Next Article in Journal
The Inhomogeneous Road to Chiral Symmetry Breaking: A Ginzburg–Landau–Langevin Analysis
Previous Article in Journal
Two High-Accuracy Linear Finite Difference Schemes for Rosenau–KdV–RLW Equation
Previous Article in Special Issue
A Preliminary Assessment of the Usability of Magnetoplasma Compressors in Scientific and Technical Applications
 
 
Font Type:
Arial Georgia Verdana
Font Size:
Aa Aa Aa
Line Spacing:
Column Width:
Background:
Article

Ozone Generation Study for Indoor Air Purification from Volatile Organic Compounds Using a Cold Corona Discharge Plasma Model

Department of Physics, College of Science, Princess Nourah Bint Abdulrahman University, P.O. Box 84428, Riyadh 11671, Saudi Arabia
*
Author to whom correspondence should be addressed.
Symmetry 2025, 17(4), 567; https://doi.org/10.3390/sym17040567
Submission received: 3 March 2025 / Revised: 3 April 2025 / Accepted: 5 April 2025 / Published: 9 April 2025
(This article belongs to the Special Issue Symmetry in High Voltage and Insulation Technology)

Abstract

Human health is directly affected by indoor environmental quality, and researchers are still working on innovative techniques to remove several pollutants from indoor air, such as non-thermal plasma processes. The purpose of this paper is to investigate the mechanism of ozone production for air purification from volatile organic compounds (VOCs) using symmetric corona discharge. A numerical simulation is performed using COMSOL Multiphysics v.5.1. software based on an electrical and chemical model. The agreement between simulated current–voltage characteristics and experimental results is satisfactory. In addition, the distributions of the charged particle density, the electrical field, and ozone (O3) particle density are illustrated in symmetric geometry. The role of key parameters in determining ozone stability for reducing VOCs from indoor air is determined to enhance air purification using corona discharges. A 45% reduction in voltage reduces the ozone generation rate by nearly 90%. The total amount of ozone decreases with a rise in the temperature. At higher temperatures, a reduction in ozone density is observed in the drift zone. In addition, the ozone generation rate is reduced by 40%, using 0.1 mm tungsten discharge wire instead of 0.2 mm. Using air (80% N2) rather than pure oxygen in any commercial ozonizer produces lower ozone yields. Numerical results show significant findings indicating that ozone generation has a critical role in removing VOCs from indoor air.

1. Introduction

The quality of indoor air is a critical component of environmental health safety in the built environment where VOCs and carbon dioxide (CO2) are often present at a high level [1,2]. The most common means of enhancing the quality of indoor air is via emission source control, air purification, and ventilation. The non-thermal plasma process is an advanced oxidation technique promising to reduce pollution from indoor air. There are several techniques for generating cold plasma, which are used for sterilization, including corona discharges, dielectric barrier discharges, microwave plasmas, and plasma jets [3]. Corona treatment has the advantages of simultaneously removing several pollutants, no temperature or pressure restrictions, high destruction efficiency, no damage caused by heavy loads, easy to install, compact, little maintenance, widely applicable, no additives, and invulnerability, and it can be used on a small scale [4].
Compared to dielectric barrier discharges (DBDs), the corona discharges are more stable and generate more reactive species, while DBDs produce more leakage due to air circulation. Additionally, corona discharge plasma has a greater unipolar ion saturation current and a lower unipolar ion mobility than DBD plasma, because each technique has a different path [5,6].
Many factors contribute to indoor air pollution and respiratory health problems, such as odorous VOCs, dust, and airborne particles. VOCs are defined as a group of carbon chemical substances such as benzene, methylene chloride, formaldehyde, toluene, and xylene. VOCs are produced by a variety of products, including paints, aerosols, solvents, air fresheners, adhesives, pesticides, disinfectants, and cleaning products. Using corona discharge, Hayashi et al. [7] have studied the rate of toluene decomposition under diverse conditions. According to their research, approximately 60% of the toluene is eliminated, and the decomposition rate is unaffected by the rate of gas flow, but it is controlled by means of the rise time of the pulse voltage.
During air purification and in the presence of a corona, electrons, free radicals, excited molecules, ozone, and UV radiation are generated under a wide range of temperature and pressure conditions. The cleavage of bonds or the interaction of radicals allows various hazardous organic pollutants to be broken down. Various gases, such as SO2, H2S, NH3, CO2, and Cl2, are effectively absorbed by the corona discharge when the mass transfer resistance between gas and plasma is decreased. This results in nonhazardous compounds such as H2O, N2O, and HCl that are processed using conventional techniques [8].
Meanwhile, remarkable studies have revealed ozone’s therapeutic potential for air treatment. An ozone generator was developed by Hudson et al. [9] containing eight corona discharge units that remove ozone through a catalytic converter. It was found that the maximum anti-viral efficacy is achieved at 25 ppm of ozone for 15 min followed by 90% relative humidity for a short period of time. Dubuis et al. [10] have demonstrated that the ozone is an effective agent against the virus. Low doses of ozone combined with relative humidity can effectively disinfect airborne microscopic pathogens. By using a commercial air purifier, Petry et al. [11] generated ozone to inactivate the herpes simplex virus. Viral activity was reduced by 70–90% with an ozone exposure of one to three hours at concentrations of 0.02 and 0.05 ppm. Several commercial ozone generators were tested by Dennis et al. [12] to reach the target ozone concentration. Antiviral efficacy was guaranteed at 10–20 ppm for 10 min.
In spite of its advantages in disinfecting workplaces and public places and sterilizing personal protective equipment and disposable masks, ozone can adversely affect health, resulting in respiratory discomfort, chest pain, and coughing when exposed to it for an extended period [13]. Therefore, ozone should be used without human contact, or the ozone concentration should be reduced to safe levels. After disinfection, NO2 and O3 are removed from indoor air by installing air filters and ventilation devices [14] or using metal oxide catalysts, especially manganese oxide catalysts such as MnO2, for ozone decomposition [15].
The efficiency of the ozone generation rate in removing VOCs remains a challenge. It is vital to utilize redundancies and risk assessment methods to continuously improve the safety and performance of used technologies [16,17].
With the advancement of computer technology, several numerical studies have determined the rate of ozone in corona discharge generation for air purification. Firstly, a wire-to-cylinder corona discharge was modeled [18], assimilating the electronic density as an empirical time-dependent expression with uniform azimuthal distribution, injected along the wire at different locations and without performing an electrical stimulation model. Additionally, several authors have applied the finite element method to model transient corona discharges in oxygen and other gases using the flux-corrected transport algorithm [19]. With a selected set of reactions, a numerical model was developed by Chen et al. [20] to determine the rate of production of ozone and the spatial distribution with either a negative or a positive polarity. A plasma chemistry model with the most electrical and neutral charge interactions was performed by Yanallah et al. [21] in a wire-cylinder positive corona discharge to calculate species’ spatial distribution. Recently, Wang et al. [22] analyzed the effect of electrode configuration on ozone generation by combining plasma chemistry and transport phenomena. However, given the divergent conditions and results reported in the literature, there are still several issues to be resolved, where ozone effectiveness and optimal operating parameters must be proven for VOCs’ removal in indoor air environments.
In this work, an ozone prediction symmetric model is performed using the finite element analysis software COMSOL Multiphysics® v.5.1. [23]. Electrostatic field and ozone density distribution are solved using coupled equations. The influence of voltage, current, polarity, temperature, and pressure are also analyzed. In addition, the effect of gaseous impurities like nitrogen or argon in the incident oxygen flow is recognized to be an important factor in the incident yield of generated ozone. The main objective of this paper is to investigate the ozone generation rate for air cleaners using an electrical and chemical model of a DC wire to cylinder corona discharge while highlighting the role of key parameters in determining ozone stability for reducing VOCs from indoor air.

