Next Article in Journal
Symmetry-Preserving Federated Learning with Blockchain-Based Incentive Mechanisms for Decentralized AI Networks
Previous Article in Journal
Design of Network Anomaly Detection Model Based on Graph Representation Learning
Previous Article in Special Issue
Physical Information-Driven Optimization Framework for Neural Network-Based PI Controllers in PMSM Servo Systems
 
 
Font Type:
Arial Georgia Verdana
Font Size:
Aa Aa Aa
Line Spacing:
Column Width:
Background:
Article

Adaptive Fault-Tolerant Super Twisting Control Design Based on K Function for Symmetric Manipulators

School of Electrical Engineering, Shandong Huayu University of Technology, Dezhou 253000, China
*
Author to whom correspondence should be addressed.
Symmetry 2025, 17(11), 1978; https://doi.org/10.3390/sym17111978
Submission received: 4 October 2025 / Revised: 10 November 2025 / Accepted: 14 November 2025 / Published: 15 November 2025
(This article belongs to the Special Issue Symmetry/Asymmetry in Intelligent Control System)

Abstract

In this study, we introduce a novel adaptive fault-tolerant sliding mode control strategy for the finite-time control of symmetric robotic manipulators subjected to uncertainties, disturbances and actuator failures. Firstly, we design a novel type of sliding mode manifold termed Practical Fast Terminal Sliding Mode (P-FTSM). P-FTSM exhibits the capability to accelerate convergence speed while ensuring the finite-time convergence of the system. Subsequently, the P-FTSM is integrated with the super-twisting algorithm (STA) to mitigate the chattering of control input. Additionally, a novel K function is introduced to serve as the gain of the STA. This strategy, which does not require knowledge of the upper bound of the disturbance and fault information, ensures that the gain is tuned according to the disturbance and fault variations, mitigating the adverse effects of high gain and further weakening of the chattering. Simulation results on a two-link symmetric manipulator verify that the proposed method achieves outstanding quantitative performance. The proposed method achieves convergence times of 0.22 and 0.12 s for the joint errors, with root mean square errors (RMSE) of 0.036 and 0.095. The integral absolute errors (IAE) are 0.049 and 0.086, and the total control energy is 943.46. The total variations (TV) of the control signals are 2.86 × 10 3 and 1.64 × 10 3 , indicating effectively suppressed chattering. Overall, the proposed strategy ensures high precision, rapid convergence, and strong fault-tolerant capability.

1. Introduction

In recent years, the relentless progress in industrial automation and allied technologies has enabled robotic manipulators to assume numerous complex and repetitive tasks traditionally performed by humans, leading to their widespread adoption in contemporary industrial manufacturing [1]. Their applications span a diverse range of fields, including assembly processes [2], medical needle insertion [3], military operations [4], precision target grasping [5], and construction projects [6], among others. However, this expanded utilization places stringent demands on the control capabilities of these robotic systems. These manipulators exhibit intricate, highly nonlinear, and interconnected second-order dynamic characteristics, which are further exacerbated by uncertainties and external disturbances [7]. Additionally, factors such as electrical short circuits, harsh environmental conditions, control signal interference, and electromagnetic fields can easily trigger actuator malfunctions, ultimately causing control system failures. Consequently, addressing these challenges to ensure reliable and stable trajectory tracking in robotic manipulators remains a critical focus of current research endeavors [8].
Currently, a multitude of control strategies have been proposed for the regulation of robotic manipulators, encompassing robust control approaches [9], optimal control methodologies [10], adaptive control frameworks [11], intelligent control systems [12], and sliding mode control (SMC) techniques [13]. Despite the successful development and practical implementation of various nonlinear controllers, the quest for designing robust and efficient controllers continues to be a focal point of research. The SMC strategy is particularly favored in the controller design of robotic systems owing to its merits of swift response, superior transient performance, straightforward implementation, and resilience against external disturbances and model uncertainties [14]. Presently, linear sliding mode (LSM), terminal sliding mode (TSM), fast terminal sliding mode (FTSM), and other allied technologies have been harnessed to address the motion control challenges inherent in robotic manipulators [15,16,17,18,19,20].
As an effective means to attenuate chattering, the STA is frequently incorporated into SMC strategies [21]. The principal drawback of STA lies in its requirement for precise knowledge of the disturbance gradient’s upper bound; however, a notable limitation of SMC is the challenge in accurately determining this bound in practical applications. Overestimating this bound results in excessively high control gains, which may degrade system performance [22]. Presently, numerous studies have adopted the barrier function as the gain for STA. In [23], a novel variable-gain STA based on the barrier function is introduced, which effectively mitigates control input overestimation and reduces chattering in the control signal. Nevertheless, abrupt changes in the sliding variable can induce an escape phenomenon, particularly when a robotic manipulator executes sudden tasks. This issue becomes especially pronounced during actuator failures, where effective suppression of interference during the switching process is unattainable [24,25,26].
The performance of manipulators is inherently limited by their mechanical characteristics, rendering them vulnerable to performance degradation caused by unfavorable external factors such as voltage fluctuations and excessive loads. A key outcome of this susceptibility is a reduction in tracking accuracy [27]. Consequently, the challenge of sustaining precise tracking control for manipulators, particularly in fault conditions, has emerged as a critical research area focused on improving control performance under non-ideal circumstances. Within this domain, fault-tolerant control (FTC) methodologies are extensively employed and generally categorized into active and passive approaches [28]. The active strategy functions by employing a fault diagnosis observer to detect and acquire information regarding system faults, which is subsequently utilized to implement corrective compensations. Although this method proves highly effective in enhancing control performance, its execution inevitably results in elevated computational complexity and increased costs [29]. In [30], a robust fault-tolerant SMC approach is proposed to ensure global fixed-time stability for robotic manipulators. This method integrates a fixed-time second-order sliding mode observer with a fixed-time SMC design strategy, thereby guaranteeing system robustness while achieving superior tracking performance. Conversely, the passive strategy leverages the inherent resilience of robust controllers. These controllers are designed to sustain satisfactory performance under both normal and faulty operating conditions without relying on explicit fault information. The intrinsic simplicity of this architecture enables a more rapid compensatory response when faults occur [31]. In [32], a fixed-time fault-tolerant control scheme incorporating a sliding mode observer is introduced, which substantially enhances system stability and robustness against disturbances. The distinctive feature of this strategy lies in its combination of passive fault-tolerant control, SMC, and a sliding mode observer, ensuring that the system state converges to a minimal neighborhood near the equilibrium point within a fixed time, regardless of whether the system is in normal or faulty operation. However, these methods rely heavily on fixed-time observer structures, which increase the computational burden and require precise fault modeling. Their switching control laws may also induce chattering due to discontinuous terms. In contrast, the proposed K -based adaptive super-twisting design eliminates the need for explicit fault estimation, ensures smooth control action, and achieves finite-time convergence with reduced chattering and computational complexity.
Inspired by the above references, we propose a novel K function-based adaptive P-FTSMC strategy, which aims to address the challenge of trajectory tracking for robotic manipulators. The newly designed P-FTSM surface effectively mitigates chattering while enhancing convergence speed. Additionally, the K function is selected as the control gain, which not only reduces the computational complexity but also prevents barrier function escape in scenarios characterized by abrupt changes in sliding variables. Furthermore, its strong robustness can effectively mitigate the adverse effects caused by actuator failures. By utilizing this K function, the controller prevents gain overestimation, thereby further mitigating chattering. Table 1 is a summary of the comparison and analysis of the aforementioned literature, as well as a summary of the advantages of the proposed method. The main contributions of this article are as follows:
  • A new sliding surface, named P-FTSM, is designed to further improve the convergence rate while weakening the chattering.
  • The proposed K function addresses the discontinuity of the control input caused by the switch of the barrier function, avoids the destabilization of the system when the sliding variable is undergoes abrupt changes and does not require the determination of the switch time by trial and error.
  • In the proposed STA based on the K function, the high-frequency switching is placed after the integration operator, ensuring that the control gain is continuous and the control input is smooth, which is beneficial for practical applications.
  • The K function-based STA does not require the assumption of the upper bound of the external disturbance and does not need to use a low-pass filter.
The rest of the paper is structured as follows: Section 2 describes the dynamic model of the robotic manipulators and some preparations. A K function STA adaptive P-FTSM controller is designed for the robot manipulators, and a finite-time stability proof is presented in Section 3. A set of comparisons with LSM, TSM and FTSM controllers is presented in Section 4, along with comparison experiments with reference [12]. Section 5 presents some conclusions of this paper and future work.

