Quasi-Periodic Hyperbolic Metamaterials Composed of Graphene and Dielectric
Abstract
1. Introduction
2. Theoretical Model and Method
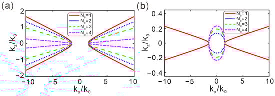
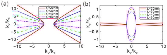
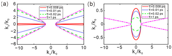
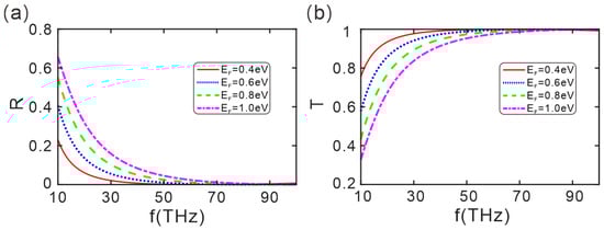
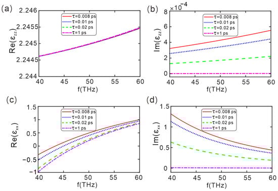
3. Numerical Results and Discussions
4. Conclusions
Author Contributions
Funding
Data Availability Statement
Conflicts of Interest
References
- Du, Q.-J.; Liu, J.-S.; Wang, K.-J.; Yi, X.-N.; Yang, H.-W. Dual-band terahertz left-handed metamaterial with fishnet structure. Chin. Phys. Lett. 2011, 28, 014201. [Google Scholar] [CrossRef]
- Poddubny, A.; Iorsh, I.; Belov, P.; Kivshar, Y. Hyperbolic metamaterials. Nat. Photonics 2013, 7, 948–957. [Google Scholar] [CrossRef]
- Noginov, M.; Lapine, M.; Podolskiy, V.; Kivshar, Y. Focus issue: Hyperbolic metamaterials. Opt. Express 2013, 21, 14895–14897. [Google Scholar] [CrossRef] [PubMed]
- Huo, P.; Zhang, S.; Liang, Y.; Lu, Y.; Xu, T. Hyperbolic metamaterials and metasurfaces: Fundamentals and applications. Adv. Opt. Mater. 2019, 7, 1801616. [Google Scholar] [CrossRef]
- Euvé, L.-P.; Pham, K.; Petitjeans, P.; Pagneux, V.; Maurel, A. Experimental demonstration of negative refraction of water waves using metamaterials with hyperbolic dispersion. Phys. Rev. Fluids 2024, 9, L112801. [Google Scholar] [CrossRef]
- Gao, H.; Zhang, X.; Wang, M.; Ding, C.; Qu, N.; Yang, B.; Zhao, M. Broadband type-I hyperbolicity independent of carrier density in RuOCl2 crystals. Phys. Rev. B 2024, 109, 115432. [Google Scholar] [CrossRef]
- Song, J.; Lu, L.; Cheng, Q.; Luo, Z. Three-body cat transfer between anisotropic magneto-dielectric hyperbolic metamaterials. J. Heat Transf. 2018, 140, 082005. [Google Scholar] [CrossRef]
- Hong, J.; Son, H.; Kim, C.; Mun, S.-E.; Sung, J.; Lee, B. Absorptive metasurface color filters based on hyperbolic metamaterials for a CMOS image sensor. Opt. Express 2021, 29, 3643–3658. [Google Scholar] [CrossRef] [PubMed]
- Liu, X.; Kong, W.; Wang, C.; Pu, M.; Li, Z.; Yuan, D.; Li, X.; Ma, X.; Luo, X. Hyperbolic metamaterial-assisted structured illumination microscopy using periodic sub-diffraction speckles. Opt. Mater. Express 2022, 12, 3108–3117. [Google Scholar] [CrossRef]
- Janaszek, B.; Tyszka-Zawadzka, A.; Szczepanski, P. Graphene-based hyperbolic metamaterial acting as tunable THz power limiter. IEEE J. Sel. Top. Quant. 2023, 29, 470029. [Google Scholar] [CrossRef]
- Novikov, V.B.; Leontiev, A.P.; Napolskii, K.S.; Murzina, T.V. Nonlocality-driven switchable fast-slow light effect in hyperbolic metamaterials in epsilon-near-zero regime. Phys. Rev. B 2022, 106, 165415. [Google Scholar] [CrossRef]
- Majumder, S.; Bhadra, S.K. Enhancement of spontaneous emission induced by all-dielectric hyperbolic metamaterial at quasi-Dirac points. Opt. Commun. 2017, 393, 113–117. [Google Scholar] [CrossRef]
- Baqir, M.A.; Choudhury, P.K. Hyperbolic Metamaterial-Based UV Absorber. IEEE Photonics Technol. Lett. 2017, 29, 1548–1551. [Google Scholar] [CrossRef]
