Geochemical Characteristics and Metallogenic Significance of the X03 Vein Tourmaline in the Jiajika Rare Metal Deposit, West Sichuan
Abstract
1. Introduction
2. Regional Geological Characteristics
2.1. Geological Characteristics of the Jiajika Deposit
2.2. Geological Characteristics of the X03 Vein
2.3. Major Mineral Characteristics of the Jiajika X03 Vein
3. Sample Description and Analytical Method
3.1. Sample Description
3.2. Analytical Method
4. Results
4.1. Major Elements of Tourmaline
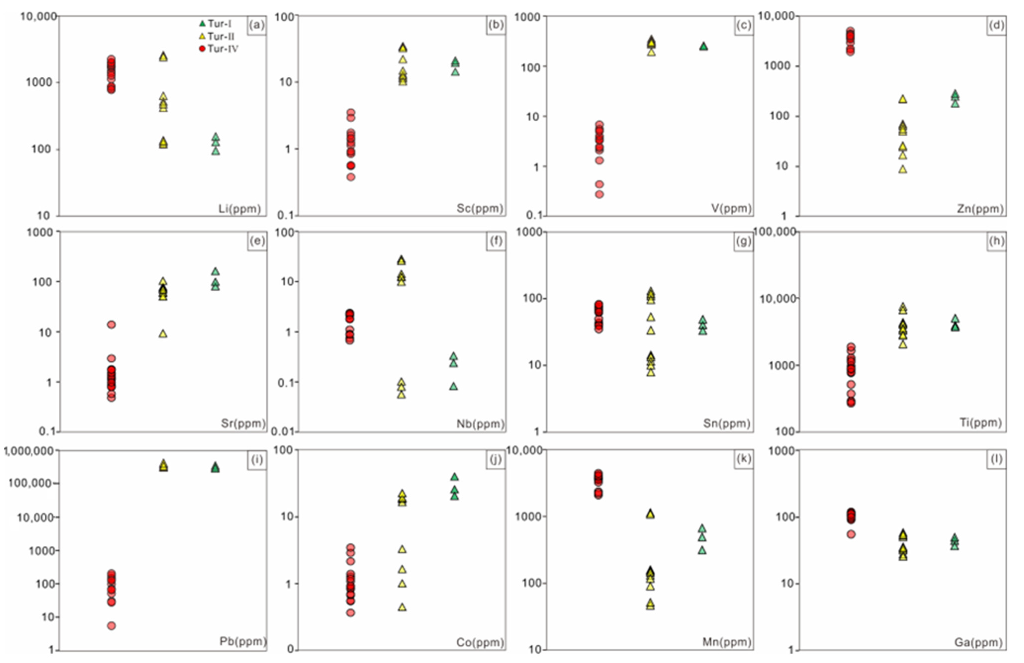
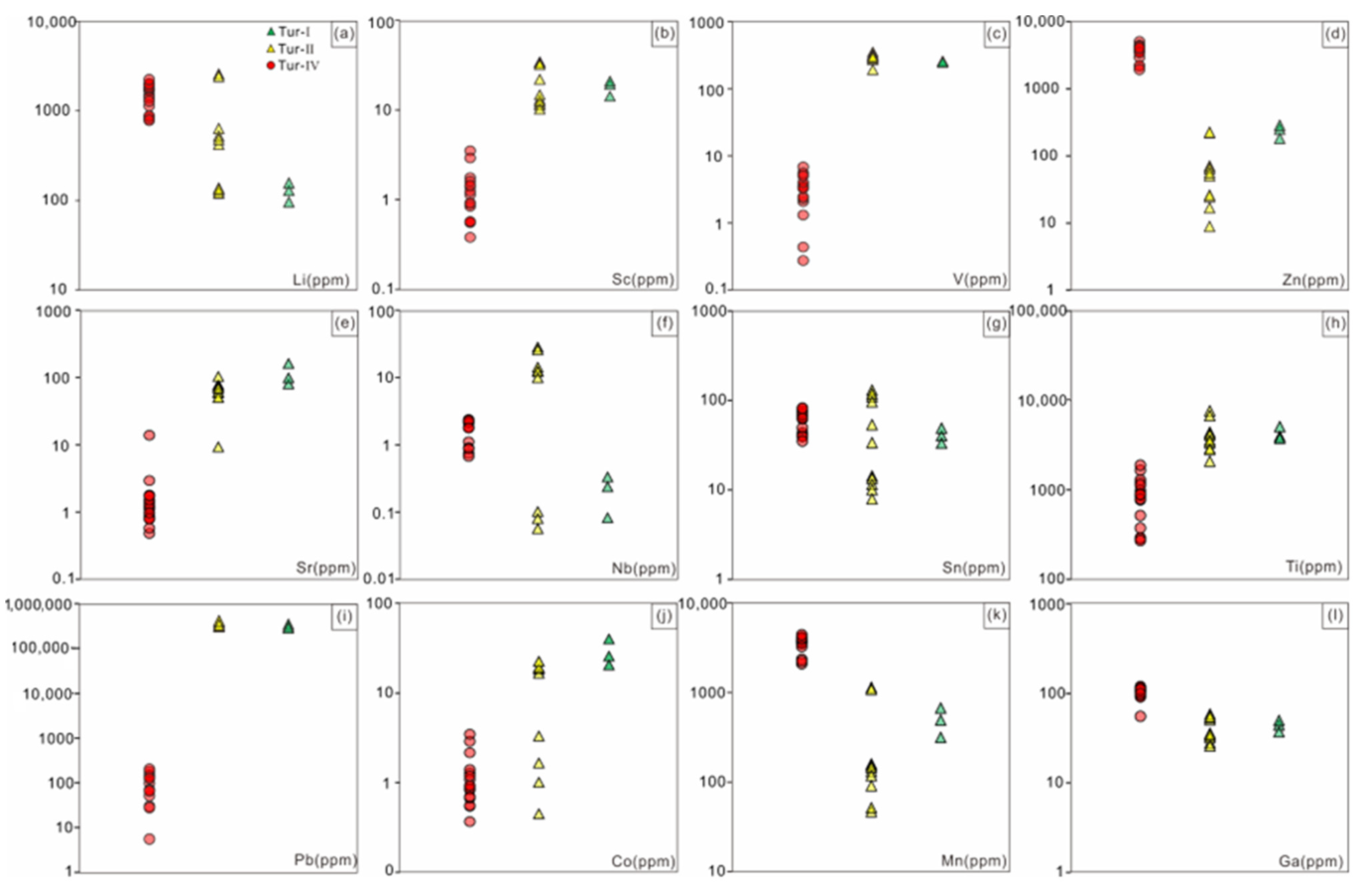
4.2. Trace Elements of Tourmaline
4.3. Boron Isotopic Compositions of Tourmaline
5. Discussion
5.1. Origin of Tourmaline
5.2. B source and Variation
5.3. Metallogenic Significance of Tourmaline from the Jiajika X03 Vein
6. Conclusions
- Compositionally, these tourmalines belong to the alkali group, and are schorl–Oxy/Fluor–schorl, dravite–Hydroxy-dravite and foitite–Oxy foitite solid solutions. The Tur-Ⅰ type belong to dravite, the Tur-Ⅱ type belong to foitite, and the Tur-Ⅲ and Tur-Ⅳ types belong schorl. Petrography, chemical discrimination diagrams and Al occupations at the Y-site indicate that the Tur-Ⅲ and Tur-Ⅳ tourmalines originate from magma and that the Tur-Ⅰ and Tur-Ⅱ tourmalines originate from the hydrothermal fluid.