2. Preparations and Robotic Manipulator Model

2.1. ProblemStatement

For conciseness, we model the dynamics of a symmetric n-degree of freedom manipulator as follows:
M ( q ) q ¨ + C ( q , q ˙ ) q ˙ + G ( q ) = τ + τ d + ω t T f a u l t Υ
where q R n denotes joint positions and q ¨ R n denotes the joint accelerations. The control input is τ R n . M ( q ) R n × n is the symmetric positive-definite inertia matrix, C ( q , q ˙ ) R n × n collects Coriolis/centripetal effects, and G ( q ) R n is gravity. External disturbances are denoted by τ d . Actuator faults are represented by Υ R n and are scheduled by ω ( t T f a u l t ) , where T f a u l t is the activation time. It should be clarified that the fault term ω ( t T f a u l t ) Y in Equation (1) represents a loss-of-effectiveness type actuator fault. Here, Y R n denotes the fault influence on the control input and is proportional to τ after the fault occurrence, i.e., Y = Γ τ , where Γ = diag ( γ 1 , , γ n ) with 0 < γ i < 1 indicating the loss ratio of each actuator. And there exist positive constants m min and m max such that m min I M ( q ) m max I for all q. Hence, λ min ( M 1 ) 1 / m max holds.
The fault scheduling matrix ω ( · ) is expressed as
ω t T f a u l t = diag w f 1 t T f a u l t , , w f n t T f a u l t
where each diagonal entry represents the presence of a fault in the i-th channel.
Each component evolves according to [21]
w f i ( t T f a u l t ) = 0 , if t < T f a u l t 1 exp ( κ f i ( t T f a u l t ) ) , if t T f a u l t
where the rate parameter κ f i > 0 characterizes the growth of the fault: small κ f i yields a slow onset, whereas large κ f i corresponds to an abrupt or severe fault.
Similar to [7], the dynamics in Equation (1) can be equivalently written as
q ¨ = M 1 ( q ) τ M 1 ( q ) ( C ( q , q ˙ ) q ˙ + G ( q ) ) + M 1 ( q ) F ( q ˙ ) + τ d + ω t T f a u l t Υ
Letting x 1 = q and x 2 = q ˙ , Equation (4) can be recast in the following form:
x ˙ 1 = x 2 x ˙ 2 = M 1 ( q ) τ + f ( x 1 , x 2 ) + δ
where the known part is f ( x 1 , x 2 ) = M 1 C q ˙ G , and the lumped uncertain term is δ = M 1 τ d + M 1 F ( q ˙ ) + ω ( t T f a u l t ) Υ .
Traditional FTC designs often require explicit knowledge or the existence of the bounds of lumped disturbances. However, determining these bounds is impractical in real-world scenarios, especially at the time of faults occurring abruptly. Overestimating these bounds leads to excessive control gains and severe chattering, while underestimating them may compromise system stability.
Furthermore, even more recent adaptive strategies do not require the assumption of bounded disturbances, such as the barrier function-based adaptive sliding mode control, introducing their own set of challenges that are particularly detrimental in FTC scenarios. Specifically, these methods suffer from three critical drawbacks:
  • Discontinuous Control Input: They rely on a switching mechanism where the adaptive gain law changes at a specific time instant t ¯ . This switch introduces a sharp discontinuity in the control input, which can still induce chattering.
  • Fragile Stability Guarantee: More critically, system stability is only guaranteed within a predefined boundary (e.g., | s | ϵ ). Should the sliding variable be forced outside this boundary—a highly probable event during an abrupt fault or due to input saturation—the control law fails, and the system may never return to the stable region, leading to a catastrophic loss of stability.
  • Practical Implementation Issues: The switching time t ¯ is not determined analytically and must be found through cumbersome online trial-and-error, making the controller difficult to tune and unreliable in practice.
Given the urgent need for robust and reliable FTC, these limitations render such methods unsuitable for safety-critical applications. The K function-based approach proposed in this paper directly circumvents these issues. By employing a continuous control law, it not only eliminates switching-induced chattering but also ensures global finite-time convergence. This guarantees that the system will always return to the desired sliding surface, even after experiencing large transient events caused by faults or saturation.
The objective of this paper is to develop a finite-time fault-tolerant control strategy based on the K function, which overcomes the limitations of traditional adaptive sliding mode control methods. Specifically, this work aims to address issues such as chattering, gain overestimation, discontinuities caused by gain switching, and excessively large initial control efforts, all of which may lead to instability under abrupt system changes. The proposed approach seeks to ensure continuous control input, eliminate the need for trial-and-error determination of switching times, and guarantee global finite-time convergence, thereby enhancing the reliability and robustness of fault-tolerant control in safety-critical applications.

2.2. Preliminaries

Lemma 1
([23]). Suppose there exists a continuously differentiable, positive definite function V ( x ) whose time derivative satisfies
V ˙ ( x ) a V ( x ) b V θ ( x )
for some a , b > 0 and 0 < θ < 1 .
Then, for any initial condition x ( 0 ) , V ( x ( t ) ) converges to zero in finite time. An admissible upper bound on the settling time is
t 1 = t 0 + 1 a ( 1 θ ) ln a V 1 θ x 0 + b b
Lemma 2
([20]). For specific systems of the following form:
{ y ˙ 1 = c 1 | y 1 | 1 2 sign ( y 1 ) + y 2 y ˙ 2 = c 2 sign ( y 1 )
Define ζ T = η 1 , η 2 = | y 1 | 1 2 sign ( y 1 ) , y 2 , the derivative of ζ is
ζ ˙ = 1 | ζ 1 | A ζ
where A = 1 2 k 1 1 2 k 2 0 and | ζ 1 | = | x 1 | 1 2 .
Suppose there exists a quadratic Lyapunov function V ( x ) = ζ T P ζ , whose time derivative is given by V ˙ ( x ) = | x 1 | 1 / 2 ζ T Q ζ . Here, P and Q are symmetric positive definite matrices that satisfy the following condition:
A T P + P A = Q
The state (8) reaches the origin within a finite time T 1 .
T 1 = 2 σ V 1 / 2 ( T 0 )
where T 0 is the initial time and σ = λ m i n 1 / 2 { P } λ m i n { Q } λ m a x { P } .
Definition 1
([19]). If f ( | x | ) satisfies the following conditions:
1   f ( | x | ) is a continuous function defined on ( 0 , ) .
2   f ( | x | ) is at least C 0 with respect to | s | on ( 0 , ) .
3 There is an inverse function of f ( | x | ) .
Then the f ( | x | ) is a K function.

