The Relationship between Particle Size and Element Distribution in Stream Sediments from the Dongyuan W-Mo Deposit, Eastern China
Abstract
1. Introduction
2. Materials and Methods
2.1. Description of Study Area
2.1.1. Geological Setting

2.1.2. Landscape Features
2.2. Sampling
2.2.1. Sampling Method for Test Samples
2.2.2. Sampling Method for Geochemical Mapping Experiment
2.3. Sample Preparation, Analysis, and Quality Control
2.3.1. Sample Preparation
2.3.2. Sample Analysis
2.3.3. Assessment of Data Quality
3. Results and Discussion
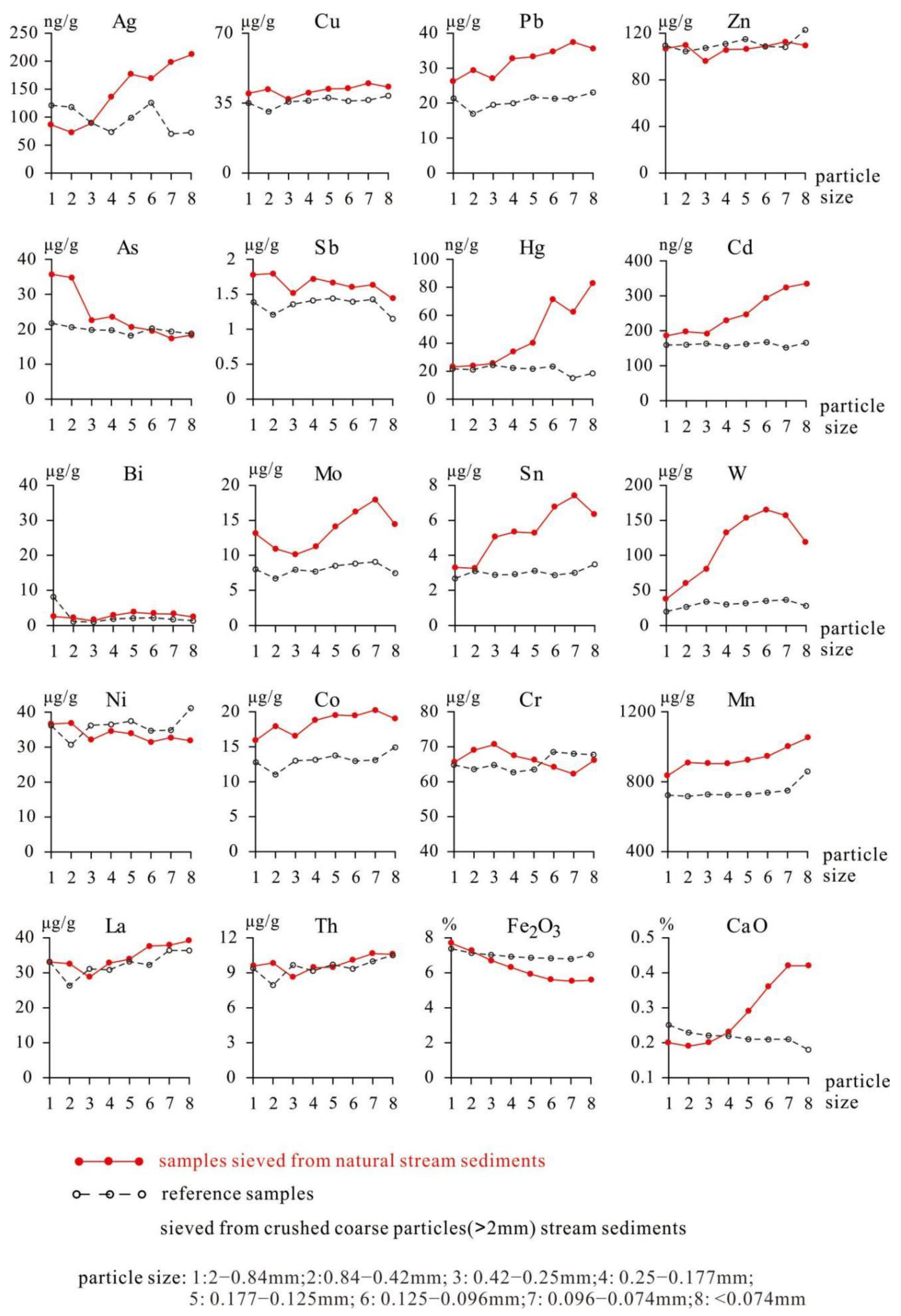
3.1. Distributions of Element Concentrations in Different Particle Size Fractions of Samples
3.2. Distribution of Minerals in Stream Sediments
3.3. Relationship between Elements and Minerals in Stream Sediments
3.4. Component of the <0.25 mm Fraction of Stream Sediment
3.5. Results of Stream Sediment Geochemical Survey in the Experimental Area
4. Conclusions
Author Contributions
Funding
Data Availability Statement
Acknowledgments
Conflicts of Interest
References
- Xie, X.J.; Sun, H.Z.; Ren, T.X. Regional geochemistry—National reconnaissance project in China. J. Geochem. Explor. 1989, 33, 1–9. [Google Scholar] [CrossRef]
- Day, S.; Fletcher, K. Particle size and abundance of gold in selected stream sediments, southern British Columbia, Canada. J. Geochem. Explor. 1986, 26, 203–214. [Google Scholar] [CrossRef]
- Ren, T.X.; Zhao, Y.; Zhang, H.; Yang, S.P. Regional geochemical surveys in arid and semiarid regions in the middle and western part of Inner Mongolia. J. Geochem. Explor. 1989, 33, 11–26. [Google Scholar] [CrossRef]
- Horowitz, A.J.; Elrick, K.A. The relation of stream sediment surface area, grain size and composition to trace element chemistry. Appl. Geochem. 1987, 2, 437–451. [Google Scholar] [CrossRef]
- Rawlins, B.G.; Turner, G.; Mounteney, I.; Wildman, G. Estimating specific surface area of fine stream bed sediments from geochemistry. Appl. Geochem. 2010, 25, 1291–1300. [Google Scholar] [CrossRef][Green Version]
- Guagliardi, I.; Apollaro, C.; Scarciglia, F.; Rosa, R.D. Influence of particle size on geochemical distribution of stream sediments in the Lese river catchment, southern Italy. Biotechnol. Agron. Soc. Environ. 2013, 17, 43–55. [Google Scholar]
- von Eynatten, H.; Tolosana-Delgado, R.; Karius, V.; Bachmann, K.; Caracciolo, L. Sediment generation in humid Mediterranean setting: Grain-size and source-rock control on sediment geochemistry and mineralogy (Sila Massif, Calabria). Sediment. Geol. 2016, 336, 68–80. [Google Scholar] [CrossRef]
- El-Kammar, A.; El-Wakil, M.; Abd El-Rahman, Y.; Fathy, M.; Abdel-Azeem, M. Stream sediment geochemical survey of rare elements in an arid region of the Hamadat area, Central Eastern Desert, Egypt. Ore Geol. Rev. 2019, 117, 103287. [Google Scholar] [CrossRef]
- Lancianese, V.; Dinelli, E. Geochemical mapping based on geological units: A case study from the Marnoso-arenacea formation (Northern Apennines, Italy). Chem. Erde 2016, 76, 197–210. [Google Scholar] [CrossRef]
- Watt, J.T.; Tooms, J.S.; Webb, J.S. Geochemical dispersion of niobium from pyochlore-bearing carbonatites in Northern Rhodesia. Trans. Inst. Min. Metall. Sect. B 1962, 72, 729–747. [Google Scholar]
- Bugrov, V. Geochemical sampling techniques in the Eastern Desert of Egypt. J. Geochem. Explor. 1974, 3, 67–75. [Google Scholar] [CrossRef]