- Tourmalines from the Jiajika X03 vein have a range of B isotopic compositions from −11.47‰ to −4.93‰, which is typical for S-type granites worldwide. Boron isotopic variations in tourmaline are controlled by fractionation between melt-fluid, tourmaline-fluid and Rayleigh fractionation.
- The magmatic-hydrothermal transitional stage is critical to Zn enrichment, whereas the high Zn content of the tourmalines can be act as a useful exploration tool to target mineralization.
- The Li, Mn, Zn, Mg and V contents of tourmaline in nonmineralized pegmatite and lithium mineralized pegmatite in the Jiajika X03 vein is significantly correlated with the B isotope value, indicating that the evolution differentiation of pegmatite is enhanced, and the contents are also good indicators of the type of pegmatite mineralization.
Supplementary Materials
Author Contributions
Funding
Data Availability Statement
Acknowledgments
Conflicts of Interest
References
- Jiang, S.Y.; Palmer, M.R. Boron isotope systematics of tourmaline from granites and pegmatites: A synthesis. Eur. J. Mineral. 1998, 10, 1253–1266. [Google Scholar] [CrossRef]
- Hervig, R.L.; Moore, G.M.; Williams, L.B.; Peacock, S.M.; Holloway, J.R.; Roggensack, K. Isotopic and elemental partitioning of boron between hydrous fluid and silicate melt. Am. Mineral. 2002, 87, 769–774. [Google Scholar] [CrossRef]
- Sunde, Ø.; Friis, H.; Andersen, T.; Trumbull, R.B.; Wiedenbeck, M.; Lyckberg, P.; Agostini, S.; Casey, W.H.; Yu, P. Boron isotope composition of coexisting tourmaline and hambergite in alkaline and granitic pegmatites. Lithos 2020, 352–353, 105293. [Google Scholar] [CrossRef]
- Trumbull, R.B.; Beurlen, H.; Wiedenbeck, M.; Soares, D.R. The diversity of B-isotope variations in tourmaline from rare-element pegmatites in the Borborema Province of Brazil. Chem. Geol. 2013, 352, 47–62. [Google Scholar] [CrossRef]
- Siegel, K.; Wagner, T.; Trumbull, R.B.; Jonsson, E.; Matalin, G.; Wälle, M.; Heinrich, C.A. Stable isotope (B, H, O) and mineral-chemistry constraints on the magmatic to hydrothermal evolution of the Varuträsk rare-element pegmatite (northern Sweden). Chem. Geol. 2016, 421, 1–16. [Google Scholar] [CrossRef]
- Feng, Y.G.; Liang, T.; Wang, M.X.; Zhang, Z.; Hao, Y.Y.; Cen, J.B.; Dong, Z.Y. Geochemistry of tourmaline from granitic pegmatites in East Qinling and its implications for mineralization. Acta Petrol. Sin. 2022, 38, 428–451, (In Chinese with English Abstract). [Google Scholar]
- Keller, P.; Robles, E.R.; Pérez, A.P.; Fontan, F. Chemistry, paragenesis and significance of tourmaline in pegmatites of the Southern Tin Belt, central Namibia. Chem. Geol. 1999, 158, 203–225. [Google Scholar] [CrossRef]
- Selway, J.B.; Novák, M.; Cerny, P.; Hawthorne, F.C. Compositional evolution of tourmaline in lepidolite-subtype pegmatites. Eur. J. Mineral. 1999, 11, 569–584. [Google Scholar] [CrossRef]
- Jiang, S.Y.; Radvanec, M.; Nakamura, E.; Palmer, M.; Kobayashi, K.; Zhao, H.X.; Zhao, K.D. Chemical and boron isotopic variations of tourmaline in the Hnilec granite-related hydrothermal system, Slovakia: Constraints on magmatic and metamorphic fluid evolution. Lithos 2008, 106, 1–11. [Google Scholar] [CrossRef]
- Marks, M.A.W.; Marschall, H.R.; Schühle, P.; Guth, A.; Wenzel, T.; Jacob, D.E.; Barth, M.; Markl, G. Trace element systematics of tourmaline in pegmatitic and hydrothermal systems from the Variscan Schwarzwald (Germany): The importance of major element composition, sector zoning, and fluid or melt composition. Chem. Geol. 2013, 344, 73–90. [Google Scholar] [CrossRef]
- Duchoslav, M.; Marks, M.A.W.; Drost, K.; McCammon, C.; Marschall, H.R.; Wenzel, T.; Markl, G. Changes in tourmaline compositionduring magmatic and hydrothermal processes leading to tin-oredeposition: The Cornubian Batholith, SW England. Ore Geol. Rev. 2017, 83, 215–234. [Google Scholar] [CrossRef]
- Maner, J.L.; London, D. The boron isotopic evolution of the Little Three pegmatites, Ramona, CA. Chem. Geol. 2017, 460, 70–83. [Google Scholar] [CrossRef]
- Xiang, L.; Romer, R.L.; Glodny, J.; Trumbull, R.B.; Wang, R.C. Li and B isotopic fractionation at the magmatic-hydrothermal transition of highly evolved granites. Lithos 2020, 376–377, 105753. [Google Scholar] [CrossRef]
- Wang, D.H.; Li, J.K.; Fu, X.F. The metallogenic age of the Jiajika pegmatite type rare metal deposit in Sichuan and its significance. Geochemistry 2005, 34, 541–547, (In Chinese with English Abstract). [Google Scholar] [CrossRef]
- Wang, D.H.; Chen, Y.C. A Preliminary Study on the Composition and Origin of Tourmalines in Dachang, Guangxi. Acta Petrol. Mineral. 1996, 15, 89–97, (In Chinese with English Abstract). [Google Scholar]
