Inclined MHD Flow of Carreau Hybrid Nanofluid over a Stretching Sheet with Nonlinear Radiation and Arrhenius Activation Energy Under a Symmetry-Inspired Modeling Perspective
Abstract
1. Introduction
2. Physical Pattern and Interpretation
- The hybrid nanofluid is water-based and contains copper (Cu) and iron oxide (Fe3O4) nanoparticles.
- The analysis includes the effects of Brownian motion, thermophoresis, magnetic field effects, surface chemical reaction rate (), activation energy (E), thermal radiation, and internal heat generation.
- A hot working fluid at temperature convectively heats the nanofluid through the stretching surface; a zero mass flux condition is considered; and as , the temperature and concentration approach their ambient values and , respectively.
3. Physical Quantities
4. Engineering Quantities
5. Execution of Methodology
6. Results and Discussion
7. Numerical Outcomes
7.1. How Boundary Conditions Differ Between Active and Passive Situations
7.2. Engineering Applications or Implications in Thermal Systems or Reactor Designs
8. Concluding Remarks
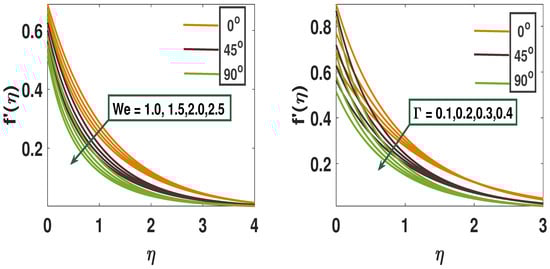
- In both the active and passive control scenarios, the skin friction is decreased with increasing values of magnetic field (M) and Weissenberg ().
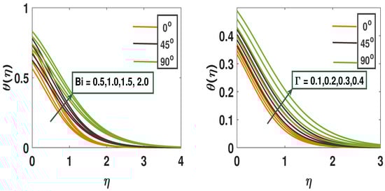
- An increase in the Biot number () and relaxation parameter () enhances heat transfer and thermal response, leading to a rise in temperature distribution in both cases.
- With increasing Biot number (), the concentration profile reduces in the active case but improves in the passive case.
- With growing values of inclination (), skin friction on the 3D surface reaches near the surface, but a reverse effect can be seen in the case of a Nusselt number 3D surface plot.
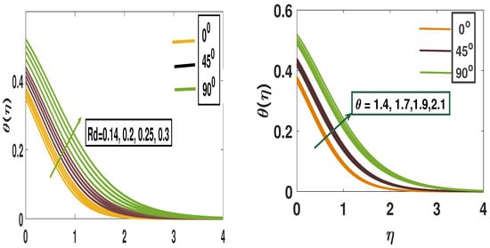
- When we increase the radiation parameter from and Biot number from < < , we see that the Sherwood number also increases.
- As the inclination rises from , the Nusselt number and convective heat transfer in both active and passive cases reduce.
- The Sherwood number likewise rises in the case of active control but falls in the case of passive control for increasing values of inclination from .
- A graphical illustration of the average values of skin friction, Nusselt number, and Sherwood number for both active and passive scenarios is presented, highlighting the impact of each case.
- This study provides valuable engineering insights into enhancing heat and mass transfer through active control methods—such as fixed nanoparticle concentration and wall heating—that are crucial for applications ranging from electromagnetic pumps and nuclear reactors to microelectronic cooling and solar collectors.
- The accuracy of the Carreau model in capturing the complete rheological complexity of nanofluids is limited by its dependence on a fixed functional form, even if it is a useful tool for capturing shear-thinning, particularly when shear rates or time-dependent behaviors are high.
- Symmetry is prominently exhibited across various parameters and profiles as a function of the angle .
