Characteristics and Controlling Factors of Pores in Different Shale Lithofacies Reservoirs of Lower Cambrian Qiongzhusi Formation, Southwestern Sichuan Basin, China
Abstract
:1. Introduction
2. Geological Setting
3. Samples and Methods
3.1. Samples
3.2. Analytical Methods
3.2.1. TOC and Minerals
3.2.2. FE-SEM
3.2.3. Polarizing Microscope
3.2.4. Low-Pressure Gas Adsorption
3.2.5. Mercury-Intrusion Porosimetry
4. Results
4.1. Mineral and Organic Chemical Characteristics
4.2. Lithofacies Characteristics
4.3. Pore Characteristics
4.3.1. Organic Matter Pores (OM Pore)
4.3.2. Intergranular Pore
4.3.3. Intragranular Dissolution Pores (IntraGD Pore)
4.3.4. Microfractures
4.4. Pore Structure
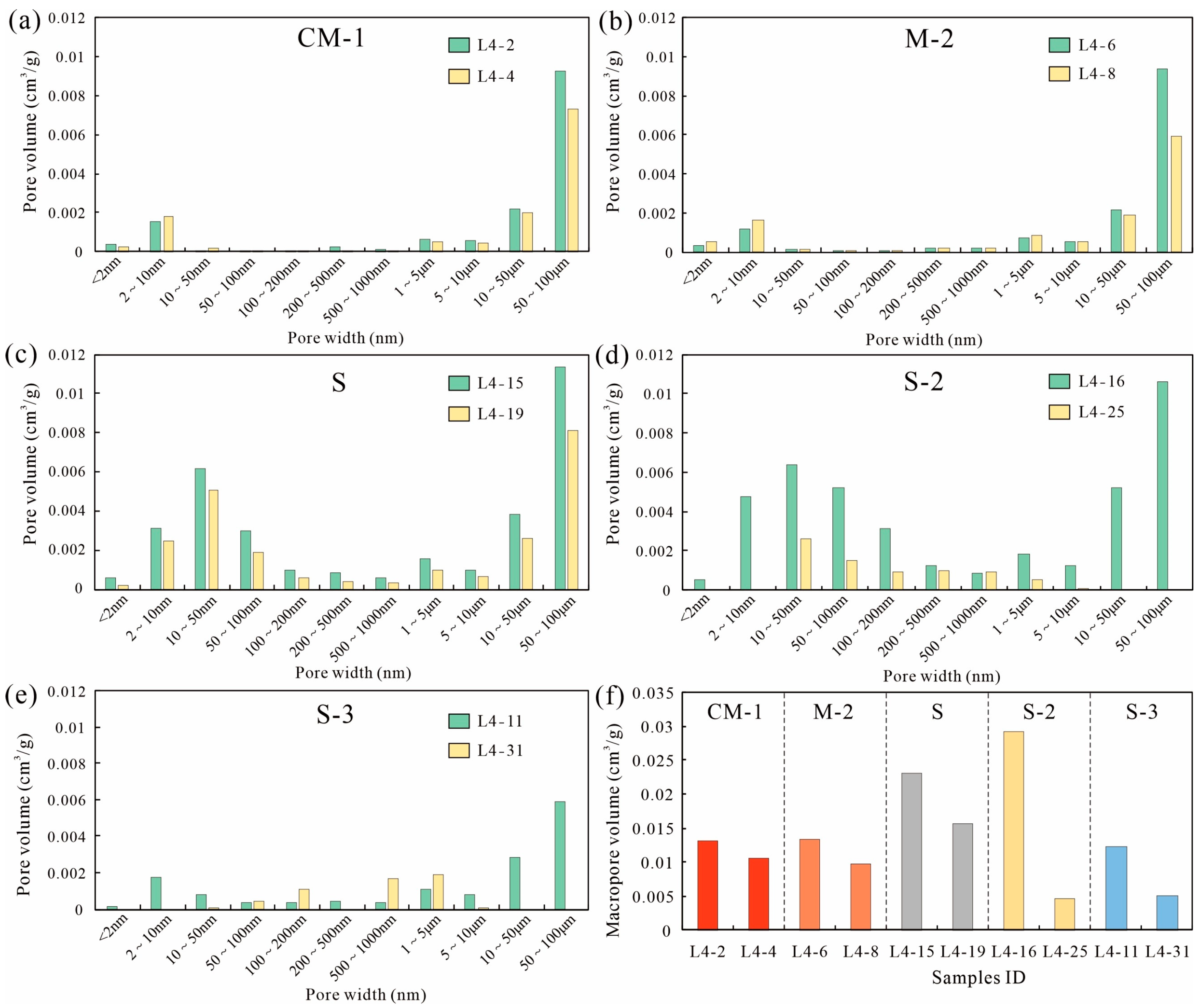
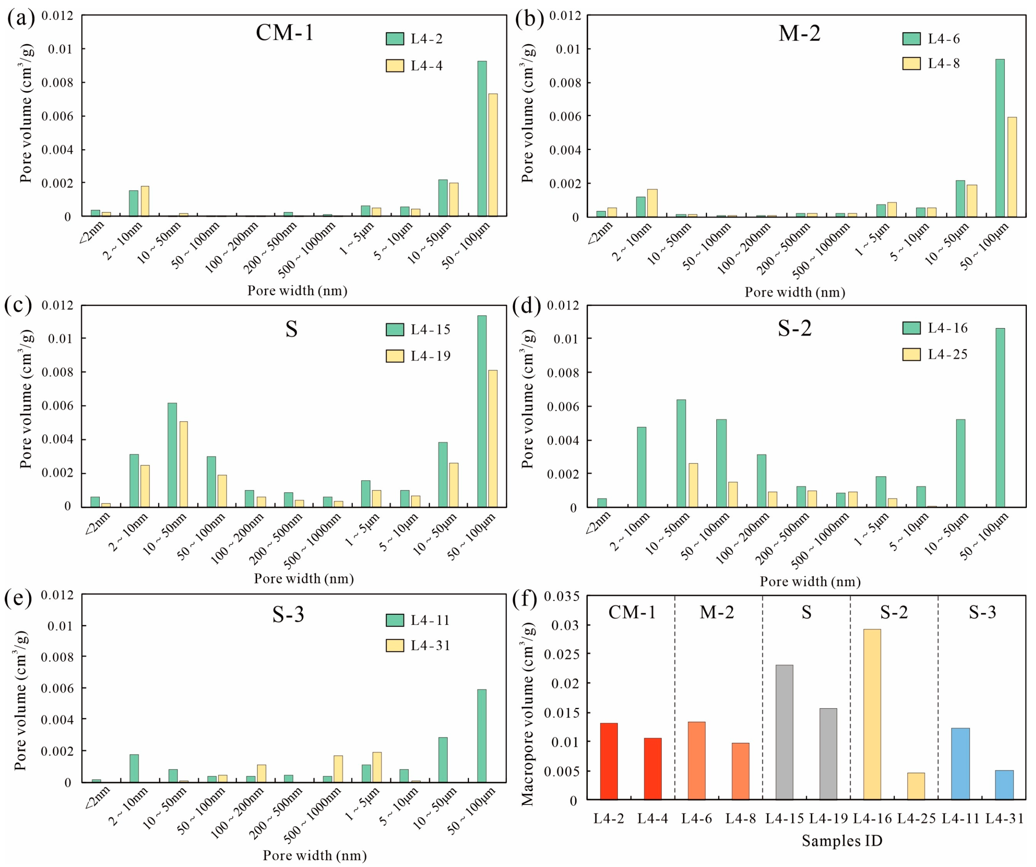
4.4.1. Characteristics of High-Pressure Mercury Injection
4.4.2. N2 Adsorption Characteristics
4.4.3. CO2 Adsorption Characteristics
5. Discussion
5.1. Effect of Organic Matter on Pores
5.2. Effect of Pyrite on Pores
5.3. Effects of Minerals on Pores
6. Conclusions
- (1)
- According to mineral composition, the shale of the Qiongzhusi Formation in southwest Sichuan is divided into five lithofacies, including Siliceous argillaceous shale (CM-1), Argillaceous siliceous mixed shale (M-2), Argillaceous siliceous shale (S-3), Siliceous rock (S) and Calcareous siliceous shale (S-2).
- (2)
- The pore structure of different lithofacies is different. the pore structure of S and S-2 lithofacies is mainly slit-type, and the pore structure of S-3, CM-1 and M-2 lithofacies are predominantly wedge-shaped and plate-like.
- (3)