- Xu, Z.Q.; Fu, X.F.; Ma, X.X.; Qi, X.X.; Wu, C.; Hou, L.W.; Zhao, Z.B. The gneiss dome and prospecting prospects of the Qinghai-Tibet Plateau. Acta Geol. Sin. 2016, 90, 2971–2981, (In Chinese with English Abstract). [Google Scholar]
- Hou, L.W.; Fu, X.F. Dome-Like Metamorphic Geological Body on the Eastern Margin of the Songpan-Ganze Orogenic Belt; Sichuan University Press: Chengdu, China, 2002; pp. 63–111, (In Chinese with English Abstract). [Google Scholar]
- Xu, Z.Q.; Liang, B.; Geng, Y.; Liu, T.; Wang, Q.B. Extraction of soils above concealed lithium deposits for rare metal exploration in Jiajika area: A pilot study. Appl. Geochem. 2019, 107, 142–151. [Google Scholar] [CrossRef]
- Liang, B.; Fu, X.F.; Tang, Y. Geochemical characteristics of granites in the Jiajika rare metal mining area in western Sichuan. J. Guilin Univ. Technol. 2016, 36, 42–49, (In Chinese with English Abstract). [Google Scholar]
- Zhang, H.J.; Tian, S.L.; Wang, D.H.; Li, X.F.; Liu, T.; Zhang, Y.J.; Fu, X.F.; Hao, X.F.; Hou, K.J.; Zhao, Y.; et al. Lithium isotope behavior during magmatic differentiation and fluid exsolution in the Jiajika granite–pegmatite deposit, Sichuan, China. Ore Geol. Rev. 2021, 134, 104139. [Google Scholar] [CrossRef]
- Wang, D.H.; Fu, X.F. A breakthrough has been made in the exploration of the Jiajika peripheral lithium deposit in Sichuan. Rock Miner. Anal. 2013, 32, 987. (In Chinese) [Google Scholar] [CrossRef]
- Wang, D.H.; Liu, L.J.; Hou, J.L.; Dai, H.Z.; Yu, Y.; Dai, J.J.; Tian, S.H. A preliminary review of the application of “Five levels + Basement”model for Jiajika-style rare metal deposits. Earth Sci. Front. 2017, 24, 1–7, (In Chinese with English Abstract). [Google Scholar] [CrossRef]
- Wang, D.H.; Liu, S.B.; Yu, Y.; Wang, C.H.; Sun, Y.; Dai, H.Z.; Li, J.K.; Dai, J.J.; Wang, Y.X.; Zhao, D.; et al. Exploration progress and development suggestion for the large-scale mining base of strategic critical mineral resources in western Sichuan. Acta Geol. Sin. 2019, 93, 1444–1453, (In Chinese with English Abstract). [Google Scholar] [CrossRef]
- Fu, X.F.; Liang, B.; Zou, F.G.; Hao, X.F.; Hou, L.W. Discussion on metallogenic geological characteristics and genesisof rare polymetallic ore fields in western Sichuan. Acta Geol. Sin. 2021, 95, 3054–3068, (In Chinese with English Abstract). [Google Scholar] [CrossRef]
- Xu, Z.Q.; Wang, Z.X.; Hou, L.W. New progress in structural studies of Songpan-Ganzi orogenic belt. Geol. China 1991, 15, 14–16. (In Chinese) [Google Scholar]
- Hou, L.W.; Fu, X.F.; Wang, D.H.; Ying, L.J.; Geng, X. Current situation, potential and exploration and developing strategy of rare and dispersed elements mineral resources in Sichuan Province. Miner. Depos. 2006, 25 (Suppl. S1), 523–526, (In Chinese with English Abstract). [Google Scholar]
- Liu, S.B.; Yang, Y.Q.; Wang, D.H.; Dai, H.Z.; Ma, S.C.; Liu, L.J.; Wang, C.H. Discovery and significance of granite type lithium industrial orebody in Jiajika orefield, Sichuan Province. Acta Geol. Sin. 2019, 93, 1309–1320, (In Chinese with English Abstract). [Google Scholar] [CrossRef]
- Liu, S.B.; Wang, C.H.; Wang, D.H.; Dai, H.Z.; Ma, S.C.; Yu, Y.; Pan, M.; Hao, X.F.; Yang, R. The “3D2R- BP” large scale mapping method for blocks of pegmatite in the Jiajika deposit, western Sichuan, and significance of its application in the Qinghai-Tibet Plateau. Acta Geol. Sin. 2020, 94, 326–332, (In Chinese with English Abstract). [Google Scholar] [CrossRef]
- Liu, L.J.; Wang, D.H.; Yang, Y.Q.; Fu, X.F.; Hao, X.F.; Pan, M.; Tang, Y.; Chen, Z.Y. Metallogenic characteristics of X03 rare metal vein in Jiajika of Sichuan. J. Guilin Univ. Technol. 2016, 36, 50–59, (In Chinese with English Abstract). [Google Scholar]
- Aysal, N.; Öngen, S.; Hanilçi, N.; Kasapçı, C.; Laçin, D.; Boroğlu, M.Ş.; Yesiltas, M.; Yılmaz, İ.; Azaz, D. Late magmatic—Hydrothermal tourmaline occurrences within leucogranites in NW Anatolia (Turkey): Mineral chemistry and genetic implications. Geochemistry 2021, 81, 125676. [Google Scholar] [CrossRef]
- Liang, B.; Fu, X.F.; Li, S.H.; Tang, Y.; Pan, M.; Hao, X.F. Distribution and occurrence of Cs and other rare elements in contact metamorphic rocks of X03 supergiant deposit in Jiajika, Sichuan and its comprehensive utilization suggestion. Geol. China 2022, 49, 1214–1223, (In Chinese with English Abstract). [Google Scholar]
- Fu, X.F.; Yuan, L.P.; Wang, D.H.; Hou, L.W.; Pan, M.; Hao, X.F.; Liang, B.; Tang, Y. Mineralization characteristics and prospecting model of newly discovered X03 rare metal vein in Jiajika orefield, Sichuan. Miner. Depos. 2015, 34, 1172–1186, (In Chinese with English Abstract). [Google Scholar] [CrossRef]
- Fu, X.F.; Huang, T.; Zou, F.G.; Liang, B.; Hao, X.F.; Yang, R.; Pan, M.; Tang, Y. Ore-controlling mechanism and deep prospecting direction of Jiajika-like lithium mines. Acta Geol. Sin. 2021, 95, 791–808, (In Chinese with English Abstract). [Google Scholar] [CrossRef]
