Geochemical and Isotopic Fractionation in the Hypogene Ore, Gossan, and Saprolite of the Alvo 118 Deposit: Implications for Copper Exploration in the Regolith of the Carajás Mineral Province
Abstract
:1. Introduction
2. Geological Setting

3. Materials and Methods
3.1. Sampling
3.2. Optical and Electron Microscopy
3.3. X-ray Diffraction (XRD)
3.4. Whole-Rock Chemical Analysis
3.5. Stable Isotopes
3.5.1. Iron Isotopes
3.5.2. Copper Isotopes
4. Results
4.1. Structure and Zonation of the Deposit
4.2. Chemical Composition of the Hypogene Mineralization, Gossan, and Saprolite
4.3. Copper and Fe Isotopes
5. Discussion
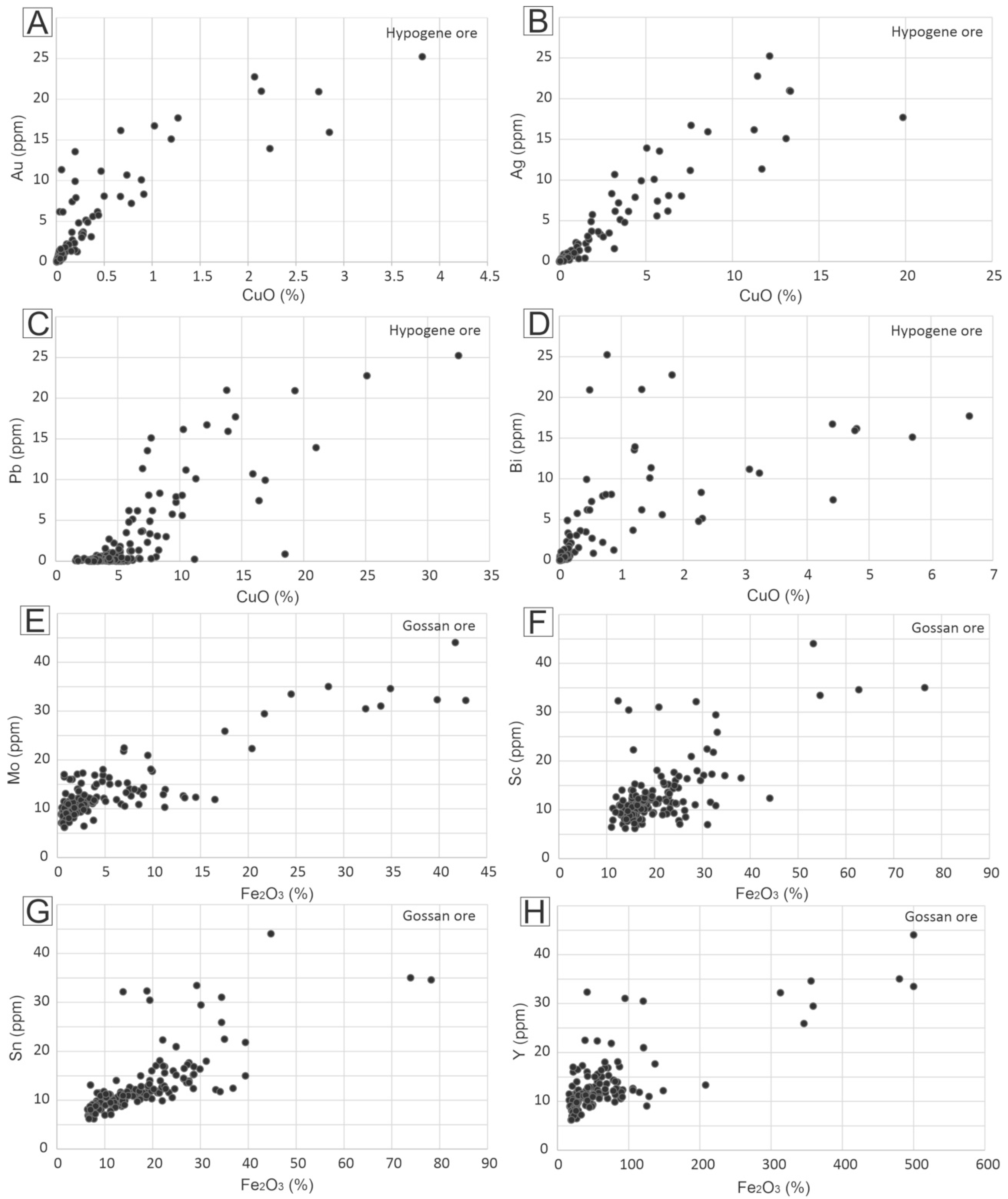
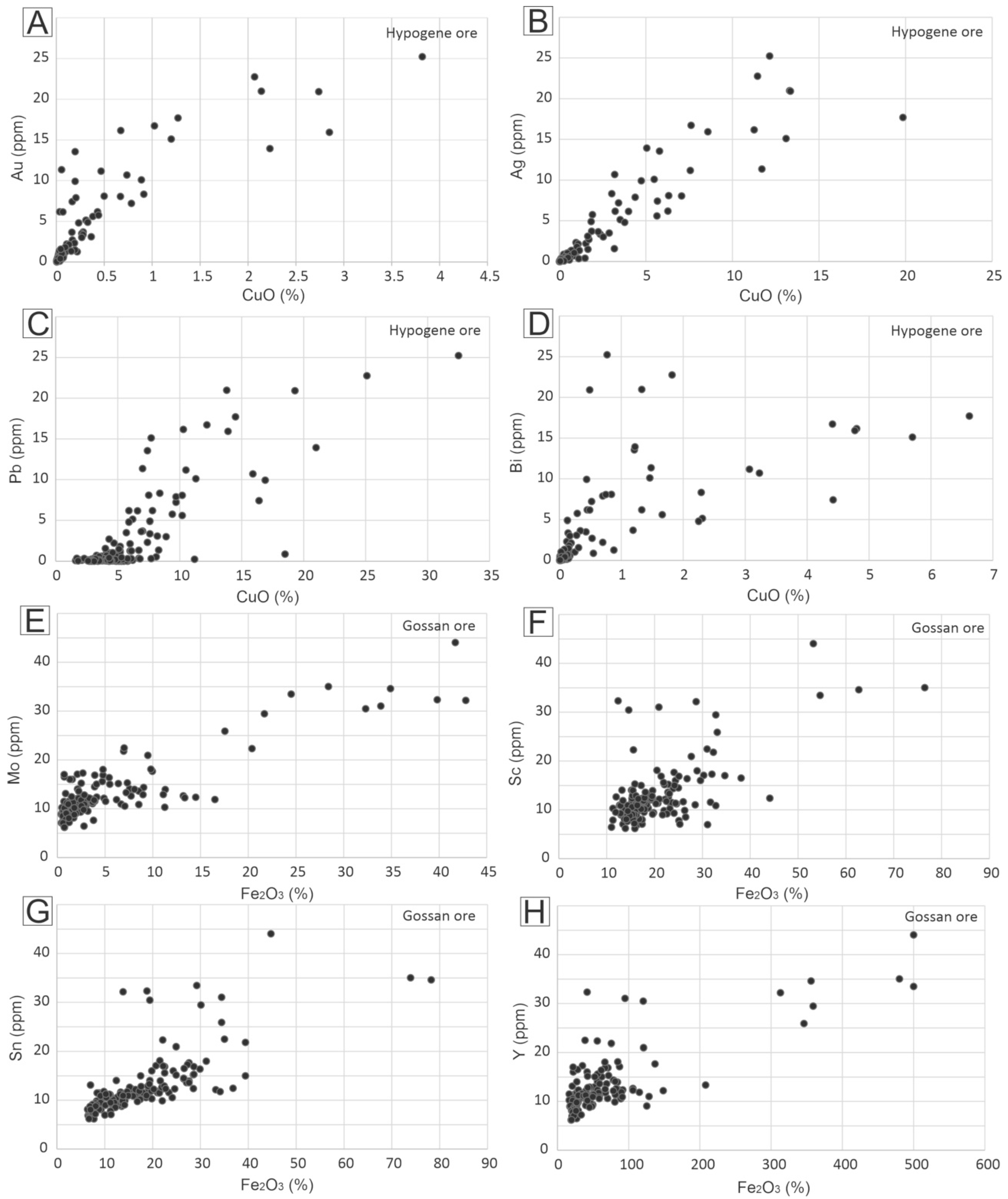
5.1. Bivariate Geochemical Correlations
5.2. Multivariate Geochemical Correlations
5.3. Geochemical Fractionation
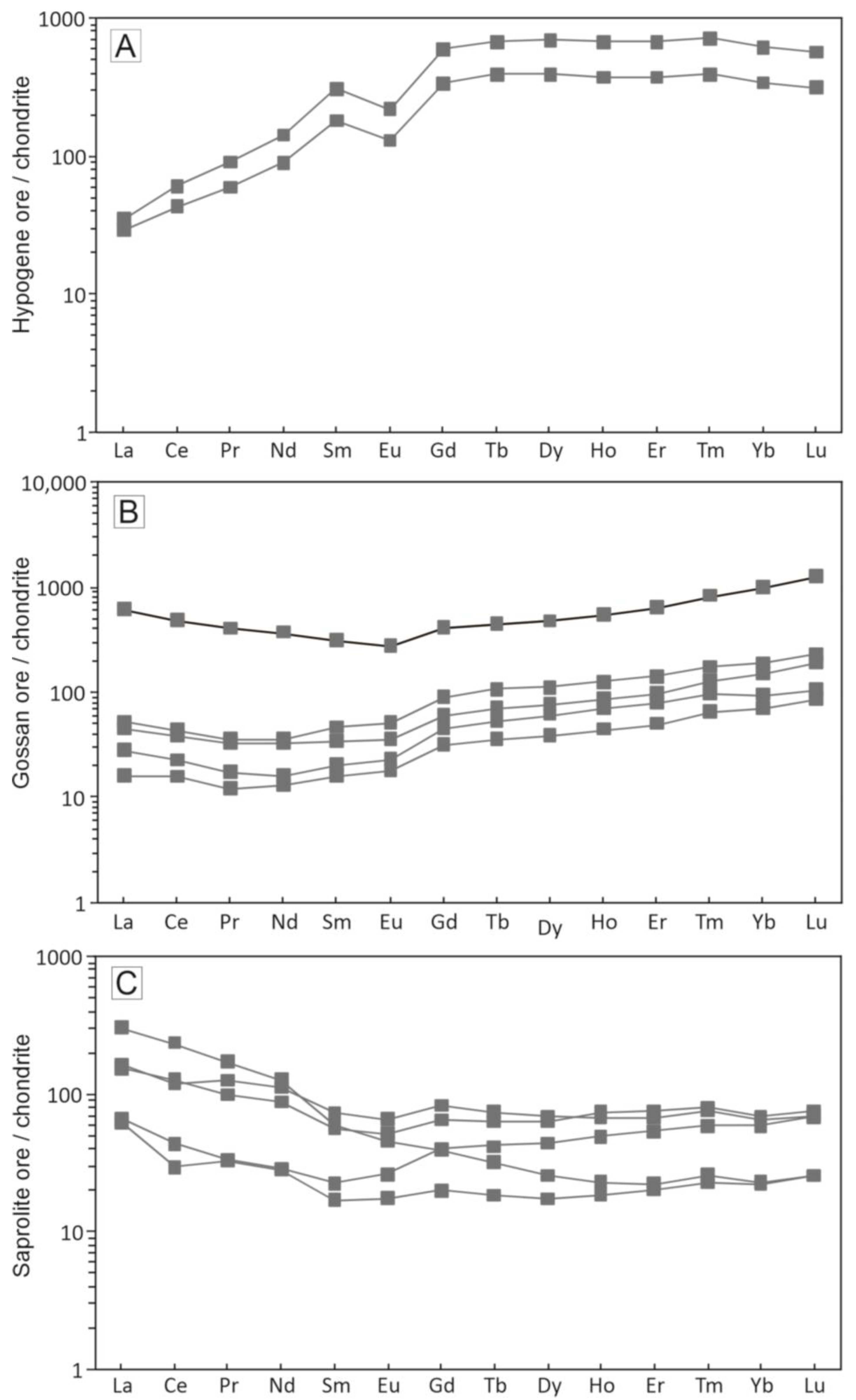
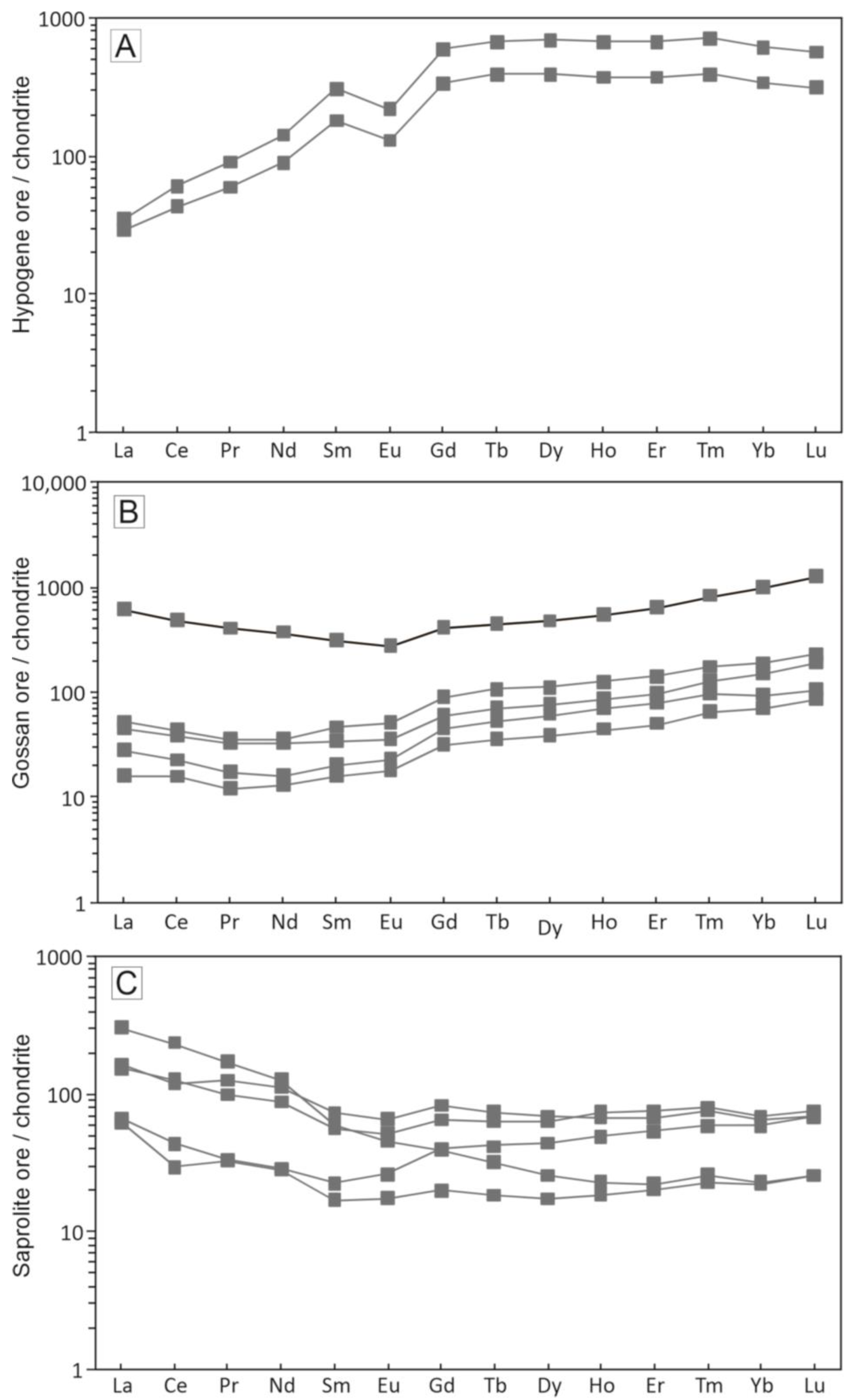
5.4. REE Fractionation
5.5. Isotopic Fractionation
5.6. Geochemical Evolution and Exploratory Implications
6. Conclusions
Author Contributions
Funding
Data Availability Statement
Acknowledgments
Conflicts of Interest
References
- Andreu, E.; Torró, L.; Proenza, J.A.; Domenech, C.; García-Casco, A.; Villanova de Benavent, C.; Chavez, C.; Espaillat, J.; Lewis, J.F. Weathering profile of the Cerro de Maimón VMS deposit (Dominican Republic): Textures, mineralogy, gossan evolution and mobility of gold and silver. Ore Geol. Rev. 2015, 65, 165–179. [Google Scholar] [CrossRef]
- Yesares, L.; Sáez, R.; Ruiz, A.G.; Nieto, J.M.; Gómez, C.; Ovejero, G. Mineralogical evolution of the Las Cruces gossan cap (Iberian Pyrite Belt): From subaerial to underground conditions. Ore Geol. Rev. 2017, 80, 377–405. [Google Scholar] [CrossRef]
- Pires, G.L.C.; Renac, C.; Bongiolo, E.M.; Neumann, R. Gossan mineralogy, textures, and gold enrichment over the Au (As, Bi, Ag) deposit in the Buracão Area (Brasília Fold Belt, Brazil): Implications for gold prospecting in weathering profiles. J. Geochem. Explor. 2020, 218, 106615. [Google Scholar] [CrossRef]
