Next Article in Journal
A Utilization of Liouville–Caputo Fractional Derivatives for Families of Bi-Univalent Functions Associated with Specific Holomorphic Symmetric Function
Next Article in Special Issue
Chiral Symmetry in Implicit Regularization: A Review
Previous Article in Journal
Video Frame Interpolation for Extreme Motion Scenes Based on Dual Alignment and Region-Adaptive Interaction
Previous Article in Special Issue
Insights into Freezeout Dynamics in Symmetric Heavy Ion Collisions with Changing Event Centrality
 
 
Font Type:
Arial Georgia Verdana
Font Size:
Aa Aa Aa
Line Spacing:
Column Width:
Background:
Article

Study of Thermodynamic Properties of Ks0, Λ, Ξ, and d/d_ Produced in Symmetric Proton–Proton Collisions at SNN = 0.9 TeV and 7 TeV

1
Department of Physics, University of Science and Technology Bannu, Bannu 28100, Pakistan
2
Department of Physics, Government Degree College Serai Naurang, Lakki Marwat (Higher Education Department), Serai Naurang 28350, Pakistan
3
College of Humanities and Sciences, Ajman University, Ajman 346, United Arab Emirates
4
Strategic Planning and Institutional Identity Administration, King Faisal University, Al-Ahsaa 31982, Saudi Arabia
*
Authors to whom correspondence should be addressed.
Symmetry 2025, 17(12), 2098; https://doi.org/10.3390/sym17122098
Submission received: 5 November 2025 / Revised: 25 November 2025 / Accepted: 4 December 2025 / Published: 7 December 2025
(This article belongs to the Special Issue Advances of Asymmetry/Symmetry in High Energy Physics)

Abstract

We study the thermodynamic properties produced in symmetric pp collisions at s N N = 0.9 TeV and 7 TeV , based on experimental data by the ALICE collaboration at CERN. Particularly, we analyze the initial temperature T i , effective temperature T, freeze-out temperature T 0 , chemical potential μ , mean transverse momentum p T , freeze-out volume V, and transverse flow velocity β T of different hadrons such as K S 0 , Λ , Ξ , and d / d ¯ . To effectively use the transverse momentum p T distributions of these hadrons, and to extract the thermodynamic parameters, the Single-Slope Standard Distribution with and without the chemical potential μ , the Double-Slope Standard Distribution, and the modified Standard Distribution Functions are applied separately to fit the experimental data. The Modified Standard Distribution Function provides the most accurate description of the ALICE experimental data as compared to the Single-Slope (with and without μ ) and Double-Slope Standard Distribution Function. We have investigated the correlation between the extracted thermodynamic parameters and the measurements of mass and energy of particles of the collision, and we observed that the increase in s N N is positively correlated with T i , T, T 0 , p T , V, and negatively correlated with μ . The comparison of pp collisions with heavy-ion collisions (Au–Au collisions) suggests the possibility of collective-like dynamics even in small systems, which supports the hypothesis of thermalization and partial de-confinement in high-energy pp collisions, indicating a transition towards a quark-gluon plasma (QGP)-like medium.

1. Introduction

Understanding the nature of strongly interacting matter under extreme conditions is a central goal in high-energy particle physics. Heavy-ion collisions at the Relativistic Heavy-Ion Collider (RHIC) and Large Hadron Collider (LHC) have long been used to create and study the quark-gluon plasma (QGP), a deconfined state of quarks and gluons. However, recent findings suggest that even in small systems such as proton–proton symmetric collisions (pp) and p P b collisions at high energies, signatures typically associated with QGP such as radial flow, collective behavior, and thermalization, have been discussed in the literature [1,2,3,4,5].
High-energy symmetric pp collisions provide a vital framework for exploring the fundamental aspects of Quantum Chromodynamics (QCD) and the theory describing the strong interaction among quarks and gluons. At the extreme energies achieved at the Large Hadron Collider (LHC), such as ( s N N ) = 0.9 TeV and 7 TeV, it becomes possible to recreate, on a microscopic scale, the conditions that existed microseconds after the Big Bang, enabling the study of strongly interacting matter at high temperatures and densities. During the formation of QGP (similar to thermalized media), the system experiences rapid expansion driven by strong pressure gradients in the collision region. This expansion leads to cooling and eventual hadronization. From collisions to hadronization, there are different temperature stages. At the initial stage, when the nuclei collide and the QGP begins to form, the temperature of the system is known as the initial temperature T i , which is considered the greatest temperature, as it evolves and reaches the chemical freeze-out stage, where inelastic collisions cease. The temperature at this stage is called the chemical freeze-out temperature T c h [6,7,8]. At last, the system reaches the thermal or kinetic freeze-out stage; at this stage, the temperature of the system is labeled as the thermal or kinetic freeze-out temperature T 0 [9,10,11]. At the stage of T 0 , interactions become so sparse that even elastic collisions are no longer significant. Additionally, there is another temperature at these stages of temperature called the effective temperature T, which accounts for both thermal motion and collective flow within the system, written mathematically as T = T 0 + m 0 β T [12], where T 0 is the freeze-out temperature, m 0 is the mass of the observed particle (hadron), and β T is the transverse flow velocity. By the evolutionary stages of the system, the hierarchy of these temperatures is found in the literature as T i T c h T T 0 [13,14].
Although heavy-ion collisions ( A u A u collisions) have traditionally been used to investigate the formation of a deconfined Quark Gluon Plasma (QGP) [15,16], recent findings from high-multiplicity pp and p P b collisions suggest that small systems can also exhibit collective behavior and partial thermalization at high energies [17,18]. Such observations have motivated renewed interest in studying the thermodynamic properties of hadronic matter produced in pp collisions. Strange hadrons, such as K s 0 , Λ , Ξ , and light (anti) nuclei, including d / d ¯ , are of particular interest because their production yields and transverse momentum p T distributions provide sensitive probes of the medium’s thermal and dynamical evolution [5,19]. The analysis of these distributions allows the extraction of key thermodynamic quantities, including the initial temperature T i , effective temperature T, kinetic freeze-out temperature T 0 , chemical potential μ , mean transverse momentum < p T > , freeze-out volume V, and transverse flow velocity β T . These observables collectively characterize the degree of thermalization, collective expansion, and freeze-out dynamics of the system [6,16,18].
This research is the continuation of our research papers [20,21,22,23] in which we have studied the centrality dependence and transverse momentum spectra of proton, deuteron, and triton temperatures in A u A u and X e X e collisions at 200 GeV and 54.4 GeV [20,21,22,23]. In this work, we perform a comprehensive study of these thermodynamic quantities for K s 0 , Λ , Ξ , and d / d ¯ produced in pp collisions at ( s N N ) = 0.9 TeV and 7 TeV, using statistical approaches. We introduce some new methods where the Standard Distribution Function (SDF) is applied for the first time as a Single-Slope SDF with and without chemical potential μ form, a Double-Slope SDF form, and then a modified SDF form to the experimental transverse momentum distributions. Additionally, we check the evolution of the fit of the results. Moreover, to study system size effects on the particles’ production, we present a comparison of some results with the data of heavy-ion ( A u A u ) collisions [24]. Such analyses can provide insights about collective flow and thermal-like behavior, even in small collision systems, bridging the phenomenological gap between elementary (pp) and heavy-ion collisions, and shedding light on the onset of QGP-like features in high-energy pp interactions [6,15,17,19]. The motivation of this work is to demonstrate that the Modified SDF provides the best description of the “soft” and “hard” sectors of the spectra simultaneously, supporting the hypothesis of collective flow in small systems.

