Next Article in Journal
Quasi-Periodic Hyperbolic Metamaterials Composed of Graphene and Dielectric
Previous Article in Journal
Patterns of Directional and Fluctuating Asymmetry in Southern Ocean Sea Urchins
 
 
Font Type:
Arial Georgia Verdana
Font Size:
Aa Aa Aa
Line Spacing:
Column Width:
Background:
Article

Multiple Bifurcation Analysis in a Discrete-Time Predator–Prey Model with Holling IV Response Function

1
College of Information Engineering, Tarim University, Alar 843300, China
2
Key Laboratory of Tarim Oasis Agricaluture, Tarim University, Ministry of Education, Alar 843300, China
*
Author to whom correspondence should be addressed.
Symmetry 2025, 17(9), 1459; https://doi.org/10.3390/sym17091459
Submission received: 24 July 2025 / Revised: 18 August 2025 / Accepted: 27 August 2025 / Published: 5 September 2025
(This article belongs to the Section Mathematics)

Abstract

This study examines a discrete-time predator–prey model constructed via piecewise constant discretization of its continuous counterpart. Through comprehensive qualitative and dynamical analyses, we reveal a rich set of nonlinear phenomena, encompassing Neimark–Sacker bifurcation, flip bifurcation, and codimension-two bifurcations corresponding to 1:2, 1:3, and 1:4 resonances. Rigorous analysis of these bifurcation scenarios, conducted via center manifold theory and bifurcation methods, establishes a robust mathematical framework for their characterization. Numerical simulations corroborate the theoretical predictions, exposing intricate dynamical phenomena such as quasiperiodic oscillations and chaotic attractors. Our results demonstrate that resonance-driven bifurcations are potent drivers of ecological complexity in discrete systems, acting as key determinants that orchestrate the emergent dynamics of populations—a finding with profound implications for interpreting patterns in real-world ecosystems subject to discrete generations or seasonal pulses.

1. Introduction

Population dynamics have constituted a major theme in ecological research for decades. Within this vast area, predator–prey models have received particular attention [1,2,3,4]. A predator–prey system describes one of nature’s most fundamental interactions: the relationship between an animal that hunts (predator) and the organism it feeds upon (prey). This dynamic creates a constant, fascinating balance of power and survival. Deciphering the resultant complexities within these systems is crucial not only for effective ecosystem management and prediction but also for addressing foundational questions in theoretical ecology [5,6]. Both continuous and discrete-time models serve as cornerstone mathematical frameworks in this field, with their applicability determined by biological processes operating at different time resolutions. Recent advancements highlight an apparent advantage of discrete-time models: their capacity to faithfully replicate the dynamics of populations characterized by non-overlapping generations—exemplified by annual plants and univoltine insects, whose life histories feature fixed lifespans and singular reproductive events [7,8]. A hallmark of discrete-time formulations is their propensity to engender complex dynamical behaviors, encompassing bifurcations, chaos, and resonance phenomena, even within low-dimensional frameworks. This characteristic affords profound insights into the multifaceted nature of ecological complexity.
Adopting the classical Lotka–Volterra approach, we analyze predator–prey dynamics. For this continuous model with predator response p ( x ) , the equations read:
d x d t = r x 1 x K y p ( x ) , d y d t = y ( c p ( x ) d ) ,
where x 0 and y 0 denote the numbers of the prey and predator populations, respectively. Herein, r denotes the intrinsic growth rate of the prey population, and K represents its carrying capacity. The predator’s natural death rate is given by d, while c signifies the conversion rate, expressing the proportion of consumed prey converted into predator offspring. p ( x ) = m x / ( a + x 2 ) is taken as a Holling IV response function; here, a represents the half-saturation constant, reflecting the saturation level of the predator’s feeding behavior, and m denotes the predation rate of predators, reflecting their predatory potential under low-prey-density conditions. Then, the system (1) can be reformulated as
d x d t = r x 1 x K m x y a + x 2 , d y d t = y ( c m x a + x 2 d ) .
The functional response, representing the predator’s specific growth rate relative to its consumption of prey over time, stands as a foundational concept in population ecology. Holling’s seminal classification [9,10] identified three archetypal types—Types I, II, and III—each characterized by a bounded, monotonic increase, thereby encapsulating the intuitive principle that greater prey availability generally benefits predator populations. While these models accurately describe many predator–prey dynamics, experimental observations [11,12,13] have revealed non-monotonic responses at microbial scales: suprathreshold nutrient concentrations paradoxically suppress specific growth rates. To address this counterintuitive phenomenon, Andrews [11] and Taylor [14] independently proposed the Holling Type-IV functional response. Such frameworks are primarily used to describe the relationship between the predation rate of predators and prey density. They provide more precise mathematical tools for studying predator–prey systems in ecology, facilitating a deeper understanding of interspecific interactions, species coexistence, population dynamics, and other complex ecological phenomena within ecosystems. These functions hold significant importance in both theoretical ecological research and practical applications, including fisheries management and wildlife conservation. Therefore, they have attracted increasing attention [15,16,17,18]. Here, our study specifically explores the emergent behaviors in a discrete-time predator–prey system incorporating this Holling Type-IV formulation.
While various methods exist for discretizing continuous-time predator–prey models, the common forward Euler scheme [19,20,21] suffers from a critical flaw: its failure to guarantee non-negative solutions. To overcome this limitation, researchers have increasingly adopted an alternative—the method of piecewise constant arguments (a semi-discrete technique) [22]. A key advantage of this approach is its inherent capability to produce non-negative iterations, ensuring biologically meaningful results where the forward Euler method falls short. This robust foundation has paved the way for subsequent investigations into complex dynamics within discrete predator–prey systems [23,24,25]. In this work, we employ the piecewise constant argument method to discretize the continuous-time system (2), leveraging its advantages in maintaining solution boundedness and analytical tractability. Assume that the average growth rates change at regular intervals of time, then we can incorporate this aspect into (2) and obtain the following modified system:
1 x ( t ) d x ( t ) d t = r 1 x ( [ t ] ) K m y ( [ t ] ) a + x 2 ( [ t ] ) , 1 y ( t ) d y ( t ) d t = c m x ( [ t ] ) a + x 2 ( [ t ] ) d ,
In what follows, [ t ] denotes the integer part of t for t [ 0 , ) . We integrate the system on [ n , n + 1 ) and take the limit as t n + 1 . This yields ( x [ t ] , y [ t ] ) = ( x ( n ) , y ( n ) ) , from which we obtain the following discrete system:
1 x ( t ) d x ( t ) d t = r 1 x ( n ) K m y ( n ) a + x 2 ( n ) , 1 y ( t ) d y ( t ) d t = c m x ( n ) a + x 2 ( n ) d .
Now, the right-hand expressions of the above system are constant. Then, we have
ln ( x ( t ) ) | n t = r 1 x ( n ) K m y ( n ) a + x 2 ( n ) ( t n ) , ln ( x ( t ) ) | n t = c m x ( n ) a + x 2 ( n ) d ( t n ) ,
Exponentiating both sides of the equation yields
x ( t ) = x ( n ) e x p r 1 x ( n ) K m y ( n ) a + x 2 ( n ) ( t n ) , y ( t ) = y ( n ) e x p c m x ( n ) a + x 2 ( n ) d ( t n ) .
By taking t n + 1 , we obtain the discrete form corresponding to model (2) as follows:
x ( n + 1 ) = x ( n ) e x p r 1 x ( n ) K m y ( n ) a + x 2 ( n ) , y ( n + 1 ) = y ( n ) e x p c m x ( n ) a + x 2 ( n ) d .
We adopt a mapping formulation for the aforementioned model to enable efficient analysis:
x y x e x p r 1 x K m y a + x 2 y e x p c m x a + x 2 d .
Exploring the complex dynamics of discrete systems is highly meaningful from both mathematical and ecological perspectives. Bifurcation analysis offers a method for gaining a deeper understanding of these dynamics by providing theoretical support for potential behaviors and explaining simulations under various control parameters. A key contribution of this research is its characterization of bifurcations as ‘double crises’, which emerge when distinct codimension-one bifurcation curves intersect in the model’s two-dimensional parameter plane. In this way, we assess the buffering capacities of ecosystems to external disturbances, showing that the combined influence of intrinsic growth rate and conversion rate can precipitate dramatic and unforeseeable transitions in ecosystem behavior, leading to the emergence of chaos. Such models are critical tools for enhancing our capacity to understand and anticipate how ecosystems react to global challenges like climate change, habitat loss, and species introductions, etc. The present analysis utilizes the center manifold theorem, bifurcation theory, and normal form methodology [26,27].
The section-wise organization of this article is as follows: Section 2 systematically investigates the existence and stability of fixed points for system (4) using bifurcation theory, establishing foundational dynamic characteristics. Section 3 and Section 4 sequentially explore codimension-one and codimension-two bifurcation phenomena, respectively. Within this framework, Section 3 employs center manifold reduction to dissect primary bifurcation pathways (notably flip and Neimark–Sacker), whereas Section 4 probes higher-codimensional phenomena involving multiparametric criticality and complex bifurcation cascades. Finally, some conclusions and discussions are stated in Section 5.

