Next Article in Journal
Hidden Rotation Symmetry of the Jordan–Wigner Transformation and Its Application to Measurement in Quantum Computation
Previous Article in Journal
MPC-Coder: A Dual-Knowledge Enhanced Multi-Agent System with Closed-Loop Verification for PLC Code Generation
 
 
Font Type:
Arial Georgia Verdana
Font Size:
Aa Aa Aa
Line Spacing:
Column Width:
Background:
Article

Finite-Horizon State Estimation for Multiplex Networks with Random Delays and Sensor Saturations Under Partial Measurements

School of Communications and Information Engineering, Chongqing University of Posts and Telecommunications, Chongqing 400065, China
Symmetry 2026, 18(2), 249; https://doi.org/10.3390/sym18020249
Submission received: 12 December 2025 / Revised: 22 January 2026 / Accepted: 23 January 2026 / Published: 30 January 2026
(This article belongs to the Section Computer)

Abstract

This paper addresses the finite-horizon state estimation problem for multiplex networks (MNs) subject to random delays and sensor saturations under the constraint of only partial node measurements. The random time-varying delays are modeled via Bernoulli-distributed variables, while a Markovian random access protocol dynamically governs the data transmission at each time step. To tackle this problem, we design a set of robust state estimators based on partial measurements, ensuring the prescribed finite-horizon H performance. Sufficient conditions for the existence of these estimators are established. Subsequently, the estimator gains are derived by solving the matrix inequalities inherent in these conditions. Finally, convincing numerical simulations demonstrate the effectiveness and practical applicability of the proposed algorithm.

1. Introduction

Complex dynamic networks consist of numerous interconnected nodes, each representing an individual dynamical system. The interconnecting edges act as communication channels that enable information exchange among these systems. Through these channels, the systems transmit information to achieve coordinated and synchronized operations across the entire network, exemplified by contemporary drone swarms or power grid transmissions. The high clustering coefficient characteristic of small-world networks, combined with the heterogeneous node distribution observed in scale-free networks, gives rise to emergent behaviors in interactions within complex dynamic networks. These topological and dynamic properties are deeply interrelated with the structure and evolution of human society, encompassing a vast array of disciplines ranging from biology to physical chemistry. These properties effectively encapsulate the essence of numerous real-world networks, spanning biological (metabolic and cellular), technological (communication and power grids), and social domains. Significant progress has been made in the study of complex dynamic networks [1,2,3,4]. Existing research primarily focuses on network dynamics and topology, with key areas of investigation including synchronization, state estimation, and stability analysis [5,6,7,8,9,10]. The issue of estimating the state of a specific category of complex networks, where each node corresponds to one entity, has been studied in [5], where the state estimation of each node is shown to be effective for network synchronization by constructing suitable state observers and using functional analysis theory. The state estimation challenge in complex networks characterized by Markovian jumping parameters and Gaussian noise, which is modeled using Brownian motion, was investigated in Reference [6]. Recent advancements have further explored synchronization in various complex network architectures, such as hyperbolic spatio-temporal networks with multi-weights [9] and uncertain fractional-order delayed memristive neural networks [10].
With the rapid advancement of complex network research, scholars have discovered that a single-layer complex network is inadequate to effectively and comprehensively integrate the information generated from interactions among multiple complex networks into its model. As a result, the concept of multiplex networks (MNs) has been developed. MNs consist of multiple interconnected single-layer networks, where nodes are connected both within their own layer and across different layers. Compared to single-layer networks, MNs exhibit a larger scale and a more complex topological structure, which makes them highly prevalent and applicable in today’s information era. Consequently, the dynamic characteristics of MNs warrant further investigation by researchers, and indeed, significant advances have been achieved in recent years, facilitating more comprehensive research on MNs [11,12,13,14,15]. Reference [11] delved into the finite-time pinning synchronization of MNs, employing an exquisite finite-time control protocol through the meticulous design of a pinned controller. The topological structure of the investigated multi-layer complex network system, as described in [12], was characterized as a directed weighted structure, wherein each node represented a high-dimensional linear system. By analyzing the interplay between layers, it was concluded that the network consistently exhibits target controllability. Authors in reference [13] presented a finite-time event-triggered pinning controller, specifically designed to alleviate channel load in multi-layer networks, thereby effectively addressing the synchronization control problem within the network. The aforementioned literature suggests that most contemporary research on MNs centers on the characteristics of network nodes and the challenges related to synchronization within these networks. In general, a fundamental requirement for investigating synchronization issues is to determine the states of all nodes within the network. Nevertheless, real-world engineering scenarios often involve factors such as time delays and external disturbances that impede direct and effective measurement of node states across the entire network. Consequently, it is crucial to evaluate the system state by leveraging existing research findings on node characteristics and available measurement data. Given that known node states are indispensable for dynamic network analysis, the investigation into network state estimation holds significant importance and practical relevance, serving as the primary motivation for writing this paper.
Given the extensive number of nodes in MNs, a vast amount of data information exists. However, the constraints imposed by limited network bandwidth impede the efficient transmission of this vast amount of information. To alleviate data congestion and improve transmission efficiency, communication protocols are considered in the state estimation of MNs for effective information scheduling. The primary function of a communication protocol is to dynamically allocate channel access rights in the time domain through either distributed negotiation or centralized scheduling mechanisms, thereby addressing the issue of medium contention in a multi-node competitive environment. In the context of dynamic analysis problems within complex networks, general communication protocols (e.g., random access protocols, round-robin scheduling (RR), weighted tail drop (WTOD), and random contention-based protocols) help mitigate various induced phenomena—such as channel conflicts, delay jitter, and resource starvation—by employing differentiation mechanisms, including probabilistic contention, temporal allocation, and priority arbitration [16,17,18]. In the research presented in [16], a memory-efficient communication protocol was developed to minimize resource consumption and improve network performance, and then, the investigation delved into the intricacies of complex network state estimation based on partial node observations. Among these protocols, RAP stipulates that nodes randomly select time slots to access the communication medium within the network. When the network is idle, they are granted permission to communicate; conversely, when it is occupied, nodes must await their next opportunity to transmit data signals. Due to its inherent advantages in terms of scalability and efficiency, RAP has emerged as the most widely adopted protocol and has yielded significant outcomes in complex networks [19,20]. It was demonstrated by [20] that the implementation of multi-channel RAP for signal scheduling in complex networks characterized by internally coupled interference not only effectively mitigated channel conflicts and congestion but also facilitated the design of an optimal H state estimator to address the challenges associated with network state estimation. Nevertheless, to the best of our knowledge, there has been a dearth of research on state estimation for MNs operating under the RAP, which serves as an additional impetus for us to write this paper.
The delay phenomena experienced by MNs are inevitable due to factors such as limited speed, network load, node competition, and network congestion. These delays not only result in instability and poor performance of MNs but also contribute to the increased complexity of research on MNs. The investigation of time delay phenomena currently represents a prominent research focus within the fields of complex networks and MNs [21,22,23]. In the context of modeling or information transmission, the phenomenon in which measurement signals are altered due to inherent limitations in physical devices or external disturbances is referred to as “incomplete measurement information.” Examples such as loss of measurements, saturation of sensors, and quantization of signals serve as instances that exemplify this concept. This phenomenon is particularly prominent in MNs and constitutes a significant factor contributing to the degradation of MN performance. Notably, sensor saturation serves as a prevalent illustration of this issue. Sensor saturations can induce nonlinear characteristics, and without appropriate handling, they have the potential to compromise the accuracy of the designed estimator or filtering algorithm and even lead to system instability. Therefore, investigating the impact of sensor saturation on state estimation and filtering in MNs holds significant research value and practical importance. Reference [24] elucidates the three incomplete measurement phenomena associated with the studied MNs under sensor saturation. It utilizes the Kronecker delta function and devises corresponding state estimators to achieve optimal estimator gain. In practical networks, apart from the aforementioned time delays and incomplete measurements, there are additional factors such as cost constraints, challenging environmental conditions, the abundance of node information, and varying communication capabilities that impede comprehensive measurement of all node data. To mitigate the effects of incomplete measurement values on network analysis, it is both essential and compelling to investigate dynamic network problems utilizing partial node information [25,26,27,28]. The study presented in [25] demonstrated that, within complex networks characterized by random coupling strengths and incomplete measurements, the network’s random coupling can be effectively simulated using uniformly distributed random variables over a specified time interval. Furthermore, a novel event-triggered filter was developed based on the incomplete information available at partial nodes, with the objective of minimizing the upper bound error associated with the gain parameter. In the work of reference [26], the finite-horizon state estimation problem with random uncertainties, sensor saturations, and multiple delays in complex networks with partial node information available was solved, and a random access protocol was introduced to alleviate the communication burden during the solution process. Currently, research on partial node-based networks primarily focuses on complex networks, while there is a lack of investigation into MNs. Therefore, this paper aims to examine the various adverse factors that MNs may encounter and explore the issue of finite-horizon state estimation within these networks.
This paper addresses the finite-horizon state estimation problem for MNs subject to random time delays and sensor saturations, under RAP and with only partial node measurements available. The main contributions are summarized as follows: (1) A novel integrated modeling framework is proposed. It innovatively combines a Bernoulli-distributed random delay, a Markovian RAP, and sensor saturation within a unified model for MNs, which effectively captures complex real-world communication constraints while conserving network bandwidth. (2) A robust finite-horizon H state estimator is designed under partial measurements. Unlike existing studies that often require full-state measurements, we develop a feasible estimator that relies solely on outputs from a subset of network nodes, significantly relaxing the measurement requirements. (3) Tractable design conditions and an explicit estimator gain design method are established. By constructing a novel stochastic Lyapunov function, we derive sufficient conditions in the form of recursive matrix inequalities that ensure the prescribed H performance over a finite horizon. These conditions are solvable and directly yield the parameters of the desired estimator. (4) The effectiveness and practical utility of the proposed method are rigorously validated. Comprehensive simulation studies on representative MNs are provided, demonstrating the estimator’s performance against disturbances and its advantages over existing approaches.
Notations: The notation explanations utilized in this paper adhere to standardized conventions. R ı and R ı × ȷ are respectively utilized to represent the ı-dimensional Euclidean space and the ı × ȷ dimensional matrix. ∗ denotes the symmetrical elements that can be disregarded in a symmetric matrix. For matrix M, M refers to the Euclidean norm of the matrix. The positive definite matrix A can be represented as A > 0 . The notation diag { } is employed to denote a block-diagonal matrix. Prob { · } denotes the probability of an event taking place. E { · } refers to the mathematical expectation of a stochastic variable. The symbols K and T respectively represent the set of non-positive integers and a positive integer. ⨂ and ⨁ denote the Kronecker product and the direct sum operation of matrices, respectively.