2. The Method and Formalism

The experimental data describing the transverse momentum ( p T ) distributions of identified particles ( K s 0 , Λ , Ξ , d ,   d ¯ ) produced in symmetric pp collisions at ( s N N ) = 0.9 TeV and 7 TeV are taken from the ALICE collaboration at the CERN Large Hadron Collider (LHC) [25,26,27,28]. The ALICE detector is optimized for studying the properties of strongly interacting matter at extreme energy densities. Data were collected using a minimum-bias trigger based on signals from the VZERO scintillator hodoscopes and the Silicon Pixel Detector (SPD). Charged particle tracking and momentum determination were performed using the Time Projection Chamber (TPC) and Inner Tracking System (ITS) in a 0.5 T solenoidal magnetic field. Particle identification relied on d E / d x measurements in the TPC and time-of-flight information from the TOF detector. This precise setup allowed reconstruction of invariant mass spectra and extraction of accurate p T distributions for all identified particles [25].
The standard distribution function is rooted in classical and quantum statistics, incorporating Boltzmann–Gibbs, Bose–Einstein, and Fermi–Dirac statistics. The Two-Component Standard Distribution Function of the probability density, based on transverse momentum p T , is given by [29].
f p T ( p T , T ) = 1 N d N d p T = C p T p T 2 + m 0 2 × exp p T 2 + m 0 2 μ T + S 1 ,
where
  • f p T ( p T , T ) is the Two-Component Standard Distribution Function, in which the two components are the transverse momentum p T and the effective temperature T. The energy–temperature relation is given by; E = k B T , where k B is the Boltzmann constant. In natural units, we set k B = 1 [30]; as a result, the temperature becomes equivalent to energy E T . Therefore, we can measure the temperature in eV, MeV, GeV, etc., in particle physics.
  • N is the number of events.
  • C is the normalization constant (shows the number of quantum states or distributions per unit momentum volume).
  • m 0 is the mass of produced particles. As eV/ c 2 , MeV/ c 2 , GeV/ c 2 , etc., are used as the units of mass, according to E = m c 2 or m = E / c 2 . Conventionally, natural units are often used in particle physics, where the speed of light c is set to 1 [30,31]. Therefore, eV/ c 2 , MeV/ c 2 , GeV/ c 2 , etc., become simply eV, MeV, and GeV. Therefore, here, we used MeV and GeV as the units of mass of the particles ( K s 0 , Λ , Ξ . d, d ¯ ).
    For K s 0 , m 0 = 0.4976 GeV or 498.6 MeV [32].
    For Λ , m 0 = 1.11568 GeV or 1115.68 MeV [32].
    For Ξ , m 0 = 1.32171 GeV or 1321.71 MeV [32].
    For d / d ¯ , m 0 = 1.87561 GeV or 1875.61 MeV [32].
  • S is the index of the Two-Component Standard Distribution Function (for fermions S = 1 and for bosons S = −1).
  • μ is the chemical potential of the baryon [33].
The normalization constant C (also called the multiplicity parameter N 0 ) is mathematically given by:
C = g V 8 π 3 .
where V is the volume (physical space) of the produced particle, also referred to in this model as the effective emission volume. g is the degeneracy factor (the number of internal states that the particle can occupy due to spin).
Proof. 
In quantum statistical mechanics, let the number of available quantum states or distributions in a volume V for the integral over phase space be as follows:
  • Number of states = g V ( 2 π ) 3 .
  • = 1 (neutral units).
  • Number of states = g V 8 π 3 d 3 p .
  • Number of states per unit momentum volume C = g V 8 π 3 .
From Equation (2), the volume of the produced system can be calculated as follows:
V = 8 π 3 C g
By inputting the value of C, Equation (1) becomes:
1 N d N d p T = g V 8 π 3 p T p T 2 + m 0 2 exp p T 2 + m 0 2 μ T + S 1 ,
This equation is the Single-Slope Standard Distribution Function. Without chemical potential ( μ = 0), Equation (4) can be written as follows:
1 N d N d p T = g V 8 π 3 p T p T 2 + m 0 2 exp p T 2 + m 0 2 T + S 1 ,
The Single-Slope SDF is included primarily as a baseline reference. Due to the contribution of hard-scattering processes at high pT, this function is expected to yield higher chi-square values.
Another form of Equation (4) is the Double-Slope Standard Distribution Function, given as follows:
1 N d N d p T = g V 8 π 3 p T ( p T 2 + m 0 2 exp p T 2 + m 0 2 μ T 1 + S 1 + p T 2 + m 0 2 exp p T 2 + m 0 2 μ T 2 + S 1 ) ,
Equation (4) shows the special form of the Two-Component Standard Distribution Function, which remains constant with the Ideal Gas Model [34]. Regardless of the form of the transverse momentum distribution of the particle, the probability density function based on the transverse momentum p T is given as:
f ( p T ) = 1 N d N d p T .
Naturally, this equation is normalized to 1 (unity):
0 f ( p T ) d p T = 1 .
We can directly obtain the mean (average) transverse momentum < p T > from the fit function using the probability density function:
p T = 0 p T f ( p T ) d p T 0 f ( p T ) d p T .
Using Equation (8),
p T = 0 p T f ( p T ) d p T .
p T 2 = 0 p T 2 f ( p T ) d p T ,
where p T 2 = p T ( rms ) is the equation of the root mean square value of the transverse momentum p T .
Therefore, Equation (8) can be written as follows:
p T ( rms ) = 0 p T 2 f ( p T ) d p T .
The initial temperature T i of sources of emission can be calculated from the String Percolation Model [35], using the following equation:
T i = p T ( rms ) 2 ,
where p T ( rms ) = p T 2 is the root mean square value of the transverse momentum.
To prove that T = T 0 + m 0 β T [12], we fit the data with the same function in modified form (in which we have used Lorentz Transformation) using m T = γ T ( m T p T β T ) , then one can find the T 0 and β T along with the system volume and chemical potential μ . Therefore, the modified form of Equation (4) in terms of μ T is given by:
1 N d N d p T = g V 8 π 3 p T γ T m T p T β T × exp γ T ( m T p T β T ) μ T 0 + S 1 .
Or:
1 N d N d p T = g V 8 π 3 p T 1 1 β T 2 p T 2 + m 0 2 p T β T × exp 1 1 β T 2 p T 2 + m 0 2 p T β T μ T 0 + S 1 .
This is the modified Standard Distribution Function, where
  • γ T = 1 1 β T 2 .
  • m T = p T 2 + m 0 2 .
  • T 0 is the freeze-out temperature.
  • β T is the transverse flow velocity.
The standard formula to calculate the reduced Chi-square χ 2 value is given as follows:
χ 2 = i y exp , i y model , i σ i 2