2. Operating Mechanism

Ozone generators (ozonizers) are air purification devices that produce ozone through corona discharge to reduce airborne contaminants, where ozone can attach and oxidize organic contaminants in the air due to its highly reactive composition [24].
An intensified divergent electric field produced by high voltage electrodes with sharp edge geometries is generally required to produce corona discharge (see Figure 1).
Corona discharge results from intense ionization in the high electric field region when the voltage level exceeds the corona inception value. The symmetric ionization zone around the high-electrode voltage creates ions that travel to the opposite electrode through the drift zone with a relatively low electric field. Using corona discharge, air ions are generated by a carbon-fiber ionizer installed downstream of a medium-efficiency air filter, which charges the virus and increases its filtration efficiency. When viruses are captured by the filter, they are exposed to a new flow of air ions. A plaque-forming unit is used to calculate the antiviral effectiveness of the captured virus particles by separating them from the filter. With increasing ion exposure time and ion concentration, antiviral efficiency increased [25].
Both positive and negative polarities can generate corona discharges [26]. However, their appearance and behavior may differ (see Figure 2). In a negative corona discharge (Figure 2a), the electrons generated in the ionization zone leave a thin layer of positive space charges near the cathode, when they travel to the anode. As a result of this cathode sheath, an increased electric field supports ionization (ionization region). The slow electrons will be captured by electronegative molecules (i.e., O2 in air), forming volumetric negative ion charges in space. Consequently, the corona electrode is screened by this space charge and the local field is reduced, suppressing the ionization process (plasma region). In this case, the negative corona exhibits a diffused morphology, and the electrons move along the diffused field, causing an electron avalanche to be dispersed. By transferring momentum between molecules and negative ions, the induced ionic wind increases the active region. When negative ions move toward the anode, the high electric field is reestablished, resulting in the restoration of ionization and the generation of a new current impulse (drift region).
On the other hand, the positive corona has a reversed field direction, as shown in Figure 2b. The electrons converge toward the needle anode (ionization region). During electron avalanches, positive ions drift towards the grounded electrode. In their path, positive ions collide with neutral molecules, transferring momentum and forming the ionic wind (drift region). As a result, the discharge propagates mostly along the central axis, forming a strong and narrow discharge channel in streamer mode. Compared with the negative polarity, there is a greater ionic wind velocity at the center but a smaller active area.

3. Plasma Model Description

A cylinder ozone generator filled with pure oxygen is connected to an infinitely long coaxial wire. It is assumed that the discharge is diffusive, symmetric, and uniform in radial direction. Using fluid equations, the model describes the behavior of charged species in a one-dimensional radial direction between electrodes.

3.1. Equation Corona Discharge Model

To describe a corona discharge within the ozone generator, the continuity equation along with Poisson’s equation is solved. Based on hydrodynamics simulation, drift-diffusion equations are utilized to calculate the electron density [27].
t n e + · Γ e = R e
Γ e = n e μ e · E D e · n e
where t and n e   are, respectively, the time and the electron density. Γ e   and E are, respectively, the electron flux and the electric field vectors. The coefficients μ e (mobility of electrons) and D e (electron diffusivity) are related by the following relation:
D e = μ e T e
where T e   is the temperature of the electrons.
R e is the source term for electrons involving ionization reactions, attachment reactions, and recombination reactions of electrons with positive ions.
R e = R α R η R e p + R 0
R 0   is the initial term of electrons, corresponding to the background ionization, which is defined from the initial conditions.
R α   and R η   are the source terms of ionization and attachment, respectively. For an ionization and attachment reaction i, the term source of recombination R I is calculated using the following equation:
R i = N A × γ 0 ϵ σ i ϵ f ϵ d ϵ
The Avogadro number is N A , γ = 2 e m e , m e represents the mass of the electron, e denotes the electron charge, ϵ is the energy of electrons, σ i ϵ   is the collision cross section of the reaction i , and f ϵ   represents the electron energy distribution function, which is determined based on the Boltzmann equation.
R e p is the recombination term source between electrons and positive ions. For a recombination reaction j, the term source of recombination R j   is calculated using the following equation:
R j = n e × k = 1 n n k × f v j
Here, k , n k , and f v j   represent, respectively, the species, the density of species involved in the reaction of recombination, and the rate constant of reaction j .
The mass fraction equation of non-electron species is resolved for each species:
ρ t w k + ρ u · w k · J k = R k
J k = ρ w k V k
V k = D k w k w k + M n M n Z k μ k E
where ρ , u , and M n   denote, respectively, the gas density, the average velocity, and the average molar mass of the gas. Other variables are specific to non-electron species k , where w k , J k , V k , Z k , D k , μ k , and R k are, respectively, the mass fraction, the diffusion flux vector, the multicomponent diffusion speed vector, the charge number, the diffusion coefficient, the mobility coefficient, and the rate expressing describing its production or consumption.
The source term of positive ions, R p , involves ionization reactions and recombination reactions of positive ions with electrons or with negative ions:
R p = R α R e p R n p + R 0
where R n p   is the term source of recombination between positive and negative ions and R 0 is the initial source term defined from the initial density of positive ions present in the plasma.
The source term of negative ions, R n , involves the attachment reaction and the recombination reaction between negative and positive ions:
R n = R η R n p
Poisson’s equation is utilized to compute the electric field and the electric potential:
2 V = e ε 0 ε r ( n p k n n k n e )
E = V
Here, V represents the electric potential, n e   represents the density of electrons, e represents the electric charge, k indicates the ionic species, n p k and n n k are, respectively, the positive ion density, and the negative ion density. ε 0 and ε r are, respectively, the permittivity of free space and the permittivity of the plasma middle. The space charge density is automatically identified as follows:
ρ i = e · ( n p k n n k n e )
The Sato equation is used to calculate the external circuit current I due to the electron and ion movement between the electrodes [28]
I = e V 0 n p μ p n n μ n n e μ e · E E L d v
where V 0 is the applied voltage on the corona electrode. n n and n p are the densities of negative and positive ions, respectively; μ n and μ p are the mobility coefficient of negative and positive ions, respectively. The Laplacian electric field vector E L is determined by solving the Poisson equation when the total charge is zero.

3.2. Chemistry Model

The model presented in this study includes 15 species of oxygen gas (see Table 1) [29], where a number of charged and uncharged species are used, namely, e, O 2 ,   O ,   O + ,   O 2 + ,   O 3 + ,   O 3 ,   O ,   O 2 ,   O 3 . Different excited states O D 1 ,   O 2 g 1 ,   a n d   O 2 Σ g + 1 of neutral species and vibrational states O 2 *   a n d   O 3 * have been considered in this model.
In some models, the chemical kinetics of oxygen cold plasma involve many reactions, and about 200 reactions have been used, while there are only 15 to 27 reactions used in other models [30]. A total of 97 reactions are considered in this study and are listed in Reference [31].

3.3. Boundary Conditions

Electrical potential and species density boundary conditions are required for a mathematical formulation of the model. DC electric potential drives the discharge. The corona wire (radius r0) is linked to voltage V0, while the exterior cylinder (radius R) is grounded, providing a symmetric discharge around the high-voltage wire.
Random motion within a few mean free paths of the wall results in electrons losing to the wall and gaining through secondary emission effects, which determines the boundary conditions for the normal component of the electron flux density:
n · Γ e = 1 γ e 1 + γ e 1 2 v e , t h n e p γ p Γ i p · n
where p γ p Γ i p · n   is the electron gain due to the secondary emission effect. γ p represents the coefficient measuring the secondary emission of electrons at the cathode and has a value of 0.01 in our model. This same coefficient is considered zero at the anode. γ e is considered null in our model as the coefficient of reflection on the electrode surface. Γ i p · n is the flux of positive ions, and v e , t h   is the thermal velocity of the electrons determined as follow:
v e , t h = 8 K B T e π m e
where K B is the Boltzmann constant, and m e and T e are the mass and the temperature of the electron, respectively.
The boundary conditions for the normal component of the ion flux density are calculated by [32]:
n · Γ i k = 1 4 γ k 8 R g T g π M k n k
where γ k represents the coefficient of sticking of ions to the electrodes, T g denotes the gas temperature, and R g is the thermodynamic constant. M k and n k are the mass and the density of the ionic species k , respectively.
Heavy species such as ions and excited molecules are neutralized at the electrode due to to the electric field orientation and the surface reactions [33]:
n · J k = M w R k + M w e k Z μ k E . n Z k μ k E . n > 0
where ( n · J k ) and ( E . n ) denote the normal component at the wall of the total heavy species current density and of the electric field, respectively. M w is the mass of the ionic species k . e k ,   Z k , and μ k   are, respectively, the elementary charge, the charge sign, and the mobility of the species k .
Besides volumetric reactions between electrons, neutral species, negative ions, and positive ions, there are surface reactions. When volumetric bodies collide with surface walls, these surface reactions are considered. Table 2 lists the surface reactions included in the model. A sticking coefficient is utilized for all radicals and ionic species that have an impact on wall surfaces.

