Numerical Simulation of the Dry Friction Constrained System Based on Coulomb Stick-Slip Motion
Abstract
1. Introduction
- (1)
- Dry friction force always impedes relative motion or its tendency, and sliding occurs suddenly regardless of contact deformation.
- (2)
- Static friction exists before sliding, where the body remains relatively stationary and in static balance. Static friction and dynamic friction are both proportional to the normal load, and the proportionality coefficients are called the static friction coefficient and sliding friction coefficient, respectively.
- (3)
- The friction coefficients are dependent on the material properties of the friction interface and independent of the relative velocity of motion.
2. A Single-Degree-of-Freedom DFCS and Its Response Characteristics
2.1. Dynamic Model and the Coulomb Stick-Slip Motion Analysis
2.2. Response Characteristics of the DFCS
3. Convergence Analysis of the Numerical Algorithm of the DFCS Considering Stick-Slip Motion
3.1. Analysis of Setting the Iteration Step Size of the Numerical Algorithm
3.2. Convergence Characteristics Analysis of the Numerical Algorithm Based on the Zero-Velocity Interval
4. Establishing the Criteria for Whether Stick-Slip Motion Is Taken into Account in Engineering Design
4.1. Analysis of the Decrease in Computational Efficiency Caused by Considering Stick-Slip Motion
4.2. Comparative Analysis of Simulation Results Considering Stick-Slip Motion and Not Considering It
4.2.1. Determination of External Parameters Affecting the Deviation of the Two Types of Numerical Results
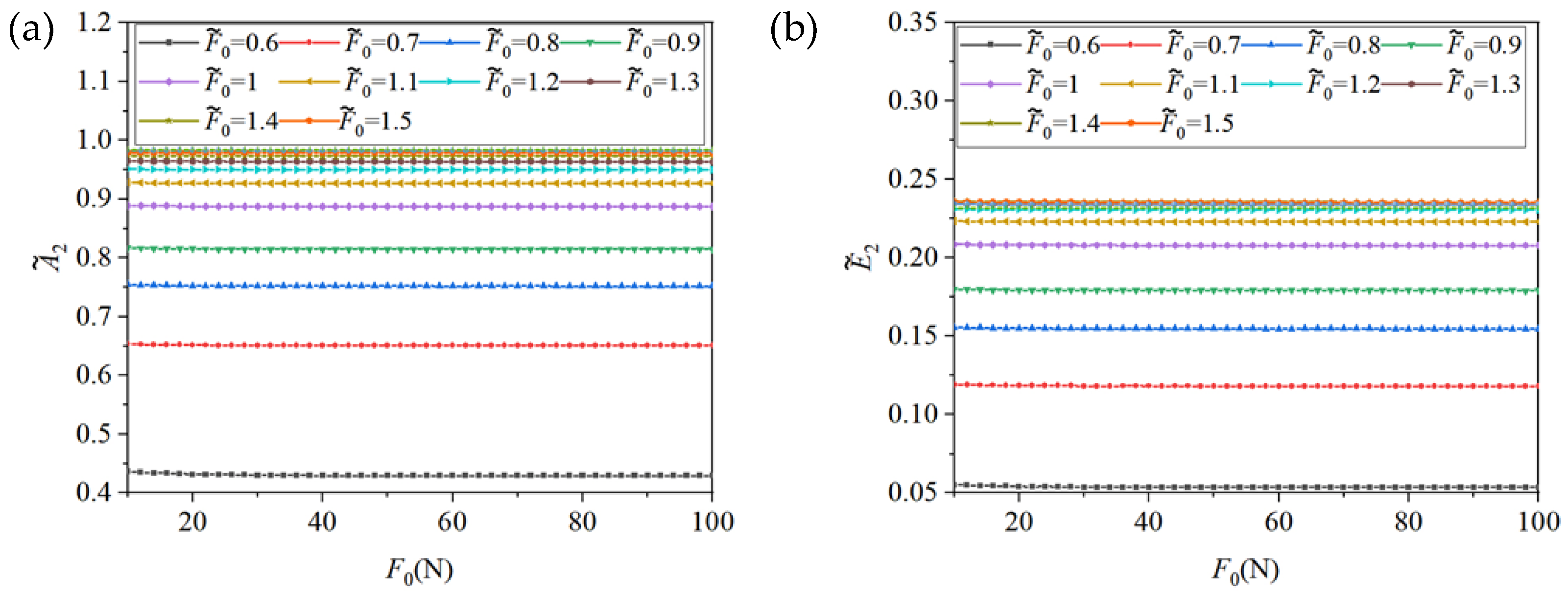
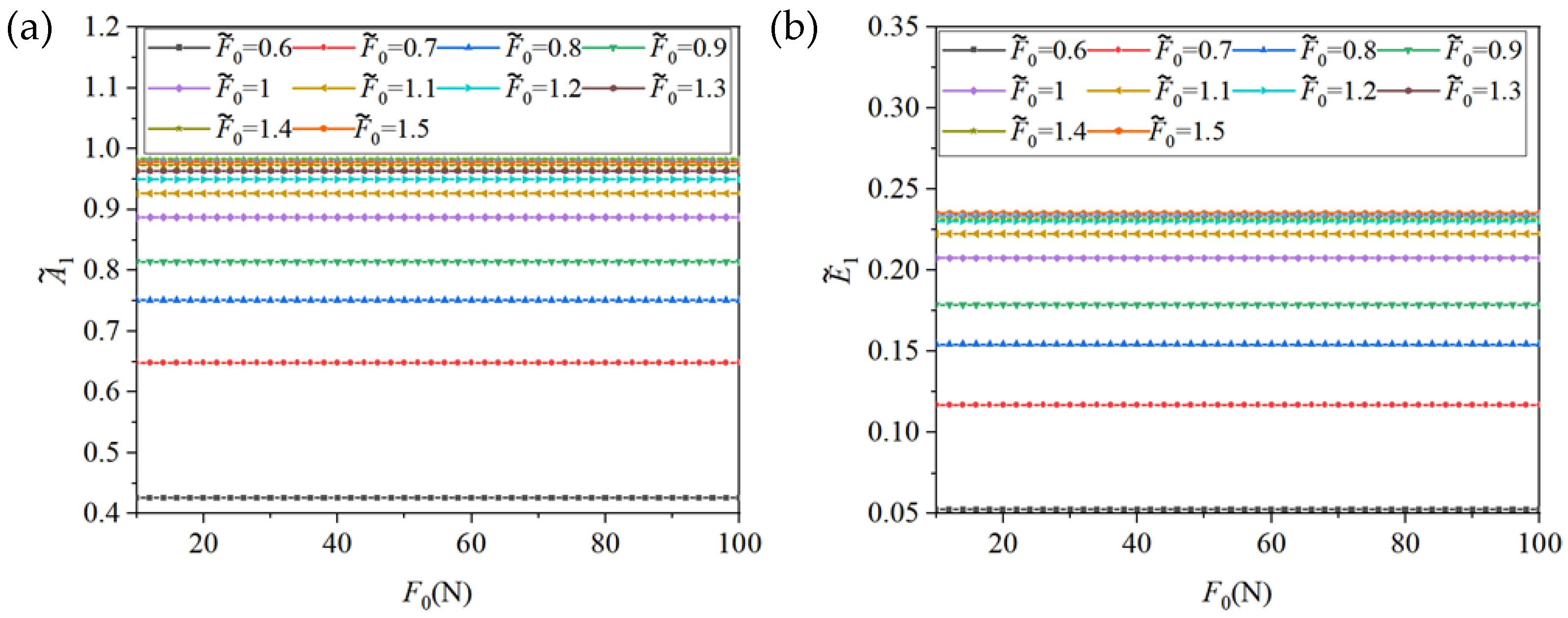
4.2.2. Deviation Analysis of the Simulation Results for Whether Stick-Slip Motion Is Considered
5. Discussion
6. Conclusions
- (1)
- When stick-slip motion is considered, simulation results show that optimization of the zero-velocity interval and step size can significantly improve the computational efficiency of the numerical algorithm.
