Geochemistry and Petrogenesis of the Ediacaran Post-Collisional Granitoid Rocks in the Midyan Terrain, Northern Arabian Shield, Saudi Arabia
Abstract
1. Introduction
2. Regional Geology
- The Ghawjah Formation occurs on either side of Wadi Ghawjah, inland from Al Muwaylih in the Midyan terrain, as a succession of metavolcanic and metasedimentary rocks (more than 710 Ma). It is intruded by the Muwaylih suite (725–710 Ma) and is, therefore, older than 710 Ma [18].
- The Zaytah Formation occurs in the northern part of the Midyan terrain as a succession of felsic lava and tuff, tuffite, graywacke, and mafic and felsic schists that have metamorphosed to greenschist facies [20]. This formation is broadly correlated with the Silesia and Hegaf formations, with an age of more than 710 Ma.
- The Amlas Formation occurs as a long belt about 60 km long in the northern part of the Midyan terrain and is mainly composed of metasediments and subordinate volcanic rock that is partly bounded from the north and south by ultramafic-decorated fault zones [20].
- The Hinshan Formation crops out east of Haql in the extreme northwestern part of the AS. It comprises intermediate to felsic volcanic and sedimentary rocks that have metamorphosed to greenschist facies and includes andesitic and rhyolitic flows, tuffs, minor basalt, and well-bedded and locally graded graywacke, siltstone, and shale [21].
3. Materials and Methods
3.1. Fieldwork
3.2. Petrography and Mineralogy
3.3. Whole-Rock Geochemistry
4. Results
4.1. Field Description
4.2. Petrography and Mineralogy
Silicic Dykes
4.3. Whole-Rock Geochemistry
4.3.1. Major and Trace Element Characteristics
4.3.2. Trace and Rare Earth Elements
4.3.3. Whole-Rock Geochemistry of Silicic Dykes
5. Discussion
5.1. Petrogenesis and Magma Source of Midyan and Hael Granitoids
Implications of Trace and Rare Earth Elements
5.2. Typology and Tectonic Setting
5.3. Estimated Temperature and Pressure of Magma
5.4. A-type Granites: Reduced or Oxidized Nature?
5.5. Tectonic Evolution
- The primary collisional stage, which occurred 850–620 Ma, started during the main stage of subduction with the closing of the Mozambique ocean and the initiation of the Gondwana assembly. It occurred due to dehydration of the subducted oceanic plate under relatively deep conditions (5.8–15.5 km) and favored melting of the upper mantle, which penetrated the continental crust and gave rise to calc-alkaline volcanic-arc magmatism. The arcs collided to form larger composite terrains, which are now delineated by ophiolite-decorated sutures [68]. Orogenic collapse and accretion occurred because of the closing of the Mozambique Ocean, which led to the complete cratonization and amalgamation of many distinct ANS terrains at the end of the Ediacaran period, as suggested by Johnson et al. [69].
- Hydration of the upper mantle at 620 Ma occurred due to the melting of the oceanic subduction slab. The lower crust was then able to melt at relatively shallower depths, giving rise to more calc-alkaline granites (tonalitic melt) derived from the partial melting.
- The dehydration and crustal incorporation stage (620–590 Ma) occurred during the warning stage of subduction, whereby orogenic magmatic activity peaked because the water supply was terminated. Calc-alkaline magmatism that occurred during the collision was followed by the formation of alkaline magma during uplifting and transcurrent movement. This event marks the post-orogenic transition from the calc-alkaline (∼630–590 Ma) to the alkaline (∼610–590 Ma) stage due to the relaxation of the anorogenic regime. A large volume of post-collisional magmatic rocks was emplaced in the ANS during the period of extensional tectonism that occurred after accretion [70]. This orogenic event was followed by continued convergence and tectonic escape between 610 and 540 Ma [71,72,73]. This transition during ANS crust evolution has been explained as a lithospheric delamination process [74,75].
- The anorogenic within-plate-rifting extension stage (590–560 Ma) occurred due to the partial melting of a relatively enriched source of crustal alkaline magma in the tension and relaxation stages, which raised the viscosity/lowered the pressure differentiation. Overheating and pressure accelerated the extensional regime. Thickening of the upper crust (1.2–1.5 kbar) became the predominant event. The presence of dykes in the studied areas indicates an abundance of the inferred extensional structure during this stage of ANS evolution. This was the final stage of the Neoproterozoic crustal evolution of the ANS.