2. Existence and Stability of Positive Equilibria

In this section we analyze the existence and stability of fixed points of system (4). Direct computation yields the following theorem.
Theorem 1.
(i) System (4) always has two boundary fixed points: E 0 ( 0 , 0 ) and E K ( K , 0 ) ;
( i i ) Assume that d > c m a 2 a . Then, system (4) has no positive point;
( i i i ) Assume that d = c m a 2 a . Then, if a K system (4) has no positive point, otherwise the system has a unique positive fixed point E * ( a , 2 a r ( K a ) m K ) ;
( i v ) Assume that 0 < d < c m a 2 a . Then, system (4) has two positive fixed points: E 1 ( x 1 , y 1 ) and E 2 ( x 2 , y 2 ) , where
x 1 , 2 = c m ± c 2 4 a d 2 2 d , y 1 , 2 = r m 1 x 1 , 2 K ( a + x 1 , 2 2 ) .
Moreover, we have
(1) If x 2 K , the system has no positive fixed point;
(2) If x 2 < K < x 1 , the system has a unique positive fixed point: E 2 ( x 2 , y 2 ) ;
(3) If x 1 < K , the system has two positive fixed points: E 1 ( x 1 , y 1 ) and E 2 ( x 2 , y 2 ) .
We now examine the local stability of these fixed points. It is a well-established principle that a fixed point’s stability is determined by the moduli of the eigenvalues of its characteristic equation. Accordingly, to find these eigenvalues, we compute the Jacobian matrix of system (4), which is presented below.
J = 1 r x K + 2 m x 2 y ( a + x 2 ) 2 e x p r ( 1 x K ) m y a + x 2 m x a + x 2 e x p r ( 1 x K ) m y a + x 2 c m y ( a x 2 ) ( a + x 2 ) 2 e x p c m x a + x 2 d e x p c m x a + x 2 d .
Simple calculation yields that the two roots of the Jacobian matrix J ( 0 , 0 ) are λ 1 = e r , λ 2 = e d . Since r > 0 , d > 0 , it is always guaranteed that | λ 1 | > 1 and | λ 2 | < 1 for all parameters. Hence, the boundary fixed point E 0 ( 0 , 0 ) is always a saddle point. Similarly, simple calculation gives the two eigenvalues of J at point E * : λ 1 = 1 , λ 2 = 1 + r ( K 2 a ) K ; it then follows that | λ 1 | = 1 for all parameters, so E * is always non-hyperbolic. Through a straightforward algebraic analysis and an application of Lemma from [8], we derive the following conclusions concerning the fixed point E K ( K , 0 ) .
Theorem 2.
The two roots of the Jacobian matrix J ( K , 0 ) are λ 1 = 1 r , λ 2 = e c m K a + K 2 d . Then,
(i) It is a sink if 0 < r < 2 and one of the following conditions holds:
 (1) 0 < d < c m a 2 a and K < x 2 ( K > x 1 ) ;
 (2) d = c m a 2 a and K a ;
 (3) d > c m a 2 a .
( i i ) It is a source if 0 < d < c m a 2 a , x 2 < K < x 1 , and r > 2 ;
( i i i ) It is a saddle if one of the following conditions holds:
 (1) 0 < d < c m a 2 a , x 2 < K < x 1 , and 0 < r < 2 ;
 (2) 0 < d < c m a 2 a , K > x 1 , and r > 2 ;
 (3) d > c m a 2 a and r > 2 .
( i v ) It is non-hyperbolic if r = 2 and one of the following conditions holds:
 (1) 0 < d < c m a 2 a , K = x 2 ( K = x 1 ) ;
 (2) d = c m a 2 a and K = a .
Using the relations [28,29] between roots and coefficients of the characteristic equation of the Jacobian matrix, one can easily obtain the characteristic equation of the Jacobian matrix at E 1 :
F ( λ ) = λ 2 P λ + Q ,
where P = 2 3 x 1 3 2 K x 1 2 + a x 1 K ( a + x 1 2 ) r , Q = 1 3 x 1 3 2 K x 1 2 + a x 1 K ( a + x 1 2 ) r + c m x 1 ( a x 1 2 ) ( K x 1 ) K ( a + x 1 2 ) 2 r . It is obvious that F ( 1 ) = c m r x 1 ( a x 1 2 ) ( K x 1 ) K ( a + x 1 2 ) 2 > 0 . After an enormous amount of tedious calculation, we have the following results.
Theorem 3.
If K > x 1 , the local stability of E 1 can be concluded as follows:
(i) It is a source if r > 4 K ( a + x 1 2 ) 2 2 ( a + x 1 2 ) ( 3 x 1 3 2 K x 1 2 + a x 1 ) c m x 1 ( a x 1 2 ) ( K x 1 ) ;
( i i ) It is a saddle if r < 4 K ( a + x 1 2 ) 2 2 ( a + x 1 2 ) ( 3 x 1 3 2 K x 1 2 + a x 1 ) c m x 1 ( a x 1 2 ) ( K x 1 ) ;
( i i i ) It is non-hyperbolic if r = 4 K ( a + x 1 2 ) 2 2 ( a + x 1 2 ) ( 3 x 1 3 2 K x 1 2 + a x 1 ) c m x 1 ( a x 1 2 ) ( K x 1 ) .
Similarly, by applying the relationships between the roots and coefficients—known as Vieta’s formulas—to the characteristic equation of the Jacobian matrix evaluated at the fixed point E 2 , we can easily derive the following result.
Theorem 4.
If 0 < d < c a a , K > x 2 , the local stability of E 2 can be concluded as follows:
(i) It is locally asymptotically stable if one of the following conditions holds:
 (1) c < ( a + x 2 2 ) ( 3 x 2 2 2 K x 2 + a ) m ( a x 2 2 ) ( K x 2 ) and 0 < r < 4 c m x 2 ( a x 2 2 ) ( K x 2 ) K ( 3 x 2 3 2 K x 2 2 + a x 2 ) 2 ;
 (2) r 4 c m x 2 ( a x 2 2 ) ( K x 2 ) K ( 3 x 2 3 2 K x 2 2 + a x 2 ) 2 and r > 4 K ( a + x 2 2 ) 2 2 ( a + x 2 2 ) ( 3 x 2 3 2 K x 2 2 + a x 2 ) c m x 2 ( a x 2 2 ) ( K x 2 ) .
( i i ) It is unstable if one of the following conditions holds:
 (1) c > ( a + x 2 2 ) ( 3 x 2 2 2 K x 2 + a ) m ( a x 2 2 ) ( K x 2 ) and 0 < r < 4 c m x 2 ( a x 2 2 ) ( K x 2 ) K ( 3 x 2 3 2 K x 2 2 + a x 2 ) 2 ;
 (2) r 4 c m x 2 ( a x 2 2 ) ( K x 2 ) K ( 3 x 2 3 2 K x 2 2 + a x 2 ) 2 and r < 4 K ( a + x 2 2 ) 2 2 ( a + x 2 2 ) ( 3 x 2 3 2 K x 2 2 + a x 2 ) c m x 2 ( a x 2 2 ) ( K x 2 ) .
( i i i ) It may undergo a codimension-one bifurcation if one of the following conditions holds:
 (1) r 4 c m x 2 ( a x 2 2 ) ( K x 2 ) K ( 3 x 2 3 2 K x 2 2 + a x 2 ) 2 , r = 4 K ( a + x 2 2 ) 2 2 ( a + x 2 2 ) ( 3 x 2 3 2 K x 2 2 + a x 2 ) c m x 2 ( a x 2 2 ) ( K x 2 ) , r 2 ( 4 ) K ( a + x 2 2 ) 3 x 2 3 2 K x 2 2 + a x 2 ;
 (2) 0 < r < 4 c m x 2 ( a x 2 2 ) ( K x 2 ) K ( 3 x 2 3 2 K x 2 2 + a x 2 ) 2 and c = ( a + x 2 2 ) ( 3 x 2 2 2 K x 2 + a ) m ( a x 2 2 ) ( K x 2 ) .
( i v ) It may undergo a codimension-two bifurcation if one of the following conditions holds:
 (1) r = 4 K ( a + x 2 2 ) 3 x 2 3 2 K x 2 2 + a x 2 and c = ( a + x 2 2 ) ( 3 x 2 2 2 K x 2 + a ) m ( a x 2 2 ) ( K x 2 ) ;
 (2) r = 3 K ( a + x 2 2 ) 3 x 2 3 2 K x 2 2 + a x 2 and c = ( a + x 2 2 ) ( 3 x 2 2 2 K x 2 + a ) m ( a x 2 2 ) ( K x 2 ) ;
 (3) r = 2 K ( a + x 2 2 ) 3 x 2 3 2 K x 2 2 + a x 2 and c = ( a + x 2 2 ) ( 3 x 2 2 2 K x 2 + a ) m ( a x 2 2 ) ( K x 2 ) .

3. Codimension-One Bifurcation Analysis

In the subsequent sections, we examine codimension-one bifurcations, specifically focusing on flip bifurcation and Neimark–Sacker bifurcation.

3.1. Flip Bifurcation

As established by Theorem 4, the fixed point E 2 ( x 2 , y 2 ) of system (4) has an eigenvalue of 1 , thereby triggering a flip bifurcation at this point. We now proceed to analyze the resulting bifurcation dynamics by perturbing the parameter r within a small neighborhood of F B .
F B = ( a , c , d , K , r , m ) R + : r = r 1 , r r 2 , r r 3 , r 2 r 3 , 0 < d < c a a , K > x 2 ,
and
r 1 = 4 K ( a + x 2 2 ) 2 2 ( a + x 2 2 ) ( 3 x 2 3 2 K x 2 2 + a x 2 ) c m x 2 ( a x 2 2 ) ( K x 2 ) ,
r 2 = 4 c m x 2 ( a x 2 2 ) ( K x 2 ) K ( 3 x 2 3 2 K x 2 2 + a x 2 ) 2 , r 3 = 2 K ( a + x 2 2 ) 3 x 2 3 2 K x 2 2 + a x 2 .
Let r = r ¯ + r 1 , and treat r ¯ as a new dependent variant. Define X 1 = x x 2 and Y 1 = y y 2 to translate the fixed point E 2 to the origin O ( 0 , 0 ) . Applying a Taylor expansion to the right-hand side of the model yields a reformulated system (4):
X 1 Y 1 a 11 a 12 a 21 a 22 X 1 Y 1 + f 1 ( X 1 , Y 1 , r ¯ ) f 2 ( X 1 , Y 1 , r ¯ ) ,
where
f 1 ( X 1 , Y 1 , r ¯ ) = e 13 X 1 2 + e 14 X 1 Y 1 + e 15 Y 1 2 + e 30 X 1 3 + e 21 X 1 2 Y 1 + e 12 X 1 Y 1 2 + e 03 Y 1 3 + e 1 X 1 r ¯ + e 2 Y 1 r ¯ + e 3 r ¯ 2 + e 4 X 1 Y 1 r ¯ + e 5 X 1 2 r ¯ + e 6 Y 1 2 r ¯ + e 7 X 1 r ¯ 2 + e 8 Y 1 r ¯ 2 + e 9 r ¯ 3 + O ( ( | X 1 | + | Y 1 | + | r ¯ | ) 4 ) , f 2 ( X 1 , Y 1 , r ¯ ) = f 13 X 1 2 + f 14 X 1 Y 1 + f 30 X 1 3 + f 21 X 1 2 Y 1 + O ( ( | X 1 | + | Y 1 | + | r ¯ | ) 4 ) ,
and
a 11 = 1 r x 2 K + 2 m x 2 2 y 2 ( a + x 2 2 ) 2 , a 12 = m x 2 a + x 2 2 , a 21 = c m y 2 ( a x 2 2 ) ( a + x 2 2 ) 2 , a 22 = 1 .
For the computation details of e i j , e i , and f i j , see Appendix A.
Here, the eigenvalues of E 2 are λ 11 = 1 , λ 12 = 3 r ( 3 x 2 3 2 K x 2 2 + a x 2 ) K ( a + x 2 2 ) ( | λ 12 | 1 ) . Under the following transformation,
X 1 Y 1 = a 12 a 12 1 a 11 λ 12 a 11 u 1 v 1 ,
the map (5) can be expressed as
u 1 v 1 1 0 0 λ 12 u 1 v 1 + g 1 ( u 1 , v 1 , r ¯ ) g 2 ( u 1 , v 1 , r ¯ ) ,
where the expressions g 1 ( u 1 , v 1 , r ¯ ) and g 2 ( u 1 , v 1 r ¯ ) are provided in Appendix A.
By virtue of center manifold theory, there exists a center manifold, W C ( 0 , 0 , 0 ) , amenable to the following local approximation:
W C ( 0 , 0 , 0 ) = ( u 1 , v 1 , r ¯ ) : v 1 = m 1 u 1 2 + m 2 u 1 r ¯ + m 3 r ¯ 2 + O ( ( | u 1 | + | r ¯ | ) 2 ) ,
m 1 = a 12 1 λ 12 2 e 13 ( 1 + a 11 ) + f 13 a 12 1 + a 11 1 λ 12 2 e 14 ( 1 + a 11 ) + f 14 a 12 + e 15 ( 1 + a 11 ) 3 a 12 ( 1 λ 12 2 ) , m 2 = e 1 ( 1 + a 11 ) 1 λ 12 2 e 2 ( 1 + a 11 ) 2 a 12 ( 1 λ 12 2 ) , m 3 = e 3 ( 1 + a 11 ) a 12 ( 1 λ 12 2 ) .
Consequently, the map restricted to center manifold W C ( 0 , 0 , 0 ) is expressed as follows:
F : u 1 u 1 + h 1 u 1 2 + h 2 u 1 r ¯ + h 3 r ¯ 2 + h 4 u 1 2 r ¯ + h 5 u 1 r ¯ 2 + h 6 u 1 3 + h 7 r ¯ 3 + o ( ( | u 1 | + | r ¯ | ) 3 ) ,
where the detailed expressions for h i are seen in Appendix A.
Straightforward but detailed calculations show that
α 1 = 2 F u 1 r ¯ + 1 2 F r ¯ 2 F u 1 2 ( 0 , 0 ) = h 2 0 , α 2 = 1 6 3 F u 1 3 + 1 2 2 F u 1 2 ( 0 , 0 ) = h 6 + h 1 2 0 ,
which are the existence conditions for flip bifurcation.
The preceding analysis leads to the following result.
Theorem 5.
A non-zero value of α 2 induces a flip bifurcation in model (4) at E 2 . Furthermore, the sign of α 2 dictates the stability of the bifurcating fixed points: if α 2 > 0 , they are stable (supercritical case); if α 2 < 0 , they are unstable (subcritical case).