- Hou, K.J.; Li, Y.H.; Xiao, Y.K.; Liu, F.; Tian, Y.R. LA-MC-ICP-MS Technique for in situ measurement of boron isotope microregions. Chin. Sci. Bull. 2010, 55, 2207–2213. (In Chinese) [Google Scholar] [CrossRef]
- Yavuz, F.; Karakaya, N.; Yıldırım, D.K.; Karakaya, M.C.; Kumral, M. A Windows program for calculation and classification of tourmaline-supergroup (IMA-2011). Comput. Geosci. 2014, 63, 70–87. [Google Scholar] [CrossRef]
- Henry, D.J.; Novák, M.; Hawthorne, F.C.; Ertl, A.; Dutrow, B.L.; Uher, P.; Pezzotta, F. Nomenclature of the tourmaline-supergroup minerals. Am. Mineral. 2011, 96, 895–913. [Google Scholar] [CrossRef]
- Hawthorne, F.C.; Henrys, D.J. Classification of the minerals of thetourmaline group. Eur. J. Mineral. 1999, 11, 201–216. [Google Scholar] [CrossRef]
- Henry, D.J.; Guidotti, C.V. Tourmaline as a petrogenetic indicator mineral: An example from the staurolite-grade metapelites of NW Maine. Am. Miner. 1985, 70, 1–15. [Google Scholar]
- Dutrow, B.L.; Henry, D.J. Tourmaline: A geologic DVD. Elements 2011, 7, 301–306. [Google Scholar] [CrossRef]
- Dutrow, B.L.; Henry, D.J. Fibrous tourmaline: A sensitive probe of fluid compositions and petrologic environments. Can. Miner. 2016, 54, 311–335. [Google Scholar] [CrossRef]
- Slack, J.F.; Trumbull, R.B. Tourmaline as a recorder of ore-forming processes. Elements 2011, 7, 321–326. [Google Scholar] [CrossRef]
- Van Hinsberg, V.J.; Henry, D.J.; Dutrow, B.L. Tourmaline as a petrologic forensic mineral: A unique recorder of its geologic past. Elements 2011, 7, 327–332. [Google Scholar] [CrossRef]
- Van Hinsberg, V.J.; Henry, D.J.; Marschall, H.R. Tourmaline: An ideal indicator of its host environment. Can. Mineral. 2011, 49, 1–16. [Google Scholar] [CrossRef]
- London, D.; Manning, D.A. Chemical variation and significance of tourmaline from Southwest England. Econ. Geol. 1995, 90, 495–519. [Google Scholar] [CrossRef]
- London, D.; Morgan, G.B.; Wolf, M.B. Boron in granitic rocks and their contact aureoles. Rev. Mineral. 1996, 33, 299–330. [Google Scholar]
- Li, M.Z.; Qin, Y.L.; Li, Z.; Xu, Y.F.; Wu, W.H.; Liu, W.; Ye, Y.K.; Zhou, X. Geochemical characteristics of two-mica granite and granite pegmatite in Jiajika area, western Sichuan, and their geological implications. Acta Petrol. Mineral. 2018, 37, 366–378, (In Chinese with English Abstract). [Google Scholar]
- Drivenes, K.; Larsen, R.B.; Müller, A.; Sørensen, B.E.; Wiedenbeck, M.; Raanes, M.P. Late-magmatic immiscibility during batholith formation: Assessment of B isotopes and trace elements in tourmaline from the Land’s End granite, SW England. Contrib. Mineral. Petrol. 2015, 169, 56. [Google Scholar] [CrossRef]
- Yang, S.Y.; Jiang, S.Y.; Zhao, K.D.; Dai, B.Z.; Yang, T. Tourmaline as a recorder of magmatic-hydrothermal evolution: An in situ major and trace element analysis of tourmaline from the Qitianling batholith, South China. Contrib. Mineral. Petrol. 2015, 170, 42. [Google Scholar] [CrossRef]
- Sokolov, P.B.; Gorskaya, M.G.; Kretser, Y.L. Zinc-bearing tourmalines from raremetal pegmatites. Zap. Vses. Mineral. Obshchest. 1988, 117, 70–74. (In Russian) [Google Scholar]
- Pieczka, A.; Gołebiowska, B.; Jelen, P.; Włodek, A.; Szełeg, E.; Szuszkiewicz, A. Towards Zn-Dominant Tourmaline: A Case of Zn-Rich Fluor-Elbaite and Elbaite from the Julianna System at Piława Górna, Lower Silesia, SW Poland. Minerals 2018, 8, 126. [Google Scholar] [CrossRef]
- Trumbull, R.B.; Garda, G.M.; Xavier, R.P.; Cavalcanti, J.A.D.; Codeço, M.S. Tourmaline in the Passagem de Mariana gold deposit (Brazil) revisited: Major-element, trace-element and B-isotope constraints on metallogenesis. Miner. Depos. 2018, 54, 395–414. [Google Scholar] [CrossRef]
- Qiao, X.Y.; Li, W.B.; Zhang, L.J.; White, N.C.; Zhang, F.H.; Yao, Z.W. Chemical and boron isotope compositions of tourmaline in the Hadamiao porphyry gold deposit, Inner Mongolia, China. Chem. Geol. 2019, 519, 39–55. [Google Scholar] [CrossRef]
- Bea, F.; Pereira, M.D.; Stroh, A. Mineral/leucosome trace element partitioning in a peraluminous migmatite (a laser ablation-ICP-MS study). Chem. Geol. 1994, 117, 291–312. [Google Scholar] [CrossRef]
- Nash, W.P.; Crecraft, H.R. Partition coefficients for trace elements in silicic magmas. Geochem. Cosmochim. Acta 1985, 49, 2309–2322. [Google Scholar] [CrossRef]
- Kogiso, T.; Tatsumi, Y.; Nakano, S. Trace element transport during dehydration processes in the subducted oceanic crust: Experiments implications for the origin of ocean island basalts. Earth Planet. Sci. Lett. 1997, 148, 193–205. [Google Scholar] [CrossRef]
- Shore, M.; Fowler, A.D. Oscillatory zoning in minerals; a common phenomenon. Can. Mineral. 1996, 34, 1111–1126. [Google Scholar]
