On the Influence and Correction of Water Content on pXRF Analysis of Lateritic Nickel Ore Deposits in the Context of Open Pit Mines of New-Caledonia
Abstract
:1. Introduction
2. Materials and Methods
2.1. Portable XRF (pXRF)
2.2. Samples Description
2.2.1. Geological Setting
- the ultrabasic massif to the south and its extension on the east coast of New Caledonia (mines of Goro, Tontouta, Camp des Sapins, Thio, Nakéty, Boa Kaine, Kouaoua, Poro, Monéo);
- a sequence of klippes on the edge of the west coast (Kopéto-Boulinda, Koniambo, Ouazangou-Taom, Tiébaghi, Poum, Bélep island, etc.).
- Saprolitic or garnieritic silicate ores of high contents (>2%);
- Limonitic ores of lower grades (<2%).
2.2.2. Reference Samples
2.2.3. Field Sampling
2.3. Methods
2.3.1. Laboratory Analysis
- Weighing of the empty cup (only one side is covered with a thin Mylar® film, the other is left open to facilitate water evaporation during drying);
- Sample saturation with water;
- Filling the cup with the wetted powder;
- Weighing and analysis with the 3 pXRF (one measurement of 10 s);
- Drying in a ventilated oven at 70 °C during one hour;
- Weighing and analysis with the 3 pXRF.
2.3.2. Field Measurements (Saturation)
2.4. Statistical Analyses
3. Results
3.1. Calibration with Reference Samples
3.1.1. Single Linear Regression
3.1.2. Multiple Linear Regression
3.2. Laboratory Study of Water Content Influence
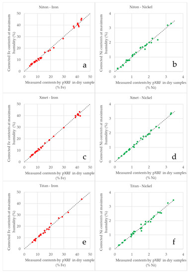
3.2.1. Correction Using the Dilution Law
3.2.2. Correction Using a Method Derived from Beer-Lambert Law
3.2.3. pXRF Measurements at Water Saturation in the Laboratory
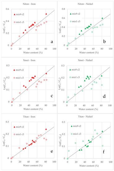
3.3. pXRF Measurements at Water Saturation in the Field
4. Discussion
5. Conclusions
Author Contributions
Funding
Acknowledgments
Conflicts of Interest
References
- Ross, P.-S.; Bourke, A.; Fresia, B. Improving lithological discrimination in exploration drill-cores using portable X-ray fluorescence measurements: (1) testing three Olympus Innov-X analysers on unprepared cores. Geochem. Explor. Environ. Anal. 2014, 14, 171–185. [Google Scholar] [CrossRef]
- Fisher, L.; Gazley, M.F.; Baensch, A.; Barnes, S.J.; Cleverley, J.; Duclaux, G. Resolution of geochemical and lithostratigraphic complexity: A workflow for application of portable X-ray fluorescence to mineral exploration. Geochem. Explor. Environ. Anal. 2014, 14, 149–159. [Google Scholar] [CrossRef]
- Arne, D.C.; Mackie, R.A.; Jones, S.A. The use of property-scale portable X-ray fluorescence data in gold exploration: Advantages and limitations. Geochem. Explor. Environ. Anal. 2014, 14, 233–244. [Google Scholar] [CrossRef]
- Gazley, M.F.; Tutt, C.M.; Fisher, L.A.; Latham, A.R.; Duclaux, G.; Taylor, M.D.; de Beer, S.J. Objective geological logging using portable XRF geochemical multi-element data at Plutonic Gold Mine, Marymia Inlier, Western Australia. J. Geochem. Explor. 2014, 143, 74–83. [Google Scholar] [CrossRef]
- Sarala, P.; Taivalkoski, A.; Valkama, J. Portable XRF: An advanced onsite analysis method in till geochemical exploration. Geol. Surv. Finl. 2015, 57, 63–86. [Google Scholar]