- Pores above 10 microns are small in number but have the largest pore volume. Mesopores in S and S-2 shale mainly have sizes in the range of 2–5 nm, while micropores are mainly in the ranges of 0.45–0.55 nm, 0.58–0.63 nm, and 0.8–0.84 nm. Mesopores in CM-1 and M-2 shale also have sizes in the ranges of 2–5 nm, while micropores are mainly in the ranges of 0.45–0.65 nm and 0.78–0.84 nm., and pores are more enriched than S and S-2 types. Mesopores in S-3 shale have sizes in the ranges of 2–5 nm, while the pore size distribution of micropores are in the ranges of 0.45–0.55 nm, 0.58–0.63 nm, and 0.78–0.84 nm. The micropores in S-3 shale is the most enriched
- (4)
- The pore structure of the Qiongzhusi Formation is affected by TOC, quartz and feldspar mineral content and clay mineral type and content. In organic-rich shale, organic pores are abundant, and the specific surface area and pore volume of micropores are large. Pyrite has a protective effect on micropores, and the environment in which pyrite is formed is rich in clay minerals and organic matter, which is conducive to the formation of micropores and mesopores. Quartz and feldspar do not protect the pores, and their formation environment is not conducive to the enrichment of clay minerals and organic matter. Clay mineral content has significant positive effects on the PV and SSA of micropores and mesopores. Clay mineral content is the primary factor affecting the pore structure of Qiongzhusi Formation shale in the Sichuan Basin. Chlorite has a negative effect on PV, while mixed-layer I/S and illite increase PV in Qiongzhusi shale.