- Holten, T.; Jamtveit, B.; Meakin, P.; Cortini, M.; Blundy, J.; Austrheim, H. Statistical characteristics and origin of oscillatory zoning in crystals. Am. Mineral. 1997, 82, 596–606. [Google Scholar] [CrossRef]
- Launay, G.; Sizaret, S.; Lach, P.; Melleton, J.; Gloaguen, E.; Poujol, M. Genetic relationship between greisenization and Sn-W mineralizations in vein and greisen deposits: Insights from the Panasqueira deposit (Portugal). BSGF Earth. Sci. Bull. 2021, 192, 2. [Google Scholar] [CrossRef]
- Marschall, H.R.; Ludwig, T.; Altherr, R.; Kalt, A.; Tonarini, S. Syros metasomatic tourmaline: Evidence for very high-delta B11 fluids in subduction zones. J. Petrol. 2006, 47, 1915–1942. [Google Scholar] [CrossRef]
- Trumbull, R.B.; Codeço, M.S.; Jiang, S.Y.; Palmer, M.R.; Slack, J.F. Boron isotope variations in tourmaline from hydrothermal ore deposits: A review of controlling factors and insights for mineralizing systems. Ore Geol. Rev. 2020, 125, 103682. [Google Scholar] [CrossRef]
- Marschall, H.R.; Jiang, S.Y. Tourmaline isotopes: No element left behind. Elements 2011, 7, 313–319. [Google Scholar] [CrossRef]
- Palmer, M.R.; Slack, J.F. Boron isotopic composition of tourmaline from massive sulfide deposits and tourmalinites. Contrib. Mineral. Petrol. 1989, 103, 434–451. [Google Scholar] [CrossRef]
- Su, Z.K.; Zhao, X.F.; Li, X.C.; Zhou, M.F. Using elemental and boron isotopic compositions of tourmaline to trace fluid evolutions of IOCG systems: The world-class Dahongshan Fe-Cu deposit in SW China. Chem. Geol. 2016, 441, 265–279. [Google Scholar] [CrossRef]
- Zhao, Z.; Xya, B.; Qla, B.; Ylab, C.; Sca, B.; Chao, S.; Wab, H.; Shuang, L.D. In-situ boron isotopic and geochemical compositions of tourmaline from the Shangbao Nb-Ta bearing monzogranite, Nanling Range: Implication for magmatic-hydrothermal evolution of Nb and Ta. Lithos 2021, 386–387, 106010. [Google Scholar] [CrossRef]
- Codeco, M.S.; Weis, P.; Trumbull, R.B.; Pinto, F.; Lecumberri-Sanchez, P.; Wilke, F.D.H. Chemical and boron isotopic composition of hydrothermal tourmaline from the Panasqueira W-Sn-Cu deposit, Portugal. Chem. Geol. 2017, 468, 1–16. [Google Scholar] [CrossRef]
- Meyer, C.; Wunder, B.; Meixner, A.; Romer, R.L.; Heinrich, W. Boron-isotope fractionation between tourmaline and fluid: An experimental re-investigation. Contrib. Mineral. Petrol. 2008, 156, 259–267. [Google Scholar] [CrossRef]
- Palmer, M.; London, D.; Morgan, G.B., VI; Babb, H. Experimental determination of fractionation of 11B/10B between tourmaline and aqueous vapor: A temperature-and pressure-dependent isotopic system. Chem. Geol. 1992, 101, 123–129. [Google Scholar] [CrossRef]
- Kasemann, S.; Erzinger, J.; Franz, G. Boron recycling in the continental crust of the Central Andes from the Palaeozoic to Mesozoic, NW Argentina. Contrib. Mineral. Petrol. 2000, 140, 328–343. [Google Scholar] [CrossRef]
- Chaussidon, M.; Albarède, F. Secular boron isotope variations in the continental crust: An ion microprobe study. Earth Planet. Sci. Lett. 1992, 108, 229–241. [Google Scholar] [CrossRef]
- Xavier, R.P.; Wiedenbeck, M.; Trumbull, R.B.; Dreher, A.M.; Monteiro, L.V.S.; Rhede, D.; de Araújo, C.E.G.; Torresi, I. B-isotopes fingerprint marine evaporites as the source of high-salinity ore fluids in iron oxide copper-gold deposits. Carajás Miner. Prov. Geol. 2008, 36, 743–746. [Google Scholar]
- Hou, J.L. The Comparative Study of Diagenetic, Metallogenic Characteristics and Tectonic Environment of Two Kinds of Pegmatites in China. Ph.D. Thesis, Chinese Academy of Geological Sciences, Beijing, China, 2018. [Google Scholar]
- Barton, M.D. Iron oxide (Cu-Au-REE-P-Ag-U-Co) systems. In Geochemistry of Mineral Deposits; Treatise on Geochemistry; Scott, S.D., Ed.; Elsevier: Amsterdam, The Netherlands, 2014; pp. 515–541. [Google Scholar]
- Smith, M.P.; Yardley, B.W.D. The boron isotopic composition of tourmaline as a guide to fluid processes in the southwestern England orefield: An ion microprobe study. Geochim. Cosmochim. Acta 1996, 60, 1415–1427. [Google Scholar] [CrossRef]
- Zhang, S.T.; Ma, D.S.; Lu, J.J.; Zhang, R.Q.; Gao, S.Y. Chemical and boron isotopic composition of tourmaline in Baotan tin deposit, northern Guangxi, South China. Acta Geol. Sin. 2014, 88, 485–486. [Google Scholar] [CrossRef]
- Kaliwoda, M.; Marschall, H.R.; Marks, M.A.; Ludwig, T.; Altherr, R.; Markl, G. Boron and boron isotope systematics in the peralkaline Ilímaussaq intrusion (South Greenland) and its granitic country rocks: A record of magmatic and hydrothermal processes. Lithos 2011, 125, 51–64. [Google Scholar] [CrossRef]
- Kowalski, P.M.; Wunder, B.; Jahn, S. Ab initio prediction of equilibrium boron isotope fractionation between minerals and aqueous fluids at high P and T. Geochim. Cosmochim. Acta 2013, 101, 285–301. [Google Scholar] [CrossRef]
