A Modified Collocation Technique for Addressing the Time-Fractional FitzHugh–Nagumo Differential Equation with Shifted Legendre Polynomials
Abstract
1. Introduction
- Presenting two sets of basis functions in terms of ;
- Deriving some new identities is crucial for efficient computation of the collocation matrices;
- Using the collocation method to treat the ;
- Offering a thorough examination of the convergence and error, tailored to the suggested basis functions;
- Investigating our numerical algorithm by presenting some supporting numerical examples;
- We expect that the scheme utilized could be used to solve other problems [34] using the collocation method.
- Choosing the suggested basis functions results in faster convergence and improved stability;
- The procedure needs fewer computations to reach the desired precision.
2. Essential Principles and Formulas
2.1. A Review of Caputo’s FD
2.2. A Basic Overview of Legendre Polynomials and Their Shifted Equivalents
- The are defined on :
2.3. Trial Functions
3. The Collocation Method for the Nonlinear Inhomogeneous Time-Fractional FitzHugh–Nagumo Differential Problem
- The residual of Equation (39) is expressed as
4. The Error Analysis
- To prove the second part, Equation (11) along with the previous inequality enable us to write
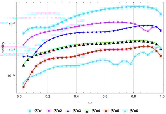
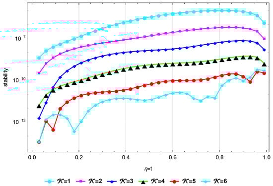
5. Illustrative Examples
6. Concluding Remarks
Author Contributions
Funding
Data Availability Statement
Conflicts of Interest
References
- Bernardi, C.; Maday, Y. Spectral Methods. Handb. Numer. Anal. 1997, 5, 209–485. [Google Scholar]
- Shen, J.; Tang, T.; Wang, L.L. Spectral Methods: Algorithms, Analysis and Applications; Springer: Berlin/Heidelberg, Germany, 2011; Volume 41. [Google Scholar]
- Orszag, S.A. Spectral Methods for Problems in Complex Geometrics. In Numerical Methods for Partial Differential Equations; Elsevier: Amsterdam, The Netherlands, 1979; pp. 273–305. [Google Scholar]
- Abdelhakem, M.; Abdelhamied, D.; El-Kady, M.; Youssri, Y.H. Two Modified Shifted Chebyshev–Galerkin Operational Matrix Methods for Even-Order Partial Boundary Value Problems. Bound. Value Probl. 2025, 2025, 34. [Google Scholar] [CrossRef]
- Brahim, M.S.T.; Youssri, Y.H.; Alburaikan, A.; Khalifa, H.; Radwn, T. A Refined Galerkin Approach for Solving Higher-Order Differential Equations via Bernoulli Polynomials. Fractals 2025, 2540183. [Google Scholar] [CrossRef]
- Zaky, M.A.; Alharbi, W.G.; Alzubaidi, M.M.; Matoog, R.T. A Legendre Tau Approach for High-Order Pantograph Volterra–Fredholm Integro-Differential Equations. AIMS Math. 2025, 10, 7067–7085. [Google Scholar] [CrossRef]
- Alaa-Eldeen, T.; Alzabeedy, G.M.; Albalawi, W.; Nisar, K.S.; Abdel-Aty, A.H.; El-Kady, M.; Abdelhakem, M. Spectral Tau Explicit Form for Approximating Solutions to Real-Life IBVPs Using Chebyshev Derivatives. Int. J. Geom. Methods Mod. Phys. 2025, 22, 2450324. [Google Scholar] [CrossRef]
- Abd-Elhameed, W.M.; Alqubori, O.M.; Amin, A.K.; Atta, A.G. Numerical Solutions for Nonlinear Ordinary and Fractional Duffing Equations Using Combined Fibonacci–Lucas Polynomials. Axioms 2025, 14, 314. [Google Scholar] [CrossRef]
- Luo, M.; Xu, D.; Pan, X. Sinc–Galerkin method and a higher-order method for a 1D and 2D time-fractional diffusion equations. Bound. Value Probl. 2024, 2024, 106. [Google Scholar] [CrossRef]