Author Contributions
Funding
Data Availability Statement
Conflicts of Interest
Appendix A
| Sample ID | Depth (m) | TOC (%) | Mineral Content (%) | Lithofacies | |||||
|---|---|---|---|---|---|---|---|---|---|
| Quartz | Feldspar | Calcite | Dolomite | Pyrite | Total Clay | ||||
| W1-1 | 3286.95 | 0.76 | 29.4 | 13.1 | 3.1 | 9.5 | 3.9 | 41 | M-2 |
| W1-3 | 3292.56 | 1.8 | 24.1 | 15.6 | 2.1 | 3.3 | 4.5 | 50.4 | CM-1 |
| W1-4 | 3294.89 | 1.99 | 31.9 | 14.7 | 2.5 | 2.9 | 1.8 | 46.2 | M-2 |
| W1-5 | 3297.55 | 3.55 | 35.9 | 22.4 | 7.3 | 2.9 | 3 | 28.5 | S-3 |
| W1-6 | 3300.93 | 0.52 | 39.6 | 32 | 4 | 2.6 | 21.8 | S-2 | |
| W1-7 | 3304.11 | 0.45 | 38.3 | 28.6 | 1.3 | 1.9 | 2.1 | 27.8 | S-3 |
| L4-1 | 3311.19 | 25.4 | 7.4 | 3 | 9.6 | 2.3 | 52.3 | CM-1 | |
| L4-2 | 3311.51 | 0.22 | 28.6 | 12.4 | 2.2 | 3.2 | 3.2 | 50.4 | CM-1 |
| L4-3 | 3312.27 | 0.17 | 27.8 | 8.2 | 3.7 | 14.1 | 2.9 | 43.3 | M-2 |
| L4-4 | 3313.44 | 0.23 | 28.7 | 8 | 2.3 | 9.9 | 1.9 | 49.2 | CM-1 |
| L4-5 | 3314.73 | 0.2 | 28 | 7.4 | 2.3 | 11.3 | 2.4 | 48.6 | M-2 |
| L4-6 | 3315.74 | 0.2 | 28.9 | 8.3 | 4.4 | 11.3 | 1.6 | 45.5 | M-2 |
| L4-7 | 3317.72 | 0.31 | 29.6 | 8.9 | 2.1 | 7.5 | 3.3 | 48.6 | CM-1 |
| L4-8 | 3317.93 | 0.25 | 31 | 9.2 | 2.1 | 7.4 | 4.3 | 46 | M-2 |
| L4-9 | 3320.1 | 0.48 | 42.9 | 17.9 | 2.7 | 6.7 | 1.5 | 28.3 | S-3 |
| L4-10 | 3325.17 | 0.35 | 46.9 | 16.4 | 4.4 | 8.8 | 1.5 | 22 | S-2 |
| L4-11 | 3328.72 | 0.51 | 45.1 | 19 | 3 | 6.6 | 1 | 25.3 | S-3 |
| L4-12 | 3342.24 | 0.51 | 43.9 | 25.5 | 3.2 | 3.8 | 2.3 | 21.3 | S-2 |
| L4-13 | 3355.01 | 0.14 | 52.1 | 23.6 | 2.9 | 3 | 0.3 | 18.1 | S |
| L4-14 | 3363.08 | 0.12 | 46.1 | 22.7 | 2.5 | 3.7 | 0.2 | 24.4 | S-2 |
| L4-15 | 3367.7 | 0.52 | 43.7 | 31.7 | 9.9 | 2 | 0.7 | 12 | S |
| L4-16 | 3373.77 | 0.55 | 51.1 | 23.7 | 14.8 | 2.7 | 0.2 | 7.5 | S-2 |
| L4-17 | 3377.76 | 0.25 | 45.1 | 29.4 | 5.8 | 3.4 | 1.4 | 14.2 | S |
| L4-18 | 3383.65 | 0.54 | 48.5 | 23.2 | 7.3 | 3.6 | 0.3 | 17.1 | S-2 |
| L4-19 | 3385.59 | 0.24 | 57.7 | 23.1 | 5.3 | 7.8 | 0.2 | 5.9 | S |
| L4-20 | 3388.68 | 0.42 | 51.7 | 24.8 | 6.6 | 3.2 | 1.8 | 11.9 | S |
| C1-1 | 3394.67 | 0.09 | 26.6 | 9.7 | 3.9 | 5.7 | 1.7 | 48.5 | CM-1 |
| C1-2 | 3395.64 | 0.07 | 26.5 | 11 | 2.7 | 4.1 | 2.4 | 49.6 | CM-1 |
| C1-3 | 3396.29 | 0.01 | 22 | 9.3 | 2.7 | 7.8 | 2.7 | 53.5 | CM-1 |
| L4-21 | 3397.23 | 0.14 | 43.5 | 31.8 | 5.1 | 4.1 | 0.8 | 14.7 | S |
| C1-4 | 3397.85 | 0.03 | 25.4 | 11.2 | 3.3 | 10.5 | 2.9 | 42.8 | M-2 |
| C1-5 | 3399.93 | 0.05 | 25.3 | 7.3 | 3.5 | 7.4 | 2.9 | 50.1 | CM-1 |
| C1-6 | 3401.25 | 0.66 | 25.7 | 10.8 | 5.8 | 9 | 3.9 | 41.2 | M-2 |
| L4-22 | 3403.02 | 0.14 | 50.7 | 26.4 | 9.3 | 3.4 | 1.5 | 8.7 | S |
| W1-8 | 3412.39 | 0.21 | 41.8 | 33.6 | 4.9 | 2 | 17.7 | S | |
| W1-9 | 3412.91 | 0.18 | 38.2 | 39.7 | 5.1 | 3.2 | 13.8 | S | |
| C1-7 | 3414.02 | 0.66 | 28 | 27.2 | 1.7 | 3 | 0.8 | 35.4 | S-3 |
| L4-23 | 3416.16 | 0.27 | 48.9 | 26.4 | 4.9 | 2.9 | 1.5 | 15.4 | S |
| W1-10 | 3416.18 | 0.15 | 39.3 | 25.4 | 7 | 3.6 | 3.2 | 21.5 | S-2 |
| C1-8 | 3416.57 | 0.62 | 34.9 | 28.1 | 3.9 | 2.5 | 0.2 | 25.1 | S-3 |
| L4-24 | 3419.22 | 0.34 | 43.5 | 26.3 | 4 | 3.3 | 1.8 | 21.1 | S-2 |
| L4-25 | 3434.46 | 0.19 | 42 | 25 | 6.5 | 5.8 | 1.3 | 19.4 | S-2 |
| L4-26 | 3444.05 | 0.21 | 36.2 | 23.1 | 21.3 | 3.2 | 1.3 | 14.9 | S-2 |
| W1-11 | 3522.48 | 0.03 | 38.2 | 26.5 | 4.2 | 2.6 | 28.5 | S-3 | |
| W1-12 | 3526.68 | 0.04 | 24.7 | 21 | 15 | 2.2 | 4.3 | 32.8 | M-2 |
| W1-13 | 3533.14 | 0.12 | 37.5 | 22.8 | 3.3 | 2.6 | 3.1 | 30.7 | S-3 |
| L4-27 | 3541.45 | 0.31 | 39.6 | 20.9 | 4.5 | 6.8 | 2.8 | 24.8 | S-3 |
| W1-14 | 3545.41 | 0.35 | 41.8 | 36.1 | 4.3 | 2.5 | 15.3 | S | |
| W1-15 | 3548.69 | 0.35 | 33.2 | 34.5 | 3.4 | 6 | 22.9 | S-2 | |