- Guo, J.; Lu, X.A.; Rzb, C.; Tao, Y.B.; Kai, W.D.; Ws, E. Chemical and boron isotopic variations of tourmaline deciphering magmatic-hydrothermal evolution at the Gejiu Sn-polymetallic district, South China. Chem. Geol. 2022, 593, 120698. [Google Scholar] [CrossRef]
- Marschall, H.R.; Foster, G. (Eds.) Boron isotopes in the ocean floor realm and the mantle. In Advances in Isotope Geochemistry-Boron Isotopes—The Fifth Element; Springer: Berlin/Heidelberg, Germany, 2018; pp. 189–215. [Google Scholar]
- Li, Y.; Zou, H.; Said, N.; Liu, H. A new classification of barite deposits in China. Ore Energy Resour. Geol. 2023, 14, 100019. [Google Scholar] [CrossRef]
- Cao, H.W.; Pei, Q.M.; Yu, X.; Cao, A.B.; Chen, Y.; Liu, H.; Zhang, K.; Liu, X.; Zhang, X.F. The long–lived partial melting of the Greater Himalayas in southern Tibet, constraints from the Miocene Gyirong anatectic pegmatite and its prospecting potential for rare element minerals. China Geol. 2023, 6, 303–321. [Google Scholar]
- Zhang, W.; Qin, S.; Zhang, W.L.; Liu, H.; Zhang, K.; Liu, X.; Zhang, X.F.; Cao, H.W. A timeline of the Cenozoic tectonic–magmatic–metamorphic evolution and development of ore resources in the Himalayas. Geol. J. 2023, 1–18. [Google Scholar] [CrossRef]
- Telus, M.; Dauphas, N.; Moynier, F.; Tissot, F.L.H.; Teng, F.Z.; Nabelek, P.L.; Craddock, P.R.; Grpat, L.A. Iron, zinc, magnesium and uranium isotopic fractionation during continental crust differentiation: The tale from migmatites, granitoids, and pegmatites. Geochim. Cosmochim. Acta 2012, 97, 247–265. [Google Scholar] [CrossRef]
- Richards, J.P.; Kerrich, R.W. Special paper: Adakite-like rocks: Their diverse origins and questionable role in metallogenesis. Econ. Geol. 2007, 102, 537–576. [Google Scholar] [CrossRef]
- Chiaradia, M.; Ulianov, A.; Kouzmanov, K.; Beate, B. Why large porphyry Cu deposits like high Sr/Y magmas? Sci. Rep. 2012, 2, 685. [Google Scholar] [CrossRef]
- Loucks, R.R. Distinctive composition of copper-oreforming arcmagmas. Aust. J. Earth Sci. 2014, 61, 5–16. [Google Scholar] [CrossRef]
- Aigner-Torres, M.; Blundy, J.; Ulmer, P.; Pettke, T. Laser ablation ICP-MS study of trace element partitioning between plagioclase and basaltic melts: An experimental approach. Contrib. Mineral. Petrol. 2007, 153, 647–667. [Google Scholar] [CrossRef]
- Li, Y.; Audetat, A.; Liu, Z.; Wang, F. Chalcophile element partitioning between Cu-rich sulfide phases and silicate melt and implications for the formation of Earth’s continental crust. Geochim. Cosmochim. Acta 2021, 302, 61–82. [Google Scholar] [CrossRef]
- Rudnick, R.L.; Gao, S. Composition of the continental crust. Treatise Geochem. 2003, 3, 1–64. [Google Scholar]
- Prokofev, V.Y.; Naumov, V.B.; Dorofeeva, V.A. Gallium concentration in natural melts and fluids. Geochem. Int. 2016, 54, 691–705. [Google Scholar] [CrossRef]
- Breiter, K.; Gardenova, N.; Kanicky, V.; Vaculovic, T. Gallium and germanium geochemistry during magmatic fractionation and post-magmatic alteration in different types of granitoids: A case study from the Bohemian Massif (Czech Republic). Geol. Carpathica 2013, 64, 171–180. [Google Scholar] [CrossRef]
- Sciuba, M.; Beaudoin, G.; Makvandi, S. Chemical composition of tourmaline in orogenic gold deposits. Miner. Depos. 2021, 56, 537–560. [Google Scholar] [CrossRef]
- Vereshchagin, O.S.; Setkova, T.V.; Rozhdestvenskaya, I.V.; Frank-Kamenetskaya, O.V.; Deyneko, D.V.; Pokholok, K.V. Synthesis and crystal structure of Ga-rich, Fe-bearing tourmaline. Eur. J. Mineral. 2016, 28, 593–599. [Google Scholar] [CrossRef]
- Drivenes, K.; Brownscombe, W.; Larsen, R.B.; Seltmann, R.; Spratt, J.; Sørensen, B.E. Classification and characterisation of magmatic–hydrothermal tourmaline by combining field observations and microanalytical techniques. IOP Conf. Ser. Mater Sci. Eng. 2020, 891, 012010. [Google Scholar] [CrossRef]
- Drivenes, K. Sn-rich tourmaline from the Land’s End granite, SW England. J. Geosci. 2022, 67, 173–189. [Google Scholar] [CrossRef]
- Vezzoni, S.; Biagioni, C.; D’Orazio, M.; Pieruccioni, D.; Galanti, Y.; Petrelli, M.; Molli, G. Evidence of Permian magmatism in the Alpi Apuane metamorphic complex (Northern Apennines, Italy): New hints for the geological evolution of the basement of the Adria plate. Lithos 2018, 318–319, 104–123. [Google Scholar] [CrossRef]
- Vereshchagin, O.S.; Wunder, B.; Britvin, S.N.; Frank-Kamenetskaya, O.V.; Wilke, F.D.H.; Vlasenko, N.S.; Shilovskikh, V.V. Synthesis and crystal structure of Pb-dominant tourmaline. Am. Mineral. 2020, 105, 1589–1592. [Google Scholar]
- Sokolov, M.; Martin, R.F. A Pb-dominant member of the tourmaline group, Minh Tien granitic pegmatite, Luc Yen district, Vietnam. Estud. Geológicos 2009, 19, 352–353. [Google Scholar]