6. Summary
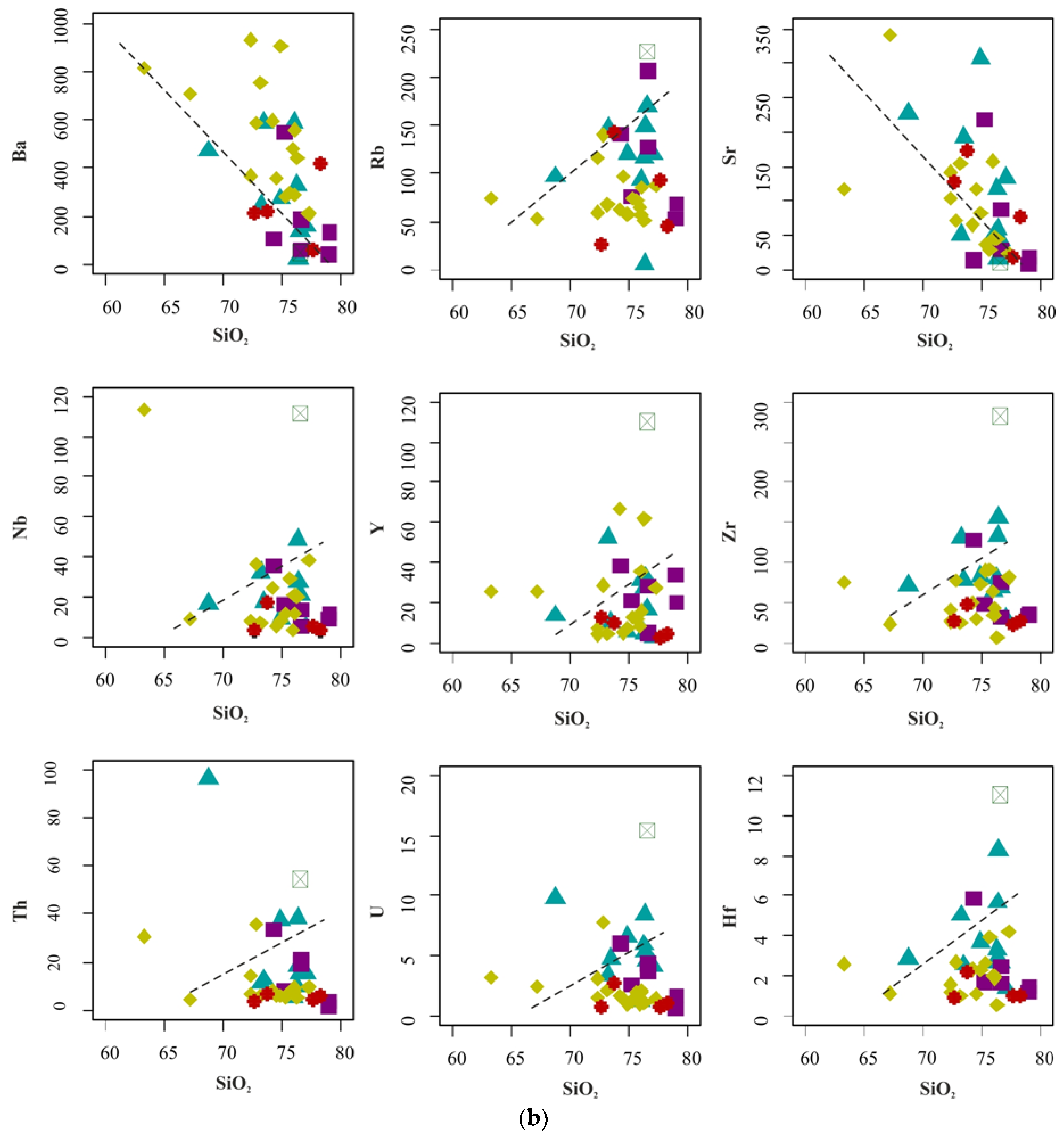
- Petrographically, Midyan granites are mainly composed of alkali feldspar granites, syenogranites, and monzogranites, and rarely, granodiorite and diorite. Trace element concentrations vary widely among the studied granites of the Midyan Terrain. LILEs show wide Ba variation in different areas, with an average range of 141.7 to 530 ppm; Rb content ranges between 52.65 and 186.75 ppm, whereas Sr ranges from 31.25 to 225.75 ppm. Among the HFSEs, Zr has an average range between 22.17 and 92.5 ppm, Nb has an average range between 4.02 and 26.58 ppm, Th has an average range between 4.07 and 23.12 ppm, U ranges between 0.97 and 5.08 ppm, Hf ranges between 0.93 and 4.41 ppm, and Ta ranges between 0.6 and 2.95 ppm. Hael granites show very high concentrations of trace elements, including Rb (226 ppm), Y (110.3 ppm), Zr (282.4 ppm), Th (54.4 ppm), Hf (11.01 ppm), Ta (7.7 ppm), and U (15.4 ppm). Based on the present geochemical data, the studied granites are considered good sources of REEs, radioactive elements, and geothermal heat.