3. Results and Analysis

The transverse momentum p T distributions of different particles (hadrons), such as K s 0 , Λ , Ξ , and d / d ¯ produced in symmetric pp collisions at s N N = 0.9 TeV and 7 TeV, are described by experimental data taken from the ALICE collaboration at the CERN Large Hadron Collider (LHC) [25,26,27,28,29] and displayed in Figure 1, which displays all the particles at both energies on a single plot to demonstrate the hierarchy of yields and the scale difference between 0.9 TeV and 7 TeV. At 7 TeV, there are significantly higher yields (upper distributions) than in the case of 0.9 TeV (lower distributions). The yield decreases as p T increases, and the spectra are generally harder for the higher mass particles (i.e., the decrease with p T is slower at high p T , like Λ or Ξ compared to K s 0 ). The distinct ordering of the yields of these strange hadrons (e.g., K s 0 > Λ > Ξ ) provides crucial information about strangeness production mechanisms in pp collisions, which is essential as a baseline for comparison with heavy-ion collisions. The invariant yields generally follow an approximate exponential decay with increasing p T , and a transition to a power-law decay at high p T is observed. Furthermore, Figure 2 visualizes the distributions of both datasets (0.9 TeV and 7 TeV) independently. It separates the particles to allow for a clearer view of the spectral shapes of individual species without visual overcrowding. The individual plots are made for the purpose of comparison, allowing us to analyze the trends within each dataset. In Figure 2a, the normalized invariant yield ( 1 N inel d 2 N 2 π p T d y d p T ) is presented as a function of transverse momentum p T for pp collisions at s N N = 0.9 TeV. At low p T values, the particle yields are ordered as K s 0 > Λ > Ξ . This ordering reflects the strangeness content of the particles: the single-strange K s 0 or Λ is produced at a greater rate than the double-strange Ξ . The yields exhibit a sharp, approximately exponential fall-off as p T increases. In addition, the behavior at low p T is primarily governed by soft physics processes like thermal production and collective effects. These distributions serve as a baseline for hadronic production in symmetric pp collisions at a moderate Large Hadron Collider (LHC) energy. The yields for the presumed d / d ¯ are several orders of magnitude lower than the strange hadrons, indicating their production is far less common. The data points are relatively scattered at high p T , particularly for the multi-strange Ξ , suggesting that the production cross-section becomes very low at large transverse momenta for these low-energy collisions. In Figure 2b, the normalized invariant yield ( 1 N inel d 2 N 2 π p T d y d p T ) is also presented as a function of transverse momentum p T for pp collisions at s N N = 7 TeV. Similar to 0.9 TeV, the low p T particle yield ordering is observed as K s 0 > Λ > Ξ . The slopes of the p T distributions are less steep compared to the 0.9 TeV distributions, meaning the yields do not drop quickly as the p T increases. Additionally, the comparison between the two plots highlights the strong energy dependence of particle production in pp collisions. The invariant yields at 7 TeV are significantly higher than those at 0.9 TeV by factors ranging from tens to hundreds across all p T values. This increase in particle yields is expected due to the larger phase space available for particle production at higher center-of-mass energy. Furthermore, the p T distributions are significantly harder at 7 TeV, while they fall more steeply with p T at 0.9 TeV. This confirms the dominance of hard scattering (jet-like) processes as the collision energy increases. The ordering of strange hadron yields ( K s 0 > Λ > Ξ ) is maintained at both energies, indicating that the fundamental mechanisms for strangeness production are qualitatively similar in pp collisions across this energy range, although the rates are much higher. These pp results are essential as a reference for Heavy-Ion (AA) collisions (e.g., P b P b ). For instance, any deviation in the yield or the spectral shape in AA data (such as the strangeness enhancement) is interpreted relative to these pp baseline measurements to diagnose the formation of the Quark-Gluon Plasma (QGP).
Figure 3 presents the transverse momentum p T distributions of K s 0 , Λ , X i , d, and d ¯ produced in pp collisions at s N N = 0.9 TeV and 7 TeV, plotted as subfigures a, b, c, d, and e, respectively. The distributions are plotted on a semi-log scale, with the y-axis showing the differential yield and the x-axis showing p T in GeV/c. The Single-Slope Standard Distribution Function (Equation (5)) is applied as a fit function (where μ = 0) and compared to the experimental data. In Figure 3a, the yield of K s 0 mesons is significantly higher at 7 TeV as compared to 0.9 TeV throughout the p T range. This is consistent with the expectation from quantum chromodynamics (QCD) that the production cross-section increases at higher collision energies for all particle species. In both energies, the distribution exhibits a steep drop at low p T followed by a shallower slope at intermediate p T . The data clearly deviates from the Single-Slope SDF fit for p T 1 2 GeV/c. This hardening of the spectrum at higher p T is also a common feature in pp collisions, indicative of the transition from soft-physics (low p T ) to hard-scattering processes (high p T ), which is better described by power-law functions like the Hagedorn and Tsallis distributions or by pQCD calculations. In Figure 3b, similar to K s 0 , the 7 TeV distribution is consistently higher than the 0.9 TeV distribution. This confirms the increased production with higher center-of-mass energy. The Λ spectrum also shows a clear deviation from the Single-Slope SDF fit at high p T ; a deviation that is even more pronounced than for the K s 0 . This deviation is particularly important for baryons (such as Λ ) because their production at intermediate p T is strongly influenced by baryon-meson chemistry and collective effects (if any, though less expected in pp collisions than in heavy-ion collisions), which can lead to a phenomenon known as baryon-to-meson enhancement at intermediate p T relative to the exponential fit. In Figure 3c, the production yield of Ξ at 7 TeV is notably higher than at 0.9 TeV. The data points at the two energies appear quite close, suggesting a less steep rise in production yield with energy compared to the lighter particles, especially at low p T . The overall Ξ spectrum is steeper than for K s 0 and Λ , indicating that the average p T is lower. The Single-Slope SDF fit performs reasonably well over the measured range up to p T 1.5 GeV/c, but the data still show a slight deviation or hardening at the highest measured p T values. Figure 3d,e shows that both distributions of d / d ¯ are very steep, and the production yield is substantially lower than for the primary hadrons. The d / d ¯ distributions are nearly identical, particularly at low p T , which is an expected outcome due to charge-conjugation (C) symmetry in pp collisions. The Single-Slope SDF fit provides a reasonable description of these steep, low-yield distributions over the limited measured range. The fit parameters, such as volume V, effective temperature T, and chi-square χ 2 values, are extracted from each subfigure to describe the data best at each center-of-mass energy, given in Table 1. The data demonstrates a clear dependence on both volume and effective temperature on center-of-mass energy, with elevated values at higher center-of-mass energies; i.e., higher energy collisions create a hotter and denser medium. This increment is indicative of higher effective thermal excitation and greater phase space occupancy at higher energies.
In Figure 4, the Single-Slope Standard Distribution Function (Equation (4), considering chemical potential ( μ )), is used to fit the transverse momentum p T distributions of K s 0 , Λ , Ξ , d, and d ¯ , then compared to the experimental data. Similar to Figure 3, the distributions are plotted on a semi-log scale, with the y-axis showing the differential yield and the x-axis showing p T in GeV/c. In Figure 4a, the p T distributions of K s 0 show a significant increase in production yield as the collision energy rises from 0.9 TeV to 7 TeV. This reflects the larger phase space and higher hard-scattering probability at higher energy in Quantum Chromodynamics (QCD). There is the clear deviation of the data from the Single-Slope SDF fit for p T values beyond ~2 GeV/c. This hardening of the distributions at intermediate-to-high p T is a signature of the transition from soft particle production mechanisms, which are well-modeled by the exponential fit, to hard-scattering processes where partonic interactions dominate and the cross-section follows a power law. In Figure 4b, Λ exhibits a similar energy dependence, with the 7 TeV yield consistently exceeding the 0.9 TeV yield across the measured p T range. The distribution is also visually steeper than the K s 0 distribution at low p T . However, this Single-Slope SDF fit fails to describe the data at high p T (e.g., p T > 3 GeV/c). This pronounced deviation suggests the presence of mechanisms that favor the production of baryons over mesons at intermediate p T , a phenomenon often linked to hadronization via coalescence/recombination or specific quark-level effects, which needs more sophisticated theoretical modeling than a simple thermal description. In Figure 4c, the p T distributions of Ξ show that the production yield of Ξ at 7 TeV is greater than at 0.9 TeV. Being a heavier particle than Λ , the Ξ spectrum is steeper and the overall production yield is lower. Although this Single-Slope SDF fit describes the low p T data relatively well, at the highest measured p T (e.g., p T 4 GeV/c), the data points clearly fall above the fit, once again highlighting the limitation of a single exponential model to describe the full range of particle production, which extends into the hard-scattering regime. In Figure 4d, the yield of d is several orders of magnitude lower (down to 10 7 GeV/c) than for the elementary hadrons, which is a characteristic of coalescence. The 7 TeV data is slightly higher than 0.9 TeV, demonstrating an energy dependence for this secondary production mechanism. The sharp steepening of the spectrum indicates that the probability for two nucleons to coalesce decreases rapidly with the deuteron’s p T . Therefore, this Single-Slope SDF fit (Equation (4)) provides a fair, though not perfect, representation of this steep fall-off. In Figure 4e, the distribution of d ¯ is nearly identical in shape and yield to the d distribution, consistent with the expectation of charge-conjugation (C) symmetry in pp collisions, where the production of matter and antimatter nuclei should be equal. Like the deuteron, the antideuteron production yield is extremely low and the spectrum is very steep. The failure of the Single-Slope fit demonstrates that the system cannot be described by a simple static thermal source, and therefore, more complex models are presented later in this paper. The fit parameters, such as volume V, effective temperature T, chemical potential μ , and χ 2 , are extracted from each subfigure, as given in Table 2. Both the volume and effective temperature increase proportionally to the rise of center-of-mass energy, while the chemical potential μ decreases. The gradual increase in T and decrease in μ are consistent with higher kinetic freeze-out temperatures and lower net baryon density at high center-of-mass energies. In addition, the increase in volume V confirms that the expected system is expanded at higher center-of-mass energies. The fit of the extracted temperature and volume reveals a marginal increase in thermalization and system size, which corroborates the onset of a near-equilibrated hadronic phase.
In parallel to the previous two fit functions, a third approach was employed to characterize the transverse momentum p T distributions of K s 0 , Λ , Ξ , d, and d ¯ , which were then compared to the experimental data. Figure 5 presents the results obtained by fitting the distributions with the Double-Slope Standard Distribution Function (Equation (6)), which generally parameterizes the low p T soft physics component and the high p T hard scattering component with separate inverse slope parameters. In Figure 5a, the p T distribution of K s 0 at 7 TeV shows a higher yield than at 0.9 TeV across the measured p T range, reflecting the expected increase in the production cross-section with energy. A stronger representation of the data is obtained with Double-Slope SDF, which is eventually designed to better capture the spectral shape compared to the Single-Slope SDF. The fit follows the steep initial drop (soft component) and successfully incorporates the shallower slope, or spectral hardening, observed at p T 2 GeV/c (hard component). The agreement suggests that the two primary production mechanisms (soft thermal/statistical processes and hard pQCD scattering) are well-modeled by the two exponential or power-law terms of the Double-Slope SDF. Likewise, in Figure 5b, the p T distributions of Λ baryon also show the expected increase in yield from 0.9 TeV to 7 TeV. The Double-Slope SDF presents a much better parametrization than the Single-Slope SDF fit. This improved fit is crucial because Λ production, particularly at intermediate p T , is sensitive to hadronization mechanisms like recombination/coalescence, which could enhance the baryon yield relative to mesons. The success of the Double-Slope SDF fit function suggests that this framework is robust enough to model the p T distributions of both mesons and baryons by accommodating the shift in dynamics between the low and high p T regions. In a parallel manner, for Ξ in Figure 5, the p T distributions continue to show a higher Ξ production of at 7 TeV as compared to 0.9 TeV. The Ξ yield is lower and the distribution is steeper than for Λ due to its larger mass and higher strangeness content. The Double-Slope SDF provides a good fit across the measured p T range. This consistency across various hadron masses and strangeness (from K s 0 to Ξ ) suggests that the underlying dynamics, which necessitate a two-component description, are universal for primary hadron production in pp collisions. In Figure 5d,e, d / d ¯ have significantly lower yields and much steeper p T distributions than the primary hadrons. The distributions of d / d ¯ are dominated by a very steep drop. The Double-Slope SDF provides a very good fit over the narrow measured p T range. These distributions are primarily determined by the momentum-space overlap of the constituent nucleons, and the sharp fall-off essentially acts as the soft component, even up to the highest measured p T . The spectra for d / d ¯ (matter and antimatter) are almost perfectly superimposed, confirming Charge-conjugation (C) symmetry in pp collisions for light nuclei production, where the net baryon number is zero at mid-rapidity. The fit parameters are given in Table 3. The two extracted temperatures T 1 and T 2 represent the kinetic freeze-out features, with T 1 characterizing the bulk medium and T 2 hinting at a higher-temperature tail due to semi-hard partonic scatterings. The extracted volume V grows with s N N , which is consistent with an expanding fireball at higher center-of-mass energies. The low χ 2 values (fit quality) show the best fitting of the Double-Slope SDF.
Figure 6a presents the dependence of average transverse momentum < p T > on center-of-mass energy for K s 0 , Λ , Ξ , and d / d ¯ produced in pp collisions at s N N = 0.9 TeV and 7 TeV. Here, the < p T > spectra are presented as a function of s N N . The most apparent feature is the general increase in < p T > with increasing s N N for all types of particles. This trend is expected in QCD, as higher collision energy leads to more hard scattering processes, resulting in the production of particles with higher momentum components, including the transverse momentum. For a given s N N , heavier particles generally exhibit higher < p T > values than lighter ones (i.e., < p T > d > < p T > Ξ > < p T > Λ > < p T > K s 0 ). This mass ordering is a characteristic feature of hadronization in a vacuum and can be partially explained by kinematic effects and the different quark content of the particles. Additionally, for comparison purposes, the < p T > spectra of Λ and Ξ obtained from A u A u collisions (heavy-ion collisions [24,36,37,38]) are shown in Figure 6b. A u A u collisions create a high-energy density medium, often referred to as a quark gluon plasma (QGP), especially at higher s N N values. In pp collisions, the collisions serve as a baseline to understand particle production without the effects of the extended, thermalized medium present in heavy-ion collisions. For both systems, < p T > generally increases with increasing s N N . This is expected, as higher collision energy translates to higher available energy for particle production and greater momentum transfer. In both A u A u and pp collision systems, the < p T > distribution of Ξ (heavy and has two strange quarks) is consistently higher than Λ (lighter and has one strange quark); < p T > Ξ > < p T > Λ . This trend is a well-known feature of particle production, often related to the mass of the produced particle. At lower energies ( s N N below ∼100 GeV), the < p T > values for A u A u and pp are comparable. At higher energies ( s N N ∼ at 10 3 GeV), the < p T > values for particles in A u A u collisions tend to be significantly enhanced compared to the pp baseline. This enhancement of < p T > in heavy-ion collisions, particularly for heavier and multi-strange hadrons, is a classic signature of the collective radial flow (hydrodynamic expansion) of the medium created in A u A u collisions. The pressure gradients in the QGP push the particles outward, boosting their transverse momentum. Thus, the data clearly illustrate the transition from a regime where particle production is dominated by elementary interactions to a hydrodynamically expanding medium (QGP) at higher collision energies in heavy-ion collisions, indicated by the collective < p T > enhancement. The average transverse momentum < p T > values at s N N = 0.9 TeV and 7 TeV are given in Table 4.