3.2. Neimark–Sacker Bifurcation

We now turn to analyzing the possibility of a Neimark–Sacker bifurcation, adopting the conversion coefficient c as the primary bifurcation parameter. In accordance with item ( i i i .2) of Theorem 4, we analyze the Neimark–Sacker bifurcation as c undergoes small perturbations in the neighborhood of H B , where
H B = ( r , m , a , c , d , K ) R + : c = c 1 , 0 < r < r 2 , 0 < d < c a a , K > x 2 ,
and
c 1 = ( a + x 2 2 ) ( 3 x 2 2 2 K x 2 + a ) m ( a x 2 2 ) ( K x 2 ) .
Let X 2 = x x 2 , Y 2 = y y 2 . Here, c = c 1 + c ˜ and c ˜ 1 . Transforming equilibrium E 2 into the origin, we have
X 2 Y 2 a 11 a 12 a 21 a 22 X 2 Y 2 + f ¯ 1 ( X 2 , Y 2 ) f ¯ 2 ( X 2 , Y 2 ) ,
where
f ¯ 1 ( X 2 , Y 2 ) = e 13 X 2 2 + e 14 X 2 Y 2 + e 15 Y 2 2 + e 30 X 2 3 + e 21 X 2 2 Y 2 + e 12 X 2 Y 2 2 + e 03 Y 2 3 + O ( ( | X 2 | + | Y 2 | ) 4 ) , f ¯ 2 ( X 2 , Y 2 ) = f 13 X 2 2 + f 14 X 2 Y 2 + f 30 X 2 3 + f 21 X 2 2 Y 2 + O ( ( | X 2 | + | Y 2 | ) 4 ) ,
and a i j , e i j , f i j are described in (5) by replacing c = c 1 + c ˜ . The characteristic equation of the Jacobian matrix for model (8), evaluated at the equilibrium point ( 0 , 0 ) , is given by
λ 2 P ( c ˜ ) λ + Q ( c ˜ ) = 0 ,
Here, P ( c ˜ ) and Q ( c ˜ ) denote the coefficients dependent on the parameter c ˜ and
P ( c ˜ ) = 1 + 1 r x 2 K + 2 m x 2 2 y 2 ( a + x 2 2 ) 2 ,
Q ( c ˜ ) = 1 r x 2 K + 2 m x 2 2 y 2 ( a + x 2 2 ) 2 + ( c 1 + c ˜ ) m 2 x 2 y 2 ( a x 2 2 ) ( a + x 2 2 ) 3 .
Given that ( r , a , d , c , K , m ) H B , its characteristic roots are as follows:
λ 21 , 22 = P ( c ˜ ) ± i 4 Q ( c ˜ ) P 2 ( c ˜ ) 2 .
Hence,
| λ 21 , 22 | = Q ( c ˜ ) , d | λ 21 , 22 | d c ˜ c ˜ = 0 = m 2 x 2 y 2 ( a x 2 2 ) 2 ( a + x 2 2 ) 3 0 .
Additionally, the constraints λ 21 , 22 j 1 ( j = 1 , 2 , 3 , 4 ) necessitate P ( 0 ) 2 , 0 , 1 , 2 . Under the hypothesis that P 2 ( 0 ) 4 Q ( 0 ) < 0 , one deduces P 2 ( 0 ) < 4 , excising 2 and 2 from the possible values of P ( 0 ) . The residual exclusions, P ( 0 ) 0 and P ( 0 ) 1 , prove equivalent to the following inequalities:
r i K ( a + x 2 2 ) 3 x 2 3 2 K x 2 2 + a x 2 , i = 1 , 2 .
We now construct the canonical form of (8) at c ˜ = 0 by taking α = P ( 0 ) 2 , β = 4 Q ( 0 ) P 2 ( 0 ) 2 and making the assumption that
X 2 Y 2 = a 12 0 α a 11 β u 2 v 2 .
Under transformation (9), the map (8) yields
u 2 v 2 α β β α u 2 v 2 + g ¯ 1 ( u 2 , v 2 ) g ¯ 2 ( u 2 , v 2 ) ,
where
g ¯ 1 ( u 2 , v 2 ) = 1 a 12 ( e 13 X 2 2 + e 14 X 2 Y 2 + e 15 Y 2 2 + e 30 X 2 3 + e 21 X 2 2 Y 2 + e 12 X 2 Y 2 2 + e 03 Y 2 3 ) + O ( | X 2 , Y 2 | 4 ) , g ¯ 2 ( u 2 , v 2 ) = e 13 ( α a 11 ) f 13 a 12 β a 12 X 2 2 + e 14 ( α a 11 ) f 14 a 12 β a 12 X 2 Y 2 + e 15 ( α a 11 ) β a 12 Y 2 2 + e 30 ( α a 11 ) β a 12 X 2 3 + e 21 ( α a 11 ) β a 12 X 2 2 Y 2 + e 12 ( α a 11 ) β a 12 X 2 Y 2 2 + e 03 ( α a 11 ) β a 12 Y 2 3 + O ( | X 2 , Y 2 | 4 ) ,
and X 2 = a 12 u 2 , Y 2 = ( α a 11 ) u 2 β v 2 .
In the following, we aim to characterize a non-zero real number
L = R e ( 1 2 λ 21 ) λ 22 2 1 λ 21 ρ 20 ρ 11 1 2 | ρ 11 | 2 | ρ 02 | 2 + R e ( λ 22 ρ 21 ) ,
where
ρ 20 = 1 8 g ¯ 1 u 2 u 2 g ¯ 1 v 2 v 2 + 2 g ¯ 2 u 2 v 2 + i ( g ¯ 2 u 2 u 2 g ¯ 2 v 2 v 2 2 g ¯ 1 u 2 v 2 ) , ρ 11 = 1 4 g ¯ 1 u 2 u 2 + g ¯ 1 v 2 v 2 + i ( g ¯ 2 u 2 u 2 + g ¯ 2 v 2 v 2 ) , ρ 02 = 1 8 g ¯ 1 u 2 u 2 g ¯ 1 v 2 v 2 2 g ¯ 2 u 2 v 2 + i ( g ¯ 2 u 2 u 2 g ¯ 2 v 2 v 2 + 2 g ¯ 1 u 2 v 2 ) , ρ 21 = 1 16 g ¯ 1 u 2 u 2 u 2 + g ¯ 1 u 2 v 2 v 2 + g ¯ 2 u 2 u 2 v 2 + g ¯ 2 v 2 v 2 v 2 + i g ¯ 2 u 2 u 2 u 2 + 1 16 i [ g ¯ 2 u 2 v 2 v 2 g ¯ 1 u 2 u 2 v 2 g ¯ 1 v 2 v 2 v 2 ] .
Invoking the principles of bifurcation theory for normal forms [26,27], and informed by the aforementioned computations, we establish the following conclusion.
Theorem 6.
A Neimark–Sacker bifurcation occurs at E 2 ( x 2 , y 2 ) as the parameter c varies within a small neighborhood of c 1 . Furthermore, this bifurcation is supercritical if L < 0 , resulting in a stable closed invariant curve. Conversely, if L > 0 , the bifurcation is subcritical and the corresponding closed invariant curve is unstable.
Example 1.
To illustrate our theoretical findings we select the parameters as follows: a = 1.5 , c = 3 , d = 0.8 , K = 0.5 , m = 1 . In this case the system exhibits a period-doubling bifurcation at r = 2.3209 , and the fixed point is ( 0.4453 , 0.3545 ) . The eigenvalues are λ 11 = 1 , λ 12 = 0.9371 . Complex and detailed calculations yield α 2 = 0.24332111 < 0 . From Theorem 5, system (4) admits a subcritical flip bifurcation at E 2 . Figure 1a illustrates the two-dimensional bifurcation diagram of map (4) in the ( r , x ) plane for r varying within [ 1.8 , 3.3 ] , which is a neighborhood around r = 2.3209 . The robust Lyapunov exponent tests shown in Figure 1b confirm the existence of periodic orbits and chaotic dynamics. In Figure 1b, some Lyapunov exponents are negative, indicating the presence of stable fixed points or stable periodic windows; others are positive, signifying chaotic regions.
The system trajectory evolves from a fixed point into a periodic orbit and eventually leads to a chaotic attractor. Moreover, two distinct periodic windows are observed throughout the bifurcation process of the population dynamics. This behavior is illustrated in Figure 1.
Example 2.
Consider the parameters a = 5 , m = 1 , r = 3 , d = 0.1 , K = 1.5 . We have the critical parameter value c = 3.4454 and the fixed point E 2 ( 0.1457 , 13.6002 ) . Now, the eigenvalues are λ 21 , 22 = 0.8657 ± 0.5005 i and the Lyapunov coefficient is L = 0.00631303 . From Theorem 6, system (4) admits a Neimark–Sacker bifurcation at E 2 . We provide the bifurcation diagram with respect to c and its related maximum Lyapunov exponent (see Figure 2). From Figure 2a,b, it is observed that the system transitions from a stable fixed point for c < 3.4454 , resulting in a repelling closed invariant curve that bifurcates around the positive fixed point for c = 3.4454 , indicating a Neimark–Sacker bifurcation. With increasing c, the circle becomes bigger and then disappears. Subsequently, the system tends to a chaotic region. This complicated behavior is also evident from the maximum Lyapunov exponents in Figure 2c. The positive value of the maximum Lyapunov exponent validates the existence of chaotic behavior, negative values imply periodicity, and quasiperiodicity is exhibited if its value is zero. As we show, all our analytical predictions have excellent arguments with numerical results.
The carrying capacity of the prey population serves as a pivotal determinant of ecological system behavior. Through systematic variation of this parameter within a discrete-time predator–prey model, Rajni and Bapan [7] uncovered compelling dynamical transformations, notably the emergence of Neimark–Sacker bifurcations following flip bifurcations. Adopting a complementary parameter regime defined by a = 2.5 , c = 1.8 , d = 0.2 , m = 1 , r = 3 , our analysis corroborates this bifurcation sequence, as evidenced in Figure 3a. Additionally, Figure 3b demonstrates that incremental increases in K precipitate the formation of two equilibria, E 1 ( 8.7131 , y 1 ) , E 2 ( 0.2869 , y 2 ) , whose respective y-components y 1 , 2 vary directly with K. In accordance with Theorem 1, the existence of two positive fixed points is assured when K exceeds the threshold value x 1 = 8.7131 .

4. Codimension-Two Bifurcation Analysis

In this section we delve into the dynamics of strong resonance (including 1:2, 1:3, and 1:4 cases) within this discrete model, using the parameters r and c to drive the bifurcation analysis.