3. Adaptive P-FTSM Controller Design

To begin, we define the tracking error for the manipulator system (8) with respect to a desired trajectory x d R n × 1 :
e = x 1 x d e ˙ = x 2 x ˙ d
The P-FTSM surface is designed to ensure rapid error convergence as follows:
s = e ˙ + α e + β e 1 λ tanh ( k e λ )
where we select α , β , k R n × 1 as positive constant vectors and choose the elements of λ R n × 1 to be between 0 and 1.
We construct the overall control law τ from two components: an equivalent part u e q and a switching part u s w . To derive the equivalent control u e q , we first differentiate the sliding surface (11) with respect to time:
s ˙ = e ¨ + α e ˙ + β e ˙ ( 1 λ ) tanh ( k e λ ) e λ + k λ ( 1 tanh 2 ( k e λ ) )
By solving for the control input under the ideal condition s ˙ = 0 , one has
u e q = M ( q ) ( q ¨ d α e ˙ β e ˙ ( ( 1 λ ) tanh ( k e λ ) e λ + k λ ( 1 tanh 2 ( k e λ ) ) ) ) + C ( q , q ˙ ) q ˙ + G ( q )
Next, we design the switching controller u s w to drive the system states to the sliding surface, for which we use K functions:
u s w = L 1 | s | 1 2 sign ( s ) + v
This controller incorporates an auxiliary state variable v, for which we define the dynamics as
v ˙ = L 2 2 sign ( s )
According to Definition 1, we structure the terms L 1 and L 2 as the following K functions:
L 1 = ρ 1 arctan ( | s | / μ 1 ) / ( π / 2 arctan ( | s | / μ 1 ) ) L 2 = ρ 2 arctan ( | s | / μ 2 ) / ( π / 2 arctan ( | s | / μ 2 ) )
with ρ 1 , μ 1 , ρ 2 , μ 2 R n × 1 being positive constant vectors that we can tune.
In implementation, the adaptive gains are restricted to a compact design set L 1 , min L 1 ( t ) L 1 , max and L 2 , min L 2 ( t ) L 2 , max , which can be guaranteed by gain clipping without altering the form of (16).
Finally, we obtain the total control effort by summing these two components:
τ = u e q + u s w
Here, we use the expressions from (13) and (14) for u e q and u s w respectively, and we set the initial condition for the auxiliary state to v ( 0 ) = 0 . And the flow chart of the proposed controller is shown in Figure 1.
Theorem 1.
For the robotic manipulator system described in (8), the application of the control law (17) with the P-FTSM surface (11) guarantees that the tracking error will converge to zero in finite time. Consequently, the manipulator will accurately follow the desired trajectory.
Proof. 
To begin the analysis, let us define an auxiliary vector ζ as ζ T = ζ 1 , ζ 2 = | s | sign ( s ) , L 2 2 sign ( s ) d t . The dynamics of this vector can be expressed by its time derivative:
ζ ˙ = 1 | ζ 1 | A ( L 1 , L 2 ) ζ
where | ζ 1 | = | s | 1 / 2 and the matrix A ( L 1 , L 2 ) is defined as
A ( L 1 , L 2 ) = 1 2 L 1 1 2 L 2 2 0 .
We introduce the Lyapunov function candidate to assess stability:
V 1 = ζ T P ζ
where P is a symmetric positive definite matrix selected as
P = p 11 p 12 p 12 p 22 , p 11 > 0 , p 22 > 0 , p 12 < 0 , p 11 p 22 p 12 2 > 0 .
With this choice, P is positive definite and ensures that the Lyapunov equation admits a positive definite solution.
The time derivative of V 1 along the system trajectories (18) yields
V ˙ 1 = 1 | ζ 1 | ζ T ( A T P + P A ) ζ = 1 | ζ 1 | ζ T Q ( L 1 , L 2 ) ζ
where the matrix Q ( L 1 , L 2 ) is defined as
Q ( L 1 , L 2 ) = A T P P A = L 1 p 11 + 2 L 2 2 p 12 L 1 2 p 12 + L 2 2 p 22 p 11 2 p 12 .
Since p 12 < 0 , it follows that Q 22 = p 12 > 0 . According to the Schur complement condition, Q ( L 1 , L 2 ) is positive definite if Q 11 Q 12 2 / Q 22 > 0 . Because Q depends affinely on the adaptive gains ( L 1 , L 2 ) defined in (16), we restrict them to a compact design set
L = [ L 1 , min , L 1 , max ] × [ L 2 , min , L 2 , max ] ,
which can be guaranteed by gain clipping without altering the structure of (16). By appropriately selecting P, there exists a constant q 0 > 0 such that
Q ( L 1 , L 2 ) q 0 I , ( L 1 , L 2 ) L .
In practice, L 1 and L 2 vary continuously with s, so A ( L 1 , L 2 ) is time-varying. Let A * = A ( L 1 , min , L 2 , min ) be the nominal constant matrix and define the bounded perturbation
Δ A ( t ) = A ( L 1 , L 2 ) A * , Δ A ( t ) β
with
β = 1 2 ( L 1 , max L 1 , min ) + ( L 2 , max 2 L 2 , min 2 ) .
Let Q * = A * T P P A * , which is positive definite. Then (22) can be rewritten as
V ˙ 1 = 1 | ζ 1 | ζ T Q * ζ 1 | ζ 1 | ζ T ( Δ A T P + P Δ A ) ζ .
Using the inequality ζ T ( Δ A T P + P Δ A ) ζ 2 P Δ A ζ 2 and applying (26)–(27), we obtain
V ˙ 1 1 | ζ 1 | λ min ( Q * ) 2 P β ζ 2 .
If the following design margin condition is satisfied,
α = λ min ( Q * ) 2 P β > 0 ,
then we have
V ˙ 1 α | ζ 1 | ζ 2 = α | s | 1 / 2 ζ 2 .
The inequality in (31) has the same form as in the standard super-twisting analysis, which implies that ζ converges to the origin in finite time. Consequently, the sliding variable s and the tracking error both converge to zero in finite time. An upper bound for the convergence time T 1 , starting from an initial time T 0 , is given by
T 1 = 2 σ V 1 1 / 2 ( T 0 ) ,
where the constant σ is defined as
σ = λ min 1 / 2 { P } α λ max { P } .
This completes the proof. □
Remark 1.
The P-FTSM surface (11) integrates the advantages of terminal sliding mode and fast convergence characteristics. The hyperbolic tangent function tanh ( · ) ensures smoothness and continuity of the sliding surface, which helps reduce chattering. The K function-based switching gains L 1 and L 2 are adaptive to the sliding variable magnitude, preventing overestimation of control gains while maintaining robust performance against uncertainties, disturbances, and actuator faults.