- Van Hinsberg, V.J. Preliminary experimental data on trace-element partitioning between tourmaline and silicate melt. Can. Mineral. 2011, 49, 153–163. [Google Scholar] [CrossRef]
- Tindle, A.G.; Breaks, F.W.; Selway, J.B. Tourmaline in petalite-subtype granitic pegmatites: Evidence of fractionation and contamination from the Pakeagama Lake and Separation Lake areas of northwestern Ontario, Canada. Can. Mineral. 2002, 40, 753–788. [Google Scholar] [CrossRef]
- London, D. Pegmatites. The Canadian Mineralogist. Spec. Publ. 2008, 10, 1–347. [Google Scholar]
- Maner, J.L.; London, D.; Icenhower, J.P. Enrichment of manganese to spessartine saturation in granite-pegmatite systems. Am. Mineral. 2019, 104, 1625–1637. [Google Scholar] [CrossRef]
- Li, J.K.; Fu, X.F.; Zou, T.R.; Wang, D.H. Prospecting breakthrough and outlying prospecting prospect analysis of the lithium Jiajika deposit in Sichuan Province. Miner. Depos. 2014, 33 (Suppl. S1), 1175–1176. (In Chinese) [Google Scholar]
- Liu, L.J.; Wang, D.H.; Dai, H.Z.; Hou, J.L. Geochemical Characteristics of REE and Its Implications to X03 Super-Large Lithium Pegmatite Vein, Jiajika, Sichuan. Earth Sci. 2017, 42, 1673–1683, (In Chinese with English Abstract). [Google Scholar]












| Samples | Petrographic Characteristics | Tourmaline Characteristics | Photomicrographs |
|---|---|---|---|
| Spodumene-bearing granite pegmatite | The rock is gray–white and has medium–fine granitic blocky structures. The main minerals are spodumene (10%~20%), albite (25%~35%), quartz (35%~45%), partially visible garnet and tourmaline (1%~3%). The mineral particle size changes to a certain extent. The spodumene is approximately 0.5 mm in length, with a fine-grained texture, up to 5 cm in length, and approximately 2~5 mm in width, with a coarse-grained texture. | Tourmaline is blue and hypidiomorphic granular; the interference color for the first level is yellow, larger particles have visible colored rings, and it often appears with spodumene. | ![]() |
| Tourmaline-bearing granite pegmatite | It has gray–black mixed with gray–white spotted structures. The main minerals are albite (30%~40%), quartz (35%~45%), and tourmaline (5%~8%); the overall composition is more uniform; the tourmaline content is high; and spodumene is barely visible. | Tourmaline has an acicular or granular texture, it is colorless–green–blue, shows strong pleochroism, has parallel extinction, exists in coarse quartz and feldspar particles, and is not replaced by other minerals. | ![]() |
| Two-mica quartz schist | The schist has a porphyroblastic texture and a schistose structure, with a certain silky luster on the surface. The matrix is a flaky fine-grained structure and is mainly composed of biotite and quartz. The phenocrysts are mainly staurolite with irregular particle sizes of approximately 2~3 mm. | Tourmaline has a fine-grained structure; with euhedral granular sections; and is long, columnar and longitudinal in plan view; it is green and brown and has strong pleochroism. The tourmaline contains quartz inclusions and has a diablastic texture. | ![]() |
| Tourmaline hornfels | It is grayish black, gray or brown, homogeneous or slightly crystalline, with shell-like fractures. Quartz is the main mineral (40%~60%), followed by potassium feldspar (15%~25%), plagioclase (5%~15%), biotite (1%~2%), tourmaline (1%), etc. | Tourmaline is distributed in the rock in the form of idiomorphic–hypidiomorphic schistose textures, with filiform or granular structures, and may also exist in the form of fissure filling. | ![]() |
| Type | Tur-Ⅰ N = 5 | Tur-Ⅱ N = 4 | Tur-Ⅲ N = 13 | Tur-Ⅳ N = 43 | |||||||||
|---|---|---|---|---|---|---|---|---|---|---|---|---|---|
| Range | Mean | SD | Range | Mean | SD | Range | Mean | SD | Range | Mean | SD | ||
| SiO2 | 36.63–38.08 | 37.33 | 0.59 | 37.26–38.75 | 37.80 | 0.58 | 35.59–37.42 | 36.70 | 0.51 | 35.66–38.07 | 36.91 | 0.54 | |
| TiO2 | 0.75–1.05 | 0.86 | 0.11 | 0.39–0.81 | 0.61 | 0.17 | 0.07–0.36 | 36.70 | 0.51 | 0.00–0.29 | 0.11 | 0.06 | |
| Al2O3 | 30.53–33.03 | 31.89 | 0.81 | 33.53–34.81 | 34.23 | 0.51 | 33.48–35.45 | 0.16 | 0.08 | 32.93–36.48 | 34.51 | 0.77 | |
| V2O3 | 0.00–0.07 | 0.05 | 0.02 | 0.00–0.10 | 0.06 | 0.04 | 0.00–0.09 | 34.32 | 0.58 | 0.00–0.12 | 0.01 | 0.02 | |
| FeO | 7.32–11.02 | 8.60 | 1.41 | 5.84–6.18 | 6.05 | 0.13 | 10.90–12.90 | 0.04 | 0.03 | 9.90–13.55 | 11.90 | 0.97 | |
| MnO | 0.02–0.16 | 0.08 | 0.05 | 0.00 | 0.00 | 0.00 | 0.15–0.59 | 11.98 | 0.63 | 0.20–0.78 | 0.41 | 0.11 | |
| ZnO | 0.00–0.08 | 0.03 | 0.03 | 0.00–0.08 | 0.03 | 0.03 | 0.24–0.54 | 0.35 | 0.12 | 0.32–0.75 | 0.49 | 0.10 | |
| MgO | 3.34–5.82 | 5.17 | 0.93 | 5.81–6.20 | 6.02 | 0.15 | 0.03–0.91 | 0.42 | 0.11 | 0.00–0.74 | 0.10 | 0.15 | |
