Nonreciprocal Flow of Fluctuations, Populations and Correlations Between Doubly Coupled Bosonic Modes
Abstract
1. Introduction
2. Doubly Coupled Bosonic Modes
3. Dynamics of the Doubly Coupled Bosonic Modes
4. Exponential Amplification Regime,
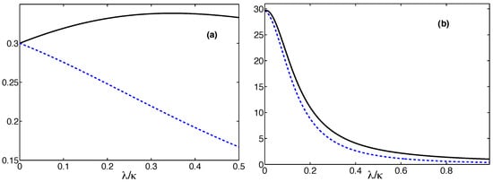
4.1. Two-Photon Correlations Inside the Modes
4.2. Correlations Between the Modes
5. Oscillatory Regime
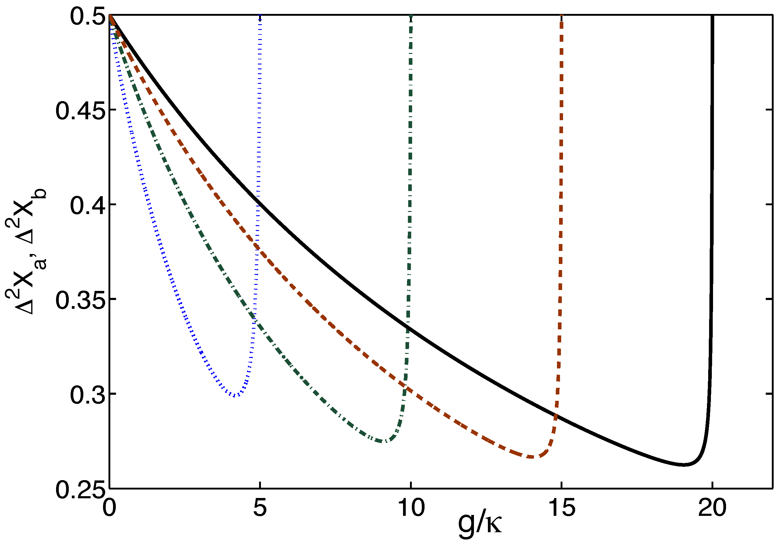
5.1. Fluctuation Properties of the Modes
5.2. Two-Photon Correlations Inside the Modes
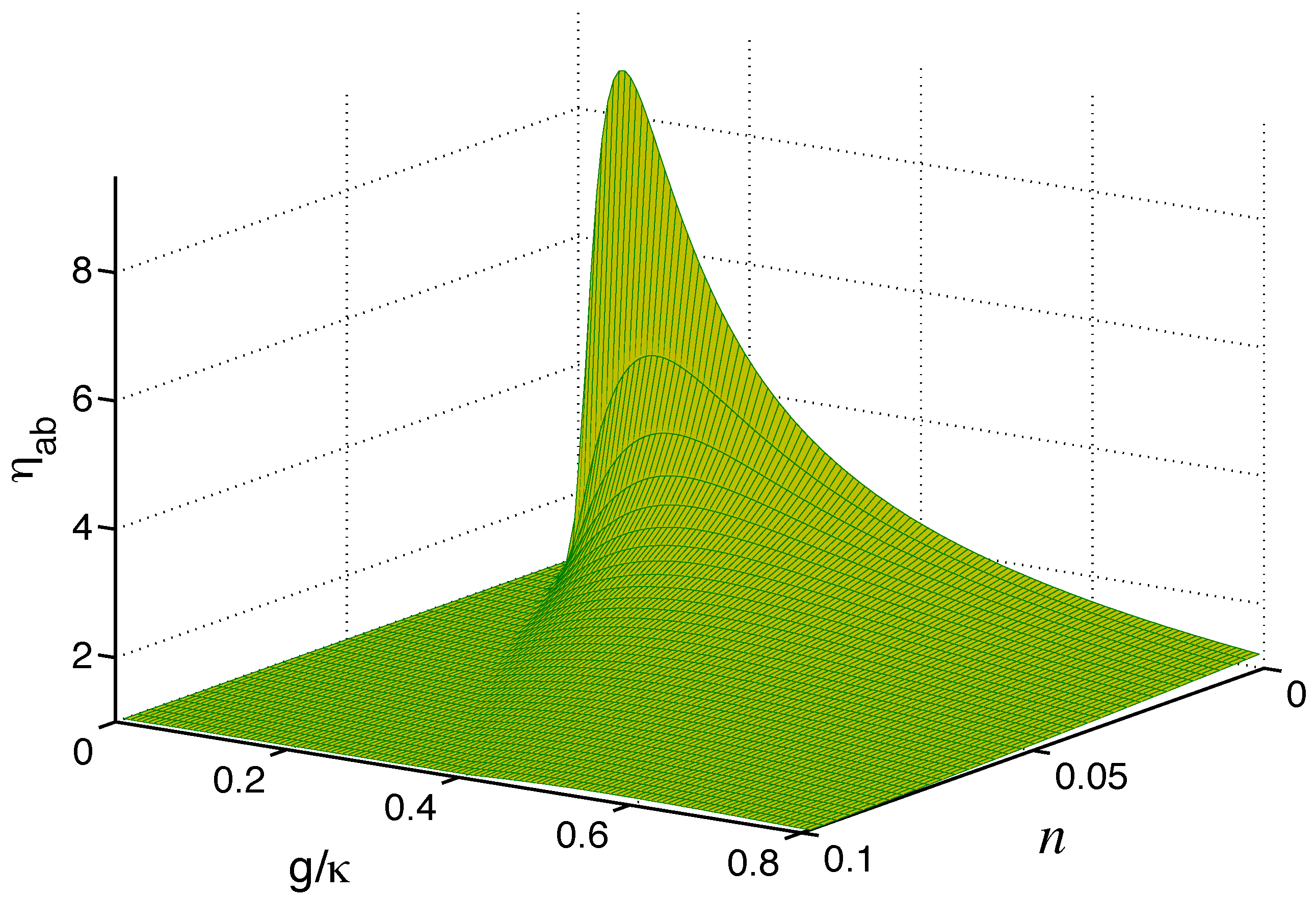
5.3. Correlations Between the Modes
6. Discussion and Conclusions
Funding
Data Availability Statement
Conflicts of Interest
Appendix A
References
- Heiss, W.D. The physics of exceptional points. J. Phys. A Math. Theor. 2012, 45, 444016. [Google Scholar] [CrossRef]
- Miri, M.A.; Alu, A. Exceptional points in optics and photonics. Science 2019, 363, 7709. [Google Scholar] [CrossRef] [PubMed]
- Ozdermir, S.K.; Rotter, S.; Nori, F.; Yang, L. Parity–time symmetry and exceptional points in photonics. Nat. Mater. 2019, 18, 783. [Google Scholar] [CrossRef]
- Arkhipov, I.I.; Miranowicz, A.; Minganti, F.; Nori, F. Quantum and semiclassical exceptional points of a linear system of coupled cavities with losses and gain within the Scully-Lamb laser theory. Phys. Rev. A 2020, 101, 013812. [Google Scholar] [CrossRef]
- Bergholtz, E.J.; Budich, J.C.; Kunst, F.K. Exceptional topology of non-hermitian systems. Rev. Mod. Phys. 2021, 93, 015005. [Google Scholar] [CrossRef]
- Ding, K.; Fang, C.; Ma, G. Non-hermitian topology and exceptional-point geometries. Nat. Rev. Phys. 2022, 4, 745. [Google Scholar] [CrossRef]
- El-Ganainy, R.; Makris, K.G.; Khajavikhan, M.; Musslimani, Z.H.; Rotter, S.; Christodoulides, D.N. Non-Hermitian physics and PT symmetry. Nat. Phys. 2018, 14, 11. [Google Scholar] [CrossRef]
- Perina, J.J.; Miranowicz, A.; Kalaga, J.K.; Leoński, W. Unavoidability of nonclassicality loss in PT-symmetric systems. Phys. Rev. A 2023, 108, 033512. [Google Scholar] [CrossRef]
- Akram, J.; Zheng, C. Theoretical investigation of dynamics and concurrence of entangled PT and anti-PT symmetric polarized photons. Sci. Rep. 2023, 13, 8542. [Google Scholar] [CrossRef]
- Liu, Z.; Zheng, C. Non-Hermitian quantum Renyi entropy dynamics in anyonic-PT symmetric systems. Symmetry 2024, 16, 584. [Google Scholar]
- Perina, J.J.; Bartkiewicz, K.; Chimczak, G.; Kowalewska-Kudlaszyk, A.; Miranowicz, A.; Kalaga, J.K.; Leoński, W. Quantumness and its hierarchies in PT-symmetric down-conversion models. Phys. Rev. A 2025, 112, 043545. [Google Scholar] [CrossRef]