- Williams, W.C.; Meissl, E.; Madrid, J.; Machuca, B.C. The San Jorge porphyry copper deposit, Mendoza, Argentina: A combination of orthomagmatic and hydrothermal mineralization. Ore Geol. Rev. 1999, 14, 185–201. [Google Scholar] [CrossRef]
- Atapour, H.; Aftabi, A. The geochemistry of gossans associated with Sarcheshmeh porphyry copper deposit, Rafsanjan, Kerman, Iran: Implications for exploration and the environment. J. Geochem. Explor. 2007, 93, 47–65. [Google Scholar] [CrossRef]
- Suaréz, A.; Prichard, H.M.; Fisher, P.C.; McDonald, I. Platinum Group-Minerals in the Gossan from the Key West Cu-Ni-Pt Sulphide Occurrence (Nevada, USA). Macla Rev. Soc. Española Mineral. 2012, 16, 242–243. [Google Scholar]
- Ozdemir, A.; Sahinoglu, A. Important of Gossans in Mineral Exploration: A Case Study in Northern Turkey. Int. J. Earth Sci. Geoph. 2018, 4, 1–20. [Google Scholar] [CrossRef] [PubMed]
- Angélica, R.S.; Costa, M.L.; Pöllmann, H. Gold, wolframite, tourmaline-bearing lateritized gossans in the Amazon region, Brazil. J. Geochem. Explor. 1996, 57, 201–215. [Google Scholar] [CrossRef]
- Costa, M.L.; Angélica, R.S.; Fonseca, L.R. Geochemical exploration for gold in deep weathered lateritized gossans in the Amazon region-Brazil: A case history of the Igarapé Bahia deposit. Geochim. Bras. 1996, 10, 13–26. [Google Scholar] [CrossRef]
- Porto, C.G. Geochemical exploration challenges in the regolith dominated Igarapé Bahia gold deposit, Carajás, Brazil. Ore Geol. Rev. 2016, 73, 432–450. [Google Scholar] [CrossRef]
- Veiga, M.M.; Schorscher, H.D.; Fyfe, W.S. Relationship of copper with hydrous ferric oxides: Salobo, Carajás, PA, Brazil. Ore Geol. Rev. 1991, 6, 245–255. [Google Scholar] [CrossRef]
- Silva, E.R.; Kotschoubey, B. Alteração supergênica do depósito de cobre-ouro do Salobo, Serra dos Carajás-PA—Ênfase no comportamento do cobre. Rev. Bras. Geociências 2000, 30, 623–630. [Google Scholar] [CrossRef]
