Advances in Discrete Lifetime Modeling: A Novel Discrete Weibull Mixture Distribution with Applications to Medical and Reliability Studies
Abstract
1. Introduction
- To model various hazard rate behaviors using a discrete framework.
- To represent data from heterogeneous populations via a finite mixture.
- To derive closed-form expressions for reliability and related functions.
- To demonstrate superior goodness of fit over existing discrete models.
Discretizing a Continuous Distribution
2. Construction of Discrete Mixture of Two Weibull Distributions
- is not additive for series system.
- The cumulative hrf in the discrete case,
- has the interpretation of a probability.
2.1. Special Sub-Model
2.1.1. The Discrete Mixture of Two Exponential Distribution
2.1.2. The Discrete Mixture Two Rayleigh Distribution
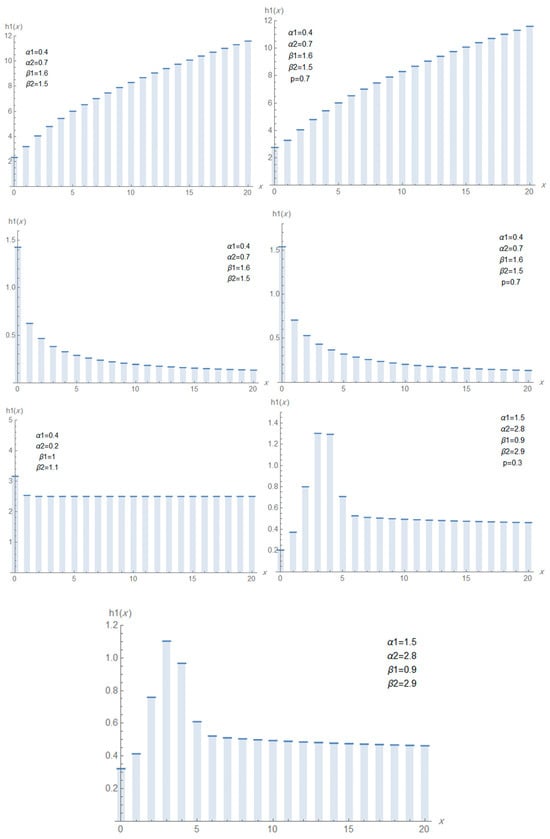
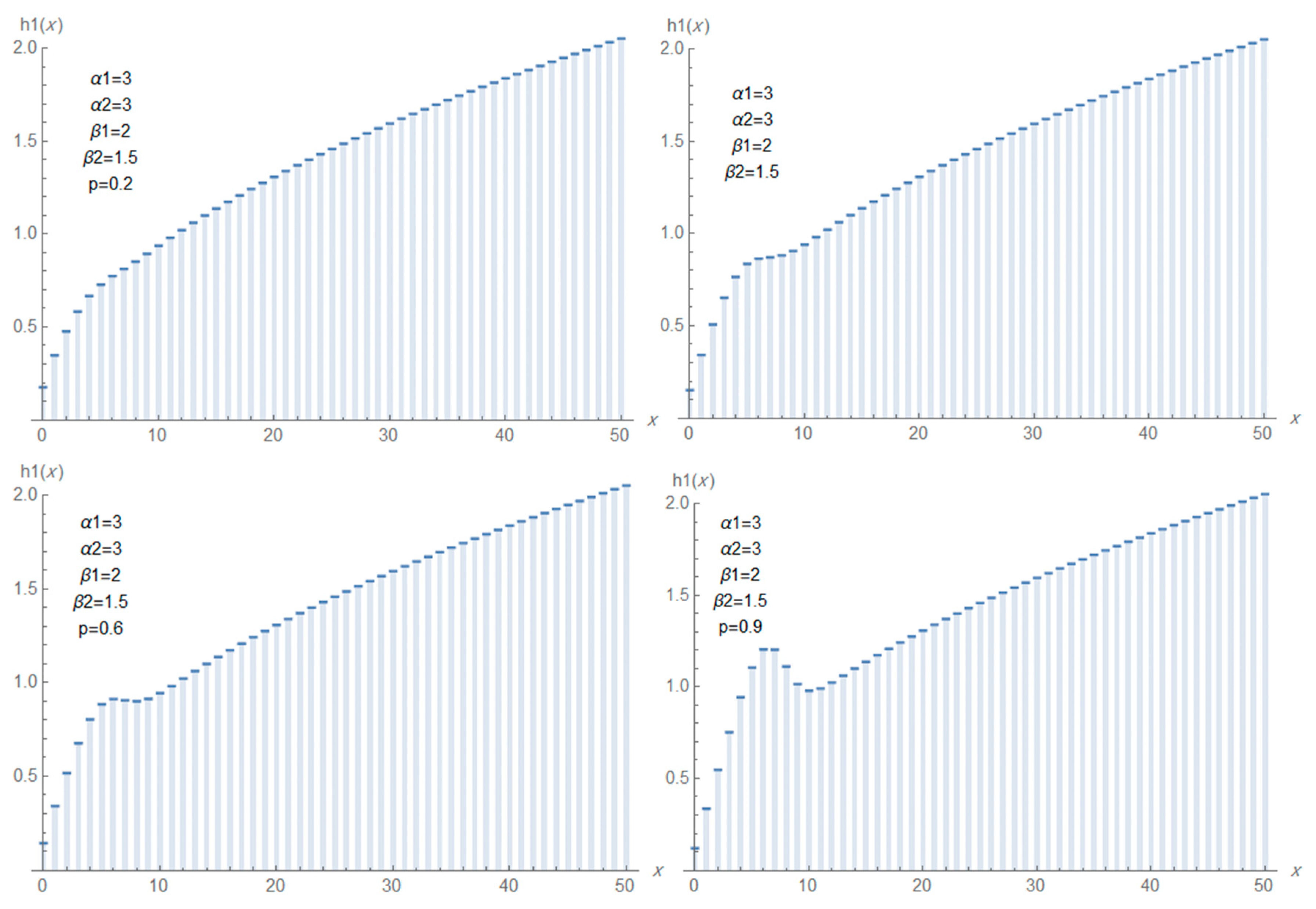
3. Properties of Discrete Mixture of Two Weibull Distributions
3.1. Quantile Function
3.2. The Moments of Discrete Mixture of Two Weibull Distribution
3.3. Index of Dispersion
3.4. Rényi Entropy
Shannon Entropy
3.5. Mean Time to Failure, Mean Time Between Failure, and Availability
3.6. Order Statistics of DMTW Distribution
4. Estimation of the Parameters of Discrete Mixture Two Weibull Distribution
5. Simulation Study
- Using three different combinations of population parameter values:
- ➢
- ➢
- ➢
- Generate 1000 random samples of size n = 30, 50, 100, 150 and 200 from DMTW distribution based on levels of percentage of uncensored observations Type II censoring.
- Computing the averages, estimated risks (ERs), relative errors (Res), variance for ML estimates of the parameters, sf, hrf and ahrf for each model parameters and for each sample size as follows:
- Average (estimate) =
- ER (estimate) =
- RE (estimate) =
- Variance (estimate) =
- Repeat the previous steps 1000 times for each sample size and for each selected set of the parameters.