- (2)
- When and , ; when and , , for this instance, stick-slip motion must be considered. When , reaches a maximum value of 18.69% and when , reaches a maximum value of 33.79%.
- (3)
- Compared with not considering stick-slip motion, considering it in the numerical algorithm increases the runtime by more than twice. The stick-slip motion does not need to be considered in the numerical algorithm of the engineering design within a wide range of the system’s external parameters, which can be determined by combining the requirements of computation accuracy. Identifying the parameter range that does not need to consider the stick-slip motion can significantly enhance the computational efficiency while maintaining the accuracy. However, this conclusion is based on a simple single-degree-of-freedom model. Further in-depth studies are needed for more complex situations.
- (4)
- Compared with considering stick-slip motion, not considering it may cause repeated jumps for the friction force around the zero velocity, which is the main reason for the calculation error, and considering stick-slip motion can enhance the calculation accuracy. The time proportion of the stick state in a steady time cycle mainly determines the deviation of the two types of simulation results.
Author Contributions
Funding
Data Availability Statement
Conflicts of Interest
Glossary/Nomenclature/Abbreviations
| Equivalent mass | Equivalent viscous damping | ||
| Equivalent stiffness | Dry friction force at the friction interface | ||
| Amplitude of external force | Frequency of external force | ||
| Displacement of mass relative to the fixed foundation | Coefficient of friction | ||
| The static friction force | External force | ||
| Magnitude of normal load | Relative velocity | ||
| Natural frequency | Zero-velocity interval | ||
| Frequency ratio | Displacement amplitude without considering friction force | ||
| Period of system’s steady response | Iteration step size | ||
| Dimensionless external force | Displacement amplitude considering stick-slip motion | ||
| Frequency ratio | The number of iterations in a period | ||
| Time for -th and -th step | Time point in dichotomy | ||
| Velocities at | Vibration energy of a steady period | ||
| Displacement amplitude corresponding to varying | Vibration energy corresponding to varying | ||
| Convergence error limits to two convergence criteria | Reduction rate of computational efficiency | ||
| Runtime corresponding to zero-velocity interval 8 × 10−4 m/s | Runtime corresponding to varying zero-velocity interval from | ||
| Displacement amplitude without considering stick-slip motion | Vibration energy without considering stick-slip motion | ||
| Vibration energy without considering friction force | Relative displacement amplitude without considering stick-slip motion | ||
| Vibration energy considering stick-slip motion | The difference rate of displacement amplitude whether stick-slip motion is considered | ||
| Relative displacement amplitude considering stick-slip motion | Relative vibration energy considering stick-slip motion | ||
| Relative vibration energy without considering the stick-slip motion | The difference rate of vibration energy whether stick-slip motion is considered | ||
| Runtime without considering stick-slip motion | Runtime considering stick-slip motion | ||
| The difference rate of runtime for whether stick-slip motion is considered | DFCS | dry friction constrained system. |
References
- Coulomb, C.A. Théorie des Machines Simples, en Ayant Égard au Frottement de Leurs Parties et à la Roideur des Cordages; Mémoires de l’Académie Royale des Sciences: Paris, France, 1785. [Google Scholar]