- Ramadan, M.; Samy, H.; Hanafy, I.; Adel, W. Petrov–Galerkin finite element method for solving the time-fractional Rosenau–Hyman equation. J. Umm Al-Qura Univ. Appl. Sci. 2025, 1–14. [Google Scholar] [CrossRef]
- Li, Z.; He, G.; Yi, L. Postprocessing techniques of the C0- and C1-continuous Petrov–Galerkin methods for second-order Volterra integro-differential equations. J. Appl. Math. Comput. 2025, 1–38. [Google Scholar] [CrossRef]
- Talaei, Y.; Zaky, M.; Hendy, A. A fractional spectral Galerkin method for Fuzzy Volterra integral equations with weakly singular kernels: Regularity, convergence, and applications. Fuzzy Sets Syst. 2025, 518, 109488. [Google Scholar] [CrossRef]
- Yassin, N.M.; Atta, A.G.; Aly, E.H. Numerical Solutions for Nonlinear Ordinary and Fractional Newell–Whitehead–Segel Equation Using Shifted Schröder Polynomials. Bound. Value Probl. 2025, 2025, 57. [Google Scholar] [CrossRef]
- Doha, E.; Abd-Elhameed, W.; Youssri, Y. Second kind Chebyshev operational matrix algorithm for solving differential equations of Lane–Emden type. New Astron. 2013, 23, 113–117. [Google Scholar] [CrossRef]
- Taema, M.; Dagher, M.; Youssri, Y. Spectral collocation method via Fermat polynomials for Fredholm–Volterra integral equations with singular kernels and fractional differential equations. J. Math. 2025, 14, 481–492. [Google Scholar]
- Yüzbaşı, Ş. Fractional Bell collocation method for solving linear fractional integro-differential equations. Math. Sci. 2024, 18, 29–40. [Google Scholar] [CrossRef]
- Roop, J. A randomized neural network based Petrov–Galerkin method for approximating the solution of fractional order boundary value problems. Results Appl. Math. 2024, 23, 100493. [Google Scholar] [CrossRef]
- Pulch, R.; Singh, A. Stochastic Galerkin method for linear fractional differential equations. Int. J. Uncertain. Quantif. 2025, 15, 21–36. [Google Scholar] [CrossRef]
- Suetin, P. Orthogonal Polynomials in Two Variables; Routledge: Oxfordshire, UK, 2022. [Google Scholar]
- Abd-Elhameed, W.M.; Doha, E.H.; Ahmed, H.M. Linearization Formulae for Certain Jacobi Polynomials. Ramanujan J. 2016, 39, 155–168. [Google Scholar] [CrossRef]
- Boyd, J.P. Chebyshev and Fourier Spectral Methods; Courier Corp.: North Chelmsford, MA, USA, 2001. [Google Scholar]
- Hesthaven, J.S.; Gottlieb, D.I.; Gottlieb, S. Spectral Methods for Time-Dependent Problems; Cambridge Univ. Press: Cambridge, UK, 2007; Volume 21. [Google Scholar]
- Ismail, M.E.H.; Koelink, E. Theory and Applications of Special Functions; Springer: Berlin/Heidelberg, Germany, 2005. [Google Scholar]
- Sakar, M.G.; Saldır, O.; Ata, A. Numerical Solution of Fractional Order Multi-Point Boundary Value Problems Using Reproducing Kernel Method with Shifted Legendre Polynomials. Z. Angew. Math. Phys. 2025, 76, 141. [Google Scholar] [CrossRef]
- Vana, R.; Karunaka, P. Numerical Solutions of the Benjamin–Bona–Mahony Equation Using the Differential Quadrature Method with Shifted Legendre and Generalized Laguerre Polynomials. Indian J. Pure Appl. Math. 2025, 1–14. [Google Scholar] [CrossRef]
- FitzHugh, R. Impulses and physiological states in theoretical models of nerve membrane. Biophys. J. 1961, 1, 445–466. [Google Scholar] [CrossRef]
- Nagumo, J.; Arimoto, S.; Yoshizawa, S. An active pulse transmission line simulating nerve axon. Proc. IRE 2007, 50, 2061–2070. [Google Scholar] [CrossRef]