2. Model Description and Preliminaries

Consider time-varying MNs defined over a finite time interval [ 0 , T ] , consisting of N layers where each layer contains M nodes, with a specific structure as follows:
x i ( l ) ( n + 1 ) = B i ( l ) ( n ) x i ( l ) ( n ) + C i ( l ) ( n ) ϕ ( x i ( l ) ( n ) ) + B κ i ( l ) ( n ) t = 1 d ϑ i t ( l ) ( n ) x i ( l ) ( n κ t ( n ) ) + j = 1 M a i j ( l ) Q x j ( l ) ( n ) + m = 1 N a ˜ l m P x i ( m ) ( n ) + D i ( l ) ( n ) ω ( n ) , y i ( l ) ( n ) = h ( W i ( l ) ( n ) x i ( l ) ( n ) ) + E i ( l ) ( n ) ω ( n ) , z i ( l ) ( n ) = F i ( l ) ( n ) x i ( l ) ( n ) , x i ( l ) ( k ) = ψ i ( l ) ( k ) , k K ,
where the state vector, the actual measurement value, and the estimated output value of node i in layer l are denoted by x i ( l ) ( n ) R x , y i ( l ) ( n ) R y and z i ( l ) ( n ) R z respectively. ω ( n ) represents the external disturbance. Matrix Q = diag { q 1 , q 2 , , q x } represents the internal coupling between nodes of the same layer, if q s 0 ( s = 1 , , x ) , it signifies the presence of a linear coupling through the sth state component between two interconnected nodes i and j within the same layer. And the matrix P = diag { p 1 , p 2 , , p x } represents the internal coupling matrix between the nodes of the layers, if p r 0 ( r = 1 , , x ) , it signifies the presence of a linear coupling through the rth state component between the nodes of the lth layer and those of the kth layer. B i ( l ) ( n ) , C i ( l ) ( n ) , B κ i ( l ) ( n ) , D i ( l ) ( n ) , W i ( l ) ( n ) , E i ( l ) ( n ) and F i ( l ) ( n ) are pre-determined known matrices with suitable dimensions. Matrix A ( l ) = [ a i j ( l ) ] M × M is defined as the external coupling matrix for the lth layer of the network, where a i j ( l ) 0 if nodes i and j  ( i j ) are connected within that layer; otherwise, a i j ( l ) = 0 . Matrix A ˜ = [ a ˜ l m ] N × N denotes the configuration matrix for inter-layer external coupling, if layer l is connected to layer m (where l m ), then a ˜ l m 0 ; otherwise, a ˜ l m = 0 . Without loss of generality, matrices A ( l ) and A ˜ adhere to the dissipative coupling condition and exhibit symmetry, specifically:
j = 1 M a i j ( l ) = j = 1 M a j i ( l ) = 0 , i = 1 , 2 , , M , m = 1 N a ˜ l m = m = 1 N a ˜ m l = 0 , l = 1 , 2 , , N .
ϕ ( · ) represents the nonlinear system function for the nodes, with the initial condition of ϕ ( 0 ) = 0 , and meets the following constraint conditions:
ϕ ( ı ) ϕ ( n ) H ( ı n ) , ı , n R x ,
where H is a diagonal matrix of the appropriate dimension. ψ i ( l ) ( k ) is a given discrete sequence representing the initial value of the ith node on the lth layer at zero and negative integer time intervals.
For t = 1 d ϑ i t ( l ) ( n ) x i ( l ) ( n κ t ( n ) ) , κ t ( n ) ( t = 1 , , d ) indicates the random communication delays and complies with κ ̲ κ t ( n ) κ ¯ , where κ ̲ and κ ¯ represent known positive integers signifying the upper and lower limits of the time delays. ϑ i t ( l ) ( n ) constitutes a set of stochastic variables following a Bernoulli distribution, which is defined as follows:
Prob { ϑ i t ( l ) ( n ) = 1 } = ϑ ¯ i t ( l ) , Prob { ϑ i t ( l ) ( n ) = 0 } = 1 ϑ ¯ i t ( l ) .
Remark 1.
The Bernoulli random variables ϑ i t ( l ) ( n ) are employed to model the sporadic and random nature of delay occurrences in network communication. In practical systems, delays are often not constant but appear intermittently due to factors like transient congestion or packet loss. The binary state of ϑ i t ( l ) ( n ) (0 or 1) precisely captures this on-off characteristic. Its use, combined with the bounded time-varying delay κ t ( n ) , allows our model to separate the stochastic incidence of a delay from its variable duration. This modeling choice provides a tractable yet realistic framework for analyzing the system’s robust performance under stochastic communication imperfections. Note that the random variables ϑ i t ( l ) ( n ) are assumed to be independent across nodes i and layers l. This common assumption facilitates the stochastic analysis. Future work could extend the framework to incorporate correlated delay processes to capture spatial-temporal dependencies in network congestion.
In the actual measured value y i ( l ) ( n ) , the h ( W i ( l ) ( n ) x i ( l ) ( n ) ) term represents the phenomenon of sensor saturation in the network, and the specific definition of the saturation function h ( · ) is as follows:
h ( α ) = [ h 1 ( α 1 ) h 2 ( α 2 ) h y ( α y ) ] T ,
where h j ( α j ) = sign ( α j ) min { 1 , | α j | } ( j = 1 , 2 , , y ) . The saturation function h ( · ) admits both scalar and vector inputs, and in this paper, the saturation threshold is set to 1.
The saturation function h ( W i ( l ) ( n ) x i ( l ) ( n ) ) possesses a nonlinear property, so to decompose its nonlinear characteristic, there exists a matrix Γ 1 such that:
h ( W i ( l ) ( n ) x i ( l ) ( n ) ) = Γ 1 W i ( l ) ( n ) x i ( l ) ( n ) + ( W i ( l ) ( n ) x i ( l ) ( n ) ) ,
where Γ 1 = diag { d 1 , d 2 , , d y } , 0 < d i < 1 ( i = 1 , 2 , , y ) . Here, d i represents the sector-bound parameter of the saturation function, which inherently lies within ( 0 , 1 ) . Meanwhile, ( W i ( l ) ( n ) x i ( l ) ( n ) ) represents a vector-valued mapping associated with the separated nonlinear part and fulfills the following inequality:
T ( W i ( l ) ( n ) x i ( l ) ( n ) ) [ ( W i ( l ) ( n ) x i ( l ) ( n ) ) Γ W i ( l ) ( n ) x i ( l ) ( n ) ] 0 ,
where Γ = I Γ 1 .
Remark 2.
The inequality (5) is a standard sector-bound condition used to handle the saturation nonlinearity h ( · ) within a convex optimization framework. It is acknowledged that this method introduces a degree of analytical conservatism, as it effectively replaces the exact saturation function with its worst-case linear differential inclusion defined by the diagonal matrix Γ. The conservatism is influenced by the choice of Γ; a tighter sector bound (values of Γ closer to the identity matrix) describes the nonlinearity more precisely but may render the subsequent LMI conditions in Theorem 1 infeasible. This approach represents a practical trade-off to obtain tractable design conditions with guaranteed H performance. Future work could explore integrating less conservative representations of the saturation nonlinearity. The saturation threshold is set to 1 without loss of generality, as any other limit can be accommodated by scaling the output equation. The gain matrix Γ 1 is chosen as a diagonal matrix because the saturation function h ( · ) operates element-wise on its input vector, making a diagonal structure the natural and necessary form for its linear decomposition within the sector [ 0 , I ] .
Denote
x ( n ) = ( x ( 1 ) ( n ) ) T , ( x ( 2 ) ( n ) ) T , , ( x ( N ) ( n ) ) T T , A = l = 1 N A ( l ) , A ( l ) = [ a i j ( l ) ] M × M , x ( l ) ( n ) = ( x 1 ( l ) ( n ) ) T , ( x 2 ( l ) ( n ) ) T , , ( x M ( l ) ( n ) ) T T , A ˜ = A ˜ I M , A ˜ = [ a ˜ l m ] N × N , x ( n κ t ( n ) ) = ( x ( 1 ) ( n κ t ( n ) ) ) T , ( x ( 2 ) ( n κ t ( n ) ) ) T , , ( x ( N ) ( n κ t ( n ) ) ) T T , x ( l ) ( n κ t ( n ) ) = ( x 1 ( l ) ( n κ t ( n ) ) ) T , ( x 2 ( l ) ( n κ t ( n ) ) ) T , , ( x M ( l ) ( n κ t ( n ) ) ) T T , B ( n ) = l = 1 N B ( l ) ( n ) , B ( l ) ( n ) = diag { B 1 ( l ) ( n ) , B 2 ( l ) ( n ) , , B M ( l ) ( n ) } , C ( n ) = l = 1 N C ( l ) ( n ) , C ( l ) ( n ) = diag { C 1 ( l ) ( n ) , C 2 ( l ) ( n ) , , C M ( l ) ( n ) } , B κ ( n ) = l = 1 N B κ ( l ) ( n ) , B κ ( l ) ( n ) = diag { B κ 1 ( l ) ( n ) , B κ 2 ( l ) ( n ) , , B κ M ( l ) ( n ) } , F ( n ) = l = 1 N F ( l ) ( n ) , F ( l ) ( n ) = diag { F 1 ( l ) ( n ) , F 2 ( l ) ( n ) , , F M ( l ) ( n ) } , D ( n ) = ( D ( 1 ) ( n ) ) T , ( D ( 2 ) ( n ) ) T , , ( D ( N ) ( n ) ) T T , D ( l ) ( n ) = ( D 1 ( l ) ( n ) ) T , ( D 2 ( l ) ( n ) ) T , , ( D M ( l ) ( n ) ) T T , Ξ ˜ t ( n ) = l = 1 N Ξ ˜ t ( l ) ( n ) , Ξ ˜ t ( l ) ( n ) = diag { ϑ ˜ 1 t ( l ) ( n ) I , ϑ ˜ 2 t ( l ) ( n ) I , , ϑ ˜ M t ( l ) ( n ) I } , ϕ ( x ( n ) ) = ϕ T ( x ( 1 ) ( n ) ) , ϕ T ( x ( 2 ) ( n ) ) , , ϕ T ( x ( N ) ( n ) ) T , ϕ ( x ( l ) ( n ) ) = ϕ T ( x 1 ( l ) ( n ) ) , ϕ T ( x 2 ( l ) ( n ) ) , , ϕ T ( x M ( l ) ( n ) ) T , Ξ ¯ t = l = 1 N Ξ ¯ t ( l ) , z ( n ) = ( z ( 1 ) ( n ) ) T , ( z ( 2 ) ( n ) ) T , , ( z ( N ) ( n ) ) T T , ϑ ˜ i t ( l ) ( n ) = ϑ i t ( l ) ( n ) ϑ ¯ i t ( l ) , z ( l ) ( n ) = ( z 1 ( l ) ( n ) ) T , ( z 2 ( l ) ( n ) ) T , , ( z M ( l ) ( n ) ) T T , Ξ ¯ t ( l ) = diag { ϑ ¯ 1 t ( l ) I , ϑ ¯ 2 t ( l ) I , , ϑ ¯ M t ( l ) I } .
Consequently, the compact form of system (1) is presented as follows:
x ( n + 1 ) = B ( n ) x ( n ) + C ( n ) ϕ ( x ( n ) ) + t = 1 d Ξ ¯ t B κ ( n ) x ( n κ t ( n ) ) + t = 1 d Ξ ˜ t ( n ) B κ ( n ) x ( n κ t ( n ) ) + ( A Q + A ˜ P ) x ( n ) + D ( n ) ω ( n ) , z ( n ) = F ( n ) x ( n ) .
Taking into account cost constraints and communication capabilities, not all node data can be measured, so this paper assumes that only the first ν ( 1 ν < M ) node outputs of each layer can be obtained, thus rewriting the compact form of y i ( l ) ( n ) as:
y ( n ) = W ¯ ( n ) x ( n ) + ( W ( n ) x ( n ) ) + E ( n ) ω ( n ) ,
where
( W ( n ) x ( n ) ) = T ( W ( 1 ) ( n ) x ( 1 ) ( n ) ) , T ( W ( 2 ) ( n ) x ( 2 ) ( n ) ) , , T ( W ( N ) ( n ) x ( N ) ( n ) ) T , ( W ( l ) ( n ) x ( l ) ( n ) ) = T ( W 1 ( l ) ( n ) x 1 ( l ) ( n ) ) , T ( W 2 ( l ) ( n ) x 2 ( l ) ( n ) ) , , T ( W ν ( l ) ( n ) x ν ( l ) ( n ) ) T , y ( n ) = ( y ( 1 ) ( n ) ) T , ( y ( 2 ) ( n ) ) T , , ( y ( N ) ( n ) ) T T , y ( l ) ( n ) = ( y 1 ( l ) ( n ) ) T , ( y 2 ( l ) ( n ) ) T , , ( y ν ( l ) ( n ) ) T T , E ( n ) = ( E ( 1 ) ( n ) ) T , ( E ( 2 ) ( n ) ) T , , ( E ( N ) ( n ) ) T T , W ¯ ( l ) ( n ) = W ( l ) ( n ) 0 , E ( l ) ( n ) = ( E 1 ( l ) ( n ) ) T , ( E 2 ( l ) ( n ) ) T , , ( E ν ( l ) ( n ) ) T T , W ¯ ( n ) = l = 1 N W ¯ ( l ) ( n ) , W ( l ) ( n ) = diag { Γ 1 W 1 ( l ) ( n ) , Γ 1 W 2 ( l ) ( n ) , , Γ 1 W ν ( l ) ( n ) } .
To prevent data congestion and enhance transmission efficiency, this paper presents RAP for signal scheduling. The protocol specifies which nodes within each network layer send signals to the estimator and at what transmission time. At each time step, only one node in each layer is permitted to transmit signals, and β ( l ) ( n ) ( n [ 0 , T ] , β ( l ) ( n ) { 1 , , ν } ) is utilized to represent the randomly selected node in layer l that is allowed to communicate at time n. The probability distribution model of β ( l ) ( n ) follows a Markov chain, which is represented by R ( l ) = [ r s c ( l ) ] ν × ν as the transition probability matrix, and the specific distribution is as follows:
r s c ( l ) = Prob { β ( l ) ( n + 1 ) = c | β ( l ) ( n ) = s } s , c { 1 , 2 , , ν } ,
where r s c ( l ) 0 with Σ c = 1 ν r s c ( l ) = 1 indicates the state transition probability from node s to node c at discrete time instant n.
In the RAP communication transmission, the estimated signal received from the ith node of the lth layer is denoted as y ˜ i ( l ) ( n ) with the specific reception rule being:
y ˜ i ( l ) ( n ) = y i ( l ) ( n ) , if i = β ( l ) ( n ) , y ˜ i ( l ) ( n 1 ) , otherwise ,
with the initial condition y ˜ i ( l ) ( k 1 ) = μ i ( l ) ( k ) ( k K ) , and the piecewise function is re-expressed in the following form by employing the Kronecker delta function δ ( · ) { 0 , 1 } :
y ˜ i ( l ) ( n ) = δ ( β ( l ) ( n ) i ) y i ( l ) ( n ) + ( 1 δ ( β ( l ) ( n ) i ) ) y ˜ i ( l ) ( n 1 ) .
And it is presented in a compact form:
y ˜ ( n ) = R β ( n ) y ( n ) + ( I R β ( n ) ) y ˜ ( n 1 ) ,
where
y ˜ ( n ) = ( y ˜ ( 1 ) ( n ) ) T , ( y ˜ ( 2 ) ( n ) ) T , , ( y ˜ ( N ) ( n ) ) T T , y ˜ ( l ) ( n ) = ( y ˜ 1 ( l ) ( n ) ) T , ( y ˜ 2 ( l ) ( n ) ) T , , ( y ˜ ν ( l ) ( n ) ) T T , R β ( n ) = l = 1 N R β ( l ) ( n ) , R β ( l ) ( n ) = diag { δ ( β ( l ) ( n ) 1 ) I , δ ( β ( l ) ( n ) 2 ) I , , δ ( β ( l ) ( n ) ν ) I } .
Remark 3.
The assumption that the first ν nodes in each layer are measured is made without loss of generality for analytical presentation. The proposed framework applies to any fixed subset of measured nodes within a layer, as the node indices can always be permuted to conform to this convention. This does not imply a requirement for contiguous or identically positioned nodes across layers.
Remark 4.
The performance of the estimator is inherently influenced by which subset of nodes is measured. Intuitively, measuring highly connected or centrally located nodes (e.g., those with large in-degree) typically provides more information about the network state, leading to better estimation accuracy. In the presented simulation, if we were to measure a different subset of ν nodes (e.g., peripheral nodes instead of the central ones used), the average Root-Mean-Square Error (RMSE) would be expected to increase. This highlights a critical design trade-off: while measuring more nodes (ν larger) generally improves accuracy, practical constraints often limit ν. Therefore, strategic node selection—informed by network centrality measures—becomes crucial to maximize estimation performance under given resource constraints. This insight bridges our theoretical framework with practical sensor placement problems.
Define a variable x ˜ ( n ) = [ x T ( n ) y ˜ T ( n 1 ) ] T and let β ( n ) = s be with β ( l ) ( n ) = s ( l = 1 , , N ) , then rewrite system (1) in the following manner:
x ˜ ( n + 1 ) = B s ( n ) x ˜ ( n ) + C ˜ ( n ) ϕ ( I ϕ x ˜ ( n ) ) + t = 1 d B ¯ κ t ( n ) x ˜ ( n κ t ( n ) ) + t = 1 d B ˜ κ t ( n ) x ˜ ( n κ t ( n ) ) + R ˜ s ( W ( n ) x ( n ) ) + D s ( n ) ω ( n ) , y ˜ ( n ) = W ¯ s ( n ) x ˜ ( n ) + R s ( W ( n ) x ( n ) ) + R s E ( n ) ω ( n ) , z ( n ) = F ( n ) I ϕ x ˜ ( n ) ,
where
B s ( n ) = B ( n ) + A Q + A ˜ P 0 R s W ¯ ( n ) I R s , R ˜ s = 0 R s , D s ( n ) = D ( n ) R s E ( n ) , W ¯ s ( n ) = R s W ¯ ( n ) I R s , B ¯ κ t ( n ) = diag { Ξ ¯ t B κ ( n ) , 0 } , C ˜ ( n ) = C ( n ) 0 , I ϕ = I ( M N x ) × ( M N x ) 0 ( M N x ) × ( ν N y ) , B ˜ κ t ( n ) = diag { Ξ ˜ t ( n ) B κ ( n ) , 0 } .
Due to the fact that MNs can be influenced by external environments and physical device limitations, not all nodes’ measurement values are accessible; therefore, when estimating the state of MNs, it is essential to take into account the situation where only partial measurement values of nodes at each layer are available. However, the existing literature regarding state estimators of MNs presumes that the measurements of all nodes are known, so this paper constructs a series of novel state estimators for system (1) based merely on the first ν nodes’ measurements of each layer:
x ^ i ( l ) ( n + 1 ) = U 1 i s ( l ) ( n ) x ^ i ( l ) ( n ) + V 1 i s ( l ) ( n ) y ˜ i ( l ) ( n ) , i = 1 , 2 , , ν , l = 1 , 2 , , N , y ^ i ( l ) ( n + 1 ) = U 2 i s ( l ) ( n ) y ^ i ( l ) ( n ) + V 2 i s ( l ) ( n ) y ˜ i ( l ) ( n ) , i = 1 , 2 , , ν , l = 1 , 2 , , N , x ^ i ( l ) ( n + 1 ) = U 1 i s ( l ) ( n ) x ^ i ( l ) ( n ) , i = ν + 1 , ν + 2 , , M , l = 1 , 2 , , N , z ^ i ( l ) ( n ) = L i s ( l ) ( n ) x ^ i ( l ) ( n ) , i = 1 , 2 , , M , l = 1 , 2 , , N , x ^ i ( l ) ( k ) = ϱ 1 i ( l ) ( k ) , i = 1 , 2 , , M , l = 1 , 2 , , N , k K , y ^ i ( l ) ( k ) = ϱ 2 i ( l ) ( k ) , i = 1 , 2 , , ν , l = 1 , 2 , , N , k K .
Among them, x ^ i ( l ) ( n ) , y ^ i ( l ) ( n ) and z ^ i ( l ) ( n ) are the estimated values of x i ( l ) ( n ) , y ˜ i ( l ) ( n 1 ) and z i ( l ) ( n ) respectively, and the remaining U 1 i s ( l ) ( n ) , V 1 i s ( l ) ( n ) , U 2 i s ( l ) ( n ) , V 2 i s ( l ) ( n ) and L 1 i ( l ) ( n ) are the gain parameters of the designed estimators.
Let
x ^ 1 ( n ) = ( x ^ ( 1 ) ( n ) ) T , ( x ^ ( 2 ) ( n ) ) T , , ( x ^ ( N ) ( n ) ) T T , x ^ ( l ) ( n ) = ( x ^ 1 ( l ) ( n ) ) T , ( x ^ 2 ( l ) ( n ) ) T , , ( x ^ M ( l ) ( n ) ) T T , y ^ ( n ) = ( y ^ ( 1 ) ( n ) ) T , ( y ^ ( 2 ) ( n ) ) T , , ( y ^ ( N ) ( n ) ) T T , y ^ ( l ) ( n ) = ( y ^ 1 ( l ) ( n ) ) T , ( y ^ 2 ( l ) ( n ) ) T , , ( y ^ ν ( l ) ( n ) ) T T , z ^ ( n ) = ( z ^ ( 1 ) ( n ) ) T , ( z ^ ( 2 ) ( n ) ) T , , ( z ^ ( N ) ( n ) ) T T , z ^ ( l ) ( n ) = ( z ^ 1 ( l ) ( n ) ) T , ( z ^ 2 ( l ) ( n ) ) T , , ( z ^ M ( l ) ( n ) ) T T ,
and define x ^ ( n ) = [ ( x ^ 1 ( n ) ) T ( y ^ ( n ) ) T ] T , then the estimators model (12) can be expressed in a concise and compact manner as follows:
x ^ ( n + 1 ) = U s ( n ) x ^ ( n ) + V s ( n ) y ˜ ( n ) , z ^ ( n ) = L s ( n ) I ϕ x ^ ( n ) ,
where
U s ( n ) = diag { U 1 s ( n ) , U 2 s ( n ) } , U 1 s ( n ) = l = 1 N U 1 s ( l ) ( n ) , U 1 s ( l ) ( n ) = diag { U 11 s ( l ) ( n ) , U 12 s ( l ) ( n ) , , U 1 M s ( l ) ( n ) } , U 2 s ( n ) = l = 1 N U 2 s ( l ) ( n ) , U 2 s ( l ) ( n ) = diag { U 21 s ( l ) ( n ) , U 22 s ( l ) ( n ) , , U 2 ν s ( l ) ( n ) } , V s ( n ) = V 1 s ( n ) 0 ( ( M ν ) N x ) × ( ν N y ) V 2 s ( n ) , V 1 s ( n ) = l = 1 N V 1 s ( l ) ( n ) , V 1 s ( l ) ( n ) = diag { V 11 s ( l ) ( n ) , V 12 s ( l ) ( n ) , , V 1 ν s ( l ) ( n ) } , V 2 s ( n ) = l = 1 N V 2 s ( l ) ( n ) , V 2 s ( l ) ( n ) = diag { V 21 s ( l ) ( n ) , V 22 s ( l ) ( n ) , , V 2 ν s ( l ) ( n ) } , L s ( n ) = l = 1 N L s ( l ) ( n ) , L s ( l ) ( n ) = diag { L 1 s ( l ) ( n ) , L 2 s ( l ) ( n ) , , L M s ( l ) ( n ) } ,
Let variables e ( n ) = x ˜ ( n ) x ^ ( n ) and z ˜ ( n ) = z ( n ) z ^ ( n ) represent the estimated errors associated with the state value and output value respectively, and define η ( n ) = [ x ˜ T ( n ) e T ( n ) ] T such that the augmented system of system (1) is:
η ( n + 1 ) = B s ( n ) η ( n ) + C ¯ ( n ) ϕ ( I ϕ I ϕ η ( n ) ) + t = 1 d B ¯ κ t ( n ) η ( n κ t ( n ) ) + t = 1 d B ˜ κ t ( n ) η ( n κ t ( n ) ) + Q s ( n ) ( W ( n ) x ( n ) ) + D s ( n ) ω ( n ) , z ˜ ( n ) = F ˜ s ( n ) η ( n ) ,
where
B s ( n ) = B s ( n ) 0 B s ( n ) U s ( n ) V s ( n ) W ¯ s ( n ) U s ( n ) , B ¯ κ t ( n ) = B ¯ κ t ( n ) 0 B ¯ κ t ( n ) 0 , B ˜ κ t ( n ) = B ˜ κ t ( n ) 0 B ˜ κ t ( n ) 0 , Q s ( n ) = R ˜ s R ˜ s V s ( n ) R s , F ˜ s ( n ) = F ( n ) I ϕ L s ( n ) I ϕ L s ( n ) I ϕ , D s ( n ) = D s ( n ) D s ( n ) V s ( n ) R s E ( n ) , I ϕ = I ( M N x + ν N y ) × ( M N x + ν N y ) 0 ( M N x + ν N y ) × ( M N x + ν N y ) , C ¯ ( n ) = C ˜ ( n ) C ˜ ( n ) .
Subsequently, this paper will delineate its research objectives and contents. The primary focus is on designing a series of rational and practicable state estimators, and the overarching goal is to derive a set of estimator gains that can be effectively utilized, thereby ensuring that the augmented system meets the specified H performance criteria as follows:
n = 0 T 1 E { z ˜ ( n ) 2 } γ 2 n = 0 T 1 ω ( n ) 2 + t = κ ¯ 0 η T ( n ) Z ( t ) η ( n ) < 0
where the matrices Z ( t ) satisfy the predefined conditions, and γ represents the given disturbance attenuation level. The inequality above guarantees a bounded H -norm of the system from the disturbance ω ( n ) and the initial condition term η ( n ) to the estimation error output z ˜ ( n ) . It can be rearranged to explicitly state the upper bound on the total estimation error energy:
n = 0 T 1 E { z ˜ ( n ) 2 } < γ 2 n = 0 T 1 ω ( n ) 2 + t = κ ¯ 0 η T ( n ) Z ( t ) η ( n ) .
This inequality provides a strict quantitative error bound: the expected sum of squared estimation errors over the finite horizon [ 0 , T 1 ] is always less than γ 2 times the combined energy of the external disturbances and a weighted measure of the initial state uncertainties. The scalar γ is therefore the key performance index: a smaller γ signifies a tighter error bound and better estimation robustness. The scalar γ quantifies the estimator’s robustness. It represents the worst-case energy amplification factor from the combined disturbances ω ( n ) (including network imperfections and noise) to the estimation error z ˜ ( n ) . Achieving a smaller γ in the design means the estimator more effectively suppresses the impact of these disturbances, resulting in higher fidelity state estimates across the MNs.
A key practical question concerns the relationship between the achievable disturbance attenuation level γ , the estimator gains, and the network scale. This relationship is implicit, defined by the solution of the LMI conditions in Theorem 1, and is heavily influenced by network topology. Qualitatively, for fixed network dynamics, increasing the size typically introduces more disturbance propagation paths, often leading to a larger minimum γ or requiring more aggressive feedback to maintain performance—highlighting a fundamental design trade-off. A comprehensive numerical study to map this relationship and establish scaling principles for different multiplex architectures is an important direction for applied research.