6. Applications
6.1. Dataset I
6.2. Dataset II
7. Conclusions
8. Suggestions for Further Research
Author Contributions
Funding
Data Availability Statement
Acknowledgments
Conflicts of Interest
References
- Nakagawa, T.; Osaki, S. The discrete Weibull distribution. IEEE Trans. Reliab. 1975, 24, 300–301. [Google Scholar] [CrossRef]
- Sarhan, A.M. A two-parameter discrete distribution with a bathtub hazard shape. Commun. Stat. Appl. Methods 2017, 24, 15–27. [Google Scholar] [CrossRef][Green Version]
- Jayakumar, K.; Sankaran, K.K. A generalization of discrete Weibull distribution. Commun. Stat. Theory Methods 2018, 47, 6064–6078. [Google Scholar] [CrossRef]
- Chakraborty, S.; Chakravarty, D.; Mazucheli, J.; Bertoli, W. A discrete analog of Gumbel distribution: Properties, parameter estimation and applications. J. Appl. Stat. 2021, 48, 712–737. [Google Scholar] [CrossRef] [PubMed]
- Singh, B.; Agiwal, V.; Nayal, A.S.; Tyagi, A. A discrete analogue of Teissier distribution: Properties and classical estimation with application to count data. Reliab. Theory Appl. 2022, 17, 340–355. [Google Scholar] [CrossRef]
- Pandey, A.; Singh, R.P.; Tyagi, A. An inferential study of discrete Burr-Hatke exponential distribution under complete and censored data. Reliab. Theory Appl. 2022, 17, 109–122. [Google Scholar] [CrossRef]
- Das, D.; Das, B.; Hazarik, P.J. Discretized version of Generalized Gompertz Distribution with Application to Real life data. Int. J. Agric. Stat. Sci. 2023, 19, 441–456. [Google Scholar] [CrossRef]
- Al-Bossly, A.; Eliwa, M.S.; Ahsan-ul-Haq, M.; El-morshedy, M. Discrete logistic exponential distribution with application. Stat. Optim. Inf. Comput. 2023, 11, 629–639. [Google Scholar] [CrossRef]
- Shamlan, D.; Baaqeel, H.; Fayomi, A. A discrete odd Lindley half-logistic distribution with applications. J. Phys. Conf. Ser. 2023, 2701, 012034. [Google Scholar] [CrossRef]
- Saengthong, P.; Seenoi, P. Discrete odd inverse Pareto exponential distribution: Properties, estimation and applications. Prog. Appl. Sci. Technol. 2023, 13, 1–12. [Google Scholar] [CrossRef]
- Das, D.; Das, B. Discretized Fréchet–Weibull Distribution: Properties and Application. J. Indian Soc. Prop. Stat. 2023, 24, 243–282. [Google Scholar] [CrossRef]
- AL-Dayian, G.R.; EL-Helbawy, A.A.; Hegazy, M.A. A discrete analog of the alpha power inverted Kumaraswamy distribution with applications to real-life data sets. Egypt. J. Bus. Stud. Fac. Commer. Mansoura Univ. 2024, 48, 1018–1064. [Google Scholar]
- Haj Ahmad, H.; Ramadan, D.A.; Almetwally, E.M. Evaluating the discrete generalized Rayleigh distribution: Statistical inferences and applications to real data analysis. Mathematics 2024, 12, 183. [Google Scholar] [CrossRef]
- Al-Harbi, K.; Fayomi, A.; Baaqeel, H.; Alsuraihi, A. A novel discrete linear-exponential distribution for modeling physical and medical data. Symmetry 2024, 16, 1123. [Google Scholar] [CrossRef]
- Ahsan-ul-Haq, M.; Hussain, M.N.; Babar, A.; Al-Essa, L.A.; Eliwa, M.S. Analysis, estimation, and practical implementations of the discrete power quasi-Xgamma distribution. J. Math. 2024, 2024, 1913285. [Google Scholar] [CrossRef]
- Haj Ahmad, H. The efficiency of hazard rate preservation method for generating discrete Rayleigh–Lindley distribution. Mathematics 2024, 12, 1261. [Google Scholar] [CrossRef]
- Barbiero, A.; Hitaj, A. Discrete half-logistic distributions with applications in reliability and risk analysis. Ann. Oper. Res. 2024, 340, 27–57. [Google Scholar] [CrossRef]
- Maya, R.; Jodrá, P.; Aswathy, S.; Irshad, M.R. The discrete new XLindley distribution and the associated autoregressive process. Int. J. Data Sci. Anal. 2024, 20, 1767–1793. [Google Scholar] [CrossRef]
- Balubaid, A.; Klakattawi, H.; Alsulami, D. On the discretization of the Weibull-G family of distributions: Properties, parameter estimates, and applications of a new discrete distribution. Symmetry 2024, 16, 1519. [Google Scholar] [CrossRef]
- Opone, F.C.; Ekhosuehi, N.; Nzei, L.C. The discretization of the Topp-Leone generated family of distributions. J. Stat. Manag. Syst. 2025, 28, 1–16. [Google Scholar] [CrossRef]
- Ahmed, K.E.; Moustafa, H.M.; Abd-Elrahman, A.M. Approximate Bayes estimation for mixture of two Weibull distributions under Type-2 censoring. J. Stat. Comput. Simul. 1997, 58, 269–285. [Google Scholar] [CrossRef]
- Shawky, A.I.; Bakoban, R.A. On infinite mixture of two component exponentiated gamma distribution. J. Appl. Sci. Res. 2009, 5, 1351–1369. [Google Scholar]
- McLachlan, G.J.; Lee, S.X.; Rathnayake, S.I. Finite Mixture Models. Annu. Rev. Stat. Its Appl. 2019, 6, 355–378. [Google Scholar] [CrossRef]
- Ong, S.H.; Sim, S.Z.; Liu, S.; Srivastava, H.M. A Family of Finite Mixture Distributions for Modelling Dispersion in Count Data. Stats 2023, 6, 942–955. [Google Scholar] [CrossRef]
- Barahona, J.A.; Gomez, Y.M.; Gomez-Deniz, E.; Venegas, O.; Gomez, H.W. Scale mixture of exponential distribution with an application. Mathematics 2024, 12, 156. [Google Scholar] [CrossRef]
- Hussain, T.; Aslam, M.; Ahmad, M. A two parameter discrete Lindley distribution. Rev. Colomb. De Estadística 2016, 39, 45–61. [Google Scholar] [CrossRef]
- Teicher, H. Identifiability of finite mixtures. Ann. Math. Stat. 1963, 34, 1265–1269. [Google Scholar] [CrossRef]
- Yakowitz, S.J.; Spragins, J.D. On the identifiability of finite mixtures. Ann. Math. Stat. 1968, 39, 209–214. [Google Scholar] [CrossRef]
- Ahmad, K.E. Identifiability of finite mixtures using a new transform. Ann. Inst. Stat. Math. 1988, 40, 261–265. [Google Scholar] [CrossRef]
- Setiawaty, B. A Survey on the Identifiability of Finite Mixtures. Neliti. 2024. Available online: https://www.neliti.com/id/publications/245925/a-survey-on-the-identifiability-of-finite-mixtures (accessed on 17 November 2025).