- Ildefonse, P.; Manceau, A.; Prost, D.; Toledo-Groke, M.C. Hydroxy-Cu-vermiculite formed by the weathering of Fe-biotites at Salobo, Carajás, Brazil. Clays Clay Miner. 1986, 3, 338–345. [Google Scholar] [CrossRef]
- Scott, K.M.; Ashley, P.M.; Lawie, D.C. The geochemistry, mineralogy and maturity of gossans derived from volcanogenic Zn–Pb–Cu deposits of the eastern Lachlan Fold Belt, NSW, Australia. J. Geochem. Explor. 2001, 72, 169–191. [Google Scholar] [CrossRef]
- Taylor, R. Gossans and Leached Cappings Field Assessment, 1st ed.; Springer: Townsville, Australia, 2011. [Google Scholar]
- Tornos, F.; Velasco, F.; Slack, J.F.; Delgado, A.; Gomez-Miguelez, M.G.; Escobar, J.M.; Gomez, C. The high-grade Las Cruces copper deposit, Spain: A product of secondary enrichment in an evolving basin. Miner. Depos. 2016, 52, 1–34. [Google Scholar] [CrossRef]
- Monteiro, H.S.; Vasconcelos, P.M.P.; Farley, K.A.; Lopes, C.A.M. Age and evolution of diachronous erosion surfaces in the Amazon: Combining (U-Th)/He and cosmogenic 3He records. Geochim. Cosmochim. Acta 2018, 229, 162–183. [Google Scholar] [CrossRef]
- Grainger, C.J.; Groves, D.I.; Tallarico, F.H.B.; Fletcher, I.R. Metallogenesis of the Carajás Mineral Province, Southern Amazon Craton, Brazil: Varying styles of Archean through Paleoproterozoic to Neoproterozoic base- and precious-metal mineralisation. Ore Geol. Rev. 2008, 33, 451–489. [Google Scholar] [CrossRef]
- Torresi, I.; Xavier, R.P.; Bortholoto, D.F.A.; Monteiro, L.V.S. Hydrothermal alteration, fluid inclusions and stable isotope systematics of the Alvo 118 iron oxide–copper–gold deposit, Carajás Mineral Province (Brazil): Implications for ore genesis. Miner. Depos. 2012, 47, 299–323. [Google Scholar] [CrossRef]
- Docegeo. Alvo 118 Internal Report; Departamento Nacional de Produção Mineral: Rio de Janeiro, Brazil, 1991.