- Tessier, A.; Campbell, P.G.C.; Bisson, M. Particulate trace metal speciation in stream sediments and relationships with grain size: Implications for geochemical exploration. J. Geochem. Explor. 1982, 16, 77–104. [Google Scholar] [CrossRef]
- Beeson, R. The use of the fine fractions of stream sediments in geochemical exploration in arid and semi-arid terrains. J. Geochem. Explor. 1984, 22, 119–132. [Google Scholar] [CrossRef]
- Mudroch, A.; Duncan, G.A. Distribution of metals in different size fractions of sediment from the Niagara River. J. Great Lakes Res. 1986, 12, 117–126. [Google Scholar] [CrossRef]
- Brook, E.J.; Moore, J.N. Particle-size and chemical control of As, Cd, Cu, Fe, Mn, Ni, Pb, and Zn in bed sediment from the Clark Fork River, Montana (U.S.A.). Sci. Total Environ. 1988, 76, 247–266. [Google Scholar] [CrossRef]
- Fletcher, W.K. Stream sediment geochemistry in today’s exploration world. In Geophysics and Geochemistry at the Millennium, Proceedings of the Exploration 97: 4th Decennial International Conference on Mineral Exploration, Toronto, Canada, 14–18 September 1997; Gubins, A.G., Ed.; Prospectors and Developers Association of Canada: Toronto, ON, Canada, 1997; pp. 249–260. [Google Scholar]
- Melo, G., Jr.; Fletcher, W.K. Dispersion of gold and associated elements in stream sediments under semi-arid conditions, northeast brazil. J. Geochem. Explor. 1999, 67, 235–243. [Google Scholar] [CrossRef]
- Cohen, D.R.; Dunlop, A.C.; Rose, T. Contrasting dispersion patterns for gold in stream sediments at Timbarra, NSW, Australia. J. Geochem. Explor. 2005, 85, 1–16. [Google Scholar] [CrossRef]
- Giuliano., V.; Pagnanelli., F.; Bornoroni., L.; Toro, L.; Abbruzzese., C. Toxic elements at a disused mine district: Particle size distribution and total concentration in stream sediments and mine tailings—ScienceDirect. J. Hazard. Mater. 2007, 148, 409–418. [Google Scholar] [CrossRef]
- Darwish, M.A.G.; Poellmann, H. Geochemical exploration for gold in the Nile Valley Block(A) area, Wadi Allaqi, South Egypt. Chem. Erde—Geochem. 2010, 70, 353–362. [Google Scholar] [CrossRef]
- Wang, X. China geochemical baselines: Sampling methodology. J. Geochem. Explor. 2015, 148, 25–39. [Google Scholar] [CrossRef]
- Teng, Y.G.; Tuo, X.G.; Ni, S.J.; Zhang, C.J.; Xu, Z.Q. Environmental geochemistry of heavy metal contaminants in soil and stream sediment in Panzhihua mining and smelting area, Southwestern China. Chin. J. Geochem. 2003, 22, 253–262. [Google Scholar]
- CGS (China Geological Survey). Specifications for Regional Geochemistry Exploration (DZ/T 0167-2006). In China Geological Survey; Geological Publishing House: Beijing, China, 2006; pp. 95–113. [Google Scholar]
- Li, C.; Hao, Z.H.; Zhang, Z.J. A study on 1:50 000 stream sediments survey in Beishi area, Guangdong Province. Geophys. Geochem. Explor. 2018, 42, 303–311, (In Chinese with English abstract). [Google Scholar]
- Zhang, C.Q.; Liu, H.; Wang, D.H.; Chen, Y.C.; Rui, Z.Y.; Lou, D.B.; Wu, Y.; Jia, F.D.; Chen, Z.H.; Meng, X.Y. A Preliminary Review on the Metallogeny of Pb-Zn Deposits in China. Acta Geol. Sin.-Engl. Ed. 2015, 89, 1333–1358. [Google Scholar]
- Qiu, K.F.; Song, K.R.; Song, Y.H. Magmatic-hydrothermal fluid evolution of the Wenquan porphyry molybdenum deposit in the north margin of the West Qinling, China. Acta Petrol. Sin. 2015, 31, 3391–3404, (In Chinese with English abstract). [Google Scholar]