- Murthy, D.N.P.; Xie, M.; Jiang, R. Weibull Models; John Wiley and Sons: Hoboken, NJ, USA, 2004. [Google Scholar]
- Roy, D.; Gupta, R.P. Classification of discrete lives. Microelectron. Reliab. 1992, 34, 253–255. [Google Scholar] [CrossRef]
- Rényi, A. On measures of entropy and information. Math. Stat. Probab. 1961, 1, 547–561. [Google Scholar]
- Arnold, B.; Balakrishnan, N.; Nagaraja, H.N. A First Course in Order Statistics; John-Wiley and Sons: New York, NY, USA, 2008. [Google Scholar]
- Para, P.A.; Jan, T.R. On three parameter discrete Generalized inverse Weibull distribution: Properties and applications. Ann. Data Sci. 2019, 6, 549–570. [Google Scholar] [CrossRef]
- Mohamed, M.O.; Hassan, N.A.; Abdelrahman, N. Discrete Alpha-Power Weibull Distribution: Properties and Application. Int. J. Nonlinear Anal. Appl. 2022, 13, 1305–1317. [Google Scholar] [CrossRef]
- Nekoukhou, V.; Bidram, H. The exponentiated discrete Weibull distribution. Stat. Oper. Res. 2015, 39, 127–146. [Google Scholar]
- Nooghabi, M.S.; Rezaei Roknabadi, A.H.; Mohtashami Borzadaran, G.R. Discrete modified Weibull distribution. Int. J. Stat. 2011, 2, 207–222. [Google Scholar]
- Freireich, E.J.; Gehan, E.; Frei, E., III; Schroeder, L.R.; Wolman, I.J.; Anbari, R.; Burgert, E.O.; Mills, S.D.; Pinkel, D.; Selawry, O.S. The effect of 6- mercaptopurine on the duration of steroid induced remissions in acute leukemia: A model for evaluation of other potentially useful therapy. Blood 1963, 21, 699–716. [Google Scholar]














| Parameter | Descriptive Measures | ||||||||
|---|---|---|---|---|---|---|---|---|---|
| Mean | Median | Variance | ku | sk | ID | ||||
| 1 | 2 | 3 | 0.9 | 1.0127 | 0 | 3.2070 | 21.0455 | 3.3479 | 3.1667 |
| 2 | 0.8203 | 1 | 0.7897 | 4.1535 | 1.09934 | 0.9626 | |||
| 2.5 | 0.8205 | 1 | 0.6532 | 3.1320 | 0.7595 | 0.7960 | |||
| 3 | 0.8265 | 1 | 0.5810 | 2.6277 | 0.5413 | 0.7029 | |||
| 3.5 | 0.8337 | 1 | 0.5389 | 2.3284 | 0.3925 | 0.6463 | |||
| 4 | 0.8409 | 1 | 0.5146 | 2.1477 | 0.2967 | 0.6119 | |||
| 1.5 | 0.5 | 0.9 | 1.5 | 0.6028 | 0 | 1.8029 | 21.4876 | 3.5848 | 2.9908 |
| 1.2 | 0.5027 | 0 | 0.9118 | 11.0374 | 2.5169 | 1.8138 | |||
| 2.5 | 0.4434 | 0 | 0.3825 | 3.3946 | 1.1202 | 0.8626 | |||
| 3 | 0.4483 | 0 | 0.3417 | 2.8617 | 0.9150 | 0.7622 | |||
| 3.5 | 0.4546 | 0 | 0.3130 | 2.4996 | 0.7367 | 0.6885 | |||
| 2 | 0.2 | 2.5 | 3 | 0.6364 | 0 | 0.7370 | 3.2990 | 1.1242 | 1.1580 |
| 0.9 | 0.7633 | 1 | 0.6863 | 3.0993 | 0.5864 | 0.8991 | |||
| 1.5 | 1.0551 | 1 | 0.5416 | 3.3594 | 0.4752 | 0.5133 | |||
| 2 | 1.2789 | 1 | 0.5862 | 2.8623 | 0.2124 | 0.4583 | |||
| 0.2 | 3.5 | 0.6424 | 0 | 0.6670 | 2.7210 | 0.9348 | 1.0382 | ||
| 0.6 | 0.6563 | 0 | 0.6666 | 2.7178 | 0.9317 | 1.0156 | |||
| 0.9 | 0.7602 | 1 | 0.6196 | 2.5722 | 0.6671 | 0.8150 | |||
| Parameter | Averages | ER | |||||||
|---|---|---|---|---|---|---|---|---|---|
| 30 | 24 | 1.9536 | 1.2512 | 1.2682 | 0.1580 | 2.7327 | 1.1745 | 1.5582 | |
| 1.8191 | 1.3480 | 1.1630 | 0.1243 | 2.5104 | 1.1278 | 1.3825 | |||
| 0.2733 | 0.4431 | 0.0078 | 0.0024 | 0.3708 | 0.1759 | 0.1948 | |||
| 0.2838 | 0.4928 | 0.0097 | 0.0026 | 0.3854 | 0.1821 | 0.2033 | |||
| 0.5885 | 0.0441 | 0.00070 | 0.0005 | 0.6354 | 0.5417 | 0.0937 | |||
| 0.4338 | 0.2335 | 0.0069 | 0.0009 | 0.4950 | 0.3727 | 0.1222 | |||
| 0.1605 | 0.1776 | 0.00063 | 0.00029 | 0.1943 | 0.1268 | 0.0674 | |||
| 0.1752 | 0.1960 | 0.00090 | 0.0004 | 0.2154 | 0.1351 | 0.0803 | |||
| 30 | 1.7052 | 1.0089 | 0.8245 | 0.1761 | 2.5278 | 0.8826 | 1.6451 | ||
| 1.5938 | 1.1030 | 0.7787 | 0.1485 | 2.3493 | 0.8383 | 1.5110 | |||
| 0.2398 | 0.2838 | 0.0032 | 0.0016 | 0.3190 | 0.1606 | 0.1584 | |||
| 0.2453 | 0.3094 | 0.0038 | 0.0017 | 0.3279 | 0.1626 | 0.1652 | |||
| 0.5833 | 0.0582 | 0.0012 | 0.0009 | 0.6435 | 0.5231 | 0.1204 | |||
| 0.4131 | 0.1786 | 0.0040 | 0.0008 | 0.4708 | 0.3554 | 0.1153 | |||
| 0.1479 | 0.1080 | 0.0002 | 0.00020 | 0.1757 | 0.1201 | 0.0556 | |||
| 0.1602 | 0.1181 | 0.0003 | 0.0002 | 0.1930 | 0.1275 | 0.0654 | |||