| W1-16 | 3552.15 | 0.39 | 27.7 | 28.5 | 6.6 | 10.7 | 8.6 | 17.9 | S-2 |
| L4-28 | 3552.78 | 0.13 | 34 | 19.9 | 10.1 | 5.5 | 1.2 | 29.3 | S-3 |
| W1-17 | 3555.74 | 0.28 | 31.8 | 24.2 | 5.1 | 6.3 | 5.8 | 26.8 | S-3 |
| L4-29 | 3556.34 | 0.21 | 47.2 | 23.6 | 11.6 | 4.1 | 2.7 | 10.8 | S-2 |
| L4-30 | 3566.32 | 0.43 | 51.1 | 23.6 | 7 | 4.8 | 0.7 | 12.8 | S |
| L4-31 | 3589.38 | 1.41 | 36.3 | 17 | 5.1 | 6.4 | 6.7 | 28.5 | S-3 |
| Sample ID | Depth (m) | Relative Content in Clay Minerals | ||
|---|---|---|---|---|
| Mixed-Layer I/S | Illite | Chlorite | ||
| L4-2 | 3311.82 | 36 | 38 | 26 |
| L4-4 | 3313.44 | 36 | 37 | 27 |
| L4-6 | 3315.74 | 44 | 34 | 22 |
| L4-8 | 3317.93 | 38 | 38 | 24 |
| L4-9 | 3320.1 | 37 | 41 | 22 |
| L4-10 | 3325.17 | 34 | 42 | 24 |
| L4-11 | 3328.72 | 33 | 42 | 25 |
| L4-13 | 3355.01 | 13 | 24 | 63 |
| L4-14 | 3363.08 | 16 | 22 | 62 |
| L4-15 | 3367.7 | 25 | 35 | 40 |
| L4-16 | 3373.77 | 20 | 41 | 39 |
| L4-18 | 3383.65 | 22 | 34 | 44 |
| L4-19 | 3385.59 | 24 | 38 | 38 |
| L4-20 | 3388.68 | 15 | 31 | 54 |
| L4-22 | 3403.02 | 27 | 24 | 49 |
| L4-23 | 3416.16 | 21 | 30 | 49 |
| L4-24 | 3419.22 | 23 | 28 | 49 |
| L4-25 | 3434.46 | 27 | 35 | 38 |
| L4-26 | 3444.05 | 31 | 31 | 38 |
| L4-27 | 3541.45 | 37 | 35 | 28 |
| L4-28 | 3552.78 | 41 | 34 | 25 |
| L4-29 | 3556.34 | 24 | 39 | 37 |
| L4-30 | 3566.32 | 25 | 31 | 44 |
| L4-31 | 3589.38 | 48 | 46 | 6 |
| Sample ID | Depth (m) | Pore Volume (cm3/g) | Surface Area (m2/g) | Lithofacies | |||
|---|---|---|---|---|---|---|---|
| Micropore | Mesopores | Macropores | Micropore | Mesopores | |||
| L4-2 | 3311.82 | 0.00058 | 0.00568 | 0.01310 | 7.311 | 4.593 | CM-1 |
| L4-4 | 3313.44 | 0.00094 | 0.00596 | 0.01034 | 7.781 | 5.411 | CM-1 |
| L4-6 | 3315.74 | 0.00093 | 0.00512 | 0.01334 | 8.144 | 4.361 | M-2 |
| L4-8 | 3317.93 | 0.00083 | 0.00537 | 0.00974 | 6.943 | 4.414 | M-2 |
| L4-9 | 3320.1 | 0.00011 | 0.0059 | 0.01937 | 2.809 | 3.705 | S-3 |
| L4-10 | 3325.17 | 0.0003 | 0.00403 | 0.02323 | 3.349 | 1.982 | S-2 |
| L4-11 | 3328.72 | 0.00008 | 0.00376 | 0.01558 | 2.037 | 2.281 | S-3 |
| L4-13 | 3355.01 | 0.00017 | 0.00393 | 0.01677 | 2.759 | 2.047 | S |
| L4-14 | 3363.08 | 0.00021 | 0.00537 | 0.01320 | 3.618 | 2.701 | S-2 |
| L4-15 | 3367.7 | 0.00032 | 0.00483 | 0.01863 | 3.831 | 3.434 | S |
| L4-16 | 3373.77 | 0.00032 | 0.00324 | 3.791 | 1.802 | S-2 | |
| L4-18 | 3383.65 | 0.00036 | 0.00431 | 0.01190 | 4.365 | 2.533 | S-2 |
| L4-19 | 3385.59 | 0.00003 | 0.00472 | 0.02595 | 2.22 | 2.708 | S |
| L4-20 | 3388.68 | 0.00018 | 0.00481 | 0.02914 | 2.777 | 2.22 | S |
| L4-22 | 3403.02 | 0.00013 | 0.0048 | 0.00171 | 2.517 | 3.023 | S |
| L4-23 | 3416.16 | 0.00024 | 0.00453 | 0.01799 | 3.406 | 2.939 | S |
| L4-24 | 3419.22 | 0.00017 | 0.00367 | 2.751 | 2.42 | S-2 | |
| L4-25 | 3434.46 | 0.00014 | 0.00355 | 0.004697 | 2.581 | 2.9 | S-2 |
| L4-26 | 3444.05 | 0.00021 | 0.00259 | 3.177 | 1.621 | S-2 | |
| L4-27 | 3541.45 | 0.00046 | 0.00421 | 0.01338 | 5.072 | 3.054 | S-3 |
| L4-28 | 3552.78 | 0.00051 | 0.00504 | 0.01220 | 4.942 | 3.34 | S-3 |
| L4-29 | 3556.34 | 0.00052 | 0.00471 | 4.913 | 3.139 | S-2 | |
| L4-30 | 3566.32 | 0.00036 | 0.00374 | 4.172 | 2.766 | S | |
| L4-31 | 3589.38 | 0.00136 | 0.00538 | 0.005177 | 9.977 | 4.177 | S-3 |
References
- Economides, M.J.; Wood, D.A. The state of natural gas. J. Nat. Gas Sci. Eng. 2009, 1, 1–13. [Google Scholar] [CrossRef]
- Bradshaw, M.; Van de Graaf, T.; Connolly, R. Preparing for the new oil order? Saudi Arabia and Russia. Energy Strategy Rev. 2019, 26, 100374. [Google Scholar] [CrossRef]
- Maya, J.R.L. The United States experience as a reference of success for shale gas development: The case of Mexico. Energy Policy 2013, 62, 70–78. [Google Scholar] [CrossRef]