- Qiu, K.F.; Yang, L.Q. Genetic feature of monazite and its U-Th-Pb dating: Critical considerations on the tectonic evolution of Sanjiang Tethys. Acta Petrol. Sin. 2011, 27, 2721–2732, (In Chinese with English abstract). [Google Scholar]
- Goldfarb, R.J.; Mao, J.W.; Qiu, K.F.; Goryachev, N. The great Yanshanian metallogenic event of eastern Asia: Consequences from one hundred million years of plate margin geodynamics. Gondwana Res. 2021, 100, 223–250. [Google Scholar] [CrossRef]
- Qiu, K.F.; Goldfarb, R.J.; Deng, J.; Yu, H.C.; Gou, Z.Y.; Ding, Z.J.; Wang, Z.K.; Li, D.P. Gold deposits of the Jiaodong Peninsula, eastern China. SEG Spec. Publ. 2020, 23, 753–773. [Google Scholar]
- Qiu, K.F.; Yu, H.C.; Hetherington, C.; Huang, Y.Q.; Yang, T.; Deng, J. Tourmaline composition and boron isotope signature as a tracer of magmatic-hydrothermal processes. Am. Mineral. J. Earth Planet. Mater. 2021, 106, 1033–1044. [Google Scholar] [CrossRef]
- Qin, Y.; Wang, D.H.; Wu, L.B.; Wang, K.Y.; Mei, Y.P. SHRIMP U-Pb dating of zircons in mineralized porphyry of the Dongyuan W deposit in Anhui province and its Geological significance of the newly found Dongyuan W-Mo deposit in Huangshan area, Anhui province. Acta Geol. Sin. 2010, 84, 479–484, (In Chinese with English abstract). [Google Scholar]
- Qiu, K.F.; Deng, J. Petrogenesis of granitoids in the Dewulu skarn copper deposit: Implications for the evolution of the Paleotethys ocean and mineralization in Western Qinling, China. Ore Geol. Rev. 2017, 90, 1078–1098. [Google Scholar] [CrossRef]
- Qiu, K.F.; Deng, J.; Taylor, R.D.; Song, K.R.; Song, Y.H.; Li, Q.Z.; Goldfarb, R.J. Paleozoic magmatism and porphyry Cu-mineralization in an evolving tectonic setting in the North Qilian Orogenic Belt, NW China. J. Asian Earth Sci. 2016, 122, 20–40. [Google Scholar] [CrossRef]
- Qiu, K.F.; Yu, H.C.; Wu, M.Q.; Geng, J.Z.; Ge, X.K.; Gou, Z.Y.; Taylor, R.D. Discrete Zr and REE mineralization of the Baerzhe rare-metal deposit, China. Am. Mineral. J. Earth Planet. Mater. 2019, 104, 1487–1502. [Google Scholar] [CrossRef]
- Du, Y.D.; Yu, X.Q.; Zhou, X.; Fu, J.Z. The composition of sulfur and lead isotope and the source of metallogenic material from Xiyuan and Jiangjia Ore Blocks in the Dongyuan W-Mo deposit in southern Anhui province. Geoscience 2011, 25, 861–868, (In Chinese with English abstract). [Google Scholar]
- Wang, D.E.; Zhou, X.; Yu, X.Q.; Du, Y.D.; Yang, H.M.; Fu, J.Z.; Dong, H.M. SHRIMP zircon U-Pb dating and characteristics of Hf isotopes of the granodiorite porphyries in the Dongyuan W-Mo ore district, Qimen area, southern Anhui. Geol. Bull. China 2011, 30, 1514–1529. [Google Scholar]
- Zhou, X.; Yu, X.Q.; Wang, D.E.; Zhang, D.H.; Li, C.L.; Fu, J.Z.; Dong, H.M. Characteristics and Geochronology of the W, Mo-bearing Granodiorite Porphy in Dongyuan, Southern Anhui. Geoscience 2011, 25, 201–210, (In Chinese with English abstract). [Google Scholar]
- Qiu, K.F.; Li, N.; Taylor, R.D.; Song, Y.H.; Song, K.R.; Han, W.Z.; Zhang, D.X. Timing and duration of metallogeny of the Wenquan deposit in the West Qinling, and its constraint on a proposed classification for porphyry molybdenum deposits. Acta Petrol. Sin. 2014, 30, 2631–2643, (In Chinese with English abstract). [Google Scholar]
- Qiu, K.F.; Yu, H.C.; Deng, J.; McIntire, D.; Gou, Z.Y.; Geng, J.Z.; Chang, Z.S.; Zhu, R.; Li, K.N.; Goldfarb, R. The giant Zaozigou Au-Sb deposit in West Qinling, China: Magmatic- or metamorphic- hydrothermal origin? Min. Depos. 2020, 55, 345–362. [Google Scholar] [CrossRef]