| 50 | 40 | 1.9201 | 1.2147 | 1.1952 | 0.1545 | 2.6907 | 1.1494 | 1.5412 | |
| 1.7808 | 1.3041 | 1.0884 | 0.1264 | 2.4778 | 1.0838 | 1.3939 | |||
| 0.2682 | 0.3997 | 0.0063 | 0.0017 | 0.3499 | 0.1865 | 0.1633 | |||
| 0.2801 | 0.4619 | 0.0085 | 0.0021 | 0.3703 | 0.1899 | 0.1803 | |||
| 0.5926 | 0.0418 | 0.0006 | 0.0005 | 0.6396 | 0.5455 | 0.0940 | |||
| 0.4304 | 0.2229 | 0.0063 | 0.0008 | 0.4883 | 0.3726 | 0.1157 | |||
| 0.1595 | 0.1584 | 0.0005 | 0.0002 | 0.1875 | 0.1315 | 0.0559 | |||
| 0.1739 | 0.1742 | 0.0007 | 0.00028 | 0.2071 | 0.1406 | 0.0665 | |||
| 50 | 1.6787 | 0.9741 | 0.7685 | 0.1621 | 2.4679 | 0.8896 | 1.5783 | ||
| 1.5579 | 1.0552 | 0.7126 | 0.1382 | 2.2866 | 0.8291 | 1.4574 | |||
| 0.2373 | 0.2512 | 0.0025 | 0.0011 | 0.3031 | 0.1716 | 0.1315 | |||
| 0.2428 | 0.2829 | 0.0032 | 0.0013 | 0.3152 | 0.1705 | 0.1446 | |||
| 0.5873 | 0.0440 | 0.0006 | 0.0005 | 0.6328 | 0.5419 | 0.0909 | |||
| 0.4105 | 0.1698 | 0.0036 | 0.0007 | 0.4647 | 0.3564 | 0.1082 | |||
| 0.1475 | 0.0906 | 0.0001 | 0.0001 | 0.1704 | 0.1246 | 0.0457 | |||
| 0.1579 | 0.0989 | 0.0002 | 0.00018 | 0.1866 | 0.1327 | 0.0538 | |||
| 100 | 80 | 1.9222 | 1.2139 | 1.1937 | 0.1487 | 2.6781 | 1.1664 | 1.5117 | |
| 1.7725 | 1.2944 | 1.0724 | 0.1265 | 2.4698 | 1.0752 | 1.3945 | |||
| 0.2671 | 0.3780 | 0.0057 | 0.0012 | 0.3351 | 0.1991 | 0.1360 | |||
| 0.2821 | 0.4596 | 0.0084 | 0.0017 | 0.3630 | 0.2012 | 0.1617 | |||
| 0.5990 | 0.0510 | 0.0009 | 0.0009 | 0.6591 | 0.5390 | 0.1200 | |||
| 0.4299 | 0.2199 | 0.0061 | 0.0007 | 0.4848 | 0.3751 | 0.1096 | |||
| 0.1599 | 0.1477 | 0.00044 | 0.00012 | 0.1817 | 0.1380 | 0.0437 | |||
| 0.1743 | 0.1622 | 0.00061 | 0.00017 | 0.2003 | 0.1483 | 0.0519 | |||
| 100 | 1.5906 | 0.8898 | 0.6413 | 0.1644 | 2.3853 | 0.7958 | 1.5895 | ||
| 1.4687 | 0.9615 | 0.5917 | 0.1445 | 2.2138 | 0.7235 | 1.4902 | |||
| 0.2315 | 0.2059 | 0.0016 | 0.0007 | 0.2834 | 0.1795 | 0.1039 | |||
| 0.2367 | 0.2442 | 0.0023 | 0.0010 | 0.2997 | 0.1738 | 0.1259 | |||
| 0.5904 | 0.0454 | 0.0007 | 0.0006 | 0.6405 | 0.5403 | 0.1001 | |||
| 0.4041 | 0.1530 | 0.0029 | 0.00072 | 0.4569 | 0.3513 | 0.1056 | |||
| 0.1463 | 0.0676 | 0.00009 | 0.00007 | 0.1632 | 0.1293 | 0.0338 | |||
| 0.1582 | 0.0737 | 0.00012 | 0.00010 | 0.1781 | 0.1383 | 0.0397 | |||
| 150 | 120 | 1.9169 | 1.2083 | 1.1826 | 0.1485 | 2.6724 | 1.1613 | 1.5110 | |
| 1.7657 | 1.2874 | 1.0607 | 0.1280 | 2.4672 | 1.0642 | 1.4029 | |||
| 0.2660 | 0.3674 | 0.0054 | 0.0010 | 0.3291 | 0.2029 | 0.1262 | |||
| 0.2814 | 0.4542 | 0.0082 | 0.0016 | 0.3601 | 0.2027 | 0.1574 | |||
| 0.6001 | 0.0558 | 0.0011 | 0.0011 | 0.6658 | 0.5344 | 0.1314 | |||
| 0.4292 | 0.2177 | 0.0060 | 0.00076 | 0.4833 | 0.3751 | 0.1081 | |||
| 0.1596 | 0.1420 | 0.0004 | 0.00010 | 0.1793 | 0.1399 | 0.0394 | |||
| 0.1739 | 0.1558 | 0.0005 | 0.00014 | 0.1974 | 0.1505 | 0.0468 | |||
| 150 | 1.5448 | 0.8462 | 0.5800 | 0.1641 | 2.3390 | 0.7506 | 1.5884 | ||
| 1.4226 | 0.9107 | 0.5309 | 0.1432 | 2.1643 | 0.6809 | 1.4834 | |||
| 0.2291 | 0.1874 | 0.0014 | 0.0005 | 0.2753 | 0.1829 | 0.0923 | |||
| 0.2340 | 0.2290 | 0.0020 | 0.0009 | 0.2940 | 0.1740 | 0.1199 | |||
| 0.5916 | 0.0470 | 0.0007 | 0.0007 | 0.6444 | 0.5387 | 0.1056 | |||
| 0.4010 | 0.1448 | 0.0026 | 0.0007 | 0.4529 | 0.3490 | 0.1039 | |||
| 0.1459 | 0.0575 | 0.00006 | 0.00005 | 0.1601 | 0.1317 | 0.0283 | |||
| 0.1578 | 0.0626 | 0.00009 | 0.00007 | 0.1744 | 0.1411 | 0.0332 | |||
| 200 | 160 | 1.9042 | 1.1965 | 1.1596 | 0.1511 | 2.6661 | 1.1423 | 1.5238 | |
| 1.7533 | 1.2744 | 1.0395 | 0.1306 | 2.4618 | 1.0449 | 1.4169 | |||
| 0.2642 | 0.3554 | 0.0050 | 0.0009 | 0.3237 | 0.2048 | 0.1188 | |||
| 0.2809 | 0.4495 | 0.0080 | 0.0015 | 0.3577 | 0.2041 | 0.1535 | |||
| 0.6018 | 0.0528 | 0.0010 | 0.0010 | 0.6639 | 0.5398 | 0.1240 | |||
| 0.4282 | 0.2149 | 0.0058 | 0.0007 | 0.4821 | 0.3743 | 0.1077 | |||
| 0.1593 | 0.1376 | 0.0003 | 0.00008 | 0.1775 | 0.1411 | 0.0363 | |||
| 0.1736 | 0.1508 | 0.0005 | 0.0001 | 0.1951 | 0.1520 | 0.0431 | |||