- Barzanjeh, S.; Xuereb, A.; Alu, A.; Mann, S.A.; Nefedkin, N.; Peano, V.; Rabl, P. Nonreciprocity in quantum technology. arXiv 2025, arXiv:2508.03945. [Google Scholar] [CrossRef]
- Malz, D.; Toth, L.D.; Bernier, N.R. Quantum-limited directional amplifiers with optomechanics. Phys. Rev. Lett. 2018, 120, 023601. [Google Scholar] [CrossRef] [PubMed]
- McDonald, A.; Pereg-Barnea, T.; Clerk, A.A. Phase-dependent chiral transport and effective non-Hermitian dynamics in a bosonic Kitaev-Majorana chain. Phys. Rev. X 2018, 8, 041031. [Google Scholar] [CrossRef]
- Wang, Y.X.; Clerk, A.A. Non-Hermitian dynamics without dissipation in quantum systems. Phys. Rev. 2019, 99, 063834. [Google Scholar] [CrossRef]
- Flynn, V.P.; Cobanera, E.; Viola, L. Deconstructing effective non-Hermitian dynamics in quadratic bosonic Hamiltonians. New J. Phys. 2020, 22, 083004. [Google Scholar] [CrossRef]
- Flynn, V.P.; Cobanera, E.; Viola, L. Topology by dissipation: Majorana bosons in metastable quadratic Markovian dynamics. Phys. Rev. Lett. 2021, 127, 245701. [Google Scholar] [CrossRef]
- del Piero, J.; Slim, J.J.; Verhagen, E. Non-Hermitian chiral phononics through optomechanically induced squeezing. Nature 2022, 606, 82. [Google Scholar] [CrossRef]
- Wanjura, C.C.; Slim, J.J.; del Pino, J.; Brunelli, M.; Verhagen, E.; Nunnenkamp, A. Quadrature nonreciprocity: Unidirectional bosonic transmission without breaking time-reversal symmetry. Nat. Commun. 2023, 7, 27. [Google Scholar]
- Slim, J.J.; Wanjura, C.C.; Brunelli, M.; del Pino, J.; Nunnenkamp, A.; Verhagen, E. Optomechanical realization of the bosonic Kitaev chain. Nature 2024, 627, 767. [Google Scholar] [CrossRef]
- Yu, C.; Tian, M.; Kong, N.; Fadel, M.; Huang, X.; He, Q. Exceptional-point-induced nonequilibrium entanglement dynamics in bosonic networks. arXiv 2025, arXiv:2502.04639. [Google Scholar] [CrossRef]
- Barzanjeh, S.; Aquilina, M.; Xuereb, A. Manipulating the flow of thermal noise in quantum devices. Phys. Rev. Lett. 2018, 120, 060601. [Google Scholar] [CrossRef] [PubMed]
- Ahmadi, B.; Mazurek, P.; Horodecki, P.; Barzanjeh, S. Nonreciprocal quantum batteries. Phys. Rev. Lett. 2024, 132, 210402. [Google Scholar] [CrossRef] [PubMed]
- Dimer, F.; Estienne, B.; Parkins, A.S.; Carmichael, H.J. Proposed realization of the Dicke-model quantum phase transition in an optical cavity QED system. Phys. Rev. A 2007, 75, 013804. [Google Scholar] [CrossRef]