- Baqir, M.A.; Farmani, A.; Fatima, T.; Raza, M.R.; Shaukat, S.F.; Mir, A. Nanoscale, tunable, and highly sensitive biosensor utilizing hyperbolic metamaterials in the near-infrared range. Appl. Opt. 2018, 57, 9447–9454. [Google Scholar] [CrossRef] [PubMed]
- Baqir, M.A.; Choudhury, P.K. Hyperbolic metamaterial-based optical biosensor for detecting cancer cells. IEEE Photonics Technol. Lett. 2023, 35, 183–186. [Google Scholar] [CrossRef]
- Baqir, M.; Altintas, O.; Zakir, S.; Saqlain, M.; Karaaslan, M.; Ali, M.M.; Choudhury, P. Centrally split S-shaped anisotropic reflective metasurface-assisted polarization converter. J. Opt. Soc. Am. B 2025, 42, 1054–1059. [Google Scholar] [CrossRef]
- Zare, S.; Tajani, B.Z.; Edalatpour, S. Effect of nonlocal electrical conductivity on near-field radiative heat transfer between graphene sheets. Phys. Rev. B 2022, 105, 125416. [Google Scholar] [CrossRef]
- Poumirol, J.-M.; Liu, P.Q.; Slipchenko, T.M.; Nikitin, A.Y.; Martin-Moreno, L.; Faist, J.; Kuzmenko, A.B. Electrically controlled terahertz magneto-optical phenomena in continuous and patterned graphene. Nat. Commun. 2017, 8, 14626. [Google Scholar] [CrossRef]
- Wang, L.; Paul, N.K.; Hihath, J.; Gomez-Diaz, J.S. Giant and broadband THz and IR emission in drift-biased graphene-based hyperbolic nanostructures. Appl. Phys. Lett. 2023, 122, 191703. [Google Scholar] [CrossRef]
- Li, Z.; Liang, W.Y.; Chen, W.H. Switchable hyperbolic metamaterials based on the graphene-dielectric stacking structure and optical switches design. Europhys. Lett. 2017, 120, 37001. [Google Scholar] [CrossRef]
- Li, N.; Li, Y.; Yu, D.; Song, H.; Zhang, Q.; Zhou, S.; Fu, S.; Wang, X. Spatial shifts on a hyperbolic metasurface of graphene grating/topological insulators. Sci. Rep. 2024, 14, 29130. [Google Scholar] [CrossRef]
- Hao, S.; Wang, J.; Fanayev, I.; Khakhomov, S.; Li, J. Hyperbolic metamaterial structures based on graphene for THz super-resolution imaging applications. Opt. Mater. Express 2023, 13, 247–262. [Google Scholar] [CrossRef]
- Lu, L.; Zhang, B.; Li, B.; Song, J.; Luo, Z.; Cheng, Q. Weak magnetic field-controlled near-field radiative heat transfer between nanoparticle-based metamaterials. Opt. Lett. 2022, 47, 4087–4090. [Google Scholar] [CrossRef]
- Yang, J.; Xie, Z.; Ni, H.; Qin, Z.; Chen, X.; Zhao, M.; Zhao, D. Tunable GH shift based on hyperbolic metamaterials composed of graphene and dielectric. Sci. Rep. 2025, 15, 7276. [Google Scholar] [CrossRef]
- Yang, J.; Xie, Z.; Ni, H.; Chen, X.; Qin, Z.; Zhao, D.; Zhao, M. Giant spatial Goos-Hänchen shift achieved in superconducting hyperbolic metamaterials with graphene. Opt. Express 2025, 33, 19359–19370. [Google Scholar] [CrossRef]
- Othman, M.A.K.; Guclu, C.; Capolino, F. Graphene-based tunable hyperbolic metamaterials and enhanced near-field absorption. Opt. Express 2013, 21, 7614–7632. [Google Scholar] [CrossRef] [PubMed]
- Gric, T.; Hess, O. Tunable surface waves at the interface separating different graphene-dielectric composite hyperbolic metamaterials. Opt. Express 2017, 25, 11466. [Google Scholar] [CrossRef] [PubMed]