| 200 | 1.4801 | 0.7815 | 0.4948 | 0.1582 | 2.2598 | 0.7004 | 1.5594 | ||
| 1.3630 | 0.8454 | 0.4574 | 0.1404 | 2.0975 | 0.6286 | 1.4688 | |||
| 0.2262 | 0.1709 | 0.0011 | 0.0004 | 0.2691 | 0.1834 | 0.0857 | |||
| 0.2300 | 0.2091 | 0.0017 | 0.0008 | 0.2870 | 0.1731 | 0.1138 | |||
| 0.5908 | 0.0492 | 0.0008 | 0.0007 | 0.6458 | 0.5358 | 0.1100 | |||
| 0.3968 | 0.1340 | 0.0022 | 0.0006 | 0.4476 | 0.3460 | 0.1016 | |||
| 0.1453 | 0.0490 | 0.00004 | 0.00003 | 0.1574 | 0.1333 | 0.0241 | |||
| 0.1571 | 0.0534 | 0.00006 | 0.00005 | 0.1713 | 0.1429 | 0.0283 |
| Parameter | Averages | Re | ER | ||||||
|---|---|---|---|---|---|---|---|---|---|
| 30 | 24 | 4.6720 | 0.2065 | 0.6823 | 0.2307 | 5.6135 | 3.7304 | 1.8831 | |
| 5.3162 | 0.1682 | 0.7072 | 0.6073 | 6.8436 | 3.7887 | 3.0548 | |||
| 2.7182 | 0.4845 | 0.9390 | 0.4231 | 3.9932 | 1.4433 | 2.5498 | |||
| 2.6853 | 0.3960 | 0.6273 | 0.1575 | 3.4633 | 1.9073 | 1.5559 | |||
| 0.4995 | 0.1216 | 0.0036 | 0.0036 | 0.6187 | 0.3803 | 0.2383 | |||
| 0.9811 | 0.0424 | 0.0016 | 0.0006 | 1.0315 | 0.9307 | 0.1008 | |||
| 0.0787 | 0.5041 | 0.0051 | 0.00114 | 0.1451 | 0.0142 | 0.1327 | |||
| 0.0827 | 0.5181 | 0.0062 | 0.00136 | 0.1550 | 0.0104 | 0.1445 | |||
| 30 | 4.5822 | 0.1915 | 0.5870 | 0.2480 | 5.5584 | 3.6061 | 1.9522 | ||
| 5.5350 | 0.1706 | 0.7280 | 0.4417 | 6.8377 | 4.2323 | 2.6054 | |||
| 2.4780 | 0.4293 | 0.7372 | 0.5086 | 3.8759 | 1.0801 | 2.7958 | |||
| 2.4085 | 0.2711 | 0.2940 | 0.1271 | 3.1075 | 1.7095 | 1.3980 | |||
| 0.4839 | 0.1679 | 0.0070 | 0.0067 | 0.6454 | 0.3223 | 0.3231 | |||
| 0.9734 | 0.0304 | 0.0008 | 0.00029 | 1.0069 | 0.9400 | 0.0668 | |||
| 0.0902 | 0.4362 | 0.0038 | 0.00117 | 0.1572 | 0.0231 | 0.1341 | |||
| 0.0952 | 0.4500 | 0.0047 | 0.00141 | 0.1690 | 0.0214 | 0.1476 | |||
| 50 | 40 | 4.6444 | 0.1839 | 0.5413 | 0.1261 | 5.3404 | 3.9484 | 1.3920 | |
| 5.3309 | 0.1521 | 0.5787 | 0.4692 | 6.6735 | 3.9882 | 2.6852 | |||
| 2.6899 | 0.3974 | 0.6320 | 0.1560 | 3.4641 | 1.9156 | 1.5485 | |||
| 2.6607 | 0.3640 | 0.5300 | 0.0934 | 3.2598 | 2.0616 | 1.1981 | |||
| 0.4984 | 0.1043 | 0.0027 | 0.0027 | 0.6005 | 0.3962 | 0.2043 | |||
| 0.9833 | 0.0363 | 0.0011 | 0.00008 | 1.0017 | 0.9650 | 0.0366 | |||
| 0.0773 | 0.4890 | 0.0048 | 0.0006 | 0.1278 | 0.0268 | 0.1009 | |||
| 0.0809 | 0.5049 | 0.0059 | 0.0007 | 0.1358 | 0.0259 | 0.1098 | |||
| 50 | 4.5477 | 0.1748 | 0.4893 | 0.1892 | 5.4004 | 3.6950 | 1.7053 | ||
| 5.5636 | 0.1539 | 0.5923 | 0.2746 | 6.5907 | 4.5365 | 2.0541 | |||
| 2.5168 | 0.3756 | 0.5644 | 0.2973 | 3.5856 | 1.4479 | 2.1376 | |||
| 2.3582 | 0.2287 | 0.2092 | 0.0809 | 2.9157 | 1.8006 | 1.1150 | |||
| 0.4880 | 0.1460 | 0.0053 | 0.0051 | 0.6291 | 0.3468 | 0.2823 | |||
| 0.9751 | 0.0308 | 0.0008 | 0.00023 | 1.0051 | 0.9452 | 0.0598 | |||
| 0.0887 | 0.4334 | 0.0037 | 0.00096 | 0.1496 | 0.0277 | 0.1218 | |||
| 0.0935 | 0.4480 | 0.0046 | 0.00117 | 0.1606 | 0.0264 | 0.1342 | |||
| 100 | 80 | 4.6209 | 0.1648 | 0.4348 | 0.0493 | 5.0563 | 4.1854 | 0.8708 | |
| 5.3973 | 0.1387 | 0.4813 | 0.3234 | 6.5120 | 4.2826 | 2.2293 | |||
| 2.6582 | 0.3428 | 0.4700 | 0.0367 | 3.0339 | 2.2825 | 0.7513 | |||
| 2.6172 | 0.3269 | 0.4276 | 0.0466 | 3.0404 | 2.1940 | 0.8463 | |||
| 0.4915 | 0.0800 | 0.0016 | 0.0015 | 0.5681 | 0.4148 | 0.1533 | |||
| 0.9843 | 0.0366 | 0.0012 | 0.00003 | 0.9960 | 0.9726 | 0.0233 | |||
| 0.0758 | 0.4811 | 0.0046 | 0.00031 | 0.1108 | 0.0409 | 0.0699 | |||
| 0.0791 | 0.4986 | 0.0058 | 0.00037 | 0.1170 | 0.0411 | 0.0759 | |||
| 100 | 4.5050 | 0.1593 | 0.4064 | 0.1513 | 5.2676 | 3.7425 | 1.5251 | ||
| 5.6862 | 0.1622 | 0.6581 | 0.1872 | 6.5344 | 4.8381 | 1.6962 | |||
| 2.6205 | 0.3969 | 0.6302 | 0.2450 | 3.5909 | 1.6502 | 1.9406 | |||
| 2.2863 | 0.1810 | 0.1310 | 0.0490 | 2.7205 | 1.8520 | 0.8685 | |||
| 0.5017 | 0.1208 | 0.0036 | 0.0036 | 0.6202 | 0.3833 | 0.2368 | |||
| 0.9772 | 0.0317 | 0.0009 | 0.0001 | 1.0032 | 0.9512 | 0.0519 | |||
| 0.0862 | 0.4394 | 0.0038 | 0.0008 | 0.1417 | 0.0307 | 0.1110 | |||
| 0.0906 | 0.4551 | 0.0048 | 0.0009 | 0.1519 | 0.0294 | 0.1225 | |||