- The geochemical data of the studied granites indicate that they are mainly alkali feldspar granites and syenogranites, and rarely, granodiorite and diorite. According to their chemical characteristics, these rocks are derived from metaluminous to peraluminous magmas. The data of the studied granites were plotted in within-plate and volcanic-arc settings, which points to a post-collision origin. Midyan granites have an Nb/Th ratio similar to the average composition of the lower and upper crust, suggesting that granite magma does not originate from partially melted mantle peridotite or partially melted basalt. The studied granites are shown to derive from melt generated at a crystallization temperature of around 750 °C at a pressure of around 0.2–0.5 GPa and to be crystallized at relatively shallow to moderate depths of between 20 and 30 km
- Whole-rock chemistry shows that the dykes extruded in the Midyan granites have rhyolite and trachyte compositions, with small amounts of basalt and andesite. The dykes are mainly composed of alkaline to sub-alkaline magma emplaced in a within-plate to volcanic-arc setting. These dykes contain plateau volcanics of continental origin. The presence of dyke swarms emplaced in the studied granites may indicate an abundance of the extensional structure during the last stage of ANS crust evolution.
Supplementary Materials
Author Contributions
Funding
Data Availability Statement
Acknowledgments
Conflicts of Interest
Abbreviations
| Abbreviation | Description |
| ANS | Arabian-Nubian Shield |
| AS | Arabian Shield |
| XPL | Cross-polarized light |
| TAS | Total alkali and silica |
| MALI | Alkali-lime index |
| ASI | Aluminium saturation index |
| LILEs | Large-ion lithophile elements |
| HFSEs | High-field strength elements |
| CI | Chondrite |
| LREEs | Light-rare earth elements |
| TZr | Zr saturation temperature |
| Ab–Or–Qz | Albite- Orthoclase- Quartz |
| R1 | (4Si−11(Na + K) − 2(Fe + Ti) |
| R2 | 6Ca + 2Mg + Al |
References
- Patchett, P.J.; Chase, C.G. Role of transform continental margins in major crustal growth episodes. Geology 2002, 30, 39–42. [Google Scholar] [CrossRef]
- Stoeser, D.B.; Frost, C.D. Nd, Pb, Sr, and O isotopic characterization of Saudi Arabian shield 852 terranes. Chem. Geol. 2006, 226, 163–188. [Google Scholar] [CrossRef]
- Ali, K.A.; Azer, M.K.; Gahlan, H.A.; Wilde, S.A.; Samuel, M.D.; Stern, R.J. Age constraints on the formation and emplacement of Neoproterozoic ophiolites along the Allaqi–Heiani Suture, South Eastern Desert of Egypt. Gondwana Res. 2010, 18, 583–595. [Google Scholar] [CrossRef]
- Al-Shanti, M.A.; Pint, J.J.; Al-Juaid, A.J.; Al-Amoudi, S.A. Preliminary Survey for Caves in the Habakah Region of the Kingdom of Saudi Arabia: Saudi Geological Survey Open-File Report SGS-OF; Saudi Geological Survey: Jeddah, Saudi Arabia, 2003; p. 32.