4.1. 1:2 Strong Resonance

To initiate our investigation, we examine the 1:2 resonance occurring in system (4) at E 2 ( x 2 , y 2 ) . Our focus is on the behavior of the system as the parameters are perturbed slightly within a neighborhood of F 12 , where
F 12 = ( a , c , d , K , r , m ) R + : r = r ¯ = 2 r 3 , c = c ¯ = c 1 , 0 < d < c a a , K > x 2 .
Consider an arbitrary set of parameters ( a , d , K , m ) F 12 ; the Jacobian evaluated at the equilibrium E 2 ( x 2 , y 2 ) possesses a pair of eigenvalues, λ 31 = λ 32 = 1 . We introduce a shifted coordinate system via the substitution X 3 = x x 2 , Y 3 = y y 2 , thereby mapping the point ( x 2 , y 2 ) to the origin ( 0 , 0 ) . Consequently, system (4) transforms to
X 3 Y 3 b 11 b 12 b 21 b 22 X 3 Y 3 + F ( X 3 , Y 3 ) G ( X 3 , Y 3 ) ,
here
b 11 = 1 r ¯ x 2 K + 2 m x 2 2 y 2 ( a + x 2 2 ) 2 , b 12 = m x 2 a + x 2 2 , b 21 = c ¯ m y 2 ( a x 2 2 ) ( a + x 2 2 ) 2 , b 22 = 1 ,
and
F ( X 3 , Y 3 ) = e 13 X 3 2 + e 14 X 3 Y 3 + e 15 Y 3 2 + e 30 X 3 3 + e 21 X 3 2 Y 3 + e 12 X 3 Y 3 2 + e 03 Y 3 3 + O ( ( | X 3 | + | Y 3 | ) 4 ) , G ( X 3 , Y 3 ) = f 13 X 3 2 + f 14 X 3 Y 3 + f 30 X 3 3 + f 21 X 3 2 Y 3 + O ( ( | X 3 | + | Y 3 | ) 4 ) .
where e i j , f i j are given in Equation (5) by replacing r , c with r ¯ , c ¯ , respectively.
We denote
J ( r ¯ , c ¯ ) = b 11 b 12 b 21 b 22 ,
whose eigenvalues are λ 31 , 32 = 1 . The corresponding eigenvector q 1 = ( b 12 , 1 b 11 ) T and generalized eigenvector q 2 = ( 0 , 1 ) T can be readily obtained. Meanwhile we can also obtain the eigenvector p 1 = ( 1 b 12 , 0 ) T and generalized eigenvector p 2 = ( 1 + b 11 b 12 , 1 ) T of J T ( r ¯ , c ¯ ) . These four vectors p i , q i C 2 satisfy the following relations:
J q 1 = q 1 , J q 2 = q 2 + q 1 , J T p 2 = p 2 , J T p 1 = p 1 + p 2 , < p 1 , q 1 > = < p 2 , q 2 > = 1 , < p 1 , q 2 > = < p 2 , q 1 > = 0 .
Consider the following transformation: [ X 3 , Y 3 ] T = q 1 u 3 + q 2 v 3 . In the ( u 3 , v 3 ) coordinates, the general model representation of (11) is
u 3 v 3 1 1 θ 1 ( r ¯ , c ¯ ) 1 + θ 2 ( r ¯ , c ¯ ) u 3 v 3 + F 1 ( u 3 , v 3 ) G 1 ( u 3 , v 3 ) ,
where
F 1 ( u 3 , v 3 ) = 2 j + k 3 g j k u 3 j v 3 k , G 1 ( u 3 , v 3 ) = 2 j + k 3 h j k u 3 j v 3 k ,
with
θ 1 = b 12 b 21 ( 1 + b 22 ) ( 1 + b 11 ) , θ 2 = 3 + b 11 , g 20 = e 13 b 12 , g 11 = e 14 b 12 , g 02 = e 15 b 12 , g 30 = e 30 b 12 , g 03 = e 03 b 12 , g 12 = e 12 b 12 , g 21 = e 21 b 12 , h 20 = e 13 ( 1 + b 11 ) b 12 + f 13 , h 11 = e 14 ( 1 + b 11 ) b 12 + f 14 , h 02 = e 15 ( 1 + b 11 ) b 12 , h 12 = e 12 ( 1 + b 11 ) b 12 , h 30 = e 30 ( 1 + b 11 ) b 12 + f 30 , h 21 = e 21 ( 1 + b 11 ) b 12 + f 21 , h 03 = e 03 ( 1 + b 11 ) b 12 .
We employ the transformation
u 3 = ξ 1 + 2 j + k 3 φ j k ( r ¯ , c ¯ ) ξ 1 j ξ 2 k , v 3 = ξ 2 + 2 j + k 3 ψ j k ( r ¯ , c ¯ ) ξ 1 j ξ 2 k .
The coefficients φ j k , ψ j k can be derived from the subsequent discussions. By applying the above transformation and its inverse transformation in map (12), we have the following result:
ξ 1 ξ 2 1 1 θ 1 ( r ¯ , c ¯ ) 1 + θ 2 ( r ¯ , c ¯ ) ξ 1 ξ 2 + Φ ( u 3 , v 3 , r ¯ , c ¯ ) Ψ ( u 3 , v 3 , r ¯ , c ¯ ) ,
where
Φ ( u 3 , v 3 , r ¯ , c ¯ ) = 2 j + k 3 r j k ξ 1 j ξ 2 k + O ( ( | ξ 1 | + | ξ 2 | ) 4 ) , Ψ ( u 3 , v 3 , r ¯ , c ¯ ) = 2 j + k 3 ρ j k ξ 1 j ξ 2 k + O ( ( | ξ 1 | + | ξ 2 | ) 4 ) , r 20 = e ¯ 13 + ψ 20 2 φ 20 φ 02 θ 1 2 + φ 11 θ 1 , r 11 = e ¯ 14 + ψ 11 2 φ 02 θ 1 ( 1 + θ 2 ) + φ 11 ( θ 2 θ 1 ) + 2 φ 20 , r 02 = e ¯ 15 + ψ 02 φ 02 ( 1 + ( 1 + θ 2 ) 2 ) φ 20 + φ 11 ( 1 + θ 2 ) , ρ 20 = f ¯ 13 ψ 02 θ 1 2 + ψ 11 θ 1 + ψ 20 θ 2 + ψ 20 θ 1 , ρ 11 = f ¯ 14 2 ψ 02 θ 1 ( 1 + θ 2 ) + ψ 11 ( 2 θ 1 + 2 θ 2 ) + 2 ψ 20 + φ 11 θ 1 , ρ 02 = f ¯ 15 θ 2 ( 1 + θ 2 ) ψ 02 ( 1 + θ 2 ) ψ 11 ψ 20 + θ 1 φ 02 .
The expressions of r 30 , r 21 , r 12 , r 03 , ρ 30 , ρ 21 , ρ 12 , ρ 03 are tedious and therefore omitted here. For detailed expressions, refer to [30,31].
To eliminate all quadratic terms, we make the necessary adjustments.
r 20 = r 11 = r 02 = ρ 20 = ρ 11 = ρ 02 = 0 .
We can thus obtain φ j k and ψ j k for j + k = 2 . To eliminate all non-resonant cubic terms, we set
r 30 = r 21 = r 12 = r 03 = ρ 30 = ρ 21 = ρ 12 = ρ 03 = 0 ,
from which we can obtain φ j k and ψ j k for j + k = 3 . Hence, the final norm of model (13) in its normal form for 1:2 resonance under the critical condition is as follows:
ξ 1 ξ 2 1 1 θ 1 ( r ¯ , c ¯ ) 1 + θ 2 ( r ¯ , c ¯ ) ξ 1 ξ 2 + 0 C ( r ¯ , c ¯ ) ξ 1 3 + D ( r ¯ , c ¯ ) ξ 1 2 ξ 2 ,
where
C ( r ¯ , c ¯ ) = h 30 + 1 2 h 20 2 + 1 2 h 20 h 11 + g 20 h 20 , D ( r ¯ , c ¯ ) = h 21 + 3 g 30 + 5 4 h 20 h 11 + 1 2 g 20 h 11 + h 20 h 02 + 3 g 20 2 + h 20 2 + 5 2 g 20 h 20 + 5 2 g 11 h 20 + 1 2 h 11 2 .
We denote the normal form map (14) by
ξ Γ θ ( ξ ) .
Next, we approximate this map by a flow. Because if its linear part for θ = 0 ,
ξ 1 ξ 2 1 1 0 1 ξ 1 ξ 2 ,
has negative eigenvalues, then the map Γ θ cannot be approximated by a flow. Nevertheless, the second iterate Γ θ 2 can be effectively approximated by the unit-time shift along a flow. The map Γ θ 2 takes the following form:
ξ 1 ξ 2 1 + θ 1 2 + θ 2 2 θ 1 + θ 1 θ 2 1 + θ 1 2 θ 2 + θ 2 2 ξ 1 ξ 2 + S 1 ( ξ , θ ) S 2 ( ξ , θ ) ,
where
S 1 = C ξ 1 3 + D ξ 1 2 ξ 2 , S 2 = ( 3 C 2 D 2 θ 1 D + θ 2 D ) ξ 1 2 ξ 2 + ( 3 C + 2 D + θ 1 D 2 θ 2 D ) ξ 1 ξ 2 2 + ( 2 C + θ 1 D + θ 2 C ) ξ 1 3 + ( C D + θ 2 D ) ξ 2 3 + O ( ( | ξ 1 | + | ξ 1 | ) 4 ) .
For a sufficiently small θ , map (16) closely approximates the identity map and can be approximated by a flow, because
e Λ ` = 1 + θ 1 2 + θ 2 2 θ 1 + θ 1 θ 2 1 + θ 1 2 θ 2 + θ 2 2 ,
where
Λ ` = θ 1 2 2 3 θ 1 θ 2 2 θ 1 θ 1 2 θ 2 + O ( θ 2 ) ,
and (16) has no quadratic term.
We consider the approximate cubic system as follows:
ξ ˙ 1 ξ ˙ 2 = Λ θ ξ 1 ξ 2 + M 30 ( θ ) ξ 1 3 + M 21 ( θ ) ξ 1 2 ξ 2 + M 12 ( θ ) ξ 1 ξ 2 2 + M 03 ( θ ) ξ 2 3 N 30 ( θ ) ξ 1 3 + N 21 ( θ ) ξ 1 2 ξ 2 + N 12 ( θ ) ξ 1 ξ 2 2 + N 03 ( θ ) ξ 2 3 + O ( ξ 2 ) .
By implementing the procedure detailed in reference [31], three successive Picard iterations are executed for system (17), which consequently leads to the explicit forms of coefficients M i j and N i j :
M 12 = C ( θ ) 4 3 D ( θ ) , M 30 = C ( θ ) , M 21 = 2 C ( θ ) D ( θ ) , M 03 = 1 15 C ( θ ) 4 3 D ( θ ) , N 30 = 2 C ( θ ) , N 03 = 1 3 D ( θ ) , N 12 = C ( θ ) 2 D ( θ ) , N 21 = 3 C ( θ ) 2 D ( θ ) .
Then, we have Λ θ 2 = Λ θ 1 + O ( ( ξ 1 , ξ 2 ) 4 ) , where Λ θ 1 is the flow of system (17), which can be simplified further.
Let
τ 1 = ξ 1 + 1 6 M 12 ( θ ) + 1 12 N 12 ( θ ) ξ 1 3 + 1 4 M 12 ( θ ) + 1 4 N 03 ( θ ) ξ 1 2 ξ 2 + 1 2 M 03 ξ 1 ξ 2 2 , τ 2 = θ 1 ξ 1 ( 2 + 2 3 θ 1 + θ 2 ) ξ 1 + M 30 ( θ ) ξ 1 3 1 2 N 12 ( θ ) ξ 1 2 ξ 2 N 03 ξ 1 ξ 2 2 .
We can then obtain
τ 1 ˙ τ 2 ˙ 0 1 r 1 ( θ ) r 2 ( θ ) τ 1 τ 2 + 0 C 1 ( θ ) τ 1 3 + D 1 ( θ ) τ 1 2 τ 2 ,
where
r 1 ( θ ) = 4 θ 1 + O ( | | θ | | 2 ) , r 2 ( θ ) = 2 θ 1 2 θ 2 + O ( | | θ | | 2 ) ,
and
θ = ( θ 1 , θ 2 ) T , C 1 ( 0 ) = 4 C ( 0 ) , D 1 ( 0 ) = 2 D ( 0 ) 6 C ( 0 ) .
We now examine the bifurcations of the approximating system (18) under the following non-degeneracy conditions: C 1 ( 0 ) 0 , D 1 ( 0 ) 0 .
Without loss of generality, we assume C 1 ( 0 ) > 0 , D 1 ( 0 ) < 0 ; otherwise, we reverse the time direction. Under these assumptions, we rescale the variables, parameters, and time in system (18), obtaining the transformed system below.
l 1 ˙ = l 2 , l 2 ˙ = k 1 l 1 + k 2 l 2 ± l 1 3 l 1 2 l 2 ,
where “+” for C 1 ( 0 ) > 0 , “−” for C 1 ( 0 ) < 0 . Define k 1 = D 1 2 ( θ ) C 1 2 ( θ ) r 1 ( θ ) and k 2 = D 1 ( θ ) C 1 ( θ ) r 2 ( θ ) . For system (18), there exists a pitchfork bifurcation curve F = { ( k 1 , k 2 ) : k 1 = 0 } , generating a pair of symmetry-coupled saddles. For k 1 = 0 , it follows that r 1 = 0 , i.e., θ 1 = 0 . Similarly, the non-degenerate Neimark–Sacker bifurcation condition is H = { ( k 1 , k 2 ) : k 2 = 0 , k 1 < 0 } .
Analogously, crossing the curve
C H = { ( k 1 , k 2 ) : k 2 = 1 5 k 1 + O ( k 1 ) , k 1 < 0 } ,
causes the cycle to vanish via a heteroclinic bifurcation.
By integrating the preceding analysis with the findings reported in [32,33,34], we derive the following key results.
Theorem 7.
Under the conditions C ( r ¯ , c ¯ ) 0 and D ( r ¯ , c ¯ ) + 3 C ( r ¯ , c ¯ ) 0 , map (4) exhibits a 1:2 strong resonance, giving rise to the following bifurcation phenomena:
(I) The stability type of the critical point is determined by the sign of C ( r ¯ , c ¯ ) , corresponding to a saddle for negative values and an elliptic point for positive values. Crucially, D ( r ¯ , c ¯ ) + 3 C ( r ¯ , c ¯ ) 0 determines the bifurcation scenario near the 1:2 point.
(II) Analogous to the pitchfork bifurcation curve F = { ( k 1 , k 2 ) : k 1 = 0 } , there exists a flip bifurcation curve. Crossing this curve results in the bifurcation of a stable period-two orbit from E 2 .
(III) A non-degenerate Neimark–Sacker bifurcation occurs along the curve H = { ( k 1 , k 2 ) : k 2 = 0 , k 1 < 0 } . At this bifurcation, a stable limit cycle materializes, originating from the fixed point E 2 and forming an attractive, closed orbital trajectory around it.
(IV) A heteroclinic bifurcation curve C H = { ( k 1 , k 2 ) : k 2 = 1 5 k 1 + O ( k 1 ) , k 1 < 0 } exists. In an exponentially narrow parameter band around C H , long-period cycles are created and destroyed through fold bifurcations.

4.2. 1:3 Strong Resonance

This subsection examines codimension-two bifurcation with 1:3 resonance in model (4) as r and c vary in a small neighborhood of F 13 , where
F 13 = ( a , c , d , K , r , m ) R + : r = r ˜ = 3 2 r 3 , c = c ˜ = c 1 , 0 < d < c a a , K > x 2 .
We can also shift E 2 to the origin and perform a Taylor expansion of the model about this point, analogous to the development for system (11). The corresponding Jacobian matrix at E 2 is
J ( r ˜ , c ˜ ) = c 11 c 12 c 21 c 22 ,
where
c 11 = 1 r ˜ x 2 K + 2 m x 2 2 y 2 ( a + x 2 2 ) 2 , c 12 = m x 2 a + x 2 2 , c 21 = c ˜ m y 2 ( a x 2 2 ) ( a + x 2 2 ) 2 , c 22 = 1 .
The corresponding eigenvalues are λ 41 , 42 = 1 ± 3 i 2 . It is easy to derive the associated eigenvalues q 3 ( r ˜ , c ˜ ) C 2 , and the adjoint eigenvector p 3 ( r ˜ , c ˜ ) C 2 , and they adhere to the following relationships:
J q 3 = λ 41 q 3 , J T p 3 = λ 42 p 3 , < p 3 , q 3 > = p ¯ 31 q 31 + p ¯ 32 q 32 = 1 .
Hence, we get q 3 = c 12 , 3 + 3 i 2 T , p 3 = 3 i + 1 2 c 12 , 3 i 3 T . It follows that any vector Z = ( X 3 , Y 3 ) T R 2 may be represented as Z = z q 3 + z ¯ q 3 ¯ . This allows (11) to be rewritten as follows:
z 3 i 1 2 z + 2 j + k 3 g j k j ! k ! z j z ¯ k .
The detailed expressions of coefficient g i j can be found in Appendix B.
To eliminate certain second-order terms, the following transformation is introduced:
z = w + 1 2 h 20 w 2 + h 11 w w ¯ + 1 2 h 02 w ¯ 2 ,
where h j k with j + k = 2 will be given later. By applying transformation (21) and its inverse, (20) transforms into
w λ 41 w + 2 j + k 3 σ j k j ! k ! w j w ¯ k .
The expressions for coefficient σ i j are given in Appendix B.
It is important to note that the quadratic terms in Equation (22) must vanish if
h 20 = 3 i 3 g 20 , h 11 = 3 + 3 i 6 g 11 , h 02 = 0 .
Furthermore, the subsequent transformation is strategically formulated to eliminate certain cubic terms:
w = ξ + 1 6 h 30 ξ 3 + 1 2 h 12 ξ ξ ¯ 2 + 1 2 h 21 ξ 2 ξ ¯ + 1 6 h 03 ξ ¯ 3 .
After using (23) and its inverse transformation, model (22) transforms into
ξ 3 i 1 2 ξ + 1 2 g 02 ξ ¯ 2 + 2 j + k 3 r j k j ! k ! ξ j ξ ¯ k ,
where
r 30 = 3 i 3 2 h 30 + σ 30 , r 21 = σ 21 , r 12 = 3 i h 12 + σ 12 , r 03 = 3 i 3 2 h 03 + σ 03 .
On setting
h 30 = 3 + 3 i 6 σ 30 , h 12 = 3 i 3 σ 12 , h 03 = 3 + 3 i 6 σ 03 , h 21 = 0 .
Therefore, the canonical normal form for the 1:3 resonance in the system is systematically derived as
ξ 3 i 1 2 ξ + C ( r ˜ , c ˜ ) ξ ¯ 2 + D ( r ˜ , c ˜ ) ξ | ξ | 2 + O ( | ξ | 4 ) ,
where
C ( r ˜ , c ˜ ) = 1 2 g 02 , D ( r ˜ , c ˜ ) = 3 + 2 3 i 6 g 20 g 11 + 3 3 i 6 | g 11 | 2 + 1 2 g 21 .
Let
C 1 ( r ˜ , c ˜ ) = 3 λ ¯ 41 C ( r ˜ , c ˜ ) = 3 2 ( 3 i + 1 ) C ( r ˜ , c ˜ ) , D 1 ( r ˜ , c ˜ ) = 3 | C ( r ˜ , c ˜ ) | 2 + 3 λ 41 2 D ( r ˜ , c ˜ ) = 3 | C ( r ˜ , c ˜ ) | 2 3 2 ( 3 i + 1 ) D ( r ˜ , c ˜ ) .
Consequently, we can derive the local expressions for the bifurcation curves near the origin for model (24).
Theorem 8.
The stability of the bifurcating closed invariant curve is dictated by the sign of R e D 1 ( r ˜ , c ˜ ) . If R e D 1 ( r ˜ , c ˜ ) > 0 , this curve is unstable. Conversely, if R e D 1 ( r ˜ , c ˜ ) < 0 , the curve is stable, corresponding to a supercritical bifurcation. Notably, a 1:3 resonance bifurcation materializes at E 2 under the joint condition that both C 1 ( r ˜ , c ˜ ) , and R e D 1 ( r ˜ , c ˜ ) are non-zero.