- Aronson, D.G.; Weinberger, H.F. Multidimensional nonlinear diffusion arising in population genetics. Adv. Math. 1978, 30, 33–76. [Google Scholar] [CrossRef]
- Onyeoghane, J.N.; Njoseh, I.N.; Igabari, J.N. A Petrov–Galerkin Finite Element Method for the Space Time Fractional FitzHugh–Nagumo Equation. Sci. Afr. 2025, 28, e02623. [Google Scholar] [CrossRef]
- Abd-Elhameed, W.M.; Alqubori, O.M.; Atta, A.G. A Collocation Procedure for the Numerical Treatment of FitzHugh–Nagumo Equation Using a Kind of Chebyshev Polynomials. AIMS Math. 2025, 10, 1201–1223. [Google Scholar] [CrossRef]
- Abd-Elhameed, W.M.; Alqubori, O.M.; Atta, A.G. A Collocation Procedure for Treating the Time-Fractional FitzHugh–Nagumo Differential Equation Using Shifted Lucas Polynomials. Mathematics 2024, 12, 3672. [Google Scholar] [CrossRef]
- Alam, M.; Haq, S.; Ali, I.; Ebadi, M.J.; Salahshour, S. Radial Basis Functions Approximation Method for Time-Fractional FitzHugh–Nagumo Equation. Fractal Fract. 2023, 7, 882. [Google Scholar] [CrossRef]
- Patel, H.S.; Patel, T. Applications of Fractional Reduced Differential Transform Method for Solving the Generalized Fractional-Order FitzHugh–Nagumo Equation. Int. J. Appl. Comput. Math. 2021, 7, 188. [Google Scholar] [CrossRef]
- Zhao, Y.L.; Gu, X.M.; Ostermann, A. A Preconditioning Technique for an All-at-Once System from Volterra Subdiffusion Equations with Graded Time Steps. J. Sci. Comput. 2021, 88, 11. [Google Scholar] [CrossRef]
- Podlubny, I. Fractional Differential Equations: An Introduction to Fractional Derivatives, Fractional Differential Equations, to Methods of Their Solution and Some of Their Applications; Elsevier: Amsterdam, The Netherlands, 1998; Volume 198. [Google Scholar]
- Abd-Elhameed, W.M.; Youssri, Y.H.; Doha, E.H. A Novel Operational Matrix Method Based on Shifted Legendre Polynomials for Solving Second-Order Boundary Value Problems Involving Singular, Singularly Perturbed and Bratu-Type Equations. Math. Sci. 2015, 9, 93–102. [Google Scholar] [CrossRef]
- Napoli, A.; Abd-Elhameed, W.M. Numerical Solution of Eighth-Order Boundary Value Problems by Using Legendre Polynomials. Int. J. Comput. Methods 2018, 15, 1750083. [Google Scholar] [CrossRef]
- Hussaini, M.Y.; Zang, T.A. Spectral Methods in Fluid Dynamics. Annu. Rev. Fluid Mech. 1987, 19, 339–367. [Google Scholar] [CrossRef]
- Gu, X.M.; Sun, H.W.; Zhao, Y.L.; Zheng, X. An Implicit Difference Scheme for Time-Fractional Diffusion Equations with a Time-Invariant Type Variable Order. Appl. Math. Lett. 2021, 120, 107270. [Google Scholar] [CrossRef]
- Gu, X.M.; Huang, T.Z.; Zhao, Y.L.; Lyu, P.; Carpentieri, B. A Fast Implicit Difference Scheme for Solving the Generalized Time–Space Fractional Diffusion Equations with Variable Coefficients. Numer. Methods Partial Differ. Equ. 2021, 37, 1136–1162. [Google Scholar] [CrossRef]









| t | Method in [32] | Presented Technique at | ||||||
|---|---|---|---|---|---|---|---|---|
| 1 | ||||||||
| t | Method in [33] | Proposed Method at | |
|---|---|---|---|
| 0.1 | 0.2 | ||
| 0.4 | |||
| 0.6 | |||
| 0.8 | |||
| 0.3 | 0.2 | ||
| 0.4 | |||
| 0.6 | |||
| 0.8 | |||
| 0.5 | 0.2 | ||
| 0.4 | |||
| 0.6 | |||
| 0.8 | |||
| 0.7 | 0.2 | ||
| 0.4 | |||
| 0.6 | |||
| 0.8 | |||
| 0.9 | 0.2 | ||
| 0.4 | |||
| 0.6 | |||
| 0.8 |
| CPU Time | CPU Time | CPU Time | ||||
|---|---|---|---|---|---|---|
| 0.1 | ||||||