3.4. Initial Conditions

It is assumed that the discharge is diffusive and uniform in the radial direction. A one-dimensional model in the direction between the electrodes is adopted that describes the behavior of the charged species between electrodes. An external circuit consists of a DC power supply that imposes a voltage V0 on the corona electrode.
In the initial conditions, particles’ densities at the corona electrode are assumed to have a Gaussian distribution before discharge, which has no effect on the solution but facilitates discharge [34]
n e , p = n m a x × e x p r r 0 2 2 s 0 2
With n m a x = 10 13   m 3 , r 0 = 100   μ m ,   s 0 = 25   μ m , and   n e , p represent the density of electrons and positive ions.
For numerical simulation, the following step function is used to modulate V0 with the applied transient potential:
V = V 0   t a n h ( t × 10 5 )
The environmental conditions are fixed at a pressure of P = 760 Torr and a temperature of Tg = 300 K. Relative humidity RH affects O3 emission rate by air purifiers. The O3 generation rate of air purifiers through electrical discharge are reduced at elevated relative humidity. The study by Blanchard et al. [35] shows that ozone concentration of 20 ppm inactivates enveloped respiratory viruses like SARS-CoV-2. The authors found that ozone treatment is highly effective (99.9% reduction in viral infectivity) at 50–70% relative humidity due to the increased generation of highly reactive hydroxyl radicals. They conclude that the relative humidity is one of the most important parameters to enhance disinfection procedures requiring a lot of time when the environment is quite dry. Tseng and Chihshan [36] have used an ozone generator to inactivate four different viruses. Airborne inactivation is guaranteed at 0.6–12 ppm for 20–112 min. A lower ozone concentration is required at 85% (RH) than at 55% RH to inactivate all viruses.

3.5. Computational Model

A numerical model is developed using COMSOL Multiphysics finite element software. The plasma modules are composed of the drift diffusion equations used to solve the electron continuity, the mass transfer equation used for the heavy species transport, and the Poisson equation to solve the electric field equation.
For the generation of the mesh in the solution domain, the characteristic parameters of the plasma are taken into consideration. Generally, the resolution of DC corona discharge shows a large gradient in the regions near the electrodes while the changes are milder in the outer regions. Consequently, the mesh located near the electrodes has been refined for the purpose of improving calculation accuracy. The size of the mesh element is distributed in an axisymmetric manner in the domain of the solution and gradually increases in a geometric sequence going from the surface of two electrodes to the midpoint of the domain of the solution.
Error checking is provided to verify the convergence characteristics. In the simulations of corona discharges, it is verified that the distribution density of charged species is unchanged beyond a certain time of microseconds (depending on the parameter of the circuit). The time step ∆t of the simulation is adaptative, depends on the tolerance used, and varies between 10−9 and 10−7 s.

4. Discussion and Results

In this study, an ozone prediction model is developed for a symmetric DC corona discharge from the wire cathode V = 5 kV, I = 10 µAcm−1 to the cylinder anode i at atmospheric pressure n pure oxygen and at T = 300 K. The wire radius is 0.002 cm, and the interelectrode distance is 1 cm.
First, a comparison of computational discharge voltage–current characteristics with experimental results is used to verify the developed model. Then, the accuracy of the calculation procedure is verified by testing the electrostatic field and ozone density distribution by means of model validation. Finally, the influence of voltage, current, polarity, temperature, and pressure factors are also analyzed. Moreover, the effect of impurities on the gas flow is discussed.

4.1. Validation Model

A comparison of simulated current–voltage distributions with experimental measurements [37] of DC corona discharges in different polarities is shown in Figure 3. Considering the system length is much higher than the electrode radius, the linear current density is more appropriate (per unit length).
The electric current in negative and positive discharge is negligible until the electric voltage is equal to the corona inception voltage. From this value, with increasing voltage, the current increases rapidly. Peek’s formula defines the corona ignition voltage [38].
V 0 = E 0 r 0 ln ( d / r 0 )
where E 0 denotes the electric field initial value at the corona electrode surface, r 0 represents the conductor radius, and ( d ) is the interelectrode distance.
In comparison with the positive polarity, there is a greater breakdown voltage associated with the negative polarity. This might explain why under the same voltage conditions, negative polarity displays greater current than positive polarity.
The model’s validity is confirmed by good agreement between computational and experimental data.

4.2. Corona Discharge Mechanism

Figure 4 illustrates the distribution of charged species showing that the discharge gap consists of three regions. First, an ionization region is observed, extending to 0.002 cm around the cathode. Consequently, there exists a strong electric field in the positive charge separation region, which forces electrons to accelerate to energies capable of ionizing the background gas. With increasing negative voltage, the bombardment of the positive ions becomes more persistent on the surface of the cathode, producing more secondary electrons that ionize neutral molecules and generating a greater ion current. Ionization takes place primarily by direct ionization of O2 and the dominant ion in the ionization region O 2 + .
e + O 2     O 2 + + 2 e
The second one refers to an active region extending from 0.002 to 0.04 cm nearby. Ion density is about two orders of magnitude higher than electron density. The distributions of negatively charged species O and O 2 follow closely those of electrons, and they carry a negligible amount of current. Due to electrons’ high mobility, the intensity of the current is mostly carried by the electrons in this region.
The rest of the discharge space refers to the drift region, where negative ions dominate. The dominant ion in the drift zone is O 3 , not O 2 , as suggested by the classical model [39]. Mass spectrometry studies confirm this aspect of the simulation [40]. Indeed, the production of this ion is not due to direct electron attachment to O3 but rather to two sets of processes. The first process considers the removal of electrons:
e + O2 → O + O
e + O3 → O + O2
e + O 3     O 2 + O
e + 2 O 2     O 2 + O 2
Then, these reactions are rapidly followed by a second process involving creation of O 3 .
O 2 + O 3     O 3 + O 2
O + O 3     O 3 + O
O + 2 O 2     O 3 + O 2
Considering the integrals of the source term in the discharge volume for each reaction, O 3 is the predominant ion in the drift region.
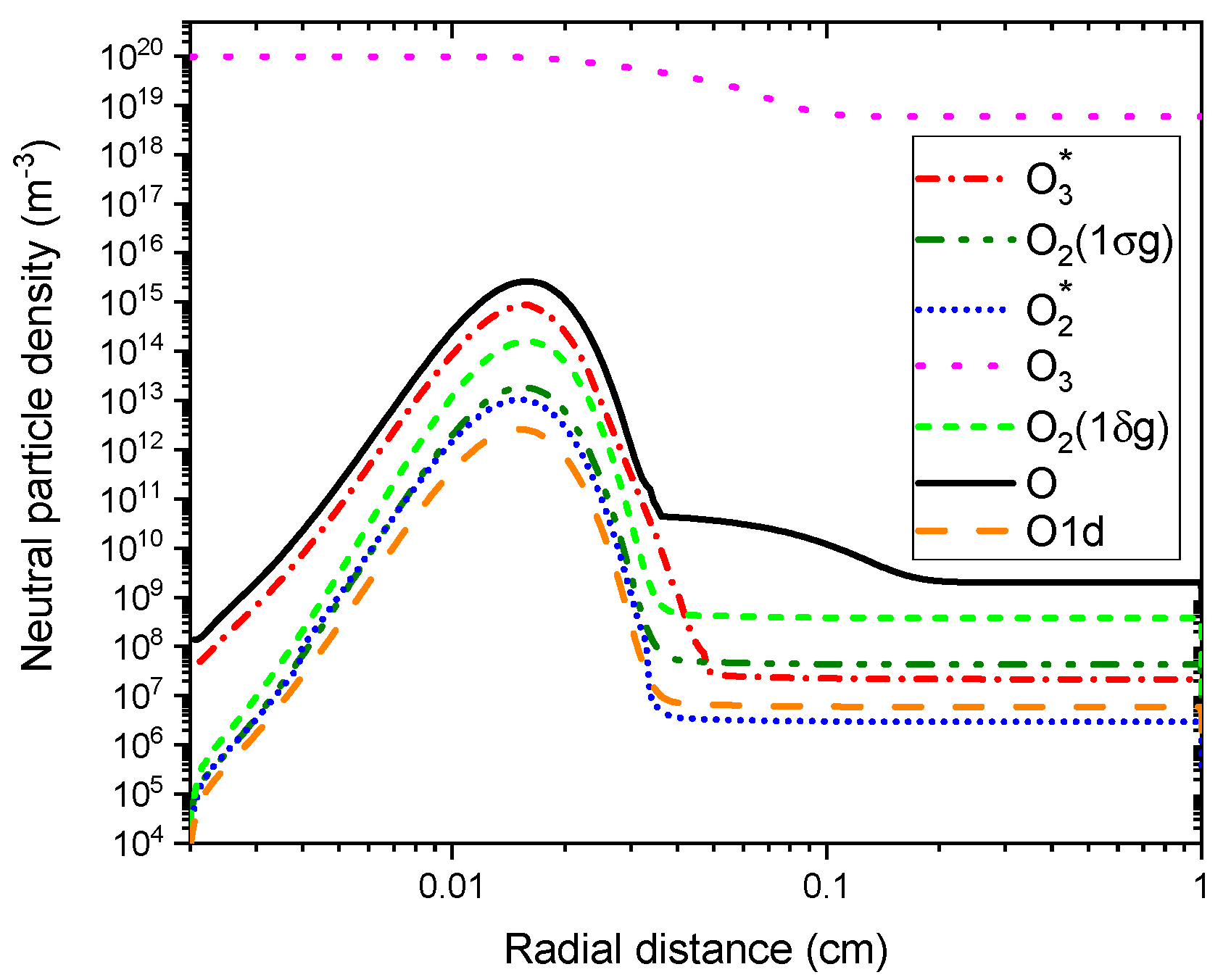
As shown in Figure 5, neutral species are restricted to the active region, except ozone’s distribution, which appears to be independent of position, with a higher density. This is because each species is directly or indirectly derived from electrons, and there is a local chemical equilibrium.
Neutral species reach a homogeneous distribution in the drift region with a reduced density compared to the active area and independent of the current. In drift regions, lower densities indicate lower chemical activity. Because of its high density in the drift region, despite a low electron density, ozone distribution is homogeneous. This is due to the higher ozone production time in comparison with diffusion time in the discharge, where the typical diffusion time τ D   is estimated in this discharge as follows [41]:
τ D R 2 D 5   s
R is the diffusion length and D represents the coefficient of diffusion. The diffusivity of ozone in the air is defined as 2 × 10−5 m2 s−1 at room temperature [42].
Since ozone is mainly produced through reactions, ozone is typically created in a discharge volume over a period of time τ O 3   ,   which is estimated.
O + 2O2 → O3 + O2
It is calculated as the ratio between ozone production rates and ozone total amounts, given by the following [43]:
τ O 3 = 2 π r N O 3 d r k N O 2 2 π r N O d r 100   s   τ D
Here, N x is the species x density, and k represents the reaction rate. The molecular oxygen density is assumed to be constant, where I = 10 µA cm−1, V = 5 kV, and T = 298 K.
Vibrational states O 2 *   and O 3 * behave differently. Species O 2 *   is generated by electrons’ collision through the following:
e + O 2     O 2 * + e
whereas O 3 *   is produced from O 2 *   by means of the following:
O 2 * + O 3   O 2 + O 3 *
Consequently, the distribution of O 3 *   is higher than O 2 * .