- Stern, R.J. Arc-assembly and continental collision in the Neoproterozoic African orogen: Implications for the consolidation of Gondwanaland. Annu. Rev. Earth Planet. Sci. 1994, 22, 319–351. [Google Scholar] [CrossRef]
- Nehlig, P.; Genna, A.; Asirfane, F. A review of the Pan-African evolution of the Arabian Shield. GeoArabia 2002, 7, 103–124. [Google Scholar] [CrossRef]
- Moghazi, A.M.; Harbi, H.M.; Ali, K.A. Geochemistry of the Late Neoproterozoic Had badh Dayheen ring complex, Central Arabian Shield: Implications for the origin rare-metal-bearing post-orogenic A-type granites. J. Asian Earth Sci. 2011, 42, 1324–1340. [Google Scholar] [CrossRef]
- Ali, K.A.; Jeon, H.; Andresen, A.; Li, S.Q.; Harbi, H.M.; Hegner, E. U–Pb zircon geochronology and Nd–Hf–O isotopic systematics of the Neoproterozoic Hadb adh Dayheen ring complex, Central Arabian Shield, Saudi Arabia. Lithos 2015, 206, 348–360. [Google Scholar] [CrossRef]
- Stoeser, D.B. Distribution and tectonic setting of plutonic rocks of the Arabian shield. J. Afr. Earth Sci. 1986, 4, 21–46. [Google Scholar] [CrossRef]
- Bakhsh, R.A.; Alderton, D.H. Characterisation of granites from the Midyan terrain, NW Saudi Arabia. Arab. J. Geosci. 2014, 7, 1637–1658. [Google Scholar] [CrossRef]
- Stoeser, D.B.; Camp, V.E. Pan-African microplate accretion of the Arabian Shield. Geol. Soc. Am. Bull. 1985, 96, 817–826. [Google Scholar] [CrossRef]
- Windley, B.F.; Whitehouse, M.J.; Ba-Bttat, M.A.O. Early Precambrian gneiss terranes and Pan African island arcs in Yemen: Crustal accretion of the eastern Arabian Shield. Geology 1996, 24, 131–134. [Google Scholar] [CrossRef]
- Johnson, P.R.; Woldehaimanot, B. Development of the Arabian-Nubian Shield: Perspectives on accretion and deformation in the northern East African Orogen and the assembly of Gondwana. Geol. Soc. Lond. Spec. Publ. 2003, 206, 289–325. [Google Scholar] [CrossRef]
- Ramsay, C.R.; Drysdall, A.R.; Clark, M.D. Felsic plutonic rocks of the Midyan region, Kingdom of Saudi Arabia—I. Distribution, classification and resource potential. J. Afr. Earth Sci. 1986, 4, 63–77. [Google Scholar] [CrossRef]
- Johnson, P.R. Digital map of Proterozoic Rocks in Western Saudi Arabia: Meta-Data; Saudi Geological Survey Data-File Report SGS-DF-2005-7; Saudi Arabian Directorate General of Mineral Resources: Jeddah, Saudi Arabia, 2006.
- Drysdall, A.R. Geology and Mineral Potential of the Granites of N.W; Hijaz: Interim report no. 1: Saudi Arabian Directorate General of Mineral Resources Open-File Report DGMR-722; Saudi Arabian Directorate General of Mineral Resources: Jeddah, Saudi Arabia, 1980.
- Hedge, C.E. Precambrian Geochronology of Part of Northwestern Saudi Arabia: Saudi Arabian Deputy Ministry for Mineral Resources Open-File Report USGS-OF-04-31; Saudi Arabian Directorate General of Mineral Resources: Jeddah, Saudi Arabia, 1984.
- Davies, F.B.; Grainger, D.J. Geologic Map of the Al Muwaylih Quadrangle, Sheet 27A, Kingdom of Saudi Arabia: Saudi Arabian Deputy Ministry for Mineral Resources Geoscience Map GM-82, Scale 1:250,000; Saudi Arabian Directorate General of Mineral Resources: Jeddah, Saudi Arabia, 1985; 32p.
- Sahl, M. Reconnaissance Geology of the Tayyib al Ism Quadrangle, Sheet 28/34B, Kingdom of Saudi Arabia: Saudi Arabian Directorate General of Mineral Resources Open-File Report DGMR-OF-01-18; Saudi Arabian Directorate General of Mineral Resources: Jeddah, Saudi Arabia, 1981; 24p.
- Clark, M.D. Geologic Map of the Al Bad Quadrangle, Sheet 28A, Kingdom of Saudi Arabia: Saudi Arabian Directorate General of Mineral Resources Geoscience Map GM-81, Scale 1:250,000; Saudi Arabian Directorate General of Mineral Resources: Jeddah, Saudi Arabia, 1987; 46p.