- Yu, H.C.; Qiu, K.F.; Hetherington, C.J.; Chew, D.; Huang, Y.Q.; He, D.Y.; Geng, J.Z.; Xian, H.Y. Apatite as an alternative petrochronometer to trace the evolution of magmatic systems containing metamict zircon. Contrib. Mineral. Petrol. 2021, 176, 1–19. [Google Scholar] [CrossRef]
- Wang, Y.; Qiu, K.F.; Müller, A.; Hou, Z.L.; Zhu, Z.H.; Yu, H.C. Machine Learning Prediction of Quartz Forming-Environments. J. Geophys. Res. Solid Earth 2021, 126, e2021JB021925. [Google Scholar] [CrossRef]
- Qiu, K.F.; Taylor, R.D.; Song, Y.H.; Yu, H.C.; Song, K.R.; Li, N. Geologic and geochemical insights into the formation of the Taiyangshan porphyry copper-molybdenum deposit, Western Qinling Orogenic Belt, China. Gondwana Res. 2016, 35, 40–58. [Google Scholar] [CrossRef]
- Xie, X.J.; Ren, T.X.; Sun, H.Z. Geochemical Atlas of China; Geological Publishing House: Beijing, China, 2012; p. 13. [Google Scholar]
- Konstantinova, I.M. The composition of river silts and the distribution of hand elements in them in areas of scattering flows in Eastern Transbaikalia. In Ezhegotsnnk−1969 Institute of Geochemistry; Siberian Branch of the USSR Academy of Sciences: Irkutsk, Russia, 1970; pp. 234–235. [Google Scholar]
- Zhang, H.; Kong, M.; Yang, S.P.; Zhao, Y.J.; Ren, T.X.; Sun, Z.J.; Liu, H.Z.; Xu, R.T.; Yang, F.; Yu, J.S.; et al. Theories and Methods of Regional Geochemical Exploration in Major Landscape Areas in China; China Geological Publishing House: Beijing, China, 2017; pp. 129–186. [Google Scholar]
- MLR (Ministry of Land and Resources of the People’s Republic of China). Specification Identification of Rock and Mineral. Part. 1: General Rules and Regulation (DZ/T0275.1-2015); China Quality and Standards Publishing House: Beijing, China, 2015; pp. 1–8. [Google Scholar]
- Wang, C.S.; Gu, T.X.; Chi, Q.H.; Yan, W.D.; Yan, M.C. New geochemical standard materials for rocks and stream sediments. Geophys. Geochem. Explor. 2000, 24, 246–249, (In Chinese with English abstract). [Google Scholar]
- Xie, X.J.; Yan, M.C.; Li, L.Z.; Shen, H.J. Usable values for Chinese standard reference samples of stream sediments, soils, and rocks: GSD 9-12, GSS 1-8 and GSR 1-6. Geostand. Geoanal. Res. 1985, 9, 277–280. [Google Scholar] [CrossRef]
- Xie, X.J.; Yan, M.C.; Wang, C.S.; Li, L.Z.; Shen, H.J. Geochemical standard reference samples GSD 9-12, GSS 1-8 and GSR 1-6. Geostand. Geoanal. Res. 1989, 13, 83–179. [Google Scholar] [CrossRef]
- Ye, J.Y. Quality Control in Geochemical Sample Analysis. In Selected Analytical Methods of 57 Elements for Multi-Purpose Geochemical Survey; Zheng, K., Ye, J., Jiang, B., Eds.; Geological Publishing House: Beijing, China, 2005; pp. 295–306. [Google Scholar]
- Yang, F.; Kong, M.; Liu, H.Z.; Yu, J.S.; Yang, S.P.; Hao, Z.H.; Zhang, D.H.; Cen, K. Discovery of Wolitu Pb-Zn deposit through geochemical prospecting under loess cover in Inner Mongolia, China. Geosci. Front. 2017, 8, 951–960. [Google Scholar] [CrossRef]
- Xie, X.J. Perspective. Analytical requirements in international geochemical mapping. Analyst 1995, 120, 1497–1504. [Google Scholar]
- Cheng, H.X.; Zhao, C.D.; Liu, Y.H.; Zhang, Q.; Yang, K.; Liu, F.; Li, K.; Peng, M.; Li, M. Geochemical exploration for platinum-group element deposits in Miyi County, Sichuan province, southwestern China. Geochem. Explor. Environ. Anal. 2015, 15, 39–53. [Google Scholar] [CrossRef]
- Lancianese, V.; Dinelli, E. Different spatial methods in regional geochemical mapping at high density sampling: An application on stream sediment of Romagna Apennines, Northern Italy. J. Geochem. Explor. 2015, 154, 143–155. [Google Scholar] [CrossRef]