- Iorsh, I.V.; Mukhin, I.S.; Shadrivov, I.V.; Belov, P.A.; Kivshar, Y.S. Hyperbolic metamaterials based on multilayer graphene structures. Phys. Rev. B 2013, 87, 075416. [Google Scholar] [CrossRef]
- Tavana, S.; Bahadori-Haghighi, S.; Ye, W.N. Tunable and ultra-narrowband multifunctional terahertz devices using anisotropic graphene based hyperbolic metamaterials. Sci. Rep. 2024, 14, 31303. [Google Scholar] [CrossRef]
- Eyni, Z.; Milanchian, K. Optical properties of 1D quasiperiodic structures containing graphene-based hyperbolic metamaterials. Opt. Quantum Electron. 2023, 55, 892. [Google Scholar] [CrossRef]
- Tavana, S.; Bahadori-Haghighi, S.; Ye, W.N. Tunable and giant spatial Goos-Hanchen shifts in a parity-time symmetric Cantor photonic crystals incorporated with a centered graphene layer. Phys. Scr. 2023, 98, 055511. [Google Scholar]
- Liu, J.; Shen, J.; Zhao, D.; Zhang, P.; Zubair, M. Photonic passbands induced by optical fractal effect in Cantor dielectric multilayers. PLoS ONE 2022, 17, e0268908. [Google Scholar] [CrossRef]
- Chen, X.; Zhang, P.; Zhong, D.; Dong, J. Tunable Dual- and Multi-Channel Filter Based on Cantor Photonic Crystals Embedded with Graphene. IEEE Access 2023, 11, 8433–8440. [Google Scholar] [CrossRef]
- King, T.C. Optical properties of symmetry breaking of the self-similar order in triadic Cantor photonic crystals. Appl. Opt. 2023, 62, 3632–3636. [Google Scholar] [CrossRef]
- Zhang, Y.; Shi, Y.; Liang, C.H. Broadband tunable graphene-based metamaterial absorber. Opt. Mater. Express 2016, 6, 3036–3044. [Google Scholar] [CrossRef]
- Xu, J.; Fu, X.; Peng, Y.; Wang, S.; Zheng, Z.; Zou, X.; Qian, S.; Jiang, L.; Wang, P. Enhancement and manipulation of group delay based on topological edge state in one-dimensional photonic crystal with graphene. Opt. Express 2021, 29, 30348–30356. [Google Scholar] [CrossRef] [PubMed]
- Jiang, L.; Wang, Q.; Xiang, Y.; Dai, X.; Wen, S. Electrically tunable Goos-Hänchen shift of light beam reflected from a grapheneondielectric surface. IEEE Photonics J. 2013, 5, 6500108. [Google Scholar] [CrossRef]
- Pianelli, A.; Kowerdziej, R.; Dudek, M.; Sielezin, K.; Olifierczuk, M.; Parka, J. Graphene-based hyperbolic metamaterial as a switchable reflection modulator. Opt. Express 2020, 28, 6708–6718. [Google Scholar] [CrossRef]
- Zhao, M.; Chen, X.; Liu, Q.; Liu, J.; Liu, J.; Wang, Y.; Chau, Y.-F.C. Optical fractal in cryogenic environments based on distributed feedback Bragg photonic crystals. PLoS ONE 2023, 18, e0291863. [Google Scholar] [CrossRef] [PubMed]
- Vakil, A.; Engheta, N. Transformation Optics Using Graphene. Science 2011, 332, 1291–1294. [Google Scholar] [CrossRef] [PubMed]
- Sreekanth, K.V.; Luca, A.D.; Strangi, G. Negative refraction in graphene-based hyperbolic metamaterials. Appl. Phys. Lett. 2013, 103, 023107. [Google Scholar] [CrossRef]
- Smith, E.M.; Chen, J.; Hendrickson, J.R.; Cleary, J.W.; Dass, C.; Reed, A.N.; Vangala, S.; Guo, J. Epsilon-near-zero thin-film metamaterials for wideband near-perfect light absorption. Opt. Mater. Express 2020, 10, 2439–2446. [Google Scholar] [CrossRef]