4.3. Distribution of the Electric Field

Figure 6 presents the electric field distribution for various applied voltages. The electric field decays inversely with radial distance in the ionization and actives regions with a significant distortion in the drift region, where a uniform dependence is observed. Gauss’s equation is utilized to estimate the electric field behavior distribution inside the drift region, where one kind of ion with mobility μ n   carries the intensity of current per unit length I [44]:
1 r d d r r E = I 2 π r μ n ε 0 E
Considering A as an integration constant, the solution of the equation in the drift region is as follows:
E = A r 2 + I 2 π r μ n ε 0
It is possible to generalize this solution to the whole gap. Hence, in regions of ionization characterized by equal ionization coefficients and attachment coefficients, the electric field is greater or equal to E α = η , considering the following:
E = A r 2 + I 2 π r μ n ε 0 E α = η
Since E 0 = I 2 π r μ n ε 0 E α = η ,   there is much less space charge than the cathode surface charge, and we can conclude that electric field decays inversely with radial distance, whereas E 0 gives the electric field asymptotic limit in the drift region.
For different applied voltage values, in the ionization and active regions, the electric field is approximately independent of voltage and current, but it presents a slight proportional dependence with applied voltage in the drift region [45].

4.4. Ozone Balance

Studying the ozone balance requires careful selection of species and reactions a priori due to the various species’ roles in the balance and their reaction rates within the reactor volume, which affect the simulation results.
In indoor air cleaners, the ozone is primarily generated by the three bodies’ reaction (R9) and the reaction (R12), which has a lower contribution [46].
O + O2 + O3 → 2O3
These reactions occur due to the presence of atomic oxygen produced by direct dissociation of molecular oxygen via collision with electrons (R13)
e + O2 → e + O + O
There are several reactions that lead to the decomposition of the ozone, all of which involve excited species of atomic and molecular oxygen. Reactions contribute most to decomposition.
O3 + O2 → O + 2O2
2O3 → O + O2 + O3
O3 + O → 2O2
The reaction rate (R13) through electron bombardment mechanism is greater than the reaction rate (R15) for a specified electric field; therefore, higher ozone is created than consumed. Further, it is impossible to model ozone equilibrium without incorporating the excited species [47]. Four reactions including excited species that destroy O3 are included in this model:
O 2 g 1 + O 3   2 O 2 + O D 1
O D 1 + O 3     O 2 g 1 + O 2
O D 1 + O 3     2   O 2 g 1
O 2 Σ g + 1 + O 3 2 O 2 + O
Through reaction (R18) and reaction (R19), O D 1 is destroyed and O2 g 1   is created. In turn, O2 g 1 is destroyed by (R17), which liberates O D 1 again. In this way, the ozone destruction is catalyzed by O D 1 via O2 g 1 . A relatively significant amount of ozone is destroyed by reaction (R20). Nevertheless, it affects the ozone balance primarily by removing O D 1 through (R21), which destroys ozone at a higher rate:
O D 1 + O 2     O 2 + O 2 Σ g + 1
In addition, the vibrational states O 2 * and O 3 *   contribute separately to the ozone balance, though their contributions are opposite [48].
O 2 * + O 3   O 2 + O 3 *
O 3 * + O 2 O 2 + O 3
During the process of creating ozone, O2 in the air is broken down into oxygen atoms that combine with other oxygen molecules to form ozone molecules. Ozone consists of unstable molecules with short lifetimes, which return to their natural state of oxygen O2 within a short period of time. But even at low concentrations, ozone is an effective disinfectant when combined with a high relative humidity level for airborne viruses and other microorganisms.

4.5. Effect of Operational Parameters

4.5.1. Applied Voltage Effect

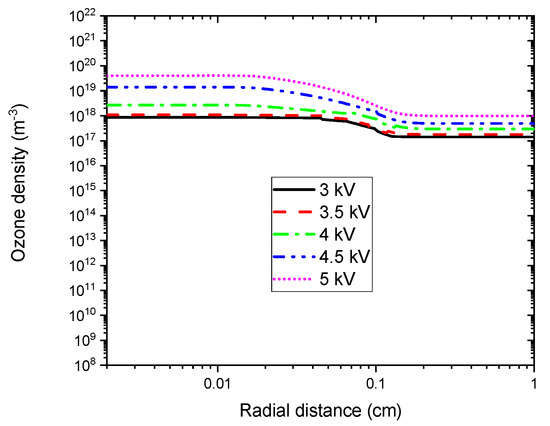
The corona discharge strength is controlled by the operated voltage. In Figure 7, electron density distribution and oxygen atom density are shown at different values of applied voltages. The discharge’s structure of charged and neutral species remains identical regardless of the applied voltage. Nonetheless, a linear relationship exists between species density and voltage. This is because the region of ionization decreases when the voltage increases, resulting in a higher species density.
In Figure 8, ozone density distribution is shown at different values of applied voltages. There is a linear and weak dependence between the intensity of ozone production and the applied voltage. Indeed, the applied voltage affects the space charge density during the corona discharge, inducing a higher oxygen atom density, which leads to a rise in ozone generation. However, the weak dependence of ozone density on applied voltage is attributed to ozone production’s dependence on the reaction rate in the volume discharge. In addition, the distribution of ozone density is affected by the nonlinearity of the governing equations [49].
Simulation results show that the ozone distribution diminishes around the outer electrode. Ozone is unable to diffuse or cross the cylinder because of its impenetrable wall. Therefore, the cylinder is set as a boundary wall in the simulation process, and the ozone concentration decreases from the electrode to the cylinder.