- Yang, F.; Xie, S.; Carranza, E.J.M.; Yao, L.; Tian, H.; Chen, Z. Vertical distribution of major ore-forming elements and the speciation in the semiarid system above the concealed Baiyinnuoer Pb-Zn deposit in inner Mongolia, China. Geochem.-Explor. Environ. Anal. 2019, 19, 46–57. [Google Scholar] [CrossRef]
- Young, S.M.; Pitawala, A.; Ishiga, H. Geochemical characteristics of stream sediments, sediment fractions, soils, and basement rocks from the Mahaweli River and its catchment, Sri Lanka. Chem. Erde 2013, 73, 357–371. [Google Scholar] [CrossRef]
- Ivanić, M.; Durn, G.; Škapin, S.D.; Sondi, I. Size-related mineralogical and surface physicochemical properties of the mineral particles from the recent sediments of the Eastern Adriatic Sea. Chemosphere 2020, 249, 126531. [Google Scholar] [CrossRef]
- Mudroch, A. Particle size effects on concentration of metals in lake Erie bottom sediments. Water Pollut. Res. J. Can. 1984, 19, 27–35. [Google Scholar] [CrossRef]
- Vital, H.; Stattegger, K. Major and trace elements of stream sediments from the lowermost Amazon River. Chem. Geol. 2000, 168, 151–168. [Google Scholar] [CrossRef]
- Ohta, A.; Imai, N.; Terashima, S.; Tachibana, Y.; Ikehara, K.; Katayama, H.; Noda, A. Factors controlling regional spatial distribution of 53 elements in coastal sea sediments in northern Japan: Comparison of geochemical data derived from stream and marine sediments. Appl. Geochem. 2010, 25, 357–376. [Google Scholar] [CrossRef]
- Garzanti, E.; Andó, S.; France-Lanord, C.; Censi, P.; Vignola, P.; Galy, V.; Lupker, M. Mineralogical and chemical variability of fluvial sediments 2. Suspended-load silt (Ganga-Brahmaputra, Bangladesh). Earth Planet. Sci. Lett. 2011, 302, 107–120. [Google Scholar] [CrossRef]
- Mudroch, A.; Sarazin, L.; Lomas, T. Summary of surface and background concentrations of selected elements in the Great Lakes Sediments. J. Great Lakes Res. 1988, 14, 241–251. [Google Scholar] [CrossRef]
- Wu, W.; Xu, S.; Lu, H.; Yang, J.; Yin, H.; Liu, W. Mineralogy, major and trace element geochemistry of riverbed sediments in the headwaters of the Yangtze, Tongtian River and Jinsha River. J. Asian Earth Sci. 2011, 40, 611–621. [Google Scholar] [CrossRef]
- Kelepertzis, E.; Argyraki, A.; Daftsis, E. Geochemical signature of surface water and stream sediments of a mineralized drainage basin at NE Chalkidiki, Greece: A pre-mining survey. J. Geochem. Explor. 2012, 114, 70–81. [Google Scholar] [CrossRef]
- Martinčić, D.; Kwokal, Ž.; Branica, M. Distribution of zinc, lead, cadmium and copper between different size fractions of sediments II. The Krka River Estuary and the Kornati Islands (Central Adriatic Sea). Sci. Total Environ. 1990, 95, 217–225. [Google Scholar] [CrossRef]
- Chandrajith, R.; Dissanayake, C.B.; Tobschall, H.J. Application of multi-element relationships in stream sediments to mineral exploration: A case study of Walawe Ganga Basin, Sri Lanka. Appl. Geochem. 2001, 16, 339–350. [Google Scholar] [CrossRef]
- Mackay, B.R. Beauceville Map-Area, Quebec; Memoir (Geological Survey of Canada), FA Acland: Ottawa, ON, Canada, 1921; Volume 108, p. 105. [Google Scholar]
- Boyle, R.W. The Geochemistry of Gold and Its Deposits (Together with a Chapter on Geochemical Prospecting for the Element); Minister of Supply and Services Canada: Ottawa, ON, Canada, 1979.