- Schutesky, M.E.; Oliveira, C.G. From the roots to the roof: An integrated model for the Neoarchean Carajás IOCG System, Brazil. Ore Geol. Rev. 2020, 129, 103833. [Google Scholar] [CrossRef]
- Santiago, E.S.B.; Xavier, R.P.; Hagemann, S.G.; Monteiro, L.V.S.; Cliff, J. Multiple sulfur isotopes constraints on origin and evolution of the Neoarchean and Paleoproterozoic Cu-Au systems from the Carajás Domain, Amazonian Craton, Brazil. Ore Geol. Rev. 2021, 29, 103872. [Google Scholar] [CrossRef]
- Rigon, J.C.; Munaro, P.; Santos, L.A.; Nascimento, J.A.S.; Barreira, C.F. Alvo 118 copper–gold deposit—Geology and mineralization, Serra dos Carajás, Pará, Brazil. In Proceedings of the 31st International Geological Congress, Rio de Janeiro, Brazil, 6–17 August 2000. [Google Scholar]
- Vasquez, L.V.; Rosa-Costa, L.R.; Silva, C.G.; Ricci, P.F.; Barbosa, J.O.; Klein, E.L.; Lopes, E.S.; Macambira, E.B.; Chaves, C.L.; Carvalho, J.M.; et al. Geologia e Recursos Minerais do Estado do Pará: Sistema de Informações Geográficas—SIG: Texto Explicativo dos Mapas Geológico e Tectônico e de Recursos Minerais do Estado do Pará. Escala 1:1,000,000; CPRM: Belém, Brazil, 2008. [Google Scholar]
- Albuquerque, M.A.C.; Andrade, P.J.M.B.; Maurity, C.; Kwitko, R. Geologia e Características das Mineralizações Cupríferas do Depósito Alvo 118 Província Mineral de Carajás, Pará, Brasil. In Proceedings of the VII Simpósio de Geologia da Amazônia, Belém, Brazil, 4–9 November 2001. [Google Scholar]
- Toledo-Groke, M.C.M.; Prost, D.; Ildefonse, P.; Melfi, A.J.; Delvigne, J.; Parisot, J.C. Alteração dos minerais na zona supérgena da formação cuprífera do Salobo 3A (Serra dos Carajás)-Localização do cobre nos produtos secundários. Rev. Bras. Geociências 1985, 15, 293–299. [Google Scholar] [CrossRef]
- Mano, E.S.; Caner, L.; Petit, S.; Chaves, A.P. Mineralogical characterization of copper lateritic ore from the Furnas deposit—Carajás, Brazil. Int. Eng. J. 2020, 73, 329–335. [Google Scholar] [CrossRef]
- Moeller, K.; Schoenberg, R.; Grenne, T.; Thorseth, I.H.; Drost, K.; Pedersen, R.B. Comparison of iron isotope variations in modern and Ordovician siliceous Fe oxyhydroxide deposits. Geochim. Cosmochim. Acta 2014, 126, 422–440. [Google Scholar] [CrossRef]
- Craddock, P.R.; Dauphas, N. Iron Isotopic Compositions of Geological Reference Materials and Chondrites. Geostand. Geoanal. Res. 2014, 35, 101–123. [Google Scholar] [CrossRef]
- Borrok, D.M.; Wanty, R.B.; Ridley, W.I.; Wolf, R.; Lamothe, P.J.; Adams, M. Separation of copper, iron, and zinc from complex aqueous solutions for isotopic measurement. Chem. Geol. 2007, 242, 400–414. [Google Scholar] [CrossRef]
- Moeller, K.; Schoenberg, R.; Pedersen, R.B.; Weiss, D.; Dong, S. Calibration of the new certified reference materials ERM-AE633 and ERM-AE647 for copper and IRMM-3702 for zinc isotope amount ratio determinations. Geostand. Geoanal. Res. 2012, 36, 177–199. [Google Scholar] [CrossRef]
- Santos, P.H.S.; Costa, M.L. Mineralogical and textural evolution of the Alvo 118 copper-bearing gossan: Implications for supergene metallogenesis in Carajás Mineral Province, Brazil. J. S. Am. Earth Sci. 2023, 121, 104108. [Google Scholar] [CrossRef]
- Rudnick, R.L.; Gao, S. The Composition of the Continental Crust. In Treatise on Geochemistry; Holland, H.D., Turekian, K.K., Eds.; Elsevier: Oxford, UK, 2003; Volume 3, pp. 1–64. [Google Scholar] [CrossRef]
- Loftus-Hills, G.; Solomon, M. Cobalt, nickel and selenium in sulphides as indicators of ore genesis. Miner. Depos. 1967, 2, 228–242. [Google Scholar] [CrossRef]
- Deady, E.; Moon, C.; Moore, K.; Goodenough, K.M.; Shail, R.K. Bismuth: Economic geology and value chains. Ore Geol. Rev. 2022, 143, 104722. [Google Scholar] [CrossRef]
- Alexandre, P.; Kyser, K.; Layton-Matthews, D.; Joy, B.; Uvarova, Y. Chemical Compositions of Natural Uraninite. Can. Mineral. 2015, 53, 595–622. [Google Scholar] [CrossRef]
- Nickel, E.H. Gossan mineralogy viewed in the context of solution chemistry. In Pathfinder and Multi-element Geochemistry in Mineral Exploration: A Seminar Organized by CSIRO and the Department of Geology, University of Western Australia, in Co-Operation with the Extension Service; Glover, J.E., Smith, R.E., Eds.; University of Western Australia: Perth, Australia, 1979. [Google Scholar]
- Plyusnin, A.M.; Pogrelnyak, Y.F.; Mironov, A.; Zhmodik, S.M. The behavior of gold in the oxidation of gold-bearing sulfides. Geochem. Int. 1981, 18, 116–123. [Google Scholar]
- Andrew, R.L. The geochemistry of selected base-metal gossans, southern Africa. J. Geochem. Explor. 1984, 22, 161–192. [Google Scholar] [CrossRef]
- Coughlin, B.R.; Stone, A.T. Nonreversible Adsorption of Divalent Metal Ions (MnII, CoII, NiII, CuII, and PbII) onto Goethite: Effects of Acidification, FeII Addition, and Picolinic Acid Addition. Environ. Sci. Technol. 1995, 29, 2445–2455. [Google Scholar] [CrossRef] [PubMed]
- Swedlund, P.J.; Webster, J.G.; Miskelly, G.M. Goethite adsorption of Cu(II), Pb(II), Cd(II), and Zn(II) in the presence of sulfate: Properties of the ternary complex. Geochim. Cosmochim. Acta 2009, 73, 1548–1562. [Google Scholar] [CrossRef]