Author Contributions
Funding
Data Availability Statement
Acknowledgments
Conflicts of Interest
Nomenclature
| Symbol | Quantity (Unit) |
| Fluid velocity components () | |
| Uniform magnetic field () | |
| f | Non-dimensional radial velocity component () |
| a | Reference velocity (m/s) |
| l | Characteristic length (m) |
| R | Radius of the cylinder (m) |
| Cylindrical coordinates | |
| Reynolds number | |
| Ambient temperature (K(Kelvin)) | |
| T | Fluid temperature (K(Kelvin)) |
| Fluid temperature at the cylinder (K(Kelvin)) | |
| C | Fluid concentration |
| Ambient nanoparticle concentration | |
| n | Power-law index |
| Nanoparticle concentration at the disc | |
| Brownian diffusivity | |
| Thermophoretic diffusion | |
| Prandtl number | |
| M | Magnetic field parameter |
| Local drag coefficient | |
| Local Nusselt number | |
| Local Sherwood number | |
| Curvature parameter | |
| Heat source | |
| Weissenberg number | |
| Chemical reaction parameter | |
| Greek symbols | |
| Non-dimensional temperature | |
| Density (kg) | |
| Dimensionless variable | |
| k | Thermal conductivity () |
| Specific heat capacity () | |
| Viscosity () | |
| Boltzmann’s constant ( | |
| Kinematic Viscosity () | |
| Time material constant (s) | |
| Electrical conductivity ( ) |
References
- Choi, S.U.; Eastman, J.A. Enhancing Thermal Conductivity of Fluids with Nanoparticles; Technical Report; Argonne National Lab. (ANL): Argonne, IL, USA, 1995. [Google Scholar]
- Gholinia, M.; Pourfallah, M.; Chamani, H. Numerical investigation of heat transfers in the water jacket of heavy duty diesel engine by considering boiling phenomenon. Case Stud. Therm. Eng. 2018, 12, 497–509. [Google Scholar] [CrossRef]
- Hayat, T.; Khan, S.A.; Khan, M.I.; Alsaedi, A. Theoretical investigation of Ree–Eyring nanofluid flow with entropy optimization and Arrhenius activation energy between two rotating disks. Comput. Methods Programs Biomed. 2019, 177, 57–68. [Google Scholar] [CrossRef] [PubMed]
- Hayat, T.; Qayyum, S.; Alsaedi, A.; Shafiq, A. Inclined magnetic field and heat source/sink aspects in flow of nanofluid with nonlinear thermal radiation. Int. J. Heat Mass Transf. 2016, 103, 99–107. [Google Scholar] [CrossRef]
- Algehyne, E.A.; Lone, S.A.; Raizah, Z.; Eldin, S.M.; Saeed, A.; Galal, A.M. Chemically reactive hybrid nanofluid flow past a Riga plate with nonlinear thermal radiation and a variable heat source/sink. Front. Mater. 2023, 10, 1132468. [Google Scholar]
- Fatima, K.; Prasad, J.R. Effect of Inclined Magnetic Field and Chemical Reaction on Radiative Hybrid Nanofluid Flow Through an Exponentially Stretched Porous Surface in the Presence of Heat Source. J. Mech. Contin. Math. Sci. 2025, 20, 4. [Google Scholar] [CrossRef]
- Sreenivasulu, M.; Bhuvana Vijaya, R. Influence of exponential heat source, variable viscosity and shape factor on a hybrid nanofluid flow over a flat plate when thermal radiation and chemical reaction are significant. Mod. Phys. Lett. B 2024, 38, 2450102. [Google Scholar] [CrossRef]