4.3. 1:4 Strong Resonance

Finally, we investigate the 1:4 resonance of system (4) choosing randomly the values ( a , c , d , m , r , K ) from bifurcation set F 14 , where
F 14 = ( a , c , d , K , r , m ) R + : r = r ^ = r 3 , c = c ^ = c 1 , 0 < d < c a a , K > x 2 .
We can also transform E 2 into the origin and expand the model into a Taylor series, reproducing the form of system (11). The Jacobian matrix for the transformed variables ( r ^ , c ^ ) at E 2 is
J ( r ^ , c ^ ) = d 11 d 12 d 21 d 22 ,
where
d 11 = 1 r ^ x 2 K + 2 m x 2 2 y 2 ( a + x 2 2 ) 2 , d 12 = m x 2 a + x 2 2 , d 21 = c ^ m y 2 ( a x 2 2 ) ( a + x 2 2 ) 2 , d 22 = 1 .
J has two eigenvalues λ 51 , 52 = ± i . It is straightforward to identify a pair of adjoint eigenvectors q 4 ( r ^ , c ^ ) C 2 , p 4 ( r ^ , c ^ ) C 2 such that
J q 4 = i q 4 , J T p 4 = i p 4 , < p 4 , q 4 > = 1 .
Hence, we get
q 4 ( r ^ , c ^ ) = d 12 1 + i , p 4 ( r ^ , c ^ ) = 1 i 2 d 12 i 2 .
Any vector Z = ( X 3 , Y 3 ) T R 2 admits the representation Z = z q 4 + z ¯ q ¯ 4 . With this formulation, system (11) takes the form
z i z + 2 j + k 3 g j k j ! k ! z j z ¯ k ,
where
g 20 = 1 + i 2 d 12 e 13 d 12 2 + e 14 d 12 ( 1 + i ) + 2 i e 15 i 2 d 12 f 13 d 12 + f 14 ( 1 + i ) , g 02 = 1 + i 2 d 12 e 13 d 12 2 + e 14 d 12 ( 1 i ) 2 i e 15 i 2 d 12 f 13 d 12 + f 14 ( 1 i ) , g 11 = 1 + i d 12 e 13 d 12 2 + e 14 d 12 + 2 e 15 i d 12 f 13 d 12 + f 14 , g 21 = 1 + i 2 d 12 3 e 30 d 12 3 + e 21 d 12 2 ( 3 + i ) + 2 e 12 d 12 ( i + 2 ) + 6 e 03 ( 1 + i ) i 2 d 12 2 3 f 30 d 12 + f 21 ( 3 + i ) , g 12 = 1 + i 2 d 12 3 e 30 d 12 3 + e 21 d 12 2 ( 3 i ) 4 i e 12 d 12 + 6 e 03 ( 1 i ) i 2 d 12 2 3 f 30 d 12 + f 21 ( 3 i ) , g 30 = 1 + i 2 d 12 e 30 d 12 3 + e 21 d 12 2 ( 1 + i ) + 2 i e 12 d 12 + 2 e 03 ( i 1 ) i 2 d 12 2 f 30 d 12 + f 21 ( 1 + i ) , g 03 = 1 + i 2 d 12 e 30 d 12 3 + e 21 d 12 2 ( 1 i ) 2 i e 12 d 12 2 e 03 ( i + 1 ) i 2 d 12 2 f 30 d 12 + f 21 ( 1 i ) .
The coordinate transformation defined in Equation (21), together with its inverse operation, is systematically applied to eliminate quadratic terms from Equation (25). This procedure yields the simplified system
w i w + 2 j + k 3 σ j k j ! k ! w j w ¯ k ,
where σ j k are determined by
σ 20 = i h 20 + g 20 + h 20 , σ 11 = i h 11 + g 11 h 11 , σ 02 = i h 02 + g 02 + h 02 , σ 21 = 2 g 11 h ¯ 11 + ( 1 2 i ) g 11 h 20 + ( 2 + i ) g 20 h 11 + g 02 h ¯ 02 + g 21 + ( 1 + 3 i ) h 20 h 11 2 ( 1 i ) h 11 h ¯ 11 2 i h 11 g ¯ 11 + i g ¯ 02 h 02 + ( 1 + i ) h ¯ 02 h 02 , σ 12 = 2 ( 1 + i ) g 11 h 11 + g 11 h ¯ 20 + 2 g 02 h ¯ 11 + g 20 h 02 + g 12 + ( 1 i ) h 20 h 02 i g ¯ 20 h 11 i g 02 h 20 2 ( 1 + i ) h 11 2 ( 1 + i ) h 11 h ¯ 20 + 2 ( 1 i ) h 02 h ¯ 11 + 2 i g ¯ 11 h 02 , σ 30 = 3 ( 1 i ) g 20 h 20 + 3 g 11 h ¯ 02 + g 30 + 3 ( 1 i ) h 20 2 3 ( 1 + i ) h 11 h ¯ 02 3 i g ¯ 02 h 11 , σ 03 = 3 g 11 h 02 + 3 g 02 h ¯ 20 + g 03 + 3 ( i 1 ) h 11 h 02 + 3 i g 02 h 11 + 3 i g ¯ 20 h 02 + 3 ( 1 + i ) h 02 h ¯ 20 .
It is important to note that the quadratic terms in Equation (26) should vanish if
h 20 = i 1 2 g 20 , h 11 = i + 1 2 g 11 , h 02 = i + 1 2 g 02 .
Using (23) along with inverse transformation, from (26), one gets
ξ i ξ + 2 j + k 3 r j k j ! k ! ξ j ξ ¯ k ,
where
r 30 = σ 30 + 2 i h 30 , r 21 = σ 21 , r 12 = σ 12 + 2 i h 12 , r 03 = σ 03 .
Set
h 30 = i 2 σ 30 , h 12 = i 2 σ 12 , h 03 = h 21 = 0 .
Applying the preceding coordinate transformation to model (26) yields its canonical normal form at the 1:4 resonance point:
ξ i ξ + C ( r ^ , c ^ ) ξ | ξ | 2 + D ( r ^ , c ^ ) ξ ¯ 3 + O ( | ξ | 4 ) ,
where
C ( r ^ , c ^ ) = 3 i + 1 4 g 11 g 20 + 1 i 2 | g 11 | 2 i + 1 4 | g 02 | 2 + 1 2 g 21 , D ( r ^ , c ^ ) = i 1 4 g 02 g 11 1 + i 4 g 11 g 20 + 1 6 g 03 .
Let C 1 ( r ^ , c ^ ) = 4 i C ( r ^ , c ^ ) , D 1 ( r ^ , c ^ ) = 4 i D ( r ^ , c ^ ) . If D 1 ( r ^ , c ^ ) 0 , we denote B ( r ^ , c ^ ) = C 1 ( r ^ , c ^ ) | D 1 ( r ^ , c ^ ) | .
Using bifurcation theory [32,33,34], we arrive at the following key conclusions.
Theorem 9.
Consider ( r ^ , c ^ ) F 14 . If R e B ( r ^ , c ^ ) 0 and I m B ( r ^ , c ^ ) 0 , then system (4) will experience a 1:4 strong resonance bifurcation at E 2 . Here, B ( r ^ , c ^ ) governs the local bifurcation scenario. This leads to two distinct families of fourth-order equilibrium bifurcations emerging from E 2 : one featuring unstable equilibria, and the other involving attracting or repelling invariant closed curves. The stability properties within these families are critically dependent on the parameter values r , c . Nearby, map (27) displays a rich family of codimension-one bifurcation curves, illustrating the system’s sophisticated bifurcation structures.
We proceed by presenting numerical simulations to corroborate the theoretical predictions and show the various dynamic behaviors exhibited by model (4). Three representative configurations of bifurcation parameters are systematically examined to elucidate the parametric influence on system dynamics.
Case 1. With parameters set to a = 5 , K = 1.5 , d = 0.1 , m = 1 in map (4), we obtain a positive fixed point E 1 ( 0.1457 , 202.6114 ) when r ¯ = 44.6932 , c ¯ = 3.4454 . Further computation reveals that the eigenvalues of the Jacobian matrix J ( E 1 ) are λ 31 , 32 = 1 , alongside C ( r ¯ , c ¯ ) = 6.7764 , D ( r ¯ , c ¯ ) = 1.9966 . According to Theorem 7, these conditions imply that system (4) admits a 1:2 resonance bifurcation at E 2 .
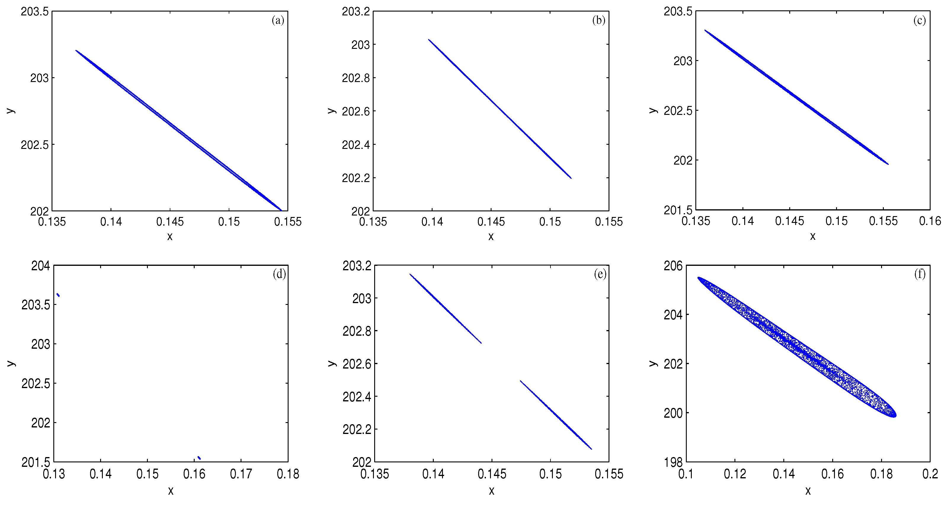
Figure 4a,b present the codimension-two bifurcation diagrams for 1:2 strong resonance within the parameter interval 44.69 r 44.7 . Similarly, Figure 4c,d illustrate analogous bifurcation structures for c ( 3.435 , 3.45 ) . The corresponding phase portraits, generated using ( r , c ) values in a small neighborhood around ( r ¯ , c ¯ ) , are presented in Figure 5. Notably, a unique closed invariant curve emerges from E 2 near the parameter values of r ¯ = 44.6932 , c ¯ = 3.4454 . Additionally, a homoclinic orbit is identified in this discrete model.
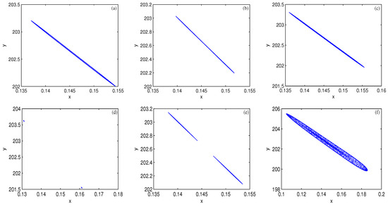
Case 2. Fixing the parameters as a = 5 , K = 1.5 , d = 0.1 , m = 1 , we determine the critical values to be c ˜ = 3.4454 , r ˜ = 33.5199 . The corresponding Jacobian evaluated at this point has eigenvalues λ 1 , 2 = 1 ± 3 i 2 , leading to the positive fixed point E 2 ( 0.1457 , 151.9586 ) . After an enormous amount of tedious calculation, we get C 1 ( r ˜ , c ˜ ) = 0.0397 0.4772 i , D 1 ( r ˜ , c ˜ ) = 1.2701 + 1.2353 i . By Theorem 8, this means that model (4) experiences a 1:3 resonance bifurcation at E 2 .
Figure 6 displays the bifurcation diagrams, while the corresponding phase portraits appear in Figure 7. Notably, no invariant circle exists, and trajectories exhibit divergence in three different directions. This numerical behavior aligns with the observations reported in [35].
Case 3. Fixing the parameters as previously, a = 5 , K = 1.5 , d = 0.1 , m = 1 , we identify the critical parameter values c ^ = 3.4454 , r ^ = 22.3466 . This yields a positive fixed point E 2 ( 0.1457 , 101.3057 ) . Further analysis reveals that the eigenvalues of J ( E 2 ) are λ 1 , 2 = ± i . Subsequent calculations provide the coefficients C 1 ( r ^ , c ^ ) = 0.2371 + 0.1032 i and D 1 ( r ^ , c ^ ) = 0.0165 + 0.0448 i , confirming that both the real and imaginary parts of B ( r ^ , c ^ ) are non-zero. From Theorem 9, this confirms a 1:4 resonance bifurcation occurring at E 2 in model (4).
Figure 8 illustrates the bifurcation diagrams as the parameters r and c vary near c ^ = 3.4454 , r ^ = 22.3266 . The corresponding phase diagrams appear in Figure 9. From Figure 9a–c, it is evident that a closed invariant circle bifurcates from the fixed point E 2 when c = 3.4454 and r increases slightly above 22.26. Conversely, fixing r = 22.3266 reveals in Figure 9d–f that four invariant circles materialize from a period-4 orbit as c increases from 3.441 to 3.4456. The phase portraits highlight the region where the 1:4 resonance takes place, potentially crucial for the development of complex dynamics.
Furthermore, with the parameters fixed as a = 5 , d = 0.1 , K = 1.5 , m = 1 , c = 3.4454 , r = 29.7955 , we observe further intriguing dynamical behavior. At this point, the system is characterized by the coexistence of a unique stable limit cycle, quasiperiodic motions and chaos, as demonstrated by the bifurcation diagram in Figure 10 and the phase portrait in Figure 11.
Building upon the analyses in Section 3 and Section 4, our investigation reveals that the conversion coefficient c, the carrying capacity K, and the intrinsic growth rate r are fundamental determinants of prey growth and overall system dynamics. Accordingly, we treat c, K, and r as key control parameters for a detailed exploration of system (4). Through extensive numerical simulations utilizing various analytical tools, we aim to uncover novel dynamical phenomena. Our analysis extends to mapping the system’s behaviors in the c r and K r parameter planes, with corresponding isoperiodic diagrams presented in Figure 12.
Figure 12a reveals a global and eye-catching view of the c r parametric plane of the present system (4) in the region ( c , r ) [ 3.4 , 4.8 ] × [ 1.5 , 7 ] , with constants a = 5.0 , d = 0.1 , m = 1 , K = 1.5 . Here, we find an infinite sequence of Arnold tongues, the periods of some of these are mentioned just below their tips in Figure 12a. The tips of these Arnold tongues are plunged into the quasiperiodic region, and their tails are rooted into the chaotic zone. These periodic regions are highly organized in a specific direction and the abundances of these regular structures generate various period-adding sequences, similar to Farey trees. Tracing the figure from left to right reveals a fundamental progression: the most prominent tongues exhibit a consistent, unit-by-unit increase in their periods, thus establishing the following sequence:
9 10 11 12 13 14 . . .
Also, we identify another period-adding sequence, consisting of the periods of the largest tongues lying between each pair of easily visible larger tongues, and the successive terms of this sequence are 19 21 23 25 27 . . . , with each term increasing by 2 from the previous one. Furthermore, to elucidate the Farey tree-like sequence in our model, we consider the tongues with rotation numbers 1 / 9 and 1 / 10 , observing that the largest tongue between them has a rotation number of 2 / 19 . Similarly, the tongue with rotation number 2 / 21 lies in between the tongues with rotation numbers 1 / 10 and 1 / 11 , and so on. In such a way, we derive the following sequence of rational numbers:
1 9 , 2 19 , 1 10 , 2 21 , 1 11 , 2 23 , 1 12 , 2 25 , 1 13 ,
This can be represented as a sequence { b n } by b n = 2 n + 19 , for n 0 , which constitutes a segment of the Farey tree encompassing all rationals in [ 0 , 1 ] ([36,37]). In the preceding sequence, the denominator of each term indicates the period of the individual Arnold tongue, and the width of the Arnold tongues diminishes with increasing denominators of rational rotation numbers. The process of period-doubling bifurcation yields additional tongue sequences (e.g., periods 20, 22, 24, 26, 28). Complementing these findings, Figure 12b presents the isoperiodic diagram for the K r plane, generated within the parameter space 1.5 < K < 2.4 and 1.5 < r < 6.5 . This diagram features an Arnold tongue exhibiting properties analogous to the one shown in Figure 12a.