- Lee, W.J.; Sohn, S.Y. Patent analysis to identify shale gas development in China and the United States. Energy Policy 2014, 74, 111–115. [Google Scholar] [CrossRef]
- Feng, Y.; Xiao, X.; Gao, P.; Wang, E.Z.; Hu, D.F.; Liu, R.B.; Li, G.; Lu, C.G. Restoration of sedimentary environment and geochemical features of deep marine Longmaxi shale and its significance for shale gas: A case study of the Dingshan area in the Sichuan Basin, South China. Mar. Pet. Geol. 2023, 151, 106186. [Google Scholar] [CrossRef]
- Jarvie, D.M.; Hill, R.J.; Ruble, T.E.; Pollastro, R.M. Unconventional shale-gas systems: The Mississippian Barnett Shale of north-central Texas as one model for thermogenic shale-gas assessment. AAPG Bull. 2007, 91, 475–499. [Google Scholar] [CrossRef]
- Bernard, S.; Horsfield, B. Thermal maturation of gas shale systems. Annu. Rev. Earth Planet. Sci. 2014, 42, 635–651. [Google Scholar] [CrossRef]
- Pillalamarry, M.; Harpalani, S.; Liu, S.M. Gas diffusion behavior of coal and its impact on production from coalbed methane reservoirs. Int. J. Coal Geol. 2011, 86, 342–348. [Google Scholar] [CrossRef]
- Curtis, J.B. Fractured shale-gas systems. AAPG Bull. 2002, 86, 1921–1938. [Google Scholar]
- Topór, T.; Derkowski, A.; Ziemiański, P.; Szczurowski, K.; McCarty, D.K. The effect of organic matter maturation and porosity evolution on methane storage potential in the Baltic Basin (Poland) shale-gas reservoir. Int. J. Coal Geol. 2017, 180, 46–56. [Google Scholar] [CrossRef]
- Ross, D.J.K.; Bustin, R.M. The importance of shale composition and pore structure upon gas storage potential of shale gas reservoirs. Mar. Pet. Geol. 2009, 26, 916–927. [Google Scholar] [CrossRef]
- Zou, C.N.; Dong, D.Z.; Wang, S.J.; Li, J.Z.; Li, X.J.; Wang, Y.M.; Li, D.H.; Cheng, K.M. Geological characteristics and resource potential of shale gas in China. Pet. Explor. Dev. 2010, 37, 641–653. [Google Scholar] [CrossRef]
- Kim, J.; Kim, D.; Lee, W.; Kim, H. Impact of total organic carbon and specific surface area on the adsorption capacity in Horn River shale. J. Pet. Sci. Eng. 2017, 149, 331–339. [Google Scholar] [CrossRef]
- Labani, M.M.; Rezaee, R.; Saeedi, A.; Hinai, A.A. Evaluation of pore size spectrum of gas shale reservoirs using low pressure nitrogen adsorption, gas expansion and mercury porosimetry: A case study from the Perth and Canning Basins, Western Australia. J. Pet. Sci. Eng. 2013, 112, 7–16. [Google Scholar] [CrossRef]
- Rouquerol, J.; Avnir, D.; Fairbridge, C.W.; Everett, D.H.; Haynes, J.M.; Pernicone, N.; Ramsay, J.D.F.; Sing, K.S.W.; Unger, K.K. Recommendations for the characterization of porous solids (Technical Report). Pure Appl. Chem. 1994, 66, 1739–1758. [Google Scholar] [CrossRef]
- Nichols, M.M.; Johnson, G.H.; Peebles, P.C. Modern sediments and facies model for a microtidal coastal plain estuary, the James Estuary, Virginia. J. Sediment. Res. 1991, 61, 883–899. [Google Scholar]
- Lv, D.W.; Wang, D.D.; Li, Z.X.; Liu, H.Y.; Li, Y. Depositional environment, sequence stratigraphy and sedimentary mineralization mechanism in the coal bed-and oil shale-bearing succession: A case from the Paleogene Huangxian Basin of China. J. Pet. Sci. Eng. 2017, 148, 32–51. [Google Scholar] [CrossRef]
- Iqbal, M.A.; Rezaee, R.; Smith, G.; Ekundayo, J.M. Shale lithofacies controls on porosity and pore structure: An example from Ordovician Goldwyer Formation, Canning Basin, Western Australia. J. Nat. Gas Sci. Eng. 2021, 89, 103888. [Google Scholar] [CrossRef]
- Qian, C.; Li, X.Z.; Shen, W.J.; Zhang, Q.; Guo, W.; Hu, Y.; Cui, Y.; Jia, Y.Z. Study on the pore structure and fractal characteristics of different lithofacies of Wufeng–Longmaxi Formation shale in southern Sichuan Basin, China. ACS Omega 2022, 7, 8724–8738. [Google Scholar] [CrossRef]