- Mabood, F.; Shafiq, A.; Khan, W.A.; Badruddin, I.A. MHD and nonlinear thermal radiation effects on hybrid nanofluid past a wedge with heat source and entropy generation. Int. J. Numer. Methods Heat Fluid Flow 2022, 32, 120–137. [Google Scholar] [CrossRef]
- Kumar, P.; Poonia, H.; Areekara, S.; Sabu, A.; Mathew, A.; Ali, L. Significance of irregular heat source and Arrhenius energy on electro-magnetohydrodynamic hybrid nanofluid flow over a rotating stretchable disk with nonlinear radiation. Numer. Heat Transf. Part Appl. 2024, 85, 1866–1888. [Google Scholar] [CrossRef]
- Ali, K.; Faridi, A.A.; Ahmad, S.; Jamshed, W.; Hussain, S.M.; Tag-Eldin, E.S.M. Quasi-linearization analysis for entropy generation in MHD mixed-convection flow of Casson nanofluid over nonlinear stretching sheet with Arrhenius activation energy. Symmetry 2022, 14, 1940. [Google Scholar] [CrossRef]
- Bilal, S.; Shah, I.A.; Rashid, M.; Khan, I. Impact of activation energy on carreau nanofluid flow over non-linear stretching surface. Heliyon 2024, 10, e23934. [Google Scholar] [CrossRef]
- Kalaivanan, R.; Ganesh, N.V.; Al-Mdallal, Q.M. An investigation on Arrhenius activation energy of second grade nanofluid flow with active and passive control of nanomaterials. Case Stud. Therm. Eng. 2020, 22, 100774. [Google Scholar] [CrossRef]
- Ramesh, G. Analysis of active and passive control of nanoparticles in viscoelastic nanomaterial inspired by activation energy and chemical reaction. Phys. Stat. Mech. Its Appl. 2020, 550, 123964. [Google Scholar] [CrossRef]
- Khan, S.A.; Hayat, T.; Alsaedi, A. Entropy optimization in passive and active flow of liquid hydrogen based nanoliquid transport by a curved stretching sheet. Int. Commun. Heat Mass Transf. 2020, 119, 104890. [Google Scholar] [CrossRef]
- Duari, P.R.; Das, K. Active-passive controls on magneto CNTs nanofluid flow over a wavy rotating disc. Int. J. Model. Simul. 2023, 43, 1–16. [Google Scholar] [CrossRef]
- Kumar, P.; Poonia, H.; Ali, L. Insight into the dynamics of active and passive controls over the measurement of thermal conductivity of nanofluids subject to magnetic field and thermal radiation through the stretching surface. Numer. Heat Transf. Part Appl. 2025, 86, 651–666. [Google Scholar] [CrossRef]
- Bag, R.; Kundu, P.K. Aspects of active-passive controls of nanoparticles of chemically reactive and radiative nanofluid flow past a frequently moving thin needle with thermal and velocity slip: A numerical framework. Numer. Heat Transf. Part Appl. 2024, 85, 3714–3734. [Google Scholar] [CrossRef]
- Hakeem, A.A.; Kalaivanan, R.; Ganga, B.; Ganesh, N.V. Nanofluid slip flow through porous medium with elastic deformation and uniform heat source/sink effects. Comput. Therm. Sci. Int. J. 2019, 11, 269–283. [Google Scholar] [CrossRef]
- Hayat, T.; Aziz, A.; Muhammad, T.; Alsaedi, A.; Mustafa, M. On magnetohydrodynamic flow of second grade nanofluid over a convectively heated nonlinear stretching surface. Adv. Powder Technol. 2016, 27, 1992–2004. [Google Scholar] [CrossRef]