- He, X.; Srinivasan, S.T.; Gupta, S.; Patel, R.M.; Wang, Q.; Davis, L.J.; Forouhar, S. Ultrahigh-power semiconductor lasers and their applications. In Semiconductor Lasers III; SPIE: Bellingham, WA, USA, 1998; Volume 3547, pp. 86–101. [Google Scholar]
- Ismach, A.; Druzgalski, C.; Penwell, S.; Schwartzberg, A.; Zheng, M.; Javey, A.; Bokor, J.; Zhang, Y. Direct chemical vapor deposition of graphene on dielectric surfaces. Nano Lett. 2010, 10, 1542–1548. [Google Scholar] [CrossRef]
- Zhou, F.; Shan, J.; Cui, L.; Qi, Y.; Hu, J.; Zhang, Y.; Liu, Z. Direct plasma-enhanced-Chemical-Vapor-Deposition syntheses of vertically oriented graphene films on functional insulating substrates for wide-range applications. Adv. Funct. Mater. 2022, 32, 2202026. [Google Scholar] [CrossRef]
- Liao, J.; Zhao, Y.; Chen, X.; Hu, Z.; Bu, S.; Zhu, Y.; Lu, Q.; Shang, M.; Wu, H.; Li, F.; et al. Dielectric-assisted transfer using single-crystal antimony oxide for two-dimensional material devices. Nat. Electron. 2025, 8, 309–321. [Google Scholar] [CrossRef]
- Song, Y.; Zou, W.; Lu, Q.; Lin, L.; Liu, Z. Graphene transfer: Paving the road for applications of chemical vapor deposition graphene. Small 2021, 17, 2007600. [Google Scholar] [CrossRef]
- Zhao, Y.; Song, Y.; Hu, Z.; Wang, W.; Chang, Z.; Zhang, Y.; Lu, Q.; Wu, H.; Liao, J.; Zou, W.; et al. Large-area transfer of two-dimensional materials free of cracks, contamination and wrinkles via controllable conformal contact. Nat. Commun. 2022, 13, 4409. [Google Scholar] [CrossRef]













Disclaimer/Publisher’s Note: The statements, opinions and data contained in all publications are solely those of the individual author(s) and contributor(s) and not of MDPI and/or the editor(s). MDPI and/or the editor(s) disclaim responsibility for any injury to people or property resulting from any ideas, methods, instructions or products referred to in the content. |
© 2025 by the authors. Licensee MDPI, Basel, Switzerland. This article is an open access article distributed under the terms and conditions of the Creative Commons Attribution (CC BY) license (https://creativecommons.org/licenses/by/4.0/).
Share and Cite
Zhao, M.; Yang, J.; Zhao, D.; Ni, H.; Chen, X.; Qin, Z.; Yu, Z.; Ao, Y. Quasi-Periodic Hyperbolic Metamaterials Composed of Graphene and Dielectric. Symmetry 2025, 17, 1460. https://doi.org/10.3390/sym17091460
Zhao M, Yang J, Zhao D, Ni H, Chen X, Qin Z, Yu Z, Ao Y. Quasi-Periodic Hyperbolic Metamaterials Composed of Graphene and Dielectric. Symmetry. 2025; 17(9):1460. https://doi.org/10.3390/sym17091460
Chicago/Turabian StyleZhao, Miaomiao, Junfu Yang, Dong Zhao, Hao Ni, Xiaoling Chen, Zhongli Qin, Zhiyong Yu, and Yingquan Ao. 2025. "Quasi-Periodic Hyperbolic Metamaterials Composed of Graphene and Dielectric" Symmetry 17, no. 9: 1460. https://doi.org/10.3390/sym17091460
APA StyleZhao, M., Yang, J., Zhao, D., Ni, H., Chen, X., Qin, Z., Yu, Z., & Ao, Y. (2025). Quasi-Periodic Hyperbolic Metamaterials Composed of Graphene and Dielectric. Symmetry, 17(9), 1460. https://doi.org/10.3390/sym17091460