Symmetry Properties and Structural Simplifications

The multiplex network model described by (1) possesses inherent structural properties that, when explicitly considered, can lead to significant model simplification and provide a pathway for scalable analysis.
Uniform Coupling Symmetry: The model features two distinct yet uniformly structured types of coupling: intra-layer coupling governed by the adjacency matrix a i j ( l ) and the diagonal matrix Q = diag { q 1 , q 2 , , q x } , and inter-layer coupling governed by the adjacency matrix a ˜ l m and the diagonal matrix P = diag { p 1 , p 2 , , p x } . Crucially, this coupling configuration is both uniform and symmetric: the matrices Q and P are diagonal and identical across all coupling channels, meaning the coupling strength for each state component ( q s or p r ) is global rather than edge-specific; furthermore, the inter-layer adjacency matrix a ˜ l m is typically symmetric ( a ˜ l m = a ˜ m l ), representing undirected interactions between layers.
Symmetry in Protocol: The RAP imposes a layer-wise synchronous scheduling, wherein the same nodes communicate simultaneously across all layers. This design introduces a structural symmetry that yields a regular, repeating communication pattern. While initially adopted to ensure tractability, this inherent symmetry provides a valuable analytical opportunity: it suggests that the MNs estimation problem could be decomposed or simplified by exploiting the repeating structure (e.g., through transform methods or modular analysis), potentially leading to significant reductions in computational complexity for large-scale network design in future work.