| 150 | 120 | 4.6007 | 0.1570 | 0.3948 | 0.0336 | 4.9604 | 4.2414 | 0.7189 | |
| 5.4308 | 0.1344 | 0.4518 | 0.2661 | 6.4421 | 4.4196 | 2.0224 | |||
| 2.6383 | 0.3279 | 0.4302 | 0.0228 | 2.9344 | 2.3421 | 0.5923 | |||
| 2.5904 | 0.3089 | 0.3818 | 0.0332 | 2.9476 | 2.2331 | 0.7145 | |||
| 0.4891 | 0.0683 | 0.0011 | 0.0010 | 0.5525 | 0.4256 | 0.1269 | |||
| 0.9842 | 0.0362 | 0.00118 | 0.000019 | 0.9929 | 0.9755 | 0.0173 | |||
| 0.0763 | 0.4717 | 0.00446 | 0.00019 | 0.1038 | 0.0488 | 0.0550 | |||
| 0.0795 | 0.4896 | 0.00559 | 0.00023 | 0.1093 | 0.0497 | 0.0596 | |||
| 150 | 4.4977 | 0.1498 | 0.3590 | 0.1113 | 5.1517 | 3.8437 | 1.3080 | ||
| 5.7258 | 0.1642 | 0.6744 | 0.1475 | 6.4787 | 4.9729 | 1.5057 | |||
| 2.6599 | 0.3958 | 0.6268 | 0.1913 | 3.5172 | 1.8026 | 1.7145 | |||
| 2.2829 | 0.1710 | 0.1170 | 0.0369 | 2.6597 | 1.9061 | 0.7536 | |||
| 0.5050 | 0.1183 | 0.0035 | 0.0034 | 0.6206 | 0.3894 | 0.2311 | |||
| 0.9787 | 0.0326 | 0.0009 | 0.00012 | 1.0008 | 0.9571 | 0.0437 | |||
| 0.0837 | 0.4441 | 0.0039 | 0.0006 | 0.1320 | 0.0355 | 0.0964 | |||
| 0.0878 | 0.4606 | 0.0049 | 0.0007 | 0.1410 | 0.0346 | 0.1063 | |||
| 200 | 160 | 4.5957 | 0.1548 | 0.3836 | 0.0287 | 4.9278 | 4.2637 | 0.6641 | |
| 5.4897 | 0.1335 | 0.4459 | 0.2061 | 6.3795 | 4.5998 | 1.7796 | |||
| 2.6268 | 0.3200 | 0.4097 | 0.0167 | 2.8808 | 2.3728 | 0.5080 | |||
| 2.5710 | 0.2975 | 0.3541 | 0.0280 | 2.8991 | 2.2429 | 0.6561 | |||
| 0.4865 | 0.0611 | 0.00093 | 0.00075 | 0.5403 | 0.4327 | 0.1075 | |||
| 0.9842 | 0.0361 | 0.00117 | 0.000016 | 0.9921 | 0.9763 | 0.0158 | |||
| 0.0760 | 0.4719 | 0.00447 | 0.00015 | 0.1006 | 0.0513 | 0.0493 | |||
| 0.0791 | 0.4901 | 0.0056 | 0.00018 | 0.1058 | 0.0524 | 0.0534 | |||
| 200 | 4.5093 | 0.1485 | 0.3528 | 0.0934 | 5.1085 | 3.9100 | 1.1985 | ||
| 5.7724 | 0.1695 | 0.7183 | 0.1216 | 6.4560 | 5.0888 | 1.3672 | |||
| 2.7056 | 0.4019 | 0.6463 | 0.1484 | 3.4608 | 1.9504 | 1.5103 | |||
| 2.2771 | 0.1657 | 0.1099 | 0.0331 | 2.6338 | 1.9204 | 0.7134 | |||
| 0.5115 | 0.1128 | 0.0031 | 0.0030 | 0.6197 | 0.4032 | 0.2165 | |||
| 0.9802 | 0.0334 | 0.0010 | 0.00009 | 0.9996 | 0.9609 | 0.0386 | |||
| 0.0814 | 0.4545 | 0.0041 | 0.0005 | 0.1261 | 0.0367 | 0.0893 | |||
| 0.0852 | 0.4715 | 0.0051 | 0.0006 | 0.1345 | 0.0360 | 0.0984 |
| Parameter | Averages | ER | |||||||
|---|---|---|---|---|---|---|---|---|---|
| 30 | 24 | 8.7862 | 1.2327 | 24.3132 | 1.4051 | 11.1096 | 6.4628 | 4.6467 | |
| 0.5924 | 0.1859 | 0.0086 | 0.00009 | 0.6115 | 0.5734 | 0.0380 | |||
| 0.3582 | 0.8082 | 0.0261 | 0.0011 | 0.4232 | 0.2931 | 0.1301 | |||
| 1.8359 | 0.0824 | 0.0272 | 0.0002 | 1.8696 | 1.8021 | 0.0674 | |||
| 0.8901 | 0.7817 | 0.1527 | 0.0005 | 0.9353 | 0.8450 | 0.0902 | |||
| 0.5682 | 1.3365 | 0.1059 | 0.0004 | 0.6097 | 0.5267 | 0.0830 | |||
| 0.1346 | 0.1120 | 0.0002 | 0.0002 | 0.1634 | 0.1058 | 0.0576 | |||
| 0.1447 | 0.1226 | 0.0003 | 0.0003 | 0.1789 | 0.1106 | 0.0683 | |||
| 30 | 8.6444 | 1.1826 | 22.3772 | 0.8061 | 10.4043 | 6.8846 | 3.5196 | ||
| 0.5694 | 0.1414 | 0.0050 | 0.0001 | 0.5957 | 0.5431 | 0.0526 | |||
| 0.2877 | 0.4890 | 0.0095 | 0.0018 | 0.3723 | 0.2031 | 0.1692 | |||
| 1.8768 | 0.0627 | 0.0157 | 0.0005 | 1.9234 | 1.8301 | 0.0932 | |||
| 0.9177 | 0.8365 | 0.1749 | 0.0004 | 0.9595 | 0.8758 | 0.0836 | |||
| 0.5396 | 1.2203 | 0.0882 | 0.0006 | 0.5878 | 0.4913 | 0.0965 | |||
| 0.1187 | 0.1718 | 0.0005 | 0.0001 | 0.1402 | 0.0972 | 0.0430 | |||
| 0.1264 | 0.1827 | 0.0007 | 0.00015 | 0.1511 | 0.1017 | 0.0494 | |||
| 50 | 40 | 9.0518 | 1.2756 | 26.0361 | 0.5150 | 10.4584 | 7.6452 | 2.8132 | |
| 0.5918 | 0.1864 | 0.0085 | 0.00006 | 0.6076 | 0.5762 | 0.0313 | |||
| 0.3566 | 0.7949 | 0.0252 | 0.0007 | 0.4096 | 0.3036 | 0.1059 | |||
| 1.8368 | 0.0818 | 0.0268 | 0.0002 | 1.8646 | 1.8090 | 0.0555 | |||
| 0.8913 | 0.7834 | 0.1534 | 0.0003 | 0.9260 | 0.8565 | 0.0694 | |||
| 0.5720 | 1.3502 | 0.1080 | 0.0001 | 0.5951 | 0.5489 | 0.0461 | |||
| 0.1323 | 0.0832 | 0.0001 | 0.00007 | 0.1492 | 0.1154 | 0.0338 | |||