5. Conclusions

We present a thorough investigation into bifurcation phenomena within a discrete-time predator–prey model. The analysis confirms that specific parametric domains evoke codimension-one bifurcations, including Neimark–Sacker and flip bifurcations. Leveraging specialized bifurcation theory and normal form techniques adapted for discrete systems, we further dissect resonant behaviors corresponding to 1:2, 1:3, and 1:4 strong resonances. Robust numerical simulations substantiate the theoretical framework, validate the bifurcation analysis, and uncover complex dynamical patterns triggered by parameter variations. Our work thereby constructs a structured narrative linking localized bifurcation events to overarching nonlinear dynamics.
This study elucidates how fundamental ecological parameters—carrying capacity, conversion efficiency, and intrinsic growth rate—orchestrate the system’s complex dynamics. Crucially, minute perturbations in these traits act as master switches, driving abrupt transitions between stable equilibria, periodic cycles, and chaotic states. Our analysis reveals novel mechanistic pathways: Neimark–Sacker bifurcations initiate delicate quasiperiodic oscillations, while heteroclinic bifurcations enable rapid, unpredictable shifts between distant attractors. Using bifurcation analysis and numerical continuation, we demonstrate how subtle parameter tweaks destabilize populations, triggering cascading effects on community composition and trait distributions. These findings carry profound ecological significance: they prove that minor environmental fluctuations can fundamentally rewire population dynamics and steer evolutionary trajectories, highlighting the fragile nature of ecological stability.
Compared to its continuous-time analog, the discrete-time predator–prey model hosts profoundly richer dynamics, manifested through complex bifurcation cascades, nonlinear resonances, and exotic attractors such as quasiperiodic orbits, heteroclinic networks, and invariant circles. We posit that these emergent structures fundamentally govern interspecific competition between predator and prey. Notably, the discrete formulation amplifies complexity via parameter sensitivity and codimension-two bifurcations, yielding biologically relevant mechanisms for population regulation at seasonal scales—key for understanding structured populations. Future work will explore fractional-order extensions of this model, enabling investigation of non-local interactions and power-law memory effects characteristic of ecological landscapes.

Author Contributions

Conceptualization, X.L. and Y.L.; methodology, X.L.; software, Y.L.; validation, X.L., Y.L., and L.G.; formal analysis, X.L.; investigation, Y.L.; resources, L.G.; data curation, X.L.; writing—original draft preparation, Y.L.; writing—review and editing, L.G.; visualization, Y.L.; supervision, X.L.; project administration, Y.L.; funding acquisition, X.L., Y.L., and L.G. All authors have read and agreed to the published version of the manuscript.

Funding

This research was partially funded by the Tarim University President Fund (TDZKQN201823, TDZKSS201904) and the central government supports the discipline construction projects of local universities (415105003).

Data Availability Statement

The codes that support the findings of this study are available from the corresponding author upon reasonable request.

Acknowledgments

The authors gratefully acknowledge the main editors and anonymous peer reviewers for their valuable comments and suggestions, which greatly contributed to enhancing this manuscript.

Conflicts of Interest

The authors declare no conflicts of interest.

Appendix A

e 13 = r K + 3 m x 2 y 2 ( a + x 2 2 ) 2 4 m x 2 3 y 2 ( a + x 2 2 ) 3 + x 2 2 r K + 2 m x 2 y 2 ( a + x 2 2 ) 2 2 , e 14 = m ( x 2 2 a ) ( a + x 2 2 ) 2 m x 2 a + x 2 2 r K + 2 m x 2 y 2 ( a + x 2 2 ) 2 , e 15 = m 2 x 2 2 ( a + x 2 2 ) 2 , e 30 = m y 2 ( a 3 x 2 2 ) ( a + x 2 2 ) 3 1 r x 2 K + 2 m x 2 2 y 2 ( a + x 2 2 ) 2 + 4 m x 2 2 y 2 ( x 2 2 a ) ( a + x 2 2 ) 4 + 1 2 r K + 2 m x 2 y 2 ( a + x 2 2 ) 2 2 + x 2 6 r K + 2 m x 2 y 2 ( a + x 2 2 ) 2 3 , e 21 = m x 2 ( 3 a x 2 2 ) ( a + x 2 2 ) 3 m 2 x 2 y 2 ( a x 2 2 ) ( a + x 2 2 ) 4 + m ( x 2 2 a ) ( a + x 2 2 ) 2 r K + 2 m x 2 y 2 ( a + x 2 2 ) 2 m x 2 2 ( a + x 2 2 ) 2 r K + 2 m x 2 y 2 ( a + x 2 2 ) 2 2 , e 03 = m 3 x 2 6 ( a + x 2 2 ) 3 , e 12 = m 2 ( a 3 x 2 2 ) 2 ( a + x 2 2 ) 3 + m 2 x 2 2 ( a + x 2 2 ) 2 r K + 2 m x 2 y 2 ( a + x 2 2 ) 2 , e 1 = 1 2 x 2 K + x 2 x 2 2 K r K + 2 m x 2 y 2 ( a + x 2 2 ) 2 , e 3 = x 2 2 1 x 2 K 2 , e 2 = m x 2 a + x 2 2 1 x 2 K , e 6 = m 2 x 2 2 ( a + x 2 2 ) 2 1 x 2 K , e 4 = m ( x 2 2 a ) 2 ( a + x 2 2 ) 2 1 x 2 K + m x 2 2 K ( a + x 2 2 ) m x 2 2 ( a + x 2 2 ) 1 x 2 K r K + 2 m x 2 y 2 ( a + x 2 2 ) 2 , e 5 = 1 K + 1 2 x 2 K r K + 2 m x 2 y 2 ( a + x 2 2 ) 2 + m x 2 y 2 ( a 3 x 2 2 ) ( a + x 2 2 ) 3 1 x 2 K + x 2 2 1 x 2 K r K + 2 m x 2 y 2 ( a + x 2 2 ) 2 2 , e 9 = x 2 6 1 x 2 K 3 , e 7 = 1 2 1 x 2 K 1 3 x 2 K + x 2 2 1 x 2 K 2 r K + 2 m x 2 y 2 ( a + x 2 2 ) 2 , e 8 = m x 2 2 ( a + x 2 2 ) 1 x 2 K 2 , f 13 = c m x 2 y 2 ( x 2 2 3 a ) ( a + x 2 2 ) 3 + y 2 c 2 m 2 ( a x 2 2 ) 2 2 ( a + x 2 2 ) 4 , f 14 = c m ( a x 2 2 ) ( a + x 2 2 ) 2 , f 21 = c m x 2 ( x 2 2 3 a ) ( a + x 2 2 ) 3 + c 2 m 2 ( a x 2 2 ) 2 2 ( a + x 2 2 ) 4 , f 30 = c m y 2 ( 7 x 2 2 a ) ( a + x 2 2 ) 3 8 c m y 2 x 2 4 ( a + x 2 2 ) 4 + x 2 y 2 c 2 m 2 ( a x 2 2 ) ( x 2 2 3 a ) ( a + x 2 2 ) 5 + y 2 c 3 m 3 ( a x 2 2 ) 3 6 ( a + x 2 2 ) 6 .
g 1 ( u 1 , v 1 , r ¯ ) = e 13 ( λ 12 a 11 ) a 12 f 13 a 12 ( 1 + λ 12 ) X 1 2 + e 14 ( λ 12 a 11 ) f 14 a 12 a 12 ( 1 + λ 12 ) X 1 Y 1 + e 15 ( λ 12 a 11 ) a 12 ( 1 + λ 12 ) Y 1 2 + e 30 ( λ 12 a 11 ) f 30 a 12 a 12 ( 1 + λ 12 ) X 1 3 + e 21 ( λ 12 a 11 ) f 21 a 12 a 12 ( 1 + λ 12 ) X 1 2 Y 1 + e 12 ( λ 12 a 11 ) a 12 ( 1 + λ 12 ) X 1 Y 1 2 + e 03 ( λ 12 a 11 ) a 12 ( 1 + λ 12 ) Y 1 3 + e 1 ( λ 12 a 11 ) a 12 ( 1 + λ 12 ) X 1 r ¯ + e 2 ( λ 12 a 11 ) a 12 ( 1 + λ 12 ) Y 1 r ¯ + e 3 ( λ 12 a 11 ) a 12 ( 1 + λ 12 ) r ¯ 2 + e 4 ( λ 12 a 11 ) a 12 ( 1 + λ 12 ) X 1 Y 1 r ¯ + e 5 ( λ 12 a 11 ) a 12 ( 1 + λ 12 ) X 1 2 r ¯ + e 6 ( λ 12 a 11 ) a 12 ( 1 + λ 12 ) Y 1 2 r ¯ + e 7 ( λ 12 a 11 ) a 12 ( 1 + λ 12 ) X 1 r ¯ 2 + e 8 ( λ 12 a 11 ) a 12 ( 1 + λ 12 ) Y 1 r ¯ 2 + e 9 ( λ 12 a 11 ) a 12 ( 1 + λ 12 ) r ¯ 3 + O ( ( | u 1 | + | v 1 | + | r ¯ | ) 4 ) , g 2 ( u 1 , v 1 , r ¯ ) = e 13 ( 1 + a 11 ) + f 13 a 12 a 12 ( 1 + λ 12 ) X 1 2 + e 14 ( 1 + a 11 ) + f 14 a 12 a 12 ( 1 + λ 12 ) X 1 Y 1 + e 15 ( 1 + a 11 ) a 12 ( 1 + λ 12 ) Y 1 2 + e 30 ( 1 + a 11 ) + f 30 a 12 a 12 ( 1 + λ 12 ) X 1 3 + e 21 ( 1 + a 11 ) + f 21 a 12 a 12 ( 1 + λ 12 ) X 1 2 Y 1 + e 12 ( 1 + a 11 ) a 12 ( 1 + λ 12 ) X 1 Y 1 2 + e 03 ( 1 + a 11 ) a 12 ( 1 + λ 12 ) Y 1 3 + e 1 ( 1 + a 11 ) a 12 ( 1 + λ 12 ) X 1 r ¯ + e 2 ( 1 + a 11 ) a 12 ( 1 + λ 12 ) Y 1 r ¯ + e 3 ( 1 + a 11 ) a 12 ( 1 + λ 12 ) r ¯ 2 + e 4 ( 1 + a 11 ) a 12 ( 1 + λ 12 ) X 1 Y 1 r ¯ + e 5 ( 1 + a 11 ) a 12 ( 1 + λ 12 ) X 1 2 r ¯ + e 6 ( 1 + a 11 ) a 12 ( 1 + λ 12 ) Y 1 2 r ¯ + e 7 ( 1 + a 11 ) a 12 ( 1 + λ 12 ) X 1 r ¯ 2 + e 8 ( 1 + a 11 ) a 12 ( 1 + λ 12 ) Y 1 r ¯ 2 + e 9 ( 1 + a 11 ) a 12 ( 1 + λ 12 ) r ¯ 3 + O ( ( | u 1 | + | v 1 | + | r ¯ | ) 4 ) ,
with X 1 = a 12 ( u 1 + v 1 ) , Y 1 = ( 1 + a 11 ) u 1 + ( λ 12 a 11 ) v 1 .
h 1 = a 12 1 + λ 12 [ e 13 ( λ 12 a 11 ) f 13 a 12 ] 1 + a 11 1 + λ 12 [ e 14 ( λ 12 a 11 ) f 14 a 12 ] + e 15 ( λ 12 a 11 ) ( 1 + a 11 ) 2 a 12 ( 1 + λ 12 ) , h 2 = e 1 ( λ 12 a 11 ) 1 + λ 12 e 2 ( λ 12 a 11 ) ( 1 + a 11 ) a 12 ( 1 + λ 12 ) , h 4 = 2 m 2 a 12 1 + λ 12 [ e 13 ( λ 12 a 11 ) f 13 a 12 ] + ( λ 12 1 2 a 11 ) m 2 1 + λ 12 [ e 14 ( λ 12 a 11 ) f 14 a 12 ] + a 12 e 5 ( λ 12 a 11 ) 1 + λ 12 + m 1 e 2 ( λ 12 a 11 ) 2 a 12 ( 1 + λ 12 ) + m 1 e 1 ( λ 12 a 11 ) 1 + λ 12 e 4 ( λ 12 a 11 ) ( 1 + a 11 ) 1 + λ 12 2 m 2 e 15 ( 1 + a 11 ) ( λ 12 a 11 ) 2 a 12 ( 1 + λ 12 ) + e 6 ( λ 12 a 11 ) ( 1 + a 11 ) 2 a 12 ( 1 + λ 12 ) , h 5 = 2 m 3 a 12 1 + λ 12 [ e 13 ( λ 12 a 11 ) f 13 a 12 ] + ( λ 12 1 2 a 11 ) m 3 1 + λ 12 [ e 14 ( λ 12 a 11 ) f 14 a 12 ] + m 2 e 1 ( λ 12 a 11 ) 1 + λ 12 + e 2 m 2 ( λ 12 a 11 ) 2 a 12 ( 1 + λ 12 ) + e 7 ( λ 12 a 11 ) 1 + λ 12 e 8 ( λ 12 a 11 ) ( 1 + a 11 ) a 12 ( 1 + λ 12 ) 2 m 3 e 15 ( 1 + a 11 ) ( λ 12 a 11 ) 2 a 12 ( 1 + λ 12 ) , h 6 = 2 m 1 a 12 1 + λ 12 [ e 13 ( λ 12 a 11 ) a 12 f 13 ] + a 12 2 1 + λ 12 [ e 30 ( λ 12 a 11 ) f 30 a 12 ] a 12 ( 1 + a 11 ) 1 + λ 12 [ e 21 ( λ 12 a 11 ) f 21 a 12 ] 2 m 1 e 15 ( 1 + a 11 ) ( λ 12 a 11 ) 2 a 12 ( 1 + λ 12 ) + m 1 ( λ 12 2 a 11 1 ) 1 + λ 12 [ e 14 ( λ 12 a 11 ) a 12 f 14 ] e 03 ( λ 12 a 11 ) ( 1 + a 11 ) 3 a 12 ( 1 + λ 12 ) + e 12 ( λ 12 a 11 ) ( 1 + a 11 ) 2 1 + λ 12 , h 3 = e 3 ( λ 12 a 11 ) a 12 ( 1 + λ 12 ) , h 7 = e 1 m 3 ( λ 12 a 11 ) 1 + λ 12 + e 2 m 3 ( λ 12 a 11 ) 2 a 12 ( 1 + λ 12 ) + e 9 ( λ 12 a 11 ) a 12 ( 1 + λ 12 ) .