4.5.2. Polarity Effect

In Figure 9, the contour of the ozone density distribution is shown in the outlet as positive (Figure 9a–c) and negative (Figure 9d–f) applied voltage increases.
An increase in applied voltage generates a higher current and stronger corona discharge. With a voltage of 5 kV, the contours’ distribution indicates a high ozone distribution near the electrodes. Moreover, the pin’s small radius of curvature creates a high ozone distribution near the greater-voltage electrode. This results in a powerful electric field and high current density. According to simulation results, the ozone distribution approaches zero in an apparent layer around the electrode.
The symmetric ozone distribution followed the same pattern in negative and positive voltage. While, at the constant applied voltage, a high current with negative voltage creates a border zone of high concentration of ozone close to the electrode. There are two explanations to be noted: First, the corona discharge contains more electrons, and the negative polarity is used to form atomic oxygen. Second, in the negative discharge, the electrons has higher energy than in the positive discharge [50].

4.5.3. Current Effect

The atomic oxygen is displayed in Figure 10 with an increasing current. It is shown that oxygen atom density is linearly related to currents that have an essential theoretical foundation since the density of current is used as a source item in the governing equation. A higher current would increase the generation of oxygen atoms in the corona discharge in addition to being released into the outer atmosphere.
In addition, it is found that the slope of the linear dependence of oxygen atoms with the current is higher in negative polarity conditions than in positive polarity conditions, indicating a greater sensitivity to a current increase in negative polarity. This is in accordance with the voltage–current distribution, where it is greater in the negative corona discharge greater than in the positive corona discharge.
Despite the linearity of ozone sources and sinks, it is noteworthy that ozone generation presents a small dependence on the current, as shown in Figure 10b, which is consistent with many analytical studies [51] that found that ozone distribution depends on the use of reaction rate constants rather than currents.

4.5.4. Temperature Effect

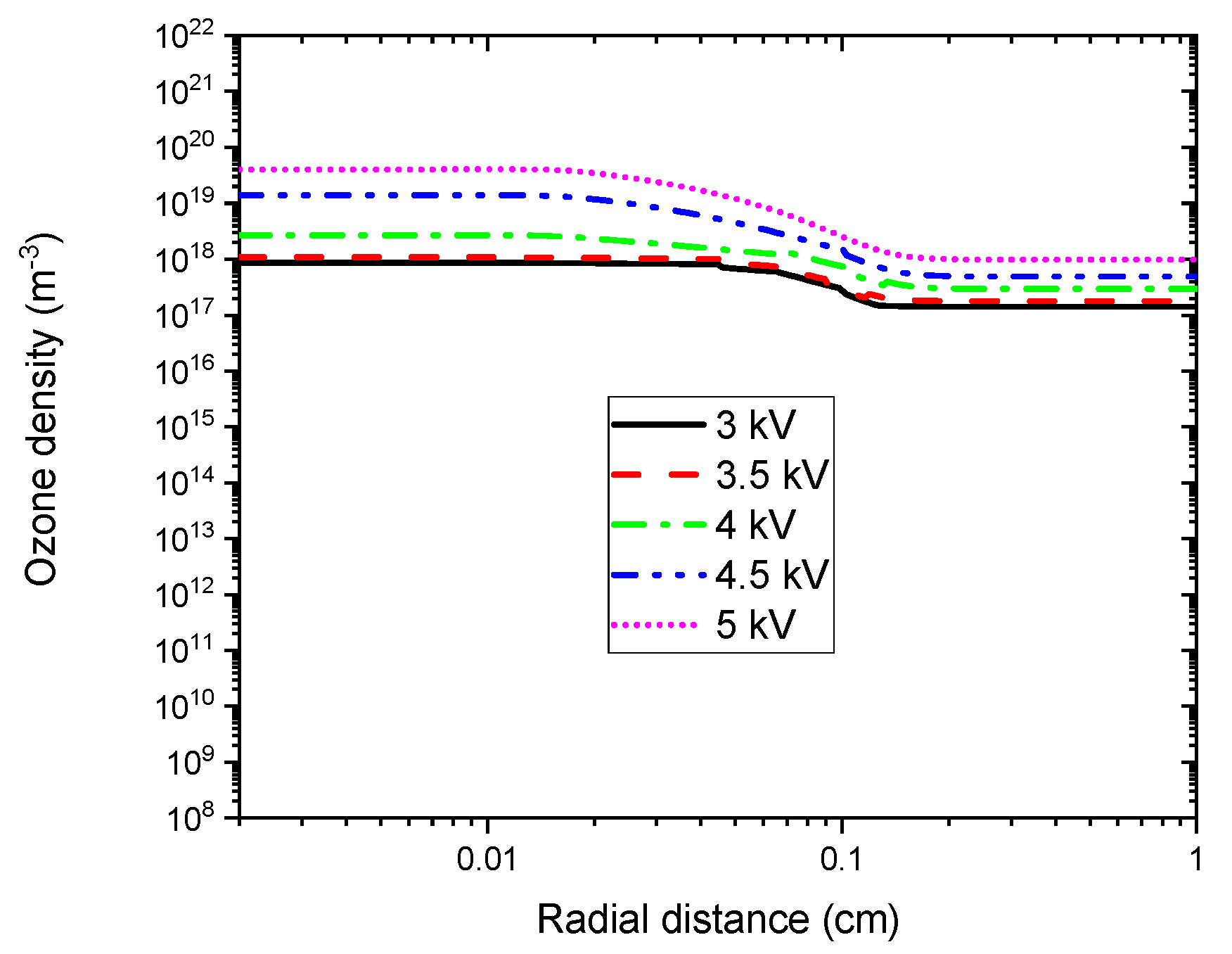
The distribution of charged and neutral species as a function of temperature are illustrated in Figure 11. The ionization and active region expand as the temperature increases. These changes occur when there are more electrons with larger energy and a higher density of neutral species in the drift region than at lower temperatures [52].
To show the role of the temperature on the DC negative corona discharge, three gas temperature values have been calculated, 300, 400, and 500 K, V = 5 kV, I = 10 µA.
Figure 12 displayed the temperature effect on the electron and density of ozone. Despite increased temperatures, the discharge structure remains the same. In contrast, ionization and active regions are located at larger radial coordinate value. By increasing temperature, more electrons with higher energy are produced.
The influence of the increasing temperature on the linear density of current is presented in Figure 12b. At a higher temperature of the gas, the current increases and we get closer to the arc discharge for a fixed voltage and pressure as well. Hence, the Townsend ionization coefficient increases, resulting in a strong ionization and an easy transition to a self-sustaining discharge.
In addition, a smaller density of ozone is observed with a higher temperature (Figure 13). These effects are consistent with results given in other research [53], showing a half drop of the saturation concentration of ozone with increased temperature from 278 to 350 K. Indeed, there are two effects of temperature on electrical discharges: First, at constant atmospheric pressure, the temperature changes the gas density. It occurs because the reduced electric field (E/N) varies, which affects the transport coefficient. Second, the temperature affects the reaction rate. As the temperature increases and the reaction rates of several reactions which breakdown the ozone increase, the total amount of ozone decreases, particularly using (R12), (R14), and (R16).
Further, at relatively higher temperatures, the average ozone concentration becomes dependent upon the current because of the increased chemical activity of decomposing ozone. Based on the ozone balance analysis, it appears that reaction (R14) becomes more important at elevated temperatures and small intensities of current, making it the main pathway for ozone destruction. This reaction contributes mainly to the balance of ozone within the drift zone due to its large volume, as it does not require any of the active region’s reactants. Thus, at higher temperatures, the invariance between ozone concentration and current is broken because ozone destruction becomes competitive in drift regions via (R14). A decrease in the ozone density is observed in the drift region.

4.5.5. Pressure Effect

Figure 14 shows the effect of pressure on electron density. Based on the ideal gas law, gas neutral density evolves in reference to equation N = P/KBT, where KB, T, and P are, respectively the Boltzmann constant, the temperature, and the pressure of the gas. Accordingly, with pressure at a constant temperature, the reduced electric field (E/N) decreases, but with the temperature at constant pressure, it increases. Therefore, unlike the temperature, the pressure will influence the current and electron density inversely.
Additionally, the increase in pressure at room temperature for a fixed voltage will alter the coefficient of ionization and the mean free path of the ions. The equation determining the ionization coefficient’s dependence on gas pressure is written [54].
α / P = A · e B P / E
where A and B denote constants dependent on the gas, E is the electric field, and P represents the pressure of the gas. As the gas pressure increases, the ionization coefficient in the corona electrode where the electric field is almost constant decreases for DC negative corona. As a result, the electron density in plasma decreases (Figure 14a).
Figure 14b displays the effect of gas pressure on the linear current density for a 5 kV applied voltage; as might be expected, pressure brings the opposite effect. Increasing the gas pressure decreases the corona current.