- Rowaihy, N.M. Geologic Map of the Haql Quadrangle, Sheet 29A, Kingdom of Saudi Arabia: Saudi Arabian Directorate General of Mineral Resources Geoscience Map GM-80, Scale 1:250,000; Saudi Arabian Directorate General of Mineral Resources: Jeddah, Saudi Arabia, 1985; 15p.
- Janoušek, V.; Farrow, C.M.; Erban, V. Interpretation of whole-rock geochemical data in igneous geochemistry: Introducing Geochemical Data Toolkit (GCDkit). J. Petrol. 2006, 47, 1255–1259. [Google Scholar] [CrossRef]
- Middlemost, E.A.K. Magma and Magmatic Rocks, an Introduction to Igneous Petrology; Longman Inc.: New York, NY, USA, 1985; 257p. [Google Scholar]
- De la Roche, H.; Leterrier, J.; Grandclaude, P.; Marchal, M. A Classification of Volcanic and Plutonic Rocks Using R1- R2 Diagrams and Major Element Analyses—Its Relationships with Current Nomenclature. Chem. Geol. 1980, 29, 183–210. [Google Scholar] [CrossRef]
- Frost, B.R.; Barnes, C.G.; Collins, W.J.; Arculus, R.J.; Ellis, D.J.; Frost, C.D. A geochemical classification for granitic rocks. J. Petrol. 2001, 42, 2033–2048. [Google Scholar] [CrossRef]
- McDonough, W.F.; Sun, S.S. The composition of the Earth. Chem. Geol. 1995, 120, 223–253. [Google Scholar] [CrossRef]
- Kelemen, S.R.; George, G.N.; Gorbaty, M.L. Direct determination and quantification of sulphur forms in heavy petroleum and coals: 1. The X-ray photoelectron spectroscopy (XPS) approach. Fuel 1990, 69, 939–944. [Google Scholar] [CrossRef]
- Anders, E.; Grevesse, N. Abundances of the elements: Meteoritic and solar. Geochim. Cosmochim. Acta 1989, 53, 197–214. [Google Scholar] [CrossRef]
- Li, H.; Zhou, Z.K.; Evans, N.J.; Kong, H.; Wu, Q.H.; Xi, X.S. Fluid-zircon interaction during low-temperature hydrothermal processes: Implications for the genesis of the Banxi antimony deposit, South China. Ore Geol. Rev. 2019, 114, 103137. [Google Scholar] [CrossRef]
- Winchester, J.A.; Floyd, P.A. Geochemical discrimination of different magma series and their differentiation products using immobile elements. Chem. Geol. 1977, 20, 325–343. [Google Scholar] [CrossRef]
- Schweitzer, J.; Kröner, A. Geochemistry and petrogenesis of early Proterozoic intracratonic volcanic rocks of the Ventersdorp Supergroup, South Africa. Chem. Geol. 1985, 51, 265–288. [Google Scholar] [CrossRef]
- Al-Malabeh, A. The Volcanology, Mineralogy and Geochemistry of Selected Pyroclastic Cones from NE-Jordan and Their Evaluation for Possible Industrial Applications. Ph.D. Thesis, Universität Erlangen, Nurnberg, Germany, 1993; 300p. [Google Scholar]
- Chandrasekharam, D.; Parthasarathy, A. Geochemical and tectonic studies on the coastal and inland Deccan Trap volcanics and a model for the evolution of Deccan Trap volcanism. Neues Jahrb. Mineral. Abh. 1978, 132, 214–229. [Google Scholar]
- Irvine, T.N.; Baragar, W.R.A. A guide to the chemical classification of the common volcanic rocks. Can. J. Earth Sci. 1971, 8, 523–548. [Google Scholar] [CrossRef]
- Chappell, B.W.; White, A.J.R. Two contrasting granite type. Pacific Geol. 1974, 8, 173–174. [Google Scholar]
- Jahn, B.M.; Wu, F.; Chen, B. Granitoids of the Central Asian Orogenic Belt and continental growth in the Phanerozoic. Earth Environ. Sci. Trans. R. Soc. Edinb. 2000, 91, 181–193. [Google Scholar]
- Wu, F.Y.; Jahn, B.M.; Wilde, S.; Sun, D.Y. Phanerozoic crustal growth: U–Pb and Sr–Nd isotopic evidence from the granites in northeastern China. Tectonophysics 2000, 328, 89–113. [Google Scholar] [CrossRef]