- Wang, Y.F.; Zhai, G.Y.; Liu, G.H.; Shi, W.Z.; Lu, Y.C.; Li, J.; Zhang, Y.X. Geological characteristics of shale gas in different strata of marine facies in South China. J. Earth Sci. 2021, 32, 725–741. [Google Scholar] [CrossRef]
- Kuila, U.; McCarty, D.K.; Derkowski, A.; Fischer, T.B.; Topór, T.; Prasad, M. Nano-scale texture and porosity of organic matter and clay minerals in organic-rich mudrocks. Fuel 2014, 135, 359–373. [Google Scholar] [CrossRef]
- Morad, S.; Al-Ramadan, K.; Ketzer, J.M.; De Ros, L.F. The impact of diagenesis on the heterogeneity of sandstone reservoirs: A review of the role of depositional facies and sequence stratigraphy. AAPG Bull. 2010, 94, 1267–1309. [Google Scholar] [CrossRef]
- Wang, X.M.; Cheng, H.J.; Chai, P.C.; Bian, J.H.; Wang, X.M.; Liu, Y.; Yin, X.B.; Pan, S.D.; Pan, Z.J. Pore characterization of different clay minerals and its impact on methane adsorption capacity. Energy Fuels 2020, 34, 12204–12214. [Google Scholar] [CrossRef]
- Worden, R.H.; Griffiths, J.; Wooldridge, L.J.; Utley, J.E.P.; Lawan, A.Y.; Muhammed, D.D.; Simon, N.; Armitage, P.J. Chlorite in sandstones. Earth-Sci. Rev. 2020, 204, 103105. [Google Scholar] [CrossRef]
- Wang, Z.H.; Jiang, H.; Wang, T.S.; Lu, W.H.; Gu, Z.D.; Xu, A.N.; Yang, Y.; Xu, Z.H. Paleo-geomorphology formed during Tongwan tectonization in Sichuan Basin and its significance for hydrocarbon accumulation. Pet. Explor. Dev. 2014, 41, 338–345. [Google Scholar] [CrossRef]
- Li, X.; Jiang, Z.X.; Wang, P.F.; Song, Y.; Li, Z.; Tang, X.L.; Li, T.W.; Zhai, G.Y.; Bao, S.J.; Xu, C.L.; et al. Porosity-preserving mechanisms of marine shale in Lower Cambrian of Sichuan Basin, South China. J. Nat. Gas Sci. Eng. 2018, 55, 191–205. [Google Scholar] [CrossRef]
- Zhang, Y.Y.; He, Z.L.; Jiang, S.; Lu, S.F.; Xiao, D.S.; Chen, G.H.; Zhao, J.H. Factors affecting shale gas accumulation in overmature shales case study from lower Cambrian shale in western Sichuan Basin, South China. Energy Fuels 2018, 32, 3003–3012. [Google Scholar] [CrossRef]
- Dai, J.X.; Ni, Y.Y.; Qin, S.F.; Huang, S.P.; Pang, W.L.; Han, W.X. Geochemical characteristics of ultra-deep natural gas in the Sichuan Basin, SW China. Pet. Explor. Dev. 2018, 45, 619–628. [Google Scholar] [CrossRef]
- Wang, P.W.; Nie, H.K.; Liu, Z.B.; Sun, C.X.; Cao, Z.; Wang, R.Y.; Li, P. Differences in Pore Type and Pore Structure between Silurian Longmaxi Marine Shale and Jurassic Dongyuemiao Lacustrine Shale and Their Influence on Shale-Gas Enrichment. Minerals 2023, 13, 190. [Google Scholar] [CrossRef]
- Zou, C.N.; Dong, D.Z.; Wang, Y.M.; Li, X.J.; Huang, J.L.; Wang, S.F.; Guan, Q.Z.; Zhang, C.C.; Wang, H.Y.; Liu, H.L.; et al. Shale gas in China: Characteristics, challenges and prospects (II). Pet. Explor. Dev. 2016, 43, 182–196. [Google Scholar] [CrossRef]
- Lei, W.Z.; Chen, D.X.; Liu, Z.Y.; Cheng, M. Paleoenvironment-driven organic matter accumulation in lacustrine shale mixed with shell bioclasts: A case study from the Jurassic Da’anzhai member, Sichuan Basin (China). J. Pet. Sci. Eng. 2023, 220, 111178. [Google Scholar] [CrossRef]
- Fu, Q.; Hu, Z.Q.; Qin, T.T.; Feng, D.J.; Yang, B.; Zhu, Z.W.; Xing, L.L. Diagenesis and Pore Formation Evolution of Continental Shale in the Da’anzhai Lower Jurassic Section in the Sichuan Basin. Minerals 2023, 13, 535. [Google Scholar] [CrossRef]
- Wang, M.; He, J.; Liu, S.; Zeng, C.L.; Jia, S.; Nie, Z.; Wang, S.X.; Wang, W.; Zhang, C. Effect of Sedimentary Facies Characteristics on Deep Shale Gas Desserts: A Case from the Longmaxi Formation, South Sichuan Basin, China. Minerals 2023, 13, 476. [Google Scholar] [CrossRef]