- Franz, G.; Spear, F.S. Aluminous titanite (sphene) from the Eclogite Zone, south-central Tauern Window, Austria. Chem. Geol. 1985, 50, 33–46. [Google Scholar] [CrossRef]
- Sensarma, S.; Rajamani, V.; Tripathi, J.K. Petrography and geochemical characteristics of the sediments of the small River Hemavati, Southern India: Implications for provenance and weathering processes. Sediment. Geol. 2008, 205, 111–125. [Google Scholar] [CrossRef]
- Singh, P. Geochemistry and provenance of stream sediments of the Ganga River and its major tributaries in the Himalayan region, India. Chem. Geol. 2010, 269, 220–236. [Google Scholar] [CrossRef]
- Dasgupta, S. Contrasting mineral parageneses in high-temperature calc-silicate granulites: Examples from the Eastern Ghats, India. J. Metamorph. Geol. 1993, 11, 193–202. [Google Scholar] [CrossRef]
- Morton, A.C.; Hallsworth, C.R. Processes controlling the composition of heavy mineral assemblages in sandstones. Sediment. Geol. 1999, 124, 3–29. [Google Scholar] [CrossRef]
- Das, A.; Krishnaswami, S. Elemental geochemistry of river sediments from the Deccan Traps, India: Implications to sources of elements and their mobility during basalt-water interaction. Chem. Geol. 2007, 242, 232–254. [Google Scholar] [CrossRef]
- Ćurković, L.; Cerjan-Stefanović, Š.; Filipan, T. Metal ion exchange by natural and modified zeolites. Croat. Chem. Acta 1997, 31, 281–290. [Google Scholar] [CrossRef]
- Erdem, E.; Karapinar, N.; Donat, R. The removal of heavy metal cations by natural zeolites. J. Colloid Interface Sci. 2004, 280, 309–314. [Google Scholar] [CrossRef]
- Donat, R.; Akdogan, A.; Erdem, E.; Cetisli, H. Thermodynamics of Pb2+ and Ni2+ adsorption onto natural bentonite from aqueous solutions. J. Colloid Interface Sci. 2005, 286, 43–52. [Google Scholar] [CrossRef]
- Wang, X.L.; Li, Y. Measurement of Cu and Zn adsorption onto surficial sediment components: New evidence for less importance of clay minerals. J. Hazard. Mater. 2011, 189, 719–723. [Google Scholar] [CrossRef]
- Jiménez, E.I.; García, V.P. Relationships between organic carbon and total organic matter in municipal solid wastes and city refuse composts. Bioresour. Technol. 1992, 41, 265–272. [Google Scholar] [CrossRef]
- Navarro, A.F.; Cegarra, J.; Roig, A.; Garcia, D. Relationships between organic matter and organic carbon of organic wastes. Bioresour. Technol. 1993, 44, 203–207. [Google Scholar] [CrossRef]
- Dinakaran, J.; Krishnayya, N.S.R. Variations in total organic carbon and grain size distribution in ephemeral river sediments in western India. Int. J. Sediment. Res. 2011, 26, 239–246. [Google Scholar] [CrossRef]
- Ma, L.; Jin, L.; Brantley, S.L. How mineralogy and slope aspect affect REE release and fractionation during shale weathering in the Susquehanna/Shale Hills Critical Zone Observatory. Chem. Geol. 2011, 290, 31–49. [Google Scholar] [CrossRef]
- Ma, Y.; Lu, W.; Lin, C. Downstream patterns of bed sediment-borne metals, minerals and organic matter in a stream system receiving acidic mine effluent: A preliminary study. J. Geochem. Explor. 2011, 110, 98–106. [Google Scholar] [CrossRef]
- Gier, S.; Johns, W.D. Heavy metal-adsorption on micas and clay minerals studied by x-ray photoelectron spectroscopy. Appl. Clay Sci. 2000, 16, 289–299. [Google Scholar] [CrossRef]
- Buyang, S.J.; Yi, Q.T.; Cui, H.B.; Wa, K.K.; Zhang, S.L. Distribution and adsorption of metals on different particle size fractions of sediments in a hydrodynamically disturbed canal. Sci. Total Environ. 2019, 670, 654–661. [Google Scholar] [CrossRef]