- Bourke, A.; Ross, P.-S. Portable X-ray fluorescence measurements on exploration drill-cores: Comparing performance on unprepared cores and powders for ‘whole-rock’ analysis. Geochem. Explor. Environ. Anal. 2015, 16, 147–157. [Google Scholar] [CrossRef] [Green Version]
- Andrew, B.S.; Barker, S.L.L. Determination of carbonate vein chemistry using portable X-ray fluorescence and its application to mineral exploration. Geochem. Explor. Environ. Anal. 2018, 18, 85–93. [Google Scholar] [CrossRef] [Green Version]
- Sitko, R.; Zawisza, B. Quantification in X-ray Fluorescence Spectrometry. In X-ray Spectrosc; InTech Open: London, UK, 2012; Chapter 8; pp. 137–162. [Google Scholar] [CrossRef] [Green Version]
- Gazley, M.F.; Fisher, L.A. A review of the reliability and validity of portable X-ray fluorescence spectrometry (pXRF) data. In Mineral Resource and Ore Reserve Estimation—The AusIMM Guide to Good Practice, 2nd ed.; The Australasian Institute of Mining and Metallurgy: Melbourne, Australia, 2014; pp. 1–13. [Google Scholar]
- Le Vaillant, M.; Barnes, S.J.; Fisher, L.; Fiorentini, M.L.; Caruso, S. Use and calibration of portable X-ray fluorescence analysers: Application to lithogeochemical exploration for komatiite-hosted nickel sulphide deposits. Geochem. Explor. Environ. Anal. 2014, 14, 199–209. [Google Scholar] [CrossRef]
- Quiniou, T.; Laperche, V. An assessment of field-portable X-ray fluorescence analysis for nickel and iron in laterite ore (New Caledonia). Geochem. Explor. Environ. Anal. 2014, 14, 245–255. [Google Scholar] [CrossRef]
- Sarala, P. Comparison of different portable XRF methods for determining till geochemistry. Geochem. Explor. Environ. Anal. 2016, 16, 181–192. [Google Scholar] [CrossRef]
- Gazley, M.F.; Bonnett, L.C.; Fisher, L.A.; Salama, W.; Price, J.H. A workflow for exploration sampling in regolith-dominated terranes using portable X-ray fluorescence: Comparison with laboratory data and a case study. Aust. J. Earth Sci. 2017, 64, 903–917. [Google Scholar] [CrossRef]
- Hughes, R.; Barker, S.L.L. Using portable XRF to infer adularia halos within the Waihi Au-Ag system, New Zealand. Geochem. Explor. Environ. Anal. 2018, 18, 97–108. [Google Scholar] [CrossRef]
- Knight, R.D.; Kjarsgaard, B.A.; Russel, H.A. An analytical protocol for determining the elemental chemistry of Quaternary sediments using a portable X-ray fluorescence spectrometer. Appl. Geochem. 2021, 131, 105026. [Google Scholar] [CrossRef]
- Ge, L.; Lai, W.; Lin, Y. Influence of and correction for moisture in rocks, soils and sediments on in situ XRF analysis. X-ray Spectrom 2005, 34, 28–34. [Google Scholar] [CrossRef]
- Weindorf, D.C.; Bakr, N.; Zhu, Y.; Mcwhirt, A.; Ping, C.L.; Michaelson, G.; Nelson, C.; Shook, K.; Nuss, S. Influence of ice on soil elemental characterization via portable X-ray fluorescence spectrometry. Pedosphere 2014, 24, 1–12. [Google Scholar] [CrossRef]
- Kido, Y.; Koshikawa, T.; Tada, R. Rapid and quantitative major element analysis method for wet fine-grained sediments using an XRF microscanner. Mar. Geol. 2006, 9, 209–225. [Google Scholar] [CrossRef]