- Chen, Z.X.; Li, W.; Wang, L.N.; Lei, Y.L.; Yang, G.; Zhang, B.J.; Yin, H.; Yuan, B.G. Structural geology and favorable exploration prospect belts in northwestern Sichuan Basin, SW China. Pet. Explor. Dev. 2019, 46, 413–425. [Google Scholar] [CrossRef]
- Qiu, N.S.; Liu, W.; Fu, X.D.; Li, W.Z.; Xu, Q.C.; Zhu, C.Q. Maturity evolution of lower cambrian qiongzhusi formation shale of the Sichuan Basin. Mar. Pet. Geol. 2021, 128, 105061. [Google Scholar]
- Li, C.R.; Pang, X.Q.; Ma, X.H.; Wang, E.Z.; Hu, T.; Wu, Z.Y. Hydrocarbon generation and expulsion characteristics of the Lower Cambrian Qiongzhusi shale in the Sichuan Basin, Central China: Implications for conventional and unconventional natural gas resource potential. J. Pet. Sci. Eng. 2021, 204, 108610. [Google Scholar] [CrossRef]
- Guo, T.L.; Xiong, L.; Ye, S.J.; Dong, X.X.; Wei, L.M.; Yang, Y.T. Theory and practice of unconventional gas exploration in carrier beds: Insight from the breakthrough of new type of shale gas and tight gas in Sichuan Basin, SW China. Pet. Explor. Dev. 2023, 50, 24–37. [Google Scholar] [CrossRef]
- Wang, X.; Zhang, J.; Zhao, R.; Gao, P.; Liu, Q.; Pang, Y.; Zhao, Y.; Zhang, J.; Yang, C.; Ding, K.; et al. Siliceous Origin of the Cambrian Qiongzhusi Formation Shale in the Middle Part of the Upper Yangtze Platform: Significance of Organic Matter Enrichment. ACS Omega 2023, 8, 25358–25369. [Google Scholar] [CrossRef]
- Yang, L.P.; Shen, J.J.; Chen, K.Q.; Wang, Y.M.; Ji, Y.B.; Wang, C.H.; Wang, P.W.; Meng, J.H. Relationship between paleoenvironmental evolution and organic matter enrichment of shale of the Lower Cambrian Qiongzhusi Formation in Western Sichuan: Evidence from mineral petrology and geochemistry. J. Northeast. Pet. Univ. 2022, 46, 40–54. [Google Scholar]
- Driese, S.G.; Byers, C.W.; Dott, R.H. Tidal deposition in the basal upper cambrian mt. simon formation in wisconsin. J. Sediment. Res. 1981, 51, 367–381. [Google Scholar]
- Borjigin, T.; Lu, L.F.; Yu, L.J.; Zhang, W.T.; Pan, A.Y.; Shen, B.J.; Wang, Y.; Yang, Y.F.; Gao, Z.W. Formation, preservation and connectivity control of organic pores in shale. Pet. Explor. Dev. 2021, 48, 798–812. [Google Scholar] [CrossRef]
- Hakimi, M.H.; Shalaby, M.R.; Abdullah, W.H. Diagenetic characteristics and reservoir quality of the Lower Cretaceous Biyadh sandstones at Kharir oilfield in the western central Masila Basin, Yemen. J. Asian Earth Sci. 2012, 51, 109–120. [Google Scholar] [CrossRef]
- Memon, K.R.; Mahesar, A.A.; Ali, M.; Tunio, A.H.; Mohanty, U.S.; Akhondzadeh, H.; Awan, F.U.R.; Iglauer, S.; Keshavarz, A. Influence of cryogenic liquid nitrogen on petro-physical characteristics of mancos shale: An experimental investigation. Energy Fuels 2020, 34, 2160–2168. [Google Scholar] [CrossRef]
- Sing, K.S.W. Reporting physisorption data for gas/solid systems with special reference to the determination of surface area and porosity (Provisional). Pure Appl. Chem. 1982, 54, 2201–2218. [Google Scholar] [CrossRef]
- Cavelan, A.; Boussafir, M.; Rozenbaum, O.; Laggoun-Défarge, F. Organic petrography and pore structure characterization of low-mature and gas-mature marine organic-rich mudstones: Insights into porosity controls in gas shale systems. Mar. Pet. Geol. 2019, 103, 331–350. [Google Scholar] [CrossRef]
- Mastalerz, M.; Schimmelmann, A.; Drobniak, A.; Chen, Y.Y. Porosity of Devonian and Mississippian New Albany Shale across a maturation gradient: Insights from organic petrology, gas adsorption, and mercury intrusion. AAPG Bull. 2013, 97, 1621–1643. [Google Scholar] [CrossRef]