- Wasilewski, W.; Fernholz, T.; Jensen, K.; Madsen, L.S.; Krauter, H.; Muschik, C.; Polzik, E.S. Generation of two-mode squeezed and entangled light in a single temporal and spatial mode. Opt. Express 2009, 17, 14444. [Google Scholar] [CrossRef]
- Ruesink, F.; Miri, M.A.; Alu, A.; Verhagen, E. Nonreciprocity and magnetic-free isolation based on optomechanical interactions. Nat. Commun. 2016, 7, 13662. [Google Scholar] [CrossRef]
- Sliwa, K.M.; Hatridge, M.; Narla, A.; Shankar, S.; Frunzio, L.; Schoelkopf, R.J.; Devoret, M.H. Reconfigurable Josephson circulator/directional amplifier. Phys. Rev. X 2015, 5, 041020. [Google Scholar] [CrossRef]
- Zhang, Y.; Lester, B.J.; Gao, Y.Y.; Jiang, L.; Schoelkopf, R.J.; Girvin, S.M. Engineering bilinear mode coupling in circuit QED: Theory and experiment. Phys. Rev. A 2019, 99, 012314. [Google Scholar] [CrossRef]
- Vimal, V.K.; Subrahmanyam, V. Quantum correlations and entanglement in a Kitaev-type spin chain. Phys. Rev. A 2018, 98, 052303. [Google Scholar] [CrossRef]
- Vimal, V.K.; Cayao, J. Entanglement dynamics in minimal Kitaev chains. arXiv 2025, arXiv:2507.17586. [Google Scholar] [CrossRef]
- McDonald, A.; Clerk, A.A. Exponentially-enhanced quantum sensing with non-Hermitian lattice dynamics. Nat. Commun. 2020, 11, 5382. [Google Scholar] [CrossRef]
- Luo, X.W.; Zhang, C.; Du, S. Quantum squeezing and sensing with pseudo-anti-parity-time symmetry. Phys. Rev. Lett. 2022, 128, 173602. [Google Scholar] [CrossRef]
- Hu, Y.C.; Hughes, T.L. Absence of topological insulator phases in non-Hermitian PT-symmetric Hamiltonians. Phys. Rev. B 2011, 84, 153101. [Google Scholar] [CrossRef]
- Malzard, S.; Poli, C.; Schomerus, H. Topologically protected defect states in open photonic systems with non-Hermitian charge-conjugation and parity-time symmetry. Phys. Rev. Lett. 2015, 115, 200402. [Google Scholar] [CrossRef] [PubMed]
- Peano, V.; Houde, M.; Brendel, C.; Marquardt, F.; Clerk, A.A. Topological phase transitions and chiral inelastic transport induced by the squeezing of light. Nat. Commun. 2016, 7, 10779. [Google Scholar] [CrossRef] [PubMed]
- Gong, Z.; Ashida, Y.; Kawabata, K.; Takasan, K.; Higashikawa, S.; Ueda, M. Topological phases of non-Hermitian systems. Phys. Rev. X 2018, 8, 031079. [Google Scholar] [CrossRef]
- Wanjura, C.C.; Brunelli, M.; Nunnenkamp, A. Topological framework for directional amplification in driven-dissipative cavity arrays. Nat. Commun. 2020, 11, 3149. [Google Scholar] [CrossRef]
- Drummond, P.D.; Ficek, Z. Quantum Squeezing; Springer: New York, NY, USA, 2004. [Google Scholar]
- Ficek, Z.; Wahiddin, M.R. Quantum Optics for Beginners; Pan Stanford: Singapore, 2014. [Google Scholar]