Appendix B

g 20 = 1 + 3 i 2 c 12 2 e 13 c 12 2 + ( 3 + 3 i ) e 14 c 12 + 3 ( 1 + 3 i ) e 15 3 i c 12 6 2 f 13 c 12 + ( 3 + 3 i ) f 14 , g 02 = 1 + 3 i 2 c 12 2 e 13 c 12 2 + ( 3 3 i ) e 14 c 12 + 3 ( 1 3 i ) e 15 3 i c 12 6 2 f 13 c 12 + ( 3 3 i ) f 14 , g 11 = 1 + 3 i c 12 2 e 13 c 12 2 + 3 e 14 c 12 + 6 e 15 3 i c 12 3 2 f 13 c 12 + 3 f 14 , g 21 = 1 + 3 i c 12 3 e 30 c 12 3 + 9 + 3 i 2 e 21 c 12 2 + 9 ( 3 + 3 i ) 2 e 03 + 15 + 3 3 i 2 e 12 c 12 3 i c 12 2 3 3 f 30 c 12 + 9 + 3 i 2 f 21 , g 12 = 1 + 3 i c 12 3 e 30 c 12 3 + 9 3 i 2 e 21 c 12 2 + 9 ( 3 3 i ) 2 e 03 + 15 3 3 i 2 e 12 c 12 3 i c 12 2 3 3 f 30 c 12 + 9 3 i 2 f 21 , g 30 = 1 + 3 i c 12 e 30 c 12 3 + 3 + 3 i 2 e 21 c 12 2 + 3 3 i e 03 + 3 + 3 3 i 2 e 12 c 12 3 i c 12 2 3 f 30 c 12 + 3 + 3 i 2 f 21 , g 03 = 1 + 3 i c 12 e 30 c 12 3 + 3 3 i 2 e 21 c 12 2 3 3 i e 03 + 3 3 3 i 2 e 12 c 12 3 i c 12 2 3 f 30 c 12 + 3 3 i 2 f 21 .
σ 20 = λ 41 h 20 + g 20 λ 41 2 h 20 , σ 11 = λ 41 h 11 + g 11 | λ 41 | 2 h 11 , σ 30 = 3 ( 1 λ 41 ) g 20 h 20 + 3 g 11 h ¯ 02 + g 30 + 3 ( λ 41 3 λ 41 2 ) h 20 2 + 3 ( λ 41 3 | λ 41 | 2 ) h 11 h ¯ 02 3 λ 41 g ¯ 02 h 11 , σ 02 = λ 41 h 02 + g 02 λ ¯ 41 2 h 02 , σ 21 = 2 g 11 h ¯ 11 + g 11 h 20 + 2 g 20 h 11 + g 02 h ¯ 02 + g 21 + 2 λ 41 2 ( λ ¯ 41 1 ) h 20 h 11 2 λ 41 g 11 h 20 λ ¯ 41 g 20 h 11 + 2 | λ 41 | 2 ( λ 41 1 ) | h 11 | 2 2 λ 41 h 11 g ¯ 11 + | λ 41 | 2 ( λ 41 1 ) h 11 h 20 λ ¯ 41 g ¯ 02 h 02 + λ ¯ 41 ( λ 41 2 λ ¯ 41 ) | h 02 | 2 , σ 12 = 2 g 11 h 11 + g 11 h ¯ 20 + 2 g 02 h ¯ 11 + g 20 h 02 + g 12 + λ 41 ( λ ¯ 41 2 λ 41 ) h 20 h 02 λ 41 g ¯ 20 h 11 2 λ 41 g 02 h 20 2 λ ¯ 41 g 11 h 11 + 2 | λ 41 | 2 ( λ ¯ 41 1 ) h 11 2 + | λ 41 | 2 ( λ ¯ 41 1 ) h 11 h ¯ 20 + 2 λ ¯ 41 2 ( λ 41 1 ) h 02 h ¯ 11 2 λ ¯ 41 g ¯ 11 h 02 , σ 03 = 3 g 11 h 02 + 3 g 02 h ¯ 20 + g 03 + 3 ( λ ¯ 41 3 | λ 41 | 2 ) h 11 h 02 3 λ ¯ 41 g 02 h 11 3 λ ¯ 41 g ¯ 20 h 02 + 3 λ ¯ 41 2 ( λ ¯ 41 1 ) h 02 h ¯ 20 , λ 41 = 3 i 1 2 .