- Smith, K.S. Metal sorption on mineral surfaces: An overview with examples relating to mineral deposits. In The Environmental Geochemistry of Mineral Deposits: Part A: Processes, Techniques, and Health Issues Part B: Case Studies and Research Topics; Vol 6A. Reviews in Economic Geology, Society of Economic Geologists; Plumlee, G.S., Logsdon, M.S., Eds.; Society of Economic Geologists: Littleton, CO, USA, 1999; pp. 161–182. [Google Scholar] [CrossRef]
- Cornell, R.M.; Schwertmann, U. The Iron Oxides: Structure, Properties Reactions Occurrence and Uses; VCH Verlagsgeseiischaft mbH: Weinheim, Germany; New York, NY, USA, 2003; 573p. [Google Scholar]
- Liu, H.; Chen, T.; Frost, R.L. An overview of the role of goethite surfaces in the environment. Chemosphere 2014, 103, 1–11. [Google Scholar] [CrossRef]
- Fralick, P.W.; Kronberg, B.I. Geochemical discrimination of clastic sedimentary rock sources. Sediment. Geol. 1997, 113, 111–124. [Google Scholar] [CrossRef]
- Harrison, T.M.; Aikman, A.; Holden, P.; Walker, A.M.; McFarlane, C.; Rubatto, D.; Watson, E.B. Testing the Ti-in-zircon thermometer. In Proceedings of the AGU Fall Meeting Abstracts 2005, San Francisco, CA, USA, 5–9 December 2005; Volume 86, p. V41F-1540. [Google Scholar]
- Fu, B.; Page, F.Z.; Cavosie, A.J.; Fournelle, J.; Kita, N.T.; Lackey, J.S.; Wilde, S.A.; Valley, J.W. Ti-in-zircon thermometry: Applications and limitations. Contrib. Mineral. Petrol. 2008, 156, 197–215. [Google Scholar] [CrossRef]
- Martínez, M.; Escobar, M.; Morante, F.; Márquez, G.; Lorenzoa, E.; Álvarez, A. Ti/Zr ratio as a geochemical tool for the correlation of weathered coals from geological formations in two Latin American sedimentary basins. Energy Sources 2016, 38, 3542–3548. [Google Scholar] [CrossRef]
- Evensen, N.M.; Hamilton, P.J.; O’Nions, R.K. Rare-earth abundances in chondritic meteorites. Geochim. Cosmochim. Acta 1978, 42, 1199–1212. [Google Scholar] [CrossRef]
- Xavier, R.P.; Wiedenbeck, M.; Trumbell, R.B.; Dreher, A.M.; Monteiro, L.V.S.; Rhede, D.; Araújo, C.E.; Torresi, I. Tourmaline B-isotopes fingerprint marine evaporites as the source of high-salinity ore fluids in iron-oxide-copper-gold deposits, Carajás Mineral Province (Brazil). Geology 2008, 36, 743–746. [Google Scholar] [CrossRef]
- Putter, T.; Mees, F.; Decrée, S.; Dewaele, S. Malachite, an indicator of major Pliocene Cu remobilization in karstic environment (Katanga, Democratic Republic of Congo). Ore Geol. Rev. 2010, 38, 90–100. [Google Scholar] [CrossRef]
- Dutrizac, J.E.; Soriano, C. Behaviour of the rare earths during goethite (α-FeOOH) precipitation from sulphate-based solutions. Hydrometallurgy 2018, 176, 87–96. [Google Scholar] [CrossRef]
- Mondillo, N.; Balassone, G.; Boni, M.; Chelle-Michou, C.; Cretella, S.; Mormone, A.; Putzolu, F.; Santoro, L.; Scognamiglio, G.; Tarallo, M. Rare Earth Elements (REE) in Al- and Fe-(oxy)-hydroxides in Bauxites of provence and Languedoc (Southern France): Implications for the Potential Recovery of REE as By-products of Bauxite Mining. Minerals 2019, 9, 504. [Google Scholar] [CrossRef]
- Graham, S.; Pearson, N.; Jackson, S.; Griffin, W.; O’Reilly, S.Y. Tracing Cu and Fe from source to porphyry: In situ determination of Cu and Fe isotope ratios in sulfides from the Grasberg Cu–Au deposit. Chem. Geol. 2004, 207, 147–169. [Google Scholar] [CrossRef]
- Maréchal, C.N.; Télouk, P.; Albarède, F. Precise analysis of copper and zinc isotopic compositions by plasma-source mass spectrometry. Chem. Geol. 1999, 156, 251–273. [Google Scholar] [CrossRef]
- Zhu, X.K.; O’Nions, R.K.; Guo, Y.; Belshaw, N.S.; Rickard, D. Determination of natural Cu-isotope variation by plasma-source mass spectrometry: Implications for use as geochemical tracers. Chem. Geol. 2000, 163, 139–149. [Google Scholar] [CrossRef]
- Fernandez, A.; Borrok, D.M. Fractionation of Cu, Fe, and Zn isotopes during the oxidative weathering of sulfide-rich rocks. Chem. Geol. 2009, 264, 1–12. [Google Scholar] [CrossRef]
- Mathur, R.; Ruiz, J.; Titley, S.; Liermann, L.; Buss, H.; Brantley, S. Cu isotopic fractionation in the supergene environment with and without bacteria. Geochim. Cosmochim. Acta 2005, 69, 5233–5246. [Google Scholar] [CrossRef]
- Kimball, B.E.; Mathur, R.; Dohnalkova, A.C.; Wall, A.J.; Runkel, R.L.; Brantley, S.L. Copper isotope fractionation in acid mine drainage. Geochim. Cosmochim. Acta 2009, 73, 1247–1263. [Google Scholar] [CrossRef]
- Kříbek, B.; Zachariáš, J.; Knésl, I.; Míková, J.; Mihaljevič, M.; Veselovský, F.; Bamba, O. Geochemistry, mineralogy, and isotope composition of Pb, Zn, and Cu in primary ores, gossan and barren ferruginous crust from the Perkoa base metal deposit, Burkina Faso. J. Geochem. Explor. 2016, 168, 49–64. [Google Scholar] [CrossRef]
- Ehrlich, S.; Butler, I.; Halicz, L.; Rickard, D.; Oldroyd, A.; Matthews, A. Experimental study of the copper isotope fractionation between aqueous Cu(II) and covellite, CuS. Chem. Geol. 2004, 209, 259–269. [Google Scholar] [CrossRef]