| 0.1419 | 0.0891 | 0.00018 | 0.00009 | 0.1615 | 0.1224 | 0.0391 | |||
| 50 | 8.7923 | 1.2087 | 23.3769 | 0.4105 | 10.0482 | 7.5364 | 2.5118 | ||
| 0.5684 | 0.1387 | 0.0048 | 0.0001 | 0.5903 | 0.5465 | 0.0437 | |||
| 0.2847 | 0.4592 | 0.0084 | 0.0012 | 0.3542 | 0.2151 | 0.1390 | |||
| 1.8785 | 0.0615 | 0.0151 | 0.00039 | 1.9173 | 1.8397 | 0.0775 | |||
| 0.9193 | 0.8392 | 0.1761 | 0.0002 | 0.9520 | 0.8865 | 0.0655 | |||
| 0.5405 | 1.2227 | 0.0886 | 0.0004 | 0.5809 | 0.5000 | 0.0809 | |||
| 0.1174 | 0.1698 | 0.00056 | 0.00005 | 0.1317 | 0.1032 | 0.0284 | |||
| 0.1250 | 0.1806 | 0.00074 | 0.00006 | 0.1411 | 0.1088 | 0.0323 | |||
| 100 | 80 | 9.2315 | 1.3130 | 27.5872 | 0.2184 | 10.1476 | 8.3153 | 1.8322 | |
| 0.5915 | 0.1834 | 0.0084 | 0.00003 | 0.6030 | 0.5800 | 0.0229 | |||
| 0.3557 | 0.7849 | 0.0246 | 0.0003 | 0.3942 | 0.3172 | 0.0769 | |||
| 1.8375 | 0.0813 | 0.0264 | 0.0001 | 1.8579 | 1.8172 | 0.0406 | |||
| 0.8918 | 0.7841 | 0.1537 | 0.00015 | 0.9164 | 0.8672 | 0.0492 | |||
| 0.5740 | 1.3581 | 0.1093 | 0.00005 | 0.5890 | 0.5591 | 0.0299 | |||
| 0.1311 | 0.0762 | 0.0001 | 0.00003 | 0.1425 | 0.1198 | 0.0226 | |||
| 0.1406 | 0.0816 | 0.00015 | 0.00004 | 0.1537 | 0.1275 | 0.0261 | |||
| 100 | 8.8621 | 1.2216 | 23.8792 | 0.2385 | 9.8195 | 7.9047 | 1.9147 | ||
| 0.5674 | 0.1358 | 0.0046 | 0.00006 | 0.5833 | 0.5514 | 0.0318 | |||
| 0.2813 | 0.4271 | 0.0072 | 0.0006 | 0.3326 | 0.2299 | 0.1026 | |||
| 1.8803 | 0.0602 | 0.0145 | 0.0002 | 1.9086 | 1.8521 | 0.0565 | |||
| 0.9210 | 0.8424 | 0.1774 | 0.0001 | 0.9446 | 0.8974 | 0.0472 | |||
| 0.5401 | 1.2199 | 0.0882 | 0.0002 | 0.5710 | 0.5092 | 0.0617 | |||
| 0.1167 | 0.1712 | 0.00057 | 0.00002 | 0.1266 | 0.1068 | 0.0198 | |||
| 0.1241 | 0.1821 | 0.00075 | 0.00003 | 0.1353 | 0.1129 | 0.0224 | |||
| 150 | 120 | 9.3048 | 1.3294 | 28.2784 | 0.1369 | 10.0301 | 8.5795 | 1.4505 | |
| 0.5914 | 0.1832 | 0.0083 | 0.00002 | 0.6017 | 0.5811 | 0.0206 | |||
| 0.3550 | 0.7800 | 0.0243 | 0.0003 | 0.3896 | 0.3203 | 0.0692 | |||
| 1.8377 | 0.0812 | 0.0264 | 0.00008 | 1.8560 | 1.8194 | 0.0366 | |||
| 0.8927 | 0.7857 | 0.1543 | 0.00011 | 0.9141 | 0.8713 | 0.0427 | |||
| 0.5750 | 1.3618 | 0.1099 | 0.00005 | 0.5894 | 0.5606 | 0.0288 | |||
| 0.1306 | 0.0763 | 0.0001 | 0.00002 | 0.1400 | 0.1212 | 0.0187 | |||
| 0.1399 | 0.0817 | 0.0015 | 0.00003 | 0.1507 | 0.1291 | 0.0215 | |||
| 150 | 8.8824 | 1.2250 | 24.0130 | 0.1748 | 9.7019 | 8.0629 | 1.6390 | ||
| 0.5673 | 0.1354 | 0.0045 | 0.00005 | 0.5812 | 0.5534 | 0.0278 | |||
| 0.2813 | 0.4224 | 0.0071 | 0.0005 | 0.3262 | 0.2364 | 0.0898 | |||
| 1.8805 | 0.0600 | 0.0144 | 0.00015 | 1.9052 | 1.8558 | 0.0494 | |||
| 0.9208 | 0.8420 | 0.1772 | 0.00010 | 0.9412 | 0.9005 | 0.0406 | |||
| 0.5402 | 1.2202 | 0.0882 | 0.00018 | 0.5671 | 0.5134 | 0.0537 | |||
| 0.1167 | 0.1699 | 0.00056 | 0.000018 | 0.1252 | 0.1082 | 0.0170 | |||
| 0.1241 | 0.1808 | 0.00074 | 0.000024 | 0.1338 | 0.1145 | 0.0193 | |||
| 200 | 160 | 9.3130 | 1.3301 | 28.3098 | 0.0817 | 9.8735 | 8.7524 | 1.1211 | |
| 0.5917 | 0.1836 | 0.00842 | 0.000016 | 0.5995 | 0.5838 | 0.0157 | |||
| 0.3562 | 0.7845 | 0.0246 | 0.00019 | 0.3837 | 0.3288 | 0.0548 | |||
| 1.8372 | 0.0814 | 0.0265 | 0.00005 | 1.8512 | 1.8233 | 0.0278 | |||
| 0.8918 | 0.7838 | 0.1536 | 0.00008 | 0.9099 | 0.8737 | 0.0362 | |||
| 0.5754 | 1.3633 | 0.11019 | 0.000019 | 0.5841 | 0.5667 | 0.0174 | |||
| 0.1308 | 0.0720 | 0.00010 | 0.000015 | 0.1385 | 0.1231 | 0.0153 | |||
| 0.1402 | 0.0772 | 0.00013 | 0.000020 | 0.1490 | 0.1314 | 0.0176 | |||
| 200 | 8.8520 | 1.2167 | 23.6858 | 0.1438 | 9.5954 | 8.1086 | 1.4867 | ||
| 0.5662 | 0.1329 | 0.0044 | 0.00003 | 0.5783 | 0.5540 | 0.0242 | |||
| 0.2780 | 0.4025 | 0.0064 | 0.00039 | 0.3168 | 0.2392 | 0.0776 | |||
| 1.8825 | 0.0589 | 0.0139 | 0.00012 | 1.9040 | 1.8610 | 0.0430 | |||
| 0.9219 | 0.8441 | 0.1781 | 0.00007 | 0.9392 | 0.9046 | 0.0345 | |||
| 0.5384 | 1.2125 | 0.0871 | 0.00014 | 0.5623 | 0.5145 | 0.0478 | |||
| 0.1161 | 0.1732 | 0.00059 | 0.000013 | 0.1233 | 0.1089 | 0.0144 | |||