- US Environmental Protection Agency. Method 6200: Field portable X-ray fluorescence spectrometry for the determination of elemental concentrations in soil and sediment. In Test Methods for Evaluating Solid Waste; US Environmental Protection Agency: Washington, DC, USA, 2007. [Google Scholar]
- Kalnicky, D.J.; Singhvi, R. Field portable XRF analysis of environmental samples. J. Hazard. Mater. 2001, 83, 93–122. [Google Scholar] [CrossRef] [Green Version]
- Laiho, J.V.-P.; Perämäki, P. Evaluation of portable X-ray fluorescence (PXRF) sample preparation methods. Geol. Surv. Finland Spec. Pap. 2005, 38, 73–82. [Google Scholar]
- Bastos, R.O.; Melquiades, F.L.; Biasi, G.E.V. Correction for the effect of soil moisture on in situ XRF analysis using low-energy background. X-ray Spectrom 2012, 41, 304–307. [Google Scholar] [CrossRef]
- Schneider, A.R.; Cancès, B.; Breton, C.; Ponthieu, M.; Morvan, X.; Conreux, A.; Marin, B. Comparison of field XRF and aqua regia/ICPAES soil analysis and evaluation of soil moisture influence on FPXRF results. J. Soils Sediments 2016, 16, 438–448. [Google Scholar] [CrossRef]
- Phedorin, M.A.; Goldberg, E.L. Prediction of absolute concentrations of elements from SR XRF scan measurements of natural wet sediments. Nucl. Instrum. Methods Phys. Res. Sect. A Accel. Spectrometers Detect. Assoc. Equip. 2005, 543, 274–279. [Google Scholar] [CrossRef]
- Ribeiro, B.T.; Weindorf, D.C.; Silva, B.M.; Tassinari, D.; Amarante, L.C.; Curi, N.; Guimarães Guilherme, L.R. The Influence of Soil Moisture on Oxide Determination in Tropical Soils via Portable X-ray Fluorescence. Soil Sci. Soc. Am. J. 2018, 82, 632–644. [Google Scholar] [CrossRef]
- Rousseau, R. Corrections for matrix effects in X-ray fluorescence analysis—A tutorial. Spectromchim. Acta Part B 2006, 61, 759–777. [Google Scholar] [CrossRef]
- Ravansari, R.; Wilson, S.C.; Tighe, M. Portable X-ray fluorescence for environmental assessment of soils: Not just a point and shoot method. Environ. Int. 2020, 134, 105250. [Google Scholar] [CrossRef]
- Paris, J.P. Géologie de la Nouvelle-Calédonie. Mémoire Bur. Rech. Géologique Minière 1981, 113, 1–279. [Google Scholar]
- Cluzel, D.; Aitchison, J.C.; Picard, C. Tectonic accretion and underplating of mafic terranes in the Late Eocene intraoceanic fore-arc of New Caledonia (southwest Pacific): Geodynamic implications. Tectonophysic 2001, 340, 23–59. [Google Scholar] [CrossRef] [Green Version]
- Ulrich, M.; Picard, C.; Guillot, S.; Chauvel, C.; Cluzel, D.; Meffre, S. Multiple melting stages and refertilization as indicators for ridge to subduction formation: The New Caledonia ophiolite. Lithos 2010, 115, 223–236. [Google Scholar] [CrossRef] [Green Version]
- Maurizot, P.; Robineau, B.; Vendé-Leclerc, M.; Cluzel, D. Introduction to New Caledonia: Geology, geodynamic evolution and mineral resources. In New Caledonia: Geology, Geodynamic Evolution and Mineral Resources; Maurizot, P., Mortimer, N., Eds.; Memoirs, 51; Geological Society: London, UK, 2020; Chapter 1; pp. 1–12. [Google Scholar]