- Hakeem, A.; Kalaivanan, R.; Ganga, B.; Ganesh, N.V. Effect of elastic deformation on nano-second grade fluid flow over a stretching surface. Front. Heat Mass Transf. 2018, 10, 20. [Google Scholar] [CrossRef]
- Waqas, H.; Khan, S.U.; Hassan, M.; Bhatti, M.; Imran, M. Analysis on the bioconvection flow of modified second-grade nanofluid containing gyrotactic microorganisms and nanoparticles. J. Mol. Liq. 2019, 291, 111231. [Google Scholar] [CrossRef]
- Alsaadi, F.E.; Hayat, T.; Khan, S.A.; Alsaadi, F.E.; Khan, M.I. Investigation of physical aspects of cubic autocatalytic chemically reactive flow of second grade nanomaterial with entropy optimization. Comput. Methods Programs Biomed. 2020, 183, 105061. [Google Scholar] [CrossRef] [PubMed]
- Mumtaz, M. Hydrothermal dynamics of darcy Forchheimer ternary hybrid nanofluid flow past bended surface with active—Passive controls. Adv. Mech. Eng. 2024, 16, 16878132241293958. [Google Scholar] [CrossRef]
- Yasmin, H.; Al-Essa, L.A.; Bossly, R.; Alrabaiah, H.; Lone, S.A.; Saeed, A. A numerical investigation of the magnetized water-based hybrid nanofluid flow over an extending sheet with a convective condition: Active and passive controls of nanoparticles. Nanotechnol. Rev. 2024, 13, 20240035. [Google Scholar] [CrossRef]
- Eid, M.R.; Mahny, K.; Dar, A.; Muhammad, T. Numerical study for Carreau nanofluid flow over a convectively heated nonlinear stretching surface with chemically reactive species. Phys. Stat. Mech. Its Appl. 2020, 540, 123063. [Google Scholar] [CrossRef]
- Waqas, H.; Farooq, U.; Liu, D.; Abid, M.; Imran, M.; Muhammad, T. Heat transfer analysis of hybrid nanofluid flow with thermal radiation through a stretching sheet: A comparative study. Int. Commun. Heat Mass Transf. 2022, 138, 106303. [Google Scholar] [CrossRef]
- Aly, E.H.; Roşca, A.V.; Roşca, N.C.; Pop, I. Convective heat transfer of a hybrid nanofluid over a nonlinearly stretching surface with radiation effect. Mathematics 2021, 9, 2220. [Google Scholar] [CrossRef]
- Shah, S.A.A.; Ahammad, N.A.; Din, E.M.T.E.; Gamaoun, F.; Awan, A.U.; Ali, B. Bio-convection effects on prandtl hybrid nanofluid flow with chemical reaction and motile microorganism over a stretching sheet. Nanomaterials 2022, 12, 2174. [Google Scholar] [CrossRef]
- EL-Hakiem, A.; Zaki, A.S.; EL-Zahar, E.R.; Rashad, A.M. Heat Transfer in Hybrid Nanofluid Flow Past an Infinite Orthogonal Plate with Biot Number and Velocity Slip Effects. J. Nanofluids 2024, 13, 65–72. [Google Scholar] [CrossRef]
- Madhukesh, J.; Ramesh, G.; Alsulami, M.; Prasannakumara, B. Characteristic of thermophoretic effect and convective thermal conditions on flow of hybrid nanofluid over a moving thin needle. Waves Random Complex Media 2024, 34, 5773–5795. [Google Scholar] [CrossRef]
- Algehyne, E.A.; Al-Bossly, A.; Alduais, F.S.; Almusawa, M.Y.; Saeed, A. Significance of the inclined magnetic field on the water-based hybrid nanofluid flow over a nonlinear stretching sheet. Nanotechnology 2023, 34, 215401. [Google Scholar] [CrossRef]