- Zheng, X.; Zhang, R.; Wang, Q. Comparison and analysis of two Coulomb friction models on the dynamic behavior of slider-crank mechanism with a revolute clearance joint. Appl. Math. Mech. 2018, 39, 1239–1258. [Google Scholar] [CrossRef]
- Li, Y.; Qian, L.; Chen, G.; Huang, W. Multiple clearance robustness optimization of a chain ramming machine based on a data-driven model. Nonlinear Dyn. 2023, 111, 13807–13828. [Google Scholar] [CrossRef]
- Rahmani, M.; Behdinan, K. Interaction of torque link freeplay and Coulomb friction nonlinearities in nose landing gear shimmy scenarios. Int. J. Nonlin. Mech. 2020, 119, 103338. [Google Scholar] [CrossRef]
- Jiang, Y.; Feng, G.; Tang, H.; Zhang, J.; Jiang, B. Effect of Coulomb friction on shimmy of nose landing gear under time-varying load. Tribol. Int. 2023, 188, 108828. [Google Scholar] [CrossRef]
- Song, J.; Jiang, H.; Meng, L.; Zang, Y. Earthquake Probability of the “Seismic Gap” on the Longmenshan Fault. Earthq. Res. China 2018, 32, 20–32. [Google Scholar]
- Yu, Z.; Hattori, K.; Zhu, K.; Fan, M.; Marchetti, D.; He, X.; Chi, C. Evaluation of Pre-Earthquake Anomalies of Borehole Strain Network by Using Receiver Operating Characteristic Curve. Remote Sens. 2021, 13, 515. [Google Scholar] [CrossRef]
- Wei, B.; Zuo, C.; He, X.; Jiang, L. Numeric investigation on scaling a pure friction isolation system for civil structures in shaking table model tests. Int. J. Nonlin. Mech. 2018, 98, 1–12. [Google Scholar] [CrossRef]
- Li, S.; Xiang, P.; Wei, B. Interface friction effects on scaling a vertical spring-viscous damper isolation system in a shaking table test. Structures 2021, 33, 1878–1891. [Google Scholar] [CrossRef]
- Si, M.; Wu, Y.F.; Wang, H. The seismic performance evaluation of unbonded laminated rubber bearings with end rotation. Structures 2023, 51, 926–935. [Google Scholar] [CrossRef]
- Tao, L.; Feng, Z.Q. Cushioning performance analysis of multilayered rubber materials with nonuniform friction coefficients of corrugated contact surface under the bipotential framework. Multibody Syst. Dyn. 2023, 76, 267–291. [Google Scholar] [CrossRef]
- Ebrahimi, H.; Ali, H.; Ghosh, R. Coulomb friction in twisting of biomimetic scale-covered substrate. Bioinspir. Biom. 2020, 15, 056013. [Google Scholar] [CrossRef]
- Ebrahimi, H.; Krsmanovic, M.; Ali, H.; Ghosh, R. Material-geometry interplay in damping of biomimetic scale beams. Appl. Phys. Lett. 2023, 123, 081701. [Google Scholar] [CrossRef]
- Nikhamkin, M.S.; Semenov, S.V.; Semenova, I.V.; Sazhenkov, N.A.; Mekhonoshin, G.V. Twin Shaft Rotor System Vibration Damping Experimental Investigation. Appl. Mech. Mater. 2015, 752–753, 918–921. [Google Scholar]
- Fan, X.; Liang, W.; Zheng, J.; Yang, Y.; Ma, H.; Fan, S.; Fu, S. Dynamic Characteristics of a Rotating Blade with a Dovetail Fixture. Machines 2023, 11, 643. [Google Scholar] [CrossRef]
- Den Hartog, J. Forced vibrations with combined coulomb and viscous friction. Trans. Am. Soc. Mech. Eng. 1931, 53, 107–115. [Google Scholar] [CrossRef]
- Earles, S.W.; Williams, E.J. A linearized analysis for frictionally damped systems. J. Sound Vib. 1972, 24, 445–458. [Google Scholar] [CrossRef]
- Duan, C.; Singh, R. Forced vibrations of a torsional oscillator with Coulomb friction under a periodically varying normal load. J. Sound Vib. 2009, 325, 499–506. [Google Scholar] [CrossRef]
- Allara, M. A model for the characterization of friction contacts in turbine blades. J. Sound Vib. 2009, 320, 527–544. [Google Scholar] [CrossRef]
- Xie, F.; Cui, C.; Ma, H.; Wen, B. An approach to calculate the dynamic response of shrouded blade with dry friction. J. Vib. Eng. 2018, 31, 110–117. [Google Scholar]