- Maurizot, P.; Sevin, B.; Lesimple, S.; Bailly, L.; Iseppi, M.; Robineau, B. Mineral resources and prospectivity of the ultramafic rocks of New Caledonia. In New Caledonia: Geology, Geodynamic Evolution and Mineral Resources; Maurizot, P., Mortimer, N., Eds.; Memoirs, 51; Geological Society: London, UK, 2020; Chapter 10; pp. 247–277. [Google Scholar]
- Trescases, J.J. L’évolution géochimique supergène des roches ultrabasiques en zone tropicale: Formations des gisements nickélifères de Nouvelle-Calédonie. Mémoires Orstom 1975, 78, 259. [Google Scholar]
- Shuttleworth, E.L.; Evans, M.G.; Hutchinson, S.M. Assessment of Lead Contamination in Peatlands Using Field Portable XRF. Water Air Soil. Pollut. 2014, 225, 1844. [Google Scholar] [CrossRef]
- Sahraoui, H.; Hachicha, M. Effect of soil moisture on trace elements concentrations using portable x-ray fluorescence spectrometer. J. Fundam. Appl. Sci. 2017, 9, 468. [Google Scholar] [CrossRef] [Green Version]
- Santana, M.L.T.; Carvalho, G.S.; Guilherme, L.R.G.; Curi, N.; Ribeiro, B.T. Elemental concentration via portable X-ray fluorescence spectrometry: Assessing the impact of water content. Ciência Agrotecnologia 2019, 43. [Google Scholar] [CrossRef] [Green Version]
- Rousseau, R.M.; Boivin, J.A. The fundamental algorithm: A natural extension of Sherman equation. Rigaku J. 1998, 15, 13–28. [Google Scholar]
- Stockmann, U.; Jang, H.J.; Minasny, B.; McBratney, A.B. The Effect of Soil Moisture and Texture on Fe Concentration Using Portable X-ray Fluorescence Spectrometers. In Digital Soil Morphometrics; Hartemink, A., Minasny, B., Eds.; Progress in Soil Science Book Series; Springer: Cham, Switzerland; Berlin/Heidelberg, Germany, 2016. [Google Scholar] [CrossRef]















| Manufacturer | Thermo Fisher® Boston, MA, USA | Oxford Instrument® Abingdon, Oxfordshire, UK | Bruker® Billera, MA, USA |
|---|---|---|---|
| Model | Niton GOLDD + 900 | XMET 7500 | S1 Titan 800 |
| Anode | Ag | Rh | Rh |
| Tube voltage (kV) | 50 | 45 | 50 |
| Tube current (µA) | 200 | 50 | 200 |
| Spot size (mm) | 7 | 9 | 5 |
| Resolution (eV) | <185 | <150 | <145 |
| Detector | SDD GOLDD | SDD | Fast SDD |
| Element range | Mg to U | Mg to U | Mg to U |
| Application mode | Mining Cu/Zn | mining_fp | Ni-Co Ore Rock (NiOreRock method) |
| Fe (%) | Ni (%) | Mg (%) | Si (%) | Cr (%) | Al (%) | Mn (%) | Ca (%) | |
|---|---|---|---|---|---|---|---|---|
| min value | 4.96 | 0.09 | 0.13 | 0.52 | 0.17 | 0.10 | 0.04 | 0.01 |
| max value | 53.96 | 3.29 | 22.26 | 31.55 | 3.54 | 12.75 | 4.10 | 0.43 |
| Element | Fe | Ni | |
|---|---|---|---|
| Niton | a | 1.235 | 1.282 |
| b | −1.020 | 0.235 | |
| R2 | 0.9992 | 0.9563 | |
| ME | 6.3 × 10−15 | 2.6 × 10−16 | |
| RMSE | 0.46 | 0.159 | |
| Xmet | a | 1.039 | 0.842 |
| b | −1.825 | 0.247 | |
| R2 | 0.9989 | 0.9652 | |
| ME | 4.8 × 10−15 | 5.0 × 10−16 | |
| RMSE | 0.56 | 0.142 | |
| Titan | a | 1.079 | 1.134 |
| b | 0.246 | 0.009 | |
| R2 | 0.9987 | 0.9950 | |
| ME | 3.6 × 10−15 | −5.8 × 10−17 | |