- Choudhary, S.; Mehta, R.; Mehta, T. A comparative analysis: Heat transfer in thermally stratified MHD Carreau ternary (Cu-Al2O3-TiO2) hybrid nanofluid flow across an inclined vertical cylinder in presence of radiation. J. Therm. Anal. Calorim. 2025, 1–14. [Google Scholar] [CrossRef]
- Priya, S.; Rajamani, G.R.; Ganga, B.; Hakeem, A.K.A.; Ragupathi, P. Analysing entropy generation of MHD (50: 50) slip flow over an inclined needle. Mech. Eng. Adv. 2023, 1, 106. [Google Scholar] [CrossRef]
- Jat, K.; Sharma, K.; Soni, P.; Choudhary, P. Numerical analysis of heat and mass transport of hybrid nanofluid over a nonlinear stretchable sheet with magnetic field in presence of Soret and dufour Effect. J. Phys. Conf. Ser. 2024, 2844, 012019. [Google Scholar] [CrossRef]
- Rafique, K.; Mahmood, Z.; Ansari, M.A.; Kumar, A.; Khan, U. Investigating Soret–Dufour effects and discharge concentration on accelerating hybrid nanofluid flow over radiative disk embedded in porous media under convective conditions. Can. J. Phys. 2025. [Google Scholar] [CrossRef]
- Ghobadi, A.H.; Hassankolaei, M.G. Numerical treatment of magneto Carreau nanofluid over a stretching sheet considering Joule heating impact and nonlinear thermal ray. Heat Transf. Res. 2019, 48, 4133–4151. [Google Scholar] [CrossRef]
- Mohamed, R.; Abo-Dahab, S.; Soliman, M. Effects of nonlinear thermal radiation and heat generation/absorption on magnetohydrodynamic (MHD) Carreau nanofluid flow on a nonlinear stretching surface through a porous medium. J. Nanofluids 2022, 11, 845–856. [Google Scholar] [CrossRef]
- Reddy, R.R.; Reddy, P.B.A.; Chamkha, J. Influence of Soret and Dufour effects on unsteady 3D MHD slip flow of Carreau nanofluid over a slendering stretchable sheet with chemical reaction. Nonlinear Anal. Model. Control 2019, 24, 853–869. [Google Scholar] [CrossRef]
- Raju, S.S.K.; Babu, M.J.; Raju, C. Irreversibility analysis in hybrid nanofluid flow between two rotating disks with activation energy and cross-diffusion effects. Chin. J. Phys. 2021, 72, 499–529. [Google Scholar] [CrossRef]
- Neethu, T.S.; Areekara, S.; Mathew, A. Statistical approach on 3D hydromagnetic flow of water-based nanofluid between two vertical porous plates moving in opposite directions. Heat Transf. 2021, 50, 5170–5197. [Google Scholar] [CrossRef]
- Ghadikolaei, S.; Yassari, M.; Sadeghi, H.; Hosseinzadeh, K.; Ganji, D. Investigation on thermophysical properties of Tio2–Cu/H2O hybrid nanofluid transport dependent on shape factor in MHD stagnation point flow. Powder Technol. 2017, 322, 428–438. [Google Scholar] [CrossRef]
- Ghadikolaei, S.; Gholinia, M.; Hoseini, M.; Ganji, D. Natural convection MHD flow due to MoS2–Ag nanoparticles suspended in C2H6O2H2O hybrid base fluid with thermal radiation. J. Taiwan Inst. Chem. Eng. 2019, 97, 12–23. [Google Scholar] [CrossRef]
- Khan, W.; Pop, I. Boundary-layer flow of a nanofluid past a stretching sheet. Int. J. Heat Mass Transf. 2010, 53, 2477–2483. [Google Scholar] [CrossRef]
