedings of the 5th International Soil Correlation Meeting (ISCOMIV) Characterization: Classification and Utilization of Spodosols; Meeting on Spodosols; Soil Conservation Service, USDA: Lincoln, NE, USA, 1990; pp. 319–341. [Google Scholar]
- Bruun Hansen, H.C.; Raben-Lange, R.; Raulund-Rasmussen, K.; Borggaard, O.K. Monosilicate adsorption by ferrihydrite and goethite at pH 3–6. Soil Sci. 1994, 158, 40–46. [Google Scholar] [CrossRef]
- Carlson, L.; Schwertmann, U. Natural ferrihydrites in surface deposits from Finlan and their association with silica. Geochim. Cosmochim. Acta 1981, 45, 421–429. [Google Scholar] [CrossRef]
- Carlson, L.; Bigham, J.M.; Schwertmann, U.; Kyek, A.; Wagner, F. Scavenging of As from acid mine drainage by schwertmannite and ferrihydrite: A comparison with synthetic analogues. Environ. Sci. Technol. 2002, 36, 1712–1719. [Google Scholar] [CrossRef]
- Areej, A.; Guillaume, M. Arsenate and arsenite adsorption onto Al-containing ferrihydrite. Implications for arsenic immobilization after neutralization of acid mine drainage. Appl. Geochem. 2016, 64, 2–9. [Google Scholar]
- Areej, A.; Guiilaume, M.; Georges, O.N.; Menguy, N.; Maillot, F.; Casiot, C.; Bruneel, O.; Lebrun, S.; Juillot, F.; Brest, J. Arsenic scavenging by aluminum-substituted ferrihydrites in a circumneutral pH river impacted by acid mine drainage. Environ. Sci. Technol. 2013, 47, 12784–12792. [Google Scholar]
- Regelink, I.C.; Weng, L.; Koopmans, G.F.; van Riemsdijk, W.H. Asymmetric flow field-flow fractionation as a new approach to analyse iron-(Hydr)Oxide nanoparticles in soil extracts. Geoderma 2013, 202–203, 134–141. [Google Scholar] [CrossRef]
- Zhang, R.Y.; Huang, B.J.; Zeng, H.Y. Arsenic extraction from seriously contaminated paddy soils with ferrihydrite-loaded sand columns. Chemosphere 2022, 307, 135744. [Google Scholar] [CrossRef] [PubMed]
- García-Sánchez, A.; Moyano, A.; Mayorga, P. High arsenic contents in groundwater of central Spain. Environ. Geol. 2005, 47, 847–854. [Google Scholar] [CrossRef]
- Fan, L.; Zhao, F.; Liu, J.; Frost, R.L. The As behavior of natural arsenical-containing colloidal ferric oxyhydroxide reacted with sulfate reducing bacteria. Chem. Eng. J. 2017, 332, 183–191. [Google Scholar] [CrossRef]
- Ren, X.; Yan, N.Z.; Chen, S.; Yao, J.; Liu, J. Remediaiton of arsenic-containing ferrihydrite in soil using iron and sulfa-reducing bacteria: Implications for microbially-assisted clean technology. J. Environ. Chem. Eng. 2022, 10, 108876. [Google Scholar] [CrossRef]
- Serrano, S.; Gomez-Gonzalez, M.A.; O’Day, P.A.; Laborda, F.; Bolea, E.; Garrido, F. Arsenic speciation in the dispersible colloidal fraction of soils from a mine-impacted creek. J. Hazard. Mater. 2015, 286, 30–40. [Google Scholar] [CrossRef]
- Slowey, A.J.; Johnson, S.B.; Newville, M.; Brown, G.E. Speciation and colloid transport of arsenic from mine tailings. Appl. Geochem. 2007, 22, 1884–1898. [Google Scholar] [CrossRef]
- Zhao, J.; Chen, S.; Yao, J.; Liu, J. Arsenic release and colloidal species characterization during microbial reduction of As-containing ferrihydrite. Appl. Geochem. 2023, 153, 105685. [Google Scholar] [CrossRef]
- Liu, J.; Zhou, L.; Dong, F.Q.; Hudson-Edwards, K.A. Enhancing As(V) adsorption and passivation using biologically formed nano-sized FeS coatings on limestone: Implications for acid mine drainage treatment and neutralization. Chemosphere 2017, 168, 529–538. [Google Scholar] [CrossRef]
- Widdel, F.; Pfenning, N. A new anaerobic, Sporing, Acetate-oxidizing, Sulfate-reducing bacterium, Desulfotomaculum (emend.) acetoxidans. Arch. Microbiol. 1977, 112, 119–122. [Google Scholar] [CrossRef]
- Utgika, V.P.; Chen, B.Y.; Chaudhary, N.; Tabak, H.H.; Haines, J.R.; Govind, R. Acute toxicity of heavy metals to acetate-utilizing mixed cultures of sulfate-reducing bacteria: EC100 and EC50. Environ. Toxicol. Chem. 2001, 12, 2662–2669. [Google Scholar] [CrossRef]
- Jakoben, R.; Postma, D. Redozoning, rates of sulfate reduction and interactions with Fe-reduction and methangenesis in a shallow sandy aquifer, Romo, Denmark. Geochim. Cosmochim. Acta 1999, 63, 137–151. [Google Scholar] [CrossRef]
- Jakobsen, R. Redox microniches in groundwater: A model study on the geometric and kinetic conditions required for concomitant Fe oxide reduction, sulfate reduction, and methanogenesis. Water Resour. Res. 2007, 43, 1–11. [Google Scholar] [CrossRef]
- Fan, L.J.; Zhang, X.J. ATR-FTIR spectroscopic characterization of ferric arsenic-containing colloid and gypsum. Desalination Water Treat. 2019, 153, 130–135. [Google Scholar] [CrossRef]
- Corkhill, C.L.; Vaughan, D.J. Arsenopyrite oxidation—A review. Appl. Geochem. 2009, 24, 2342–2361. [Google Scholar] [CrossRef]
- Yam, H.M.; Leong, S.K.W.; Qiu, X.; Zaiden, N. Bioremediaiton of arsenic-contaminated water through application of bioengi neered Shewanella oneidensis. In IRC-SET 2020; Springer: Singapore, 2021; pp. 559–574. [Google Scholar] [CrossRef]
- Wang, J.; Wu, M.Y.; Si, Y.B. Biotransformation and biomethylation of arsenic by Shewanella oneidensis MR-1. Chemosphere 2016, 145, 329–335. [Google Scholar] [CrossRef]
- Zhou, J.M.; Liu, Y.Z.; Bu, H.L. Effects of Fe(II)-induced transformation of scorodite on arsenic solubility. J. Hazard. Mater. 2022, 429, 128274. [Google Scholar] [CrossRef]
- Han, Y.S.; Callegos, T.J.; Domond, A.H.; Hayes, K.F. Fes-coated sand for removal of arsenic(III) under anaerobic conditions in permeable reactive barriers. Water Res. 2011, 45, 593–604. [Google Scholar] [CrossRef] [PubMed]
Disclaimer/Publisher’s Note: The statements, opinions and data contained in all publications are solely those of the individual author(s) and contributor(s) and not of MDPI and/or the editor(s). MDPI and/or the editor(s) disclaim responsibility for any injury to people or property resulting from any ideas, methods, instructions or products referred to in the content. |
© 2025 by the authors. Licensee MDPI, Basel, Switzerland. This article is an open access article distributed under the terms and conditions of the Creative Commons Attribution (CC BY) license (https://creativecommons.org/licenses/by/4.0/).