| RMSE | 0.61 | 0.054 |
| Element | Ni | |
|---|---|---|
| Niton | a | 1.2166 |
| b | 0.0164 | |
| c | 0.0068 | |
| R2 | 0.9985 | |
| ME | 3.8 × 10−16 | |
| RMSE | 0.029 | |
| Xmet | a | 0.7913 |
| b | 0.0077 | |
| c | 0.0645 | |
| R2 | 0.9977 | |
| ME | 1.2 × 10−16 | |
| RMSE | 0.037 |
| Element | Fe | Ni | |
|---|---|---|---|
| Niton | σ | 0.0063 | 0.0075 |
| ME | 0.056 | −0.023 | |
| RMSE | 1.05 | 0.083 | |
| Xmet | σ | 0.0027 | 0.0024 |
| ME | −0.22 | −0.015 | |
| RMSE | 1.07 | 0.079 | |
| Titan | σ | 0.0027 | 0.0026 |
| ME | −0.29 | −0.004 | |
| RMSE | 1.19 | 0.067 |
| Element | Fe | Ni | |
|---|---|---|---|
| Niton | a | 1.335 | 1.576 |
| b | 1.142 | −0.001 | |
| R2 | 0.9936 | 0.9845 | |
| ME | 1.9 × 10−15 | −1.3 × 10−16 | |
| RMSE | 1.13 | 0.101 | |
| Xmet | a | 1.177 | 1.128 |
| b | −0.072 | 0.022 | |
| R2 | 0.9977 | 0.9935 | |
| ME | −6.2 × 10−15 | 9.0 × 10−17 | |
| RMSE | 0.69 | 0.067 | |
| Titan | a | 1.190 | 1.160 |
| b | −0.098 | 0.019 | |
| R2 | 0.9966 | 0.9869 | |
| ME | −5.3 × 10−15 | −1.9 × 10−16 | |
| RMSE | 1.36 | 0.095 |
| Element | Fe | Ni | |
|---|---|---|---|
| Niton | a | 1.978 | 1.283 |
| b | −4.739 | 0.880 | |
| R2 | 0.9767 | 0.9781 | |
| ME | −2.7 × 10−15 | 4.1× 10−16 | |
| RMSE | 2.31 | 0.131 | |
| Xmet | a | 1.527 | 0.776 |
| b | −7.742 | 0.753 | |
| R2 | 0.9762 | 0.9711 | |
| ME | 1.6 × 10−15 | 1.9 × 10−16 | |
| RMSE | 2.33 | 0.151 | |
| Titan | a | 1.617 | 1.215 |
| b | −2.851 | 0.434 | |
| R2 | 0.9787 | 0.9789 | |
| ME | 1.5 × 10−15 | 1.5 × 10−16 | |
| RMSE | 2.21 | 0.129 |
Publisher’s Note: MDPI stays neutral with regard to jurisdictional claims in published maps and institutional affiliations. |
© 2022 by the authors. Licensee MDPI, Basel, Switzerland. This article is an open access article distributed under the terms and conditions of the Creative Commons Attribution (CC BY) license (https://creativecommons.org/licenses/by/4.0/).
Share and Cite
Laperche, V.; Metayer, C.; Gaschaud, J.; Wavrer, P.; Quiniou, T. On the Influence and Correction of Water Content on pXRF Analysis of Lateritic Nickel Ore Deposits in the Context of Open Pit Mines of New-Caledonia. Minerals 2022, 12, 415. https://doi.org/10.3390/min12040415
Laperche V, Metayer C, Gaschaud J, Wavrer P, Quiniou T. On the Influence and Correction of Water Content on pXRF Analysis of Lateritic Nickel Ore Deposits in the Context of Open Pit Mines of New-Caledonia. Minerals. 2022; 12(4):415. https://doi.org/10.3390/min12040415
Chicago/Turabian StyleLaperche, Valérie, Cyrille Metayer, Julien Gaschaud, Philippe Wavrer, and Thomas Quiniou. 2022. "On the Influence and Correction of Water Content on pXRF Analysis of Lateritic Nickel Ore Deposits in the Context of Open Pit Mines of New-Caledonia" Minerals 12, no. 4: 415. https://doi.org/10.3390/min12040415
APA StyleLaperche, V., Metayer, C., Gaschaud, J., Wavrer, P., & Quiniou, T. (2022). On the Influence and Correction of Water Content on pXRF Analysis of Lateritic Nickel Ore Deposits in the Context of Open Pit Mines of New-Caledonia. Minerals, 12(4), 415. https://doi.org/10.3390/min12040415