- Sabu, A.S.; Areekara, S.; Mathew, A. Effects of multislip and distinct heat source on MHD Carreau nanofluid flow past an elongating cylinder using the statistical method. Heat Transf. 2021, 50, 5652–5673. [Google Scholar] [CrossRef]












| Cu (nanoparticle 1) | 8933 | 385 | 401 | |
| Fe3O4 (nanoparticle 2) | 5180 | 670 | ||
| H2O (base fluid) | 4179 |
| Pop [43] | Sabu [44] | Current Results | |
|---|---|---|---|
| 0.7 | 0.4539 | 0.453932 | 0.453934 |
| 2.0 | 0.9113 | 0.911359 | 0.911358 |
| 7.0 | 1.8954 | 1.895428 | 1.895422 |
| 20 | 3.3539 | 3.354174 | 3.354175 |
| Active Case | Passive Case | |||||||||||
|---|---|---|---|---|---|---|---|---|---|---|---|---|
| 0.6 | 0.3 | 0.5 | 2 | 0.01 | 0.03 | 0.5 | −0.426450 | −0.482208 | −0.520388 | −0.426450 | −0.482208 | −0.520388 |
| 0.9 | - | - | - | - | - | - | −0.426450 | −0.502912 | −0.548429 | −0.426450 | −0.502912 | −0.548429 |
| 1.2 | - | - | - | - | - | - | −0.426450 | −0.520388 | −0.570130 | −0.426450 | −0.520388 | −0.570130 |
| 0.6 | 0.2 | 0.5 | 2 | 0.01 | 0.03 | 0.5 | −0.426450 | −0.482208 | −0.520388 | −0.426450 | −0.482208 | −0.520388 |
| - | 0.25 | - | - | - | - | - | −0.426450 | −0.502912 | −0.548429 | −0.426450 | −0.502912 | −0.548429 |
| - | 0.3 | - | - | - | - | - | −0.426450 | −0.520388 | −0.570130 | −0.426450 | −0.520388 | −0.570130 |
| 0.6 | 0.3 | 0.1 | 2 | 0.01 | 0.03 | 0.5 | −0.426450 | −0.482208 | −0.520388 | −0.426450 | −0.482208 | −0.520388 |
| - | - | 0.5 | - | - | - | - | −0.426450 | −0.482208 | −0.520388 | −0.426450 | −0.482208 | −0.520388 |
| - | - | 0.9 | - | - | - | - | −0.426450 | −0.482208 | −0.520388 | −0.426450 | −0.482208 | −0.520388 |
| 0.6 | 0.3 | 0.5 | 3 | 0.01 | 0.03 | 0.5 | −0.385051 | −0.429570 | −0.459267 | −0.385051 | −0.429570 | −0.459267 |
| - | - | - | 4 | - | - | - | −0.351204 | −0.388997 | −0.413841 | −0.351204 | −0.388997 | −0.413841 |
| - | - | - | 5 | - | - | - | −0.324313 | −0.357728 | −0.379450 | −0.324313 | −0.388997 | −0.379450 |
| 0.6 | 0.3 | 0.5 | 2 | 0.05 | 0.03 | 0.5 | −0.426450 | −0.482208 | −0.520388 | −0.357728 | −0.482208 | −0.520388 |
| - | - | - | - | 0.09 | - | - | −0.426450 | −0.482208 | −0.520388 | −0.426450 | −0.482208 | −0.520388 |
| - | - | - | - | 0.13 | - | - | −0.426450 | −0.482208 | −0.520388 | −0.426450 | −0.482208 | −0.520388 |
| 0.6 | 0.3 | 0.5 | 2 | 0.01 | 0.05 | 0.5 | −0.426450 | −0.482208 | −0.520388 | −0.426450 | −0.482208 | −0.520388 |
| - | - | - | - | - | 0.09 | - | −0.426450 | −0.482208 | −0.520388 | −0.426450 | −0.482208 | −0.520388 |
| - | - | - | - | - | 0.13 | - | −0.426450 | −0.482208 | −0.520388 | −0.426450 | −0.482208 | −0.520388 |
| 0.6 | 0.3 | 0.5 | 2 | 0.01 | 0.05 | 0.8 | −0.426450 | −0.482208 | −0.520388 | −0.426450 | −0.482208 | −0.520388 |
| - | - | - | - | - | - | 1.2 | −0.426450 | −0.482208 | −0.520388 | −0.426450 | −0.482208 | −0.520388 |
| - | - | - | - | - | - | 1.6 | −0.426450 | −0.482208 | −0.520388 | −0.426450 | −0.482208 | −0.520388 |
| Active Case | Passive Case | |||||||||||
|---|---|---|---|---|---|---|---|---|---|---|---|---|
| 0.6 | 0.3 | 0.5 | 2 | 0.01 | 0.03 | 0.5 | 0.349584 | 0.317248 | 0.273333 | 0.360055 | 0.330280 | 0.290061 |