- Koepke, J.; Feig, S.T.; Snow, J.; Freise, M. Petrogenesis of oceanic plagiogranites by partial melting of gabbros: An experimental study. Contrib. Mineral. Petrol. 2004, 146, 414–432. [Google Scholar] [CrossRef]
- Annen, C.; Blundy, J.D.; Sparks, R.S.J. The genesis of intermediate and silicic magmas in deep crustal hot zones. J. Petrol. 2006, 47, 505–539. [Google Scholar] [CrossRef]
- Smithies, R.H.; Howard, H.M.; Evins, P.M.; Kirkland, C.L.; Kelsey, D.E.; Hand, M.; Wingate, M.T.D.; Collins, A.S.; Belousova, E. High temperature granite magmatism, crust-mantle interaction and the Mesoproterozoic intracontinental evolution of the Musgrave Province, Central Australia. J. Petrol. 2011, 52, 931–958. [Google Scholar] [CrossRef]
- Taylor, S.R.; McLennan, S.M. The continental crust: Its composition and evolution; U.S. Department of Energy Office of Scientific and Technical Information: Oak Ridge, TN, USA, 1985; pp. 301–324.
- Saunders, A.D.; Norry, M.J.; Tarney, J. Origin of MORB and chemically-depleted mantle reservoirs: Trace element constraints. J. Petrol. 1988, 415–445. [Google Scholar] [CrossRef]
- Weaver, B.L. The origin of ocean island basalt end-member compositions: Trace element and isotopic constraints. Earth Planet. Sci. Lett. 1991, 104, 381–397. [Google Scholar] [CrossRef]
- Rudnick, R.L.; Gao, S. Composition of the continental crust. Treatise Geochem. 2003, 3, 1–64. [Google Scholar]
- Zhang, Y.T.; Zhang, L.C.; Ying, J.F.; Zhou, X.H.; Wang, F.; Hou, Q.L.; Liu, Q. Geochemistry and Source Characteristics of Early Cretaceous Volcanic Rocks in Tahe, North Da Hinggan Mountain. Acta Petrol. Sin. 2007, 23, 2811–2822. [Google Scholar]
- Chen, Y.W.; Bi, X.W.; Hu, R.Z.; Qi, H.W. Comparison of geochemical characteristic of uranium- and non-uranium-bearing Indosinian granites in Guidong composite pluton. J. Mineral Petrol. 2009, 3, 106–114, (In Chinese with English Abstract). [Google Scholar]
- Schiano, P.; Monzier, M.; Eissen, J.P.; Martin, H.; Koga, K.T. Simple mixing as the major control of the evolution of volcanic suites in the Ecuadorian Andes. Contrib. Mineral. Petrol. 2010, 160, 297–312. [Google Scholar] [CrossRef]
- Skjerlie, K.P.; Patiño Douce, A.E. The fluid-absent partial melting of a zoisite-bearing quartz eclogite from 1· 0 to 3· 2 GPa; implications for melting in thickened continental crust and for subduction-zone processes. J. Petrol. 2002, 43, 291–314. [Google Scholar] [CrossRef]
- Sisson, T.W.; Ratajeski, K.; Hankins, W.B.; Glazner, A.F. Voluminous granitic magmas from common basaltic sources. Contrib. Mineral. Petrol. 2005, 148, 635–661. [Google Scholar] [CrossRef]
- Laurent, O.; Martin, H.; Moyen, J.F.; Doucelance, R. The diversity and evolution of late-Archean granitoids: Evidence for the onset of “modernstyle” plate tectonics between 3.0 and 2.5 Ga. Lithos 2014, 205, 208–235. [Google Scholar] [CrossRef]
- Chappell, B.W. Aluminium saturation in I-and S-type granites and the characterization of fractionated haplogranites. Lithos 1999, 46, 535–551. [Google Scholar] [CrossRef]
- Bonin, B. A-type granites and related rocks: Evolution of a concept, problems and prospects. Lithos 2007, 97, 1–29. [Google Scholar] [CrossRef]
- White, A.J.R.; Chappell, B.W. Granitoid types and their distribution in the Lachlan Fold Belt, southeastern Australia. Geol. Soc. Am. Mem. 1983, 159, 21–34. [Google Scholar]