4. Saturated Adaptive P-FTSM Controller Design

The adaptive P-FTSM controller proposed in the previous section guarantees finite-time convergence and exhibits robustness against uncertainties and faults. However, when the initial tracking error is large, the K functions L 1 and L 2 can generate significant gain values, potentially leading to an initial control input τ that exceeds the physical limitations of the robotic manipulator’s actuators. This issue, known as input saturation, is a critical consideration in practical implementations.
To address this problem and ensure the controller’s feasibility, we introduce a modified control scheme based on a saturation function, which prevents the control magnitude from becoming unacceptably large while ensuring system stability and convergence.
Let the non-saturated switching control term be defined as u s w _ n s = L 1 | s | 1 2 s i g n ( s ) + v . We now introduce a saturation function to constrain this term within a prescribed bound. The saturated switching controller u s w _ s a t is designed as follows:
u s w _ s a t = sat ( u s w _ n s , u ¯ s w )
where u ¯ s w R n × 1 is a vector of prescribed positive constants representing the maximum allowable magnitude for the switching control component for each joint. The saturation function is defined element-wise for a vector input x and bound x ¯ as:
sat ( x i , x ¯ i ) = x ¯ i , if x i > x ¯ i x i , if | x i | x ¯ i x ¯ i , if x i < x ¯ i
The complete saturated control law is thus given by
τ s a t = u e q + u s w _ s a t
where u e q is the equivalent controller from (13), and the auxiliary state v within u s w _ n s is still integrated according to (15).
To ensure the effectiveness of this saturated controller, the following assumption is necessary:
Assumption 1.
It is assumed that the maximum control capability can suppress the lumped disturbances, i.e., the saturation bound u ¯ s w is chosen to be sufficiently large such that u ¯ s w > δ m a x , where δ m a x is the upper norm-bound of the lumped disturbance δ defined in (8).
Theorem 2.
Consider the robotic manipulator system (8) with the P-FTSM surface (11). If Assumption 1 holds, the saturated adaptive controller (36) guarantees that the system trajectories reach the sliding surface s = 0 within a finite time.
Proof. 
The stability proof is divided into two parts, analyzing the system behavior when the controller is saturated and when it is not. Let us define the unsaturated region as Ω = { ( s , v ) | | u s w _ n s , i ( s , v ) | u ¯ s w , i , i = 1 , , n } .
(1) Saturated Phase: In this phase, at least one component of the switching control is saturated. We select the candidate Lyapunov function:
V 2 = 1 2 s T s
Taking the time derivative of V 2 along the system trajectories yields
V ˙ 2 = s T s ˙ = s T e ¨ + α e ˙ + β e ˙ ( 1 λ ) tanh ( k e λ ) e λ + k λ ( 1 tanh 2 ( k e λ ) )
Substituting e ¨ = x ˙ 2 x ¨ d and the system dynamics (8), we know that s ˙ = F ( x ) + M 1 ( q ) u s w _ s a t + δ , where F ( x ) represents all known dynamics and δ is the lumped uncertainty. The expression for s ˙ can be simplified to
s ˙ = M 1 ( q ) u s w _ s a t + Δ
where Δ is the new lumped disturbance term incorporating system dynamics, external disturbances, and faults. Under Assumption 1, this term is bounded, i.e., Δ Δ m a x .
Substituting (39) into the derivative of V 2 gives
V ˙ 2 = s T ( M 1 ( q ) u s w _ s a t + Δ ) s M 1 ( q ) u s w _ s a t + s Δ λ m a x ( M 1 ) s u s w _ s a t + Δ m a x s
In the saturated phase, u s w _ s a t is equal to u ¯ s w in magnitude, and its direction opposes the sliding variable s. Thus, s T M 1 ( q ) u s w _ s a t λ m i n ( M 1 ) s u ¯ s w . Therefore,
V ˙ 2 λ m i n ( M 1 ) s u ¯ s w + Δ m a x s s λ m i n ( M 1 ) u ¯ s w Δ m a x
According to Assumption 1, the term ( λ m i n ( M 1 ) u ¯ s w Δ m a x ) is a positive constant, η , and one has
V ˙ 2 η 2 V 2
Based on the finite-time stability theory, this inequality ensures that the system trajectory will reach the boundary of the unsaturated region Ω in a finite time T a .
(2) Unsaturated Phase: Once the system trajectory enters the region Ω , the controller is no longer saturated, i.e., u s w _ s a t = u s w _ n s . The control law (36) becomes identical to the non-saturated controller (17).
τ s a t = u e q + u s w _ n s = τ
At this point, the controller reduces to (17). According to the revised Theorem 1, using the same Lyapunov function V 3 = ζ T P ζ with the symmetric P 0 in (21) and the design margin α > 0 in (30), the finite-time convergence conclusion still holds for the unsaturated phase within finite time T b .
Since the trajectory is driven into the region Ω in finite time T a , and subsequently converges from within Ω to the sliding surface s = 0 within convergence time T b , the overall stability within finite time is guaranteed. The total settling time satisfies T s a t T a + T b . □
Remark 2.
The introduction of the saturation function effectively protects the actuators from demanding excessive torque, thereby enhancing the practical applicability of the proposed controller. While ensuring stability, this modification may result in a slightly longer convergence time compared to the ideal non-saturated case, as the control effort is capped during the initial reaching phase. This represents a well-understood trade-off between performance and the protection of physical hardware.

5. Simulation Results

The effectiveness of the proposed control approach is demonstrated via numerical simulations on a two-link robotic manipulator, conducted using MATLAB/SIMULINK version 2024b. For Equation (8), the dynamic model components are specified as follows:
M = a 11 a 12 a 21 a 22 C = 2 b q ˙ 2 b q ˙ 2 b q ˙ 1 0 G = g 1 g 2
where the joint angle can be described as q = [ q 1 , q 2 ] T , with a 11 = r 1 2 ( m 1 + m 2 ) + 2 a 12 a 22 , a 12 = a 21 = a 22 + r 1 r 2 m 2 cos ( q 2 ) , a 22 = r 2 2 m 2 , b = r 1 r 2 m 2 sin ( q 2 ) , g 1 = r 1 ( m 1 + m 2 ) g cos ( q 1 ) + g 2 , and g 2 = r 2 m 2 g cos ( q 1 + q 2 ) .
m 1 and m 2 denote the masses of symmetric manipulator links, r 1 and r 2 are their respective lengths, and g stands for the acceleration of gravity, with the parameter values listed in Table 2.