References

  1. Tang, D.; Wang, Z.A. Coexistence of heterogeneous predator-prey systems with prey-dependent dispersal. J. Differ. Equ. 2024, 409, 461–497. [Google Scholar] [CrossRef]
  2. Paul, B.; Sikdar, G.C.; Ghosh, U. Effect of fear and non-linear predator harvesting on a predator-prey system in presence of environmental variability. Math. Comput. Simulat. 2025, 227, 442–460. [Google Scholar] [CrossRef]
  3. Li, S.; Zhu, Y.; Dai, Y.; Lin, Y. Stability switching curves and Hopf bifurcation of a fractional predator-prey system with two nonidentical delays. Symmetry 2022, 14, 643. [Google Scholar] [CrossRef]
  4. Umrao, A.K.; Roy, S.; Tiwari, P.K.; Srivastava, P.K. Dynamical behaviors of autonomous and nonautonomous models of generalist predator-prey system with fear, mutual interference and nonlinear harvesting. Chaos Solitons Fractals 2024, 183, 114891. [Google Scholar] [CrossRef]
  5. Din, Q.; Naseem, R.A.; Shabbir, M.S. Predator-prey interaction with fear effects: Stability, bifurcation and two-parameter analysis incorporating complex and fractal behavior. Fractal. Fract. 2024, 8, 221. [Google Scholar] [CrossRef]
  6. Hill, J.L.; Grisnik, M.; Hanscom, R.J.; Sukumaran, J.; Higham, T.E.; Clark, R.W. The past, present, and future of predator-prey interactions in a warming world: Using species distribution modeling to forecast ectotherm-endotherm niche overlap. Ecol. Evol. 2024, 14, e11067. [Google Scholar] [CrossRef]
  7. Rajni, R.; Bapan, G. Arnold tongues, shrimp structures, multistablity, and ecological paradoxes in a discrete-time predator-prey system. Chaos 2024, 34, 123103. [Google Scholar] [CrossRef]
  8. Cui, Q.; Zhang, Q.; Qiu, Z.; Hu, Z. Complex dynamics of a discrete-time predator-prey system with Holling IV functional response. Chaos Solitons Fractals 2016, 87, 158–171. [Google Scholar] [CrossRef]
  9. Holling, C. Some characteristics of simple types of predation and parasitism. Can. Entomol. 1959, 91, 385–398. [Google Scholar] [CrossRef]
  10. Holling, C. The functional response of predator to prey density and its role in mimicry and population regulation. Mem. Entomol. Soc. Can. 1965, 45, 1–60. [Google Scholar] [CrossRef]
  11. Andrews, J. A mathematical model for the continuous culture of microorganisms utilizing inhibitory substrates. Biotechnol. Bioeng. 1968, 10, 707–723. [Google Scholar] [CrossRef]
  12. Boon, B.; Landelout, H. Kinetics of nitrite oxidation by Nitrobacter Winogradski. Biochem. J. 1962, 85, 440–447. [Google Scholar]
  13. Edwards, V. Influence of high substrate concentrations on microbial kinetics. Biotechnol. Bioeng. 1970, 12, 679–712. [Google Scholar] [CrossRef]
  14. Taylor, R. Predation; Chapman and Hall: New York, NY, USA, 1984. [Google Scholar]
  15. Yang, Y.; Meng, F.; Xu, Y. Global bifurcation analysis in a predator-prey system with simplified Holling IV functional response and antipredator behavior. Math. Method. Appl. Sci. 2023, 46, 6135–6153. [Google Scholar]
  16. Amirabad, M.; Rabieimotlagh, O.; Mohammadinejad, H. Permanency in predator-prey models of Leslie type with ratiodependent simplified Holling type-IV functional response. Math. Comput. Simul. 2019, 157, 63–76. [Google Scholar] [CrossRef]
  17. Pang, X.; Qiao, Y. Dynamics of a simplified Holling IV type predator-prey system with weak Allee effect on prey and anti-predator behavior. J. Biol. Syst. 2025, 33, 195–220. [Google Scholar]
  18. Yadav, R.; Sen, M. Spatio-temporal complexity in a prey-predator system with Holling type-IV response and Leslie-type numerical response: Turing and steady-state bifurcations. Math. Comput. Simulat. 2024, 225, 283–302. [Google Scholar]
  19. Hadeler, K.; Gerstmann, I. The discrete Rosenzweig model. Math. Biosci. 1990, 98, 49–72. [Google Scholar] [CrossRef]
  20. Liu, X.; Xiao, D. Complex dynamic behaviors of a discrete-time predator-prey system. Chaos Solitons Fractals 2007, 32, 80–94. [Google Scholar] [CrossRef]
  21. Ajaz, M.; Saeed, U.; Din, Q.; Ali, I.; Siddiqui, M. Bifurcation analysis and chaos control in discrete-time modified Leslie-Gower prey harvesting model. Adv. Differ. Equ. 2020, 2020, 1–24. [Google Scholar]
  22. Shah, S.; Wiener, J. Advanced differential equations with piecewise constant argument deviations. Int. J. Math. Math. Sci. 1983, 6, 671–703. [Google Scholar] [CrossRef]
  23. Din, Q.; Saleem, N.; Shabbir, M. A class of discrete predator-prey interaction with bifurcation analysis and chaos control. Math. Modell. Nat. Phenom. 2020, 15, 60. [Google Scholar] [CrossRef]
  24. Naik, P.; Eskandari, Z.; Yavuz, M.; Zu, J. Complex dynamics of a discrete-time Bazykin-Berezovskaya prey-predator model with a strong Allee effect. J. Comput. Appl. Math. 2022, 413, 114401. [Google Scholar] [CrossRef]
  25. Sharma, V.; Singh, A.; Elsonbaty, A.; Elsadany, A. Codimension-one and -two bifurcation analysis of a discrete-time prey-predator model. Int. J. Dyn. Control 2022, 11, 2691–2705. [Google Scholar] [CrossRef]
  26. Kuznetsov, Y.A. Elements of Applied Bifurcation Theory; Springer: New York, NY, USA, 2004. [Google Scholar]
  27. Wiggins, S. Introduction to Applied Nonlinear Dynamical Systems and Chaos; Springer: New York, NY, USA, 1990. [Google Scholar]
  28. Al-Kaf, M.; El-Metwally, H.; Elsadany, A.; Elabbasy, E. Exploring chaos ad bifurcation in a discrete prey-predator based on coupled logistic map. Sci. Rep. 2024, 14, 16118. [Google Scholar]
  29. Tassaddiq, A.; Shabbir, M.; Din, Q.; Naaz, H. Discretization, bifurcation, and control for a class of predator-prey interactions. Fractal Fract. 2022, 6, 31. [Google Scholar] [CrossRef]
  30. Yousef, A.M.; Algelany, A.M.; Elsadany, A.A. Codimension one and codimension two bifurcations in a discrete Kolmogorov type predator-prey model. J. Comput. Appl. Math. 2023, 428, 115171. [Google Scholar] [CrossRef]
  31. Liu, M.; Meng, F.; Hu, D. Codiemnsion-one and codimension-two bifurcations in a new discrete chaotic map based on gene regulatory network model. Nonlinear Dyn. 2022, 110, 1831–1865. [Google Scholar] [CrossRef]
  32. Liu, X.; Liu, Y. Codimension-two bifurcation analysis on a discrete Gierer-Meinhardt system. Int. J. Bifurca. Chaos 2020, 30, 2050251. [Google Scholar] [CrossRef]
  33. Hu, D.; Yu, X.; Zheng, Z.; Zhang, C.; Liu, M. Multiple bifurcations in a discrete Bazykin predator-prey model with predator intraspecific interactions and ratio-dependent functional response. Qual. Theor. Dyn. Syst. 2023, 22, 99. [Google Scholar] [CrossRef]
  34. Ren, J.; Yu, L. Codimension-two bifurcation, chaos and control in a discrete-time information diffusion model. J. Nonlinear Sci. 2016, 26, 1895–1931. [Google Scholar] [CrossRef]
  35. Ma, J.; Duan, M. Codimension-two bifurcations of a two-dimensional discrete time Lotka-Volterra predator-prey model. Discret. Contin. Dyn. Syst. B 2024, 29, 1217–1242. [Google Scholar]
  36. Schuster, H.; Just, W. Deterministic Chaos: An Introduction; John Wiley & Sons: Weinheim, Germany, 2006. [Google Scholar]
  37. Garai, S.; Karmakar, S.; Jafari, S.; Pal, N. Coexistence of triple, quadruple attractors and Wada basin boundaries in a predator-prey model with additional food for predators. Commun. Nonlinear Sci. Numer. Simul. 2023, 121, 107208. [Google Scholar]
Figure 1. Flip bifurcation and the maximum Lyapunov exponent (MLE) diagrams of system (4) with respect to r [ 1.8 , 3.3 ] .
Figure 1. Flip bifurcation and the maximum Lyapunov exponent (MLE) diagrams of system (4) with respect to r [ 1.8 , 3.3 ] .
Symmetry 17 01459 g001
Figure 2. (a) Neimark–Sacker bifurcation diagram of model (4) in ( c , x ) space. (b) Neimark–Sacker bifurcation diagram of model (4) in ( c , y ) space. (c) Maximum Lyapunov exponent. (d) Magnification of (a) for 4.24 < c < 4.412 .
Figure 2. (a) Neimark–Sacker bifurcation diagram of model (4) in ( c , x ) space. (b) Neimark–Sacker bifurcation diagram of model (4) in ( c , y ) space. (c) Maximum Lyapunov exponent. (d) Magnification of (a) for 4.24 < c < 4.412 .
Symmetry 17 01459 g002
Figure 3. (a) The emergence of both the flip and Neimark–Sacker bifurcation as K varies. (b) The appearance of two positive fixed points as K increases.
Figure 3. (a) The emergence of both the flip and Neimark–Sacker bifurcation as K varies. (b) The appearance of two positive fixed points as K increases.
Symmetry 17 01459 g003
Figure 4. The 1:2 resonance bifurcation diagrams of model (4): (a,b) in ( r , x ) space and ( r , y ) space; (c,d) in ( c , x ) space and ( c , y ) space.
Figure 4. The 1:2 resonance bifurcation diagrams of model (4): (a,b) in ( r , x ) space and ( r , y ) space; (c,d) in ( c , x ) space and ( c , y ) space.
Symmetry 17 01459 g004
Figure 5. Phase portraits corresponding to Figure 4. (a) r = 44.691 , c = 3.4454 ; (b) r = 44.6932 , c = 3.4454 ; (c) r = 44.697 , c = 3.4454 ; (d) r = 44.6932 , c = 3.44 ; (e) r = 44.6932 , c = 3.445 ; (f) r = 44.6932 , c = 3.4469 .
Figure 5. Phase portraits corresponding to Figure 4. (a) r = 44.691 , c = 3.4454 ; (b) r = 44.6932 , c = 3.4454 ; (c) r = 44.697 , c = 3.4454 ; (d) r = 44.6932 , c = 3.44 ; (e) r = 44.6932 , c = 3.445 ; (f) r = 44.6932 , c = 3.4469 .
Symmetry 17 01459 g005
Figure 6. The 1:3 resonance bifurcation diagrams of model (4): (a,b) in ( r , x ) space and ( r , y ) space; (c,d) in ( c , x ) space and ( c , y ) space.
Figure 6. The 1:3 resonance bifurcation diagrams of model (4): (a,b) in ( r , x ) space and ( r , y ) space; (c,d) in ( c , x ) space and ( c , y ) space.
Symmetry 17 01459 g006
Figure 7. Phase portraits corresponding to Figure 6. (a) r = 33.518 , c = 3.4454 ; (b) r = 33.5199 , c = 3.4454 ; (c) r = 33.5205 , c = 3.4454 ; (d) r = 33.5199 , c = 3.445 ; (e) r = 33.5199 , c = 3.4456 ; (f) r = 33.5199 , c = 3.4601 .
Figure 7. Phase portraits corresponding to Figure 6. (a) r = 33.518 , c = 3.4454 ; (b) r = 33.5199 , c = 3.4454 ; (c) r = 33.5205 , c = 3.4454 ; (d) r = 33.5199 , c = 3.445 ; (e) r = 33.5199 , c = 3.4456 ; (f) r = 33.5199 , c = 3.4601 .
Symmetry 17 01459 g007
Figure 8. The 1:4 resonance bifurcation diagrams of model (4): (a,b) in ( r , x ) space and ( r , y ) space; (c,d) in ( c , x ) and ( c , y ) space.
Figure 8. The 1:4 resonance bifurcation diagrams of model (4): (a,b) in ( r , x ) space and ( r , y ) space; (c,d) in ( c , x ) and ( c , y ) space.
Symmetry 17 01459 g008
Figure 9. Phase portraits corresponding to Figure 8. (a) r = 22.26 , c = 3.4454 ; (b) r = 22.3 , c = 3.4454 ; (c) r = 22.3266 , c = 3.4454 ; (d) r = 22.3266 , c = 3.441 ; (e) r = 22.3266 , c = 3.4435 ; (f) r = 22.3266 , c = 3.4456 .
Figure 9. Phase portraits corresponding to Figure 8. (a) r = 22.26 , c = 3.4454 ; (b) r = 22.3 , c = 3.4454 ; (c) r = 22.3266 , c = 3.4454 ; (d) r = 22.3266 , c = 3.441 ; (e) r = 22.3266 , c = 3.4435 ; (f) r = 22.3266 , c = 3.4456 .
Symmetry 17 01459 g009
Figure 10. (a,b) Bifurcation diagram of model (4) in ( r , x ) space and ( r , y ) space. (c,d) Bifurcation diagram of model (4) in ( c , x ) space and ( c , y ) space.
Figure 10. (a,b) Bifurcation diagram of model (4) in ( r , x ) space and ( r , y ) space. (c,d) Bifurcation diagram of model (4) in ( c , x ) space and ( c , y ) space.
Symmetry 17 01459 g010
Figure 11. Phase portraits corresponding to Figure 10. (a) r = 29.78 , c = 3.4454 ; (b) r = 29.7955 , c = 3.4454 ; (c) r = 29.81 , c = 3.4454 ; (d) r = 29.7955 , c = 3.445 ; (e) r = 29.7955 , c = 3.456 ; (f) r = 29.7955 , c = 3.46 .
Figure 11. Phase portraits corresponding to Figure 10. (a) r = 29.78 , c = 3.4454 ; (b) r = 29.7955 , c = 3.4454 ; (c) r = 29.81 , c = 3.4454 ; (d) r = 29.7955 , c = 3.445 ; (e) r = 29.7955 , c = 3.456 ; (f) r = 29.7955 , c = 3.46 .
Symmetry 17 01459 g011
Figure 12. (a) A global view of the c r parametric plane of the model (4). (b) Isoperiodic diagram for the K r parametric plane of the model (4). The colored structures indicate the periodic regime, with colored tongues labeled by their period p.
Figure 12. (a) A global view of the c r parametric plane of the model (4). (b) Isoperiodic diagram for the K r parametric plane of the model (4). The colored structures indicate the periodic regime, with colored tongues labeled by their period p.
Symmetry 17 01459 g012
Disclaimer/Publisher’s Note: The statements, opinions and data contained in all publications are solely those of the individual author(s) and contributor(s) and not of MDPI and/or the editor(s). MDPI and/or the editor(s) disclaim responsibility for any injury to people or property resulting from any ideas, methods, instructions or products referred to in the content.

Share and Cite

MDPI and ACS Style

Liu, Y.; Guo, L.; Liu, X. Multiple Bifurcation Analysis in a Discrete-Time Predator–Prey Model with Holling IV Response Function. Symmetry 2025, 17, 1459. https://doi.org/10.3390/sym17091459

AMA Style

Liu Y, Guo L, Liu X. Multiple Bifurcation Analysis in a Discrete-Time Predator–Prey Model with Holling IV Response Function. Symmetry. 2025; 17(9):1459. https://doi.org/10.3390/sym17091459

Chicago/Turabian Style

Liu, Yun, Lifeng Guo, and Xijuan Liu. 2025. "Multiple Bifurcation Analysis in a Discrete-Time Predator–Prey Model with Holling IV Response Function" Symmetry 17, no. 9: 1459. https://doi.org/10.3390/sym17091459

APA Style

Liu, Y., Guo, L., & Liu, X. (2025). Multiple Bifurcation Analysis in a Discrete-Time Predator–Prey Model with Holling IV Response Function. Symmetry, 17(9), 1459. https://doi.org/10.3390/sym17091459

Note that from the first issue of 2016, this journal uses article numbers instead of page numbers. See further details here.

Article Metrics

Back to TopTop