- Yang, S.P.; Kong, M.; Liu, H.Z.; Liu, S.J.; Liang, J.Q.; Wang, S. A research on regional geochemical methodology for the landscape of forest-swamp in the northeast of China. Geol. Prospect. 2003, 39, 94–98, (In Chinese with English abstract). [Google Scholar]
- Sun, K.K.; Chen, B.; Deng, J. Ore genesis of the Zhuxi supergiant W-Cu skarn polymetallic deposit, South China: Evidence from scheelite geochemistry. Ore Geol. Rev. 2019, 107, 14–29. [Google Scholar] [CrossRef]









| Element | ∆LogCSRM | RD (%) | |||||
|---|---|---|---|---|---|---|---|
| GSD1a | GSD9 | GSD13 | GSD14 | Max | Mean | Min | |
| n = 5 | n = 4 | n = 4 | n = 4 | n = 13 | n = 13 | n = 13 | |
| Ag | 0.008 | 0.026 | 0.025 | 0.009 | 22.12 | 3.16 | 0.10 |
| Au | 0.037 | 0.040 | 0.024 | 0.034 | 29.75 | 7.63 | 0.16 |
| Al2O3 | 0.031 | 0.000 | 0.012 | 0.033 | 14.02 | 3.52 | 0.00 |
| As | 0.020 | 0.025 | 0.024 | 0.006 | 22.08 | 0.98 | 0.00 |
| Bi | 0.017 | 0.004 | 0.024 | 0.017 | 22.13 | 10.36 | 0.04 |
| CaO | 0.030 | 0.021 | 0.023 | 0.022 | 18.02 | 15.27 | 0.00 |
| Cd | 0.029 | 0.022 | 0.000 | 0.020 | 18.67 | 0.70 | 0.45 |
| Co | 0.015 | 0.002 | 0.017 | 0.010 | 8.08 | 1.61 | 0.00 |
| Corg.C | 0.001 | 0.011 | 0.026 | 0.002 | 0.77 | 0.16 | 0.07 |
| Cr | 0.014 | 0.015 | 0.016 | 0.017 | 5.81 | 0.32 | 0.30 |
| Cu | 0.017 | 0.013 | 0.018 | 0.010 | 9.75 | 1.53 | 0.04 |
| Fe2O3 | 0.016 | 0.010 | 0.005 | 0.011 | 1.14 | 0.27 | 0.00 |
| Hg | 0.037 | 0.006 | 0.010 | 0.031 | 11.57 | 1.97 | 0.00 |
| La | 0.012 | 0.011 | 0.027 | 0.012 | 13.39 | 6.10 | 1.91 |
| Mn | 0.026 | 0.009 | 0.010 | 0.023 | 1.20 | 0.02 | 0.04 |
| Mo | 0.010 | 0.023 | 0.015 | 0.022 | 17.08 | 6.36 | 0.69 |
| Ni | 0.015 | 0.004 | 0.028 | 0.007 | 8.02 | 1.29 | 0.12 |
| Pb | 0.010 | 0.017 | 0.019 | 0.004 | 16.92 | 12.24 | 2.53 |
| Sb | 0.020 | 0.021 | 0.027 | 0.021 | 14.94 | 6.68 | 1.08 |
| SiO2 | 0.000 | 0.016 | 0.001 | 0.015 | 9.98 | 0.82 | 0.12 |
| Sn | 0.021 | 0.025 | 0.019 | 0.021 | 18.13 | 9.10 | 0.00 |
| Th | 0.017 | 0.027 | 0.022 | 0.027 | 19.77 | 10.43 | 1.49 |
| W | 0.027 | 0.021 | 0.023 | 0.009 | 19.71 | 15.04 | 0.24 |
| Zn | 0.015 | 0.002 | 0.026 | 0.030 | 11.65 | 1.10 | 1.10 |
| Sample Type | Mineral Type | Ag | As | Bi | Cd | Co | Cr | Cu | Hg | La | Mn |
| natural size | N | 0.54 | 1 | 0.05 | 13.71 | 0.1 | 315 | 0.02 | 3.72 | 0.01 | 118 |
| E | 4.92 | 722 | 122.8 | 1.09 | 152.8 | 394.8 | 345.7 | 0.281 | 40.7 | 3390 | |
| F | 0.74 | 514.9 | 19.33 | 1.64 | 87.3 | 166.7 | 130.9 | 1.53 | 0.01 | 1035 | |
| L | 0.08 | 28.1 | 1.66 | 0.4 | 16.2 | 80.3 | 40.4 | 0.119 | 26.6 | 923 | |
| artificial reference size | N | 0.01 | 136.6 | 5.33 | 46.91 | 0.1 | 0.6 | 0.02 | 0.52 | 0.01 | 1218 |
| E | 1.25 | 605.7 | 37.55 | 0.97 | 73.4 | 107.4 | 171.1 | 0.45 | 35 | 1662 | |
| F | 0.01 | 206.6 | 2.33 | 0.21 | 17.3 | 55 | 64.2 | 0.22 | 70 | 2068 | |
| L | 0.08 | 19.4 | 1.21 | 0.16 | 11.3 | 66.4 | 31.2 | 0.024 | 32.2 | 721 | |
| Sample Type | Mineral Type | Mo | Ni | Pb | Sb | Sn | Th | W | Zn | Fe2O3 | CaO |
| natural size | N | 11.1 | 174.7 | 375 | 8.8 | 18.6 | 0.005 | 19,376.1 | 3469 | 4.53 | 1.13 |
| E | 65.51 | 199.9 | 267 | 25.3 | 44.9 | 11.1 | 291.2 | 226 | 65.53 | 0.13 | |
| F | 16.93 | 86.4 | 425 | 23.3 | 160.3 | 18 | 102.43 | 237 | 56.5 | 0.94 | |
| L | 2.38 | 35.7 | 65 | 2 | 3.4 | 9.1 | 23.78 | 183 | 7.44 | 0.3 | |
| artificial reference size | N | 0.01 | 204.7 | 2 | 27.8 | 0.1 | 8 | 12,006.1 | 22,499 | 13.53 | 11.13 |
| E | 41.08 | 114.9 | 149 | 18.3 | 1.9 | 9.3 | 61.84 | 503 | 51.03 | 4.63 | |
| F | 9.6 | 84.7 | 2 | 20.3 | 8.6 | 83 | 177.6 | 2 | 40.53 | 1.2 | |