Figure 7a presents the dependence of the effective temperature T on center-of-mass energy s N N for K s 0 , Λ , Ξ , and d / d ¯ produced in pp collisions at s N N = 0.9 TeV and 7 TeV. It shows T for K s 0 , Λ , Ξ , and d / d ¯ as a function of s N N . For all types of particles, there is a direct dependence of T on energy ( s N N = [0.9–7] TeV), with the former exhibiting a clear increase in response to the latter. This suggests that at higher collision energies, the system formed in pp interactions becomes harder, implying greater kinetic energy imparted to the produced particles. It also indicates that, even in pp collisions, a degree of collectivity or increasing phase-space density influences the particle spectra. Additionally, for comparison purposes, the effective temperature spectra of Λ and Ξ obtained from A u A u collisions [24,36,37,38] are shown in Figure 7b. The plot superimposes the effective temperature data for Λ and Ξ from both heavy-ion A u A u and pp collisions. A striking observation is the significantly higher effective temperatures obtained in A u A u collisions compared to pp collisions for both particles, particularly for the heavier particle. Thus, the plots collectively highlight the fundamental difference between pp collisions and A u A u collision systems.
Figure 8a presents the dependence of the initial temperature T i on center-of-mass energy s N N for K s 0 , Λ , Ξ , and d / d ¯ produced in pp collisions at s N N = 0.9 TeV and 7 TeV. For all types of particles, a direct dependence is evident between s N N (0.9 and 7 TeV) and T i , with the latter exhibiting a clear increase in response to the former. This shows that as s N N increases, the initial conditions of the pp collisions become hotter, i.e., higher-energy collisions lead to harder scattering processes and a higher density of produced partons. Figure 8b provides a comparison of T i for Λ and Ξ between A u A u collisions [24,36,37,38] and pp collisions. A prominent feature is the significantly higher initial temperatures observed in A u A u collisions compared to pp collisions, especially for heavier particles. This substantial enhancement of T i in A u A u collisions is a crucial piece of evidence for the formation of a de-confined state of matter (QGP). In A u A u collisions, T i reflects the energy density that is achieved in the first stages of the collisions, which is much higher due to the greater number of participating nucleons. The mass ordering of T i is also important in A u A u collisions, supporting the idea of a collectively expanding medium where particles of various masses acquire different kinetic energies from the radial flow, which influences the extracted temperature. The initial temperature in A u A u collisions generally shows a plateau or a weaker dependence on s N N at higher energies, suggesting that the system reaches a maximum temperature or that the extraction method becomes less sensitive to further increases in collision energy. The large disparity in T i between A u A u and pp collisions underscores the qualitative difference in the systems formed: a hot, dense, and collectively expanding medium in heavy-ion collisions versus more localized, string-like, or jet-like fragmentation in pp collisions.
In Figure 9a, the dependence of the system freeze-out volume V on the center-of-mass energy s N N is displayed for K s 0 , Λ , Ξ , and d / d ¯ produced in pp collisions at s N N = 0.9 TeV and 7 TeV. A direct correlation is clearly observed between V and s N N across all types of particles. As s N N increases to a few TeV, a larger energy deposition produces denser and more extended systems, and the freeze-out volume becomes large, indicating a system transitioning toward a thermally equilibrated medium with extensive spatial dimensions. This rise in volume is also consistent with the hydrodynamic expansion of the system. Caution must be taken when comparing this extracted volume to heavy-ion geometric volumes, as it is derived from spectral normalization. Moreover, in Figure 9b, the dependence of the chemical potential μ on the center-of-mass energy s N N is shown for K s 0 , Λ , Ξ , and d / d ¯ produced in pp collisions at s N N = 0.9 TeV and 7 TeV. An inverse correlation is clearly observed between μ and s N N across all types of particles. As the energy increases, collisions become more transparent, resulting in a dilute baryon environment with μ approaching zero. It is important to note that at LHC energies, the physical baryon chemical potential is expected to be near zero. The non-zero values extracted here should be interpreted as effective parameters required by the specific shape of the chosen fit function, rather than the global thermodynamic potential of the system.
Figure 10 presents the dependence of < p T > , the effective temperature T, the chemical potential μ , and the volume of the system V, on the rest mass m 0 for K s 0 , Λ , Ξ , and d / d ¯ produced in pp collisions at s N N = 0.9 TeV and 7 TeV. Figure 10a shows an increase in < p T > with increasing m 0 for each value of s N N . It suggests that heavier mass particles tend to gain more < p T > than lighter mass particles. Because of the large inertia in heavy mass particles, they retain more of the < p T > from the hard scattering explained partially by kinematic effects. Furthermore, in pp collisions, if there is even a small degree of collective expansion or mini-flow; heavier particles would gain more p T from this collective velocity boost. Similar to < p T > , Figure 10b shows a general increase in T with increasing m 0 for each value of s N N . This mass dependence of the effective temperature is another strong indicator of the underlying dynamics. If the system undergoes a collective expansion, heavier particles, having more inertia, gain a larger kinetic energy component from the collective velocity, thus appearing hotter when their spectra are fitted with a thermal distribution. On the other hand, Figure 10c shows that the values of μ are generally small and exhibit little to no significant dependence on the particle mass. Slight variations are observed in chemical potentials with different energies of collisions, reflecting the different initial energy densities and subsequent hadronization conditions, but the overall trend across masses remains flat. This suggests that the chemical freeze-out temperature, which dictates the particle productions, is relatively uniform across different masses of hadron for these types of collisions. Finally, Figure 10d, presents the volume of the system V as a function of m 0 for all types of particles. The lack of a strong mass dependence or a consistent trend might indicate that the emission volume is not primarily determined by the particle’s mass in pp collisions or that the extraction methods are sensitive to other factors. The values for V are relatively small, as expected for pp collisions, where a large, extended medium like in heavy-ion collisions is not formed. The different collision energies show some variations in the extracted volume, possibly reflecting the expansion dynamics at different initial energy densities. However, without more context on the specific model used to extract these volume parameters, a definitive interpretation is challenging beyond stating the observed lack of a strong mass dependency.
Furthermore, the modified Standard Distribution Function (Equation (15)) is also applied to fit p T distributions of K s 0 , Λ , Ξ , d, and d ¯ produced in pp collisions at s N N = 0.9 TeV and 7 TeV, as shown in Figure 11. The general shape of all spectra is characterized by a rapid, exponential-like decrease in the differential yield as p T increases, which is a common feature of particle production in high-energy hadronic collisions. In Figure 11a,b, the plots show the distributions for the K s 0 meson and the Λ baryon, respectively. A notable observation is the increase in the yield (the vertical shift) at the higher collision energy s N N = 7 TeV. This behavior is expected, as higher collision energy leads to greater energy available for particle production. The spectra for Λ appear slightly harder (slower fall-off with p T ) than those for K s 0 at higher p T . Figure 11c–e show the distributions for the Ξ baryon, light deuteron (d), and anti-deuteron ( d ¯ ), respectively. The Ξ and d distributions also exhibit the expected increase in yield with collision energy. The remarkable similarity between the d and d ¯ distributions in Figure 11d,e, particularly in the 7 TeV data, highlights the principle of charge conjugation symmetry in particle production, where the production of a nucleus and its anti-nucleus are similar. For all types of particles, the differential yield is consistently higher at 7 TeV than at 0.9 TeV, reflecting the increased kinetic energy available to the produced particles. The spectral shapes for a given particle and energy are well-described by the modified SDF, and they provide an excellent fit to the experimental data points across all analyzed particle species and energies. In the context of particle and heavy-ion physics, such functions are often rooted in the hydrodynamical or thermal models (like the Blast-Wave model or Hagedorn’s thermal model) that describe particle production from a collectively expanding, thermalized medium (fireball). The core concept is that particles are emitted from a thermal source that has an overall transverse collective flow. The high-quality fit (low χ 2 ) supports the fitness of the function, which is extracted and given in Table 5.
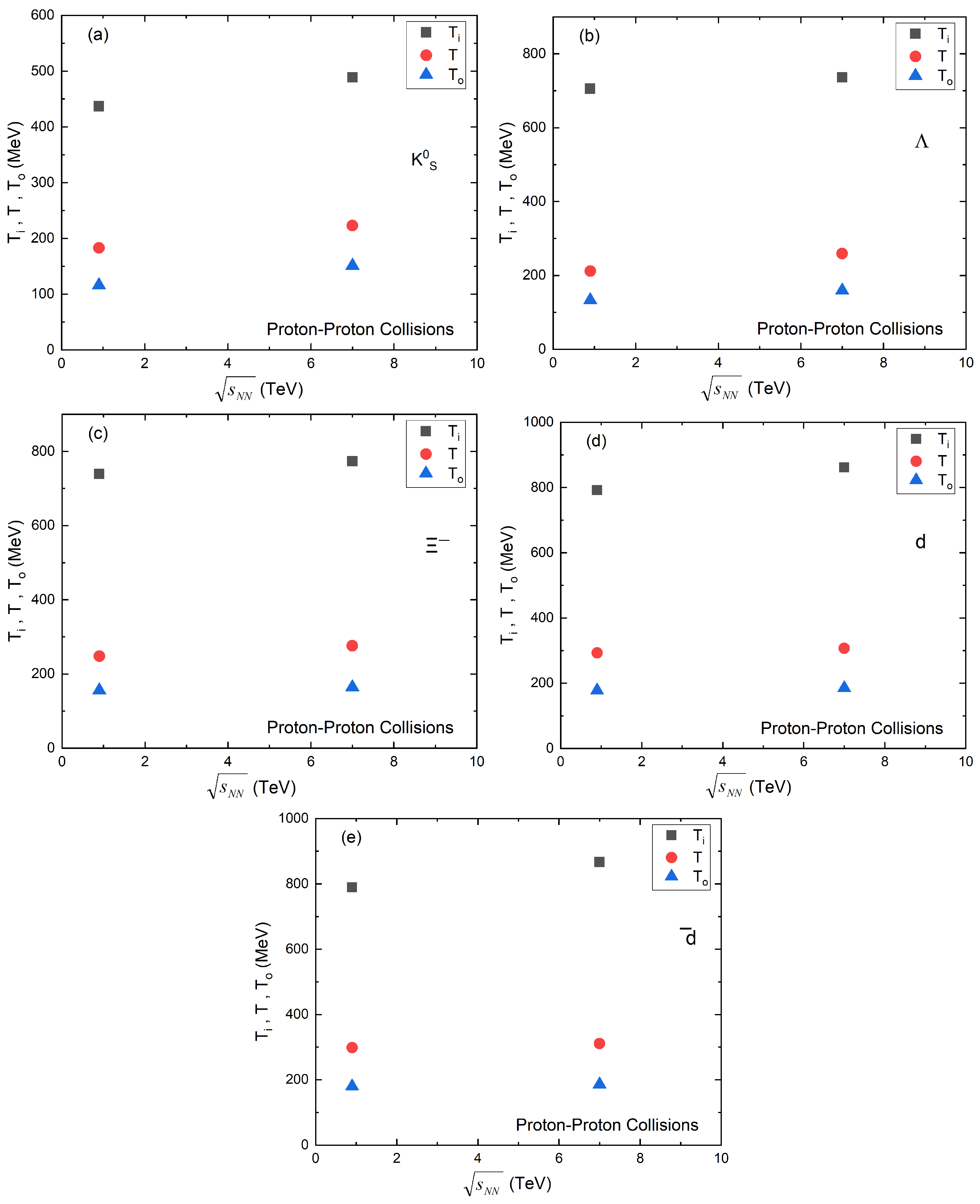
To further investigate the thermodynamic properties of these particles, we extract the T i , T, and T 0 at both energies. The variation in these parameters is presented in Figure 12. T i shows a gradual increase with the increase in s N N , signifying higher energy densities at early stages of pp collisions. Meanwhile, T, often linked to both kinetic motion and radial flow, also increases but more gently, indicating growing transverse collective expansion. On the other hand, T 0 , representing the point where particles decouple, remains significantly lower and more stable, indicating that even as collisions grow more energetic, the system cools to a similar temperature before freeze-out. The clear separation between these temperatures ( T i > T > T 0 ) indicates a three-stage freeze-out scenario, representing small systems with strong collective effects. For K s 0 and Λ , all parameters increase weakly with s N N , suggesting a slight increase in the energy density or lifetime of the system.
It is also important to investigate the dependence of the transverse flow velocity and center-of-mass energy, as this can provide key information for understanding the evolution of the system from initial to final states. This is shown in Figure 13a for all types of particles ( K s 0 Λ , Ξ , and d / d ¯ ) and for both energies. As s N N increases, β T also steadily increases, indicating that higher s N N values generate systems with stronger collective transverse expansion. This behavior is a signature of increased initial pressure gradients and partonic activity at higher s N N values, contributing to stronger radial flow velocity. The trend is evident across all types of particles and emphasizes the role of energy density in driving collective phenomena, even in small systems of collisions like pp collisions. Figure 13b shows the inverse relationship between β T and the rest mass m 0 for all types of particles ( K s 0 , Λ , Ξ , and d / d ¯ ) and both energies. It is clear from the plot that light mass particles ( K s 0 ) have higher β T values, and heavier mass particles ( d / d ¯ ) receive a lower β T value. The inverse relationship between β T and m 0 signifies that lighter particles ( K s 0 ) exhibit higher transverse flow velocities compared to heavier particles ( Λ , Ξ , and d / d ¯ ). This mass-dependent flow is a hallmark of hydrodynamic expansion, where the lighter particles are more effectively pushed by the collective pressure gradient of the expanding medium.
Another classic study in relativistic heavy-ion physics is to investigate the relationship between T 0 and β T for all types of particles under study and at both energies, as this provides insight into the thermodynamic and collective properties of the system at the point where particle interactions cease (freeze-out). This relationship is displayed in Figure 14a, which shows that the studied particles do not all freeze-out at a single, universal ( T 0 , β T ) point, suggesting a non-equilibrium or multi-stage freeze-out scenario. At high β T and low T 0 , K s 0 and Λ data points show a clear increase in β T with a corresponding decrease in T 0 . In addition, higher β T values signify stronger collective expansion or hydrodynamic flow in the system. The inverse correlation suggests that particles that experience more collective push (higher β T ) decouple from the system when it is cooler (lower T 0 ). At low β T and high T 0 , K s 0 , Λ , and Ξ points clustered around β T 70–100, possibly indicating a chemical freeze-out or a thermal freeze-out that happens earlier, when the system is hotter and less expanded (lower β T ). In the meantime, K s 0 and Λ points in the high β T region may represent the kinetic freeze-out, where elastic interactions cease. On the other hand, d / d ¯ data points are notably distinct, suggesting that they might have different freeze-out dynamics compared to the mesons and baryons, possibly forming via coalescence at a later, cooler stage. Furthermore, Figure 14b presents the dependence of μ on β T for all particles under study and at both energies s N N = 0.9 TeV and 7 TeV. We observe that as β T increases, μ decreases, which is consistent with the expectations from statistical hadronization models and the phase diagram of QCD. At lower collision energies, the system is characterized by a higher net-baryon density (hence a larger β T ). As s N N increases, the system becomes more symmetric in terms of matter–antimatter production, leading to a decrease in the net-baryon density (hence a lower β T ). The increase in β T with decreasing μ further supports the concept that higher s N N values lead to a larger and longer-lived system that undergoes more significant collective expansion before hadronization and kinetic freeze-out. This also provides insights into the evolution of the QCD matter from a baryon-rich to a more meson-dominated environment as s N N increases. Finally, Figure 14c displays a direct relationship between V and β T for all types of particles under study and at both energies s N N = 0.9 TeV and 7 TeV. It is clear from the data that V and β T are directly proportional to each other, which signifies that stronger flow is associated with larger particle-emitting sources. This is acceptable, as higher s N N produce more particles, leading to an expanded freeze-out volume. This direct relationship supports hydrodynamic expansion models, where larger systems tend to exhibit more pronounced collective behavior, even in small collision systems like pp collisions.
Finally, in Figure 15, we investigated the variation in T i , T, and T 0 with rest mass m 0 for all studied particles at the two energies, s N N = 0.9 TeV and 7 TeV. It is generally observed that T i > T > T 0 at both energy levels. This order is physically very important; the system cools as it expands, leading to a hierarchy of temperatures from the initial hot and dense state to the final freeze-out state where interactions cease. It is also usually observed from both the subfigures that T i , T, and T 0 increase with the increase in rest mass of the given particles. T 0 is consistently the lowest, reflecting the point at which particles cease to interact strongly and their yields become fixed. The values of T 0 are generally in the range of typical hadronic freeze-out temperatures, further supporting the interpretation of a hadron gas phase. These systematic studies are vital for understanding the thermodynamic properties of the strongly interacting matter created in proton–proton collisions and for establishing a baseline for comparisons with heavy-ion collisions, where the formation of a quark-gluon plasma is expected. The values of T i , T, and T 0 are given in Table 6.