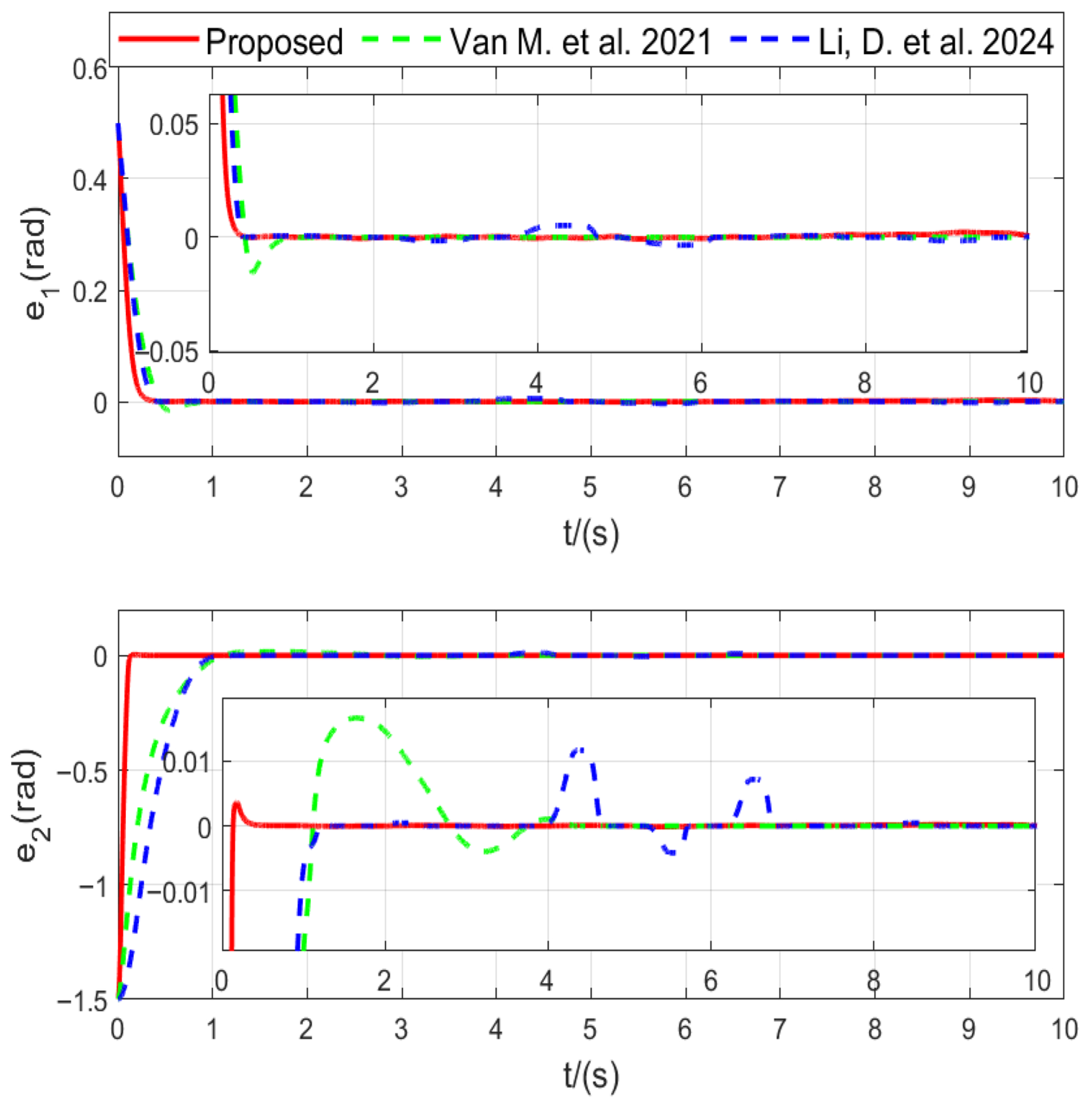
5.1. Comparative Simulations

In the simulation, the initial states of the manipulator are set as [ 0.5 , 0.5 ] T and [ 0 , 0 ] T . Furthermore, it is necessary to track the desired signal [ sin ( w 1 t ) , cos ( w 2 t ) ] T with w 1 = 2 and w 2 = 3 . The control parameters can be chosen as follows: α = [ 20 , 10 ] T , β = [ 5 , 10 ] T , λ = [ 0.9 , 0.9 ] T , and k = [ 10 , 10 ] T . For the K functions in Equation (16), L 1 ( · ) adopts ( ρ 1 , μ 1 ) = ( [ 1.5 , 1 ] T , [ 0.01 , 0.01 ] T ) , while L 2 ( · ) uses ( ρ 2 , μ 2 ) = ( [ 10 , 10 ] T , [ 10 , 10 ] T ) . The switching control input is limited by u ¯ s w = [ 500 , 500 ] T .
To assess the performance of the proposed controller, comparative simulations are conducted against the approaches described in [30,32]. In these simulations, the manipulator is exposed to external disturbances as well as an actuator fault, which is introduced at t = 5 s and specified as follows:
Υ = 0.3 τ 1 , t 5 0.3 τ 2 , t 5
The disturbance applied to the system is given by [ sin ( w 3 t ) , cos ( w 3 t ) ] T with w 3 = π .
For comparison, the method referenced is from [32], where the sliding manifold and corresponding control law are constructed as follows:
s = e + 1 c 2 η 2 e 2 + c 1 [ e 1 ] η 1 1 η 2
and
u = M ( q ) ν z 1 , z 2 u s t w + z ˙ 2 d c 1 | e | η 1 1 e 2 M ( q ) c 2 η 2 | Φ ( e , e 2 ) | 1 1 η 2 e 2 + M ( q ) ( ( η 2 + b ) sgn ( s ) ξ 1 [ s ] p 1 ξ 2 [ s ] p 2 )
where Φ ( e , e ˙ ) = e ˙ + c 1 [ e ] η and u t w represents the STA, with c 1 > 0 , c 2 > 0 , η 1 > 1 , and 1 2 < η 2 < 1 .
For the second comparison, the sliding manifold and controller from [30] are formulated as follows:
s = e 1 + k 1 s i g θ 1 e 1 + k 2 s i g θ 2 e 2
and
u = k 2 1 θ 2 1 M ( q ) I n + k 1 θ 1 diag ( e 1 θ 1 1 ) sig 2 θ 2 z 2 * + C z 2 * + G + M x ¨ d ζ 1 · [ s ] r 1 ζ 2 [ s ] r 2 ζ 3 [ s ] r 3 ( d 5 + d 6 ) sgn ( s )
The controller parameters are selected to meet the following requirements: k 1 , k 2 , ζ 1 , ζ 2 , ζ 3 > 0 , 1 < θ 2 < 2 , θ 1 > θ 2 , r 1 > 1 , and 0 < r 2 < 1 . The value of r 3 is set as r 3 = 1 , | s | 1 r 0 , | s | < 1 , where 0 < r 0 < 1 . For the comparative simulations, the parameters of the controller (47) and (49) are chosen in accordance with those in the original references [30,32].
Remark 3.
The control parameters were selected through a trial-and-error process to balance convergence speed and chattering suppression. All parameter values were tuned empirically within stable ranges to ensure smooth control performance and finite-time convergence.
Table 3 provides a quantitative comparison of convergence performance. The proposed controller achieves the shortest convergence times for both e 1 and e 2 , indicating a faster transient response than Refs. [30,32]. It also yields smaller RMSE and IAE values, confirming higher tracking accuracy. While the control effort remains comparable across all methods, the proposed scheme shows a markedly lower total variation T V ( u ) , implying smoother control inputs and reduced chattering.
As illustrated in Figure 2, the tracking results visually demonstrate that the proposed method enables the manipulator to reach the desired trajectory more quickly.
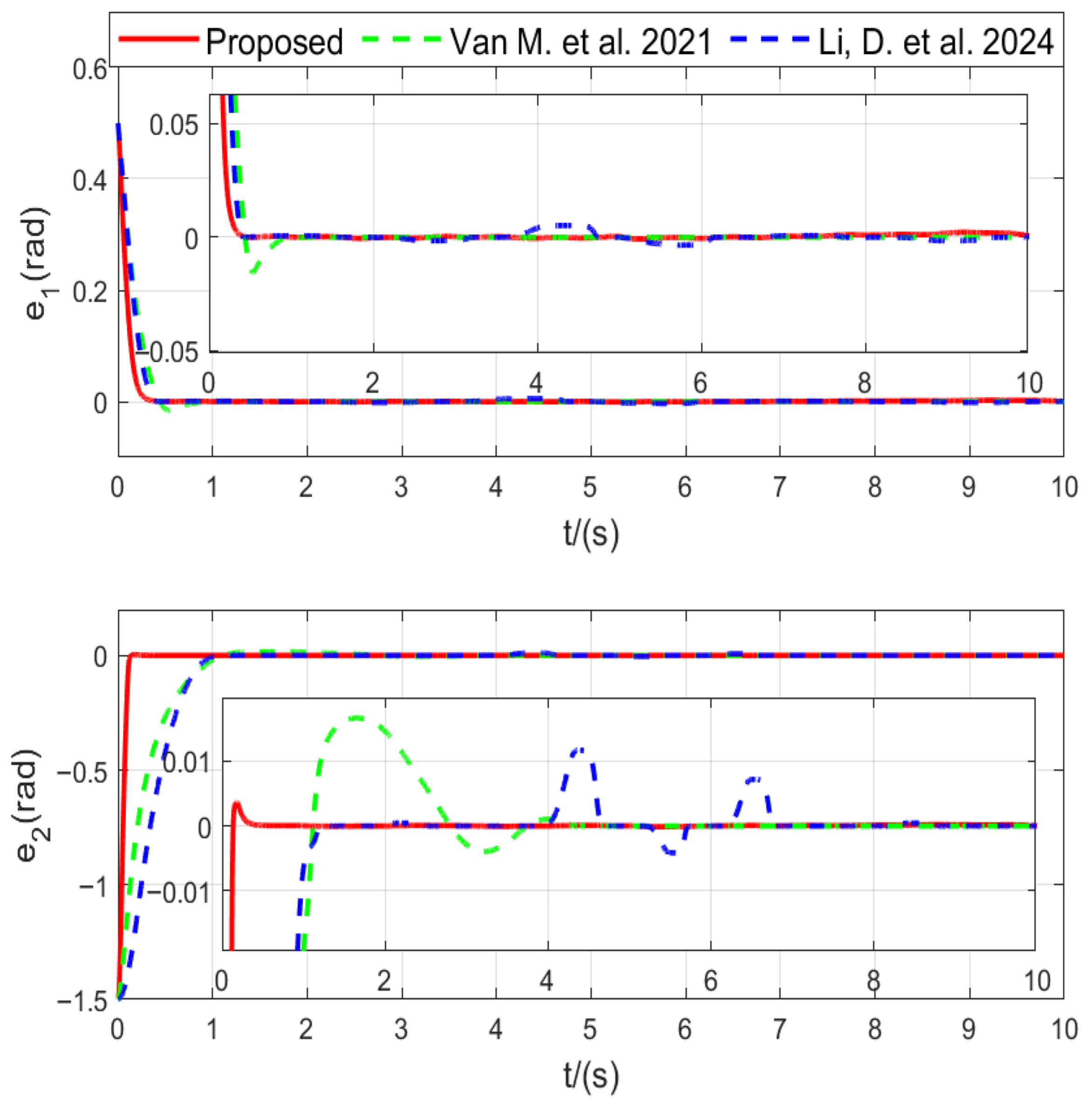
The tracking error results in Figure 3 show that the scheme in this research leads to a smaller error. Furthermore, the control input curves in Figure 4 indicate that the proposed approach effectively suppresses chattering.
In Figure 5, the adaptive gains are plotted, showing that the proposed method effectively adjusts the gains smoothly.
The simulation results clearly demonstrate the effectiveness of the proposed controller. As shown in Table 3, the proposed method achieves the fastest convergence and the smallest tracking errors among all compared approaches. Both RMSE and IAE values of the joint errors are significantly lower, indicating higher steady-state accuracy and better transient response. The reduction in the total variation of control signals by more than one order of magnitude verifies that the K -based design effectively suppresses chattering while maintaining smooth control actions. Furthermore, the smaller control energy | u | d t shows that the adaptive gain mechanism avoids excessive control effort. These results confirm that the proposed adaptive fault-tolerant super-twisting controller provides superior robustness and precision compared with existing methods.