4.5.6. Electrode Material Effect

It is also possible to control ozone production by selecting the material and diameter of the wire. By using 0.1 mm instead of 0.2 mm tungsten discharge wires at a fixed voltage, the ozone production rate is reduced by 40%. Compared to standard tungsten wires, copper and silver wires reduce ozone generation by 30% and 50%, respectively (Figure 15).

4.5.7. Gas Impurities Effect

The dependence of ozone formation on the concentration of impurities gas such as nitrogen or argon added to oxygen is presented in Figure 16. The ozone concentration is found to decrease with increasing concentrations of argon and nitrogen. This tendency is in accordance with results obtained by [55].
In the case of nitrogen, impurities of 20% to 40% and up to a concentration of 80%, the net ozone density decreases slightly or may even remain constant. This can be explained by increasing the role of excited nitrogen molecules generated efficiently by corona discharges that enhance the dissociation rate of oxygen molecules and produce atomic oxygen required for an associative process.
O   + O 2 + M     O 3   + M                           k Ar = 4 × 10 34 c m 6   s 1 M = Ar ,   N 2                           k N 2 = 3.04 × 10 34 T 0.5 c m 6   s 1
The rate of ozone formation in a nitrogen–oxygen mixture is considerably higher than obtained with an argon–oxygen mixture. High excitation energy for argon and a short time for spontaneous radiation practically exclude the role of excited argon atoms in the mechanism of ozone generation. However, at a very high concentration of 90%, the role of the destruction of ozone molecules by nitrogen oxides generated in the ionization region of the discharge increases. This suggests that the role of NOx formation is crucial in the net ozone yield.
NO + O3 → NO2 + O2
NO2 + O3 → NO3 + O2
NO + O + M → NO2 + M
M = Ar, N2
Hence, using air (80% N2) rather than pure oxygen in any commercial ozonizer may be expected to produce lower ozone yields.

5. Conclusions

In this paper, an ozone prediction from a corona-symmetric model for indoor air purification from VOCs is developed and discussed. The simulation and experimental results show good agreement since the current–voltage characteristics match experimental values. The applied voltage determines the intensity of the ozone generation rate, which increases with voltage and decreases with higher temperature. A rise in the temperature increases the rates of several reactions that decompose ozone. Therefore, the total amount of ozone decreases. At higher temperatures, the invariance between ozone concentration and current is broken because ozone destruction becomes competitive in drift regions. Further, a decrease in ozone density is observed in the drift region. A linear relationship exists between the current density and the ozone generation rate. The same linear relationship is observed between the gas pressure and the ozone generation rate. Voltage polarity and gas velocity affect corona discharge status, resulting in different ozone generation rate distributions. The positive polarity ozone generation rate is more sensitive to variations in gas velocity, while a negative polarity ozone generation rate is more susceptible to the current increase. Gaseous impurities in oxygen flow and incident air flow are recognized as being important factors in ozone production yields by different types of ozone generators. In the case of nitrogen, impurities of 20% to 40% in oxygen flow and up to a concentration of 80% N2 (air), the net ozone density decreases slightly or may even remain constant compared to pure oxygen in any commercial ozonizer. In addition, the selection of wire diameter and material can also control VOCs’ removal from indoor air, and the ozone generation rate is reduced by 40%, using 0.1 mm tungsten discharge wire instead of 0.2 mm. Compared to standard tungsten wires, copper and silver wires produce 30% and 50% less ozone, respectively.
Based on the simulation model developed for indoor air purification, the appropriate operating parameters are determined to ensure ozone generation rate efficiency in removing VOCs.

Author Contributions

Conceptualization, methodology, software, validation, formal analysis, investigation, resources, data curation, project administration, supervision, S.E. Writing—original draft preparation, writing—review and editing, visualization, S.E., N.A.M.A., E.M.M. and S.G. All authors have read and agreed to the published version of the manuscript.

Funding

This research was funded by the Deanship of Scientific Research and Libraries at Princess Nourah bint Abdulrahman University through the Research Funding Program, Grant No. (FRP-1445-5).

Data Availability Statement

Data are contained within the article.

Conflicts of Interest

The authors declare no conflicts of interest.