- Borrok, D.M.; Nimick, D.A.; Wanty, R.B.; Ridley, W.I. Isotopic variations of dissolved copper and zinc in stream waters affected by historical mining. Geochim. Cosmochim. Acta 2008, 72, 329–344. [Google Scholar] [CrossRef]
- Maréchal, C.N.; Sheppard, S.M.F. Isotopic fractionation of Cu and Zn between chloride and nitrate solutions and malachite or smithsonite at 30 degrees and 50 degrees C. Geoch. Cosmochim. Acta 2002, 66, A484. [Google Scholar]
- Albarede, F. The Stable Isotope Geochemistry of Copper and Zinc. Rev. Mineral. Geochem. 2004, 55, 409–427. [Google Scholar] [CrossRef]
- Plumhoff, A.M.; Mathur, R.; Milovský, R.; Majzlan, J. Fractionation of the copper, oxygen and hydrogen isotopes between malachite and aqueous phase. Geochim. Cosmochim. Acta 2021, 300, 246–257. [Google Scholar] [CrossRef]
- Mason, T.F.D.; Weiss, D.J.; Chapman, J.B.; Wilkinson, J.J.; Tessalina, S.G.; Spiro, B.; Horstwood, M.S.A.; Spratt, J.; Coles, B.J. Zn and Cu isotopic variability in the Alexandrinka volcanic-hosted massive sulphide (VHMS) ore deposit, Urals, Russia. Chem. Geol. 2005, 221, 170–187. [Google Scholar] [CrossRef]
- Mathur, R.; Dendas, M.; Titley, S.; Phillips, A. Patterns in the Copper Isotope Composition of Minerals in Porphyry Copper Deposits in Southwestern United States. Econ. Geol. 2010, 105, 1457–1467. [Google Scholar] [CrossRef]
- Mathur, R.; Jin, L.; Prush, V.; Paul, J.; Ebersole, C.; Fornadel, A.; Williams, J.Z.; Brantley, S. Cu isotopes and concentrations during weathering of black shale of the Marcellus Formation, Huntingdon County, Pennsylvania (USA). Chem. Geol. 2012, 304–305, 175–184. [Google Scholar] [CrossRef]
- Rouxel, O.; Dobbek, N.; Ludden, J.; Fouquet, Y. Iron isotope fractionation during oceanic crust alteration. Chem. Geol. 2003, 202, 155–182. [Google Scholar] [CrossRef]
- Cheng, Y.; Mao, J.; Zhu, X.; Liu, Y.W. Iron isotope fractionation during supergene weathering process and its application to constrain ore genesis in Gaosong deposit, Gejiu district, SW China. Gondwana Res. 2015, 27, 1283–1291. [Google Scholar] [CrossRef]
- Johnson, C.M.; Skulan, J.L.; Beard, B.L.; Sun, H.; Nealson, K.H.; Braterman, P.S. Isotopic fractionation between Fe(III) and Fe(II) in aqueous solutions. Earth Planet. Sci. Lett. 2002, 195, 141–153. [Google Scholar] [CrossRef]
- Welch, S.A.; Beard, B.L.; Johnson, C.M.; Braterman, P.S. Kinetic and equilibrium Fe isotope fractionation between aqueous Fe(II) and Fe(III). Geochim. Cosmochim. Acta 2003, 67, 4231–4250. [Google Scholar] [CrossRef]
- Butler, I.B.; Archer, C.; Vance, D.; Oldroyd, A.; Rickard, D. Fe isotope fractionation on FeS formation in ambient aqueous solution. Earth Planet. Sci. Lett. 2005, 236, 430–442. [Google Scholar] [CrossRef]
- Bullen, T.D.; White, A.F.; Childs, C.W.; Vivit, D.V.; Schulz, M.S. Demonstration of significant abiotic iron isotope fractionation in nature. Geology 2001, 29, 699. [Google Scholar] [CrossRef]
- Icopini, G.A.; Anbar, A.D.; Ruebush, S.S.; Tien, M.; Brantley, S.L. Iron isotope fractionation during microbial reduction of iron: The importance of adsorption. Geology 2004, 32, 205. [Google Scholar] [CrossRef]
- Fekiacova, Z.; Pichat, S.; Cornu, S.; Balesdent, J. Inferences from the vertical distribution of Fe isotopic compositions on pedogenetic processes in soils. Geoderma 2013, 209–210, 110–118. [Google Scholar] [CrossRef]
- Demir, Y.; Uysal, I.; Sadiklar, M.B.; Sipahi, F. Mineralogy, mineral chemistry, and fluid inclusion investigation of Kostere hydrothermal vein-type deposit (Gumushane, NE-Turkey). Neues Jahrb. Mineral.-Abh. 2008, 185, 215–232. [Google Scholar] [CrossRef]
- Helmy, H.M.; Shalaby, I.M.; Rahman, H.B.A. Large-scale metal zoning in a late-Precambrian skarn-type mineralization, Wadi Kid, SE Sinai, Egypt. J. Afr. Earth Sci. 2014, 90, 77–86. [Google Scholar] [CrossRef]
- Wang, G.; Wang, Z.; Shi, R.; Zhang, Y.; Wang, K. Mineralogy and isotope geochemical characteristics for Xiaozhen copper deposit, Langao County, Shaanxi Province and their constraint on genesis of the deposit. Geosci. J. 2014, 19, 281–294. [Google Scholar] [CrossRef]
- Sadati, S.N.; Yazdi, M.; Mao, J.; Behzadi, M.; Adabi, M.H.; Lingang, X.; Zhenyu, C.; Mokhtari, M.A.A. Sulfide mineral chemistry investigation of sediment-hosted stratiform copper deposits, Nahand-Ivand area, NW Iran. Ore Geol. Rev. 2016, 72, 760–776. [Google Scholar] [CrossRef]
- George, L.L.; Cook, N.J.; Crowe, B.B.P.; Ciobanu, C.L. Trace elements in hydrothermal chalcopyrite. Mineral. Mag. 2018, 82, 59–88. [Google Scholar] [CrossRef]
- Rose, W.R.; Hawkes, H.E.; Webb, J.S. Geochemistry in Mineral Exploration; Academic Press: Cambridge, MA, USA, 1979; 657p. [Google Scholar]
- Fitzpatrick, R.W.; Schwertmann, U. Al-substituted goethite-An indicator of pedogenic and other weathering environments in South Africa. Geoderma 1982, 27, 335–347. [Google Scholar] [CrossRef]
- Thornber, M.R. Supergene alteration of sulfides, distribution of elements during gossan forming process. Chem. Geol. 1985, 53, 279–301. [Google Scholar] [CrossRef]