4. Conclusions

The p T distributions of K s 0 , Λ , Ξ , and d / d ¯ produced in pp collisions at s N N = 0.9 TeV and 7 TeV were effectively investigated using the Single-Slope (with and without μ ) and Double-Slope, and the modified Standard Distribution Function (SDF). The Double-Slope SDF provided an excellent fit across all the particles at both center-of-mass energies, particularly by accounting for separate contributions from thermal motion ( T 1 ) and hard QCD processes ( T 2 ). Additionally, the modified SDF gave an excellent fit through the p T range and good results of freeze-out temperature T 0 and effective flow velocity β T . Furthermore, all thermodynamic parameters are dependent on the center-of-mass energy s N N and rest mass m 0 of the particles, i.e., < p T > , T i , T, T 0 , V, and β T increase with s N N , while only μ shows a decrease with s N N . In addition, < p T > , T, T i , and T 0 showed an increase with m 0 , while μ , V, and β T decreased with m 0 .
The comparison of pp collisions with A u A u collisions shows a lower degree of collectivity but still indicates some thermodynamic features such as flow-like effects and freeze-out patterns. These results suggest that collective behavior may not be exclusive to large systems. The initial temperature T i shows an increase with s N N , reflecting a hotter and denser medium formation at the initial stage in high-energy collisions. The behavior of T i is suppressed relative to the case of heavy-ion collisions ( A u A u collisions), but it still suggests significant partonic activity even in pp collisions. Furthermore, the observed trends in T, μ , V etc., with different center-of-mass energies provide empirical input relevant to mapping the QCD phase diagram. While pp collisions are simpler than heavy-ion collisions, their thermodynamic signatures could suggest closeness to the QCD crossover region, justifying further investigation.
Finally, this work contributes to the discussion regarding collective-like behavior in small systems pp collisions at LHC energies. In addition, it supports the hypothesis that the dynamics of pp collisions at LHC energies are not purely perturbative but involve a significant degree of collective and thermalized behavior, marking an essential step toward understanding the continuum from small to large systems in high-energy nuclear or particle physics.

Author Contributions

Conceptualization, A.Q., I.K. and A.H.I.; methodology, A.Q., I.K. and A.H.I.; software, O.S.; validation, A.Q., I.K., M.S. and A.H.I.; formal analysis, A.Q., I.K. and A.H.I.; investigation, A.Q., I.K., O.S., M.S. and A.H.I.; data curation, A.Q., I.K., M.S. and A.H.I.; writing—original draft preparation, A.Q., I.K., O.S. and A.H.I.; writing—review and editing, A.Q., I.K. and A.H.I.; visualization, A.Q., I.K., O.S. and A.H.I. All authors have read and agreed to the published version of the manuscript.

Funding

This research was funded by King Faisal University, Al-Ahsaa, Saudi Arabia, under proposal No. KFU254412, and Ajman University (2025-IRG-CHS-6).

Data Availability Statement

All data generated or analyzed during this study are included in this published article.

Acknowledgments

We acknowledge the support of King Faisal University, Al-Ahsaa, Saudi Arabia, No. KFU254412 Ajman University Internal Research Grant [DRGS Ref. 2025-IRG-CHS-6].