| 0.2 | ||||||
| 0.3 | ||||||
| 0.4 | ||||||
| 0.5 | 24.875 | 25.827 | 26.189 | |||
| 0.6 | ||||||
| 0.7 | ||||||
| 0.8 | ||||||
| 0.9 |
| Method in [33] | Method in [32] | Method in [31] | Proposed Method at | Our CPU Time | |
|---|---|---|---|---|---|
| (0.001, 0.001) | 33.891 | ||||
| (0.002, 0.002) | |||||
| (0.003, 0.003) | |||||
| (0.004, 0.004) | |||||
| (0.005, 0.005) | |||||
| (0.006, 0.006) | |||||
| (0.007, 0.007) | |||||
| (0.008, 0.008) | |||||
| (0.009, 0.009) | |||||
| (0.01, 0.01) |
| Method in [33] | Method in [32] | Method in [31] | Proposed Method at | Our CPU Time | |
|---|---|---|---|---|---|
| (0.001, 0.001) | 37.139 | ||||
| (0.002, 0.002) | |||||
| (0.003, 0.003) | |||||
| (0.004, 0.004) | |||||
| (0.005, 0.005) | |||||
| (0.006, 0.006) | |||||
| (0.007, 0.007) | |||||
| (0.008, 0.008) | |||||
| (0.009, 0.009) | |||||
| (0.01, 0.01) |
| t | Method in [32] | Proposed Method | ||
|---|---|---|---|---|
| t | Method in [32] | Proposed Technique at | ||||||
|---|---|---|---|---|---|---|---|---|
| 1 | ||||||||
| CPU Time | CPU Time | CPU Time | ||||
|---|---|---|---|---|---|---|
| 0.1 | ||||||
| 0.2 | ||||||
| 0.3 | ||||||
| 0.4 | ||||||
| 0.5 | 83.03 | 90.893 | 84.86 | |||
| 0.6 | ||||||
| 0.7 | ||||||
| 0.8 | ||||||
| 0.9 |
| CPU Time | CPU Time | CPU Time | ||||
|---|---|---|---|---|---|---|
| 0.1 | ||||||
| 0.2 | ||||||
| 0.3 | ||||||
| 0.4 | ||||||
| 0.5 | 26.094 | 25.968 | 26.047 | |||
| 0.6 | ||||||
| 0.7 | ||||||
| 0.8 | ||||||
| 0.9 |
| 0.1 | ||||
| 0.2 | ||||
| 0.3 | ||||
| 0.4 | ||||
| 0.5 | ||||
| 0.6 | ||||
| 0.7 | ||||
| 0.8 | ||||
| 0.9 |
| 0.1 | ||||
| 0.2 | ||||
| 0.3 | ||||
| 0.4 | ||||
| 0.5 | ||||
| 0.6 | ||||
| 0.7 | ||||
| 0.8 | ||||
| 0.9 |
Disclaimer/Publisher’s Note: The statements, opinions and data contained in all publications are solely those of the individual author(s) and contributor(s) and not of MDPI and/or the editor(s). MDPI and/or the editor(s) disclaim responsibility for any injury to people or property resulting from any ideas, methods, instructions or products referred to in the content. |
© 2025 by the authors. Licensee MDPI, Basel, Switzerland. This article is an open access article distributed under the terms and conditions of the Creative Commons Attribution (CC BY) license (https://creativecommons.org/licenses/by/4.0/).
Share and Cite
Alzahrani, S.S.; Alanazi, A.A.; Atta, A.G. A Modified Collocation Technique for Addressing the Time-Fractional FitzHugh–Nagumo Differential Equation with Shifted Legendre Polynomials. Symmetry 2025, 17, 1468. https://doi.org/10.3390/sym17091468
Alzahrani SS, Alanazi AA, Atta AG. A Modified Collocation Technique for Addressing the Time-Fractional FitzHugh–Nagumo Differential Equation with Shifted Legendre Polynomials. Symmetry. 2025; 17(9):1468. https://doi.org/10.3390/sym17091468
Chicago/Turabian StyleAlzahrani, S. S., Abeer A. Alanazi, and Ahmed Gamal Atta. 2025. "A Modified Collocation Technique for Addressing the Time-Fractional FitzHugh–Nagumo Differential Equation with Shifted Legendre Polynomials" Symmetry 17, no. 9: 1468. https://doi.org/10.3390/sym17091468
APA StyleAlzahrani, S. S., Alanazi, A. A., & Atta, A. G. (2025). A Modified Collocation Technique for Addressing the Time-Fractional FitzHugh–Nagumo Differential Equation with Shifted Legendre Polynomials. Symmetry, 17(9), 1468. https://doi.org/10.3390/sym17091468