- Carlson, L. Aluminum substitution in goethite in Lake Ore. Bull. Geol. Soc. Finl. 1995, 67, 19–28. [Google Scholar] [CrossRef]
- Thornber, M.R.; Taylor, G.F. The Mechanisms of Sulphide Oxidation and Gossan Formation; Elsevier: Amsterdam, The Netherlands, 1992; pp. 119–138. [Google Scholar] [CrossRef]
- Gilkes, R.J.; Little, I.P. Weathering of chlorite and some associations of trace elements in Permian phyllites in Southeast Queensland. Geoderma 1972, 7, 233–247. [Google Scholar] [CrossRef]
- Aspandiar, M.F.; Eggleton, R.A. Weathering of chlorite: II. Reactions and products in microsystems controlled by solution avenues. Clays Clay Miner. 2002, 50, 699–709. [Google Scholar] [CrossRef]
- Aspandiar, M.F.; Eggleton, R.A. Weathering of chlorite: I. Reactions and products in microsystems controlled by the primary mineral. Clays Clay Miner. 2002, 50, 685–698. [Google Scholar] [CrossRef]










| Hypogene Ore | Gossan Zone | Saprolite Ore | UCC | ||||||||||
|---|---|---|---|---|---|---|---|---|---|---|---|---|---|
| Goethite | Malachite | Cuprite | |||||||||||
| Depth | 129 m | 127 m | 98 m | 70 m | 69 m | 68 m | 94 m | 15 m | 12 m | 10 m | 7 m | 5 m | |
| SiO2 wt.% | 13.4 | 10.35 | 36.8 | 7.11 | 3.78 | 14.2 | 43.5 | 55 | 48.8 | 55.3 | 52 | 41.2 | 66.6 |
| Al2O3 | 4.08 | 3.25 | 3.41 | 5.89 | 2.56 | 10 | 5.19 | 21.1 | 22.2 | 17.75 | 17.75 | 20.9 | 15.4 |
| Fe2O3 | 25.8 | 35.4 | 49.8 | 71.4 | 0.77 | 6.07 | 36.8 | 9.85 | 13.05 | 6.33 | 16.6 | 20.2 | 5.04 |
| CaO | 1.93 | 1.67 | 0.08 | 0.06 | 0.03 | 0.04 | 0.07 | 0.03 | 0.03 | 0.07 | 0.04 | 0.02 | 3.59 |
| MgO | 4.6 | 3.61 | 0.48 | 2.55 | 0.15 | 1.63 | 0.6 | 2.38 | 1.37 | 1.41 | 2.75 | 1.73 | 2.48 |
| Na2O | <0.01 | <0.01 | <0.01 | <0.01 | <0.01 | <0.01 | <0.01 | 0.03 | 0.07 | 0.19 | 0.02 | 0.04 | 3.27 |
| K2O | 2.51 | 1.85 | 0.27 | 0.07 | 0.05 | 0.15 | 0.21 | 1.33 | 0.76 | 2.25 | 0.28 | 1.11 | 2.80 |
| TiO2 | 0.13 | 0.11 | 0.24 | 0.16 | 0.09 | 0.29 | 0.41 | 1.12 | 1.14 | 1.9 | 1.01 | 1.01 | 0.64 |
| MnO | 0.02 | 0.02 | 0.05 | 0.06 | <0.01 | 0.03 | 0.03 | 0.02 | 0.08 | 0.08 | 0.02 | 0.12 | 0.1 |
| P2O5 | 1.28 | 1.1 | 1.48 | 1.28 | <0.01 | 0.29 | 0.83 | 0.12 | 0.27 | 0.47 | 0.11 | 0.19 | 0.15 |
| CuO | 26.29 | 29.79 | 0.91 | 0.94 | >50 | 46.32 | 7.90 | 1.51 | 1.65 | 4.79 | 2.95 | 1.15 | 0.0035 |
| LOI | 11.15 | 11.7 | 8.44 | 11.7 | 15.1 | 22.6 | 7.1 | 9.61 | 12.85 | 10.35 | 9.86 | 11.5 | - |
| Total | 91.20 | 98.86 | 101.96 | 101.22 | >72.54 | 101.62 | 102.65 | 102.16 | 102.31 | 100.93 | 103.42 | 99.20 | - |
| C | 0.02 | 0.05 | 0.02 | 0.09 | 2.95 | 3.15 | 0.06 | 0.04 | 0.06 | 0.08 | 0.07 | 0.04 | - |
| S | 21.3 | 23.8 | 0.04 | 0.01 | 0.67 | 0.48 | 0.76 | 0.01 | <0.01 | <0.01 | <0.01 | <0.01 | - |
| Au ppm | 2.72 | 3.32 | 0.047 | 0.432 | 0.083 | 0.397 | 0.277 | 0.016 | 0.012 | 0.004 | 0.551 | <0.001 | 0.0015 |
| Ag | 16.2 | 22.3 | 3.6 | 0.8 | 43.8 | 26.8 | 3 | <0.5 | <0.5 | 0.7 | 0.5 | 0.5 | 0.053 |
| Ba | 84.8 | 68.3 | 27.2 | 30.6 | 123.5 | 40.4 | 64.5 | 495 | 253 | 372 | 89.1 | 206 | 628 |
| Co | 135 | 118 | 22 | 55 | 2 | 13 | 22 | 29 | 66 | 45 | 28 | 113 | 17.3 |
| Cr | <10 | <10 | <10 | 10 | <10 | 10 | 20 | 70 | 70 | 10 | 100 | 80 | 92 |
| Cs | 2.35 | 1.91 | 1.27 | 0.42 | 0.02 | 0.06 | 2.59 | 1.1 | 0.77 | 0.58 | 1.82 | 1.11 | 4.9 |
| Ga | 18.6 | 14.3 | 12.2 | 37.2 | 8.8 | 30.2 | 22.4 | 32.6 | 33.1 | 15 | 33.9 | 37.6 | 17.5 |
| Hf | <0.1 | <0.1 | 0.7 | 0.3 | 0.1 | 0.9 | 1.6 | 6.2 | 7.4 | 9.2 | 7 | 6.1 | 5.3 |
| Li | 30 | 20 | 10 | 10 | <10 | 10 | 10 | 10 | 10 | <10 | 10 | 10 | 24 |
| Mo | <1 | <1 | 60 | 57 | 8 | 5 | 9 | <1 | 2 | <1 | <1 | <1 | 1.1 |
| Nb | 13.8 | 9.9 | 4.8 | 6.5 | 1.9 | 7.7 | 6.4 | 8.6 | 11.3 | 16.8 | 13.8 | 12.8 | 12 |
| Ni | 127 | 139 | 187 | 905 | 26 | 133 | 398 | 182 | 102 | 121 | 281 | 65 | 47 |
| Pb | 16 | 10 | <2 | 185 | 20 | 113 | <2 | 6 | <2 | 14 | 5 | <2 | 17 |
| Pd | 0.002 | <0.001 | 0.001 | <0.001 | 0.018 | 0.026 | <0.001 | 0.007 | 0.012 | 0.002 | 0.006 | 0.013 | 0.000522 |
| Pt | 0.005 | <0.005 | <0.005 | <0.005 | 0.021 | 0.015 | <0.005 | 0.009 | 0.007 | <0.005 | 0.005 | <0.005 | 0.0005 |
| Sn | 198 | 278 | 21 | 13 | 7 | 21 | 29 | 42 | 24 | 6 | 31 | 28 | 2.1 |
| Sr | 5.9 | 8.8 | 4.8 | 1.5 | 0.9 | 3.7 | 4.2 | 24.1 | 10.9 | 29.8 | 10.1 | 4.9 | 320 |
| Ta | 1.3 | 1.1 | 0.2 | 0.5 | 0.3 | 0.5 | 0.2 | 0.7 | 0.9 | 1.3 | 0.9 | 0.6 | 0.9 |
| Th | 7.11 | 3.04 | 1.53 | 2.09 | 0.73 | 2.76 | 4.46 | 12.9 | 9.17 | 16.1 | 17.9 | 12.95 | 10.5 |
| U | 7.55 | 4.9 | 5.42 | 28 | 2.13 | 8.24 | 6.81 | 3.24 | 5.77 | 3.86 | 4.42 | 5.17 | 2.7 |
| V | 52 | 46 | 122 | 229 | 20 | 94 | 190 | 255 | 171 | 60 | 229 | 256 | 97 |
| W | 2 | 4 | 7 | 5 | 22 | 3 | 3 | 5 | 5 | 10 | 4 | 5 | 1.9 |
| Y | 1120 | 623 | 99.2 | 253 | 173.5 | 1065 | 163.5 | 39.7 | 104 | 175 | 41.6 | 142.5 | 21 |
| Zr | 2 | 2 | 38 | 24 | 14 | 50 | 70 | 213 | 280 | 344 | 276 | 244 | 193 |
| As | 4.3 | 2.2 | 1.8 | 1.2 | 0.7 | 4.1 | 0.6 | 0.2 | 0.7 | 0.5 | 0.3 | 0.6 | 4.8 |
| Bi | 0.84 | 0.3 | 1.35 | 10.7 | 2.49 | 6.78 | 2.21 | 0.24 | 0.03 | 0.07 | 0.01 | 0.01 | 0.16 |