Conflicts of Interest

The authors declare no conflicts of interest.

References

  1. Khachatryan, V.; Sirunyan, A.M.; Tumasyan, A.; Adam, W.; Bergauer, T.; Dragicevic, M.; Erö, J.; Fabjan, C.; Friedl, M.; Frühwirth, R.; et al. Observation of Long-Range Near-Side Angular Correlations in Proton-Proton Collisions at the LHC. J. High Energy Phys. 2010, 09, 091. [Google Scholar] [CrossRef]
  2. Chatrchyan, S.; Khachatryan, V.; Sirunyan, A.M.; Tumasyan, A.; Adam, W.; Aguilo, E.; Bergauer, T.; Dragicevic, M.; Erö, J.; Fabjan, C.; et al. Observation of Long-Range Near-Side Angular Correlations in Proton-Lead Collisions at the LHC. Phys. Lett. B 2013, 718, 795–814. [Google Scholar] [CrossRef]
  3. Abelev, B.; Adam, J.; Adamová, D.; Adare, A.M.; Aggarwal, M.M.; Rinella, G.A.; Agnello, M.; Agocs, A.G.; Agostinelli, A.; Ahammed, Z.; et al. Long-range angular correlations of π, K and p in pPb collisions at s N N = 5.02 TeV. Phys. Lett. B 2013, 726, 164–177. [Google Scholar] [CrossRef]
  4. Aad, G.; Abajyan, T.; Abbott, B.; Abdallah, J.; Khalek, S.A.; Abdelalim, A.A.; Abdinov, O.; Aben, R.; Abi, B.; Abolins, M.; et al. Measurement with the ATLAS detector of multi-particle azimuthal correlations in p + Pb collisions at s N N = 5.02 TeV. Phys. Lett. B 2013, 725, 60–78. [Google Scholar] [CrossRef]
  5. Khachatryan, V.; Sirunyan, A.; Tumasyan, A.; Adam, W.; Asilar, E.; Bergauer, T.; Brandstetter, J.; Brondolin, E.; Dragicevic, M.; Erö, J.; et al. Measurement of long-range near-side two-particle angular correlations in pp collisions at s = 13 TeV. Phys. Rev. Lett. 2016, 116, 172302. [Google Scholar] [CrossRef]
  6. Braun-Munzinger, P. Chemical equilibration and the hadron QGP phase transition. Nucl. Phys. A 2001, 681, 119–123. [Google Scholar] [CrossRef]
  7. Hirano, T.; Tsuda, K. Collective flow and two pion correlations from a relativistic hydrodynamic model with early chemical freezeout. Phys. Rev. C 2002, 66, 054905. [Google Scholar] [CrossRef]
  8. Heinz, U.; Kestin, G. Universal chemical freeze-out as a phase transition signature. Proc. Sci. 2006, CPOD2006, 038. [Google Scholar] [CrossRef]
  9. Waqas, M.; Peng, G.X.; Liu, F.H.; Ajaz, M.; Haj Ismail, A.A.K.; Olimov, K.K.; Tawfik, A.N. Particle species and energy dependencies of freeze-out parameters in high-energy proton–proton collisions. Eur. Phys. J. Plus 2022, 137, 1041. [Google Scholar] [CrossRef]
  10. Bass, S.A.; Dumitru, A. Dynamics of hot bulk QCD matter: From the quark gluon plasma to hadronic freezeout. Phys. Rev. C 2000, 61, 064909. [Google Scholar] [CrossRef]
  11. Waqas, M.; AbdelKader, A.; Ajaz, M.; Tawfik, A.N.; Wazir, Z.; Haj Ismail, A.A.K.; Luo, S.J.; Khan, H.Z. Dependence of Freeze-Out Parameters on Collision Energies and Cross-Sections. Universe 2023, 9, 44. [Google Scholar] [CrossRef]
  12. Badshah, M.; Haj Ismail, A.; Waqas, M.; Ajaz, M.; Mian, M.U.; Dawi, E.A.; Adil Khan, M.; AbdelKader, A. Excitation Function of Freeze-Out Parameters in Symmetric Nucleus–Nucleus and Proton–Proton Collisions at the Same Collision Energy. Symmetry 2023, 15, 1554. [Google Scholar] [CrossRef]
  13. Yang, P.P.; Waqas, M.; Ajaz, M.; Xie, W.; Slimane, J.B.; Alrebdi, H.I.; Haj Ismail, A.A.K. Exploring freezeout dynamics and deconfinement in Au + Au collisions using STAR data. Eur. Phys. J. A 2025, 61, 161. [Google Scholar] [CrossRef]
  14. Heinz, U.W. Strange messages: Chemical and thermal freezeout in nuclear collisions. J. Phys. G 1999, 25, 263–274. [Google Scholar] [CrossRef]
  15. Becattini, F.; Grossi, E.; Bleicher, M.; Steinheimer, J.; Stock, R. Centrality dependence of hadronization and chemical freeze-out conditions in heavy ion collisions at s N N = 2.76 TeV. Phys. Rev. C 2014, 90, 054907. [Google Scholar] [CrossRef]
  16. Andronic, A.; Braun-Munzinger, P.; Redlich, K.; Stachel, J. Decoding the phase structure of QCD via particle production at high energy. Nature 2018, 561, 321–330. [Google Scholar] [CrossRef]
  17. Adam, J.; Adamová, D.; Aggarwal, M.M.; Rinella, G.A.; Agnello, M.; Agrawal, N.; Ahammed, Z.; Ahmad, S.; Ahn, S.U.; Aiola, S.; et al. Enhanced production of multi-strange hadrons in high-multiplicity proton-proton collisions. Nat. Phys. 2017, 13, 535–539. [Google Scholar] [CrossRef]
  18. Acharya, S.; Acosta, F.T.; Adamová, D.; Adler, A.; Adolfsson, J.; Aggarwal, M.M.; Rinella, G.A.; Agnello, M.; Agrawal, N.; Ahammed, Z.; et al. Multiplicity dependence of light-flavor hadron production in pp collisions at s = 7 TeV. Phys. Rev. C 2019, 99, 024906. [Google Scholar] [CrossRef]
  19. Schnedermann, E.; Sollfrank, J.; Heinz, U.W. Thermal phenomenology of hadrons from 200-A/GeV S+S collisions. Phys. Rev. C 1993, 48, 2462–2475. [Google Scholar] [CrossRef] [PubMed]
  20. Khan, I.; Qudus, A.; Saouci, M.; Haj Ismail, A. Centrality dependency of proton, deuteron, and triton’s temperatures in Au+Au collisions at 200 GeV. Sci. Rep. 2024, 14, 10299. [Google Scholar] [CrossRef]
  21. Khan, I.; Qudus, A.; Zaman, A. Centrality Versus Temperature of Protons, Deuterons, and Tritons in Au+Au Collisions at 54.4 GeV. Arab. J. Sci. Eng. 2025, 50, 15099–15108. [Google Scholar] [CrossRef]
  22. Ahmad, W.; Ullah, I.; Zaman, A.; Khan, I.; Iqbal, A.; Qudus, A.; Ullah, S.; Ullah, N.; Ramzan, M. Analysis of transverse momentum spectra of protons, deuterons, and tritons in symmetric heavy-ion collisions at s N N = 200 GeV at the RHIC. Chin. Phys. C 2025, 49, 014104. [Google Scholar] [CrossRef]
  23. Rehman, A.; Khan, I.; Zaman, A.; Khan, M.; Qudus, A.; Naseebullah; Feroz, N.; Jamil, Z. Mass, charge and centrality dependency of freeze-out parameters in Xe + Xe collisions at 5.44 TeV. Mod. Phys. Lett. A 2025, 40, 2550063. [Google Scholar] [CrossRef]
  24. Badshah, M.; Waqas, M.; Ajaz, M.; Bietenholz, W.; Alrebdi, H.I.; Ben Ammar, M. Thermodynamic signatures and phase transitions in high-energy Au–Au collision. J. Phys. G 2024, 51, 065109. [Google Scholar] [CrossRef]
  25. Chatrchyan, S.; Khachatryan, V.; Sirunyan, A.M.; Tumasyan, A.; Adam, W.; Aguilo, E.; Bergauer, T.; Dragicevic, M.; Erö, J.; Fabjan, C.; et al. Study of the Inclusive Production of Charged Pions, Kaons, and Protons in pp Collisions at s = 0.9, 2.76, and 7 TeV. Eur. Phys. J. C 2012, 72, 2164. [Google Scholar] [CrossRef]
  26. Ioannisian, A.N.; Smirnov, A.Y.; Wyler, D. Scanning the Earth with solar neutrinos and DUNE. Phys. Rev. D 2017, 96, 036005. [Google Scholar] [CrossRef]
  27. Khachatryan, V.; Sirunyan, A.M.; Tumasyan, A.; Adam, W.; Bergauer, T.; Dragicevic, M.; Petkov, P. Strange Particle Production in pp Collisions at s = 0.9 and 7 TeV. J. High Energ. Phys. 2011, 05, 064. [Google Scholar] [CrossRef]
  28. Acharya, S.; Adam, J.; Adamová, D.; Adolfsson, J.; Aggarwal, M.M.; Rinella, G.A.; Agnello, M.; Agrawal, N.; Ahammed, Z.; Ahmad, N.; et al. Production of deuterons, tritons, 3He nuclei and their antinuclei in pp collisions at s = 0.9, 2.76 and 7 TeV. Phys. Rev. C 2018, 97, 024615. [Google Scholar] [CrossRef]
  29. Waqas, M.; Liu, F.H. Initial, effective, and kinetic freeze-out temperatures from transverse momentum spectra in high-energy proton(deuteron)–nucleus and nucleus–nucleus collisions. Eur. Phys. J. Plus 2020, 135, 147. [Google Scholar] [CrossRef]
  30. Griffiths, D.J. Introduction to Elementary Particles; Physics Textbook; Wiley: New York, NY, USA, 2008. [Google Scholar]
  31. Peskin, M.E.; Schroeder, D.V. An Introduction to Quantum Field Theory; Addison-Wesley: Reading, PA, USA, 1995. [Google Scholar] [CrossRef]
  32. Badshah, M.; Waqas, M.; Khubrani, A.M.; Ajaz, M. Systematic analysis of the pp collisions at LHC energies with Tsallis function. Europhys. Lett. 2023, 141, 64002. [Google Scholar] [CrossRef]
  33. Karsch, F. Lattice QCD at high temperature and the QGP. AIP Conf. Proc. 2006, 842, 20–28. [Google Scholar] [CrossRef]
  34. Hayrapetyan, A.; Tumasyan, A.; Adam, W.; Andrejkovic, J.W.; Benato, L.; Bergauer, T.; Chen, M. Performance of the CMS high-level trigger during LHC Run 2. J. Instrum. 2024, 19, P11021. [Google Scholar] [CrossRef]
  35. Sahoo, P.; De, S.; Tiwari, S.K.; Sahoo, R. Energy and Centrality Dependent Study of Deconfinement Phase Transition in a Color String Percolation Approach at RHIC Energies. Eur. Phys. J. A 2018, 54, 136. [Google Scholar] [CrossRef]
  36. Adam, J.; Adamczyk, L.; Adams, J.R.; Adkins, J.K.; Agakishiev, G.; Aggarwal, M.M.; Li, Y. Strange hadron production in Au+Au collisions at s N N = 7.7, 11.5, 19.6, 27, and 39 GeV. Phys. Rev. C 2020, 102, 034909. [Google Scholar] [CrossRef]
  37. Aggarwal, M.M.; Ahammed, Z.; Alakhverdyants, A.V.; Alekseev, I.; Alford, J.; Anderson, B.D.; Anson, C.D.; Arkhipkin, D.; Averichev, G.S.; Balewski, J.; et al. Strange and Multi-strange Particle Production in Au+Au Collisions at s N N = 62.4 GeV. Phys. Rev. C 2011, 83, 024901, Erratum in Phys. Rev. C 2023, 107, 049903. [Google Scholar] [CrossRef]
  38. Adams, J.; Aggarwal, M.M.; Ahammed, Z.; Amonett, J.; Anderson, B.D.; Anderson, M.; Arkhipkin, D.; Averichev, G.S.; Bai, Y.; Balewski, J.; et al. Scaling Properties of Hyperon Production in Au+Au Collisions at s N N = 200-GeV. Phys. Rev. Lett. 2007, 98, 062301. [Google Scholar] [CrossRef] [PubMed]
Figure 1. The transverse momentum p T distributions of different particles (hadrons) such as ( K s 0 , Λ , Ξ , d, and d ¯ produced in symmetric pp collisions at s N N = 0.9 TeV and 7 TeV and compared to experimental data taken from the ALICE collaboration at the CERN Large Hadron Collider (LHC) [25,26,27,28,29].
Figure 1. The transverse momentum p T distributions of different particles (hadrons) such as ( K s 0 , Λ , Ξ , d, and d ¯ produced in symmetric pp collisions at s N N = 0.9 TeV and 7 TeV and compared to experimental data taken from the ALICE collaboration at the CERN Large Hadron Collider (LHC) [25,26,27,28,29].
Symmetry 17 02098 g001
Figure 2. (a) The transverse momentum p T distributions of different particles (hadrons), K s 0 , Λ , Ξ , d, and d ¯ produced in symmetric pp collisions at s N N = 0.9 TeV (a) and 7 TeV (b).
Figure 2. (a) The transverse momentum p T distributions of different particles (hadrons), K s 0 , Λ , Ξ , d, and d ¯ produced in symmetric pp collisions at s N N = 0.9 TeV (a) and 7 TeV (b).
Symmetry 17 02098 g002
Figure 3. The transverse momentum p T distributions of different particles (hadrons) such as (a) K s 0 , (b) Λ , (c) Ξ , (d) d, and (e) d ¯ produced in symmetric pp collisions at s N N = 0.9 TeV and 7 TeV. By using the Single-Slope Standard Distribution Function (Equation (5)) as a fitting function in case of zero chemical potential ( μ = 0), the data are compared with fits.
Figure 3. The transverse momentum p T distributions of different particles (hadrons) such as (a) K s 0 , (b) Λ , (c) Ξ , (d) d, and (e) d ¯ produced in symmetric pp collisions at s N N = 0.9 TeV and 7 TeV. By using the Single-Slope Standard Distribution Function (Equation (5)) as a fitting function in case of zero chemical potential ( μ = 0), the data are compared with fits.
Symmetry 17 02098 g003
Figure 4. The transverse momentum p T distributions of different particles (hadrons) such as (a) K s 0 , (b) Λ , (c) Ξ , (d) d, and (e) d ¯ produced in symmetric pp collisions at s N N = 0.9 TeV and 7 TeV. By using the Single-Slope Standard Distribution Function (Equation (4)) as a fitting function in case of chemical potential ( μ ), the data are compared with fits.
Figure 4. The transverse momentum p T distributions of different particles (hadrons) such as (a) K s 0 , (b) Λ , (c) Ξ , (d) d, and (e) d ¯ produced in symmetric pp collisions at s N N = 0.9 TeV and 7 TeV. By using the Single-Slope Standard Distribution Function (Equation (4)) as a fitting function in case of chemical potential ( μ ), the data are compared with fits.