- Gastaldi, C.; Gross, J.; Scheel, M.; Berruti, T.M.; Krack, M. Modeling complex contact conditions and their effect on blade dynamics. In Proceedings of the ASME Turbo Expo 2020: Turbomachinery Technical Conference and Exposition, Virtual, 21–25 September 2020. [Google Scholar]
- Karnopp, D. Computer simulation of stick-slip friction in mechanical dynamic systems. J. Dyn. Sys. Meas. Control 1985, 107, 100–103. [Google Scholar] [CrossRef]
- Hong, H.; Liu, C. Coulomb friction oscillator: Modelling and responses to harmonic loads and base excitations. J. Sound Vib. 2000, 229, 1171–1192. [Google Scholar] [CrossRef]
- Xia, F. Modelling of a two-dimensional Coulomb friction oscillator. J. Sound Vib. 2003, 265, 1063–1074. [Google Scholar] [CrossRef]
- He, B.; Ouyang, H.; He, S.; Ren, X.; Mei, Y. Dynamic analysis of integrally shrouded group blades with rubbing and impact. Nonlinear Dyn. 2018, 92, 2159–2175. [Google Scholar] [CrossRef]
- He, B.; Ren, X.; Ouyang, H.; Mei, Y.; Yang, Y.; He, S. Dynamic modeling and characteristics of integrally shrouded group blades with two-dimensional rub-impact considering the stick-slip motion. Appl. Math Model. 2025, 148, 116229. [Google Scholar] [CrossRef]
- Guo, X.; Zeng, J.; Ma, H.; Zhao, C.; Qu, L.; Wen, B. Dynamic characteristics of a shrouded blade with impact and friction. Front. Mech. Eng. 2020, 15, 209–226. [Google Scholar] [CrossRef]
- Sayed, B.A.; Chatelet, E.; Baguet, S. Dissipated energy and boundary conditions effects associated to dry friction on the dynamics of vibrating structures. Mech. Mach. Theory 2011, 46, 479–491. [Google Scholar] [CrossRef]
- Qi, W.; Gao, D. Study of vibration response analysis method for the dry friction damping systems. J. Aerosp. Power 2006, 21, 161–167. (In Chinese) [Google Scholar]
- Hu, H.; Zhu, X.; Batou, A.; Ouyang, H. Explicit frictional stick-slip dynamics of elastic contact problem incorporating the LuGre model. Nonlinear Dyn. 2024, 112, 16061–16080. [Google Scholar] [CrossRef]
- Lu, Y.; Han, D.; Fu, Q.; Lu, X.; Zhang, Y.; Wei, Z.; Chen, Y. Experimental investigation of stick-slip behaviors in dry sliding friction. Tribol. Int. 2025, 201, 110221. [Google Scholar]













| Sign | Value |
|---|---|
| 0.2 kg | |
| 5.65 N·s/m | |
| 1 × 105 N/m | |
| 0.5 |
Disclaimer/Publisher’s Note: The statements, opinions and data contained in all publications are solely those of the individual author(s) and contributor(s) and not of MDPI and/or the editor(s). MDPI and/or the editor(s) disclaim responsibility for any injury to people or property resulting from any ideas, methods, instructions or products referred to in the content. |
© 2025 by the authors. Licensee MDPI, Basel, Switzerland. This article is an open access article distributed under the terms and conditions of the Creative Commons Attribution (CC BY) license.
Share and Cite
He, B.; Pan, S.; Zhang, Z.; Mei, Y.; Zhang, W. Numerical Simulation of the Dry Friction Constrained System Based on Coulomb Stick-Slip Motion. Symmetry 2026, 18, 57. https://doi.org/10.3390/sym18010057
He B, Pan S, Zhang Z, Mei Y, Zhang W. Numerical Simulation of the Dry Friction Constrained System Based on Coulomb Stick-Slip Motion. Symmetry. 2026; 18(1):57. https://doi.org/10.3390/sym18010057
Chicago/Turabian StyleHe, Bingbing, Shibo Pan, Zeqi Zhang, Yonggang Mei, and Wenya Zhang. 2026. "Numerical Simulation of the Dry Friction Constrained System Based on Coulomb Stick-Slip Motion" Symmetry 18, no. 1: 57. https://doi.org/10.3390/sym18010057
APA StyleHe, B., Pan, S., Zhang, Z., Mei, Y., & Zhang, W. (2026). Numerical Simulation of the Dry Friction Constrained System Based on Coulomb Stick-Slip Motion. Symmetry, 18(1), 57. https://doi.org/10.3390/sym18010057