3. Main Results

Theorem 1.
For a given γ and a set of gain parameters U 1 i s ( l ) ( n ) , V 1 i s ( l ) ( n ) , U 2 i s ( l ) ( n ) , V 2 i s ( l ) ( n ) and L i s ( l ) ( n ) , if there exist two positive definite matrices Y s ( n ) , G u ( n ) and several positive scalars σ 1 , σ 2 that satisfy the following inequality conditions, then the augmented system (14) can satisfy the H performance constraint:
Υ s ( n ) = Υ 11 s ( n ) Υ 12 s ( n ) Υ 13 s ( n ) Υ 14 s ( n ) Υ 15 s ( n ) Υ 22 s ( n ) Υ 23 s ( n ) Υ 24 s ( n ) Υ 25 s ( n ) Υ 33 s ( n ) Υ 34 s ( n ) Υ 35 s ( n ) Υ 44 s ( n ) Υ 45 s ( n ) Υ 55 s ( n ) < 0 ,
where the initial condition
Y s ( 0 ) γ 2 Z ( 0 ) < 0 , ( κ ¯ κ ̲ + 1 ) u = 1 d G u ( υ ) γ 2 Z ( υ ) < 0 , υ = κ ¯ , κ ¯ + 1 , , 1 ,
and
Υ 11 s ( n ) = B s T ( n ) Y ˜ s ( n + 1 ) B s ( n ) + u = 1 d ( k ¯ k ̲ + 1 ) G u ( n ) Y s ( n ) + σ 1 I ϕ T I ϕ T ( I H T H ) I ϕ I ϕ + F ˜ s T ( n ) F ˜ s ( n ) , Υ 12 s ( n ) = B s T ( n ) Y ˜ s ( n + 1 ) C ¯ ( n ) , Υ 13 s ( n ) = B s T ( n ) Y ˜ s ( n + 1 ) B ¯ κ ( n ) , Υ 14 s ( n ) = B s T ( n ) Y ˜ s ( n + 1 ) Q s ( n ) + σ 2 I ϕ T I ϕ T Γ ˜ T , Υ 15 s ( n ) = B s T ( n ) Y ˜ s ( n + 1 ) D s ( n ) , Υ 22 s ( n ) = C ¯ T ( n ) Y ˜ s ( n + 1 ) C ¯ ( n ) σ 1 I , Υ 23 s ( n ) = C ¯ T ( n ) Y ˜ s ( n + 1 ) B ¯ κ ( n ) , Υ 24 s ( n ) = C ¯ T ( n ) Y ˜ s ( n + 1 ) Q s ( n ) , Υ 25 s ( n ) = C ¯ T ( n ) Y ˜ s ( n + 1 ) D s ( n ) , Υ 33 s ( n ) = B ¯ κ T ( n ) Y ˜ s ( n + 1 ) B ¯ κ ( n ) + B ^ κ T ( n ) ( I Y ˜ s ( n + 1 ) ) B ^ κ ( n ) G ˜ ( n ) , Υ 34 s ( n ) = B ¯ κ T ( n ) Y ˜ s ( n + 1 ) Q s ( n ) , Υ 35 s ( n ) = B ¯ κ T ( n ) Y ˜ s ( n + 1 ) D s ( n ) , Υ 44 s ( n ) = Q s T ( n ) Y ˜ s ( n + 1 ) Q s ( n ) σ 2 I , Υ 45 s ( n ) = Q s T ( n ) Y ˜ s ( n + 1 ) D s ( n ) , Υ 55 s ( n ) = D s T ( n ) Y ˜ s ( n + 1 ) D s ( n ) γ 2 I , Γ ˜ = Γ ¯ 0 , Γ ¯ = l = 1 N Γ ¯ ( l ) , Γ ¯ ( l ) = 1 2 diag { Γ W 1 ( l ) ( n ) , Γ W 2 ( l ) ( n ) , , Γ W ν ( l ) ( n ) } , G ˜ ( n ) = diag { G 1 ( n κ 1 ( n ) ) , G 2 ( n κ 2 ( n ) ) , , G d ( n κ d ( n ) ) } , Ξ ^ t = l = 1 N Ξ ^ t ( l ) , Ξ ^ t ( l ) = diag { ϑ ^ 1 t ( l ) I , ϑ ^ 2 t ( l ) I , , ϑ ^ M t ( l ) I } , ϑ ^ i t ( l ) = ϑ ¯ i t ( l ) ( 1 ϑ ¯ i t ( l ) ) , B ^ κ t ( n ) = diag { Ξ ^ t B κ ( n ) , 0 } , B ^ κ t ( n ) = B ^ κ t ( n ) 0 B ^ κ t ( n ) 0 , B ^ κ ( n ) = diag { B ^ κ 1 ( n ) , B ^ κ 2 ( n ) , , B ^ κ d ( n ) } , Y ˜ s ( n ) = c = 1 ° r s c Y c ( n ) ,
B ¯ κ ( n ) = B ¯ κ 1 ( n ) B ¯ κ 2 ( n ) B ¯ κ d ( n ) , c = 1 ° r s c = 1 .
Proof. 
Select the following Lyapunov–Krasovskii functional:
V ( n , β ( n ) ) = V 1 ( n , β ( n ) ) + V 2 ( n ) + V 3 ( n ) ,
where
V 1 ( n , β ( n ) ) = η T ( n ) Y β ( n ) ( n ) η ( n ) , V 2 ( n ) = u = 1 d υ = n k u ( n ) n 1 η T ( υ ) G u ( υ ) η ( υ ) , V 3 ( n ) = u = 1 d m = k ¯ + 1 k ̲ υ = n + m n 1 η T ( υ ) G u ( υ ) η ( υ ) .
Based on system (14), calculate the mathematical expectations of the differences of the three parts of V ( n , β ( n ) ) respectively:
E { Δ V 1 ( n , β ( n ) ) } = E { η T ( n + 1 ) Y β ( n + 1 ) ( n + 1 ) η ( n + 1 ) | β ( n ) = s } η T ( n ) Y s ( n ) η ( n ) = η T ( n ) B s T ( n ) Y ˜ s ( n + 1 ) B s ( n ) η ( n ) + 2 η T ( n ) B s T ( n ) Y ˜ s ( n + 1 ) C ¯ ( n ) ϕ ( I ϕ I ϕ η ( n ) ) + 2 η T ( n ) B s T ( n ) Y ˜ s ( n + 1 ) B ¯ κ ( n ) η ( n κ ( n ) ) + 2 η T ( n ) B s T ( n ) Y ˜ s ( n + 1 ) Q s ( n ) ( W ( n ) x ( n ) ) + 2 η T ( n ) B s T ( n ) Y ˜ s ( n + 1 ) D s ( n ) ω ( n ) + ϕ T ( I ϕ I ϕ η ( n ) ) C ¯ T ( n ) Y ˜ s ( n + 1 ) C ¯ ( n ) ϕ ( I ϕ I ϕ η ( n ) ) + 2 ϕ T ( I ϕ I ϕ η ( n ) ) C ¯ T ( n ) Y ˜ s ( n + 1 ) B ¯ κ ( n ) η ( n κ ( n ) ) + 2 ϕ T ( I ϕ I ϕ η ( n ) ) C ¯ T ( n ) Y ˜ s ( n + 1 ) × Q s ( n ) ( W ( n ) x ( n ) ) + 2 ϕ T ( I ϕ I ϕ η ( n ) ) C ¯ T ( n ) Y ˜ s ( n + 1 ) D s ( n ) ω ( n ) + η T ( n κ ( n ) ) B ¯ κ T ( n ) × Y ˜ s ( n + 1 ) B ¯ κ ( n ) η ( n κ ( n ) ) + 2 η T ( n κ ( n ) ) B ¯ κ T ( n ) Y ˜ s ( n + 1 ) Q s ( n ) ( W ( n ) x ( n ) ) + 2 η T ( n κ ( n ) ) B ¯ κ T ( n ) Y ˜ s ( n + 1 ) D s ( n ) ω ( n ) + T ( W ( n ) x ( n ) ) Q s T ( n ) Y ˜ s ( n + 1 ) Q s ( n ) × ( W ( n ) x ( n ) ) + 2 T ( W ( n ) x ( n ) ) Q s T ( n ) Y ˜ s ( n + 1 ) D s ( n ) ω ( n ) + ω T ( n ) D s T ( n ) Y ˜ s ( n + 1 ) × D s ( n ) ω ( n ) + η T ( n κ ( n ) ) B ^ κ T ( n ) ( I Y ˜ s ( n + 1 ) ) B ^ κ ( n ) η ( n κ ( n ) ) η T ( n ) Y s ( n ) η ( n ) ,
where
η ( n κ ( n ) ) = ( η ( n κ 1 ( n ) ) ) T , ( η ( n κ 2 ( n ) ) ) T , , ( η ( n κ d ( n ) ) ) T T .
E { Δ V 2 ( n ) } = E u = 1 d υ = n + 1 k u ( n + 1 ) n η T ( υ ) G u ( υ ) η ( υ ) u = 1 d υ = n k u ( n ) n 1 η T ( υ ) G u ( υ ) η ( υ ) u = 1 d η T ( n ) G u ( n ) η ( n ) η T ( n κ ( n ) ) G ˜ ( n ) η ( n κ ( n ) ) + u = 1 d υ = n + 1 k ¯ n k ̲ η T ( υ ) G u ( υ ) η ( υ ) ,
E { Δ V 3 ( n ) } = E u = 1 d m = k ¯ + 1 k ̲ υ = n + 1 + m n η T ( υ ) G u ( υ ) η ( υ ) u = 1 d m = k ¯ + 1 k ̲ υ = n + m n 1 η T ( υ ) G u ( υ ) η ( υ ) = u = 1 d ( k ¯ k ̲ ) η T ( n ) G u ( n ) η ( n ) u = 1 d m = k ¯ + n + 1 k ̲ + n η T ( m ) G u ( m ) η ( m ) .
From inequalities (2) and (5), we can infer that:
x i ( l ) ( n ) ϕ ( x i ( l ) ( n ) ) T H T H 0 I x i ( l ) ( n ) ϕ ( x i ( l ) ( n ) ) 0 ,
x i ( l ) ( n ) ( W i ( l ) ( n ) x i ( l ) ( n ) ) T 0 ( Γ W i ( l ) ( n ) ) T 2 I x i ( l ) ( n ) ( W i ( l ) ( n ) x i ( l ) ( n ) ) 0 .
By combining (19) through (23), we can derive the inequality pertaining to the expected difference of V ( n , β ( n ) ) :
E { Δ V ( n , β ( n ) ) } E { Δ V 1 ( n , β ( n ) ) } + E { Δ V 2 ( n ) } + E { Δ V 3 ( n ) } σ 1 ( ϕ T ( I ϕ I ϕ η ( n ) ) × ϕ ( I ϕ I ϕ η ( n ) ) η T ( n ) I ϕ T I ϕ T ( I H T H ) I ϕ I ϕ η ( n ) ) σ 2 η T ( n ) I ϕ T I ϕ T Γ ˜ T ( W ( n ) x ( n ) ) + T ( W ( n ) x ( n ) ) ( W ( n ) x ( n ) ) .
Based on inequality (24), we can obtain the following result:
n = 0 T 1 E { z ˜ ( n ) 2 } γ 2 n = 0 T 1 ω ( n ) 2 + t = κ ¯ 0 η T ( n ) Z ( t ) η ( n ) + n = 0 T 1 E { Δ V ( n , β ( n ) ) } E { Δ V ( n , β ( n ) ) } n = 0 T 1 ξ T ( n ) Υ s ( n ) ξ ( n ) γ 2 t = κ ¯ 0 η T ( n ) Z ( t ) η ( n ) + V ( 0 , β ( 0 ) ) V ( T , β ( T ) ) ,
where
ξ ( n ) = [ η T ( n ) ϕ T ( I ϕ I ϕ η ( n ) ) η T ( n κ ( n ) ) T ( W ( n ) x ( n ) ) ω T ( n ) ] T .
According to the setting of V ( n , β ( n ) ) (18), it can be known that:
γ 2 t = κ ¯ 0 η T ( n ) Z ( t ) η ( n ) + V ( 0 , β ( 0 ) ) γ 2 t = κ ¯ 1 η T ( n ) Z ( t ) η ( n ) γ 2 η T ( 0 ) Z ( 0 ) η ( 0 ) + η T ( 0 ) Y s ( 0 ) η ( 0 ) + u = 1 d υ = k ¯ 1 η T ( υ ) G u ( υ ) η ( υ ) + u = 1 d m = k ¯ + 1 k ̲ υ = m 1 η T ( υ ) G u ( υ ) η ( υ ) η T ( 0 ) ( γ 2 Z ( 0 ) + Y s ( 0 ) ) η ( 0 ) + t = κ ¯ 1 η T ( υ ) γ 2 ( n ) Z ( t ) + ( k ¯ k ̲ + 1 ) υ = m 1 G u ( υ ) η ( υ ) .
From (16) to (18), one gets
ξ T ( n ) Υ s ( n ) ξ ( n ) < 0 γ 2 t = κ ¯ 0 η T ( n ) Z ( t ) η ( n ) + V ( 0 , β ( 0 ) ) < 0 V ( T , β ( T ) ) > 0 .
It can be further inferred from (25) that:
n = 0 T 1 E { z ˜ ( n ) 2 } γ 2 n = 0 T 1 ω ( n ) 2 + t = κ ¯ 0 η T ( n ) Z ( t ) η ( n ) < 0 .
With this, the proof is finished. □
Theorem 1 is derived under the assumption that the parameters of the estimators (12) are known. Consequently, we will proceed to demonstrate the reasonable existence of these parameters.
Remark 5.
The functional structure in (18) is designed to balance analytical tractability with the need to handle multiple stochastic and nonlinear constraints. While advanced techniques like delay-partitioning or multiple integral terms can reduce conservatism for time-delay systems, their direct incorporation into the current combined framework would significantly increase complexity. The development of such refined Lyapunov constructions tailored to the MNs estimation problem, building upon the foundational feasibility established here, is an important avenue for future theoretical work to tighten performance guarantees.
Theorem 2.
For a given γ, if there exist positive definite matrices Y s ( n ) = diag { Y 1 s ( n ) , Y 2 s ( n ) } , G u ( n ) , and matrices K U s ( n ) = diag { K 1 U s ( n ) , K 2 U s ( n ) } , K V s ( n ) = [ K 1 V s T ( n ) 0 K 2 V s T ( n ) ] T , and several positive scalars σ 1 , σ 2 that satisfy the following inequality conditions, then the augmented system (14) can satisfy the H performance constraint:
Π s ( n ) = Υ ˜ s ( n ) Υ ¯ s ( n ) Y ¯ s ( n + 1 ) < 0 ,
and it has the same initial conditions as (17), where
Y 1 s ( n ) = l = 1 N Y 1 s ( l ) ( n ) , Y 1 s ( l ) ( n ) = diag { Y 11 s ( l ) ( n ) , Y 12 s ( l ) ( n ) , , Y 1 ( M + ν ) s ( l ) ( n ) } , Y 2 s ( n ) = l = 1 N Y 2 s ( l ) ( n ) , Y 2 s ( l ) ( n ) = diag { Y 21 s ( l ) ( n ) , Y 22 s ( l ) ( n ) , , Y 2 ( M + ν ) s ( l ) ( n ) } , K 1 U s ( n ) = l = 1 N K 1 U s ( l ) ( n ) , K 1 U s ( l ) ( n ) = diag { K 11 U s ( l ) ( n ) , K 12 U s ( l ) ( n ) , , K 1 M U s ( l ) ( n ) } , K 2 U s ( n ) = l = 1 N K 2 U s ( l ) ( n ) , K 2 U s ( l ) ( n ) = diag { K 21 U s ( l ) ( n ) , K 22 U s ( l ) ( n ) , , K 2 ν U s ( l ) ( n ) } , K 1 V s ( n ) = l = 1 N K 1 V s ( l ) ( n ) , K 1 V s ( l ) ( n ) = diag { K 11 V s ( l ) ( n ) , K 12 V s ( l ) ( n ) , , K 1 ν V s ( l ) ( n ) } , K 2 V s ( n ) = l = 1 N K 2 V s ( l ) ( n ) , K 2 V s ( l ) ( n ) = diag { K 21 V s ( l ) ( n ) , K 22 V s ( l ) ( n ) , , K 2 ν V s ( l ) ( n ) } , Υ ¯ s ( n ) = B Y s ( n ) Y ˜ s ( n + 1 ) C ¯ ( n ) Y ˜ s ( n + 1 ) B ¯ κ ( n ) Q Y s ( n ) D Y s ( n ) 0 0 ( I Y ˜ s ( n + 1 ) ) 0 0 F ˜ s ( n ) 0 0 0 0 , B Y s ( n ) = Y ˜ s ( n + 1 ) B s ( n ) + K B s ( n ) , Q Y s ( n ) = Y ˜ s ( n + 1 ) Q s ( n ) + K Q s ( n ) , D Y s ( n ) = Y ˜ s ( n + 1 ) D s ( n ) + K D s ( n ) , B s ( n ) = B s ( n ) 0 B s ( n ) 0 , K B s ( n ) = 0 0 K U s ( n ) K V s ( n ) W ¯ s ( n ) K U s ( n ) , Q s ( n ) = R ˜ s R ˜ s , K Q s ( n ) = 0 K V s ( n ) R s , D s ( n ) = D s ( n ) D s ( n ) , K D s ( n ) = 0 K V s ( n ) R s E ( n ) , Υ ˜ s ( n ) = Υ ˜ 11 s ( n ) Υ ˜ 12 s ( n ) Υ ˜ 22 s ( n ) , Υ ˜ 12 s ( n ) = 0 0 σ 2 I ϕ T I ϕ T Γ ˜ T 0 , Υ ˜ 22 s ( n ) = diag { σ 1 I , G ˜ ( n ) , σ 2 I , γ 2 I } , Y ¯ s ( n + 1 ) = diag { Y ˜ s ( n + 1 ) , ( I Y ˜ s ( n + 1 ) ) , I } , Υ ˜ 11 s ( n ) = u = 1 d ( k ¯ k ̲ + 1 ) G u ( n ) Y s ( n ) + σ 1 I ϕ T I ϕ T ( I H T H ) I ϕ I ϕ .
Moreover, the solution to the optimal state estimation problem yields the following gain matrices:
U 1 i s ( l ) ( n ) = ( Y ˜ 2 i s ( l ) ( n + 1 ) ) 1 K 1 i U s ( l ) ( n ) , i = 1 , 2 , , M , l = 1 , 2 , , N , U 2 i s ( l ) ( n ) = ( Y ˜ 2 ( M + i ) s ( l ) ( n + 1 ) ) 1 K 2 i U s ( l ) ( n ) , i = 1 , 2 , , ν , l = 1 , 2 , , N , V 1 i s ( l ) ( n ) = ( Y ˜ 2 i s ( l ) ( n + 1 ) ) 1 K 1 i V s ( l ) ( n ) , i = 1 , 2 , , ν , l = 1 , 2 , , N , V 2 i s ( l ) ( n ) = ( Y ˜ 2 ( M + i ) s ( l ) ( n + 1 ) ) 1 K 2 i V s ( l ) ( n ) , i = 1 , 2 , , ν , l = 1 , 2 , , N .
Proof. 
By decomposing (16) presented in Theorem 1, we can derive the following results:
Υ s ( n ) = Υ ˜ s ( n ) + Υ ^ s T ( n ) Y ¯ s ( n + 1 ) Υ ^ s ( n ) < 0 ,
where
Υ ^ s ( n ) = Υ ^ 1 T ( n ) Υ ^ 2 T ( n ) Υ ^ 3 T ( n ) T , Υ ^ 1 ( n ) = [ B s ( n ) C ¯ ( n ) B ¯ κ ( n ) Q s ( n ) D s ( n ) ] , Υ ^ 2 ( n ) = [ 0 0 B ^ κ ( n ) 0 0 ] , Υ ^ 3 ( n ) = [ F ˜ s ( n ) 0 0 0 0 ] .
According to Schur complement lemma, an equivalent form of (29) is:
Π s ( n ) = Υ ˜ s ( n ) Υ ¯ s ( n ) Y ¯ s ( n + 1 ) < 0 ,
where
Υ ¯ s ( n ) = Y ˜ s ( n + 1 ) Υ ^ 1 ( n ) ( I Y ˜ s ( n + 1 ) ) Υ ^ 2 ( n ) Υ ^ 3 ( n ) .
Let
K U s ( n ) = Y ˜ 2 s ( n + 1 ) U s ( n ) , K V s ( n ) = Y ˜ 2 s ( n + 1 ) V s ( n ) .
Thus, (27) is obviously proved and proves Theorem 2. □
The design conditions in Theorem 2 constitute a set of linear matrix inequalities (LMIs). The number of decision variables and constraints in these LMIs scales polynomially with the total number of network nodes ( N × M ). This is a standard and tractable complexity class for centralized robust control design using modern interior-point LMI solvers (e.g., those in MATLAB’s (R2021b, MathWorks Inc.) LMI Toolbox or YALMIP). The numerical feasibility of these conditions for a given network depends on its specific parameters (dynamics, coupling strength, delay probabilities) and the desired performance level γ .
Remark 6.
It is important to highlight that this paper also introduces RAP, a mechanism that substantially enhances network communication efficiency and markedly reduces unnecessary resource wastage. In the context of introducing RAP to complex networks, it is typically established that the network randomly selects a node to join the communication networks at each time step. However, in MNs, for the sake of simplicity and consistency, this paper specifies that at each time step, the corresponding ith nodes across all layers simultaneously enter the communication networks. It is worth noting that this synchronous-access model is a simplifying assumption adopted to establish a tractable analytical foundation. In practice, multiplex networks often exhibit heterogeneous and asynchronous node activation patterns across layers. We note that the core H analysis framework is inherently extendable to asynchronous or layer-dependent scheduling. The current framework, while providing rigorous guarantees under the stated assumption, sets the stage for future extensions that could incorporate layer-specific activation probabilities or Markovian switching patterns to enhance model generality.
Remark 7.
It is important to clarify the positioning of our work relative to the existing literature. While Refs. [24,25] focus on state estimation for single-layer networks with partial measurements, and Ref. [22] studies MNs under the assumption of full-node measurements, none of them address the more general and practical scenario considered here: estimation in MNs with only partial measurements available. Our framework directly fills this gap by simultaneously handling this fundamental limitation along with random delays and saturations, thereby significantly broadening the applicability of robust estimation theory.
Remark 8.
A natural and important extension is to consider randomly or deterministically time-varying subsets of measurable nodes, governed by an additional stochastic process or scheduling protocol. This would model networks with mobile sensors or dynamic resource allocation, further bridging the gap between theory and application. Developing H estimators robust to this combined switching in network topology, communication constraints, and available measurements presents a compelling challenge for future research.
Remark 9.
The constructed Lyapunov–Krasovskii functional provides a unified yet potentially conservative approach to ensure stability and H performance under the considered combination of stochastic delays, saturations, protocol switching, and partial measurements. While more tailored functionals for individual uncertainties might exist, the key achievement here is establishing a feasible and rigorous analysis for this novel and complex problem setting. Future research can build upon this foundation to explore less conservative designs within the same comprehensive model.
Remark 10.
The estimator’s H guarantee holds only for the delay probabilities and saturation bounds assumed in its design. If actual delays exceed the modeled bounds or saturation is more severe, the disturbance exceeds the design basis, and the performance bound γ may no longer hold, potentially degrading accuracy or stability. Therefore, in practice, conservative (pessimistic) parameter estimates should be used in the design phase to ensure robustness against real-world variations. Investigating the quantitative degradation remains a topic for future work.