| 0.9 | - | - | - | - | - | - | 0.349584 | 0.297379 | 0.199832 | 0.360055 | 0.312052 | 0.223279 |
| 1.2 | - | - | - | - | - | - | 0.349584 | 0.273333 | −0.003918 | 0.360055 | 0.273333 | 0.042231 |
| 0.6 | 0.2 | 0.5 | 2 | 0.01 | 0.03 | 0.5 | 0.325822 | 0.299141 | 0.264128 | 0.335611 | 0.311345 | 0.279758 |
| - | 0.25 | - | - | - | - | - | 0.337879 | 0.308439 | 0.269127 | 0.348019 | 0.321072 | 0.285330 |
| - | 0.3 | - | - | - | - | - | 0.349584 | 0.317248 | 0.273333 | 0.360055 | 0.330280 | 0.290061 |
| 0.6 | 0.3 | 0.1 | 2 | 0.01 | 0.03 | 0.5 | 0.348810 | 0.316532 | 0.316532 | 0.359949 | 0.330130 | 0.330130 |
| - | - | 0.5 | - | - | - | - | 0.349584 | 0.317248 | 0.317248 | 0.360055 | 0.330280 | 0.330280 |
| - | - | 0.9 | - | - | - | - | 0.350375 | 0.318020 | 0.318020 | 0.360165 | 0.330442 | 0.330442 |
| 0.6 | 0.3 | 0.5 | 3 | - | - | - | 0.341968 | 0.300657 | 0.236504 | 0.353009 | 0.314996 | 0.256348 |
| - | - | - | 4 | - | - | - | 0.334572 | 0.283575 | 0.190509 | 0.346173 | 0.299283 | 0.214385 |
| - | - | - | 5 | - | - | - | 0.327689 | 0.266210 | 0.129267 | 0.339817 | 0.283332 | 0.158754 |
| 0.6 | 0.3 | 0.5 | 2 | 0.05 | 0.03 | 0.5 | 0.345805 | 0.311777 | 0.264644 | 0.358860 | 0.328223 | 0.286075 |
| - | - | - | - | 0.09 | - | - | 0.341834 | 0.305957 | 0.255152 | 0.357634 | 0.326080 | 0.281793 |
| - | - | - | - | 0.13 | - | - | 0.337655 | 0.299749 | 0.244712 | 0.356373 | 0.323844 | 0.277170 |
| 0.6 | 0.3 | 0.5 | 2 | 0.01 | 0.05 | 0.5 | 0.342710 | 0.308745 | 0.262529 | 0.360104 | 0.330357 | 0.290205 |
| - | - | - | - | - | 0.09 | - | 0.328215 | 0.290902 | 0.240057 | 0.360204 | 0.330511 | 0.290494 |
| - | - | - | - | - | 0.13 | - | 0.312710 | 0.271987 | 0.216594 | 0.360305 | 0.330666 | 0.290784 |
| 0.6 | 0.3 | 0.5 | 2 | 0.01 | 0.03 | 0.8 | 0.450415 | 0.396375 | 0.327558 | 0.468914 | 0.417905 | 0.352914 |
| - | - | - | - | - | - | 1.2 | 0.534184 | 0.458248 | 0.366541 | 0.561358 | 0.488088 | 0.399312 |
| - | - | - | - | - | - | 1.6 | 0.587932 | 0.496235 | 0.389112 | 0.621639 | 0.531886 | 0.426616 |
| Active Case | Passive Case | |||||||||||
|---|---|---|---|---|---|---|---|---|---|---|---|---|
| 0.6 | 0.3 | 0.5 | 2 | 0.01 | 0.03 | 0.5 | 1.111979 | 1.126360 | 1.147271 | 0.535447 | 0.506851 | 0.460016 |
| 0.9 | - | - | - | - | - | - | 1.111979 | 1.135707 | 1.182398 | 0.535447 | 0.486577 | 0.370097 |
| 1.2 | - | - | - | - | - | - | 1.111979 | 1.147271 | 1.262034 | 0.535447 | 0.460016 | 0.079634 |
| 0.6 | 0.2 | 0.5 | 2 | 0.01 | 0.03 | 0.5 | 1.099556 | 1.113706 | 1.133556 | 0.573896 | 0.544894 | 0.500367 |
| - | 0.25 | - | - | - | - | - | 1.105934 | 1.120228 | 1.140653 | 0.553740 | 0.524955 | 0.479307 |
| - | 0.3 | - | - | - | - | - | 1.111979 | 1.126360 | 1.147271 | 0.535447 | 0.506851 | 0.460016 |
| 0.6 | 0.3 | 0.1 | 2 | 0.01 | 0.03 | 0.5 | 1.307818 | 1.318238 | 1.333570 | 0.684649 | 0.650771 | 0.594365 |
| - | - | 0.5 | - | - | - | - | 1.111979 | 1.126360 | 1.147271 | 0.535447 | 0.506851 | 0.460016 |
| - | - | 0.9 | - | - | - | - | 0.948418 | 0.965790 | 0.991166 | 0.419073 | 0.394834 | 0.355932 |