Symmetry 17 02098 g004
Figure 5. The transverse momentum p T distributions of different particles (hadrons) such as (a) K s 0 , (b) Λ , (c) Ξ , (d) d, and (e) d ¯ produced in symmetric pp collisions at s N N = 0.9 TeV and 7 TeV. The Double-Slope Standard Distribution Function (Equation (6)) is used to describe the best fitting through data, and the data are compared with fits.
Figure 5. The transverse momentum p T distributions of different particles (hadrons) such as (a) K s 0 , (b) Λ , (c) Ξ , (d) d, and (e) d ¯ produced in symmetric pp collisions at s N N = 0.9 TeV and 7 TeV. The Double-Slope Standard Distribution Function (Equation (6)) is used to describe the best fitting through data, and the data are compared with fits.
Symmetry 17 02098 g005
Figure 6. (a) Average transverse momentum < p T > as a function of center-of-mass energy s N N for K s 0 , Λ , Ξ , d, and d ¯ produced in symmetric pp collisions at s N N = 0.9 TeV and 7 TeV. (b) Comparison of average transverse momentum and center-of-mass energy ( s N N vs < p T > ) for Λ , Ξ produced in A u A u and symmetric pp collisions at different center-of-mass energies [24,36,37,38].
Figure 6. (a) Average transverse momentum < p T > as a function of center-of-mass energy s N N for K s 0 , Λ , Ξ , d, and d ¯ produced in symmetric pp collisions at s N N = 0.9 TeV and 7 TeV. (b) Comparison of average transverse momentum and center-of-mass energy ( s N N vs < p T > ) for Λ , Ξ produced in A u A u and symmetric pp collisions at different center-of-mass energies [24,36,37,38].
Symmetry 17 02098 g006
Figure 7. (a) The effective temperature T as a function of center-of-mass energy s N N for K s 0 , Λ , Ξ , and d / d ¯ produced in symmetric pp collisions at s N N = 0.9 TeV and 7 TeV. (b) Comparison of the effective temperature and center-of-mass energy ( s N N vs T) for Λ , Ξ produced in A u A u and pp collisions at different center-of-mass energies [24,36,37,38].
Figure 7. (a) The effective temperature T as a function of center-of-mass energy s N N for K s 0 , Λ , Ξ , and d / d ¯ produced in symmetric pp collisions at s N N = 0.9 TeV and 7 TeV. (b) Comparison of the effective temperature and center-of-mass energy ( s N N vs T) for Λ , Ξ produced in A u A u and pp collisions at different center-of-mass energies [24,36,37,38].
Symmetry 17 02098 g007
Figure 8. (a) The initial temperature T i as a function of center-of-mass energy s N N for K s 0 , Λ , Ξ , and d / d ¯ produced in symmetric pp collisions at s N N = 0.9 TeV and 7 TeV. (b) Comparison of the initial temperature and center-of-mass energy for Λ , Ξ produced in A u A u and pp collisions at different center-of-mass energies [24,36,37,38].
Figure 8. (a) The initial temperature T i as a function of center-of-mass energy s N N for K s 0 , Λ , Ξ , and d / d ¯ produced in symmetric pp collisions at s N N = 0.9 TeV and 7 TeV. (b) Comparison of the initial temperature and center-of-mass energy for Λ , Ξ produced in A u A u and pp collisions at different center-of-mass energies [24,36,37,38].
Symmetry 17 02098 g008
Figure 9. (a) The the volume V as a function of center-of-mass energy s N N (b) the chemical potential μ as a function of s N N for K s 0 , Λ , Ξ , and d / d ¯ produced in symmetric pp collisions at s N N = 0.9 TeV and 7 TeV.
Figure 9. (a) The the volume V as a function of center-of-mass energy s N N (b) the chemical potential μ as a function of s N N for K s 0 , Λ , Ξ , and d / d ¯ produced in symmetric pp collisions at s N N = 0.9 TeV and 7 TeV.
Symmetry 17 02098 g009
Figure 10. (a) Average transverse momentum < p T > , (b) Effective temperature T, (c) Chemical potential μ , (d) Freeze-out volume V as a function of particle rest mass m 0 for K s 0 , Λ , Ξ , and d / d ¯ produced in symmetric pp collisions at s N N = 0.9 TeV and 7 TeV.
Figure 10. (a) Average transverse momentum < p T > , (b) Effective temperature T, (c) Chemical potential μ , (d) Freeze-out volume V as a function of particle rest mass m 0 for K s 0 , Λ , Ξ , and d / d ¯ produced in symmetric pp collisions at s N N = 0.9 TeV and 7 TeV.
Symmetry 17 02098 g010
Figure 11. The p T distributions of (a) K s 0 , (b) Λ , (c) Ξ , (d) d, and (e) d ¯ produced in symmetric pp collisions at s N N = 0.9 TeV and 7 TeV using the modified Standard Distribution Function as a fit function to describe the best fit through data.
Figure 11. The p T distributions of (a) K s 0 , (b) Λ , (c) Ξ , (d) d, and (e) d ¯ produced in symmetric pp collisions at s N N = 0.9 TeV and 7 TeV using the modified Standard Distribution Function as a fit function to describe the best fit through data.
Symmetry 17 02098 g011
Figure 12. The variation in the initial temperature T i , effective temperature T, and freeze-out temperature T 0 of (a) K s 0 , (b) Λ , (c) Ξ , (d) d, and (e) d ¯ produced in pp collisions at s N N = 0.9 TeV and 7 TeV.
Figure 12. The variation in the initial temperature T i , effective temperature T, and freeze-out temperature T 0 of (a) K s 0 , (b) Λ , (c) Ξ , (d) d, and (e) d ¯ produced in pp collisions at s N N = 0.9 TeV and 7 TeV.
Symmetry 17 02098 g012
Figure 13. The relationship between (a) transverse flow velocity β T and center-of-mass energy s N N , (b) transverse flow velocity β T and mass of the particle, K s 0 , Λ , Ξ , and d / d ¯ produced in symmetric pp collisions at s N N = 0.9 TeV and 7 TeV.
Figure 13. The relationship between (a) transverse flow velocity β T and center-of-mass energy s N N , (b) transverse flow velocity β T and mass of the particle, K s 0 , Λ , Ξ , and d / d ¯ produced in symmetric pp collisions at s N N = 0.9 TeV and 7 TeV.
Symmetry 17 02098 g013
Figure 14. The relationship between T 0 (a), μ (b), and V (c) realtive to β T for K s 0 , Λ , Ξ , and d / d ¯ produced in pp collisions at s N N = 0.9 TeV and 7 TeV.
Figure 14. The relationship between T 0 (a), μ (b), and V (c) realtive to β T for K s 0 , Λ , Ξ , and d / d ¯ produced in pp collisions at s N N = 0.9 TeV and 7 TeV.
Symmetry 17 02098 g014
Figure 15. The variation in T i , T, and T 0 with rest mass m 0 for K s 0 , Λ , Ξ , and d / d ¯ produced in pp collisions at (a) s N N = 0.9 TeV and (b) s N N = 7 TeV.
Figure 15. The variation in T i , T, and T 0 with rest mass m 0 for K s 0 , Λ , Ξ , and d / d ¯ produced in pp collisions at (a) s N N = 0.9 TeV and (b) s N N = 7 TeV.
Symmetry 17 02098 g015
Table 1. Thermodynamic parameters ( V , T , χ 2 ) for different hadrons in pp collisions at various center-of-mass energies, extracted using the Single-Slope Standard Distribution Function without Chemical Potential ( μ = 0), where Δ V and Δ T represent the statistical uncertainty (standard error) associated with the extracted parameters V and T, respectively, derived from the fitting procedure.
Table 1. Thermodynamic parameters ( V , T , χ 2 ) for different hadrons in pp collisions at various center-of-mass energies, extracted using the Single-Slope Standard Distribution Function without Chemical Potential ( μ = 0), where Δ V and Δ T represent the statistical uncertainty (standard error) associated with the extracted parameters V and T, respectively, derived from the fitting procedure.
Particle s NN (TeV)V ( GeV 3 ) Δ V T (MeV) Δ T χ 2
K s 0 0.99989671778585.0453
712,445842199699.4664
Λ 0.99183582119559.5871
711,3567925811498.279
Ξ 0.987525324016427.7322
710,0717824915637.2076
d0.9293634255915.0141
7436439270130.6900
d ¯ 0.92718332531012.1237
7479151274110.2367
Table 2. Thermodynamic parameters ( V , T , μ , χ 2 ) for different hadrons in pp collisions at various center-of-mass energies, extracted using the Single-Slope Standard Distribution Function (Equation (4)). σ V , σ T , σ μ denote the uncertainties of the respective fit parameters ( V , T , μ ), respectively.
Table 2. Thermodynamic parameters ( V , T , μ , χ 2 ) for different hadrons in pp collisions at various center-of-mass energies, extracted using the Single-Slope Standard Distribution Function (Equation (4)). σ V , σ T , σ μ denote the uncertainties of the respective fit parameters ( V , T , μ ), respectively.
Particle s NN (TeV)V (GeV −3) σ V T (MeV) σ T μ (MeV) σ μ χ 2
K S 0 0.9887361183101187544.146
711,34874223111156567.126
Λ 0.983765621281148346.407
710,23169259111118348.247
Ξ 0.975424824811105767.2332
7912159276101016107.212
d0.923223429399158.0141
739674130798450.6900
d ¯ 0.92251332991190510.1237
7410138311108260.2367
Table 3. Values of extracted parameters (V, T 1 , T 2 , χ 2 ) using the Double-Slope Standard Distribution Function Equation (6). σ V , σ T 1 , σ T 2 denote the uncertainties of the respective fit parameters ( V , T 1 , T 2 ), respectively.
Table 3. Values of extracted parameters (V, T 1 , T 2 , χ 2 ) using the Double-Slope Standard Distribution Function Equation (6). σ V , σ T 1 , σ T 2 denote the uncertainties of the respective fit parameters ( V , T 1 , T 2 ), respectively.
Particle s NN (TeV)V ( GeV 3 ) σ V T 1 (MeV) σ T 1 T 2 (MeV) σ T 2 χ 2
K S 0 0.923103210992531029.2362
7312341126635314165.179
Λ 0.921012611993001711.3671
7270937177113681617.5391
Ξ 0.919772118414376170.8619
726093331718385152.4188
d0.917581919111383160.0996
724072720915398140.1256
d ¯ 0.917161718910382150.1086
723913320613401140.1352
Table 4. The average transverse momentum p T values of different particles ( K s 0 , Λ , Ξ , d and d ¯ at various center-of-mass energies. σ p T is the uncertainty in < p T > .
Table 4. The average transverse momentum p T values of different particles ( K s 0 , Λ , Ξ , d and d ¯ at various center-of-mass energies. σ p T is the uncertainty in < p T > .
Particle s NN (TeV) p T (GeV/c) σ p T
K S 0 0.90.6458750.080721
70.7972040.077651
Λ 0.90.8309800.099871
71.0071380.099461
Ξ 0.90.9572800.098914
71.1861690.165432
d0.91.0759480.122132
71.2489890.187654
d ¯ 0.91.0593120.141031
71.2491800.165781
Table 5. The values of extracted V, T 0 , β T , and μ using the modified Standard Distribution Function with Chemical Potential ( μ ). σ V , σ T 0 , σ β T , and σ μ are the uncertainties in the values of extracted V, T 0 , β T , and μ , respectively.
Table 5. The values of extracted V, T 0 , β T , and μ using the modified Standard Distribution Function with Chemical Potential ( μ ). σ V , σ T 0 , σ β T , and σ μ are the uncertainties in the values of extracted V, T 0 , β T , and μ , respectively.
Coll.Particle s NN (TeV)V ( GeV 3 ) σ V T 0 (MeV) σ T 0 β T (c) σ β T μ (MeV) σ μ χ 2
p–p K S 0 0.948515411681338116731.8532
7688167151714381038166.211
p–p Λ 0.9259733133772510979.2317
7439347159791696514.3528
p–p Ξ 0.9245131156869510660.9562
742714216498669452.3498
p–pd0.9219428178861510170.1893
740453918596659150.1248
p–p d ¯ 0.9215829180963410270.1191
740733618686749270.1360
Table 6. Extracted T i , T, and T 0 for various particles in pp collisions at different center-of-mass energies.
Table 6. Extracted T i , T, and T 0 for various particles in pp collisions at different center-of-mass energies.
Particle s NN (TeV) T i (MeV)T (MeV) T 0 (MeV)
K S 0 0.9437183116
7489223151
Λ 0.9705212133
7736259159
Ξ 0.9739248156
7773276164
d0.9792293178
7862307185
d ¯ 0.9789299180
7867311186
Disclaimer/Publisher’s Note: The statements, opinions and data contained in all publications are solely those of the individual author(s) and contributor(s) and not of MDPI and/or the editor(s). MDPI and/or the editor(s) disclaim responsibility for any injury to people or property resulting from any ideas, methods, instructions or products referred to in the content.