- Kleemann, G.J.; Twist, D. The compositionally-zoned sheet like granite pluton of the Bushveld Complex: Evidence bearing on the nature of A-type magmatism. J. Petrol. 1989, 30, 1383–1414. [Google Scholar] [CrossRef]
- Chappell, B.W.; White, A.J.R.; Hine, R. Granite provinces and basement terranes in the Lachlan Fold Belt, southeastern Australia. Aust. J. Earth Sci. 1988, 35, 505–521. [Google Scholar] [CrossRef]
- Eby, G.N. Chemical subdivision of the A-type granitoids: Petrogenetic and tectonic implications. Geology 1992, 20, 641–644. [Google Scholar] [CrossRef]
- Pearce, J.A.; Harris, N.B.; Tindle, A.G. Trace element discrimination diagrams for the tectonic interpretation of granitic rocks. J. Petrol. 1984, 25, 956–983. [Google Scholar] [CrossRef]
- Maniar, D.D.; Piccolo, P.M. Tectonic Discrimination of granitoids. Geol. Soc. Am. Bull. 1989, 101, 635–643. [Google Scholar] [CrossRef]
- Batchelor, R.A.; Bowden, P. Petrogenetic interpretation of granitoid rock series using multicationic parameters. Chem. Geol. 1985, 48, 43–55. [Google Scholar] [CrossRef]
- Johannes, W.; Holtz, F. Petrogenesis and Experimental Petrology of Granitic Rocks; Springer Science & Business Media: Berlin/Heidelberg, Germany, 1996. [Google Scholar]
- Jung, S.; Pfänder, J.A. Source composition and melting temperatures of orogenic granitoids: Constraints from CaO/Na2O, Al2O3/TiO2 and accessory mineral saturation thermometry. Eur. J. Mineral. 2007, 19, 859–870. [Google Scholar] [CrossRef]
- Watson, E.B.; Harrison, T.M. Zircon saturation revisited: Temperature and composition effects in a variety of crustal magma types. Earth Planet. Sci. Lett. 1983, 64, 295–304. [Google Scholar] [CrossRef]
- Boehnke, P.; Watson, E.B.; Trail, D.; Harrison, T.M.; Schmitt, A.K. Zircon saturation re-revisited. Chem. Geol. 2013, 351, 324–334. [Google Scholar] [CrossRef]
- Miller, C.F.; McDowell, S.M.; Mapes, R.W. Hot and cold granites? Implications of zircon saturation temperatures and preservation of inheritance. Geology 2003, 31, 529–532. [Google Scholar] [CrossRef]
- Condie, K.C.; Hunter, D.R. Trace element geochemistry of Archean granitic rocks from the Barberton region, South Africa. Earth Planet. Sci. Lett. 1976, 29, 389–400. [Google Scholar] [CrossRef]
- Dall’Agnol, R.; de Oliveira, D.C. Oxidized, magnetite-series, rapakivi-type granites of Carajás, Brazil: Implications for classification and petrogenesis of A-type granites. Lithos 2007, 93, 215–233. [Google Scholar] [CrossRef]
- Robinson, F.A.; Foden, J.D.; Collins, A.S.; Payne, J.L. Arabian Shield magmatic cycles and their relationship with Gondwana assembly: Insights from zircon U–Pb and Hf isotopes. Earth Planet. Sci. Lett. 2014, 408, 207–225. [Google Scholar] [CrossRef]
- Stern, R.J.; Johnson, P.R.; Kroner, A.; Yibas, B. Neoproterozoic ophiolites of the Arabian-Nubian Shield. In Precambrian Ophiolites and Related Rocks; Kusky, T., Ed.; El-Sevier: Amsterdam, The Netherlands, 2004; Volume 13, pp. 95–128, Chapter 3. [Google Scholar]
- Johnson, P.R.; Andresen, A.; Collins, A.S.; Fowler, A.R.; Fritz, H.; Ghebreab, W.; Kusky, T.; Stern, R. J. Late Cryogenian–Ediacaran history of the Arabian-Nubian Shield: A review of depositional, plutonic, structural, and tectonic events in the closing stages of the northern East African Orogen. J. Afr. Earth Sci. 2011, 61, 167–232. [Google Scholar] [CrossRef]