5.2. Additional Test

To further validate the robustness of the proposed controller, two additional test cases are conducted under different fault and disturbance conditions while keeping all controller parameters unchanged.
Case 1. In this case, a simultaneous loss of effectiveness occurs in both actuators at T f a u l t = 1 s, modeled as
Υ = 0.4 τ 1 , T f a u l t 1 0.5 τ 2 , T f a u l t 1 .
The system is also subjected to a time-varying disturbance defined as 2 [ sin ( ω 3 t ) , cos ( ω 3 t ) ] T with ω 3 = π . This test evaluates the controller’s ability to maintain finite-time convergence and smooth tracking performance under simultaneous actuator degradation and periodic disturbance excitation.
Case 2. After the fault time T f a u l t , the actuator command is affected by a multiplicative Loss-of-effectiveness (LOE) and an additive bias:
τ act ( t ) = ( I ω ( t T fault ) Γ ) τ ( t ) + ω ( t T fault ) b ,
where ω ( · ) is the unit step, Γ = diag ( 0.4 , 0.5 ) encodes the LOE ratios of the two actuators, and b = [ 3 , 4 ] T N·m is the constant bias.
As illustrated in Figure 6 and Figure 7, the proposed controller maintains almost identical tracking and control performance, even under broader testing conditions involving different fault types, fault magnitudes, and external disturbances. Furthermore, Figure 8 shows the control input is smooth and chattering is suppressed, even under the fault and disturbance conditions. The state trajectories remain smooth and converge within the same finite-time bounds, while the control inputs show negligible variation compared with the nominal case. These results clearly demonstrate the strong robustness and fault-tolerant capability of the proposed K -based adaptive super-twisting control scheme.

5.3. Frequency-Domain Analysis

To further evaluate the dynamic characteristics of the proposed controller, a frequency-domain analysis was performed. In this experiment, the input–output data were collected from the manipulator operating under the same simulation conditions as those described in the Comparative simulations section. The desired trajectories were set as q 1 d = sin ( 2 t ) + 0.05 sin ( 6 t ) + 0.03 sin ( 10 t ) and q 2 d = cos ( 3 t ) + 0.04 sin ( 5 t ) , while the actuator faults and external disturbances were introduced according to Equation (45), resulting in a 30 % loss of effectiveness in both actuators. The sampling period was fixed at 0.0005 s , identical to the time-domain simulation.
The Bode diagram was obtained from time-domain data by estimating the empirical frequency response function (FRF) using the Welch method, expressed as
H ( f ) = P y u ( f ) P u u ( f ) ,
where P y u ( f ) and P u u ( f ) denote the cross- and auto-power spectral densities of the control input u ( t ) and tracking error e ( t ) , respectively. The magnitude and phase responses were plotted on logarithmic scales to obtain the conventional Bode representation. The window length N win was selected as the largest power of two not exceeding one-eighth of the total data length, with 50 % overlap and FFT size N fft = 2 nextpow 2 ( N win ) . The sampling frequency was F s = 1 / Δ t = 2000 Hz , and the frequency axis was limited to the range [ 1 , 10 3 ] Hz to capture the system’s practical bandwidth.
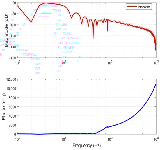
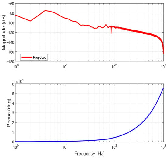
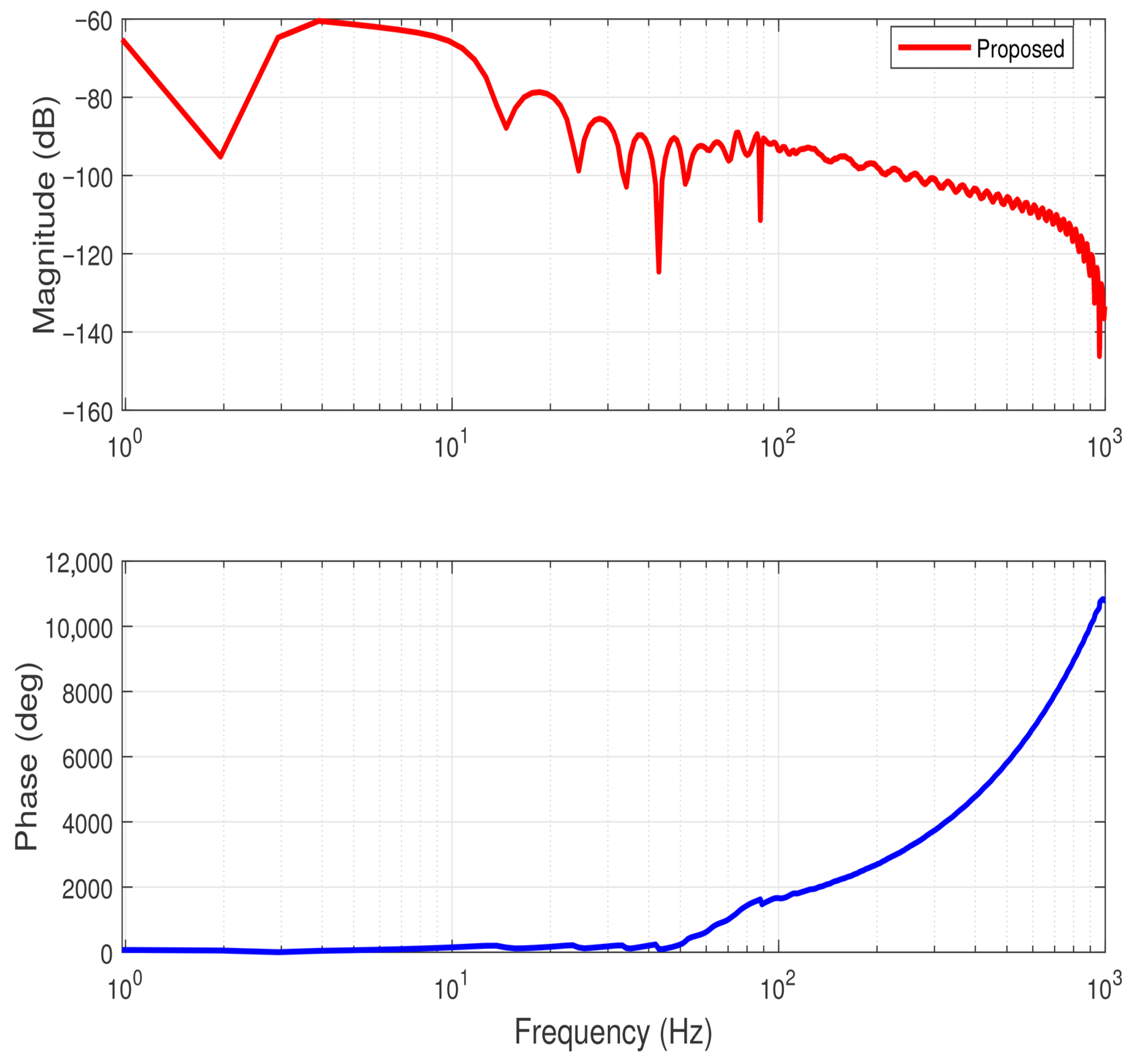
Figure 9 and Figure 10 illustrate the Bode magnitude and phase plots of the proposed adaptive fault-tolerant controller under actuator loss-of-effectiveness.
As shown in the figure, the magnitude response remains well below 0 dB across the entire frequency spectrum, demonstrating strong closed-loop stability and excellent attenuation of high-frequency components. In the low-frequency range (1–10 Hz), the magnitude is approximately 80 dB , indicating highly effective suppression of steady-state error and disturbances. At mid-to-high frequencies ( 10 2 10 3 Hz), the amplitude further decreases, revealing the controller’s strong noise rejection capability even under partial actuator degradation. The smooth, monotonic decay without excessive peaking confirms that the system exhibits no resonance phenomena or instability.
The phase plot shows a continuous and monotonic trend, with gradual phase lag as the frequency increases. This behavior implies a stable, causal, and well-damped dynamic response. Even in the presence of actuator faults, no abrupt phase shifts or discontinuities were observed, which confirms that the proposed K∞-based adaptive super-twisting controller maintains smooth closed-loop dynamics and robustness against non-ideal actuation.
The frequency-domain characteristics demonstrate that the proposed controller ensures a wide stability margin and strong attenuation of high-frequency disturbances. The Bode plots validate that the system retains robust performance under actuator loss-of-effectiveness, with excellent disturbance rejection and smooth phase behavior, further confirming the controller’s reliability and practical applicability in fault-tolerant robotic systems.