4. Numerical Simulation Algorithm and Example

This section demonstrates the performance of the designed state estimator via numerical simulation. A system featuring a three-layer network topology is considered, where each layer comprises five nodes ( i = 1 , , 5 , l = 1 , , 3 ) , the system parameters utilized in the simulation are as follows:
B 1 ( 1 ) ( n ) = 0.1 + cos ( 0.1 n ) 0.2 0.1 0.3 cos ( 2 n ) , B 2 ( 1 ) ( n ) = 0.2 0.4 0.2 cos ( n ) , B 3 ( 1 ) ( n ) = 0.5 0.3 0.2 0.36 , B 4 ( 1 ) ( n ) = 0.4 cos ( 5 n ) 0.2 cos ( 2 n ) 0.3 0.4 , B 5 ( 1 ) ( n ) = 0.6 0.6 0.5 0.27 , B 1 ( 2 ) ( n ) = 0.23 + cos ( 5 n ) 0.5 0.5 0.3 cos ( 5 n ) , B 2 ( 2 ) ( n ) = 0.25 0.14 + 0.3 cos ( 5 n ) 0.23 cos ( 2 n ) , B 3 ( 2 ) ( n ) = 0.35 0.23 0.46 0.33 , B 4 ( 2 ) ( n ) = 0.3 cos ( 6 n ) 0.3 cos ( 4 n ) 0.4 0.34 , B 5 ( 2 ) ( n ) = 0.46 0.56 0.35 0.28 , B 1 ( 3 ) ( n ) = 0.4 + cos ( 0.2 n ) 0.52 0.61 0.6 cos ( 7 n ) , B 2 ( 3 ) ( n ) = 0.38 0.32 0.16 0.2 + cos ( 4 n ) , B 3 ( 3 ) ( n ) = 0.2 0.24 0.45 0.29 , B 4 ( 3 ) ( n ) = 0.7 cos ( 4 n ) 0.6 cos ( 4 n ) 0.25 0.16 , B 5 ( 3 ) ( n ) = 0.27 0.28 0.31 0.62 , B κ 1 ( 1 ) ( n ) = 0.6 + cos ( 6 n ) 0 0.26 0.7 cos ( 4 n ) , B κ 2 ( 1 ) ( n ) = 0.85 0.5 + 0.3 cos ( 5 n ) 0.37 cos ( 7 n ) , B κ 3 ( 1 ) ( n ) = 0.25 0.13 0.42 0 , B κ 4 ( 1 ) ( n ) = 0.39 + 0.2 cos ( 8 n ) 0.6 cos ( 7 n ) 0.26 0.72 , B κ 5 ( 1 ) ( n ) = 0.29 0.5 0 0.36 , γ = 0.7 , κ ̲ = 1 , κ ¯ = 3 , B κ 1 ( 2 ) ( n ) = 0.46 + 0.2 cos ( 3 n ) 0.52 0.23 0.4 cos ( 6 n ) , B κ 2 ( 2 ) ( n ) = 0.68 0.28 + 0.6 cos ( 3 n ) 0.45 cos ( 3 n ) , B κ 3 ( 2 ) ( n ) = 0.46 0 0.35 0.27 , B κ 4 ( 2 ) ( n ) = 0.2 cos ( 6 n ) 0.2 cos ( 4 n ) 0.5 0.28 , Γ = 0.3 , d = 2 , ν = 2 , B κ 5 ( 2 ) ( n ) = 0.53 0.24 0.36 0.27 , B κ 1 ( 3 ) ( n ) = 0.3 + cos ( 0.2 n ) 0.62 0.51 0.5 cos ( 7 n ) , B κ 2 ( 3 ) ( n ) = 0 0.32 + 0.5 cos ( 2 n ) 0.16 0.6 + cos ( 4 n ) , B κ 3 ( 3 ) ( n ) = 0.35 0 0.67 0.67 , B κ 4 ( 3 ) ( n ) = 0.6 cos ( 3 n ) 0.6 + 0.2 cos ( 4 n ) 0.46 0 , B κ 5 ( 3 ) ( n ) = 0 cos ( 5 n ) 0.29 cos ( 3 n ) , C i l ( n ) = 1 0 0 1 , ϕ ( x i ( l ) ( n ) ) = tanh ( 0.2 ( x i 1 ( l ) ( n ) ) ) tanh ( 0.2 ( x i 2 ( l ) ( n ) ) ) , ϑ ¯ i 1 l = 0.7 , ϑ ¯ i 2 l = 0.8 , F 1 ( 1 ) ( n ) = 0.1 cos ( 2 n ) 0.3 , F 2 ( 1 ) ( n ) = 0.2 0.4 , F 3 ( 1 ) ( n ) = 0.2 cos ( 3 n ) 0.5 , F 4 ( 1 ) ( n ) = 0.4 cos ( n ) 0.7 cos ( 7 n ) , F 5 ( 1 ) ( n ) = 0.1 0.3 , F 1 ( 2 ) ( n ) = 0.4 cos ( 3 n ) 0.3 , F 2 ( 2 ) ( n ) = 0.2 0.5 cos ( 6 n ) , F 3 ( 2 ) ( n ) = 0.3 0.6 cos ( 7 n ) , F 4 ( 2 ) ( n ) = 0.2 0.4 , F 5 ( 2 ) ( n ) = 0.1 cos ( 8 n ) 0.5 , F 1 ( 3 ) ( n ) = 0.3 0.4 cos ( 4 n ) , F 2 ( 3 ) ( n ) = 0.2 0.2 , F 3 ( 3 ) ( n ) = 0.3 cos ( 6 n ) 0.2 , F 4 ( 3 ) ( n ) = 0.4 cos ( 5 n ) 0.6 , F 5 ( 3 ) ( n ) = 0.1 0.36 , W 1 ( 1 ) ( n ) = 0.2 0.1 sin ( 2 n ) , W 2 ( 1 ) ( n ) = 0.2 0.3 , W 1 ( 2 ) ( n ) = 0.4 cos ( 4 n ) 0.1 , W 2 ( 2 ) ( n ) = 0.3 cos ( 5 n ) 0.3 , W 1 ( 3 ) ( n ) = 0.2 cos ( n ) 0.5 , W 2 ( 3 ) ( n ) = 0.2 0.33 , D 1 ( 1 ) ( n ) = 0.2 0.4 cos ( n ) , D 2 ( 1 ) ( n ) = 0.3 cos ( 2 n ) 0.5 , D 3 ( 1 ) ( n ) = 0.32 0.44 , D 4 ( 1 ) ( n ) = 0.13 cos ( 4 n ) 0.25 cos ( 6 n ) , D 5 ( 1 ) ( n ) = 0.6 cos ( 6 n ) 0.13 , D 1 ( 2 ) ( n ) = 0.5 cos ( 7 n ) 0.27 , D 2 ( 2 ) ( n ) = 0.23 0.37 , D 3 ( 2 ) ( n ) = 0.28 cos ( 2 n ) 0.11 , D 4 ( 2 ) ( n ) = 0.11 0.15 , D 5 ( 2 ) ( n ) = 0.22 cos ( n ) 0.29 cos ( n ) , D 1 ( 3 ) ( n ) = 0.16 cos ( 8 n ) 0.21 , D 2 ( 3 ) ( n ) = 0.18 0.19 , D 3 ( 3 ) ( n ) = 0.46 0.39 , D 4 ( 3 ) ( n ) = 0.52 cos ( 2 n ) 0.61 , D 5 ( 3 ) ( n ) = 0.1 cos ( 3 n ) 0.49 cos ( 9 n ) , A ( 1 ) ( n ) = 1.4 0.7 0 0 0.7 0.7 2.1 0.7 0 0.7 0 0.7 1.4 0.7 0 0 0 0.7 1.4 0.7 0.7 0.7 0 0.7 2.1 , A ( 2 ) = 1 0 0.5 0 0.5 0 0.5 0.5 0 0 0.5 0.5 1.5 0.5 0 0 0 0.5 1 0.5 0.5 0 0 0.5 1 , P = 0.02 0 0 0.03 , A ( 3 ) = 1.2 0.3 0.3 0.3 0.3 0.3 0.9 0.3 0 0.3 0.3 0.3 0.9 0.3 0 0.3 0 0.3 0.9 0.3 0.3 0.3 0 0.3 0.9 , A ˜ = 0.4 0.2 0.2 0.2 0.4 0.2 0.2 0.2 0.4 , Q = 0.03 0 0 0.06 , E 1 ( 1 ) ( n ) = 0.2 cos ( 4 n ) , E 2 ( 1 ) ( n ) = 0.3 cos ( 5 n ) , E 1 ( 2 ) ( n ) = 0.16 , E 2 ( 2 ) ( n ) = 0.67 cos ( n ) , E 1 ( 3 ) ( n ) = 0.68 cos ( 2 n ) , E 2 ( 3 ) ( n ) = 0.59 cos ( 6 n ) .
Based on the linear matrix inequality (LMI) approach, we derived the optimal estimator gain matrix and incorporated it into the state estimator for simulation-based verification. The time complexity of the proposed method is O ( M N T ) , where N denotes the number of layers, M represents the number of nodes in each layer, and T indicates the number of time steps in the simulation. By establishing appropriate initial conditions and introducing disturbance noise ω ( n ) = 0.3 e 2 n cos ( 4 n ) , the system’s actual output z i ( l ) ( n ) was compared with the estimated output z ^ i ( l ) ( n ) . The estimation error curve was then plotted to assess the estimator’s performance. Given the substantial number of matrix parameters involved, they are not individually enumerated here; instead, the emphasis is placed on presenting the simulation results and corresponding analysis. To facilitate a more precise comparison between the output values and the estimated values of each node, this paper conducts a simulation analysis involving all 15 nodes and presents the corresponding comparative curves (as illustrated in Figure 1, Figure 2, Figure 3, Figure 4, Figure 5, Figure 6, Figure 7 and Figure 8). The simulation results indicate that, due to the implementation of RAP in the system, although variations in measurement accuracy exist among different nodes, the estimation errors across all nodes ultimately exhibit favorable convergence characteristics and steadily approach zero. Since the actual measurement values contain the Bernoulli random variable ϑ i t ( l ) ( n ) , to measure the impact of the random variable on the state estimation, the author also conducted 200 Monte Carlo simulations and calculated the time-averaged mean square error of each state component. The statistical results show that our estimator has an average mean square error of nearly zero, which proves its effectiveness and robustness under the influence of random factors.
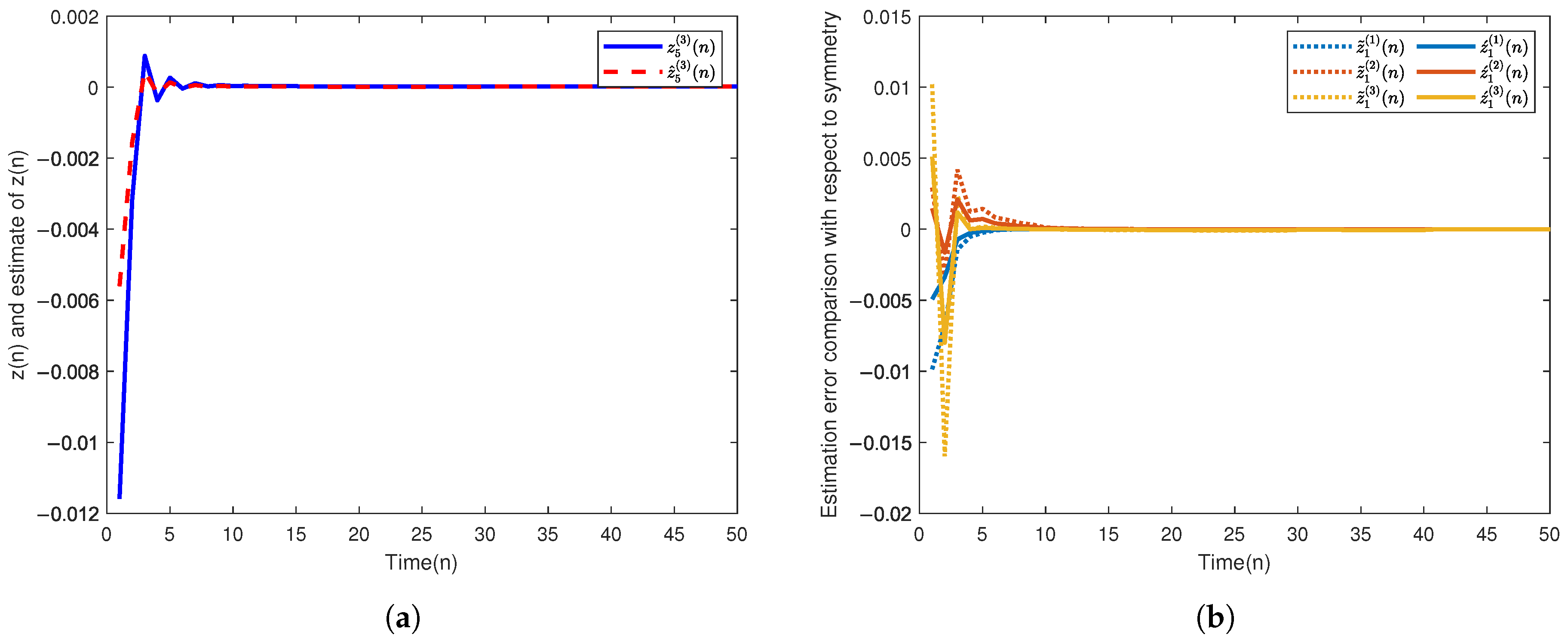
To empirically investigate the impact of structural symmetry on estimation performance, we conducted a comparative simulation. All system matrices were reconfigured to be symmetric, and the resulting estimator was compared against the original design based on asymmetric matrices. Panel (b) of Figure 8 plots the output estimation error z ˜ i ( l ) ( n ) and z ´ i ( l ) ( n ) (with symmetric matrices) for the first node in each layer across both configurations. The results demonstrate a clear performance advantage for the symmetric configuration: (1) the estimation error exhibits faster convergence to a steady-state value, and (2) during the transient phase, the error magnitude is consistently smaller compared to the asymmetric case. This confirms that structural symmetry enhances estimator performance by providing a more regular and predictable dynamic coupling, which the H design can exploit more effectively to attenuate disturbances and accelerate error decay.
The performance of the proposed estimator is inherently influenced by key parameters: the delay bound κ ¯ , the saturation threshold Γ , and the RAP’s Markov transition probabilities. Qualitatively, increasing κ ¯ or decreasing Γ (tighter saturation) tightens the respective constraints in the LMI conditions of Theorem 1 and Theorem 2, typically leading to a larger minimum achievable H performance level γ or even infeasibility. Similarly, reducing the probability of successful channel access in the RAP effectively increases the expected packet loss, which also degrades the theoretically guaranteed γ .

5. Discussion

While this study establishes a robust framework for state estimation in multiplex networks under challenging constraints, several limitations provide avenues for future research. First, the communication model assumes synchronous node access across network layers (Remark 2), which may not hold in highly heterogeneous systems. Future work could relax this by modeling layer-specific activation processes. Second, the stochastic uncertainties (delays, protocol switching) are modeled using specific distributions (Bernoulli, Markov chain). Investigating the robustness of the estimator to deviations from these models or incorporating more general stochastic processes is an important next step. Finally, the numerical validation is performed on a tractable medium-scale network. Applying and benchmarking the proposed algorithm on large-scale real-world network data remains a critical task for practical deployment.

Discussion on Symmetry Considerations

The reviewer has raised a profound point regarding the symmetry properties of the multiplex network system considered in this work. Indeed, symmetry is a fundamental concept in network science and control theory, and its explicit discussion can significantly deepen the interpretation of our results and outline valuable future directions. We address this in three parts, corresponding to the structure, protocol, and estimator design.
1. Symmetry in Network Structure: In the system model formulated in Section 2, the state matrices x i ( l ) ( n ) describing the internal dynamics of individual nodes are not assumed to be symmetric. This reflects the general case where nodal dynamics can be arbitrary. However, a key feature of our multiplex network model is that the inter-layer coupling matrices are symmetric. This symmetry in coupling is both physically reasonable (representing undirected, reciprocal interactions between layers) and mathematically consequential. It implies that the overall network dynamics possess a certain structural regularity. While our current analysis and H estimator design do not explicitly exploit this coupling symmetry, they establish a foundation. The presence of symmetric coupling does not negatively impact the estimation performance guarantees provided by our theorems; rather, it represents a structural property that could be leveraged in future extensions to simplify analysis or design.
2. Symmetry in the Protocol (RAP): The Random Access Protocol (RAP), with its assumption of simultaneous access for corresponding nodes across all layers, introduces a strong layer-wise operational symmetry. This scheduling symmetry is a deliberate simplification that makes the stochastic analysis tractable. It effectively treats all layers equally at each transmission instant, creating a periodic, symmetric pattern in the communication constraints. This symmetry is embedded in the Bernoulli and Markov chain models governing the protocol. While we currently use this property to derive expectations (e.g., in the Lyapunov analysis), a deeper exploitation—such as using it to factor the problem into identical, lower-dimensional sub-problems—remains an open and promising avenue for reducing computational complexity in large-scale designs.
3. Symmetry as a Design Principle for Scalability: The current estimator design assigns independent gain matrices to each estimated node, without imposing symmetry constraints. For a general asymmetric system, this is necessary for optimal performance. However, in the important special case where nodes within the same layer (or corresponding nodes across symmetric layers) possess identical or highly similar dynamics ( x i ( l ) ( n ) matrices) and experience symmetric coupling, one could rigorously impose symmetric estimator gains. That is, U i ( l ) ( n ) = U j ( l ) ( n ) for symmetric nodes i and j. This would transform the design problem from a fully unstructured one to a structured and equitable control problem, dramatically reducing the number of free parameters and enhancing scalability. Our current framework provides the necessary stability and performance conditions; future work could incorporate additional equality constraints ( U i ( l ) ( n ) = U j ( l ) ( n ) ) into these conditions to explicitly design symmetric, scalable estimators. This represents a direct and powerful bridge between our robust H approach and the field of symmetric/equitable control of complex networks.
4. Future Work: A dedicated study will be conducted to quantify the impact of network symmetry on H estimation performance and computational complexity. This work will systematically compare symmetric vs. asymmetric multiplex configurations to determine if, and to what extent, structural symmetry can be exploited to achieve better disturbance attenuation or a more scalable design.