| CaO | 0.16–1.24 | 0.46 | 0.40 | 0.16–0.38 | 0.27 | 0.09 | 0.01–0.05 | 0.32 | 0.29 | 0.00–0.09 | 0.04 | 0.02 | |
| Na2O | 1.88–2.11 | 1.96 | 0.08 | 1.34–1.59 | 1.48 | 0.09 | 1.60–2.10 | 0.03 | 0.01 | 1.43–2.22 | 1.97 | 0.15 | |
| K2O | 0.01–0.03 | 0.02 | 0.01 | 0.01–0.03 | 0.02 | 0.01 | 0.02–0.06 | 1.92 | 0.15 | 0.00–0.05 | 0.03 | 0.01 | |
| F | 0.19–0.50 | 0.32 | 0.11 | 0.00–0.40 | 0.14 | 0.16 | 0.14–0.82 | 0.03 | 0.01 | 0.11–0.78 | 0.46 | 0.17 | |
| Li2O * | 0.27–0.57 | 0.44 | 0.10 | 0.24–0.48 | 0.31 | 0.10 | 0.36–0.87 | 0.52 | 0.16 | 0.33–1.17 | 0.68 | 0.19 | |
| H2O * | 2.92–3.20 | 3.08 | 0.09 | 2.97–3.14 | 3.08 | 0.07 | 2.56–2.94 | 0.61 | 0.17 | 2.54–2.96 | 2.78 | 0.09 | |
| B2O3 * | 10.48–10.72 | 10.63 | 0.11 | 10.75–10.98 | 10.85 | 0.09 | 10.38–10.57 | 2.76 | 0.09 | 10.30–10.73 | 10.49 | 0.08 | |
| O=F * | 0.08–0.21 | 0.13 | 0.05 | 0.00–0.17 | 0.06 | 0.07 | 0.06–0.35 | 10.46 | 0.05 | 0.05–0.33 | 0.20 | 0.07 | |
| Total * | 100.79–101.38 | 101.05 | 0.22 | 100.41–101.79 | 101.02 | 0.61 | 100.16–102.04 | 0.22 | 0.07 | 99.81–103.63 | 101.09 | 0.73 | |
| T-site | Al | 0.00 | 0.00 | 0.00 | 0.00 | 0.00 | 0.00 | 0.00–0.04 | 0.00 | 0.01 | 0.00–0.08 | 0.00 | 0.01 |
| Si | 6.02–6.17 | 6.11 | 0.06 | 6.02–6.13 | 6.06 | 0.05 | 5.96–6.20 | 6.10 | 0.07 | 5.92–6.29 | 6.12 | 0.08 | |
| Z-site | Al | 5.96–6.00 | 5.99 | 0.02 | 6.00 | 6.00 | 0.00 | 6.00 | 6.00 | 0.00 | 6.00 | 6.00 | 0.00 |
| Fe2+ | 0.00 | 0.00 | 0.00 | 0.00 | 0.00 | 0.00 | 0.00 | 0.00 | 0.00 | 0.00 | 0.00 | 0.00 | |
| Y-site | Al | 0.00–0.32 | 0.16 | 0.11 | 0.39–0.52 | 0.46 | 0.05 | 0.58–0.87 | 0.72 | 0.10 | 0.51–1.03 | 0.74 | 0.11 |
| Ti | 0.09–0.13 | 0.11 | 0.01 | 0.05–0.10 | 0.07 | 0.02 | 0.01–0.05 | 0.02 | 0.01 | 0.00–0.04 | 0.01 | 0.01 | |
| Fe2+* | 0.99–1.53 | 1.18 | 0.21 | 0.77–0.84 | 0.81 | 0.02 | 1.52–1.80 | 1.67 | 0.09 | 1.36–1.89 | 1.65 | 0.14 | |
| Mn | 0.003–0.02 | 0.01 | 0.01 | 0.00 | 0.00 | 0.00 | 0.02–0.08 | 0.05 | 0.02 | 0.03–0.11 | 0.06 | 0.02 | |
| Mg | 0.83–1.41 | 1.25 | 0.22 | 1.37–1.49 | 1.44 | 0.05 | 0.01–0.23 | 0.08 | 0.07 | 0.00–0.19 | 0.03 | 0.04 | |
| Zn | 0.001–0.01 | 0.00 | 0.00 | 0.00–0.01 | 0.00 | 0.00 | 0.03–0.07 | 0.05 | 0.01 | 0.04–0.09 | 0.06 | 0.01 | |
| Li | 0.18–0.37 | 0.29 | 0.07 | 0.16–0.30 | 0.20 | 0.06 | 0.24–0.58 | 0.41 | 0.11 | 0.22–0.78 | 0.45 | 0.12 | |
| X-site | Ca | 0.03–0.22 | 0.07 | 0.22 | 0.03–0.07 | 0.05 | 0.02 | 0.002–0.009 | 0.01 | 0.002 | 0.00–0.016 | 0.007 | 0.003 |
| Na | 0.59–0.66 | 0.02 | 0.66 | 0.41–0.50 | 0.46 | 0.03 | 0.52–0.68 | 0.62 | 0.05 | 0.46–0.71 | 0.63 | 0.05 | |
| K | 0.003–0.006 | 0.001 | 0.006 | 0.002–0.006 | 0.005 | 0.002 | 0.004–0.012 | 0.01 | 0.003 | 0.00–0.01 | 0.006 | 0.002 | |
| vacancy | 0.16–0.35 | 0.07 | 0.35 | 0.43–0.56 | 0.49 | 0.05 | 0.302–0.473 | 0.37 | 0.05 | 0.27–0.54 | 0.36 | 0.05 | |
| V+W-site | OH | 3.23–3.46 | 0.09 | 3.46 | 3.17–3.37 | 3.29 | 0.08 | 2.84–3.25 | 3.06 | 0.10 | 2.81–3.30 | 3.07 | 0.11 |
| O | 0.37–0.54 | 0.07 | 0.54 | 0.57–0.72 | 0.63 | 0.06 | 0.55–0.75 | 0.67 | 0.06 | 0.52–0.80 | 0.69 | 0.06 | |
| F | 0.10–0.26 | 0.06 | 0.26 | 0.00–0.20 | 0.07 | 0.08 | 0.07–0.43 | 0.27 | 0.09 | 0.06–0.41 | 0.24 | 0.09 | |
Disclaimer/Publisher’s Note: The statements, opinions and data contained in all publications are solely those of the individual author(s) and contributor(s) and not of MDPI and/or the editor(s). MDPI and/or the editor(s) disclaim responsibility for any injury to people or property resulting from any ideas, methods, instructions or products referred to in the content. |
© 2023 by the authors. Licensee MDPI, Basel, Switzerland. This article is an open access article distributed under the terms and conditions of the Creative Commons Attribution (CC BY) license (https://creativecommons.org/licenses/by/4.0/).
Share and Cite
Qin, Y.; Li, Y.; Wang, C.; Liu, L.; Hou, K.; Wang, Q. Geochemical Characteristics and Metallogenic Significance of the X03 Vein Tourmaline in the Jiajika Rare Metal Deposit, West Sichuan. Minerals 2023, 13, 805. https://doi.org/10.3390/min13060805
Qin Y, Li Y, Wang C, Liu L, Hou K, Wang Q. Geochemical Characteristics and Metallogenic Significance of the X03 Vein Tourmaline in the Jiajika Rare Metal Deposit, West Sichuan. Minerals. 2023; 13(6):805. https://doi.org/10.3390/min13060805
Chicago/Turabian StyleQin, Yan, Yang Li, Chenghui Wang, Lijun Liu, Kejun Hou, and Qian Wang. 2023. "Geochemical Characteristics and Metallogenic Significance of the X03 Vein Tourmaline in the Jiajika Rare Metal Deposit, West Sichuan" Minerals 13, no. 6: 805. https://doi.org/10.3390/min13060805
APA StyleQin, Y., Li, Y., Wang, C., Liu, L., Hou, K., & Wang, Q. (2023). Geochemical Characteristics and Metallogenic Significance of the X03 Vein Tourmaline in the Jiajika Rare Metal Deposit, West Sichuan. Minerals, 13(6), 805. https://doi.org/10.3390/min13060805