- Mandel, L.; Wolf, E. Optical Coherence and Quantum Optics; Cambridge University Press: Cambridge, UK, 1995. [Google Scholar]
- Monken, C.H.; Garuccio, A.; Branning, D.; Torgerson, J.R.; Narducci, F.; Mandel, L. Generating mutual coherence from incoherence with the help of a phase-conjugate mirror. Phys. Rev. A 1996, 53, 1782. [Google Scholar] [CrossRef][Green Version]
- Mandel, L. Anticoherence. Pure Appl. Opt. 1998, 7, 927. [Google Scholar] [CrossRef]
- Sun, L.H.; Li, G.X.; Ficek, Z. First-order coherence versus entanglement in a nanomechanical cavity. Phys. Rev. A 2012, 85, 022327. [Google Scholar] [CrossRef]
- Heuer, A.; Menzel, R.; Milonni, P. Complementarity in biphoton generation with stimulated or induced coherence. Phys. Rev. A 2015, 92, 033834. [Google Scholar] [CrossRef]
- Menzel, R.; Heuer, A.; Milonni, P. Entanglement, complementarity, and vacuum fields in spontaneous parametric down-conversion. Atoms 2019, 7, 27. [Google Scholar] [CrossRef]
- Sun, L.H.; Liu, Y.; Li, C.; Zhang, K.K.; Yang, W.X.; Ficek, Z. Coherence and anticoherence induced by thermal fields. Entropy 2022, 24, 692. [Google Scholar] [CrossRef] [PubMed]
- Mollow, B.R.; Glauber, R.J. Quantum theory of parametric amplification. I. Phys. Rev. 1967, 160, 1076. [Google Scholar] [CrossRef]
- Mollow, B.R.; Glauber, R.J. Quantum theory of parametric amplification. II. Phys. Rev. 1967, 160, 1097. [Google Scholar] [CrossRef]
- Barnett, S.M.; Knight, P.L. Thermofield analysis of squeezing and statistical mixtures in quantum optics. J. Opt. Soc. Am. B 1985, 2, 467. [Google Scholar] [CrossRef]
- Walls, D.F. Squeezed states of light. Nature 1983, 306, 141. [Google Scholar] [CrossRef]
- Collett, M.J.; Gardiner, C.W. Squeezing of intracavity and traveling-wave light fields produced in parametric amplification. Phys. Rev. A 1984, 30, 1386. [Google Scholar] [CrossRef]
- Loudon, R.; Knight, P.L. Squeezed light. J. Mod. Opt. 1987, 34, 709. [Google Scholar] [CrossRef]
- Zaheer, K.; Zubairy, M.S. Squeezed states of the radiation field. Adv. At. Mol. Opt. Phys. 1990, 28, 143. [Google Scholar]
- Dalton, B.J.; Ficek, Z.; Swain, S. Atoms in squeezed light fields. J. Mod. Opt. 1999, 46, 379. [Google Scholar] [CrossRef]
- Gardiner, C.W.; Zoller, P. Quantum Noise; Springer: Berlin/Heidelberg, Germany, 2000. [Google Scholar]
- Agarwal, G.S. Anomalous coherence functions of the radiation fields. Phys. Rev. A 1986, 33, 11584. [Google Scholar] [CrossRef] [PubMed]