6. Conclusions

This paper comprehensively addresses the extensive number and intricate complexity of MNs, utilizing measurement data from a selected subset of nodes. Within the framework of the random access protocol (RAP), this study investigates the finite-time state estimation problem for MNs, with particular attention to the impacts of time delay characteristics and sensor saturation constraints. RAP employs Markov chains to model the node behavior of each layer in MNs’ output at every moment and uses Bernoulli-distributed random variables to characterize the network’s communication delay. Based on the characteristics of the model, a well-structured Lyapunov functional is proposed. Subsequently, by employing matrix inequalities and other advanced techniques, sufficient conditions are rigorously established to ensure the system achieves H performance within the finite horizon. However, it should be noted that the derived sufficient conditions are predicated on the a priori knowledge of the gain parameters in the designed robust state estimators. Consequently, these parameters need to be determined through the solution of linear matrix inequalities. Finally, the numerical simulation experiments demonstrate the efficacy and practical applicability of the algorithm. A fundamental limitation of existing MN state estimation studies is their reliance on the unrealistic assumption of perfect sensor reliability, leaving the crucial problem of fault-tolerant estimation unaddressed. To address this critical issue, this study seeks to thoroughly investigate state estimation methods for MNs under sensor failure scenarios. Future work will explore the integration of data-driven learning techniques (e.g., graph neural networks and reinforcement learning) with the present model-based approach. This synergy aims to combine the theoretical robustness guarantees of the current framework with the scalability and adaptive learning capabilities of modern AI methods, addressing even more complex and large-scale network estimation scenarios. It will also focus on validating the proposed framework across a wider range of practical scenarios, including networks with different topologies, varying delay characteristics, and at larger scales, to further establish its robustness and general applicability.

Application Example

The theoretical framework proposed in this paper can be directly applied to a class of critical cyber–physical systems, specifically partially observable cooperative systems operating over multi-layer wireless networks. A representative example is the real-time status monitoring network for collaborative robotic arms in smart factories. In this scenario, multiple robotic arms (network nodes) transmit their saturation-constrained sensor measurements to an edge gateway over a shared wireless channel, regulated by a Markovian random access protocol. The transmitted data encounters random and time-varying transmission delays within the network, and due to factors such as occlusion or node dormancy, the gateway is able to receive measurements from only a subset of the nodes. The finite-horizon H state estimator design method proposed in this paper enables the synthesis of a protocol-aware and robust distributed filter for the system. This filter can operate on edge gateways and provide reliable state estimation for all robotic arms within a critical finite operation time window (such as an assembly cycle), even under the most adverse network conditions and sensor saturation, thereby providing a key information foundation for high-precision collaborative control, predictive maintenance, and dynamic collision avoidance.

Funding

This work is supported by the major project of science and technology research program of Chongqing Education Commission of China, grant no: KJZD-M201900601.

Data Availability Statement

Data is contained within the article.

Conflicts of Interest

The author declares no conflicts of interest.