- Berner, R.A. Sedimentary pyrite formation: An update. Geochim. Cosmochim. Acta 1984, 48, 605–615. [Google Scholar] [CrossRef]
- Hakimi, M.H.; Abdullah, W.H.; Alqudah, M.; Makeen, Y.M.; Mustapha, K.A. Organic geochemical and petrographic characteristics of the oil shales in the Lajjun area, Central Jordan: Origin of organic matter input and preservation conditions. Fuel 2016, 181, 34–45. [Google Scholar] [CrossRef]
- Ko, L.T.; Loucks, R.G.; Ruppel, S.C.; Zhang, T.W.; Peng, S. Origin and characterization of Eagle Ford pore networks in the south Texas Upper Cretaceous shelf. AAPG Bull. 2017, 101, 387–418. [Google Scholar] [CrossRef]
- Ko, L.T.; Ruppel, S.C.; Loucks, R.G.; Hackley, P.C.; Zhang, T.W.; Shao, D.Y. Pore-types and pore-network evolution in Upper Devonian-Lower Mississippian Woodford and Mississippian Barnett mudstones: Insights from laboratory thermal maturation and organic petrology. Int. J. Coal Geol. 2018, 190, 3–28. [Google Scholar] [CrossRef]
- Ross, D.J.K.; Bustin, R.M. Characterizing the shale gas resource potential of Devonian–Mississippian strata in the Western Canada sedimentary basin: Application of an integrated formation evaluation. AAPG Bull. 2008, 92, 87–125. [Google Scholar] [CrossRef]
- Macht, F.; Eusterhues, K.; Pronk, G.J.; Totsche, K.U. Specific surface area of clay minerals: Comparison between atomic force microscopy measurements and bulk-gas (N2) and-liquid (EGME) adsorption methods. Appl. Clay Sci. 2011, 53, 20–26. [Google Scholar] [CrossRef]
- Omotoso, O.E.; Mikula, R.J. High surface areas caused by smectitic interstratification of kaolinite and illite in Athabasca oil sands. Appl. Clay Sci. 2004, 25, 37–47. [Google Scholar] [CrossRef]
- Blum, A.E.; Eberl, D.D. Measurement of clay surface areas by polyvinylpyrrolidone (PVP) sorption and its use for quantifying illite and smectite abundance. Clays Clay Miner. 2004, 52, 589–602. [Google Scholar] [CrossRef]















Disclaimer/Publisher’s Note: The statements, opinions and data contained in all publications are solely those of the individual author(s) and contributor(s) and not of MDPI and/or the editor(s). MDPI and/or the editor(s) disclaim responsibility for any injury to people or property resulting from any ideas, methods, instructions or products referred to in the content. |
© 2023 by the authors. Licensee MDPI, Basel, Switzerland. This article is an open access article distributed under the terms and conditions of the Creative Commons Attribution (CC BY) license (https://creativecommons.org/licenses/by/4.0/).
Share and Cite
Wang, Y.; Chen, D.; Wang, Y.; Lei, W.; Wang, F. Characteristics and Controlling Factors of Pores in Different Shale Lithofacies Reservoirs of Lower Cambrian Qiongzhusi Formation, Southwestern Sichuan Basin, China. Minerals 2023, 13, 1442. https://doi.org/10.3390/min13111442
Wang Y, Chen D, Wang Y, Lei W, Wang F. Characteristics and Controlling Factors of Pores in Different Shale Lithofacies Reservoirs of Lower Cambrian Qiongzhusi Formation, Southwestern Sichuan Basin, China. Minerals. 2023; 13(11):1442. https://doi.org/10.3390/min13111442
Chicago/Turabian StyleWang, Yuqi, Dongxia Chen, Yuchao Wang, Wenzhi Lei, and Fuwei Wang. 2023. "Characteristics and Controlling Factors of Pores in Different Shale Lithofacies Reservoirs of Lower Cambrian Qiongzhusi Formation, Southwestern Sichuan Basin, China" Minerals 13, no. 11: 1442. https://doi.org/10.3390/min13111442
APA StyleWang, Y., Chen, D., Wang, Y., Lei, W., & Wang, F. (2023). Characteristics and Controlling Factors of Pores in Different Shale Lithofacies Reservoirs of Lower Cambrian Qiongzhusi Formation, Southwestern Sichuan Basin, China. Minerals, 13(11), 1442. https://doi.org/10.3390/min13111442