- Stern, R.J.; Johnson, P. Continental lithosphere of the Arabian Plate: A geologic, petrologic, and geophysical synthesis. Earth-Sci. Rev. 2010, 101, 29–67. [Google Scholar] [CrossRef]
- Stern, R.J. Neoproterozoic crustal growth: The solid Earth system during acritical episode of the Earth history. Gondwana Res. 2008, 14, 33–50. [Google Scholar] [CrossRef]
- Greiling, R.O.; Abdeen, M.M.; Dardir, A.A.; El Akhal, H.; El Ramly, M.F.; El Din Kamal, G.M.; Osman, A.F.; Rashwan, A.A.; Rice, A.H.N.; Sadek, M.F. A structural synthesis of the Proterozoic Arabian–Nubian Shield in Egypt. Geol. Rundschau 1994, 83, 484–501. [Google Scholar] [CrossRef]
- Genna, A.; Nehlig, P.; Le Goff, E.; Gguerrot, C.C.; Shanti, M. Proterozoic tectonism of the Arabian Shield. Precambrian Res. 2002, 117, 21–40. [Google Scholar] [CrossRef]
- Farahat, E.S.; Mohamed, H.A.; Ahmed, A.F.; El Mahallawi, M.M. Origin of I- and 60. A-typegranitoids from the Eastern Desert of Egypt: Implica-tions for crustal growth in the northern Arabian-Nubian Shield. J. African Earth Sci. 2007, 49, 43–58. [Google Scholar] [CrossRef]
- Farahat, E.S.; Zaki, R.; Hauzenberger, C.; Sami, M. The Neoproterozoic calc-alkaline peraluminous granitoids of the Deleihimmi pluton, central Eastern Desert, Egypt: Implications for transition from late- to post-collisional tectono-magmatic evolution in the northern Arabian–Nubian Shield. Geol. J. 2011, 46, 544–560. [Google Scholar] [CrossRef]



















Disclaimer/Publisher’s Note: The statements, opinions and data contained in all publications are solely those of the individual author(s) and contributor(s) and not of MDPI and/or the editor(s). MDPI and/or the editor(s) disclaim responsibility for any injury to people or property resulting from any ideas, methods, instructions or products referred to in the content. |
© 2023 by the authors. Licensee MDPI, Basel, Switzerland. This article is an open access article distributed under the terms and conditions of the Creative Commons Attribution (CC BY) license (https://creativecommons.org/licenses/by/4.0/).
Share and Cite
Lashin, A.; Anbar, M.A.; Aboud, E.; Zaidi, F.; Al-Bassam, A.; Al Arifi, N.; Al-Homadhi, E. Geochemistry and Petrogenesis of the Ediacaran Post-Collisional Granitoid Rocks in the Midyan Terrain, Northern Arabian Shield, Saudi Arabia. Minerals 2023, 13, 379. https://doi.org/10.3390/min13030379
Lashin A, Anbar MA, Aboud E, Zaidi F, Al-Bassam A, Al Arifi N, Al-Homadhi E. Geochemistry and Petrogenesis of the Ediacaran Post-Collisional Granitoid Rocks in the Midyan Terrain, Northern Arabian Shield, Saudi Arabia. Minerals. 2023; 13(3):379. https://doi.org/10.3390/min13030379
Chicago/Turabian StyleLashin, Aref, Mohammed Abu Anbar, Essam Aboud, Faisal Zaidi, Abdulaziz Al-Bassam, Nassir Al Arifi, and Emad Al-Homadhi. 2023. "Geochemistry and Petrogenesis of the Ediacaran Post-Collisional Granitoid Rocks in the Midyan Terrain, Northern Arabian Shield, Saudi Arabia" Minerals 13, no. 3: 379. https://doi.org/10.3390/min13030379
APA StyleLashin, A., Anbar, M. A., Aboud, E., Zaidi, F., Al-Bassam, A., Al Arifi, N., & Al-Homadhi, E. (2023). Geochemistry and Petrogenesis of the Ediacaran Post-Collisional Granitoid Rocks in the Midyan Terrain, Northern Arabian Shield, Saudi Arabia. Minerals, 13(3), 379. https://doi.org/10.3390/min13030379