References

  1. Gao, Z.; Liu, W. Improved graph convolutional neural networks-based cellular network fault diagnosis. Eksploat. Niezawodn. 2025, 27, 194672. [Google Scholar] [CrossRef]
  2. Dong, H.; Wang, H.; Lv, M.; Fan, W. Reliable communication scheme based on completely independent spanning trees in data center networks. IEEE Trans. Comput. 2025, 74, 2003–2016. [Google Scholar] [CrossRef]
  3. Guo, X.; Liu, Y.; Gong, D.; Liu, F. Dual graph convolutional networks for social network alignment. IEEE Trans. Big Data 2025, 11, 684–695. [Google Scholar] [CrossRef]
  4. Das, S.; Naderializadeh, N.; Ribeiro, A. Learning state-augmented policies for information routing in communication networks. IEEE Trans. Signal Process. 2025, 73, 204–218. [Google Scholar] [CrossRef]
  5. Yang, R.; Tian, H.; Wang, Z.; Wang, W.; Zhang, Y. Dynamical analysis and synchronization of complex network dynamic systems under continuous-time. Symmetry 2024, 16, 687. [Google Scholar] [CrossRef]
  6. Xue, T.; Liu, Y. State estimation based on measurement from a part of nodes for a delayed Itô type of complex network with Markovian mode-dependent parameters. Neurocomputing 2024, 600, 128188. [Google Scholar] [CrossRef]
  7. Xie, C.; Lu, X. Finite time hybrid synchronization of heterogeneous duplex complex networks via time-varying intermittent control. Chin. Phys. B 2025, 34, 040601. [Google Scholar] [CrossRef]
  8. Yang, X.; Li, A.; Zhu, Q. Dynamic periodic event-triggered control of stochastic complex networks with time-varying delays. Neural Netw. 2025, 190, 107659. [Google Scholar] [CrossRef]
  9. Ma, H.; Yang, C. Exponential synchronization of hyperbolic complex spatio-temporal networks with multi-weights. Mathematics 2022, 10, 2451. [Google Scholar] [CrossRef]
  10. Jia, T.; Chen, X.; He, L.; Zhao, F.; Qiu, J. Finite-time synchronization of uncertain fractional-order delayed memristive neural networks via adaptive sliding mode control and its application. Fractal Fract. 2022, 6, 502. [Google Scholar] [CrossRef]
  11. Sun, S.; Wei, X.; Zhang, H.; Hu, X. Finite-time pinning synchronization control for multi-layer complex networks. Int. J. Robust Nonlinear Control 2024, 34, 9153–9165. [Google Scholar] [CrossRef]
  12. Wang, L.; Li, Z.; Guo, G.; Kong, Z. Target controllability of multi-layer networks with high-dimensional nodes. IEEE-CAA J. Autom. Sin. 2024, 11, 1999–2010. [Google Scholar] [CrossRef]
  13. Sun, S.; Wei, X.; Zhang, H.; Hu, X. Event-triggered-based finite-time pinning synchronization control for multi-layer complex networks. Trans. Inst. Meas. Control 2025, 47, 150–157. [Google Scholar] [CrossRef]
  14. Ren, Y.; Jiang, H.; Hu, C.; Chen, S. Synchronization of complex-valued multi-layer coupled systems by asynchronous intermittent event-triggered mechanisms. Appl. Math. Comput. 2024, 477, 128787. [Google Scholar] [CrossRef]
  15. Wu, Y.; Wang, X.; Jiang, G. Target layer state estimation in multi-layer complex dynamical networks considering nonlinear node dynamics. Chin. Phys. B 2024, 33, 040205. [Google Scholar] [CrossRef]
  16. Liang, L.; Cheng, J.; Yan, H.; Cao, J.; Park, J.H. Protocol-based state estimation for complex networks with nonhomogeneous sojourn probabilities. IEEE Trans. Syst. Man Cybern. Syst. 2024, 54, 4381–4390. [Google Scholar] [CrossRef]
  17. Wang, C.; Shi, M. Set-membership estimation for complex networks under flexray protocol based on the proportional-integral observer with probability constraint. IEEE Access 2025, 13, 19075–19084. [Google Scholar] [CrossRef]
  18. Hu, S.; Lu, S.; Song, Y.; Chen, M. Distributed filtering for complex networks under multi-component round-robin protocol and packet-length-dependent lossy network. Int. J. Control Autom. Syst. 2025, 23, 1674–1684. [Google Scholar] [CrossRef]
  19. Zha, L.; Miao, J.; Liu, J.; Xie, X.; Tian, E. Resilient recursive filter design for complex networks with event-triggering random access scheme and random coupling strengths. IEEE Syst. J. 2024, 18, 725–736. [Google Scholar] [CrossRef]
  20. Miao, J.; Zha, L.; Liu, J.; Xie, X.; Tian, E. Adaptive-frequency event-based approach to finite horizon state estimation for complex networks using multi-channel random access protocol. J. Frankl. Inst. 2024, 361, 106838. [Google Scholar] [CrossRef]
  21. Du, F.; Lu, J.; Zhang, Q. Estimating the region of attraction on fractional-order complex networks with time-varying delay. Math. Comput. Simul. 2025, 234, 438–458. [Google Scholar] [CrossRef]
  22. Xie, C.; Zhang, Y.; Wei, Q. Finite time internal and external synchronisation control for multi-layer complex networks with multiple time-varying delays via rapid response intermittent control. Int. J. Control 2025, 99, 176–186. [Google Scholar] [CrossRef]
  23. Wei, J.; Chen, Z. Finite and fixed time synchronization of multi-link complex-valued complex networks with time delay via hybrid control. Commun. Nonlinear Sci. Numer. Simul. 2025, 144, 108678. [Google Scholar] [CrossRef]
  24. Wu, X.; Bao, H. H state estimation for multiplex networks with randomly occurring sensor saturations. Appl. Math. Comput. 2023, 437, 127538. [Google Scholar] [CrossRef]
  25. Qi, H.; Wu, H.; Zheng, X. Event-triggered filtering for complex networks subject to random coupling strength and missing measurements: A partial-nodes accessible case. J. Frankl. Inst. 2024, 361, 106991. [Google Scholar] [CrossRef]
  26. Hou, N.; Dong, H.; Wang, Z.; Liu, H. A partial-node-based approach to state estimation for complex networks with sensor saturations under random access protocol. IEEE Trans. Neural Netw. Learn. Syst. 2021, 32, 5167–5178. [Google Scholar] [CrossRef]
  27. Lin, N.; Chen, D.; Hu, J.; Jia, C.; Yu, H. Partial-nodes-based state estimation for state-saturated complex networks with random mixed couplings under dynamic event-triggered protocol. Int. J. Adapt. Control Signal Process. 2024, 37, 1203–1225. [Google Scholar] [CrossRef]
  28. Lin, M.; Shen, Q.; Liu, C.; Peng, H.; Xu, Y. Partial-node-based resilient set-membership filtering for output-coupled complex networks with event-triggered mechanisms. Int. J. Robust Nonlinear Control 2024, 34, 5555–5569. [Google Scholar] [CrossRef]
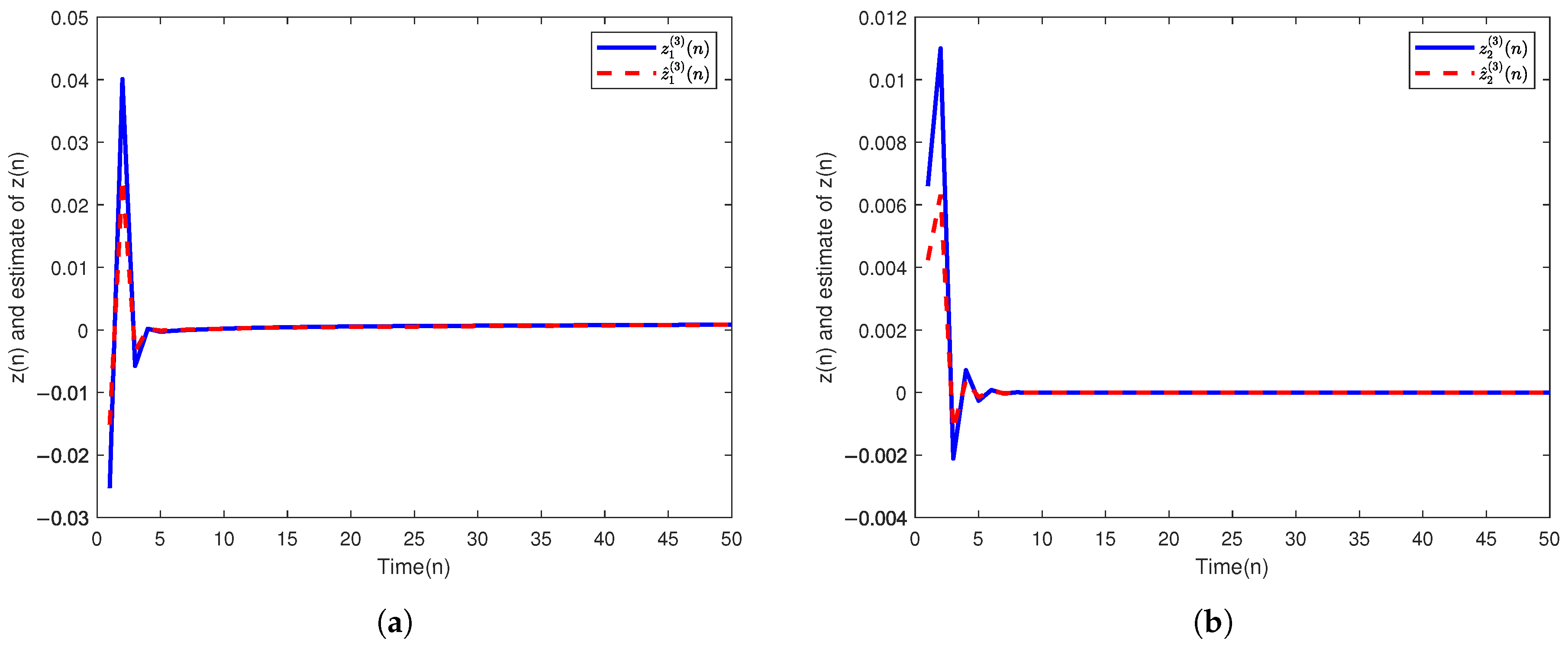
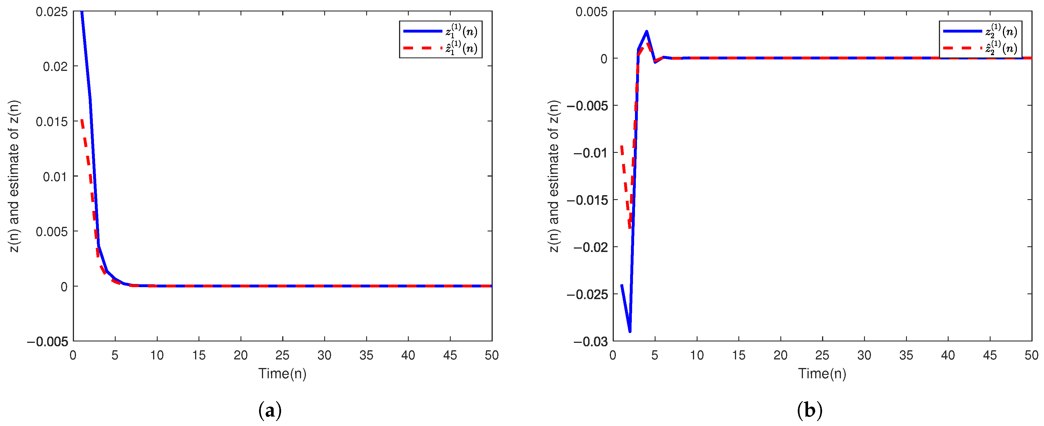
Figure 1. (a) The output z 1 1 and the estimation z ^ 1 1 . (b) The output z 2 1 and the estimation z ^ 2 1 .
Figure 1. (a) The output z 1 1 and the estimation z ^ 1 1 . (b) The output z 2 1 and the estimation z ^ 2 1 .
Symmetry 18 00249 g001
Figure 2. (a) The output z 3 1 and the estimation z ^ 3 1 . (b) The output z 4 1 and the estimation z ^ 4 1 .
Figure 2. (a) The output z 3 1 and the estimation z ^ 3 1 . (b) The output z 4 1 and the estimation z ^ 4 1 .
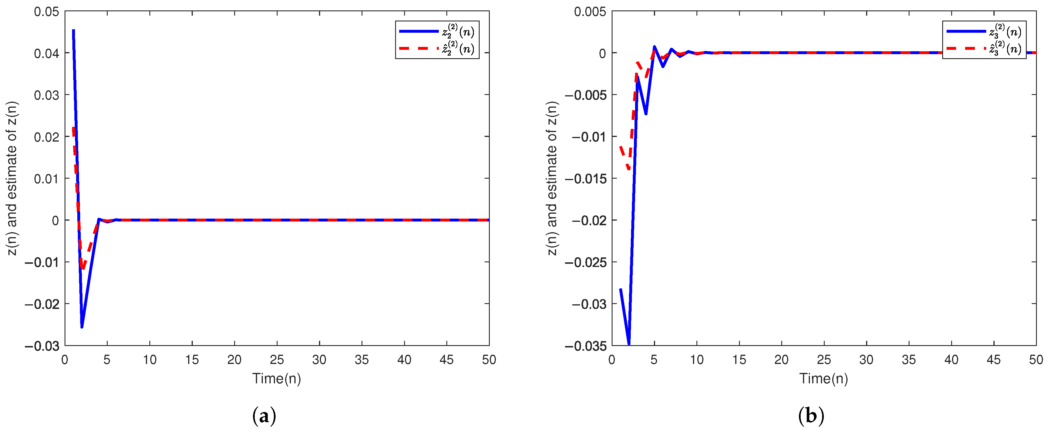
Symmetry 18 00249 g002
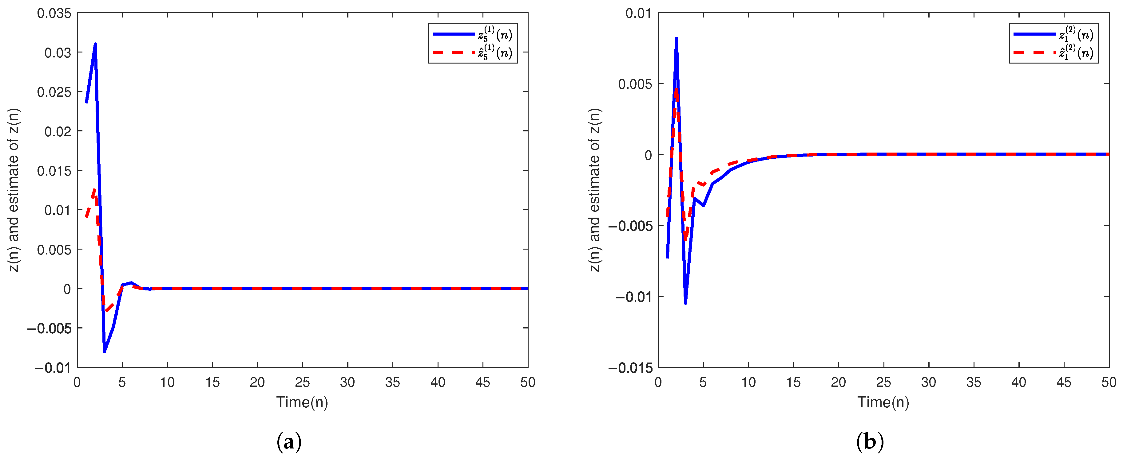
Figure 3. (a) The output z 5 1 and the estimation z ^ 5 1 . (b) The output z 1 2 and the estimation z ^ 1 2 .
Figure 3. (a) The output z 5 1 and the estimation z ^ 5 1 . (b) The output z 1 2 and the estimation z ^ 1 2 .
Symmetry 18 00249 g003
Figure 4. (a) The output z 2 2 and the estimation z ^ 2 2 . (b) The output z 3 2 and the estimation z ^ 3 2 .
Figure 4. (a) The output z 2 2 and the estimation z ^ 2 2 . (b) The output z 3 2 and the estimation z ^ 3 2 .
Symmetry 18 00249 g004
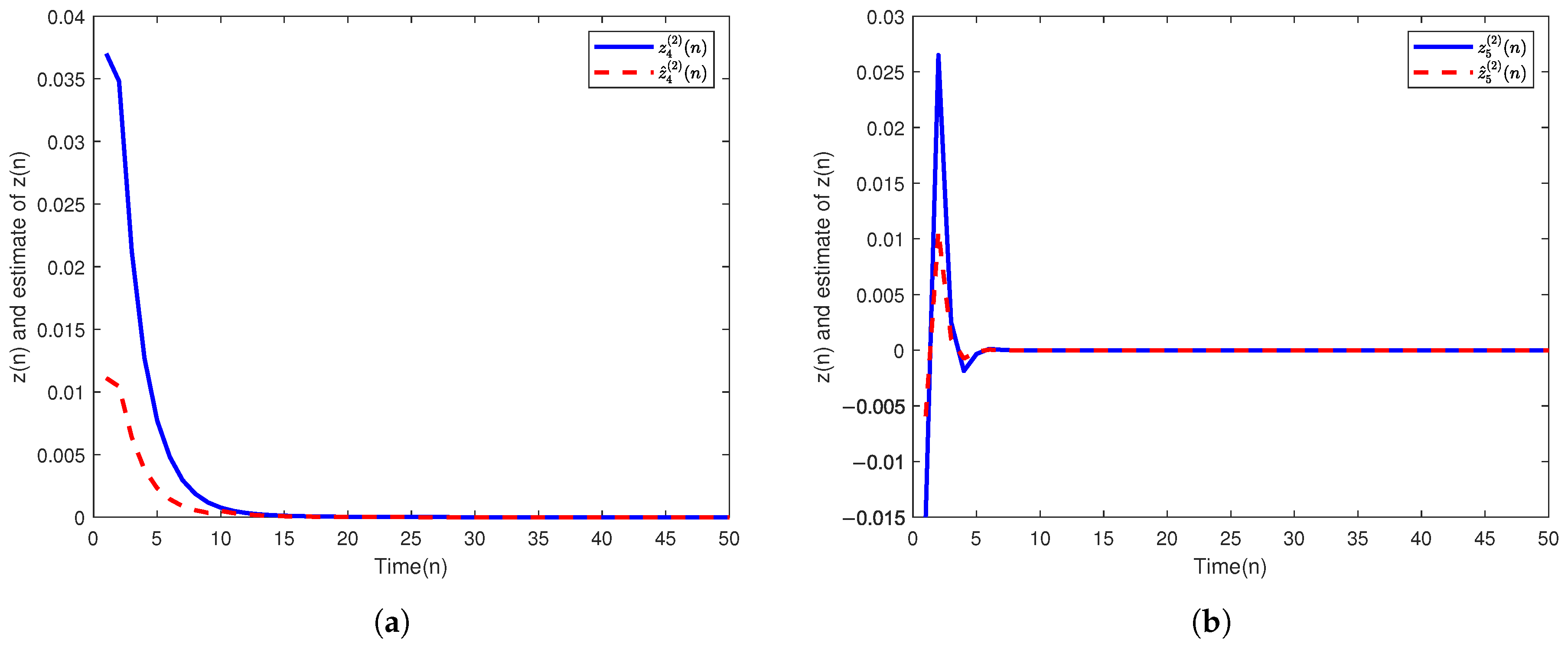
Figure 5. (a) The output z 4 2 and the estimation z ^ 4 2 . (b) The output z 5 2 and the estimation z ^ 5 2 .
Figure 5. (a) The output z 4 2 and the estimation z ^ 4 2 . (b) The output z 5 2 and the estimation z ^ 5 2 .
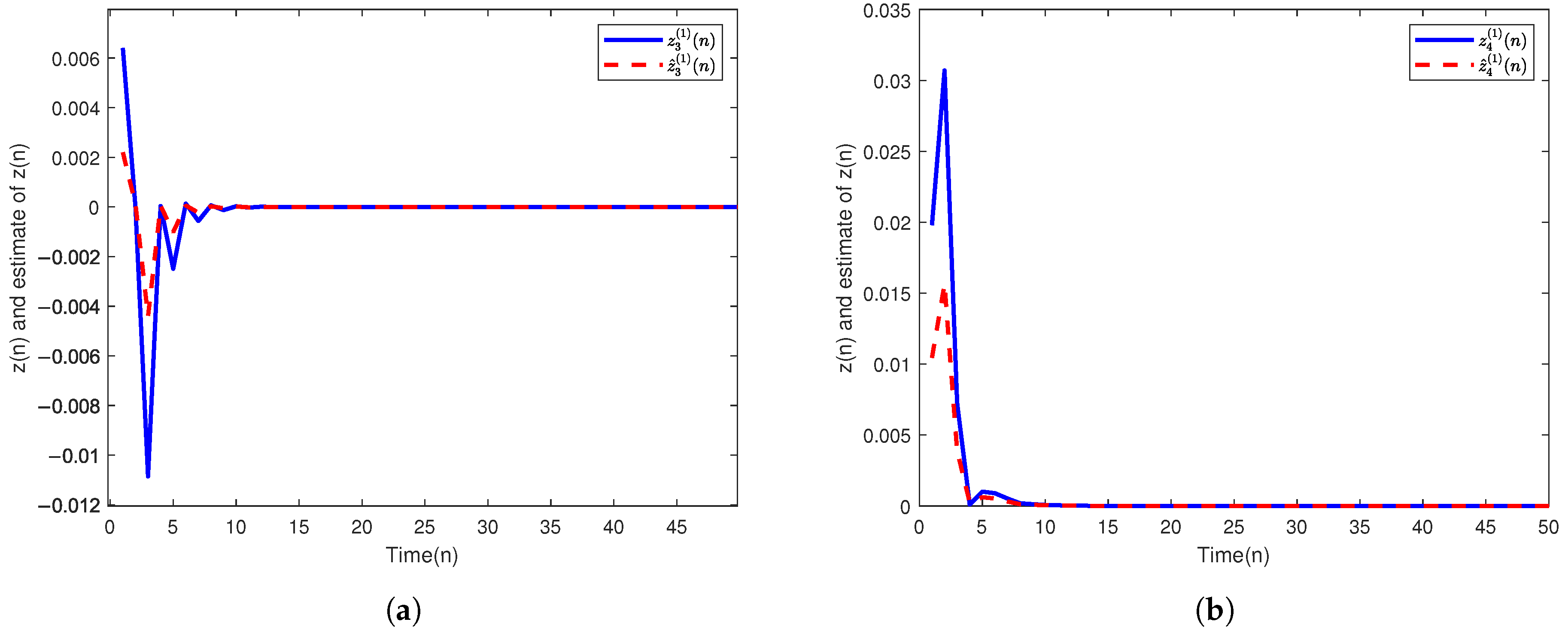
Symmetry 18 00249 g005
Figure 6. (a) The output z 1 3 and the estimation z ^ 1 3 . (b) The output z 2 3 and the estimation z ^ 2 3 .
Figure 6. (a) The output z 1 3 and the estimation z ^ 1 3 . (b) The output z 2 3 and the estimation z ^ 2 3 .
Symmetry 18 00249 g006
Figure 7. (a) The output z 3 3 and the estimation z ^ 3 3 . (b) The output z 4 3 and the estimation z ^ 4 3 .
Figure 7. (a) The output z 3 3 and the estimation z ^ 3 3 . (b) The output z 4 3 and the estimation z ^ 4 3 .
Symmetry 18 00249 g007
Figure 8. (a) The output z 5 3 and the estimation z ^ 5 3 . (b) Estimation error comparison with respect to symmetry.
Figure 8. (a) The output z 5 3 and the estimation z ^ 5 3 . (b) Estimation error comparison with respect to symmetry.
Symmetry 18 00249 g008
Disclaimer/Publisher’s Note: The statements, opinions and data contained in all publications are solely those of the individual author(s) and contributor(s) and not of MDPI and/or the editor(s). MDPI and/or the editor(s) disclaim responsibility for any injury to people or property resulting from any ideas, methods, instructions or products referred to in the content.

Share and Cite

MDPI and ACS Style

Shu, H. Finite-Horizon State Estimation for Multiplex Networks with Random Delays and Sensor Saturations Under Partial Measurements. Symmetry 2026, 18, 249. https://doi.org/10.3390/sym18020249

AMA Style

Shu H. Finite-Horizon State Estimation for Multiplex Networks with Random Delays and Sensor Saturations Under Partial Measurements. Symmetry. 2026; 18(2):249. https://doi.org/10.3390/sym18020249

Chicago/Turabian Style

Shu, Hanqi. 2026. "Finite-Horizon State Estimation for Multiplex Networks with Random Delays and Sensor Saturations Under Partial Measurements" Symmetry 18, no. 2: 249. https://doi.org/10.3390/sym18020249

APA Style

Shu, H. (2026). Finite-Horizon State Estimation for Multiplex Networks with Random Delays and Sensor Saturations Under Partial Measurements. Symmetry, 18(2), 249. https://doi.org/10.3390/sym18020249

Note that from the first issue of 2016, this journal uses article numbers instead of page numbers. See further details here.

Article Metrics

Back to TopTop