Share and Cite

MDPI and ACS Style

Qudus, A.; Khan, I.; Salem, O.; Salouci, M.; Haj Ismail, A. Study of Thermodynamic Properties of Ks0, Λ, Ξ, and d/d_ Produced in Symmetric Proton–Proton Collisions at SNN = 0.9 TeV and 7 TeV. Symmetry 2025, 17, 2098. https://doi.org/10.3390/sym17122098

AMA Style

Qudus A, Khan I, Salem O, Salouci M, Haj Ismail A. Study of Thermodynamic Properties of Ks0, Λ, Ξ, and d/d_ Produced in Symmetric Proton–Proton Collisions at SNN = 0.9 TeV and 7 TeV. Symmetry. 2025; 17(12):2098. https://doi.org/10.3390/sym17122098

Chicago/Turabian Style

Qudus, Abdul, Imran Khan, Ouazir Salem, Moustafa Salouci, and Abd Haj Ismail. 2025. "Study of Thermodynamic Properties of Ks0, Λ, Ξ, and d/d_ Produced in Symmetric Proton–Proton Collisions at SNN = 0.9 TeV and 7 TeV" Symmetry 17, no. 12: 2098. https://doi.org/10.3390/sym17122098

APA Style

Qudus, A., Khan, I., Salem, O., Salouci, M., & Haj Ismail, A. (2025). Study of Thermodynamic Properties of Ks0, Λ, Ξ, and d/d_ Produced in Symmetric Proton–Proton Collisions at SNN = 0.9 TeV and 7 TeV. Symmetry, 17(12), 2098. https://doi.org/10.3390/sym17122098

Note that from the first issue of 2016, this journal uses article numbers instead of page numbers. See further details here.

Article Metrics

Back to TopTop