| 0.1234 | 0.1843 | 0.00077 | 0.000017 | 0.1316 | 0.1185 | 0.0163 |
| Model | Parameter | Estimate | SEs | K-S | p-Value | −2lnL | AIC | BIC | AICc |
|---|---|---|---|---|---|---|---|---|---|
| DMTW | 2.6882 | 0.6513 | 0.190 | 0.820 | 170.323 | 180.323 | 185.546 | 184.323 | |
| 1.8254 | 0.6739 | ||||||||
| 0.3608 | 0.7134 | ||||||||
| 0.5101 | 0.7094 | ||||||||
| 0.4120 | 0.7120 | ||||||||
| DW | 0.1814 | 0.7183 | 0.380 | 0.075 | 215.138 | 219.138 | 221.227 | 219.805 | |
| 0.2629 | 0.7161 | ||||||||
| DGIW | 3.5365 | 0.6299 | 0.333 | 0.187 | 212.75 | 218.75 | 221.883 | 220.161 | |
| 0.0828 | 0.7210 | ||||||||
| 3.3495 | 0.6345 | ||||||||
| DAPW | 2 | 0.6693 | 0.714 | 0.00001 | 209.96 | 215.96 | 219.093 | 217.371 | |
| 0.99 | 0.6963 | ||||||||
| 1 | 0.6961 | ||||||||
| EDW | 1.0903 | 0.6936 | 0.285 | 0.334 | 184.638 | 190.638 | 193.772 | 192.05 | |
| 0.1091 | 0.7203 | ||||||||
| 0.9898 | 0.6963 | ||||||||
| DMW | 0.1711 | 0.7186 | 0.428 | 0.036 | 207.343 | 213.343 | 216.476 | 214.755 | |
| 0.1041 | 0.7204 | ||||||||
| 1.0252 | 0.6954 |
| Model | Parameter | Estimate | SEs | K-S | p-Value | −2lnL | AIC | BIC | AICc |
|---|---|---|---|---|---|---|---|---|---|
| DMTW | 1.0407 | 0.6354 | 0.25 | 0.684 | 126.191 | 136.191 | 140.054 | 142.191 | |
| 1.3949 | 0.6206 | ||||||||
| 0.3898 | 0.6626 | ||||||||
| 0.4714 | 0.6592 | ||||||||
| 0.5668 | 0.6552 | ||||||||
| DW | 0.1838 | 0.6711 | 0.375 | 0.205 | 153.717 | 157.717 | 159.263 | 158.64 | |
| 0.2862 | 0.6669 | ||||||||
| DGIW | 3.2970 | 0.5439 | 0.437 | 0.09 | 158.86 | 164.86 | 167.177 | 166.86 | |
| 0.0958 | 0.6747 | ||||||||
| 4.7182 | 0.4984 | ||||||||
| DAPW | 2 | 0.5955 | 0.75 | 0.001 | 160.522 | 166.522 | 168.84 | 168.522 | |
| 0.99 | 0.6376 | ||||||||
| 0.99 | 0.6376 | ||||||||
| EDW | 1.1029 | 0.6328 | 0.312 | 0.414 | 134.338 | 140.338 | 142.656 | 142.338 | |
| 0.1095 | 0.6742 | ||||||||
| 0.9892 | 0.6376 | ||||||||
| DMW | 0.1768 | 0.6714 | 0.5 | 0.029 | 145.166 | 152.166 | 154.484 | 154.166 | |
| 0.0770 | 0.6755 | ||||||||
| 1.0443 | 0.6353 |
Disclaimer/Publisher’s Note: The statements, opinions and data contained in all publications are solely those of the individual author(s) and contributor(s) and not of MDPI and/or the editor(s). MDPI and/or the editor(s) disclaim responsibility for any injury to people or property resulting from any ideas, methods, instructions or products referred to in the content. |
© 2025 by the authors. Licensee MDPI, Basel, Switzerland. This article is an open access article distributed under the terms and conditions of the Creative Commons Attribution (CC BY) license (https://creativecommons.org/licenses/by/4.0/).
Share and Cite
Salem, D.R.; Hegazy, M.A.; Mohammad, H.H.; Kalantan, Z.I.; AL-Dayian, G.R.; EL-Helbawy, A.A.; Abd Elaal, M.K. Advances in Discrete Lifetime Modeling: A Novel Discrete Weibull Mixture Distribution with Applications to Medical and Reliability Studies. Symmetry 2025, 17, 2140. https://doi.org/10.3390/sym17122140
Salem DR, Hegazy MA, Mohammad HH, Kalantan ZI, AL-Dayian GR, EL-Helbawy AA, Abd Elaal MK. Advances in Discrete Lifetime Modeling: A Novel Discrete Weibull Mixture Distribution with Applications to Medical and Reliability Studies. Symmetry. 2025; 17(12):2140. https://doi.org/10.3390/sym17122140
Chicago/Turabian StyleSalem, Doha R., Mai A. Hegazy, Hebatalla H. Mohammad, Zakiah I. Kalantan, Gannat R. AL-Dayian, Abeer A. EL-Helbawy, and Mervat K. Abd Elaal. 2025. "Advances in Discrete Lifetime Modeling: A Novel Discrete Weibull Mixture Distribution with Applications to Medical and Reliability Studies" Symmetry 17, no. 12: 2140. https://doi.org/10.3390/sym17122140
APA StyleSalem, D. R., Hegazy, M. A., Mohammad, H. H., Kalantan, Z. I., AL-Dayian, G. R., EL-Helbawy, A. A., & Abd Elaal, M. K. (2025). Advances in Discrete Lifetime Modeling: A Novel Discrete Weibull Mixture Distribution with Applications to Medical and Reliability Studies. Symmetry, 17(12), 2140. https://doi.org/10.3390/sym17122140