6. Conclusions

An adaptive fault-tolerant super-twisting controller based on a K function was proposed for symmetric robotic manipulators with actuator faults and external disturbances. The controller ensures smooth finite-time convergence and strong robustness by combining adaptive gain tuning with a K -based continuous design.
Comparative simulations confirm the superior performance of the proposed method over Refs. [30,32]. The convergence times of the tracking errors decrease from 0.39 s and 1.00 s to 0.22 s and 0.12 s, while the RMSE values are reduced from 0.048 to 0.036 and from 0.187 to 0.095. The IAE drop by over 40%, and the TV of the control inputs is reduced by more than 90%, indicating a remarkable suppression of chattering with lower control effort. Overall, the proposed controller achieves high precision, fast convergence, and robust fault-tolerant performance. Future work will focus on extending the proposed approach to real-time experiments and manipulators with flexible joint dynamics.

Author Contributions

This research was completed through the collective contributions of all authors. H.W. proposed the main concept and conducted the analysis. Y.W. was responsible for simulation design. P.W. and W.L. carried out the numerical simulations, and all authors participated in writing and reviewing the manuscript to ensure its accuracy. All authors have read and agreed to the published version of the manuscript.

Funding

This work relied on the Dezhou Industrial Robot System Integration Engineering Research Center.

Data Availability Statement

The original contributions presented in the study are included in the article, further inquiries can be directed to the corresponding author.

Acknowledgments

The authors sincerely thank the anonymous reviewers for their valuable feedback, which has greatly improved the quality of this manuscript.

Conflicts of Interest

The authors declare no conflicts of interest.