| Hg | 0.024 | 0.01 | 0.016 | 0.017 | 0.19 | 1.31 | 0.023 | <0.005 | 0.017 | 0.008 | 0.014 | 0.01 | 0.05 |
| In | 4.42 | 5.29 | 0.133 | 0.462 | 0.131 | 0.38 | 0.127 | 0.04 | 0.024 | 0.022 | 0.036 | 0.03 | 0.056 |
| Rb | 300 | 234 | 37.9 | 6.3 | 1.8 | 6.2 | 44.5 | 104 | 84.7 | 115 | 66.6 | 77.1 | 84 |
| Re | 0.007 | 0.004 | <0.001 | 0.001 | 0.002 | 0.008 | 0.001 | 0.001 | <0.001 | 0.001 | <0.001 | 0.001 | 0.198 |
| Sc | 9 | 8 | 16 | 17 | 16 | 84 | 27 | 41 | 32 | 17 | 44 | 36 | 14.0 |
| Se | 34.7 | 25.9 | 1.3 | 3.9 | 101.5 | 30.3 | 15.9 | 0.2 | 0.3 | 2.3 | 1.2 | 2.7 | 0.09 |
| Te | 18.8 | 18.9 | 0.65 | 1.2 | 2.79 | 0.73 | 2.41 | 0.05 | 0.05 | 0.05 | 0.05 | 0.07 | n. a. |
| Tl | 0.42 | 0.31 | 0.05 | 0.02 | <0.02 | <0.02 | 0.1 | 0.12 | 0.15 | 0.07 | 0.14 | 0.16 | 0.9 |
| Zn | 42 | 36 | 117 | 793 | 34 | 120 | 231 | 103 | 59 | 89 | 108 | 51 | 67 |
| La | 8.5 | 7.2 | 4 | 13 | 11.1 | 150.5 | 7 | 74.9 | 16.4 | 38.2 | 15.4 | 40.6 | 31 |
| Ce | 38.6 | 27.7 | 10.2 | 28.4 | 25.1 | 318 | 14.6 | 151 | 28.4 | 81.8 | 18.8 | 76.8 | 63 |
| Pr | 8.7 | 5.82 | 1.18 | 3.48 | 3.18 | 39.6 | 1.72 | 16.7 | 3.29 | 9.68 | 3.14 | 12.25 | 7.1 |
| Nd | 67.5 | 42.9 | 6.2 | 17.1 | 15.6 | 179 | 7.7 | 60.6 | 13.9 | 42.1 | 13.3 | 53.7 | 27 |
| Sm | 47.3 | 28.1 | 2.54 | 7.31 | 5.27 | 48.4 | 3.23 | 9.25 | 3.5 | 8.7 | 2.61 | 11.45 | 4.7 |
| Eu | 12.65 | 7.66 | 1.07 | 3.03 | 2.11 | 16.25 | 1.36 | 2.7 | 1.55 | 3 | 1.01 | 3.85 | 1.0 |
| Gd | 122 | 69.7 | 6.53 | 18.75 | 12.5 | 85.9 | 9.4 | 8.07 | 8.25 | 13.3 | 4.08 | 17.05 | 4 |
| Tb | 25 | 14.7 | 1.32 | 4.01 | 2.6 | 16.7 | 2 | 1.18 | 1.57 | 2.34 | 0.68 | 2.8 | 0.7 |
| Dy | 176 | 100.5 | 9.79 | 28.7 | 19.35 | 123 | 15.65 | 6.54 | 11.35 | 16.35 | 4.42 | 17.8 | 3.9 |
| Ho | 38 | 21.5 | 2.54 | 7.24 | 4.88 | 31.7 | 4.05 | 1.31 | 2.82 | 4.22 | 1.05 | 3.9 | 0.83 |
| Er | 111.5 | 62.4 | 8.41 | 23.7 | 16.15 | 109 | 13.35 | 3.71 | 8.98 | 12.55 | 3.35 | 11.45 | 2.3 |
| Tm | 18.35 | 10.05 | 1.66 | 4.59 | 3.35 | 21.5 | 2.49 | 0.67 | 1.52 | 2.07 | 0.59 | 1.95 | 0.30 |
| Yb | 101.5 | 56.7 | 11.75 | 32.3 | 25.2 | 164.5 | 15.85 | 3.81 | 9.82 | 11.5 | 3.64 | 10.95 | 1.96 |
| Lu | 14.45 | 8.05 | 2.21 | 5.96 | 4.92 | 32.6 | 2.7 | 0.65 | 1.77 | 1.93 | 0.65 | 1.81 | 0.31 |
| ∑ REE | 790.05 | 462.98 | 69.4 | 197.57 | 151.31 | 1336.65 | 101.1 | 341.09 | 113.12 | 247.74 | 72.72 | 266.36 | 125 |
| (La/Lu)N | 0.06 | 0.09 | 0.19 | 0.23 | 0.23 | 0.48 | 0.27 | 11.96 | 0.96 | 2.05 | 2.46 | 2.33 | - |
| Eu/Eu* | 0.48 | 0.50 | 0.76 | 0.75 | 0.76 | 0.76 | 0.70 | 0.94 | 0.85 | 0.85 | 0.94 | 0.84 | - |
| Sample | Cu Wt.% | δ65Cu | SE * | Fe Wt.% | δ56Fe | SE * |
|---|---|---|---|---|---|---|
| Hypogene ore | ||||||
| 505-07 | 21.00 | 0.13 | 0.123 | 18.04 | 0.36 | 0.10 |
| 505-08 | 23.80 | 0.06 | 0.013 | 24.76 | 0.45 | 0.05 |
| Gossan ore | ||||||
| 505-15 | 0.73 | 0.51 | 0.034 | 34.83 | –0.56 | 0.05 |
| 484-34 | 50.00 | −0.69 | 0.001 | 0.54 | 1.00 | 0.11 |
| 484-35 | 37.00 | −0.70 | 0.005 | 4.25 | 0.57 | 0.06 |
| Saprolite ore | ||||||
| 505-39 | 1.32 | 0.08 | 0.002 | 9.13 | 0.22 | 0.02 |
| 505-40 | 3.83 | 0.09 | 0.026 | 4.43 | 0.14 | 0.06 |
| 505-42 | 0.92 | 0.07 | 0.05 | 14.13 | 0.02 | 0.020 |
Disclaimer/Publisher’s Note: The statements, opinions and data contained in all publications are solely those of the individual author(s) and contributor(s) and not of MDPI and/or the editor(s). MDPI and/or the editor(s) disclaim responsibility for any injury to people or property resulting from any ideas, methods, instructions or products referred to in the content. |
© 2023 by the authors. Licensee MDPI, Basel, Switzerland. This article is an open access article distributed under the terms and conditions of the Creative Commons Attribution (CC BY) license (https://creativecommons.org/licenses/by/4.0/).
Share and Cite
Santos, P.H.C.d.; Costa, M.L.d.; Roerdink, D.L. Geochemical and Isotopic Fractionation in the Hypogene Ore, Gossan, and Saprolite of the Alvo 118 Deposit: Implications for Copper Exploration in the Regolith of the Carajás Mineral Province. Minerals 2023, 13, 1441. https://doi.org/10.3390/min13111441
Santos PHCd, Costa MLd, Roerdink DL. Geochemical and Isotopic Fractionation in the Hypogene Ore, Gossan, and Saprolite of the Alvo 118 Deposit: Implications for Copper Exploration in the Regolith of the Carajás Mineral Province. Minerals. 2023; 13(11):1441. https://doi.org/10.3390/min13111441
Chicago/Turabian StyleSantos, Pabllo Henrique Costa dos, Marcondes Lima da Costa, and Desiree Lisette Roerdink. 2023. "Geochemical and Isotopic Fractionation in the Hypogene Ore, Gossan, and Saprolite of the Alvo 118 Deposit: Implications for Copper Exploration in the Regolith of the Carajás Mineral Province" Minerals 13, no. 11: 1441. https://doi.org/10.3390/min13111441
APA StyleSantos, P. H. C. d., Costa, M. L. d., & Roerdink, D. L. (2023). Geochemical and Isotopic Fractionation in the Hypogene Ore, Gossan, and Saprolite of the Alvo 118 Deposit: Implications for Copper Exploration in the Regolith of the Carajás Mineral Province. Minerals, 13(11), 1441. https://doi.org/10.3390/min13111441