| L | 2.04 | 38.1 | 29 | 1.4 | 2.7 | 9.6 | 6.36 | 105 | 7.33 | 0.33 |
| Sample Type | Mineral Type | Ag | As | Bi | Cd | Co | Cr | Cu | Hg | La | Mn |
| natural size | N | 37.59 | 76.6 | 13,823.83 | 19.36 | 7.3 | 30 | 1214.2 | 66.42 | 0.01 | 168 |
| E | 8.98 | 436 | 661.42 | 1.71 | 106.1 | 420.3 | 359.5 | 1.76 | 296.5 | 2453 | |
| F | 0.29 | 218.3 | 8.66 | 0.56 | 70.6 | 448.3 | 90.9 | 0.68 | 0.01 | 2785 | |
| L | 0.11 | 23.4 | 2.36 | 0.29 | 17.3 | 73.8 | 38.6 | 0.091 | 30.8 | 850 | |
| artificial reference size | N | 5.69 | 546.6 | 2688.33 | 67.61 | 142.3 | 0.6 | 74.2 | 9.17 | 0.01 | 1168 |
| E | 2.59 | 905.2 | 154.36 | 0.98 | 128.3 | 157.7 | 335.3 | 0.39 | 76.4 | 2109 | |
| F | 0.01 | 931.6 | 9.33 | 0.71 | 107.3 | 440 | 404.2 | 0.02 | 0.01 | 6468 | |
| L | 0.05 | 19.8 | 1.05 | 0.15 | 11 | 62.4 | 31.3 | 0.041 | 31.9 | 715 | |
| Sample Type | Mineral Type | Mo | Ni | Pb | Sb | Sn | Th | W | Zn | Fe2O3 | CaO |
| natural size | N | 432.1 | 9.7 | 24,660 | 48.8 | 2438.6 | 0.005 | 79,851.1 | 5979 | 6.53 | 6.63 |
| E | 38.66 | 110 | 281 | 29.2 | 342.1 | 55.4 | 482.28 | 372 | 77.7 | 0.13 | |
| F | 14.93 | 99.7 | 200 | 10.6 | 155.3 | 0.005 | 98.1 | 464 | 55.12 | 1.42 | |
| L | 3.72 | 31.6 | 67 | 2 | 4.6 | 9.2 | 33.91 | 119 | 6.04 | 0.32 | |
| artificial reference size | N | 146.1 | 924.7 | 305 | 25.3 | 28.6 | 58 | 71,651.1 | 34,739 | 67.03 | 9.63 |
| E | 63.5 | 138.9 | 222 | 29.7 | 4.1 | 18.1 | 213.39 | 316 | 94.7 | 5.13 | |
| F | 48.6 | 299.7 | 45 | 40.8 | 58.6 | 0.005 | 131.1 | 299 | 48.58 | 1.66 | |
| L | 1.66 | 36.1 | 26 | 1.4 | 3.5 | 9.4 | 7.39 | 95 | 6.75 | 0.29 |
| Composition | Silt and Sand | Clay |
|---|---|---|
| Particle size (μm) | 5–250 | <5 |
| Percentage (%) | 91.15 | 9.85 |
| Particle Size (mm) | Concentration of Organic Carbon (%) | |||
|---|---|---|---|---|
| n | Max | Min | Mean | |
| 0.25–2 | 228 | 1.75 | 0.05 | 0.47 |
| <0.25 | 228 | 10.36 | 1.4 | 3.27 |
Publisher’s Note: MDPI stays neutral with regard to jurisdictional claims in published maps and institutional affiliations. |
© 2022 by the authors. Licensee MDPI, Basel, Switzerland. This article is an open access article distributed under the terms and conditions of the Creative Commons Attribution (CC BY) license (https://creativecommons.org/licenses/by/4.0/).
Share and Cite
Yang, F.; Kong, M.; Xie, S.; Nie, L.; Song, Y.; Wang, C.; Han, W.; Carranza, E.J.M.; Wang, Q.; Guo, Z. The Relationship between Particle Size and Element Distribution in Stream Sediments from the Dongyuan W-Mo Deposit, Eastern China. Minerals 2022, 12, 431. https://doi.org/10.3390/min12040431
Yang F, Kong M, Xie S, Nie L, Song Y, Wang C, Han W, Carranza EJM, Wang Q, Guo Z. The Relationship between Particle Size and Element Distribution in Stream Sediments from the Dongyuan W-Mo Deposit, Eastern China. Minerals. 2022; 12(4):431. https://doi.org/10.3390/min12040431
Chicago/Turabian StyleYang, Fan, Mu Kong, Shuyun Xie, Lanshi Nie, Yuntao Song, Chengwen Wang, Wei Han, Emmanuel John M. Carranza, Qiaolin Wang, and Zhijuan Guo. 2022. "The Relationship between Particle Size and Element Distribution in Stream Sediments from the Dongyuan W-Mo Deposit, Eastern China" Minerals 12, no. 4: 431. https://doi.org/10.3390/min12040431
APA StyleYang, F., Kong, M., Xie, S., Nie, L., Song, Y., Wang, C., Han, W., Carranza, E. J. M., Wang, Q., & Guo, Z. (2022). The Relationship between Particle Size and Element Distribution in Stream Sediments from the Dongyuan W-Mo Deposit, Eastern China. Minerals, 12(4), 431. https://doi.org/10.3390/min12040431