- Lahteenmaki, P.; Paraoanu, G.S.; Hassel, J.; Hakonen, P.J. Coherence and multimode correlations from vacuum fluctuations in a microwave superconducting cavity. Nat. Commun. 2016, 7, 12548. [Google Scholar] [CrossRef] [PubMed]
- Horodecki, M.; Horodecki, P.; Horodecki, R. Separability of mixed states: Necessary and sufficient conditions. Phys. Lett. A 1996, 223, 1. [Google Scholar] [CrossRef]
- Simon, R. Peres-Horodecki separability criterion for continuous variable systems. Phys. Rev. Lett. 2000, 84, 2726. [Google Scholar] [CrossRef]
- Duan, L.; Giedke, G.; Cirac, J.; Zoller, P. Inseparability criterion for continuous variable systems. Phys. Rev. Lett. 2000, 84, 2722. [Google Scholar] [CrossRef]
- Giovanneti, V.; Mancini, S.; Vitali, D.; Tombesi, P. Characterizing the entanglement of bipartite quantum systems. Phys. Rev. A 2003, 67, 022320. [Google Scholar] [CrossRef]
- Stobińska, M.; Wódkiewicz, K. Witnessing entanglement with second-order interference. Phys. Rev. A 2005, 71, 032304. [Google Scholar] [CrossRef][Green Version]
- Hillery, M.; Zubairy, M. Entanglement conditions for two-mode states. Phys. Rev. Lett. 2006, 96, 050503. [Google Scholar] [CrossRef]
- Adesso, G.; Datta, A. Quantum versus classical correlations in Gaussian states. Phys. Rev. Lett. 2010, 105, 030501. [Google Scholar] [CrossRef]










Disclaimer/Publisher’s Note: The statements, opinions and data contained in all publications are solely those of the individual author(s) and contributor(s) and not of MDPI and/or the editor(s). MDPI and/or the editor(s) disclaim responsibility for any injury to people or property resulting from any ideas, methods, instructions or products referred to in the content. |
© 2026 by the author. Licensee MDPI, Basel, Switzerland. This article is an open access article distributed under the terms and conditions of the Creative Commons Attribution (CC BY) license.
Share and Cite
Ficek, Z. Nonreciprocal Flow of Fluctuations, Populations and Correlations Between Doubly Coupled Bosonic Modes. Symmetry 2026, 18, 214. https://doi.org/10.3390/sym18020214
Ficek Z. Nonreciprocal Flow of Fluctuations, Populations and Correlations Between Doubly Coupled Bosonic Modes. Symmetry. 2026; 18(2):214. https://doi.org/10.3390/sym18020214
Chicago/Turabian StyleFicek, Zbigniew. 2026. "Nonreciprocal Flow of Fluctuations, Populations and Correlations Between Doubly Coupled Bosonic Modes" Symmetry 18, no. 2: 214. https://doi.org/10.3390/sym18020214
APA StyleFicek, Z. (2026). Nonreciprocal Flow of Fluctuations, Populations and Correlations Between Doubly Coupled Bosonic Modes. Symmetry, 18(2), 214. https://doi.org/10.3390/sym18020214