References

  1. Wei, C.; Zhang, F.; Hu, Y.; Feng, C.; Wu, H. Ozonation in water treatment: The generation, basic properties of ozone and its practical application. Rev. Chem. Eng. 2017, 33, 49–89. [Google Scholar] [CrossRef]
  2. Lee, C.S.; Shayegan, Z.; Haghighat, F.; Zhong, L.; Bahloul, A.; Huard, M. Experimental evaluation of induct electronic air cleaning technologies for the removal of ketones. Build. Environ. 2021, 196, 107782. [Google Scholar] [CrossRef]
  3. Pourchez, J.; Peyron, A.; Sarry, G.; Leclerc, L.; Verhoeven, P.O.; Choi, P.; Pierson, C.; Petit, O.; Hernández, F.; Dumitrescu, C. Antimicrobial Performance of an Innovative Technology of Atmospheric Plasma Reactors against Bioaerosols: Effectiveness in Removing Airborne Viable Viruses. Buildings 2022, 12, 1587. [Google Scholar] [CrossRef]
  4. Van Heesch, E.J.M.; Smulders, H.W.M.; Van Paasen, S.V.B.; Blom, P.P.M.; van Gompel, F.M. Pulsed Corona for Water and Gas Treatment. In Proceedings of the 11th IEEE International Pulsed Power Conference, Baltimore, MD, USA, 29 June–2 July 1997. [Google Scholar]
  5. Chavan, U.; Patil, S. Water Treatment Using Atmospheric Pressure Plasma: Dielectric Barrier Discharge and Corona Discharge Method, and Reactive Species Analysis. In Proceedings of the 2024 International Conference on Sustainable Technologies in Civil and Environmental Engineering (ICSTCE 2024), Pimpri, Pune, India, 6–7 June 2024. [Google Scholar] [CrossRef]
  6. Sumariyah, S.; Hanafi, I.; Muchisin, Z.; Arianto, F.; Nur, M. Comparison between corona and dielectric barrier discharges plasma using of pin to single and dual ring electrodes configuration. In Proceedings of the 3rd Annual Applied Science and Engineering Conference (AASEC 2018), Bandung, Indonesia, 18 April 2018. [Google Scholar] [CrossRef]
  7. Hayashi, N.; Suganuma, H.; Kamatani, M.; Satoh, S.; Yamabe, C. Treatment of Volatile Organic Compound by Positive Streamer Corona Using a Series Gap. Jpn. J. Appl. Phys. 2001, 40, 6104. [Google Scholar] [CrossRef]
  8. Kebriaei, M.; Ketabi, A.; Niasar, A.-H. Pulsed Corona Discharge, a New and Effective Technique for Water and Air Treatment. Int. J. Biol. Forum 2015, 7, 1686–1692. [Google Scholar]
  9. Hudson, J.B.; Sharma, M.; Vimalanathan, S. Development of a practical method for using ozone gas as a virus decontaminating agent. Ozone Sci. Eng. 2009, 31, 216–223. [Google Scholar] [CrossRef]
  10. Dubuis, M.E.; Dumont-Leblond, N.; Laliberté, C.; Veillette, M.; Turgeon, N.; Jean, J.; Duchaine, C. Ozone efficacy for the control of airborne viruses: Bacteriophage and norovirus models. PLoS ONE 2020, 15, e0231164. [Google Scholar] [CrossRef]
  11. Petry, G.; Rossato, L.G.; Nespolo, J.; Kreutz, L.C.; Bertol, C.D. In Vitro Inactivation of Herpes Virus by Ozone. Ozone Sci. Eng. 2014, 36, 249–252. [Google Scholar] [CrossRef]
  12. Dennis, R.; Cashion, A.; Emanuel, S.; Hubbard, D. Ozone Gas: Scientific Justification and Practical Guidelines for Improvised Disinfection using Consumer-Grade Ozone Generators and Plastic Storage Boxes. J. Sci. Med. 2020, 2, 1–28. [Google Scholar] [CrossRef]
  13. Grignani, E.; Mansi, A.; Cabella, R.; Castellano, P.; Tirabasso, A.; Sisto, R.; Spagnoli, M.; Fabrizi, G.; Frigerio, F.; Tranfo, G. Safe and Effective Use of Ozone as Air and Surface Disinfectant in the Conjuncture of COVID-19. Gases 2021, 1, 19–32. [Google Scholar] [CrossRef]
  14. Norgaard, A.W.; Kudal, J.D.; Kofoed-Sørensen, V.; Koponen, I.K.; Wolkoff, P. Ozone-initiated VOC and particle emissions from a cleaning agent and an air freshener: Risk assessment of acute airway effects. Environ. Int. 2014, 68, 209–218. [Google Scholar] [CrossRef] [PubMed]
  15. Ge, H.; Yu, R.; Mi, D.; Zhu, Y.-M. Removal of NO2 and O3 generated from corona, discharge in indoor air cleaning with MnO2 catalyst. J. Phys. Conf. Ser. 2013, 418, 012120. [Google Scholar] [CrossRef]
  16. Loganathan, M.-K.; Neog, S.-S.; Rai, S. Process Safety and Performance Improvement in Oil Refineries Through Active Redundancy and Risk Assessment Method—A Case Study. In Proceedings of the IEEE International Conference on Industrial Engineering and Engineering Management (IEEM), Bangkok, Thailand, 16–19 December 2018. [Google Scholar] [CrossRef]
  17. Basack, S.; Loganathan, M.K.; Goswami, G.; Baruah, P.; Alam, R. Review of Risk Assessment and Mitigation Measures of Coastal Aquifers Vulnerable to Saline Water Intrusion. Pol. J. Environ. Stud. 2022, 31, 1505–1512. [Google Scholar] [CrossRef] [PubMed]
  18. Hadj Ziane, S.; Held, B.; Pignolet, P.; Peyrous, R.; Coste, C. Ozone generation in an oxygen-fed wire-to-cylinder ozonizer at atmospheric pressure. J. Phys. D Appl. Phys. 1992, 25, 677. [Google Scholar] [CrossRef]
  19. Pontiga, F.; Soria, C.; Castellanos, A. Electrical and chemical model of negative corona in oxygen at atmospheric pressure. J. Electrostat. 1997, 40–41, 115–120. [Google Scholar] [CrossRef]
  20. Chen, J.; Davidson, J.H. Ozone Production in the Positive DC Corona Discharge: Model and Comparison to Experiments. Plasma Chem. Plasma Process. 2002, 22, 495–522. [Google Scholar] [CrossRef]
  21. Yanallah, K.; Pontiga, F.; Moreno, H.; Castellanos, A. Physico-chemical modeling of positive corona discharge in carbon dioxide. In Proceedings of the Annual Report Conference on Electrical Insulation and Dielectric Phenomena, West Lafayette, IN, USA, 17–20 October 2010. [Google Scholar] [CrossRef]
  22. Wang, S.; Mai, J.; Wang, L. A Numerical Simulation Study on DC Positive Corona Discharge Characteristics at the Conductor’s Tip Defect. Appl. Sci. 2023, 13, 10472. [Google Scholar] [CrossRef]
  23. COMSOL Multiphysics® v.5.1. COMSOL AB, Stockholm, Sweden. Available online: www.comsol.com (accessed on 17 December 2024).
  24. Sato, T.; Ikehata, T.; Terashige, T.; Okano, K. Basic Characteristics of Self-Control Corona Discharge Air Ionizer IEEJ transactions on electrical and electronic engineering. IEEJ Trans 2016, 11, S19–S23. [Google Scholar] [CrossRef]
  25. Hyun, J.; Lee, S.-G.; Hwang, J. Application of corona discharge-generated air ions for filtration of aerosolized virus and inactivation of filtered virus. J. Aerosol. Sci. 2017, 107, 31–40. [Google Scholar] [CrossRef]
  26. Asipuela, A.; Iváncsy, T. Study and Numerical Simulation of Negative and Positive Corona Discharge: A Review. Period. Polytech. Electr. Eng. Comput. Sci. 2022, 66, 294–300. [Google Scholar] [CrossRef]
  27. Yanallah, K.; Hadj Ziane, S.; Belasri, A.; Meslem, Y. Numerical modeling of ozone production in direct current corona discharge. J. Mol. Struct. Theochem 2006, 777, 125–129. [Google Scholar] [CrossRef]
  28. Zhang, J.; Adamiak, K.; Castle, G.S.P. Numerical modeling of negative-corona discharge in oxygen under different pressures. J. Electrostat. 2007, 65, 174–181. [Google Scholar] [CrossRef]
  29. Peyrous, R. The Effect of Relative Humidity on Ozone Production by Corona Discharge in Oxygen or Air—A Numerical Simulation-Part II: Air. Ozone Sci. Eng. 1990, 12, 41–64. [Google Scholar] [CrossRef]
  30. Kulikovsky, A.A. Positive streamer between parallel plate electrodes in atmospheric pressure air. J. Phys. D Appl. Phys. 1997, 30, 441–450. [Google Scholar] [CrossRef]
  31. Soria, C.; Pontiga, F.; Castellanos, A. Plasma chemical and electrical modelling of a negative DC corona in pure oxygen. Plasma Sources Sci. Technol. 2004, 13, 95–107. [Google Scholar] [CrossRef]
  32. Chen, S.; Li, K.; Nijdam, S. Transition mechanism of negative DC corona modes in atmospheric air: From Trichel pulses to pulseless glow. Plasma Sources Sci. Technol. 2019, 28, 055017. [Google Scholar] [CrossRef]
  33. Boelter, K.J.; Davidson, J.H. Ozone Generation by Indoor, electrostatic Air Cleaners. Aerosol Sci. Technol. 1997, 27, 689–708. [Google Scholar] [CrossRef]
  34. Yanallah, K.; Pontiga, F.; Fernández-Rueda, A.; Castellanos, A. Experimental investigation and numerical modelling of positive corona discharge: Ozone generation. J. Phys. D Appl. Phys. 2009, 42, 065202. [Google Scholar] [CrossRef]
  35. Blanchard, E.L.; Lawrence, J.D.; Noble, J.A.; Xu, M.; Joo, T.; Ng, N.L.; Schmidt, B.E.B.; Santangelo, P.J.; Finn, M.G. Enveloped Virus Inactivation on Personal Protective Equipment by Exposure to Ozone. MedRxiv 2020, 27, 20111435. [Google Scholar] [CrossRef]
  36. Tseng, C.; Li, C. Inactivation of surface viruses by gaseous ozone. J. Environ. Health 2008, 70, 56–63. [Google Scholar] [PubMed]
  37. Pignolet, P.; Hadj-Ziane, S.; Held, B.; Peyrous, R.; Benas, J.M.; Coste, C. Ozone generation by point to plane corona discharge. J. Phys. D Appl. Phys. 1990, 23, 1069. [Google Scholar] [CrossRef]
  38. Liang, H.; Du, B.; Li, J.; Du, Q. Numerical simulation on the surface charge accumulation process of epoxy insulator under needle-plane corona discharge in air. IET Sci. Meas. Technol. 2018, 12, 9–16. [Google Scholar] [CrossRef]
  39. Dupuy, J.; Gibert, A. Comparison of point-to-plane discharges in air and SF6. J. Phys. D Appl. Phys. 1982, 15, 655–664. [Google Scholar] [CrossRef]
  40. Yan, P.; Zheng, C.; Xiao, G.; Xu, X.; Gao, X.; Luo, Z.; Cen, K. Characteristics of negative DC corona discharge in a wire–plate configuration at high temperatures. Sep. Purif. Technol. 2015, 139, 5–13. [Google Scholar] [CrossRef]
  41. Pontigal, F.; Soria, C.; Castellanos, A.; Skalny, J.D. A Study of Ozone Generation by Negative Corona Discharge Through Different Plasma Chemistry Models. Ozone Sci. Eng. 2002, 24, 447–462. [Google Scholar] [CrossRef]
  42. Raizer, Y.P. Gas Discharge Physics. In Plasma Physics: An Introduction to Laboratory, Space, and Fusion Plasmas, 1st ed.; Piel, A., Ed.; Springer: Berlin/Heidelberg, Germany, 2010; pp. 323–350. [Google Scholar] [CrossRef]
  43. Bouazza, M.R.; Yanallah, K.; Pontiga, F.; Chen, J.H. A simplified formulation of wire-plate corona discharge in air: Application to the ion wind simulation. J. Electrostat. 2018, 92, 54–65. [Google Scholar] [CrossRef]
  44. Schmitt, A.; Mendret, J.; Brosillon, S. Evaluation of an ozone diffusion process using a hollow fiber membrane contactor. Chem. Eng. Res. Des. 2022, 177, 291–303. [Google Scholar] [CrossRef]
  45. Martins, A.A. Simulation of a wire-cylinder-plate positive corona discharge in nitrogen gas at atmospheric pressure. Phys. Plasmas 2012, 19, 063502. [Google Scholar] [CrossRef]
  46. Nazaroff, W.W.; Coleman, B.K.; Destaillats, H.; Hodgson, A.T.; Liu, D.; Lunden, M.M.; Singer, B.C.; Weschler, C.J. Indoor Air Chemistry: Cleaning Agents, Ozone and Toxic Air Contaminants; Technical Report: Contract No. 01-336; California Air Resources Board: Sacramento, CA, USA; Berkeley, CA, USA, 2006. [Google Scholar]
  47. Zhu, Y.; Chen, C.; Shi, J.; Shangguan, W. A novel simulation method for predicting ozone generation in corona discharge region. Chem. Eng. Sci. 2020, 227, 115910. [Google Scholar] [CrossRef]
  48. Morrow, R. The theory of positive glow corona. J. Phys. D Appl. Phys. 1997, 30, 3099–3114. [Google Scholar] [CrossRef]
  49. Sarma, M.M.P.; Janischewkyj, W.D.C. corona on smooth conductors in air. Steady-state analysis of the ionization layer. Proc. Inst. Electr. Eng. 1969, 116, 161–166. [Google Scholar] [CrossRef]
  50. Settaouti, A.; Settaouti, L. Numerical simulation of positive corona discharge in air. Int. J. Eng. Syst. Model. Simul. 2011, 3, 148–154. [Google Scholar] [CrossRef]
  51. Lan, C.; Zhu, H.; Huang, Z.; Liu, D.; Zhang, S. Plasma air purification system: AI optimization, modular reuse, and mechanism research. Phys. Plasmas 2023, 30, 083507. [Google Scholar] [CrossRef]
  52. Mason, N.J.; Skalny, J.D. Experimental investigations and modelling studies of ozone producing corona discharges. Czech. J. Phys. 2002, 52, 85–94. [Google Scholar] [CrossRef]
  53. Chen, S.; Li, K.; Wang, F.; Sun, Q.; Zhong, L. Effect of humidity and air pressure on the discharge modes transition characteristics of negative DC corona. IET Sci. Meas. Technol. 2019, 13, 1212–1218. [Google Scholar] [CrossRef]
  54. Bologa, A.; Paur, H.R.; Seifert, H.; Woletz, K. Influence of Gas Composition, Temperature and Pressure on Corona Discharge Characteristics. Int. J. Plasma Environ. Sci. Technol. 2011, 5, 110–116. [Google Scholar] [CrossRef]
  55. Jang, K.H.; Seo, S.W.; Kim, D.J. Electric Field Analysis on the Corona Discharge Phenomenon According to the Variable Air Space between the Ionizer and Ground Current Collector. Appl. Syst. Innov. 2023, 6, 10. [Google Scholar] [CrossRef]
Figure 1. Corona discharges in (a) schematic and (b) reel wire-cylinder electrode geometry.
Figure 1. Corona discharges in (a) schematic and (b) reel wire-cylinder electrode geometry.
Symmetry 17 00567 g001
Figure 2. Discharge mechanism in a negative (a) and positive (b) corona discharge.
Figure 2. Discharge mechanism in a negative (a) and positive (b) corona discharge.
Symmetry 17 00567 g002
Figure 3. Comparison between the simulated results and experimental measurement of current intensity per unit length versus applied voltage in negative and positive polarity.
Figure 3. Comparison between the simulated results and experimental measurement of current intensity per unit length versus applied voltage in negative and positive polarity.
Symmetry 17 00567 g003
Figure 4. Distribution of charged particle density versus radial position.
Figure 4. Distribution of charged particle density versus radial position.
Symmetry 17 00567 g004
Figure 5. Distribution of neutral particles density with radial position.
Figure 5. Distribution of neutral particles density with radial position.
Symmetry 17 00567 g005
Figure 6. Electric field distribution with the radial distance for several applied voltage values in the negative corona discharge.
Figure 6. Electric field distribution with the radial distance for several applied voltage values in the negative corona discharge.
Symmetry 17 00567 g006
Figure 7. Distribution of (a) electron and (b) oxygen atom density with different applied voltages.
Figure 7. Distribution of (a) electron and (b) oxygen atom density with different applied voltages.
Symmetry 17 00567 g007
Figure 8. Distribution of ozone number density with different applied voltages.
Figure 8. Distribution of ozone number density with different applied voltages.
Symmetry 17 00567 g008
Figure 9. The distribution contour of ozone in outlet with rising applied voltage; (ac) positive polarity and (df) negative polarity.
Figure 9. The distribution contour of ozone in outlet with rising applied voltage; (ac) positive polarity and (df) negative polarity.
Symmetry 17 00567 g009
Figure 10. The current effect on (a) the atomic oxygen for positive and negative polarity of corona discharge and (b) on the ozone number density distribution.
Figure 10. The current effect on (a) the atomic oxygen for positive and negative polarity of corona discharge and (b) on the ozone number density distribution.
Symmetry 17 00567 g010
Figure 11. Schematic diagram of corona discharge at (a) room and (b) high temperature.
Figure 11. Schematic diagram of corona discharge at (a) room and (b) high temperature.
Symmetry 17 00567 g011
Figure 12. (a) The electron density distribution and (b) the current density as functions of temperature.
Figure 12. (a) The electron density distribution and (b) the current density as functions of temperature.
Symmetry 17 00567 g012
Figure 13. The ozone density distribution for different temperatures.
Figure 13. The ozone density distribution for different temperatures.
Symmetry 17 00567 g013
Figure 14. (a) The electron density and (b) the current density distribution on the electrode under different pressures.
Figure 14. (a) The electron density and (b) the current density distribution on the electrode under different pressures.
Symmetry 17 00567 g014
Figure 15. The influence of the electrode material on the density of ozone.
Figure 15. The influence of the electrode material on the density of ozone.
Symmetry 17 00567 g015
Figure 16. The influence of gas impurities on ozone generation.
Figure 16. The influence of gas impurities on ozone generation.
Symmetry 17 00567 g016
Table 1. Chemical species in the model.
Table 1. Chemical species in the model.
SpeciesChemical Formula
Electronse
Positive ions O + , O 2 + , O 3 +  
Negative ions O , O 2 , O 3
Ground state of neutral species O 2 , O , O 3 ,
Excited state of neutral species O D 1 , O 2 g 1 , O 2 Σ g + 1
Vibrational state O 2 * , O 3 *
Table 2. Surface reactions.
Table 2. Surface reactions.
ReactionFormulaSticking Coefficient
1 O 2 g 1  => O21
2 O 2 Σ g + 1  => O21
3O+ => O1
4 O 2 +  => O21
5 O D 1  => O21
6 O 2 *  => O21
7O + O => O210−3
Disclaimer/Publisher’s Note: The statements, opinions and data contained in all publications are solely those of the individual author(s) and contributor(s) and not of MDPI and/or the editor(s). MDPI and/or the editor(s) disclaim responsibility for any injury to people or property resulting from any ideas, methods, instructions or products referred to in the content.