References

  1. Yang, Y.; Hua, C.; Ding, W.; Li, J. Gesture Recognition-Based Robust Predefined-Time Admittance Control of Bimanual Teleoperation Without Force/Torque Measurement. IEEE Trans. Instrum. Meas. 2024, 73, 1–10. [Google Scholar] [CrossRef]
  2. Qi, Y.; Ju, Y.; Wei, T.; Chu, C.; Wong, L.L.; Xu, H. Two by two: Learning multi-task pairwise objects assembly for generalizable robot manipulation. In Proceedings of the Computer Vision and Pattern Recognition Conference, Denver CO, USA, 3–7 June 2026; pp. 17383–17393. [Google Scholar]
  3. Alterovitz, R.; Hoelscher, J.; Kuntz, A. Medical needles in the hands of AI: Advancing toward autonomous robotic navigation. Sci. Robot. 2025, 10, eadt1874. [Google Scholar] [CrossRef]
  4. Kim, D.; Manjunath, P.; Adéníran, E.; Davis, J. A data collection scheme to develop future autonomous manipulation for military applications. In Proceedings of the 2024 21st International Conference on Ubiquitous Robots (UR), New York, NY, USA, 24–27 June 2024; pp. 208–213. [Google Scholar]
  5. Li, L.; Cherouat, A.; Snoussi, H.; Wang, T. Grasping with occlusion-aware ally method in complex scenes. IEEE Trans. Autom. Sci. Eng. 2024, 22, 5944–5954. [Google Scholar] [CrossRef]
  6. Alwardat, M.Y.; Alwan, H.M. Forward and inverse kinematics of a 6-DOF robotic manipulator with a prismatic joint using MATLAB robotics toolbox. Optimization 2024, 2. [Google Scholar] [CrossRef]
  7. Gu, S.; Qian, C.; Zhang, N. Finite-time integral control for a class of nonlinear planar systems with non-vanishing uncertainties. Automatica 2022, 136, 110016. [Google Scholar] [CrossRef]
  8. Li, W.; Zhang, Z.; Wang, P.; Wan, H. A Faster Fixed-Time Fault Tolerant Sliding Mode Control for Robot Manipulators with Mismatched Disturbances. IEEE Access 2025, 13, 56576–56586. [Google Scholar] [CrossRef]
  9. Sampath, S.; Feng, J. Intelligent and robust control of space manipulator for sustainable removal of space debris. Acta Astronaut. 2024, 220, 108–117. [Google Scholar] [CrossRef]
  10. Dong, B.; Zhu, X.; An, T.; Jiang, H.; Ma, B. Barrier-critic-disturbance approximate optimal control of nonzero-sum differential games for modular robot manipulators. Neural Netw. 2025, 181, 106880. [Google Scholar] [CrossRef] [PubMed]
  11. Huang, R.; Wang, W.; Dong, J. Adaptive Tracking Control of Uncertain Nonlinear Multiagent Systems: A Dynamic Event-based Method via Prescribed-time Characteristics. IEEE Trans. Autom. Sci. Eng. 2025, 22, 12271–12282. [Google Scholar] [CrossRef]
  12. Calderon-Cordova, C.; Sarango, R.; Castillo, D.; Lakshminarayanan, V. A deep reinforcement learning framework for control of robotic manipulators in simulated environments. IEEE Access 2024, 12, 103133–103161. [Google Scholar] [CrossRef]
  13. Zhang, L.; Su, Y.; Wang, Z.; Wang, H. Fixed-time terminal sliding mode control for uncertain robot manipulators. ISA Trans. 2024, 144, 364–373. [Google Scholar] [CrossRef]
  14. Zhang, D.; Hu, J.; Cheng, J.; Wu, Z.-G.; Yan, H. A novel disturbance observer based fixed-time sliding mode control for robotic manipulators with global fast convergence. IEEE/CAA J. Autom. Sin. 2024, 11, 661–672. [Google Scholar] [CrossRef]
  15. Hu, S.; Wan, Y.; Liang, X. Adaptive fast terminal sliding mode control of robotic manipulators based on joint torque estimation and friction compensation. Int. J. Robust Nonlinear Control. 2024, 34, 12223–12238. [Google Scholar] [CrossRef]
  16. Song, Z.; Bao, D.; Wang, W.; Zhao, W. Adaptive dynamic boundary sliding mode control for robotic manipulators under varying disturbances. Electronics 2024, 13, 900. [Google Scholar] [CrossRef]
  17. Truong, T.N.; Vo, A.T.; Kang, H.J. A novel time delay nonsingular fast terminal sliding mode control for robot manipulators with input saturation. Mathematics 2024, 13, 119. [Google Scholar] [CrossRef]
  18. SStihi, S.; Fareh, R.; Khadraoui, S.; Bettayeb, M. Tracking finite-time prescribed performance fractional power rate reaching law sliding-mode control for a 4-dof robot manipulator. IEEE/ASME Trans. Mechatron. 2024, 30, 1236–1247. [Google Scholar] [CrossRef]
  19. Zhao, R.; Yang, J.; Li, X.; Mo, H. Adaptive variable universe fuzzy sliding-mode control for robot manipulators with model uncertainty. IEEE J. Radio Freq. Identif. 2024, 8, 658–664. [Google Scholar] [CrossRef]
  20. Gao, H.; Ma, C.; Zhang, X.; Zhou, C. Compliant variable admittance adaptive fixed-time sliding mode control for trajectory tracking of robotic manipulators. Robotica 2024, 42, 1731–1760. [Google Scholar] [CrossRef]
  21. Sun, C.; Huang, Z.; Wu, H. Adaptive super-twisting global nonsingular terminal sliding mode control for robotic manipulators. Nonlinear Dyn. 2024, 112, 5379–5389. [Google Scholar] [CrossRef]
  22. Zhang, S.; Cheng, S.; Jin, Z. Variable trajectory impedance: A super-twisting sliding mode control method for mobile manipulator based on identification model. IEEE Trans. Ind. Electron. 2024, 72, 610–619. [Google Scholar] [CrossRef]
  23. Yang, Y.; Zhou, X.; Li, J.; Hua, C. Barrier function-based adaptive composite sliding mode control for a class of mimo underactuated systems subject to disturbances. IEEE Trans. Ind. Inform. 2024, 20, 11429–11437. [Google Scholar] [CrossRef]
  24. Ding, X.; Wang, H.; Ren, Y.; Zheng, Y.; Chen, C.; He, J. Online control barrier function construction for safety-critical motion control of manipulators. IEEE Trans. Syst. Man, Cybern. Syst. 2024, 54, 4761–4771. [Google Scholar] [CrossRef]
  25. Wang, H.; Peng, J.; Zhang, F.; Wang, Y. High-order control barrier function-based safety control of constrained robotic systems: An augmented dynamics approach. IEEE/CAA J. Autom. Sin. 2024, 11, 2487–2496. [Google Scholar] [CrossRef]
  26. Yu, M.; Yu, C.; Naddaf-Sh, M.M.; Upadhyay, D.; Gao, S.; Fan, C. Efficient motion planning for manipulators with control barrier function-induced neural controller. In Proceedings of the 2024 IEEE International Conference on Robotics and Automation (ICRA), Yokohama, Japan, 13–17 May 2024; pp. 14348–14355. [Google Scholar]
  27. Zhang, Z.; Cao, Z.; Li, X. Neural dynamic fault-tolerant scheme for collaborative motion planning of dual-redundant robot manipulators. IEEE Trans. Neural Netw. Learn. Syst. 2024, 36, 11189–11201. [Google Scholar] [CrossRef]
  28. Zhang, J.X.; Song, J.G.; Chen, Q.; Yang, F. Mixed-gain adaption-based fault-tolerant funnel control of robotic manipulators with unknown dynamics and sensor faults. IEEE Trans. Autom. Sci. Eng. 2024, 22, 3044–3055. [Google Scholar] [CrossRef]
  29. Khan, Z.; Nasir, A.; Mekid, S. Fault-tolerant control strategies for industrial robots: State of the art and future perspective on AI-based fault management. Artif. Intell. Rev. 2025, 58, 362. [Google Scholar] [CrossRef]
  30. Van, M.; Ceglarek, D. Robust fault tolerant control of robot manipulators with global fixed-time convergence. J. Frankl. Inst. 2021, 358, 699–722. [Google Scholar] [CrossRef]
  31. Du, D.; Li, Z.; Dahhou, B. Progressive Optimal Fault-Tolerant Control Combining Active and Passive Control Manners. Actuators 2024, 13, 150. [Google Scholar] [CrossRef]
  32. Li, D.; Chen, M.; Peng, K.; Wu, L. Fixed-time fault-tolerant control of manipulator systems based on sliding mode observer. Int. J. Robust Nonlinear Control. 2024, 34, 440–455. [Google Scholar] [CrossRef]
Figure 1. Flow chart of the proposed controller.
Figure 1. Flow chart of the proposed controller.
Symmetry 17 01978 g001
Figure 2. Tracking performance of manipulators with Refs. [30,32].
Figure 2. Tracking performance of manipulators with Refs. [30,32].
Symmetry 17 01978 g002
Figure 3. Tracking error comparison with Refs. [30,32].
Figure 3. Tracking error comparison with Refs. [30,32].
Symmetry 17 01978 g003
Figure 4. Control input with Refs. [30,32].
Figure 4. Control input with Refs. [30,32].
Symmetry 17 01978 g004
Figure 5. Adaptive gains.
Figure 5. Adaptive gains.
Symmetry 17 01978 g005
Figure 6. Tracking performance of Case 1 and Case 2.
Figure 6. Tracking performance of Case 1 and Case 2.
Symmetry 17 01978 g006
Figure 7. Tracking errors of Case 1 and Case 2.
Figure 7. Tracking errors of Case 1 and Case 2.
Symmetry 17 01978 g007
Figure 8. Control input comparison of Case 1 and Case 2.
Figure 8. Control input comparison of Case 1 and Case 2.
Symmetry 17 01978 g008
Figure 9. Bode diagram of e 1 .
Figure 9. Bode diagram of e 1 .
Symmetry 17 01978 g009
Figure 10. Bode diagram of e 2 .
Figure 10. Bode diagram of e 2 .
Symmetry 17 01978 g010
Table 1. Comparative analysis of representative works in fault-tolerant/sliding-mode control of robotic manipulators.
Table 1. Comparative analysis of representative works in fault-tolerant/sliding-mode control of robotic manipulators.
Ref.Plant/
Model
Uncertainty/
Disturbance
Fault
Type
ControllerAdaptive Law
[13]n-DoFboundedFTSMFixed gains
[21]n-DoFboundedNTSM + adaptive STAbarrier-based (nonsmooth)
[30]n-DoFunboundedLOEFixed-time SMCobserver
[32]n-DoFunboundedLOESMC + SMOobserver
[14]n-DoFboundedDOBC + SMCobserver
Proposedn-DoFunboundedLOE/biasP-FTSM + STA K continuous (smooth)
Table 2. Dynamic parameters.
Table 2. Dynamic parameters.
ParameterValueParameterValue
r 1 1 m r 2 1 m
m 1 10 kg m 2 1 kg
m 01 9.8 kg m 02 0.98 kg
Δ m 1 0.2 kg Δ m 2 0.02 kg
g9.8 m/s2
Table 3. Comparative Analysis of Control Performance.
Table 3. Comparative Analysis of Control Performance.
MetricProposedRef. [30]Ref. [32]
C o n v e r g e n c e T i m e o f e 1 0.220.390.33
C o n v e r g e n c e T i m e o f e 2 0.121.000.92
R M S E o f e 1 0.0360.0480.047
R M S E o f e 2 0.0950.1870.240
I A E o f e 1 0.0490.0820.080
I A E o f e 2 0.0860.4490.579
| u | d t 943.46987.981009.44
T V ( u 1 ) 2.86 × 10 3 1.74 × 10 5 5.90 × 10 4
T V ( u 2 ) 1.64 × 10 3 2.57 × 10 4 1.82 × 10 4
Disclaimer/Publisher’s Note: The statements, opinions and data contained in all publications are solely those of the individual author(s) and contributor(s) and not of MDPI and/or the editor(s). MDPI and/or the editor(s) disclaim responsibility for any injury to people or property resulting from any ideas, methods, instructions or products referred to in the content.

Share and Cite

MDPI and ACS Style

Wan, H.; Wang, Y.; Wang, P.; Li, W. Adaptive Fault-Tolerant Super Twisting Control Design Based on K Function for Symmetric Manipulators. Symmetry 2025, 17, 1978. https://doi.org/10.3390/sym17111978

AMA Style

Wan H, Wang Y, Wang P, Li W. Adaptive Fault-Tolerant Super Twisting Control Design Based on K Function for Symmetric Manipulators. Symmetry. 2025; 17(11):1978. https://doi.org/10.3390/sym17111978

Chicago/Turabian Style

Wan, Haicheng, Yutao Wang, Ping Wang, and Wendong Li. 2025. "Adaptive Fault-Tolerant Super Twisting Control Design Based on K Function for Symmetric Manipulators" Symmetry 17, no. 11: 1978. https://doi.org/10.3390/sym17111978

APA Style

Wan, H., Wang, Y., Wang, P., & Li, W. (2025). Adaptive Fault-Tolerant Super Twisting Control Design Based on K Function for Symmetric Manipulators. Symmetry, 17(11), 1978. https://doi.org/10.3390/sym17111978

Note that from the first issue of 2016, this journal uses article numbers instead of page numbers. See further details here.

Article Metrics

Back to TopTop