| 0.6 | 0.3 | 0.5 | 3 | 0.01 | 0.03 | 0.5 | 1.115143 | 1.133918 | 1.164693 | 0.529537 | 0.490568 | 0.416902 |
| - | - | - | 4 | - | - | - | 1.118295 | 1.141876 | 1.186010 | 0.529537 | 0.472550 | 0.358837 |
| - | - | - | 5 | - | - | - | 1.121293 | 1.150071 | 1.212635 | 0.517449 | 0.453140 | 0.275991 |
| 0.6 | 0.3 | 0.5 | 2 | 0.05 | 0.03 | 0.5 | 1.051243 | 1.108235 | 1.180308 | 1.045739 | 0.952263 | 0.834727 |
| - | - | - | - | 0.09 | - | - | 1.003659 | 1.106965 | 1.236120 | 1.164466 | 1.047964 | 0.905674 |
| - | - | - | - | 0.13 | - | - | 0.970063 | 1.123787 | 1.316921 | 1.213616 | 1.084267 | 0.926216 |
| 0.6 | 0.3 | 0.5 | 2 | 0.01 | 0.05 | 0.5 | 1.126632 | 1.137419 | 1.154123 | 0.379962 | 0.363621 | 0.332987 |
| - | - | - | - | - | 0.09 | - | 1.144642 | 1.153150 | 1.167153 | 0.240413 | 0.232359 | 0.214578 |
| - | - | - | - | - | 0.13 | - | 1.159754 | 1.167297 | 1.180020 | 0.175869 | 0.170758 | 0.158337 |
| 0.6 | 0.3 | 0.5 | 2 | 0.01 | 0.05 | 0.8 | 1.158940 | 1.171041 | 1.187954 | 0.527143 | 0.499601 | 0.453624 |
| - | - | - | - | - | - | 1.2 | 1.200368 | 1.207502 | 1.218014 | 0.519418 | 0.493237 | 0.448443 |
| - | - | - | - | - | - | 1.6 | 1.227804 | 1.230265 | 1.235525 | 0.514128 | 0.489080 | 0.445253 |
Disclaimer/Publisher’s Note: The statements, opinions and data contained in all publications are solely those of the individual author(s) and contributor(s) and not of MDPI and/or the editor(s). MDPI and/or the editor(s) disclaim responsibility for any injury to people or property resulting from any ideas, methods, instructions or products referred to in the content. |
© 2025 by the authors. Licensee MDPI, Basel, Switzerland. This article is an open access article distributed under the terms and conditions of the Creative Commons Attribution (CC BY) license (https://creativecommons.org/licenses/by/4.0/).
Share and Cite
Kumari, P.; Poonia, H.; Kumar, P.; Aquib, M. Inclined MHD Flow of Carreau Hybrid Nanofluid over a Stretching Sheet with Nonlinear Radiation and Arrhenius Activation Energy Under a Symmetry-Inspired Modeling Perspective. Symmetry 2025, 17, 1330. https://doi.org/10.3390/sym17081330
Kumari P, Poonia H, Kumar P, Aquib M. Inclined MHD Flow of Carreau Hybrid Nanofluid over a Stretching Sheet with Nonlinear Radiation and Arrhenius Activation Energy Under a Symmetry-Inspired Modeling Perspective. Symmetry. 2025; 17(8):1330. https://doi.org/10.3390/sym17081330
Chicago/Turabian StyleKumari, Praveen, Hemant Poonia, Pardeep Kumar, and Md Aquib. 2025. "Inclined MHD Flow of Carreau Hybrid Nanofluid over a Stretching Sheet with Nonlinear Radiation and Arrhenius Activation Energy Under a Symmetry-Inspired Modeling Perspective" Symmetry 17, no. 8: 1330. https://doi.org/10.3390/sym17081330
APA StyleKumari, P., Poonia, H., Kumar, P., & Aquib, M. (2025). Inclined MHD Flow of Carreau Hybrid Nanofluid over a Stretching Sheet with Nonlinear Radiation and Arrhenius Activation Energy Under a Symmetry-Inspired Modeling Perspective. Symmetry, 17(8), 1330. https://doi.org/10.3390/sym17081330