Share and Cite

MDPI and ACS Style

Elaissi, S.; Alsaif, N.A.M.; Moneer, E.M.; Gouadria, S. Ozone Generation Study for Indoor Air Purification from Volatile Organic Compounds Using a Cold Corona Discharge Plasma Model. Symmetry 2025, 17, 567. https://doi.org/10.3390/sym17040567

AMA Style

Elaissi S, Alsaif NAM, Moneer EM, Gouadria S. Ozone Generation Study for Indoor Air Purification from Volatile Organic Compounds Using a Cold Corona Discharge Plasma Model. Symmetry. 2025; 17(4):567. https://doi.org/10.3390/sym17040567

Chicago/Turabian Style

Elaissi, Samira, Norah A. M. Alsaif, Eman M. Moneer, and Soumaya Gouadria. 2025. "Ozone Generation Study for Indoor Air Purification from Volatile Organic Compounds Using a Cold Corona Discharge Plasma Model" Symmetry 17, no. 4: 567. https://doi.org/10.3390/sym17040567

APA Style

Elaissi, S., Alsaif, N. A. M., Moneer, E. M., & Gouadria, S. (2025). Ozone Generation Study for Indoor Air Purification from Volatile Organic Compounds Using a Cold Corona Discharge Plasma Model. Symmetry, 17(4), 567. https://doi.org/10.3390/sym17040567

Note that from the first issue of 2016, this journal uses article numbers instead of page numbers. See further details here.

Article Metrics

Back to TopTop